Abstract
The mineralization of carbon dioxide offers a way to permanently sequester carbon while producing construction materials, combining the concepts of carbon capture and utilization (CCU) and carbon capture and storage (CSS). However, it is important to evaluate different mineralization processes in terms of their environmental impact. This study provides the first comparative life cycle assessment (LCA) analysis that focuses on the utilization of industrial waste materials. We analyzed the climate and material footprint of six mineralization pathways from cradle to gate using steel slag, concrete waste, municipal solid waste incineration (MSWI) ash, and olivine as feedstock. A sensitivity analysis was used to identify the factors with the greatest impact on environmental performance. Our results show that all processes generate significantly negative values for the global warming impact (GWI) and raw material input (RMI), ranging from −0.6 to −1.3 and −0.6 to −1.6 , when cement substitute is considered as product. Five out of six processes produce negative values for these factors when sand is considered as a product. When operated as a CCS technology without product use, the processes result in GWI values ranging from −0.13 to 0.01 . Our study confirms that industrial mineralization is a promising technology for reducing carbon dioxide emissions. Future process development should focus on replacing carbon dioxide-intensive products while balancing energy and chemical demand with process efficiency.
1. Introduction
Reducing greenhouse gas emissions to limit human-induced climate change is the greatest challenge of our time. It is unlikely to achieve set emission reduction targets without the use of measures to reduce the CO content of the atmosphere [1]. In addition, there will be CO emissions for the foreseeable future that are technically difficult or impossible to avoid. The relevance of carbon dioxide removal (CDR) technologies as a measure to limit climate catastrophe is thus of great importance. CO mineralization, the exothermic reaction of suitable metal oxides MO with CO to form the corresponding carbonate,
is one of the most promising technology routes for this purpose. Unlike other CCS solutions, mineralization can be used to create products and thus generate economic value. The reaction products can be used in the construction sector so that conventional production processes are replaced. Naturally occurring minerals such as olivine and serpentine are often used for mineralization. However, these materials are relatively inert. The minerals must be prepared by mechanical and sometimes thermal treatment prior to reaction. High temperatures, high pressures, and chemicals are used to achieve sufficiently high reaction yields in a reasonable time [2]. The process inputs of the mineralization processes result in additional environmental impacts. The positive effects of mineralization can thus be diminished. In addition, the mining of minerals also represents an interference with natural areas. The metal oxides that are crucial for mineralization are also contained in certain industrial wastes. These do not have to be extracted from nature and are usually already produced in industrialized areas and are therefore more easily available for mineralization [3]. In contrast to natural minerals, which contain mainly MgO as reactive species, suitable industrial waste materials contain mainly the more reactive CaO [4]. Many waste materials, such as MSWI ash, are also created directly with a small grain size and require less or no crushing prior to reaction [5]. The reactions with industrial wastes as feedstock can proceed under milder conditions. An overview of the most relevant waste materials suitable for mineralization occurring in Germany is shown in Table 1. The theoretical CO binding potentials (that is, the amount of CO that could be absorbed by the source materials if mineralization were complete) of the industrial wastes produced in Germany are calculated according to
where the amount of waste i generated is , the concentrations of CaO and MgO in the respective waste material are and and the molar masses are , , and . Data on material composition and other waste materials are presented in the Appendix A in Table A1.
Table 1.
Overview of the generation, theoretical CO sequestration potential, and utilization rate of the waste materials with the greatest theoretical CO sequestration potentials for Germany.
In order to evaluate how effective different mineralization processes are as climate protection measures and whether problem shifts to other environmental effects are to be expected, LCA analyses are of decisive importance. A number of studies on the ecological analysis of mineralization processes are already available. However, these studies differ greatly in their approaches and cover only parts of the possible technologies. Especially in the field of mineralization with industrial waste, there are hardly any studies, with the exception of mineralization with steel slag [10,11,12,13]. In most studies, only a single technology was analyzed and the LCA analyses were carried out under specially adapted conditions. LCA studies on the carbonation of minerals are often aimed solely at CO fixation and not at the utilization of the mineralized material [14]. There is only one LCA study available for mineralization with concrete waste [15], and no LCA studies are available for mineralization with MSWI ash.
In a study by Ostovari et al. in 2020 [10], however, different processes from different technology studies were analyzed under uniform conditions for the first time. Four processes used serpentine, two processes olivine, and one process steel slag as feedstock. It was assumed that either the SiO contained in the product or the entire mineralization product could be used as a cement substitute. Additionally, the potential size of the global market for cement substitutes was estimated. The authors concluded that the market size for novel cement substitutes was about 1 and that the processes could lead to emission reductions of 0.45 to 1.17 fixed CO. In an idealized scenario, 2.6 to 3.2 fixed CO could be achieved.
A similar general comparative analysis for the technologies in question for mineralization with waste materials does not yet exist and there is a lack of suitable analysis parameters and a uniform comparison system. Particularly in the case of using waste materials, due to their limited availability, the question arises as to how the materials can be used most efficiently in order to achieve the greatest possible emission reductions depending on the application energy; CO efficiency might be important as well. In most of the available studies, only the climate impact of the analyzed processes was considered. However, the extent to which mineralization processes lead to problem shifts to other environmental impacts, such as the demand for raw materials, should also be considered in technology assessment.
In this study, a systematic method for the LCA analysis of mineralization processes using industrial waste as feedstock was presented. For this purpose, six mineralization processes were modeled. Five of the processes used waste materials and one process olivine as feedstock. For each of the processes, their climate and material footprints were determined. The study aimed to highlight the current and future potential of different mineralization technologies and to identify environmental hotspots.
2. Materials and Methods
The present analysis was carried out in accordance with common international standards of life cycle assessment [16,17]. A main motivation for mineralization is the reduction of global greenhouse gas emissions. At the same time, a problem shift towards increased material use and associated interference with natural areas is possible, as already observed for other CCU technologies [18]. Therefore, a combination of the climate footprint and a material footprint was applied for impact assessment in this study. The impact assessment indicators used are the global warming impact GWI100 and the raw material input RMI [19,20]. The former, as an output-oriented indicator, measures the greenhouse gas emissions associated with the processes studied as CO equivalents for a reference period of 100 years, while the latter, as an input-oriented indicator, measures the amount of material used in the processes. The RMI can be divided into a biotic and an abiotic part. Because the biotic part is of minor importance for the technologies investigated, only the abiotic part was considered in this study.
2.1. Functional Unit
In previous LCA analyses of mineralization technologies, in most cases, a product, such as a produced amount of building material or a calcium carbonate functional unit, was chosen [12,13,15]. This approach is suitable for comparing a single mineralization process with an existing production process. In this study, however, mineralization processes were to be compared with different target products, some of which have not yet been determined. For this reason, a generalized, input-oriented approach was chosen. The amount of annually generated industrial waste suitable for mineralization is limited and depends on the respective primary production processes. At the same time, waste materials that are particularly suitable for mineralization already have high utilization rates in Germany [7,8,9]. It seems reasonable to use them as efficiently as possible, which is why the use of 1 kg of feedstock suitable for mineralization was chosen as the functional unit for this study. Since the availability of energy and, in the future, of CO from unavoidable point sources could also be a limiting factor for mineralization [21,22], the functional unit was altered in Section 3.4 and to what extent the results of the analysis would change if the use of 1 kWh of electricity or 1 kg of CO were used as the functional unit was examined.
2.2. System Boundary
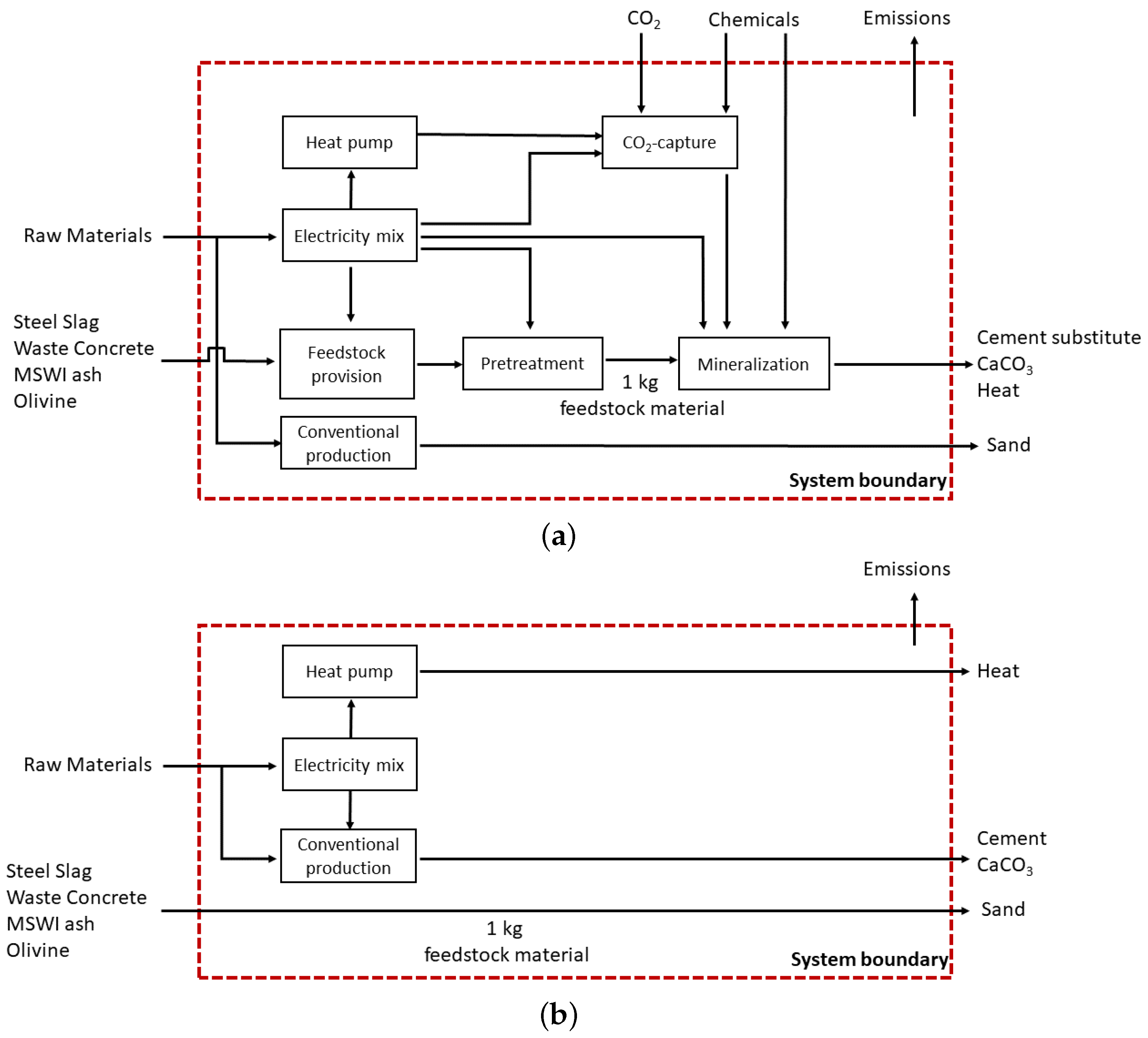
For the LCA analyses, it was assumed that the products generated by mineralization are identical in their properties to the reference products assumed in each case. For this reason, a cradle to gate approach was used. The individual processes were subdivided into the process steps of electricity supply, heat supply, CO capture, feedstock supply, and mineralization. A generalized overview and system description is shown in Figure 1a. Feedstock supply includes the crushing and separation of waste concrete into its constituent parts and the mining of olivine. The further mechanical comminution of the raw materials to reaction size, as well as general process expenses, such as the energy for the compression of the CO, are summarized under the item mineralization.
Figure 1.
General system description of the mineralization processes under consideration (a) and system description of the reference system (b).
The mineralization processes considered result in different products. In order to enable direct comparisons between the processes and to resolve the multifunctionality, the approach of system expansion with substitution was applied in accordance with [23]. In this approach, the environmental impacts that would result from the conventional production of the products are subtracted as an avoided burden from the environmental impacts of the corresponding mineralization processes. In this way, the analyzed processes were compared with a reference system that provides the same products (see Figure 1b). Thus, negative values for the environmental impacts considered, such as a negative GWI value, could result for the processes. This does not necessarily mean that the process under consideration actually ensures negative CO emissions in this amount, but it merely represents the difference compared to the reference system. This approach is only applicable as long as it is guaranteed that the generated products are equivalent in their function to the selected reference, are actually in demand, and can thus actually replace the conventional productions. The size of the sales market may limit the scaling of the processes in addition to the scarcity of feedstocks. In this study, two main products were considered for mineralization. If pure CaCO is produced, use as an industrial chemical was assumed. For the remaining mineralization product (hereafter referred to as Min–Mix), use as a cement substitute was assumed. Both products were produced in the reference system by conventional production processes. Section 3.3 examines how the utilization as another product (for example as aggregate) would affect the environmental impact of the processes. The heat of reaction was considered as an additional product to substitute a heat pump in the reference system. Since the waste materials under consideration have high utilization rates in Germany, this study assumed that utilization competition will occur. For this competition for use, a system expansion was also carried out. For this purpose, it was assumed that the function that the waste materials would fulfill in the reference system must be provided by conventional production processes. If waste materials were used in mineralization, the environmental impact of the processes was increased by a contribution of these conventional processes. It was assumed that the waste materials would otherwise be used as a sand substitute.
2.3. Life Cycle Inventory Processes
2.3.1. Mineralization Processes
In this study, mineralization processes using steel slag, waste concrete, MSWI ash, and olivine as feedstock were analyzed. In each case, technology studies with the best available date were selected. Studies that focused on the production of a product were preferred over those that considered fixation alone without product utilization. Due to the limited number of studies, particularly in the case of carbonation of waste materials, technologies at different stages of development were selected. The processes in the different technology studies were optimized according to different aspects (for example, product quality, or amount of CO fixation). In total, two processes, each using the fine fraction of waste concrete and steel slag as feedstock and one each for mineralization with MSWI ash and olivine, were analyzed. An overview of the processes considered is shown in Table 2 and all relevant process parameters and system diagrams for the individual processes can be found in Table A2, Table A3, Table A4 and Table A5, as well as Figure A1, Figure A2, Figure A3, Figure A4, Figure A5 and Figure A6 in the Appendix A. The processes considered are also described in more detail below.
For the HiGCarb mineralization process according to Pan et al. (2015) [11], LD-slag (LD = Linz–Donawitz) with a CaO content of 37.2 % and a MgO content of 8.2 % and CO containing waste gases was used. Therefore, provided a point source was available, there was no need for upstream CO capture. The steel slag was crushed to a size of 21 µm prior to the reaction. The process analyzed in this study was carried out at atmospheric pressure and room temperature.
In the Slag2PPC process according to Said et al. (2016) [24], LD-slag was reacted with pure CO. The slag used had a CaO content of 51.4% and an MgO content of 1.5%. As a product, CaCO with a purity of 99.5% could be produced. Before the reaction, the slag was crushed from an initial particle size of 5 to 250 . An NHCl solution was also used to increase the reaction rate. The reaction proceeded under atmospheric pressure and room temperature.
For mineralization with waste concrete, only the fine fraction of the demolished concrete, which contains part of unreacted cement, can be used. For both mineralization routes considered, pre-crushing of the concrete to 500 was modeled according to [25]. The coarser fractions of the concrete were considered as additional by-products (see Section 2.3.1).
For mineralization according to Katsuyama et al. (2005) [26], a concrete fine fraction with a maximum grain size of <200 µm and a CaO content of 27.3%, and a degree of mineralization before mineralization of 11%, was used. The reaction was carried out at 50 °C and 30 bar with pure CO. CaCO with a purity of >98% could be received as a product. This process will be referred to as Conc-Min1 in the following.
In a process according to Pasquier et al. (2018) [25], which is referred to as Conc-Min2 in the following, waste concrete with a CaO content of 27.3% was used. However, 44.3% of this had already reacted to CaCO. Further comminution starting from a particle size of < 500 was not performed. Mineralization was carried out at 10.3 bar, at room temperature, and with the modeled exhaust gases of a cement plant (18.2% CO). A separation of the CO was therefore not necessary.
In the process according to Chang et al. (2015) [5], boiler ash from waste incineration was reacted with pure CO. The ash used had a CaO content of 16.4% and an MgO content of 1.9%. Of the CaO fraction, 15.7%was already present as CaCO. An ash fraction with a size of 125 to 350 was used for the reaction. The process is named MSWI-Min in the following.
For mineralization with minerals, a process was considered by Eikeland et al. (2015), which used olivine as feedstock [27]. This process is referred to as Oliv-Min in this study. The mineral source in this study was assumed to be Norwegian olivine based on Kremer et al. (2019) with a CaO content of 0.2% and an MgO content of 41.1% [28]. Energy requirements for mining and crushing were calculated analogous to Hangx and Spiers (2009) [29]. A similarity to the mining of gold and iron was assumed. The olivine was crushed to 10 and reacted with pure CO at 190 and 100 bar. To accelerate the reaction, NaHCO per kg olivine was used.
Table 2.
Overview of mineralization routes analyzed.
Table 2.
Overview of mineralization routes analyzed.
| Process Name | Feedstock | TRL-Level | Literature Source |
|---|---|---|---|
| HiGCarb | Steel slag | 4 | Pan et al., 2015 [11] |
| Slag2PCC | Steel slag | 5 | Said et al., 2016 [24] |
| Conc1-Min | Waste concrete | 4 | Katsuyama et al., 2005 [26] |
| Conc2-Min | Waste concrete | 5 | Pasquier et al., 2018 [25] |
| MSWI-Min | MSWI-ash | 4 | Chang et al., 2015 [5] |
| Oliv-Min | Olivine | 3 | Eikeland et al., 2015 [27] |
2.3.2. Energy
The processes in question do have a considerable energy requirement for various process stages. The German electricity mix of the year 2021 was modeled as the supply process on the basis of data from the Frauenhofer ISE energy chart (see Table A7) [30]. A heat pump with a Coefficient of Performance of COP = 2.2 was modeled for the heat supply of the capture [31]. The energy input for mechanical comminution was estimated using the Bond equation if no primary data were available [29]. The work indices used are shown in Table A3 in the Appendix A. If no data regarding the compression of was available, the behavior of an ideal gas and an isothermal compression with a 90% efficiency was assumed [26].
2.3.3. CO-Source
A cement plant was considered as CO-source (see Table A6). For all processes that could use CO from flue gases, the sequestration of CO was assumed as burden free and, apart from the CO-uptake, it was assumed that the capture was not associated with any environmental impacts. For all processes using pure CO, capture was modeled according to Chauvy et al. [32].
2.3.4. Products
Different products could be generated by the considered processes. In the processes Slag2PCC and Conc1-Min, CaCO could be produced at a high purity of at least 98% in each case. It thus exceeds the technical standard and could even be used as a pure chemical if necessary. In this study, we assumed that the production of industrial CaCO could be replaced. For the remaining mineralization product—hereinafter referred to as Min–Mix—in some cases, no use was considered in the respective technology studies. However, various studies showed that the mineralization products had pozzolanic properties and could replace certain proportions of cement in concrete [33]. In this study, it was assumed that the Min–Mix could be used as a cement substitute for all processes considered and could replace up to 30–40% of conventional Portland cement [33]. In the processes using waste concrete, gravel and sand were obtained as a by-product when separating the waste concrete into its constituents. These were assumed to be identical in quality and applicability to gravel and sand from conventional production. In addition, heat is released during mineralization due to the exothermic reaction. This heat could potentially be used to replace other heat sources. One potential consumer is the CO-capture itself. For the analysis, we assumed that the heat generated during the reaction could be fully utilized and replace a heat pump as described in Section 2.3.2. An overview of the environmental impacts of the products considered in conventional production is shown in Table 3.
Table 3.
Environmental impacts of the products considered by conventional production.
3. Results
3.1. Base Case
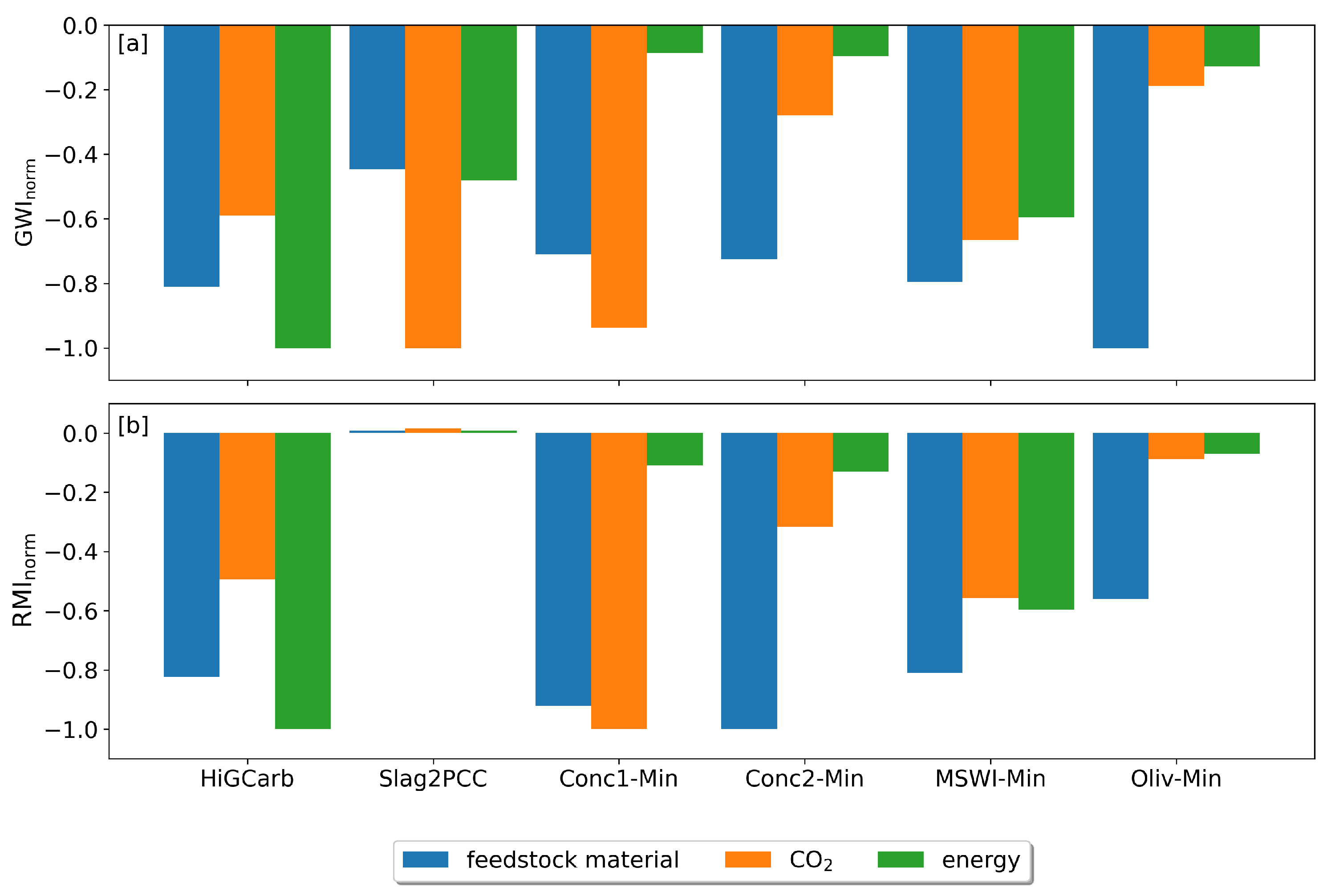
With the scenario parameters described earlier, the results for the climate footprint (a) and material footprint (b) are as shown in Figure 2. The process contributions are described in more detail in Section 2.2. The contributions that led to an increase or decrease of the footprints were marked in color.
Figure 2.
Climate footprint (GWI 100) (a) and RMI (b) of the mineralization processes considered. The respective influences of the individual process parts are marked as colored bars. Bars above the zero line stand for process parts that lead to an increase in CO emissions and material consumption and bars below for those that lead to a reduction. The overall balance is marked in black.
For the climate footprint, values from −0.5 to −1.2 resulted. A negative value here meant a reduction of greenhouse gas emissions compared to the production of the respective products by conventional processes. The strongest reduction per input material resulted for the Oliv-Min process, the weakest for the Slag2PCC process.
For all processes, the emission reduction due to product substitution (cement substitute, PCC, heat) clearly outweighed that due to CO fixation. However, a larger CO uptake also resulted in a larger product volume, which explains the good performance of the Oliv-Min process.
Relevant process-related emissions resulted mainly for the processes that used chemicals for reaction acceleration (Slag2PCC, Oliv-Min), as well as for the processes that used waste concrete and olivine. The crushing of concrete and olivine required more energy than the other processes did. Only part of the concrete (the fine fraction) could be used for mineralization, and the relatively unreactive olivine had to be crushed to a very small particle size. The energy requirement increased rapidly with the target particle size. For the olivine-min process, there was also a large energy requirement from the reaction pressure. For the HIGCarb and MSWI-Min processes, the lowest process emissions occurred. In the former case, these resulted mainly from mechanical pretreatment and in the latter case from CO capture.
In a comparison of the waste concrete and steel slag processes with each other, the PCC-producing processes (Slag2PCC, Beton-Min1) performed worse in each case, although the conventional production of PCC was associated with greater emissions than that of cement (Table 3). This was due to the higher process emissions resulting from the use of chemicals and a lower CO uptake and consequently a lower product quantity.
For the climate footprint, the competition for use played a subordinate role. For the material footprint (Figure 2b), negative values of −0.66 to −1.17 resulted for five processes. Mineralization could thus achieve a simultaneous reduction of the climate and material footprint in these cases. Problem shifting was avoidable, unlike for many other CCU processes.
The largest RMI reductions resulted for the concrete-using processes. For the Slag2PCC process, there was an increase in RMI of . As with the climate footprint, the product effect was also decisive for the reduction of the material footprint. For the waste concrete using processes, in addition to the substitution of PCC, cement, and heat, there was also a large contribution for the provision of aggregates (sand, gravel) from the crushing process of the waste concrete. Although these were not directly used in the mineralization process, they were produced as a by-product and were included in the contribution of concrete crushing.
In contrast to the climate footprint, the utilization competition was very decisive for the material footprint of the processes using waste materials. This was due to the large material demand of the assumed alternative use of the waste materials compared to their climate impact. For the competition for use of the concrete-using processes; larger values resulted than for the other processes. This was due to the fact that only the fine fraction of concrete, which amounts to about 22% of the waste concrete, could be used for mineralization. However, it was assumed that the total quantity of concrete could alternatively be used as aggregate. This large contribution was offset by the previously-mentioned coarse fractions that were obtained as a by-product. If the waste concrete was not subject to any competition for use, even significantly greater RMI reductions of more than 5 would result.
Additional results are shown in Appendix in Figure A7, Figure A8, Figure A9 and Figure A10 in the Appendix A. The CO source, the supply processes of the power supply, the product produced, and the chemical composition of the feedstocks were varied individually. The CO supply by direct air capture (DAC), a power supply for the year 2050 based entirely on renewable energies, sand instead of cement substitute as a product, and a CO sequestration potential of the feedstock materials that corresponds to the extreme values found in the literature were used.
3.2. Sensitivity Analysis
The mineralization processes analyzed in this study describe the current state-of-the-art as an example. They are classified at a technology-readiness level (TRL) of 3–5 and it is expected that, in the course of further research and future scaling, the processes will be developed further in various parameters, resulting in improved environmental performance. The extent to which the environmental impact of the processes will change with these parameters was analyzed in the form of a local sensitivity analysis. The following relevant parameters were identified: environmental impact of the substituted product, amount of CO bound in the reaction, amount of chemicals used, total amount of electrical energy used, efficiency of the heat pump used, and the amount of industrial waste used that is subject to utilization competition. Figure 3 shows the change in the environmental impact of the processes in absolute values, if the parameters were individually decreased by 5%.
Figure 3.
Sensitivity analysis to the processes under consideration for the GWI (a) and RMI (b). Selected parameters were individually increased by 5%.
The environmental impact of the product to be substituted influenced the overall environmental impact in that the products produced in the mineralization processes did not have to be produced by conventional processes and the associated environmental impacts could be avoided. This effect could be increased if products were manufactured in the mineralization processes whose conventional production caused higher environmental impacts than cement substitute, as assumed in this study. Otherwise, it could be assumed that the product effect would become less relevant due to further developments and efficiency increases in the conventional reference processes.
The amount of CO captured during mineralization affected the environmental impact of the processes in several ways. If more CO was converted in the reaction, the amount of product would increase by exactly this value. On the other hand, more CO would have to be captured and the energy demand and sorbent input would increase. In addition, the climate footprint would be directly reduced by the amount of bound CO. An increase of the CO reaction amount is possible in different ways. For example, the reaction conditions could be adjusted, the particle size of the feedstock could be reduced by mechanical comminution, and chemicals could be used to increase the solubility of Ca ions. If a process already results in a complete mineralization of the feedstock, the fixed amount of CO could only be increased by using more potent feedstocks with a higher content of reactive metal oxides.
These adjustments could lead to an increase in energy and chemical requirements, which also directly would affect the environmental impact of the processes. Further research and variation of process parameters should be performed in combination with LCA analyses to find environmental optima.
In the sensitivity analysis for the GWI, the largest effect for five processes resulted for the variation of the product GWI. A reduction of the product GWI by 5% resulted in an increase of the GWI of 0.022 to 0.062 , which corresponded to a relative increase of 4–5%. A reduction of the amount of converted CO resulted in a lower CO fixation and a decrease in product quantity. These effects were slightly diminished by the a reduced effort for CO capture. A GWI increase of 0.002 to 0.037 or 0.4–3% resulted.
For the Slag2PCC process, the largest effect resulted from the reduction of the chemical input, which made for a decrease in GWI of . For the Oliv-Min process, a decrease of the chemical input by 5% led to a decrease of the GWI by .
A decrease of the energy input was mainly relevant for the energy-intensive processes Conc1-Min, Conc2-Min and Oliv-Min. The five percent decrease resulted in relative variations of 0.1–0.5%. Variations in utilization competition and heat pump efficiency did not result in significant variation of the GWI.
For the RMI, the variation of the product RMI represented the most important influencing factor for four processes. Once again, the processes that produced the largest amount of Min–Mix were most strongly affected.
For the processes Conc1-Min and Conc2-Min, the largest effect resulted from varying the fraction of waste material that is subject to competition for use. For the waste concrete processes, a 5% decrease in the quantity subject to competition for use resulted in a 20% decrease of the RMI, and for the other waste materials, in a decrease of about 5%. The significantly larger effect for the waste concrete processing operations can be explained by the low proportion of waste concrete that could be used for mineralization.
The effect of the decrease in chemical and energy use had a weaker impact on the RMI than on the GWI. The five percent increase resulted in a maximum increase of the RMI by 6% and 1%, respectively.
3.3. Product Effect
In the preceding LCA and sensitivity analyses, the product effect was identified as the most decisive influencing factor on the environmental impacts of the processes under consideration. Which products can actually be generated by mineralization and which conventional products can be replaced as a consequence are still part of current research. In addition, when using wastes, harmlessness analyses must be carried out for the actual application as a building material and corresponding standards must be created. In addition, the conventional reference processes will also potentially evolve in the future. For the cement industry in particular, a great need for reform is seen due to the high greenhouse gas intensity of the industry. Therefore, Figure 4 shows the environmental impacts of the processes GWI and RMI as a function of a variable product environmental impact for the Min–Mix GWI and RMI. Values for the GWI of 0.86 to 0 and for the RMI of 1.73 to 0 were calculated. The extreme values correspond to the substitution of Portland cement and no product effect, i.e., the consideration of the processes as a pure CCS measure. For the climate footprint, target values of the cement industry for the years 2030 and 2050 are shown as vertical lines as additional reference values. For the GWI and RMI values of cement, the environmental impacts of the processes correspond to the values in Figure 2. For other products, such as CaCO, no variation in environmental impacts was considered.
Figure 4.
Total climate (a) and material (b) footprint of the mineralization processes considered as a function of the corresponding footprint of the substituted product. Values are given from the current GWI and RMI value of cement to 0 kg CO/kg product and product respectively, i.e., no avoided burden through product substitution. Possible developments of the GWI value of cement for the years 2030 and 2050 based on a roadmap of the European Cement Association [34] are shown as vertical lines.
Since different product quantities were generated in the processes, the environmental impacts of the processes depended to varying degrees on the environmental impacts of the Min–Mix, resulting in different slopes. The processes with a large Min–Mix quantity Oliv-Min and, to a lesser extend HiGCarb, were most strongly affected, while the CaCO-producing processes Slag2PCC and Conc1-Min were least affected. This led in part to a change in the ranking of the processes as a measure for reducing the environmental impacts considered. If no product effect was assumed for the Min–Mix, GWI values of −0.13 to 0.01 resulted. The lowest value resulted for the process Slag2PCC. Thus, the processes with the lowest GWI reductions Slag2PCC and Conc-Min1 developed into the processes with the highest GWI reductions. For the process Conc-Min2, there was even an increase in total emission compared to the reference scenario.
While five processes resulted in significant reductions in material consumption with an RMI value of the Min–Mix of , all processes considered led to an increase of RMI with an RMI above . Irrespective of the RMI of the Min–Mix, the two waste concrete processing processes Conc-Min1 and Conc-Min2 provided the lowest RMI values, while the processes Slag2PCC and Oliv-Min performed worst in terms of material use over almost the entire value range.
3.4. Effect of Functional Unit
Due to the limited availability of waste materials, the mineralization processes in the previous analyses were investigated on the basis of the functional unit of of the starting material. For the GWI, this functional unit is referred to as in the following with the unit . In this way, the processes could be evaluated in terms of their efficiency of feedstock use. In the following, the efficiency of the processes was investigated in terms of the use of energy and CO by converting the previous results to two new functional units and with the units kg CO eq./(kW h) and kg CO eq., respectively. The calculation was performed as shown below for the GWI with the amount of feedstock , the input quantity of CO , and the total electricity demand (including electricity demand of heat pumps) :
RMI was calculated in the same way. The concrete values for , , and can be found in Table A2 in the Appendix A. Since the inputs energy and CO are identical for all processes, the change of the functional unit allowed direct comparisons between processes with different inputs. Both inputs can also be limiting factors for scaling CCU processes. The question of which technology is most promising may differ depending on perspective. At the same time, different stakeholders, such as CO point source operators, might have an interest in achieving the greatest possible emission reductions with the feedstocks they provide. To enable an easy comparison of the results for the different functional units, the values for one functional unit and one indicator each were normalized to the value of the largest reduction of the corresponding indicator (Figure 5). A value of −1 corresponds to the largest reduction of the corresponding indicator for a functional unit. The data basis for material efficiency corresponds to the values in Figure 2. The most material-efficient processes were, at the same time, not the most efficient in terms of the use of energy and CO.
Figure 5.
Climate (a) and material (b) footprints of the processes considered as depending on the input-based functional units 1 kg feedstock material input, 1 kg CO input and 1 kWh energy input. The values are normalized to the amount of the largest GWI reduction to a functional unit in each case, by dividing the results of all processes to one functional unit each by the value of the largest reduction of the respective environmental impact using this functional unit.
In terms of GWI (Figure 5a), the two CaCO producing processes (Slag2PCC and Conc1-Min) were the least material-efficient in comparison, but had the highest CO efficiency. In terms of energy efficiency, each performed worse than the other processes using the same feedstock. Due to the high CO uptake per kg of starting material and the resulting larger product volume, the Oliv-Min process had the greatest material efficiency. However, it also had the lowest CO efficiency and the third lowest energy efficiency. The lowest energy efficiency was achieved by the two waste concrete processes, Conc1-Min and Conc2-Min. Overall, the processes differed most in terms of their energy efficiency and second most in terms of their CO efficiency. For the material efficiency, the values between the processes differed by a maximum of 60% of the maximum CO emission reduction, whereas the process HIGCarb provided for a twelve times higher emission reduction with a given amount of energy than the process Conc1-Min.
For the RMI (Figure 5b), the Slag2PCC process resulted in positive values regardless of the functional unit and thus an increase in material input. Apart from this, the ranking of the processes in terms of CO efficiency was the same as for the GWI. The processes also performed similarly in terms of energy efficiency. The HiGCarb and MSWI-Min processes had the greatest energy efficiency for reducing the RMI. For the RMI, however, the Oliv-Min process performed worse than the two concrete processes, Conc1-Min and Conc2-Min. This resulted from the significantly higher energy requirement for Oliv-Min. Depending on the objectives and parameters, such as the availability of industrial waste materials and energy, various processes were the most efficient from an ecological point of view.
3.5. Reduction Potentials
If the total amounts of waste concrete, steel slag, and municipal waste incineration ash would be used under the assumed conditions in the most material-efficient processes in each case, emission reductions of are possible for Germany, with a simultaneous reduction in RMI of . The CO emission reduction thus corresponds to 2.4% of the German CO emissions of 2021 [35] and 78.5% of the CO emissions of the German cement industry of 2021 [36]. The Min–Mix quantity produced of corresponds to 50.6% of the quantity of cement produced in Germany in 2021 [37]. By assuming that the maximum substitution rate for cement is 40%, the maximum market size for cement substitutes in Germany would be exceeded by at least and the size of the market could be a limit to the potential for reducing environmental impacts from mineralization with industrial wastes.
4. Discussion
In the analyses, the effect of product substitution on the environmental impacts of the processes was shown to be the most decisive and, with respect to the climate footprint, led to a greater reduction than the effect of CO fixation. Further research on the development of mineralization processes should therefore target products whose conventional production is associated with high environmental impacts. If a CO-intensive product such as cement or CaCO could be replaced, the energy requirements for CO capture and process execution are of little significance for the GWI, but the use of chemicals can significantly reduce the CO emission. For the feedstocks for which two different process routes were investigated, the processes in which no CaCO was produced performed better for both the GWI and the RMI. However, this only applies as long as cement substitutes can be produced and an efficient feedstock use is prioritized. If the environmental impacts of the replaced products are smaller, however (for example because it is only possible to produce products whose conventional production is less environmentally relevant or because existing processes continue to develop), this has a significant impact on the ability of the mineralization processes to reduce environmental impacts. As a result, process inputs such as energy and chemical requirements could become much more significant. If no product is produced, only five processes could achieve CO emission reductions of −0.14 to −0.06 and none of the processes could achieve RMI reductions. For the material footprint, the question of whether the waste materials are currently already being used elsewhere also plays a major role. Even if the existing applications would have to be served by alternative production processes, this results in RMI reductions of −1.17 to −0.66 for five of the processes. If this competition for use does not occur, significantly greater reductions are possible.
5. Conclusions
The mineralization of CO is a promising way to reduce greenhouse gas emissions by fixing CO and replacing conventional production processes. In this work, a methodology was developed to evaluate the efficiency for reducing the climate and material footprint of different mineralization processes in terms of their material, energy, and CO input. A focus was placed on mineralization with waste materials and, for the first time, a detailed life cycle assessment comparison of the different feedstocks under consideration was carried out.
Under the analyzed scenario conditions, all processes were able to provide for a reduction of the climate footprint of −1.30 to −0.58 , with five processes additionally providing for a reduction of the material footprint RMI. The largest GWI reduction per amount of feedstock used was achieved in the baseline scenario by the Oliv-Min process. However, the lower the product effect, the better the other processes perform in comparison. The processes with the highest energy efficiency are those that use steel slag and MSWI-ash as feedstock, and the highest CO-emission reduction per amount of CO used is achieved by the processes that produced CaCO (Slag2PCC and Conc1-Min).
A theoretical reduction of with a simultaneous reduction in RMI of were calculated for Germany, if the total amount of steel slag, concrete waste, and MSWI-ash produced annually were used for mineralization. This corresponds to about twice the theoretical CO binding potential. This again shows the relevance of the product effect, which can compensate for any process related emissions easily.
It was shown that all the processes analyzed can be used to reduce CO emissions. Which processes are best suited for this purpose depends on the respective parameters, in particular the product use, and the chosen scope of consideration.
Author Contributions
Conceptualization, F.-E.D. and S.B.; methodology, F.-E.D.; software, F.-E.D.; validation, F.-E.D.; formal analysis, F.-E.D.; investigation, F.-E.D.; data curation, F.-E.D.; writing—original draft preparation, F.-E.D.; writing—review and editing, F.-E.D.; visualization, F.-E.D.; supervision, S.B.; project administration, F.-E.D. and S.B.; funding acquisition, S.B. All authors have read and agreed to the published version of the manuscript.
Funding
This research was funded by the German Federal Ministry of Education and Research (BMBF). The authors are thankful for the support within the framework of CO2-WIN (Funding Number: 033RC016B).
Data Availability Statement
The data presented in this study are available on request from the corresponding author.
Conflicts of Interest
The authors declare that they have no known competing financial interest or personal relationships that could have appeared to influence the work reported in this paper.
Abbreviations
The following abbreviations are used in this manuscript:
| LCA | Life Cycle Assessment |
| GWI | Global warming impact |
| RMI | Raw material input |
| CCU | Carbon capture and utilization |
| CCS | Carbon capture and storage |
| CDR | Carbon dioxide removal |
| PCC | Precipated Calcium Carbonate |
| TRL | Technology Readiness Level |
| COP | Coefficient of performance |
Appendix A
Figure A1.
System description of the mineralization process Conc1-Min.
Figure A1.
System description of the mineralization process Conc1-Min.

Figure A2.
System description of the mineralization process Conc2-Min.
Figure A2.
System description of the mineralization process Conc2-Min.

Figure A3.
System description of the mineralization process MSWI-Min.
Figure A3.
System description of the mineralization process MSWI-Min.

Figure A4.
System description of the mineralization process Oliv-Min.
Figure A4.
System description of the mineralization process Oliv-Min.

Figure A5.
System description of the mineralization process Slag2PCC.
Figure A5.
System description of the mineralization process Slag2PCC.

Figure A6.
System description of the mineralization process HiGCarb.
Figure A6.
System description of the mineralization process HiGCarb.

Table A1.
Overview of the generation, theoretical CO sequestration potential and utilization rate different waste materials for Germany.
Table A1.
Overview of the generation, theoretical CO sequestration potential and utilization rate different waste materials for Germany.
| Feedstock Material | Waste Generation DE [Mt a] | [%] | [%] | [Mt CO] | Utilization Rate |
|---|---|---|---|---|---|
| waste concrete | 24.6 [6] | 26.4–26.8 [38] | 0.63–1.2 [38] | 3.1–5.5 | 94% [7] |
| steel slag | 5.4 [8] | 25–57 [39,40,41] | 1.1–3.3 | 92% [8] | |
| MSWI ash | 5.2 [9] | 16.4–21.1 [5] | 1.9–2.1 [5] | 0.8–1.0 | 94% [9] |
| paper industry waste | 7.1 [42] | 2.8–19 [43] | 0.2–1.1 | ||
| red mud | 1.7 [44,45,46] | 0-14 [47] | 0–0.2 | ||
| coal ash | 15.6 [48] | 1–50 [39,48,49] | 1.1–3.9 | 87% [48,50] | |
| wood power plant ash | 1.8 [51,52] | 39.2 [51] | 6.4 [51] | 0.08 |
Table A2.
Overview of mineralization routes analyzed with the total energy demand , the CO-input and the resulting product amount .
Table A2.
Overview of mineralization routes analyzed with the total energy demand , the CO-input and the resulting product amount .
| Name | Feedstock | T | p | TRL | [kg] | [kg] | |
|---|---|---|---|---|---|---|---|
| HiGCarb | Steel slag | 50 °C | 30 bar | 4 | 0.040 | 0.12 | 1.12 |
| Slag2PCC | Steel slag | RT | 10.3 bar | 5 | 0.028 | 0.038 | 0.53 |
| Conc1-Min | Waste concrete | RT | 1 bar | 4 | 0.011 | 0.065 | 0.92 |
| Conc2-Min | Waste concrete | RT | 1 bar | 5 | 0.0081 | 0.22 | 1.11 |
| MSWI-Min | MSWI-ash | 25 °C | 1 bar | 4 | 0.018 | 0.10 | 1.10 |
| Oliv-Min | Olivine | 190 °C | 100 bar | 3 | 0.21 | 0.45 | 1.45 |
Table A3.
Overview of mineralization routes analyzed with the CaO and MgO content and and the work indices W.
Table A3.
Overview of mineralization routes analyzed with the CaO and MgO content and and the work indices W.
| Name | Feedstock | [%] | [%] | W [kW h t] |
|---|---|---|---|---|
| HiGCarb | Steel slag | 27.3 | 12.16 [53] | |
| Slag2PCC | Steel slag | 27.3 | 12.16 [53] | |
| Conc1-Min | Waste concrete | 51.40 | 1.50 | 13.49 [53] |
| Conc2-Min | Waste concrete | 37.2 | 8.2 | 13.49 [53] |
| MSWI-Min | MSWI-ash | 16.4 | 1.9 | |
| Oliv-Min | Olivine | 0.2 | 41.1 |
Table A4.
Life cycle inventory of mineralization processes according to [5,11,24,25,26,27].
Table A4.
Life cycle inventory of mineralization processes according to [5,11,24,25,26,27].
| Inputs | HiGCarb | Slag2PCC | Conc1-Min | Conc2-Min | MSWI-Min | Oliv-Min | ||
|---|---|---|---|---|---|---|---|---|
| Steel Slag | kg | 1 | 1 | |||||
| Concrete waste fine fraction | kg | 1 | 1 | |||||
| MSWI-Ash | kg | 1 | ||||||
| Olivine | kg | 1 | ||||||
| CO | kg | 0.12 | 0.038 | 0.065 | 0.22 | 0.10 | 0.45 | |
| Electricity | kWh | 0.040 | 0.028 | 0.011 | 0.008 | 0.018 | 0.21 | |
| water | kg | 50 | 9 | 0.035 | 5 | |||
| NHCl | kg | 0.48 | ||||||
| NaHCO | 0.21 | |||||||
| Outputs | ||||||||
| Min–Mix | kg | 1.12 | 0.54 | 0.92 | 1.11 | 1.10 | 1.45 | |
| CO | kg | 0.0032 | 0.11 | |||||
| CaCO | kg | 0.50 | 0.15 |
Table A5.
Life cycle inventory of pretreatment processes according to [25,29].
Table A5.
Life cycle inventory of pretreatment processes according to [25,29].
| Inputs | Concrete Crushing | Olivine Mining | ||
|---|---|---|---|---|
| Concrete waste | kg | 4.63 | ||
| Olivine (in ground) | kg | 1 | ||
| Electricity | kWh | 0.36 | 0.0017 | |
| Water | kg | 0.64 | ||
| Outputs | ||||
| Concrete waste fine fraction | kg | 1.00 | ||
| Gravel | kg | 2.48 | ||
| Sand | kg | 1.14 | ||
| Olivine | kg | 1 |
Figure A7.
Climate footprint (GWI 100) of the mineralization processes considered for different CO sources.
Figure A7.
Climate footprint (GWI 100) of the mineralization processes considered for different CO sources.

Table A6.
Life cycle inventory of the CO sources according to [32,54].
Table A6.
Life cycle inventory of the CO sources according to [32,54].
| Input | Point Source | DAC |
|---|---|---|
| electricity [MJ] | 0.356 | 2.52 |
| heat [MJ] | 2.86 | 11.9 |
| monoethanolamine [g] | 1.52 | 7.5 |
| steel [g] | 0.046 | |
| stainless steel [g] | 0.00142 | |
| aluminium [g] | 0.0041 | |
| polyurethane [g] | 0.00054 | |
| copper [g] | 0.00052 | |
| concrete [g] | 0.00036 |
Table A7.
Composition of the power supply for the years 2021 and 2050.
Table A7.
Composition of the power supply for the years 2021 and 2050.
| Energy Source | Energy 2021 [%] | Energy 2050 [%] |
|---|---|---|
| wind | 24.1 | 76.8 |
| lignite | 20.2 | |
| nuclear | 12.3 | |
| photovoltaic | 10.7 | 19.2 |
| natural gas | 10.4 | |
| hard coal | 9.4 | |
| biogas | 8.8 | |
| hydro | 4.0 | 4.0 |
| oil | 0.3 |
Figure A8.
Climate footprint (GWI 100) of the mineralization processes considered for different electricity supply processes.
Figure A8.
Climate footprint (GWI 100) of the mineralization processes considered for different electricity supply processes.

Figure A9.
Climate footprint (GWI 100) of the mineralization processes considered for different target product.
Figure A9.
Climate footprint (GWI 100) of the mineralization processes considered for different target product.

Figure A10.
Climate footprint (GWI 100) of the considered mineralization processes at different compositions of the feedstock materials and thus different sequestration potentials.
Figure A10.
Climate footprint (GWI 100) of the considered mineralization processes at different compositions of the feedstock materials and thus different sequestration potentials.

References
- IPCC. Climate Change 2022: Mitigation of Climate Change; IPCC: Geneva, Switzerland, 2022. [Google Scholar]
- Romanov, V.; Soong, Y.; Carney, C.; Rush, G.E.; Nielsen, B.; O’Connor, W. Mineralization of Carbon Dioxide: Literature Review. ChemBioEng Rev. 2015, 2, 231–256. [Google Scholar] [CrossRef]
- Renforth, P.; Washbourne, C.L.; Taylder, J.; Manning, D.A.C. Silicate production and availability for mineral carbonation. Environ. Sci. Technol. 2011, 45, 2035–2041. [Google Scholar] [CrossRef]
- Bobicki, E.R.; Liu, Q.; Xu, Z.; Zeng, H. Carbon capture and storage using alkaline industrial wastes. Prog. Energy Combust. Sci. 2012, 38, 302–320. [Google Scholar] [CrossRef]
- Chang, E.E.; Pan, S.Y.; Yang, L.; Chen, Y.H.; Kim, H.; Chiang, P.C. Accelerated carbonation using municipal solid waste incinerator bottom ash and cold-rolling wastewater: Performance evaluation and reaction kinetics. Waste Manag. 2015, 43, 283–292. [Google Scholar] [CrossRef]
- Destatis. Umwelt: Abfallentsorgung 2017. Available online: https://www.destatis.de/DE/Themen/Gesellschaft-Umwelt/Umwelt/Abfallwirtschaft/Publikationen/Downloads-Abfallwirtschaft/abfallentsorgung-2190100177004.pdf?__blob=publicationFile (accessed on 1 February 2023).
- Bundesverband Baustoffe—Steine und Erden e.V. Mineralische Bauabfälle Monitoring 2016; Bundesverband Baustoffe—Steine und Erden e.V.: Berlin, Germany, 2016. [Google Scholar]
- Merkel, T. Erzeugung und Nutzung von Eisenhüttenschlacken in Deutschland und Europa 2017. Rep. FEhS Inst. 2018, 25, 34–36. [Google Scholar]
- Alwast, H.; Riemann, A. Verbesserung der umweltrelevanten Qualitäten von Schlacken aus Abfallverbrennungsanlagen; Federal Environment Agency: Dessau-Roßlau, Germany, 2010. [Google Scholar]
- Ostovari, H.; Sternberg, A.; Bardow, A. Rock ‘n’ use of CO2: Carbon footprint of carbon capture and utilization by mineralization. Sustain. Energy Fuels 2020, 4, 4482–4496. [Google Scholar] [CrossRef]
- Pan, S.Y.; Chen, Y.H.; Chen, C.D.; Shen, A.L.; Lin, M.; Chiang, P.C. High-Gravity Carbonation Process for Enhancing CO2 Fixation and Utilization Exemplified by the Steelmaking Industry. Environ. Sci. Technol. 2015, 49, 12380–12387. [Google Scholar] [CrossRef]
- Mattila, H.P.; Hudd, H.; Zevenhoven, R. Cradle-to-gate life cycle assessment of precipitated calcium carbonate production from steel converter slag. J. Clean. Prod. 2014, 84, 611–618. [Google Scholar] [CrossRef]
- Di Maria, A.; Snellings, R.; Alaerts, L.; Quaghebeur, M.; van Acker, K. Environmental assessment of CO2 mineralisation for sustainable construction materials. Int. J. Greenh. Gas Control 2020, 93, 102882. [Google Scholar] [CrossRef]
- Nduagu, E.; Bergerson, J.; Zevenhoven, R. Life cycle assessment of CO2 sequestration in magnesium silicate rock—A comparative study. Energy Convers. Manag. 2012, 55, 116–126. [Google Scholar] [CrossRef]
- Xuan, D.; Zhan, B.; Poon, C.S.; Zheng, W. Carbon dioxide sequestration of concrete slurry waste and its valorisation in construction products. Constr. Build. Mater. 2016, 113, 664–672. [Google Scholar] [CrossRef]
- DIN EN ISO 14040; Environmental Management—Life Cycle Assessment—Principles and Framework. DIN: Berlin, Germany, 2009.
- DIN EN ISO 14044; Environmental Management—Life Cycle Assessment—Requirements and Guidelines. DIN: Berlin, Germany, 2018.
- Hoppe, W.; Thonemann, N.; Bringezu, S. Life Cycle Assessment of Carbon Dioxide-Based Production of Methane and Methanol and Derived Polymers. J. Ind. Ecol. 2018, 22, 327–340. [Google Scholar] [CrossRef]
- UNEP. Global Guidance for Life Cycle Impact Assessment Indicators: Volume 1. 2016. Available online: https://www.lifecycleinitiative.org/training-resources/global-guidance-lcia-indicators-v-1/ (accessed on 1 February 2023).
- Mostert, C.; Bringezu, S. Measuring Product Material Footprint as New Life Cycle Impact Assessment Method: Indicators and Abiotic Characterization Factors. Resources 2019, 8, 61. [Google Scholar] [CrossRef]
- Schmid, C.; Hahn, A. Potential CO2 utilisation in Germany: An analysis of theoretical CO2 demand by 2030. J. CO2 Util. 2021, 50, 101580. [Google Scholar] [CrossRef]
- UBA. Wege in Eine Ressourcenschonende Treibhausgasneutralität; Umweltbundesamt: Dessau-Roßlau, Germany, 2019. [Google Scholar]
- Müller, L.J.; Kätelhön, A.; Bachmann, M.; Zimmermann, A.; Sternberg, A.; Bardow, A. A Guideline for Life Cycle Assessment of Carbon Capture and Utilization. Front. Energy Res. 2020, 8, 15. [Google Scholar] [CrossRef]
- Said, A.; Laukkanen, T.; Järvinen, M. Pilot-scale experimental work on carbon dioxide sequestration using steelmaking slag. Appl. Energy 2016, 177, 602–611. [Google Scholar] [CrossRef]
- Pasquier, L.C.; Kemache, N.; Mocellin, J.; Blais, J.F.; Mercier, G. Waste Concrete Valorization; Aggregates and Mineral Carbonation Feedstock Production. Geosciences 2018, 8, 342. [Google Scholar] [CrossRef]
- Katsuyama, Y.; Yamasaki, A.; Iizuka, A.; Fujii, M.; Kumagai, K.; Yanagisawa, Y. Development of a process for producing high-purity calcium carbonate (CaCO3) from waste cement using pressurized CO2. Environ. Prog. 2005, 24, 162–170. [Google Scholar] [CrossRef]
- Eikeland, E.; Blichfeld, A.B.; Tyrsted, C.; Jensen, A.; Iversen, B.B. Optimized carbonation of magnesium silicate mineral for CO2 storage. ACS Appl. Mater. Interfaces 2015, 7, 5258–5264. [Google Scholar] [CrossRef]
- Kremer, D.; Etzold, S.; Boldt, J.; Blaum, P.; Hahn, K.M.; Wotruba, H.; Telle, R. Geological Mapping and Characterization of Possible Primary Input Materials for the Mineral Sequestration of Carbon Dioxide in Europe. Minerals 2019, 9, 485. [Google Scholar] [CrossRef]
- Hangx, S.J.; Spiers, C.J. Coastal spreading of olivine to control atmospheric CO2 concentrations: A critical analysis of viability. Int. J. Greenh. Gas Control 2009, 3, 757–767. [Google Scholar] [CrossRef]
- Fraunhofer ISE. Öffentliche Nettostromerzeugung in Deutschland 2021. 2022. Available online: https://www.energy-charts.info/charts/energy_pie/chart.htm?l=de&c=DE&year=2021&interval=year (accessed on 10 May 2023).
- Bundesamt für Energie. News aus der Wärmepumpen-Forschung; Bundesamt für Energie: Berlin, Germany, 2017. [Google Scholar]
- Chauvy, R.; Verdonck, D.; Dubois, L.; Thomas, D.; de Weireld, G. Techno-economic feasibility and sustainability of an integrated carbon capture and conversion process to synthetic natural gas. J. CO2 Util. 2021, 47, 101488. [Google Scholar] [CrossRef]
- Skocek, J.; Zajac, M.; Ben Haha, M. Carbon Capture and Utilization by mineralization of cement pastes derived from recycled concrete. Sci. Rep. 2020, 10, 5614. [Google Scholar] [CrossRef]
- Cembureau. Cementing the European Green Deal: Reaching Climate Neutrality along the Cement and Concrete Value Chain by 2050; Cembureau: Bruxelles, Brussels, 2020. [Google Scholar]
- Ian, T. Carbon dioxide emissions in Germany 1990–2021. 2023. Available online: https://www.statista.com/statistics/449701/co2-emissions-germany/ (accessed on 10 May 2023).
- Deutsche Emissionshandelsstelle (DEHSt) im Umweltbundesamt. Treibhausgasemissionen 2021: Emissionshandelspflichtige stationäRe Anlagen und Luftverkehr in Deutschland (VET-Bericht 2021); Deutsche Emissionshandelsstelle (DEHSt) im Umweltbundesamt: Berlin, Germany, 2022.
- Statista. Deutsche Zementindustrie—Produktion bis 2021; Statista: Hamburg, Germany, 2022. [Google Scholar]
- Ben Ghacham, A.; Cecchi, E.; Pasquier, L.C.; Blais, J.F.; Mercier, G. CO2 sequestration using waste concrete and anorthosite tailings by direct mineral carbonation in gas-solid-liquid and gas-solid routes. J. Environ. Manag. 2015, 163, 70–77. [Google Scholar] [CrossRef]
- Zhang, N.; Chai, Y.E.; Santos, R.M.; Šiller, L. Advances in process development of aqueous CO2 mineralisation towards scalability. J. Environ. Chem. Eng. 2020, 8, 104453. [Google Scholar] [CrossRef]
- Sanna, A.; Dri, M.; Hall, M.R.; Maroto-Valer, M. Waste materials for carbon capture and storage by mineralisation (CCSM)—A UK perspective. Appl. Energy 2012, 99, 545–554. [Google Scholar] [CrossRef]
- Thienel. Schlacken und Hüttensand. 2017. Available online: https://www.unibw.de/werkstoffe-en/teaching/master-program/schlacken-und-huttensand.pdf (accessed on 10 May 2023).
- Statistisches Bundesamt. Erhebung über die Abfallerzeugung—Ergebnisbericht; Statistisches Bundesamt: Wiesbaden, Germany, 2014.
- Landesanstalt für Umwelt Baden-Württemberg. Abfallsteckbrief “0303 Papierherstellung”; Landesanstalt für Umwelt Baden-Württemberg: Karlsruhe, Germany, 2023. [Google Scholar]
- Fraunhofer ISI. Langfristszenarien für die Transformation des Energiesystems in Deutschland; Fraunhofer ISI: Karlsruhe, Germany, 2017. [Google Scholar]
- Sietz, M. (Ed.) Okobilanzierung in der Betrieblichen Praxis; Blottner: Taunusstein, Germany, 1997. [Google Scholar]
- Umweltbundesamt. Aluminium Factsheet; Umweltbundesamt: Dessau-Roβlau, Germany, 2019.
- World Aluminium. Bauxite Residue Management: Best Practice; World Aluminium: London, UK, 2015. [Google Scholar]
- Umweltbundesamt. Kraftwerksnebenprodukte—Steinkohleflugaschen und REA-Gips; Umweltbundesamt: Dessau-Roβlau, Germany, 2023.
- Kurzweil. Braunkohleflugasche—Ein Möglicher neuer Einsatzstoff für Bautechnische Zwecke; Kurzweil: Wellesley Hills, MA, USA, 1996. [Google Scholar]
- Wirtschaftsverband Mineralische Nebenprodukte e.V. Flugasche bleibt wichtiger Zusatzstoff für hochwertigen Beton. Available online: https://www.win-ev.org/verband/news/details/flugasche-bleibt-wichtiger-zusatzstoff-fuer-hochwertigen-beton/index.html (accessed on 10 May 2023).
- Vassilev, S.V.; Vassileva, C.G.; Song, Y.C.; Li, W.Y.; Feng, J. Ash contents and ash-forming elements of biomass and their significance for solid biofuel combustion. Fuel 2017, 208, 377–409. [Google Scholar] [CrossRef]
- Energie-Experten. Holzheiz- und Holzkraftwerke in Deutschland; Energie-Experten: Bremen, Germany, 2022. [Google Scholar]
- Bond, F. Crushing and Grinding Calculations. Br. Chem. Eng 1961, 6, 378–385, 543–548. Available online: https://www.911metallurgist.com/blog/wp-content/uploads/2015/11/Bond-F-C-1961-Crushing-and-Grinding-Calculations.pdf (accessed on 10 May 2023).
- Deutz, S.; Bardow, A. Life-cycle assessment of an industrial direct air capture process based on temperature–vacuum swing adsorption. Nat. Energy 2021, 6, 203–213. [Google Scholar] [CrossRef]
Disclaimer/Publisher’s Note: The statements, opinions and data contained in all publications are solely those of the individual author(s) and contributor(s) and not of MDPI and/or the editor(s). MDPI and/or the editor(s) disclaim responsibility for any injury to people or property resulting from any ideas, methods, instructions or products referred to in the content. |
© 2023 by the authors. Licensee MDPI, Basel, Switzerland. This article is an open access article distributed under the terms and conditions of the Creative Commons Attribution (CC BY) license (https://creativecommons.org/licenses/by/4.0/).




