Abstract
Obtaining the best operating parameters of the internal combustion engine has focused the attention of designers and researchers since the first years of its creation. Initial research focused on increasing engine power and overall efficiency. As time passed, these aspirations became more sophisticated and began to concern other operating parameters of the drive unit. The basic problem, however, remained the improvement of filling the cylinder with the working medium. Turbocharger charging consists in using the energy of the exhaust gases to drive a turbine placed on a common shaft with a compressor supplying air under increased pressure to the cylinders. Over time, the turbocharger became one of the key elements and its technical condition began to play a key role in the operation and performance of modern drive units. Like every element, the turbocharger itself is not without its faults. This procedure is known among manufacturers who, when designing power units and their assemblies, pay special attention to the essence of turbocharger construction. Since it is impossible to predict all the phenomena accompanying a working turbocharger at the design stage, the authors of this paper conducted bench tests of a selected batch of turbochargers, focusing mainly on the vibration measurements of the turbocharger rotating assembly. At the same time, we present a dynamic model of the mentioned system based on the analyses resulting from the solutions of the equations of a numerical model. In order to give the research a practical aspect, the results of the theoretical research were compared with the results of bench tests. It has been shown that the basic problem is to guarantee the correct operating parameters of the bearings in the position of static and dynamic equilibrium. Obtaining such operating parameters requires finding a compromise solution, e.g., between the maximum temperature in oil films and the amplitudes of vibration accelerations in bearing nodes. The research results presented in the article can be used as a field for further discussion in the field of research on the reliability of turbochargers and be helpful in the design process in order to avoid design errors and reduce production costs.
Keywords:
drive unit; rotating assembly; turbocharger; reliability; operation; experimental research 1. Introduction
As the current literature on the subject indicates, most of the conducted research and considerations in the field of operation of drive units has focused primarily on changing the toxicity and improving the ecological parameters [1,2,3,4]. However, an important topic concerning the role of currently used drive units and emerging operational problems, in particular the dynamic properties of engines, is still omitted [5,6]. In the case of thermal machines, including internal combustion piston engines, the power of an engine is determined by the amount of fuel supplied to it. The combustion of fuel is limited by the content of oxygen, which accounts for 21% of air. For this reason, the process of supplying the appropriate amount of air in connection with the engine load is very important. The amount of supplied air is regulated by means of changing the degree of air compression. Internal combustion piston engines are characterised by variable operating conditions (variable revolutions and variable load). This is why, for the purpose of regulating the amount of air required for the expected quality of the performed operational task, turbochargers designed individually for each type of power unit (engine) are used. The task of supplying air to the engine is performed by a rotating assembly consisting of a turbine and compressor rotors mounted on one shaft. The amount of compressed air depends, among other things, on the rotational speed of the shaft, temperature of air, and the parameters of the engine’s exhaust gas stream, i.e., pressure and temperature. The turbocharger rotors [7] rotate at a speed of up to tens of thousands of revolutions per minute (rpm) depending on their design, including the shape of the blades, heat load, and diameters (smaller diameters, higher revolutions). Owing to the fact that turbochargers are subjected to high thermal and dynamic loads, their construction, the selection of the materials of which their parts are made, the quality of production and assembly, as well as the optimal selection and preparation of the operating parameters of the media (e.g., lubricating oil) are of special importance. An incorrectly selected, malfunctioning, or out of service turbocharger may cause thermal overload of the engine, and consequently, limit or stop its operation. This is especially important on vessels (where maintaining controllability and lateral stability is crucial) and technical objects, as well as in special purpose and military vehicles operating in difficult, dangerous, and specific conditions. Therefore, the authors of this paper decided to research the durability and reliability of turbochargers used in multi-cylinder internal combustion piston engines with the aim of extending the service life and indirectly the durability and reliability of driving engines of special purpose technical facilities.
The scientific aim of the work is to evaluate selected dynamic parameters of rotating turbocharger assemblies. The subject of the research is to obtain extensive knowledge on the issue of ensuring the correct operating parameters of bearings in the positions of static and dynamic equilibrium. This article extends existing research on turbocharger reliability issues and the elimination of design defects in order to reduce turbocharger production costs on the basis of (bench tests focusing mainly on vibration measurements of the turbocharger rotating assembly) discussing a case study—a selected batch of turbochargers from a given manufacturer was examined. The key contribution of this study is the comparison of theoretical research with the results of bench tests. This method has been enriched with additional factors omitted by many professionals, this applies to selected factors affecting the design, and thus the reliability, of the operation process.
In conclusion, this article brings a new perspective to the existing literature in the following areas: (I) turbocharger reliability, (II) vibration measurements of the turbocharger rotating assembly, (III) correct operation of the turbocharger rotating assembly, (IV) identification of construction errors.
The content of the considerations in this article is organized as follows. In Section 2, a detailed description of the research approach along with the description of the subject of research, model, and stand approach is given. Section 3 describes the results of the experimental research along with their interpretation. Section 4 presents the final conclusions of the research, indicating its limitations, practical application, and future directions of research in this field.
2. Research Method
2.1. Methodological Assumptions—Construction of a Turbocharger and Description of Phenomena Occurring in It
The experimental test was carried out on a turbocharger (from one of the producers) with operating parameters of 42,000 rpm and a temperature of 80 °C (operating temperature of the oil), working together with a high-speed internal combustion piston engine with a power of 220 kW.
The turbocharger [8,9,10] (Figure 1) is composed of a bearing unit located in the centre housing, a centrifugal compressor, and a centripetal turbine.
Figure 1.
Turbocharger with rotors: centrifugal compressor rotor and centripetal turbine rotor. Source: own elaboration.
The centre housing is the main structure to which the compressor and turbine housings are attached. Oil covers are screwed on both sides of the bearing housing. In this way, an airtight chamber is formed to which oil leaking from the bearings flows. Next, the oil continues to flow to the lower part of the bearing housing, which at the same time serves as an oil tank. The compressor and turbine rotors and the shaft comprise the rotating assembly. From the turbine side of the turbocharger shaft there is a labyrinth sleeve, and then a sleeve constituting the journals of slide bearings. This assembly is supported on radial bearings with a floating ring, and thrust (axial) plate bearings. Figure 2 presents the shaft bearing arrangement. The turbocharger shaft is subjected to both constant and variable forces [11,12]. The transverse load of the rotating assembly on the turbine and compressor side is illustrated by the forces Ft and Fs, while the axial load is illustrated by the force Fw.
Figure 2.
Rotating assembly bearing arrangement. Source: own elaboration.
The load on the turbocharger shaft is determined by the following factors: operating parameters that change in time (drive torque, shaft speed and resistance to movement); variable forces generated in the machine parts (e.g., rotors) cooperating with the shaft; resistances in seals and bearings; forces of gravity; and the difference in pressure between the turbine and the compressor side.
The variability in these parameters may give rise to variable forces generating vibroacoustic effects [13,14,15,16].
Since the distance between the bearing supports is short, the rotating assembly shaft is highly rigid and its deformations can be considered as negligibly small. The turbocharger is characterised by significant temperature gradients. On the compressor side and the turbine side there are temperatures of T0s ≅ 80 °C and T0t ≅ 500 °C, respectively. As a result, the temperature along the axis of the shaft is variable. In order to eliminate or minimise the adverse thermal effects inherent in a working turbocharger, a cooling system is used. Cooling prevents excessive heating of the bearings. The bearing cooling system consists of air spaces between the bearing housings and the turbine and compressor housings. A stream of air is supplied to these spaces from the compressor side.
The turbocharger bearing system consists of radial and thrust slide bearings that are oil-powered in a closed system. Oil is supplied to both bearing units through a supply channel located in the centre housing. Oil can be supplied from the engine circuit or from an additional external source. The design of the channels supplying oil (i.e., treated to the required operating parameters) makes it possible to independently supply oil with a constant temperature, Tz, and a constant supply pressure, pz, to the radial and thrust bearings.
A radial bearing with a floating ring consists of two bushes: a fixed bearing bush; and a loosely inserted bush separating the journal and the fixed bearing bush, which is further referred to as a floating ring. Oil is supplied under pressure to the circumferential grooves of the outer and inner bearings through two holes in the fixed bearing bush and four holes in the floating ring. The circumferential lubrication grooves in the bushes make it possible to evenly supply oil to the lubrication gaps and are completely filled with oil. The bearing journal and the oil layer adjacent to the journal rotate at the angular speed ω1. The speed in the radial direction of successive layers of oil decreases and equals zero on the surface of the fixed bearing bush [17,18,19,20,21,22]. Therefore, the loosely inserted floating ring rotates at the speed ω2, which is different from the journal speed ω1. For a specific position of the centre of the journal and the floating ring in the state of thermo-hydrodynamic equilibrium, the speed will be determined by the following factors: the balance of forces and moments in the bearing, the angular speed of the journal ω1, the mass of the floating ring, the internal geometry of the bearing, the oil viscosity, etc. (Figure 3).
Figure 3.
Slide bearing with a floating ring: 1—floating ring, 2—fixed bearing bush, 3—holes through which oil is supplied to the bearing, 4—circumferential groove, 5—directions of oil flow in the bearing, 6—shaft, 7—oil in the space of the floating ring, 8—funnel in the space between the bearing housing and the floating ring. Source: own elaboration.
2.2. Bench Tests of Turbochargers
In order to assess if a turbocharger operates correctly, an engine test stand is used during bench tests. In many cases vibrations, or their accelerations, determine whether a turbocharger is suitable for operation. One of the basic requirements that ensure correct operation of a turbocharger is the level of acceptable vibration accelerations. The measurements are made in accordance with the guidelines in a relevant measuring point and within a rotational speed range. For example, vibration accelerations in turbochargerC0-45 are measured every 1000 rpm in the range from 25,000 rpm to 42,000 rpm. The acceptance conditions set the values of the maximum acceptable vibration accelerations depending on the rotational speed of the turbocharger rotor.
The values of the acceptable vibration accelerations in the tested rotational speed ranges of the rotating assembly for turbocharger C0-45 are as follows:
where g = 9.81 m/s2 is the standard gravity.
25,000 ≤ N1 ≤ 32,000 rpm aall ≤ 0.5 g;
33,000 ≤ N1 ≤ 38,000 rpm aall≤ 1.0 g;
39,000 ≤ N1 ≤ 42,000 rpm aall ≤ 1.5 g;
The authors of this paper tested 115 turbochargers on the test bench.
Based on the tests (technical acceptance tests) it was found that many of the tested turbochargers, although characterised by appropriate performance parameters (output, compression ratio), cannot be approved for operation because their vibration accelerations exceed the acceptable values.
The test results showed that the measured accelerations ranged from 0.54 to 10.0 g.
Bearing in mind the fact that the maximum acceptable vibration acceleration is 1.5 g, it was established that 33% of the tested turbochargers could not be approved for operation. Moreover, it was found that for the adopted vibration acceleration ranges:
range 1 a = (0.0 ÷ 1.0) g;
range 2 a = (1.0 ÷ 1.2) g;
range 3 a = (1.2 ÷ 1.5) g.
Of the turbochargers that could be approved, 27.3% were in range 1, 10.4% in range 2, and 62.3% in range 3 (Figure 4).
Figure 4.
Histogram of maximum vibration accelerations for 67% of good turbochargers in relation to the technical acceptance criterion and the adopted vibration acceleration ranges. Source: own elaboration.
By making an analogous analysis for the entire group of tested turbochargers (115 units), it was established that the value of vibration accelerations for 18.3% of the turbochargers was in range 1, 7% in range 2, and 41.7% in range 3, whereas 33% of the turbochargers exceeded the acceptable vibration values (Figure 5). This allowed for determining the percentage share of each range.
Figure 5.
Histogram of maximum vibration accelerations for 100% of tested turbochargers in relation to the technical acceptance criterion and the adopted vibration acceleration ranges. Source: own elaboration.
The results of the measurements of vibration accelerations as a function of the turbocharger’s rotational speed showed that there are two resonance zones for amplitudes of vibration accelerations up to 1.5 g (Figure 6), and one zone for amplitudes of vibration accelerations up to 0.8 g (Figure 7). In both cases the zones are close to the operating speeds of the turbocharger. The individual colours on the charts illustrate example changes in the acceleration amplitude of the rotor speed function for the turbochargers selected for the tests.
Figure 6.
Examples of acceleration amplitude changes as a function of the rotational speed of the turbocharger rotor (vibration acceleration amplitudes up to 1.5 g). Source: own elaboration.
Figure 7.
Examples of acceleration amplitude changes as a function of the rotational speed of the turbocharger rotor (vibration acceleration amplitudes up to 0.8 g). Source: own elaboration. a—amplitude of vibration accelerations (m/s2), N1—rotation of the turbocharger rotors in revolutions per minute (rpm).
In order to eliminate the adverse effects (vibrations) accompanying a working turbocharger, it is necessary to identify and determine their causes. The theoretical basis for the causes of vibrations in rotating assemblies can be found in refs. [15,16,17,18]. An analysis of the literature shows that there are numerous sources of vibrations, and consequently, it is difficult to determine the probable cause of their formation.
They may be caused, for example, by faulty design, errors at the stage of production (manufacturing), bearing errors (some bearings not being coaxial or parallel), or improper operation (improper oil parameters: temperature, viscosity, pressure, etc.).
The research carried out on the test bench showed that the centrifugal inertia forces arising from the fact that the spin axis does not overlap with one of the main central axes of the rotating assembly were among the major factors disturbing the rotational motion. The main reason for the unequal position of these axes is the imbalance of the rotating masses, which gives rise to centrifugal forces of inertia. These forces constitute external periodic excitation and can cause resonance. The forces of gravity acting on the rotating elements can also be a source of vibrations. Another cause of vibrations is the resistance of the centre in which the rotors work. Furthermore, the bearing arrangement considerably affects the operation of the rotor. The slide bearings in which the rotor is embedded can be the source of destabilising hydrodynamic forces, which in turn can cause self-excited vibrations in the oil layer.
An analysis of the results of the experimental research showed that the most common causes of turbocharger vibrations are imbalance of the turbocharger rotors and radial clearances in the radial slide bearing with a floating ring.
2.3. Dynamic Model of a Turbocharger Rotating Assembly
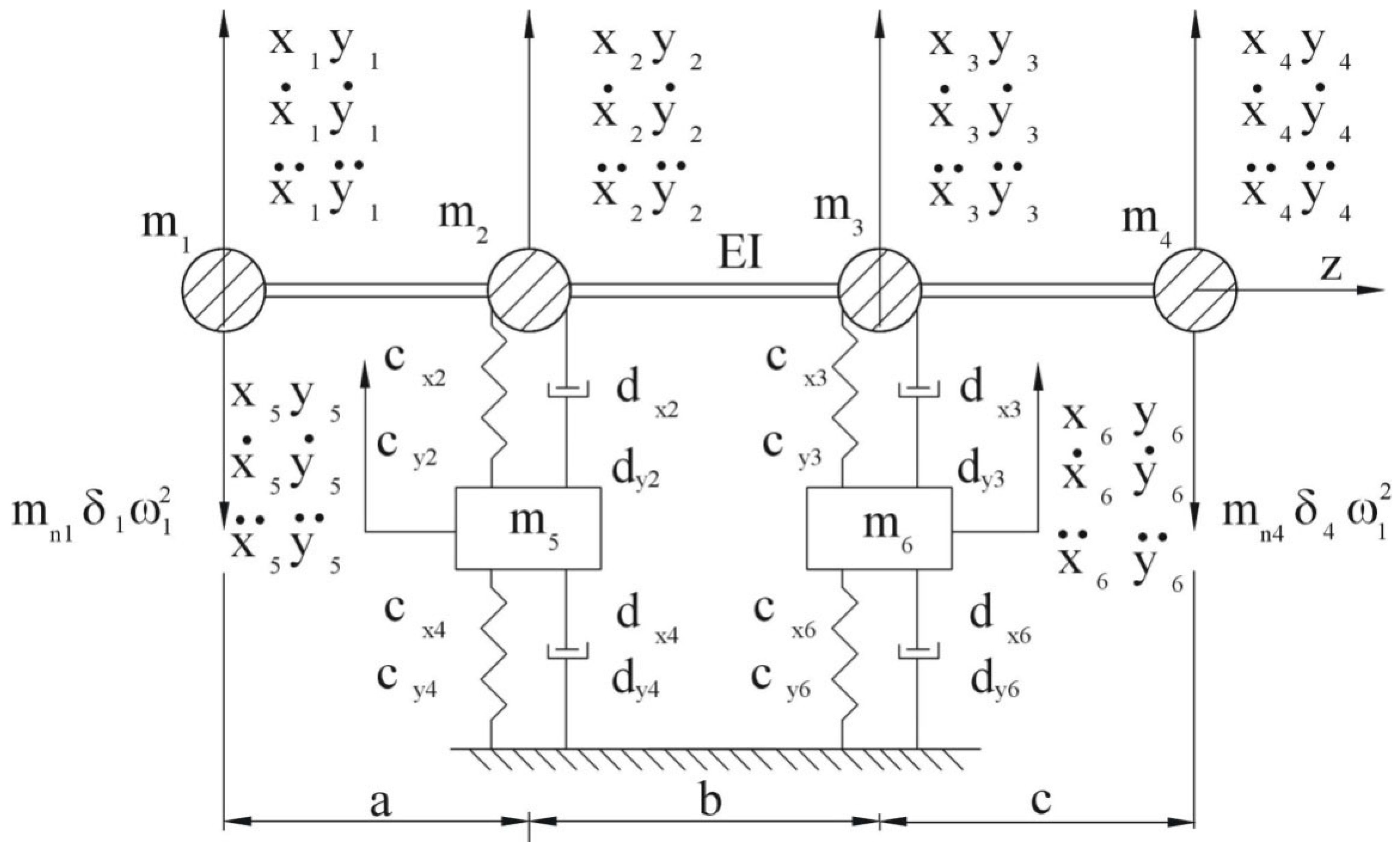
In order to analyse how the aforesaid factors affect the operation of a turbocharger, a dynamic model of the rotating assembly was developed [22]. The model is presented in Figure 8.
Figure 8.
Dynamic model of a rotating assembly with bearing arrangement. Source: own elaboration.
Every bearing in the model was modelled taking into account the weight of the floating ring. Furthermore, the ability of both oil films to dampen vibrations was factored in by taking into account the stiffness and damping coefficients. The movement of the model was considered in two planes: OXZ and OYZ. The stiffness coefficients (cx, cy) and damping coefficients (dx,dy) were treated as conjugate quantities.
Each of the rotors with continuously distributed masses was replaced by a point mass located in the centre of the mass. The compressor rotor was replaced by the mass m4, whereas the turbine rotor was replaced by the mass m1. The distributed mass of the shaft was replaced by two masses, m2 and m3. The floating rings were replaced by the masses m5 and m6. The sections of the shaft between the supports were treated as elements with constant stiffness E∙I. The exciting forces acting on the masses m1 and m4 were the forces of gravity and forces caused by the imbalance of the rotating masses. The effect of the dynamic imbalance [14] was omitted, based on the assumption that the additional masses mn1 and mn4 are located at distances δ1 and δ4, respectively. Consequently, each point mass is a source of an external exciting force equal to mn1∙δ1∙ω12 and mn4∙δ4∙ω12. At the same time, it was assumed that these forces do not work in one phase, and the phase shift angle is φ.
The equations of motion (1) for the model written in accordance with the method of forces for each of the masses of this model in the planes OXZ and OYZ take the following forms:
whereas the equations of motion (2) written in the matrix form in the planes OXZ and OYZ are as follows:
The replacement stiffness coefficients (cx2, cx3, cx4, cx6, cy2, cy3, cy4, cy6) and the replacement damping coefficients of the oil films (dx2, dx3, dx4, dx6, dy2, dy3, dy4, dy6) for the planes OXZ and OYZ are given by (3):
where
- cxx and cxy are the stiffness coefficients of the oil film in the plane OXZ,
- cyx and cyy are the stiffness coefficients of the oil film in the plane OYZ,
- dxx and dxy are the damping coefficients of the oil film in the plane OXZ,
- and dyx and dyy are the damping coefficients of the oil film in the plane OXY.
The coefficients cxy and dxy factor in the impact of forces acting in the plane OYZ on displacements in the OXZ plane. The coefficients cyx and dyx incorporate the impact of forces acting in the plane OXZ on displacements in the plane OYZ.
The impact factors αxrs and αyrs (where x is the plane OXZ, y is the plane OYZ, r = 1, 2, 3, 4, and s = 1, 2, 3, 4) incorporated into the mathematical model of the bearing unit are deflections measured in the s-th point, resulting from the application of the unit force F = 1 (N) in the r-th point (Figure 9).
Figure 9.
Determination of the impact factors for the rotating assembly model. Source: own elaboration.
The following relationship occurs for the impact factors:
αxrs = αxsr.
αyrs = αysr.
The impact factors (4) for the OXZ plane are as follows:
3. Test Results
The results of the tests of the turbocharger rotating assembly carried out on the test bench (Section 3) showed that most often the improper operation of turbochargers is caused by improperly selected clearances of radial slide bearings with a floating ring. Therefore, in theoretical studies, three values of the radial clearance quotient were assumed to calculate the operating parameters of the rotating unit: C*R = CR2/CR1 = 0.5; 1.12; 2.0. These values correspond to the manufacturing tolerances of the bearings. The imbalances of the turbine and compressor rotors were assumed to be constant values, Nw1 = Nw4 = const. The calculations were carried out for both static and dynamic equilibrium positions. For the static equilibrium position, the following values were calculated: the maximum temperature, T1,2 max, and pressure, p1,2max, of the oil film; and the minimum height of the oil film, h1,2min. For the position of dynamic equilibrium in the analysed nodes of the rotating assembly, the amplitudes of the displacement of vibrations x1,2…6, y1,2,…6, and in the bearing nodes of the rotating system, the amplitudes of vibration accelerations a*y5,6 and a*x5,6 were related to the standard gravity g = 9.81 m/s2.
The parameters presented in Table 1 were used in numerical calculations for the rotating turbocharger assembly.
Table 1.
Preset values.
The authors of this paper used these parameters to calculate the impact of the relative eccentricities ε1 and ε2 of the film on the speed quotient N* in the static equilibrium position for N1 = 26,000 rpm, N1 = 34,000 rpm, N1 = 420,000 rpm, and ε = 0.8 (Table 2).
Table 2.
Bearing operating parameters in the static equilibrium position for N1 = 26,000, 34,000, 420,000 rpm, and ε2 = 0.8.
Figure 10 shows the impact of the relative eccentricities ε1 and ε2 of the oil film on the speed quotient, N*.
Figure 10.
Quotient of the rotational speed of the floating ring and the bearing journal N* = N2/N1 as a function of relative eccentricity of the inner and outer oil film: ε1 and ε2. Source: own elaboration.
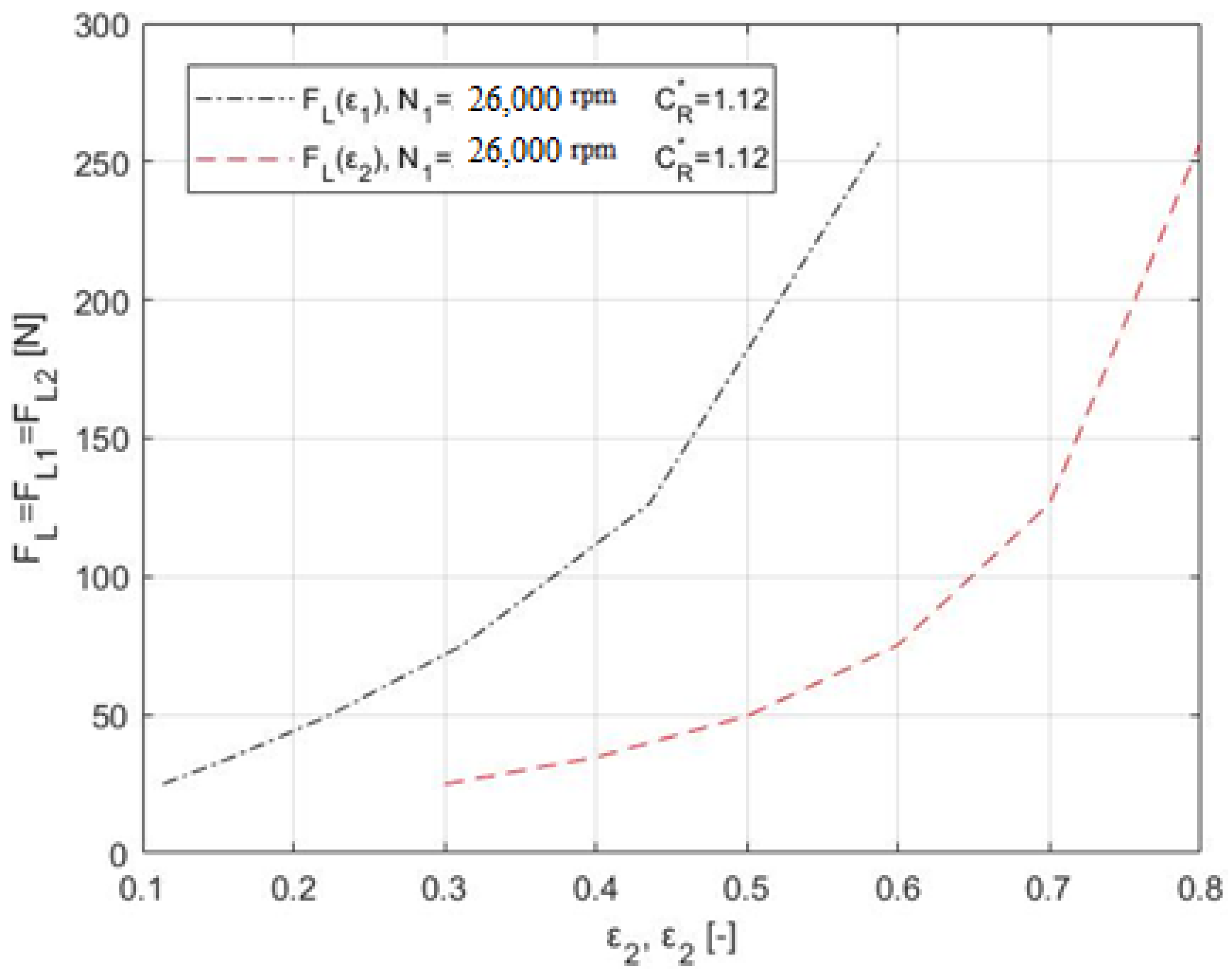
Figure 11 shows the impact of the relative eccentricities ε1 and ε2 of the oil film on the oil film load capacity, FL.
Figure 11.
Oil film load capacity, FL = FL1 = FL2, as a function of relative eccentricities ε1 and ε2. Source: own elaboration.
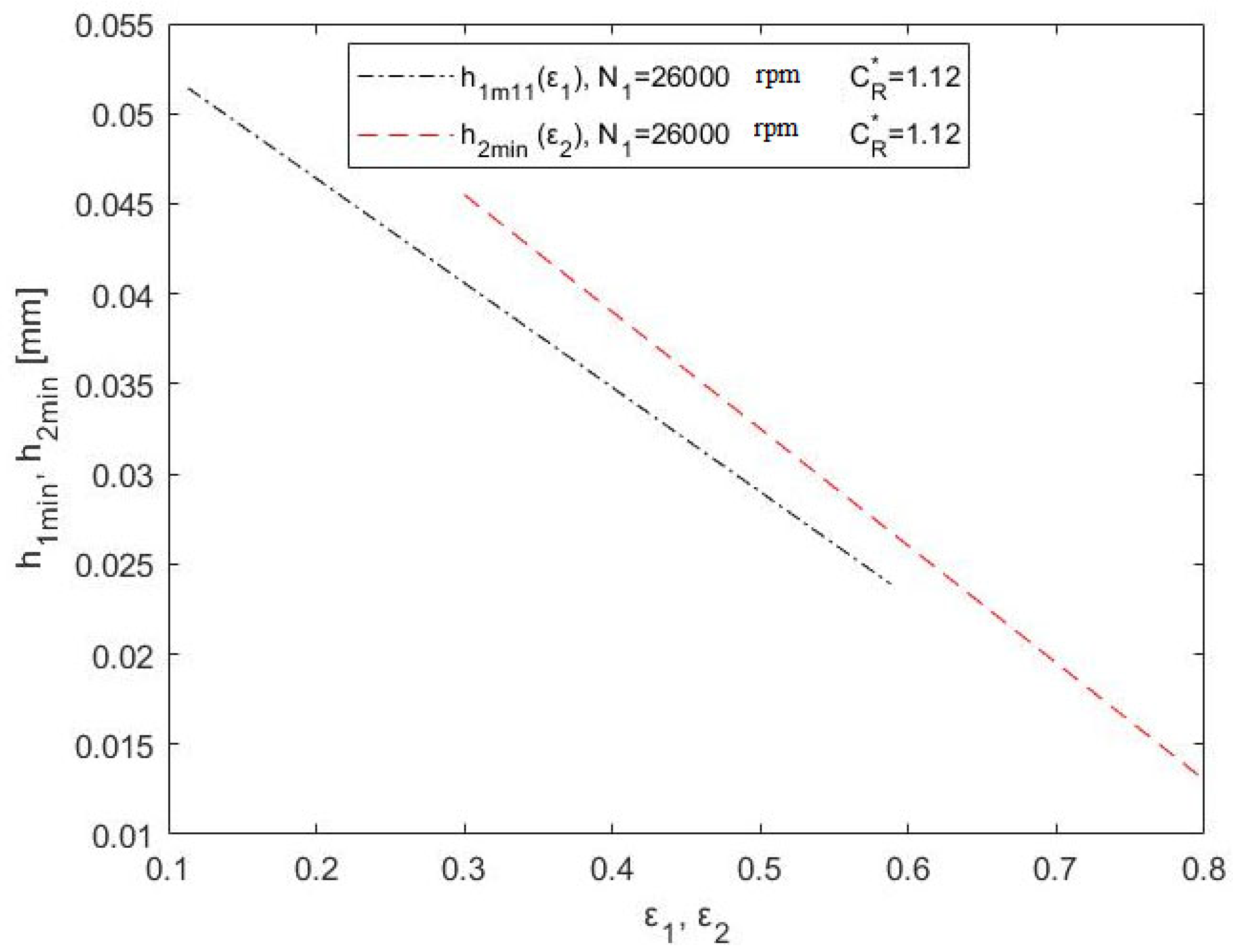
Figure 12 shows the impact of the relative eccentricities ε1 and ε2 of the oil film on changes in the minimum hight of the oil film, h1,2min.
Figure 12.
Impact of the relative eccentricities ε1 and ε2 on the minimum heights of the oil film h1min and h2min. Source: own elaboration.
Figure 13 and Figure 14 show the impact of the relative eccentricities ε1 and ε2 of the oil film on changes in the maximum pressure, p1,2max, and the maximum temperature, T1,2max, in the oil films.
Figure 13.
Impact of the relative eccentricities ε1 and ε2 on the maximum oil pressures p1max and p2max. Source: own elaboration.
Figure 14.
Impact of the relative eccentricities ε1 and ε2 on the maximum oil temperatures T1max and T2max. Source: own elaboration.
Table 3 shows the amplitudes of vibration displacements in the nodes of the turbocharger rotating assembly for the radial clearance quotients C*R = 0.5 and C*R = 1.12, and ε2 = 0.8.
Table 3.
Amplitude of vibration displacements (m) in the nodes of the turbocharger rotating assembly for the radial clearance quotients C*R = 0.5 and C*R = 1.12, and ε2 = 0.8.
Table 4 shows the amplitudes of vibration displacements in the nodes of the turbocharger rotating assembly for the radial clearance quotients C*R = 0.5 and C*R = 1.12, and ε2 = 0.8.
Table 4.
Amplitudes of vibration displacements in the bearing nodes of the turbocharger rotating assembly for C*R = 0.5 and C*R = 1.12, and ε2 = 0.8 related to the standard gravity g = 9.81 m/s2.
4. Conclusions
Tests of the turbocharger rotating assembly were carried out for the static and dynamic equilibrium positions. For the static equilibrium position, the calculations showed, among other things, that:
- The turbocharger rotating assembly for relative eccentricity ε2 = 0.8, radial clearance quotients C*R = 0.5 and C*R = 1.12 and rotational speed range N1 = 26,000–42,000 rpm was stable. It was also stable for rotational speed N1 = 26,000 rpm, ε2 = 0.7, and C*R = 0.5 (Table 3 and Table 4). In the remaining analysed cases, the rotating assembly was unstable.
- In the range ε1,2 ∈ (0.1–0.4) the maximum temperatures, T1,2max, decrease, and for ε1,2 > 0.4 the maximum temperatures, T1,2max, increase.
- An increase in the radial clearance quotient C*R (Table 2) causes an increase in the speed quotient .
- The speed quotient increases with an increase in the speed N1 (Table 2).
- An increase in the relative eccentricities, ε1,2 (Figure 12), causes a decrease in the minimum oil film heights, h1,2min.
Based on the test results for the dynamic equilibrium position presented in Table 3 and Table 4, it can be concluded that:
- For C*R = 0.5 and C*R = 1.12 the largest vibration displacements occur in node no. 4 (Table 3).
- For C*R = 0.5 and C*R = 1.12 the largest amplitudes of vibration accelerations occur in node no. 6 (Table 4).
- For the radial clearance quotient C*R = 0.5, the vibration acceleration amplitudes related to the standard gravity in the tested speed range do not exceed the acceptable values.
Based on the conducted tests, it can be concluded that guaranteeing the proper operation of a turbocharger rotating assembly is a complex problem and depends on the factors presented in this paper. The main problem is guaranteeing the correct operating parameters of the bearings in the static and dynamic equilibrium positions. In order to obtain such operating parameters, a compromise must be sought, e.g., between the maximum temperature in oil films, T1,2 max, the amplitudes of vibration acceleration in the bearing nodes, and * x,5,6, y5,6. As shown by the tests, an increase in the radial clearance quotient causes a decrease in the maximum temperatures of oil films and an increase in the amplitudes of vibration accelerations. Moreover, a stable solution is obtained only for properly loaded bearings, which increases the maximum temperature in the outer oil film.
This article presents considerations focusing on the area of model and bench tests of a selected batch of turbochargers, focusing mainly on the vibration measurements of the turbocharger rotating assembly. Like any research experiment, this one also has its limitations. Certainly, in the near future, much broader analyses will be needed, in particular covering other parameters related to the operation of the turbocharger, which were omitted by the authors of this study and, among other things, increasing the service life of the turbocharger structural elements. In addition, further research in this topic should focus on aspects related to the analysis of changes in the field of new technological and production solutions implemented in several key areas for the design of modern turbochargers. In the authors’ opinion, an important element of further research in this area should also be an economic analysis consisting in comparing the costs of conducting model and bench tests.
Summing up the presented considerations concerning the assessment of selected dynamic parameters of rotating turbocharger assemblies on the basis of comparative model and bench tests, it should be stated that they certainly do not fully exhaust the essence of the issue. They are only a fragment of the complexity of the topic mentioned, and at the same time they are an incentive for further research in this matter. Therefore, such analyses will be the subject of future works aimed at defining and identifying the key factors for the lifetime of the efficiency of using turbochargers in the currently used internal combustion engines.
Author Contributions
Conceptualization, A.M., W.H., W.L. and Z.Ł.; methodology, A.M. and W.H.; software, A.M. and W.H.; validation, A.M. and W.H.; formal analysis, A.M., W.H. and W.L.; investigation, A.M.,W.H.,W.L. and Z.Ł.; resources, A.M. and W.H.; data curation, A.M. and W.H.; writing—original draft preparation, A.M., W.H. and W.L.; writing—review and editing, A.M., W.H. and W.L.; visualization, A.M. and W.H.; supervision, A.M., W.H. and W.L.; project administration A.M., W.H. and W.L.; funding acquisition, A.M., W.H., W.L. and Z.Ł. All authors have read and agreed to the published version of the manuscript.
Funding
This research received no external funding.
Institutional Review Board Statement
Not applicable.
Informed Consent Statement
Not applicable.
Data Availability Statement
Not applicable.
Conflicts of Interest
The authors declare no conflict of interest.
Abbreviations
| a | Amplitude of vibration accelerations (m/s2), |
| B | Bearing bush width (m), |
| cxx, cxy, cyx, cyy | Oil film stiffness coefficients (N/m), |
| cp | Specific heat measured at constant pressure (J/kg °C), |
| CRi =Ri − RJi | Radial clearance (m), |
| C*R = CR2/CR1 | Radial clearance quotient (−), |
| dxx, dxy, dyx, dyy | Oil film damping coefficients (N·s/m), |
| D | Diameter (m), |
| e | Eccentricity (m), |
| F | Bearing load (N), |
| FL | Oil film load capacity (N), |
| h | Lubrication gap height (m), |
| N1 | Rotation of the turbocharger rotors in revolutions per minute (rpm), |
| M | Moment (N∙m), |
| Mt | Moment of friction (N∙m), |
| n | Rotational speed (rps), |
| p | Pressure (N/m2), |
| pz | Pressure of oil supplying the bearing (N/m2), |
| R | Radius (m), |
| xi = φl · Ri | Cartesian coordinate in the circumferential direction, amplitude of vibration displacements (m), |
| y | Cartesian coordinate in the radial direction, amplitude of vibration displacements (m), |
| z | Cartesian coordinate in the direction of the roll axis of the bearing (m), |
| βi | Angle between the centre lines and the start of the angular coordinates φi (rad), |
| εi | Relative eccentricity (−), |
| η | Dynamic viscosity of oil (Pa·s), |
| λ | Thermal conductivity coefficient (W/m·deg), |
| ρ | Oil density (kg/m3), |
| φi | Angular coordinate (rad), |
| ω | Angular speed (1/s), |
| J | Journal; rotor journal for inner oil film or floating ring for outer oil film, |
| i = 1 | Inner oil film, |
| i = 2 | Outer oil film, |
| lim | Limit value, |
| max | Maximum value, |
| w = 1 | Bearing on the turbine side, |
| w = 4 | Bearing on the compressor side, |
| * | Dimensionless value. |
References
- Copa, J.R.; Tuna, C.E.; Silveira, J.L.; Boloy, R.A.M.; Brito, P.; Silva, V.; Cardoso, J.; Eusébio, D. Techno-Economic Assessment of the Use of Syngas Generated from Biomass to Feed an Internal Combustion Engine. Energies 2020, 13, 3097. [Google Scholar] [CrossRef]
- Caban, J.; Vrabel, J.; Górnicka, D.; Nowak, R.; Jankiewicz, M.; Matijošius, J.; Palka, M. Overview of Energy Harvesting Technologies Used in Road Vehicles. Energies 2023, 16, 3787. [Google Scholar] [CrossRef]
- Wróblewski, P.; Drożdż, W.; Lewicki, W.; Dowejko, J. Total Cost of Ownership and Its Potential Consequences for the Development of the Hydrogen Fuel Cell Powered Vehicle Market in Poland. Energies 2021, 14, 2131. [Google Scholar] [CrossRef]
- Dziubak, T.; Karczewski, M. Experimental Studies of the Effect of Air Filter Pressure Drop on the Composition and Emission Changes of a Compression Ignition Internal Combustion Engine. Energies 2022, 15, 4815. [Google Scholar] [CrossRef]
- Yang, Z.; Konovalov, D.; Radchenko, M.; Radchenko, R.; Kobalava, H.; Radchenko, A.; Kornienko, V. Analysis of Efficiency of Thermopressor Application for Internal Combustion Engine. Energies 2022, 15, 2250. [Google Scholar] [CrossRef]
- Chen, W.J. Rotordynamics and bearing design of turbochargers. Mech. Syst. Signal Process. 2012, 29, 77–89. [Google Scholar] [CrossRef]
- Li, Y.; Liang, F.; Zhou, Y.; Ding, S.; Du, F.; Zhou, M.; Bi, J.; Cai, Y. Numerical and experimental investigation on thermohydrodynamic performance of turbocharger rotor-bearing system. Appl. Therm. Eng. 2017, 121, 27–38. [Google Scholar] [CrossRef]
- Ramos, D.J.; Daniel, G.B. A new concept of active hydrodynamic bearing for application in rotating systems. Tribol. Int. 2021, 153, 106592. [Google Scholar] [CrossRef]
- Ryu, K.; Yi, H. Wire Mesh Dampers for Semi-Floating Ring Bearings in Automotive Turbochargers: Measurements of Structural Stiffness and Damping Parameters. Energies 2018, 11, 812. [Google Scholar] [CrossRef]
- Adiletta, G. Stability Effects of Non-Circular Geometry in Floating Ring Bearings. Lubricants 2020, 8, 99. [Google Scholar] [CrossRef]
- Smolík, L.; Dyk, Š. Towards efficient and vibration-reducing full-floating ring bearings in turbochargers. Int. J. Mech. Sci. 2020, 175, 105516. [Google Scholar] [CrossRef]
- Allmaier, H.; Priestner, C.; Reich, F.M.; Priebsch, H.H.; Novotny-Farkas, F. Predicting friction reliably and accurately in journal bearings—Extending the EHD simulation model to TEHD. Tribol. Int. 2013, 58, 20–28. [Google Scholar] [CrossRef]
- Domes, B. Amplituden der Unwucht—Und SelbsterregenSchwingungenHochtourigermitRotierenden und nichtrotierendenSchwimmendenBüchsen. Ph.D. Thesis, Universität Karlsruhe, Karlsruhe, Germany, 1980. [Google Scholar]
- Peixoto, T.F.; Cavalca, K.L. Thrust bearing coupling effects on the lateral dynamics of turbochargers. Tribol. Int. 2020, 145, 106166. [Google Scholar] [CrossRef]
- Sander, D.E.; Allmaier, H.; Priebsch, H.H.; Witt, M.; Skiadas, A. Simulation of journal bearing friction in severe mixed lubrication—Validation and effect of surface smoothing due to running. Tribol. Int. 2016, 96, 173–183. [Google Scholar] [CrossRef]
- Buluschek, B. Das SchwimmbüchsenlagerbeistationäremBetrieb. Ph.D. Thesis, Institut für Grundlagen der MaschinenKonstruktion, ETH Zürich, Zürich, Switzerland, 1980. [Google Scholar]
- Kim, S.; Palazzolo, A.B. Effects of thermohydrodynamic (THD) floating ring bearing model on rotordynamic bifurcation. Int. J. Non-Linear Mech. 2017, 95, 30–41. [Google Scholar] [CrossRef]
- Tian, L.; Wang, W.J.; Peng, Z.J. Dynamic behaviours of a full floating ring bearing supported turbocharger rotor with engine excitation. J. Sound Vib. 2011, 330, 4851–4874. [Google Scholar] [CrossRef]
- Zhou, H.-L.; Feng, G.-Q.; Luo, G.-H.; Ai, Y.-T.; Sun, D. The dynamic characteristics of a rotor supported on ball bearings with different floating ring squeeze film dampers. Mech. Mach. Theory 2014, 80, 200–213. [Google Scholar] [CrossRef]
- Blaut, J.; Breńkacz, Ł. Applications of the Teager-Kaiser energy operator in diagnostics of a hydrodynamic bearing. Eksploat. I Niezawodn. Maint. Reliab. 2020, 22, 757–765. [Google Scholar] [CrossRef]
- Chasalevris, A.; Louis, J.-C. Evaluation of Transient Response of Turbochargers and Turbines Using Database Method for the Nonlinear Forces of Journal Bearings. Lubricants 2019, 7, 78. [Google Scholar] [CrossRef]
- Krause, R. Experimentelle Untersuchung eines dynamisch beanspruchten Schwimmbüchsenlagers. Ph.D. Thesis, Institut für Grundlagen der MaschinenKonstruktion, ETH Zürich, Zürich, Switzerland, 1987. [Google Scholar]
Disclaimer/Publisher’s Note: The statements, opinions and data contained in all publications are solely those of the individual author(s) and contributor(s) and not of MDPI and/or the editor(s). MDPI and/or the editor(s) disclaim responsibility for any injury to people or property resulting from any ideas, methods, instructions or products referred to in the content. |
© 2023 by the authors. Licensee MDPI, Basel, Switzerland. This article is an open access article distributed under the terms and conditions of the Creative Commons Attribution (CC BY) license (https://creativecommons.org/licenses/by/4.0/).













