Next Article in Journal
Eigen-Sensitivity-Based Sliding Mode Control for LFO Damping in DFIG-Integrated Power Systems
Next Article in Special Issue
A Composite Framework Model for Transient Pressure Dynamics in Tight Gas Reservoirs Incorporating Stress Sensitivity
Previous Article in Journal
Coordinated Control Design for Ethical Maneuvering of Autonomous Vehicles
Previous Article in Special Issue
Study on the Mechanical Properties of Natural Gas Hydrate Reservoirs with Multicomponent under Different Engineering Conditions
 
 
Font Type:
Arial Georgia Verdana
Font Size:
Aa Aa Aa
Line Spacing:
Column Width:
Background:
Article

Research on Downhole Gas Separation Method Based on a PDMS Separation Membrane

1
Drilling Technology Research Institute, Sinopec Shengli Oilfield Service Corporation, Dongying 257064, China
2
School of Petroleum Engineering, China University of Petroleum (East China), Qingdao 266580, China
3
National Engineering Research Center of Oil & Gas Drilling and Completion Technology, Qingdao 266580, China
*
Author to whom correspondence should be addressed.
Energies 2023, 16(10), 4255; https://doi.org/10.3390/en16104255
Submission received: 29 March 2023 / Revised: 17 May 2023 / Accepted: 19 May 2023 / Published: 22 May 2023
(This article belongs to the Special Issue Advances in Oil and Gas Well Engineering Science and Technology)

Abstract

Safe and efficient deep drilling is a fundamental requirement for the development of oil and gas resources. In this regard, the application of membrane separation technology for drilling fluid gas separation and monitoring is highly significant. In this study, several commonly used permeable membrane materials were analyzed, and a PDMS separation membrane was preliminarily selected as a suitable material for downhole gas separation. We designed an experimental setup to investigate the separation performance of PDMS membranes. The effects of the separation pressure difference, operating temperature, and membrane thickness on the performance of PDMS membranes were analyzed, and the microstructure changes in the PDMS membrane under high temperature and pressure were observed using a scanning electron microscopy. The experimental results showed that PDMS membranes with a thickness of 150–200 μm can work stably and maintain good strength and permeability at a separation pressure difference of 1.1 MPa and a temperature of 150 °C. The SEM observations revealed that the PDMS separation membrane had a smooth surface and uniform microstructure after continuous operations for 15 h under the temperature and pressure conditions, without any cracks, demonstrating high temperature and pressure resistance. These research results provide an important reference for the application of PDMS separation membranes in downhole gas separation technology.

1. Introduction

With the development of oil and gas resources, there is a growing trend toward deep-water exploration and production. Compared with conventional drilling, double-deep wells face a more complex downhole environment and operate with greater risk [1]. Some examples are given below. During heavy oil production, a large number of waxy deposits will reduce the flow capacity of crude oil and may eventually lead to production shutdown [2]. The problem of gas intrusion often exists in the drilling process, especially in high hydrostatic environments, the overall scale of bubbles is small, and once gas intrusion occurs, conventional means will not be able to detect the gas intrusion in time [3]. The geological structure of deep oil and gas reservoirs is complex, including faults, fractures, and other features, which make the flow and accumulation of oil and gas difficult to predict and control, increasing the difficulty and risk of extraction [4]. Among these problems, the early detection of gas intrusion in high-pressure drilling is a challenge. Therefore, the only way to ensure the maximum safety of drilling is to detect gas intrusion and take action early [5,6,7].
In recent years, gas separation technology has gained widespread applications in the oil and gas extraction field. As an emerging gas separation technology, polymer gas separation membranes have garnered increasing attention and research due to their excellent separation performance and chemical stability. Compared with traditional gas separation methods, membrane separation technology offers advantages such as high separation efficiency, good selectivity, low energy consumption, and simple equipment, and has been applied and developed in numerous fields [8,9]. Therefore, conducting research on downhole gas membrane separation during drilling gas intrusion holds significant implications for the early monitoring of gas intrusion in high-pressure drilling. Furthermore, it has broad application prospects in terms of oil and gas reservoir discovery and reservoir information evaluation [10,11].
Membrane separation technology has made some progress in drilling fluid oil and gas detection worldwide. Westlake was the first to propose the use of membrane separation technology for the formation of fluid component separation and detection, and designed a hollow fiber membrane probe [12]. Subsequently, Hager designed a drilling separation scheme using membrane separation to integrate drilling tools at the bottom of the well, and proposed the idea of integrating membrane separation probes and photoelectric detection modules into the short section of drilling tools. Wang et al. reported the current situation of membrane separation technology in the petrochemical industry and proposed a possible way to improve the economic efficiency of the petrochemical industry and oil and gas resource development using membrane separation technology [13]. Brumboiu et al. proposed a novel structure for the separation and detection of oil and gas components in drilling fluids using a flat membrane probe [14]. Jiao used PDMS separation membranes to test the concentration relationships of gases in the gas state, in the liquid dissolved state, and in the drilling fluid on both sides of the membrane, respectively, to verify the feasibility of using membrane separation technology to separate and detect gases directly from drilling fluids [15]. Yang introduced the concept of semi-permeable membrane degasification in drilling fluids, designed a new oil and gas separation device, and extended the oil and gas detection range from C1–C5 to C1–C8 by fast chromatography technique [12]. According to the recent progress of downhole gas separation and detection technology at home and abroad, it can be seen that membrane separation technology has received a lot of research based on its advantages in oil and gas detection, and the drilling gas separation and monitoring technology is becoming more and more mature. Through membrane separation technology, it can selectively permeate the desired gas, and the gas separation efficiency is determined by the size of the concentration difference between the two sides of the membrane, and by analyzing the concentration difference in the gas on both sides of the membrane, the results that are consistent with the ratio of the oil and gas content in the drilling fluid can be obtained, so that the oil and gas components in the wellbore can be accurately evaluated [16,17].
Our study aims to investigate a new separation technology and method that can aid in gas invasion detection and formation evaluation, while also providing a foundation for feasible separation processes in actual drilling conditions. To achieve this objective, we compared the performance of different separation membrane materials and found that polydimethylsiloxane (PDMS) exhibits superior separation efficiency and stability. However, high-temperature and high-pressure conditions demand higher strength and temperature resistance from the separation membrane, and different driving conditions can affect the separation efficiency. To address these challenges, we designed and built a membrane separation experimental apparatus to study the separation of methane gas under high-temperature and high-pressure conditions. During the experiment, we examined the influence of driving conditions on the separation efficiency and evaluated the strength and temperature resistance of the membrane material to verify the feasibility and potential of PDMS separation membranes in high-temperature and high-pressure environments. Our research findings provide essential references for the application and development of separation membrane technology in the oil and gas industry.

2. Gas Separation Membrane Mechanism Analysis

2.1. Basic Principle of Gas Membrane Separation

Gas membrane separation mainly relies on the principle of diffusion. This principle is based on the partial pressure difference between the gases of different components on both sides of the gas separation membrane as the driving force for mass transfer across the membrane, and the gas separation is achieved by the different permeation rates of the gases of different components according to the three steps of dissolution–diffusion–evaporation. According to the dissolution–diffusion model, the gas components can be passed through the gas separation membrane in three steps, as shown in Figure 1 [18,19]. Gas first flows to the permeate side of the separation membrane and dissolves on its surface, and then enters the outer surface of the membrane. The gas diffuses forward in the membrane due to the volume fraction gradient generated by its dissolution in the membrane, reaching the other side in an unsteady state. Once the volume fraction of gas in the membrane becomes straight along the direction of membrane thickness and reaches a steady state, the diffusion rate in both directions reaches a dynamic equilibrium. At a certain temperature, after a period of time, the gas concentration on the permeate side remains unchanged when the diffusion velocity in both directions reaches a dynamic equilibrium [20].
The concentration of gas in the drilling fluid was calculated using the dissolution–diffusion model. The partial pressure of the gas was replaced with the gas concentration according to Henry’s law in Equation (1), while assuming the total pressure of the gas in the gas chamber to be one standard atmosphere [21].
c g = ( 9.87 k c 0 c g 0 ) [ 1 e ( 10 5 H A V d t ) ] + c g 0
where c0 is the concentration of gas in the liquid phase; cg0 is the initial volume fraction of gas in the chamber; cg is the volume fraction of gas in the chamber after time t; H is the permeation coefficient of the membrane; A is the effective contact area of the membrane; V is the volume of the gas chamber; d is the effective thickness of the membrane; t is the permeation time; and k is the equilibrium constant of the gas.
In practical engineering applications, the gas chamber is usually filled with a background gas, thus making the initial concentration of the gas to be measured zero, so that Equation (2) can be obtained.
c g = 9.87 k c 0 [ 1 e ( 10 5 H A V d t ) ]
The equilibrium constant k in the above equation is only related to the gas type, and not to the separation membrane type. When the gas concentration cg reaches 90% of the limit value, the oil–gas separation is considered to reach equilibrium. Therefore, the theoretical value of the permeate equilibrium time of the permeate membrane can be calculated using Equation (3).
t = 2.3 V d 10 5 H A
Through the explanation of the gas separation membrane above, it can be inferred that in the selection of the permeation membrane for drilling fluid, gas separation mainly considers the permeability coefficient of the drilling fluid gas in the membrane. This is because selecting a membrane material with a short equilibrium time and good permeation rate for hydrocarbon gas can be achieved by considering the permeability coefficient of the drilling fluid gas.

2.2. Polymer Gas Separation Membrane Performance Requirements

Various membrane separation processes have distinct requirements for separation membranes. In the case of polymer separation membranes utilized in downhole gas online monitoring devices, they are required to come into contact with drilling fluid while simultaneously allowing the measured gas to pass through quickly. As a result, gas separation membranes are required to have certain mechanical strength and high-temperature resistance in addition to meeting the requirements of permeability and separation performance. The primary characteristics of these membranes are as follows:
(1)
High permeability. High permeability is a fundamental requirement for a separation membrane as it needs to selectively allow the mixture being separated to pass through. The higher the permeability of the separation membrane the better, as it can increase the processing capacity and reduce the operational cost of the separation process [22,23,24].
(2)
Good mechanical strength. Due to the phenomena of vibration, shock, and corrosion in the drilling process, it requires the separation membrane to be invariable and non-ruptured in the long-term operation process, and the replacement cycle should be as long as possible. At the same time, it has a good film-forming ability and is easy to process [25,26].
(3)
Good chemical stability. The separation membrane used in downhole gas online monitoring devices operates in a drilling fluid environment, and as such, requires excellent chemical stability to withstand the effects of water, oil, and high temperatures [27,28].
In conclusion, good permeability, moderate separability, and good physicochemical stability are the most basic requirements for industrially valuable polymer separation membranes.

2.3. Comparison and Selection of Membrane Materials for Downhole Gas Separation

In recent years, researchers have extensively studied various high-polymer membranes. Representative membranes include polyimide (PI), polytetrafluoroethylene (PTFE), fluorinated ethylene propylene (PET), and polydimethylsiloxane (PDMS) membranes. The main properties of these membranes are summarized in Table 1 [29,30,31].
Through a comparative analysis of the performance advantages and disadvantages of various membrane materials, including PI, PTFE, FEP, and PDMS, it is evident that PDMS membranes exhibit superior properties such as excellent gas permeability, chemical stability, and processability, as well as remarkable anti-adhesive capabilities, all at a lower cost than other membrane materials. Although the PDMS membrane has lower mechanical strength and wear resistance, these limitations can be effectively addressed by incorporating support materials within the separation membrane component. Overall, PDMS separation membranes hold great promise in the field of underground gas separation due to their exceptional permeability and high-temperature stability [32].
Table 2 presents the permeability coefficients of hydrocarbon gases for the aforementioned separation membrane materials [21,33,34,35].
Taking the permeation coefficient of methane in the separation membrane as an example, the volume fraction of the gas in the gas chamber can be calculated according to Equation (4).
P r = c g 9.87 k c 0
In the calculation process, it is assumed that the thickness of the separation membrane is 200 μm, the volume of the gas chamber is 60 cm3, and the separation membrane area is 9 cm2. The initial pressure is 0.5 MPa. The variation of the gas volume fraction within the gas chamber is shown in Figure 2.
According to the above results, the permeation coefficient of PDMS separation membranes is the largest among the above gas separation membrane materials, indicating that the PDMS separation membrane has better permeation performance. It can be seen from Figure 2 that the gas separation time using the PDMS separation membrane is less than the other three separation membranes when the volume fraction of gas in the gas chamber is the same, and the gas separation time to reach equilibrium is the fastest using the PDMS separation membrane. Therefore, the gas separation performance and evaluation of PDMS separation membranes are also the focus of this paper.

3. PDMS Separation Membrane Gas Separation Experiments

The separation membrane cannot be directly used in the drilling fluid, but it requires mechanical assembly for the separation process. The assembly combined with the separation membrane is the membrane separation assembly. To conduct performance testing of the separation membrane, a flat-plate membrane assembly probe was developed. Figure 3 shows the schematic design of the assembly.
The membrane separation module is characterized by its small size, simple structure, and ease of use. It features separation membranes on both sides, providing a large effective area. Additionally, the structure enables quick connection to high-pressure test kettles and testing equipment for rapid online testing.
In the drilling environment, downhole drilling fluids are subjected to high-temperature and high-pressure conditions. In order to assess the temperature and pressure resistance of the separation membrane components, a high-temperature and high-pressure test kettle was utilized. The experimental setup is mainly divided into three parts: gas flow piping system, high-temperature and high-pressure test system, and data acquisition system, as shown in Figure 4.
The high-temperature and high-pressure kettle is a sealed oil bath heating device that can withstand pressure up to 15 MPa and temperatures up to 200 °C. Methane can be introduced into the kettle and membrane assembly through a methane cylinder, and the methane flow rate can be measured using a gas flow meter. The data acquisition system can measure the temperature and pressure inside the reactor and membrane assembly with an accuracy of 0.1 °C and 0.01 MPa, respectively.
The experimental test conditions are shown in Table 3.
This study investigated the permeation performance of PDMS membranes for methane under different temperature, pressure, and thickness conditions. Prior to the experiment, methane gas was introduced into the separation membrane module at 0.5 MPa, and air inside the chamber was removed. Methane gas was supplied into the feeding measurement (i.e., the high-temperature and high-pressure kettle) at a certain pressure to ensure that the separation membrane was subjected to a specific separation pressure difference, and the gas flow rate was measured using a gas flow meter. To simulate the high-temperature environment in oil fields and examine the effect of the temperature on the membrane permeation performance, an oil bath heating device was used to raise the temperature of the separation membrane module to 150 °C. The pressure changes inside the chamber were monitored using a pressure sensor to characterize the permeation efficiency of methane gas.

4. Gas Separation Membrane Mechanism Analysis

4.1. Separation Membrane Strength Performance Analysis

During the drilling operation, the bottom-hole pressure can reach up to 70 MPa, which requires the separation membrane assembly to remain undamaged and free from deformation during the operation. A pressure-reducing chamber is required to ensure that the gas separation membrane assembly operates steadily over the long term. The experiments tested the permeation rate and the differential pressure resistance of the separation membrane with different thicknesses of PDMS, and the test results are shown in Figure 5.
The analysis results show that the strength of the separation membrane exhibits a significant linear growth trend with the increase in membrane thickness, while the permeation rate shows a declining trend with the increase in membrane thickness. The separation membrane with a thickness of 300 μm can withstand a pressure difference of about 3 MPa, but the methane permeation rate is too small to meet the requirements of the experimental test; the separation membrane with a thickness of 50 μm has a relatively high methane permeation rate, but it can only withstand a pressure difference lower than 0.5 MPa. Figure 6 shows the microscopic image of a cross-section of the PDMS membrane sample, and PDMS membranes with a thickness of 150–200 μm were selected for the performance tests.

4.2. Effect of Pressure

In the process of gas separation, the separation pressure difference is one of the major factors affecting the permeation performance of separation membranes, which has an important influence on the permeation flux of gas, the selectivity of the membrane, and the determination of the optimal test conditions. In this study, the permeation rates of PDMS separation membranes were tested under different pressure differential conditions, and the gas flux through the separation membrane was calculated by measuring the pressure change in the gas chamber during the experiment, and the experimental results are shown in Figure 7.
From Figure 7 and Figure 8, it can be seen that the permeation rate of the gas separation membrane to methane increases with the increase in pressure, and the rising trend is more obvious. When the pressure difference between the inside and outside of the membrane is 0.3 MPa, the gas flow rate is only 1.35 × 10−7 cm3/m2·s, while when the pressure difference between the inside and outside of the membrane reaches 1.1 MPa, the gas flow rate can reach 31.20 × 10−7 cm3/m2·s. Therefore, under the condition of ensuring the strength of the separation membrane, increasing the pressure difference between the inside and outside of the membrane can effectively improve the gas separation efficiency.

4.3. Effect of Temperature

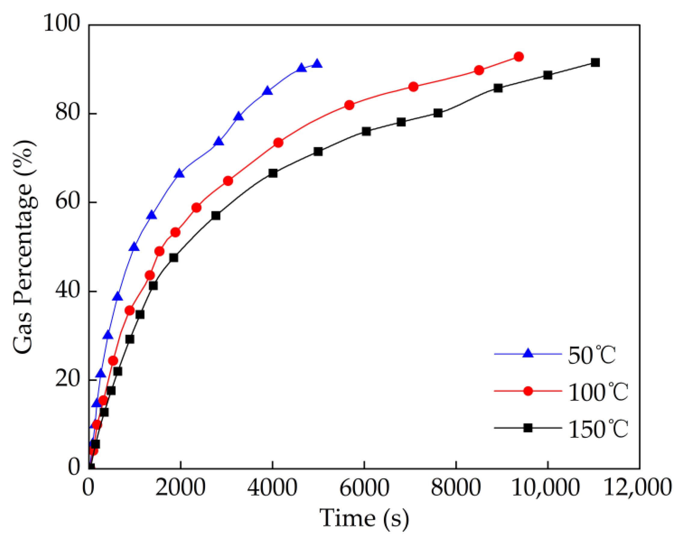
Temperature is a crucial factor affecting gas permeability in membrane separation, which significantly enhances the gas flux for the same permeable membrane. This is because temperature influences the thermal motion and interaction forces of gas molecules, which can affect their transport rate and selectivity on the membrane. Furthermore, in downhole environments, temperatures can reach up to 150 °C, which can cause thermal decomposition and aging of separation membranes, reducing their classification performance and service life. Therefore, this study tested the separation performance of PDMS membranes at different temperatures.
During the experiment, the initial separation pressure difference was 0.5 MPa, and the gas concentration in the chamber at the separation equilibrium was determined by measuring the pressure changes inside the chamber at different times. The volume fraction of gas in the chamber was then calculated based on the concentration ratio of chamber gas to equilibrium concentration. The experimental results are shown in Figure 9.
The experimental results demonstrate that the separation membrane can operate continuously for 15 h at a high temperature of 150 °C, while maintaining excellent separation performance. As shown in Figure 8, the gas permeation rate of the PDMS separation membrane significantly increases at a temperature of 150 °C compared to that at 25 °C. This suggests that the temperature has a significant impact on the gas permeation rate of the membrane, and that the PDMS separation membrane can withstand high temperatures while maintaining its excellent separation performance.

4.4. Effect of Thickness

Since the PDMS separation membrane is a polymer membrane with a very small pore scale, the thickness of the membrane is also one of the important factors affecting the separation efficiency. In order to test the effect of different thicknesses of separation membranes on the gas separation efficiency, the permeation effect of different thicknesses of separation membranes was tested experimentally. The experimental results are shown in Figure 10.
From Figure 10, it can be seen that the separation membrane with a thickness of 50 μm has the highest permeation efficiency, but during the experiment, it was found that its maximum pressure differential resistance was only 0.4 MPa, which cannot meet the conditions of downhole gas separation. The separation membrane with a thickness of 200 μm not only has good permeation performance, but also has a differential pressure resistance of more than 1 MPa. The average values of gas flow rates of different thicknesses of separation membranes under two differential pressure conditions are given in Figure 11, and it can be seen that the permeation efficiency can be improved by increasing the differential pressure on both sides of the separation membrane when the separation membrane is thicker.

4.5. Physical Properties of PDMS Separation Membranes at High Temperature and Pressure

The separation performance of PDMS separation membranes is closely related to their physical properties, especially in high-temperature and high-pressure environments, where the membrane structure, thermal performance, and mechanical properties are significantly affected, subsequently impacting and affecting their separation performance and service life. In this study, the microstructure changes in PDMS separation membranes at different temperatures and pressures were observed using a scanning electron microscopy (SEM), as shown in Figure 12.
The SEM observations revealed that the microstructure of PDMS separation membranes changed significantly with increasing temperature and pressure. At a temperature of 150 °C and an ambient pressure of 2 MPa, the surface of the PDMS separation membrane was relatively smooth, and the microstructure was uniform, as shown in Figure 12a. However, when the temperature exceeded 250 °C, the surface of the PDMS separation membrane showed significant wrinkles and indentations, and the structure became uneven, with numerous small cracks and even holes, as shown in Figure 12b. These microstructural changes resulted in a decrease in the physical and mechanical properties of the PDMS separation membrane, and hence, a reduction in its separation performance. Therefore, when using PDMS membranes for downhole gas separation, appropriate temperature and pressure conditions should be applied to ensure optimal separation performance.

5. Conclusions

Membrane separation technology provides a novel and effective method for downhole gas detection. In the past decades, there have been significant advancements in permeable membrane-based oil and gas separation technology. This study compares different separation membrane materials based on the principles of permeable membrane degasification and the specific working conditions of drilling sites. Compared with conventional high separation membranes, PDMS gas separation membranes exhibit superior permeability and higher strength performance. The permeability of a membrane through a PDMS separation membrane was tested under different pressure differentials, temperatures, and membrane thicknesses using a newly developed gas separation assembly and experimental apparatus. The experimental results showed that increasing the pressure differential from 0.3 MPa to 1.1 MPa could increase the gas flow rate through the separation membrane by 23 times. The equilibrium time for gas permeation through the separation membrane of 150 °C is two-thirds shorter than that at the temperature of 50 °C. Furthermore, while the permeation rate of the separation membrane gradually decreases with increasing thickness, its mechanical strength is significantly improved. A scanning electron microscopy (SEM) was used to observe the microstructure of PDMS separation membranes at different temperatures and pressures. The physical and mechanical properties of the membrane were significantly reduced when the temperature exceeded 250 °C. Therefore, when using PDMS membranes for downhole gas separation, it is necessary to control the working temperature and environmental pressure within an appropriate range to ensure the optimal separation performance of the membrane.

Author Contributions

Conceptualization, X.P. and Y.M.; methodology, L.Z. and H.Z.; data curation, X.Z., Y.G. and L.Z.; writing—original draft preparation, L.Z.; writing—review and editing, Y.G.; visualization, L.Z. and H.Z.; supervision, Y.G.; project administration, X.Z. and Y.G.; funding acquisition, X.P. and Y.M. All authors have read and agreed to the published version of the manuscript.

Funding

This research was funded by the National Key Research and Development Program of China (2022YFC2806502), the National Natural Science Foundation (52288101, 52274022, and U21B2065), and the Key R&D project of Shandong Province, China (2022CXGC020407).

Data Availability Statement

Not applicable.

Conflicts of Interest

The authors declare no conflict of interest. The funders had no role in the design of the study, in the collection, analyses and or interpretation of data, in the writing of the manuscript and in the decision to publish the results.

References

  1. Liu, S.; Wu, Y.; Xie, R.; Jiao, J. Development and prospect of the key technologies for the drilling of deep wells in deep water. Oil Drill. Prod. Technol. 2021, 43, 139–145. [Google Scholar]
  2. Ilyushin, Y.V.; Fetisov, V. Experience of virtual commissioning of a process control system for the production of high-paraffin oil. Sci. Rep. 2022, 12, 18415. [Google Scholar] [CrossRef] [PubMed]
  3. Chen, P.; Ma, T. Research status of early monitoring technology for deepwater drilling overflow. Acta Petrolei Sin. 2014, 35, 602–612. [Google Scholar]
  4. Martirosyan, A.V.; Kukharova, T.V.; Fedorov, M.S. Research of the Hydrogeological Objects’ Connection Peculiarities. In Proceedings of the 2021 IV International Conference on Control in Technical Systems (CTS), Saint Petersburg, Russia, 21–23 September 2021; IEEE: New York, NY, USA, 2021; pp. 34–38. [Google Scholar]
  5. Li, Y.; Xia, W.; Luo, F.; Liang, S.; Chen, Z.; Wang, P.; Ren, H. Principle and Experimental Research of Ultrasonic Gas Kick Detecting While Drilling Tool. Chian Pet. Mach. 2020, 48, 16–23. [Google Scholar]
  6. Wang, X.; Huang, L.; Li, X.; Bi, S.; Li, H.; Zhang, J.; Sun, X. Wellbore multiphase flow behaviors of gas kick in deep water horizontal drilling. Front. Phys. 2022, 10, 1059. [Google Scholar] [CrossRef]
  7. Guo, Y.; Sun, B.; Gao, Y.; Li, H.; Wu, C. Gas kick during carbonate reservoirs drilling and its risk assessment. Petrol. Explor. Dev. 2017, 44, 462–469. [Google Scholar] [CrossRef]
  8. Sidhikku Kandath Valappil, R.; Ghasem, N.; Al-Marzouqi, M. Current and future trends in polymer membrane-based gas separation technology: A comprehensive review. J. Ind. Eng. Chem. 2021, 98, 103–129. [Google Scholar] [CrossRef]
  9. Kayvani Fard, A.; McKay, G.; Buekenhoudt, A.; Al Sulaiti, H.; Motmans, F.; Khraisheh, M.; Atieh, M. Inorganic Membranes: Preparation and Application for Water Treatment and Desalination. Materials 2018, 11, 74. [Google Scholar] [CrossRef]
  10. Li, S.; Xie, G. Experimental Study of Drilling Fluid Oil and Gas Separator Based on Semi-permeable Membrane. Sci. Technol. Rev. 2012, 30, 19–22. [Google Scholar]
  11. Dalane, K.; Dai, Z.; Mogseth, G.; Hillestad, M.; Deng, L. Potential applications of membrane separation for subsea natural gas processing: A review. J. Nat. Gas Sci. Eng. 2017, 39, 101–117. [Google Scholar] [CrossRef]
  12. Yang, M. Research on Hydrocarbon Quantitative Separation and Detection Method of Drilling Fluids. Ph.D. Thesis, China University of Geosciences, Beijing, China, 2015. [Google Scholar]
  13. Wang, B.; Wen, X.; Chen, C. Application of membrane separation technology in petrochemical industry. Chem. Ind. Eng. Prog. 2002, 21, 880–884. [Google Scholar]
  14. Brumboiu, A.O.; Hawker, D.P.; Norquay, D.A.; Wolcott, D.K. Application of Semipermeable Membrane Technology in the Measurement of Hydrocarbon Gases in Drilling Fluids. In Proceedings of the SPE/AAPG Western Regional Meeting, Long Beach, CA, USA, 19–22 June 2000; p. SPE-62525-MS. [Google Scholar]
  15. Jiao, F. Preparation and Application on Membrane of Oil & Gas Separation from Drilling Fluid. Master’s Thesis, Xiamen University, Xiamen, China, 2014. [Google Scholar]
  16. Liang, B.; He, X.; Hou, J.; Li, L.; Tang, Z. Membrane Separation in Organic Liquid: Technologies, Achievements, and Opportunities. Adv. Mater. 2018, 31, 1806090. [Google Scholar] [CrossRef] [PubMed]
  17. Gao, Y.; Yang, R.; Geng, X.; Yang, Y.; Yang, H. Study of Gas Detection in Drilling Fluid Using Membrane Separation. J. Chenggde Pet. Coll. 2015, 17, 10–13+19. [Google Scholar]
  18. Saleh, T.A.; Gupta, V.K. Applications of nanomaterial-polymer membranes for oil and gas separation. Nanomater. Polym. Membr 2016, 10, 251–265. [Google Scholar]
  19. Wang, S.F.; Li, X.Q.; Wu, H.; Tian, Z.Z.; Xin, Q.P.; He, G.W.; Peng, D.D.; Chen, S.L.; Yin, Y.; Jiang, Z.Y.; et al. Advances in high permeability polymer-based membrane materials for CO2 separations. Energ. Environ. Sci. 2016, 9, 1863–1890. [Google Scholar] [CrossRef]
  20. Wang, L.; Corriou, J.P.; Castel, C.; Favre, E. Transport of Gases in Glassy Polymers under Transient Conditions: Limit-Behavior Investigations of Dual-Mode Sorption Theory. Ind. Eng. Chem. Res. 2013, 52, 1089–1101. [Google Scholar] [CrossRef]
  21. Chen, T.; Ma, F.; Wang, L.; Han, D.; Zhang, G. Application of Polymers Membrane in Dissolved Gas Analysis: A Review. Trans. China Electrotech. Soc. 2022, 37, 750–766. [Google Scholar]
  22. Qiu, W.L.; Zhang, K.; Li, F.S.; Zhang, K.; Koros, W.J. Gas Separation Performance of Carbon Molecular Sieve Membranes Based on 6FDA-mPDA/DABA(3:2) Polyimide. ChemSusChem 2014, 7, 1186–1194. [Google Scholar] [CrossRef]
  23. Yu, Y.W.; Liu, S.Y.; Wang, Y.; Zhang, H.B.; Li, X.B.; Jiang, Z.H.; Liu, B.J. Asymmetric membranes prepared with trifluoromethylphenylated poly(ether ether ketone) for gas separation. High Perform Polym. 2015, 27, 10–18. [Google Scholar] [CrossRef]
  24. Jiang, Z.Y.; Chu, L.Y.; Wu, X.M.; Wang, Z.; Jiang, X.B.; Ju, X.J.; Ruan, X.H.; He, G.H. Membrane-based separation technologies: From polymeric materials to novel process: An outlook from China. Rev. Chem. Eng. 2020, 36, 67–105. [Google Scholar] [CrossRef]
  25. Feng, S.; Wang, Y.; Zhang, G.; Zhao, Y.; Wang, S.; Gao, R.; Xiao, E. Estimation of optimal drilling efficiency and rock strength by using controllable drilling parameters in rotary non-percussive drilling. J. Petrol. Sci. Eng. 2020, 193, 107376. [Google Scholar] [CrossRef]
  26. Gelfgat, M.; Sledkov, V. Superdeep Scientific Drilling‐Lessons Learned for the Development of Modern Drilling Technologies. Acta Geol. Sin. 2019, 93, 186–187. [Google Scholar] [CrossRef]
  27. Mercadelli, E.; Gondolini, A.; Ardit, M.; Cruciani, G.; Melandri, C.; Escolástico, S.; Serra, J.M.; Sanson, A. Chemical and mechanical stability of BCZY-GDC membranes for hydrogen separation. Sep. Purif. Technol. 2022, 289, 120795. [Google Scholar] [CrossRef]
  28. Swain, S.S.; Unnikrishnan, L.; Mohanty, S.; Nayak, S.K. Insight into mechanical, thermal, and chemical stability of polysulfone-based membranes for the separation of O2/N2. Korean J. Chem. Eng. 2022, 39, 785–797. [Google Scholar] [CrossRef]
  29. Ghosh, A.; Sen, S.K.; Banerjee, S.; Voit, B. Solubility improvements in aromatic polyimides by macromolecular engineering. Rsc. Adv. 2012, 2, 5900–5926. [Google Scholar] [CrossRef]
  30. Kim, Y.H.; Kim, H.S.; Kwon, S.K. Synthesis and characterization of highly soluble and oxygen permeable new polyimides based on twisted biphenyl dianhydride and spirobifluorene diamine. Macromolecules 2005, 38, 7950–7956. [Google Scholar] [CrossRef]
  31. Wang, H.; Li, L.; Wang, C.; Wang, T. Preparation of PDMS composite membranes with flexible supports and their performance in C3 hydrocarbon gases/N2 separation. J. Chem. Eng. Chin. Univ. 2016, 30, 1036–1042. [Google Scholar]
  32. Lu, G.; Cui, H.; Weng, X.; Sun, Y.; Chang, Z. Investigation and optimization of PDMS/PES membrane on morphology and performance for methane-water separation. Microporous Mesoporous Mater. 2022, 341, 112078. [Google Scholar] [CrossRef]
  33. Okamoto, Y.; Chiang, H.; Fang, M.; Galizia, M.; Merkel, T.; Yavari, M.; Nguyen, H.; Lin, H. Perfluorodioxolane Polymers for Gas Separation Membrane Applications. Membranes 2020, 10, 394. [Google Scholar] [CrossRef]
  34. Ariati, R.; Sales, F.; Souza, A.; Lima, R.A.; Ribeiro, J. Polydimethylsiloxane Composites Characterization and Its Applications: A Review. Polymers 2021, 13, 4258. [Google Scholar] [CrossRef]
  35. Xiao, D.M.; Liu, H.L. Permeability study of high polymer membranes for gas-oil separation. In Proceedings of the 2000 IEEE Power Engineering Society Winter Meeting—Vols 1–4, Conference Proceedings, 2000 Winter Meeting of the IEEE Power Engineering-Society, Singapore, 23–27 January 2000; pp. 2229–2232. [Google Scholar]
Figure 1. Schematic diagram of dissolution–diffusion for gas membrane separation.
Figure 1. Schematic diagram of dissolution–diffusion for gas membrane separation.
Energies 16 04255 g001
Figure 2. Variation of gas volume fraction on the inner side of the membrane with time relationship.
Figure 2. Variation of gas volume fraction on the inner side of the membrane with time relationship.
Energies 16 04255 g002
Figure 3. Schematic diagram of the separation membrane assembly.
Figure 3. Schematic diagram of the separation membrane assembly.
Energies 16 04255 g003
Figure 4. Flow chart of separation membrane permeation performance testing. 1: high temperature and pressure test kettle; 2: gas separation membrane assembly; 3: oil bath heating device; 4: methane gas cylinder; 5: data acquisition system; and 6: gas flow meter.
Figure 4. Flow chart of separation membrane permeation performance testing. 1: high temperature and pressure test kettle; 2: gas separation membrane assembly; 3: oil bath heating device; 4: methane gas cylinder; 5: data acquisition system; and 6: gas flow meter.
Energies 16 04255 g004
Figure 5. Relationship curve between pressure difference and permeability coefficient for different membrane thicknesses.
Figure 5. Relationship curve between pressure difference and permeability coefficient for different membrane thicknesses.
Energies 16 04255 g005
Figure 6. Micrographs of a transverse section of a PDMS membrane sample.
Figure 6. Micrographs of a transverse section of a PDMS membrane sample.
Energies 16 04255 g006
Figure 7. Gas fluxes of methane from PDMS separation membranes at different pressure differentials.
Figure 7. Gas fluxes of methane from PDMS separation membranes at different pressure differentials.
Energies 16 04255 g007
Figure 8. Average methane gas flux as a function of pressure difference.
Figure 8. Average methane gas flux as a function of pressure difference.
Energies 16 04255 g008
Figure 9. The permeation equilibrium time of methane through PDMS separation membrane under different temperature conditions.
Figure 9. The permeation equilibrium time of methane through PDMS separation membrane under different temperature conditions.
Energies 16 04255 g009
Figure 10. (a) Methane gas flux of PDMS with different thickness at 0.3 MPa. (b) Methane gas flux of PDMS with different thickness at 0.5 MPa.
Figure 10. (a) Methane gas flux of PDMS with different thickness at 0.3 MPa. (b) Methane gas flux of PDMS with different thickness at 0.5 MPa.
Energies 16 04255 g010
Figure 11. Comparison of methane gas flow rates in PDMS membrane under different pressure differences.
Figure 11. Comparison of methane gas flow rates in PDMS membrane under different pressure differences.
Energies 16 04255 g011
Figure 12. Micrographs of the surface morphology of a PDMS membrane sample: (a) at 150 °C and 2 MPa; (b) at 250 °C and 2 MPa.
Figure 12. Micrographs of the surface morphology of a PDMS membrane sample: (a) at 150 °C and 2 MPa; (b) at 250 °C and 2 MPa.
Energies 16 04255 g012
Table 1. Comparison of properties of different separation membrane materials.
Table 1. Comparison of properties of different separation membrane materials.
MembraneAdvantagesDisadvantages
PIGood chemical resistance.
Good thermal stability.
Low gas permeation.
Not suitable for multicomponent gas detection.
PTFEGood chemical resistance.
Good thermal stability.
Excellent anti-adhesion performance.
Excellent anti-adhesion performance.
Susceptible to damage.
FEPEasy to process.
Good chemical resistance.
Good thermal stability.
High viscosity.
Poor wear resistance.
PDMSGood gas permeability.
Good chemical resistance.
Easy to process.
Low mechanical strength.
Sensitive to organic solvents.
Table 2. The osmotic coefficient for different polymeric membrane materials (Barrer).
Table 2. The osmotic coefficient for different polymeric membrane materials (Barrer).
Separation MembraneCH4C2H4C2H6
PI0.015----
PTFE1.2550.0150.2
FEP5.6222.0831.154
PDMS15.06----
Table 3. Experimental test conditions.
Table 3. Experimental test conditions.
GroupVolume of Air Chamber/cm3Separation Film Area/cm2Starting Pressure/MPaSeparation Film Thickness/μmTest Temperature/°C
18.590.35025
100
150
200
28.590.510025
15025
20025
50
100
150
38.590.720025
0.9
1.0
1.1
Disclaimer/Publisher’s Note: The statements, opinions and data contained in all publications are solely those of the individual author(s) and contributor(s) and not of MDPI and/or the editor(s). MDPI and/or the editor(s) disclaim responsibility for any injury to people or property resulting from any ideas, methods, instructions or products referred to in the content.

Share and Cite

MDPI and ACS Style

Pei, X.; Zhang, L.; Ma, Y.; Zhang, H.; Zhao, X.; Gao, Y. Research on Downhole Gas Separation Method Based on a PDMS Separation Membrane. Energies 2023, 16, 4255. https://doi.org/10.3390/en16104255

AMA Style

Pei X, Zhang L, Ma Y, Zhang H, Zhao X, Gao Y. Research on Downhole Gas Separation Method Based on a PDMS Separation Membrane. Energies. 2023; 16(10):4255. https://doi.org/10.3390/en16104255

Chicago/Turabian Style

Pei, Xueliang, Lei Zhang, Yongqian Ma, Hengtong Zhang, Xinxin Zhao, and Yonghai Gao. 2023. "Research on Downhole Gas Separation Method Based on a PDMS Separation Membrane" Energies 16, no. 10: 4255. https://doi.org/10.3390/en16104255

APA Style

Pei, X., Zhang, L., Ma, Y., Zhang, H., Zhao, X., & Gao, Y. (2023). Research on Downhole Gas Separation Method Based on a PDMS Separation Membrane. Energies, 16(10), 4255. https://doi.org/10.3390/en16104255

Note that from the first issue of 2016, this journal uses article numbers instead of page numbers. See further details here.

Article Metrics

Back to TopTop