Abstract
The release behavior of sulfur and chlorine compounds into the gas phase of walnut shell particles (WNS) is studied with an entrained flow reactor. Experiments are carried out in nitrogen (N2), carbon dioxide (CO2) atmosphere and under air and oxy-fuel conditions at different temperatures (T = 1000–1300 °C) and stoichiometries ( = 0.8–1.1). A total of 98.7% of fuel-bound sulfur volatilizes as sulfur dioxide (SO2), carbonyl sulfide (COS) and hydrogen sulfide (H2S) in the gas phase in N2 atmosphere at 1000 °C. As hydrogen chloride (HCl), 37.0% of the chlorine is released at this temperature. In CO2 atmosphere, a similar total release of sulfur and chlorine is observed (1000 °C). With each temperature increment, the release of SO2, H2S and HCl in the gas phase decreases (N2 and CO2 atmosphere). SO2 forms the major sulfur component in both atmospheres. In CO2 atmosphere, higher concentrations of COS were detected than in N2 atmosphere. Air and oxy-fuel combustion conditions show significantly lower SO2, COS and HCl concentrations as in N2 and CO2 atmosphere. No H2S is detected in the gas phase during any of the combustion trials.
Keywords:
walnut shell; entrained flow reactor; pyrolysis; gasification; combustion; oxy-fuel; sulfur; chlorine 1. Introduction
In order to limit the global warming target to 1.5 °C, as set out in the Paris Agreement [1], carbon dioxide emissions must be reduced to zero by about 2055 [2]. Currently, about 79% of global carbon dioxide (CO2) emissions are energy related [3]. The largest contribution to reducing these emissions can come from the energy sector [2]. Current projections for primary energy demand do not foresee a decrease in absolute fossil fuel consumption until 2040 [3]. Therefore, a significant part of the solutions to reduce CO2 emissions will be the application of carbon capture, utilization and storage (CCUS) technologies.
One advanced method for achieving CCUS in combustion systems is the oxy-fuel process. In this process, the atmosphere in the combustion zone consists mainly of carbon dioxide, water (H2O) and oxygen (O2). The major advantage is the ability to produce a flue gas that consists almost entirely of CO2, which facilitates utilization or storage.
Combining the oxy-fuel process with CCUS allows for nearly carbon neutral fossil fuel combustion. If biomass is used instead of fossil fuels, a net carbon sink is created, which results in net negative CO2 emissions [2,4]. The process is referred to as bioenergy carbon capture, utilization and storage (BECCUS), and is expected to account for a relevant share of future primary energy supply [2,5]. However, the replacement of conventional fossil fuels with biomass is associated with a number of barriers that need to be resolved. The main problem is the strong formation of deposits that promote corrosion when firing biomass fuels, as they are particularly rich in sulfur (S), chlorine (Cl) and potassium (K) [6,7]. The formation of the gases (SO2, COS, H2S and HCl) is critical for several reasons. The concentrations in the flue gas may not exceed the country-specific emission control limits. This can require costly measures in power plants, such as flue gas desulfurization. On the other hand, the gases promote corrosion in power plants. This may cause a direct corrosion by accelerating the oxidation of the metal alloys [8,9], or the interaction with alkali metals contained in biomass. Alkali sulfates (e.g., sodium sulfate (NaSO4), dipotassium sulfate (K2SO4)) or alkali chlorides (e.g., sodium chloride (NaCl), potassium chloride (KCl)) can be formed. These compounds form deposits on the heating surfaces and are extremely corrosive [10,11]. Due to the flue gas recirculation during oxy-fuel combustion, corrosive gases and deposits can accumulate in the combustion chamber. This can result in a high corrosion in oxy-fuel power plants.
The formation of sulfur in biomass is divided into organic and inorganic forms [12]. The organic part is released at low temperatures. It is assumed that the release of sulfur in biomass starts at about 180 °C. The decomposition of cysteine and methionine, the two most important sulfur-containing precursors of plant proteins, takes place at 178 and 183 °C [6,13]. The inorganic fraction remains in the char during pyrolysis and is released at temperatures above 900 °C [6,14]. It is observed that the amount of sulfur released into the gas phase during the pyrolysis of biomass at temperatures of 400 °C is more than 50%. While at temperatures above 500 °C, only a small amount of additional sulfur is released [15]. Released sulfur compounds can be reabsorbed by pyrolysis temperatures of more than 325 °C [15]. Thermodynamic equilibrium calculations indicate that sulfatic sulfur is transformed by decomposition and interactions with organic material [16]. The second release step occurs during the burnout of the char [12]. The release pathways include the evaporation of alkali sulfates at temperatures above 1000 °C or the decomposition of sulfate, releasing SO2 into the gas phase. The balance between organic and inorganic sulfur species is important for the release behavior. The two sulfur species are mainly relevant in different temperature ranges and thus in different stages of the combustion process. Released sulfur can be reabsorbed into the fuel bed through secondary reactions with the char matrix. Subsequently, it is released again during char conversion along with the high-temperature inorganic release of S compounds [17].
The release of chlorine gas species is an important factor in thermal conversion of fuels. On the one hand, chlorine gas species are air pollutants [18], and on the other hand, chlorine release promotes the forming of corrosive deposits in power plants [19,20]. Chlorine species released from the combustion of biomass are the main cause of corrosion in grid firing [21,22]. Chlorine bound in solid fuels is classified into inorganic and organic chlorine. Inorganic chlorine consists of mainly chlorides of sodium or potassium [23]. Studies show that chlorine release occurs from both organic and inorganic fraction from fuel [14,24,25]. Chlorine, which is released at low temperatures in the form of HCl [14,25] can potentially be recovered by secondary reactions with available metals in the fuel [14,26]. Studies show KCl is the main chlorine species in biomass [14]. Thermodynamic calculations show the preferential bonding between chlorine and potassium in the solid and gaseous phases [22,27]. Experimental and simulative studies show that sulfation of KCl releases HCl [6,28].
The approach of this study is to convert existing power plants to oxy-fuel combustion by flue gas recirculation. Using walnut shells as renewable can create net negative CO2 emissions during electricity generation. However, the sulfur and chlorine release during walnut shell oxy-fuel combustion is poorly studied. The change in the combustion atmosphere from O2/N2 to O2/CO2 affects the release behavior. This can have negative effects on power plants, such as corrosion or pollutant formation. In order to prevent corrosion and pollutant formation, the sulfur and chlorine release is investigated in this study. The experiments are carried out in an entrained flow reactor with particle heating rates comparable to large-scale furnaces. We provide experimental data necessary for further the development of a sulfur and chlorine reaction mechanism. The release is studied in four atmospheres: N2 and CO2 to describe the early combustion process in which walnut shell particles devolatilize, and O2/N2 and O2/CO2 to investigate the influence of char conversion.
2. Material and Methods
2.1. Fuel Characterization
Pulverized walnut shell particles with a size range of 100–250 µm were used for the investigations in this study. Moisture, volatile and ash content of the fuel are determined according to the German standards [29,30,31]. Sulfur and chlorine content are determined according to the German standards DIN 51724 and DIN 51727 [32,33]. The sulfur and chlorine content amounts to 0.04% and 0.29%, respectively. Ultimate, proximate analysis and ash composition are summarized in Table 1.
Table 1.
Chemical properties of walnut shell particles.
2.2. Entrained Flow Reactor
An entrained flow reactor (EFR) is used to carry out the experiments. Details are shown in Figure 1. It is heated electrically (up to 1600 °C) and can be operated under pressure (up to 20 bar). Nitrogen, carbon dioxide, air and oxygen (or a mixture thereof) can be supplied to the reactor. Pulverized fuel is fed from the top in the reaction zone (feed rates up to 500 g/h). The dosing system is located above the reactor (not shown in Figure 1). A pressure vessel surrounds the system. A constant gas flow (co-flow) is steaming through the dosing system into the particle injection lance. A container, which is continuously stirred, contains the fuel particles. Fuel particles are gravimetrically dosed via a screw feeder and fall from the outlet of the screw into a vibrating trough, which homogenizes the particle stream. The container and screw feeder are mounted on load cells. This allows controlled operation of the screw and dosing with low fluctuations (approximately ±5 g/h around the mean value). The particles are transported into the reaction zone through a water-cooled injection lance. Due to the water cooling, the temperature of the particle-loaded carrier gas stream is less than 20 °C. This prevents premature thermal reaction of the fuel particles. The lance is located in the preheating zone of the reactor. This consists of nine electrically heated secondary gas flow paths (co-flow), which heat the co-flow to the temperature of the reaction zone. A fixed bed of aluminum oxide spheres is located in gas flow paths to improve heat transfer. At the bottom part of the preheating section is an injection nozzle located where the particle-loaded primary gas flow and co-flow enter the reaction zone. The co-flow enters the reaction zone through an annular gap. By preheating the co-flow, particle heating rates of up to 104 K/s can be achieved, which are comparable to heating rates of a large-scale furnace.
Figure 1.
Drawing of the entrained flow reactor.
The main component of the reactor is a vertical reaction zone made of ceramic tube with a total length of 2200 mm and an inner diameter of 70 mm. The wall temperature of the reaction zone is regulated by six heating elements on each level installed around the reaction zone. Gas samples can be collected at different positions in the reaction zone (gas sampling ports 3–5). The distance from the injector nozzle amounts to 600, 1300 and 2000 mm, respectively.
2.3. Measuring Techniques
Gas samples are taken at position 4 (Figure 1) with a ceramic tube. The mean particle residence time is estimated to be 0.5 s according to [34]. The ceramic tube enters the reaction zone of the EFR vertically. A gas flow of 40 L/h is extracted from the reaction zone. A PTFE fine filter is positioned directly after the ceramic tube, which removes the majority of particulate matter from the sampling gas. The sampling gas is transported through a 1 m long flexible PTFE tube with an inner diameter of 4 mm to a mass spectrometer and gas suction pump. A filter, tubes and all other parts in contact with the sampling gas after the outlet of the reactor were heated up to 180 °C to prevent condensation in the sampling line. The inlet of the mass spectrometer (GAM 200, InProcess Instruments, Bremen, Germany) is positioned in a T-connector located in the sampling line. The spectrometer is calibrated for the following 10 gas species: nitrogen (N2), oxygen (O2), argon (Ar), carbon monoxide (CO), carbon dioxide (CO2), methane (CH4), sulfur dioxide (SO2), carbonyl sulfide (COS), hydrogen sulfide (H2S) and hydrogen chlorine (HCl). In addition, ionic currents with mass-to-charge ratios (m/z) of 47 amu and 76 amu are recorded. These are proportional to carbon disulfide (CS2) and methanethiol (CH4S) concentrations.
2.4. Determination of Sulfur and Chlorine Release
For the discussion of the EFR experiments, it is of interest to determine the fraction of sulfur or chlorine release from the fuel. For this purpose, the molar flue gas flow is calculated. It is assumed N2 is not involved in the reactions. Thus, the molar mass flow rate of N2 entering the reactor corresponds to the molar mass flow rate present in the flue gas. The molar mass flow rate of the flue gas () is determined via a N2 balance according to the following equations by using the constant N2 molar mass flow rate () and the measured volume fraction ():
Equation (1) contains the nitrogen fraction () of the gas entering the reactor, the pressure p, the volume flow (), the temperature (T) and the universal gas constant (R).
The yields of the specific sulfur species (, , ) are defined as the ratio of sulfur present in the gas phase as SO2, COS and H2S, (, , ) and the amount of sulfur entering the reactor () according to Equations (2)–(4) [35]:
The chlorine release () is defined as the ratio of the amount of substance chlorine present in the gas phase as HCl () and the amount of chlorine () entering the reactor, according to Equation (5):
In Equations (2)–(5), the molar mass flow rate of the flue gas (), the measured molar mass fraction of sulfur species (, , ), the molar mass fraction of HCl (), the fuel mass flow rate (), the sulfur and chlorine content of the fuel () and () and the molar masses of sulfur and chlorine ( and ) are used for the calculations.
The total sulfur release () is calculated from the sum of the release of the individual species (Equation (6)):
During the experiments in CO2 and O2/CO2 atmospheres, no more inert gas (N2) is introduced into the reactor. The determination of the flue gas flow according to Equations (2)–(5) is not possible. It is assumed that the molar mass flow rate of the flue gas in CO2 atmosphere is equal to the molar mass flow rate in N2 atmosphere. This assumption is made because the gas flow entering the reactor is 20 times higher than the fuel flow. The error amounts a maximum of 1% if the fuel is completely converted in the CO2 atmosphere.
Further, it is assumed that the molar mass flow rate of the flue gas in air atmosphere corresponds to the oxy-fuel conditions. Even due to the high CO2 content in the O2/CO2 atmosphere, the char conversion could be higher than in air atmosphere. The maximum error amounts to 1% for a sub-stoichiometric combustion.
For the calculation of the sulfur or chlorine release, quantities with uncertainties are used (Table 2). By the applied calculation operations (Equations (1)–(6)), these uncertainties are combined according to DIN 1319-4 [36].
Table 2.
Uncertainties of the quantities used in the determination of sulfur and chlorine release.
2.5. Experimental Procedure
Sulfur and chlorine concentrations are determined in various atmospheres (N2, CO2, O2/N2 and O2/CO2) and different temperatures (1000–1300 °C). In combustion experiments (air and oxy-fuel conditions), the stoichiometric ratios (0.8 < < 1.1) are additionally varied. The gas sampling is performed at position 4 with a particle residence time of approximately 0.5 s. The distance to the injector nozzle amounts to 1300 mm (Figure 1).
The Experiments in N2 and CO2 atmosphere are performed with a constant fuel mass flow () of 0.15 kgh and a constant gas flow () of 2.5 normal mh. The experiments in O2/N2 and O2/CO2 atmosphere are performed with a constant fuel mass flow of 0.2 kgh and a gas flow, which varies depending on the stoichiometric ratio (1 mh < < 1.38 mh). The EFR is operated at a maximum atmospheric over pressure of 3.5 mbar during the experiments.
For this study, a total of 24 different experiments are performed. The experimental parameters of fuel supply (), gas flow (), oxygen-fuel equivalence ratio () and temperature (T) are listed in Table 3. Prior to all experiments, the EFR and the fuel supply are purged with the specific gas for three hours to set the required atmosphere in the reaction zone. The atmosphere is controlled with the mass spectrometer. After the temperature of the reaction zone and co-flow is reached, the fuel feed is started. Once steady-state conditions (stable gas species concentrations) are reached, the gas concentrations are recorded for at least 10 min.
Table 3.
Parameters of experiments.
3. Results and Discussion
The EFR is operated under four different atmospheres: N2 and CO2 to study sulfur and chlorine release in the early stage of the combustion process, and combustion conditions (air and oxy-fuel) to study the influence of char conversion at different stoichiometric ratios. An overview of the experiments is given in Table 3.
3.1. Pyrolysis in Nitrogen and Gasification Carbon Dioxide Atmosphere
The release of sulfur and chlorine species (SO2, H2S, COS and HCl) during pyrolysis in nitrogen atmosphere is shown in Figure 2. All of the sulfur and chlorine species under consideration occur in the gas phase. The species have their maximum at 1000 °C and their concentrations decrease with increasing temperature. SO2 is the major sulfur species and its maximum concentration amounts to 35 ppm. The release of COS is less than SO2, the maximum concentration is 5 ppm at 1000 °C. H2S is detected at low levels (<1 ppm). It is assumed H2S is released during pyrolysis and reacts in the gas phase with CO or CO2 to COS according to Equations (7) and (8) [37,38]. A high temperature favors this behavior, so H2S completely reacts to COS at temperatures above 1000 °C.
Figure 2.
Concentrations in N2 atmosphere.
At the temperature of 1000 °C, 98.7% of the sulfur contained in the fuel was detected in the gas phase in the form of SO2, COS and H2S (Figure 3). The yield decreases with increasing temperature. At 1300 °C only 2.3% of the sulfur contained in the fuel is released as SO2, H2S and COS.
Figure 3.
Yields of SO2, COS, H2S and HCl in N2 atmosphere.
Sulfur that is not released during pyrolysis could be released in other forms or remain in the char. Possible hydrocarbon sulfides in the gas phase could be carbon disulfide (CS2) and methanethiol (CH4S). The ionic currents of these species (76 and 47 amu) show a decreasing trend with increasing temperature in both atmospheres (Figure 4 and Figure 5). This indicates that the sulfur reacts with the ash or is released in the gas phase in a different form.
Figure 4.
Ion currents in N2 atmosphere.
Figure 5.
Ion currents in CO2 atmosphere.
One option is the formation of elementary sulfur under reducing conditions from H2S and SO2 according to the Claus process (Equation (9)). Calculations in [39,40] show that with increasing temperature (1000 to 1300 °C) the conversion of SO2 and H2S to elemental sulfur increases.
Another possible reaction is the formation of calcium sulfide (CaS) according to Equations (10) and (11). Calcium oxide (CaO) reacts with COS or H2S. The resulting CaS has a high melting point and remains in the ash. Studies show that this mechanism is enhanced with increasing temperature [41,42].
Figure 4 and Figure 5 additionally show that the target ion currents of CS2 are relatively similar in both atmospheres. However, the target ion currents of CH4S are about 100 times in the CO2 atmosphere. This indicates that a CO2 atmosphere promotes the release of CH4S.
Figure 6 shows the concentration of sulfur compounds in CO2 atmosphere. The concentrations of SO2 at different temperatures are lower than in N2 atmosphere. However, the COS concentrations are higher. CO2 promotes the reaction of sulfur to COS according to Equation (8). Comparing the sulfur release in both atmospheres (Figure 3 and Figure 7), it is clear that at temperatures below 1300 °C the sulfur release in both atmospheres is approximately the same. This shows that the sulfur contained in the fuel is already converted into the gas phase during pyrolysis, since the higher burnout during gasification has no influence on an increased sulfur release.
Figure 6.
Concentrations in CO2 atmosphere.
Figure 7.
Yields of SO2, COS, H2S and HCl in CO2 atmosphere.
The concentrations of hydrogen chloride reach their maximum values at 1000 °C in both atmospheres (Figure 2 and Figure 6). The change in atmosphere has no effect on the formation of HCl at this temperature. The formation decreases in both atmospheres with increasing temperature. A faster decrease is observed in carbon dioxide atmosphere. This could be due to the increased CO2 concentration, which favors the release of chlorohydrocarbons such as chloromethane (CH3Cl) and chloroethane (C2H5Cl), resulting in less HCl being formed. In [6], it is shown that with increasing temperature potassium and chlorine are released from biomass. The observation suggests that at high temperatures potassium reacts with chlorine to form KCl. Simulations performed in [7] show an increased release of chlorine as KCl in biomass with increasing temperature. In [43], it is shown that HCl reacts with calcium carbonate (CaCO3) or iron oxide (FeO) to form calcium dichloride (CaCl2) or iron dichloride (FeCl2) (Equations (12) and (13)). The decrease in HCl concentration with increasing temperature is confirmed by these studies. Approximately 37.9% of the chlorine obtained in the fuel is released as HCl at 1000 °C in both environments (Figure 3 and Figure 7).
3.2. Combustion under Air and Oxy-Fuel Conditions
The experiments in O2/N2 and O2/CO2 atmospheres are carried out at two wall temperatures and four different stoichiometric conditions. The results of the sulfur and chlorine concentrations (T = 1000 °C, 1300 °C) are shown in Figure 8, Figure 9, Figure 10 and Figure 11. The yields are shown in Figure 12, Figure 13, Figure 14 and Figure 15.
Figure 8.
Concentrations in O2/N2 atmosphere.
Figure 9.
Concentrations in O2/CO2 atmosphere.
Figure 10.
Concentrations in O2/N2 atmosphere.
Figure 11.
Concentrations in O2/CO2 atmosphere.
Figure 12.
Yields of SO2, COS, H2S and HCl in O2/N2 atmosphere.
Figure 13.
Yields of SO2, COS, H2S and HCl in O2/CO2 atmosphere.
Figure 14.
Yields of SO2, COS, H2S and HCl in O2/N2 atmosphere.
Figure 15.
Yields of SO2, COS, H2S and HCl in O2/CO2 atmosphere.
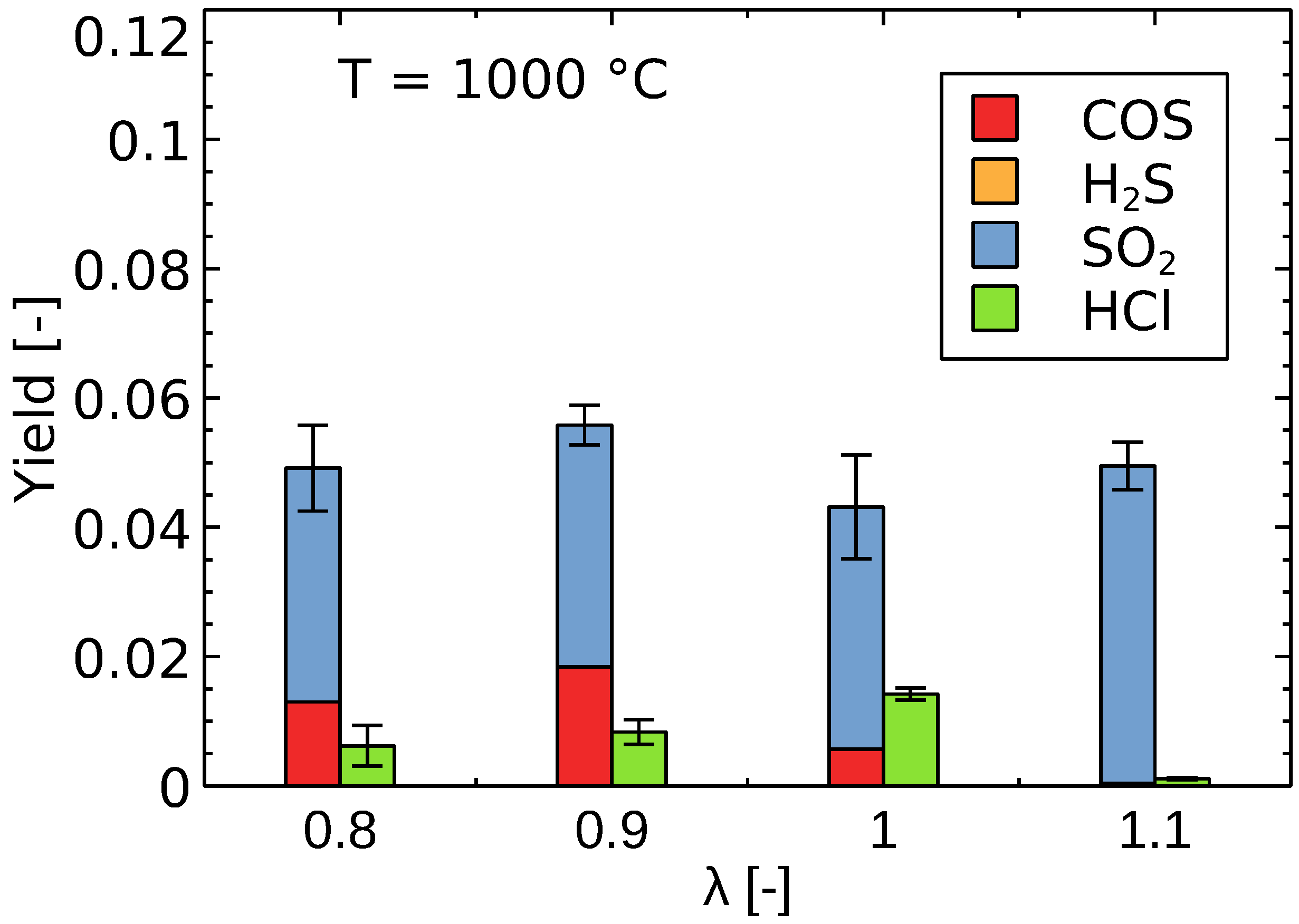
Figure 8 illustrates the concentrations in the gas phase of SO2, COS and H2S at 1000 °C. In comparison with the pyrolysis experiments (Figure 2), all measured sulfur concentrations are lower, regardless of the stoichiometry during combustion. This is due to the fact that gaseous potassium compounds react with SO2 and O2 to form K2SO4 due to the higher oxygen content in the oxidizing atmosphere [44,45,46]. In all experiments, H2S is not detected.
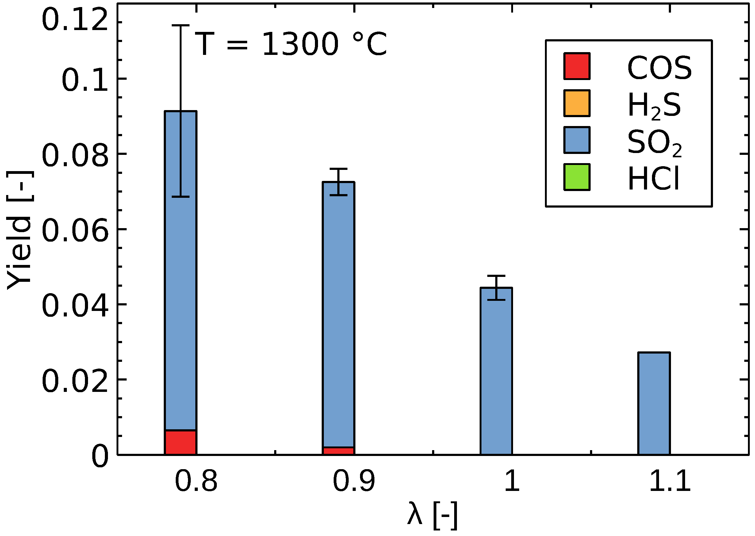
The comparison of the results in air atmosphere (Figure 8 and Figure 10) show a lower SO2 concentration at 1000 °C than at 1300 °C. In addition to potassium, SO2 can be bound by calcium oxide contained in the fuel according to Equations (14) and (15) [47,48]. However, at higher temperatures the reactions run in the opposite direction, so the sulfur remains in the gas phase as SO2.
Figure 10 shows a decreasing SO2 concentration with increasing stoichiometry. The K2SO4 formation can be promoted by the increasing oxygen partial pressure. Figure 8 and Figure 10 further show the formation of COS only at sub-stoichiometric conditions ( < 1). At an abundance of oxygen ( > 1), COS is oxidized to SO2. The sulfur yield in the gas phase at 1000 °C is nearly constant over stoichiometry and is about 2.5% (Figure 12). At 1300 °C the yield amounts to 9.1% ( = 0.8) and decreases to 2.7% ( = 1.1) with increasing stoichiometry (Figure 14).
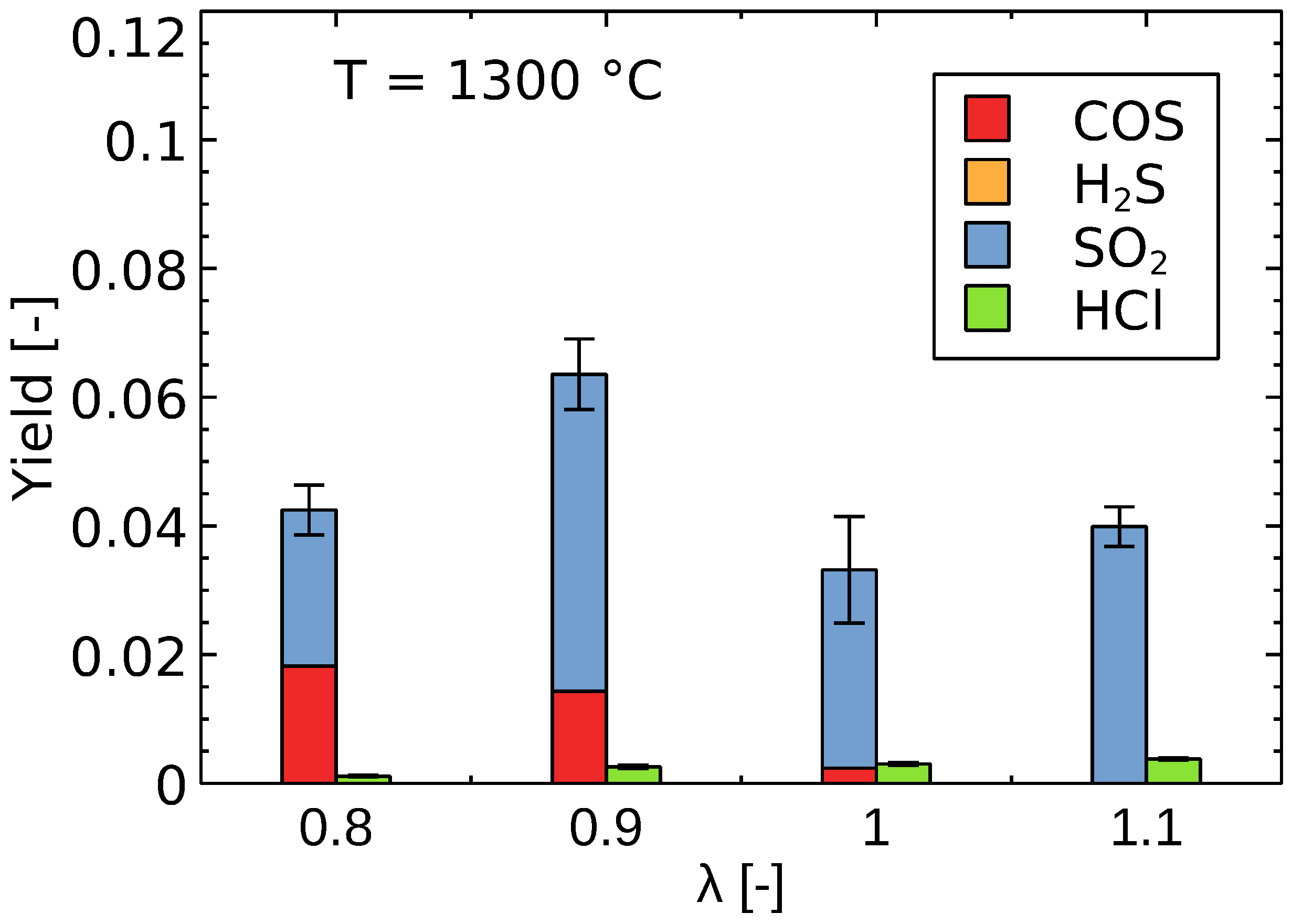
The comparison between the air and oxy-fuel environment at 1000 °C demonstrates higher SO2 and COS concentrations during oxy-fuel combustion (Figure 8 and Figure 9). A higher CO2 partial pressure in O2/CO2 atmosphere promotes the formation of COS and inhibits the reaction of CaO with SO2, since CaO is able to react with CO2 to form CaCO3 according to Equation (16). Thus, a higher temperature (1300 °C) has nearly no effect on the SO2 concentrations in O2/CO2 atmosphere (Figure 11). The yield of sulfur in O2/CO2 atmosphere at is nearly constant over the stoichiometry (Figure 13 and Figure 15). It amounts to 1000 °C, approximately 4.9%, and is two times higher as in air atmosphere.
While the SO2 concentration at 1300 °C decreases with increasing stoichiometry in an air environment (Figure 10), no clear trend is observed in an oxy-fuel environment (Figure 11). The reason could be the formation of additional sulfur hydrocarbons, which are formed at substoichiometric conditions under oxy-fuel combustion. The COS concentration under oxy-fuel combustion at 1300 °C is higher than in air atmosphere as well and decreases with increasing stoichiometry (Figure 10). The maximum sulfur yield under oxy-fuel combustion amounts to 6.4% (T = 1300 °C, = 0.9).
In addition, Figure 8, Figure 9, Figure 10, Figure 11, Figure 12, Figure 13, Figure 14 and Figure 15 show the chloride concentrations and yields of the fuel as HCl. While in air atmosphere HCl is only detected at sub-stoichiometric conditions and at 1000 °C (Figure 8 and Figure 10), HCl is detected in the oxy-fuel combustion at all experimental points (Figure 9 and Figure 11). The CO2 atmosphere can inhibit the formation of KCl by causing potassium to react with CO2 to form potassium carbonate (K2CO3). As a result, more chlorine can be released as HCl. The release shows no clear trend over stoichiometry. This may be due to the release of chlorine as chlorohydrocarbons in sub-stoichiometric conditions. The thesis is supported by the fact that K2CO3 is found in fly ashes from biomass fired boilers [49].
4. Conclusions
Decreasing concentrations of SO2 and HCl with increasing temperature are observed in N2 and CO2 atmospheres. It is assumed elemental sulfur or calcium sulfide is formed. Ion currents of CH4S and CS2 show a probable origin of this species. With increasing temperature, the currents are decreasing in both atmospheres. A decreasing HCl concentration with increasing temperature suggests more KCl is formed. This can result in corrosive deposits. Higher COS concentrations are detected in CO2 atmosphere, which are decreasing with increasing temperature. COS could cause increased corrosion in an enriched CO2 atmosphere. A total of 98.7% of fuel-bound sulfur volatilizes as SO2, COS and H2S in N2 atmosphere at 1000 °C. As HCl, 37.0% of the chlorine is released at this temperature in N2 atmosphere. In CO2 atmosphere, a similar total release of sulfur and chlorine is observed (1000 °C).
Combustion experiments show significantly lower concentrations of SO2, COS, H2S and HCl as in N2 and CO2 atmospheres. It is assumed sulfur initially released during combustion and forms K2SO4 due to the oxidizing atmosphere. This promotes the formation of corrosive deposits. Higher CO2 partial pressure can inhibit the formation of K2SO4 and promote the formation of K2CO3 at low temperatures, resulting in increased SO2 and COS formation. No H2S was detected in the gas phase during any of the combustion trials.
Future work is needed to provide quantitative assessment of ash samples and the evaluation of sulfur and chlorinated hydrocarbons (such as CH4S, CS2, CH3Cl and C2H5Cl) in the early stage of combustion. In addition, low heating rate experiments are needed to obtain detailed information on the release kinetics.
Author Contributions
Conceptualization, C.Y. and M.R.; methodology, C.Y.; validation, C.Y., M.R. and J.S.; formal analysis, C.Y.; investigation, C.Y.; data curation, C.Y.; writing—original draft preparation, C.Y., M.R. and J.S.; writing—review and editing, C.Y. and M.R.; visualization, M.R.; supervision, J.S. and B.E.; funding acquisition, B.E. All authors have read and agreed to the published version of the manuscript.
Funding
This work was funded by the Deutsche Forschungsgemeinschaft (DFG, German Research Foundation)—215035359—SFB/TRR 129 ‘Oxyflame’.
Data Availability Statement
The experimental data will be published as soon as possible.
Acknowledgments
We acknowledge support by the Deutsche Forschungsgemeinschaft (DFG—German Research Foundation) and the Open Access Publishing Fund of Technical University of Darmstadt.
Conflicts of Interest
The authors declare no conflict of interest.
Abbreviations
The following abbreviations are used in this manuscript:
| Roman | |
| Al2O3 | Aluminium oxide |
| CaO | Calciumoxid |
| CaCO3 | Calcium carbonate |
| CaCl2 | Calcium dichloride |
| CaS | Calcium sulfide |
| Cl | Sodium |
| CH3Cl | Chloromethane |
| CH4S | Methanethiol |
| C2H5Cl | Chloroethane |
| CO2 | Carbon dioxide |
| COS | Carbonyl sulfide |
| CaSO3 | Calcium sulfite |
| CS2 | Carbon disulfide |
| CaSO4 | Calcium sulfate |
| FeO | Iron oxide |
| FeCl2 | Iron dichloride |
| H2 | Hydrogen |
| H2O | Water |
| H2S | Hydrogen sulfide |
| HCl | Hydrogen chloride |
| K | Potassium |
| KCl | Potassium chloride |
| K2CO3 | Dipotassium carbonate |
| K2O | Dipotassium oxide |
| K2SO4 | Dipotassium sulfate |
| Fuel mass flow (kg s) | |
| MgO | Magnesium oxide |
| Molar mass flow rate (mol s) | |
| N2 | Nitrogen |
| NaCl | Sodium chloride |
| O2 | Oxygen |
| p | Pressure (bar) |
| R | Universal gas constant (8.314 J mol K) |
| S | Sulfur |
| SO2 | Sulfur dioxide |
| SiO2 | Quartz |
| T | Temperature (°C) |
| Combined standard uncertainty | |
| Uncertainty of the individual measurands | |
| Volume flow (m3 s) | |
| Chlorine content of the fuel (%) | |
| Sulfur content of the fuel (%) | |
| x | Volume fraction (%) |
| y | Yield (-) |
| Greek | |
| Standard deviation | |
| Stoichiometric ratio (-) | |
| Abbreviations | |
| amu | Atomic mass unit |
| BECCUS | Bioenergy carbon capture, utilization and storage |
| CCUS | Carbon capture, utilization and storage |
| EFR | Entrained flow reactor |
| FG | Flue gas |
| MV | Measured value |
| MEA | Monoethanolamine scrubbing |
| m/z | Mass to charge ratio |
| WNS | Walnut shell |
| PTFE | Polytetrafluoroethylene |
References
- United Nations Framework Convention on Climate Change. Paris Agreement; United Nations: New York, NY, USA, 2015. [Google Scholar]
- Allen, M.; Antwi-Agyei, P.; Aragon-Durand, F.; Babiker, M.; Bertoldi, P.; Bind, M.; Brown, S.; Buckeridge, M.; Camilloni, I.; Cartwright, A.; et al. Technical Summary: Global Warming of 1.5 °C. An IPCC Special Report on the Impacts of Global Warming of 1.5 °C above Pre-Industrial Levels and Related Global Greenhouse Gas Emission Pathways, in the Context of Strengthening the Global Response to the Threat of Climate Change, Sustainable Development, and Efforts to Eradicate Poverty; Intergovernmental Panel on Climate Change: Geneva, Switzerland, 2019. [Google Scholar]
- Birol, F.; Cozzi, L.; Gould, T.; Bouckaert, S.; Kim, T.Y.; McNamara, K.; Wanner, B.; McGlade, C.; Olejarnik, P.; Adam, Z. World Energy Outlook 2019; International Energy Agency: Paris, France, 2019. [Google Scholar]
- Gough, C.; Thornley, P.; Mander, S.; Vaughan, N.; Lea-Langton, A. Biomass Energy and Carbon Capture and Storage (BECCS): Unlocking Negative Emissions, 1st ed.; Wiley: Hoboken, NJ, USA, 2018. [Google Scholar]
- Solano Rodriguez, B.; Drummond, P.; Ekins, P. Decarbonizing the EU energy system by 2050: An important role for BECCS. Clim. Policy 2017, 17, S93–S110. [Google Scholar] [CrossRef]
- Johansen, J.M.; Jakobsen, J.G.; Frandsen, F.J.; Glarborg, P. Release of K, Cl, and S during Pyrolysis and Combustion of High-Chlorine Biomass. Energy Fuels 2011, 25, 4961–4971. [Google Scholar] [CrossRef]
- Wei, X.; Schnell, U.; Hein, K. Behaviour of gaseous chlorine and alkali metals during biomass thermal utilisation. Fuel 2005, 84, 841–848. [Google Scholar] [CrossRef]
- Stanger, R.; Wall, T.; Spörl, R.; Paneru, M.; Grathwohl, S.; Weidmann, M.; Scheffknecht, G.; McDonald, D.; Myöhänen, K.; Ritvanen, J.; et al. Oxyfuel combustion for CO2 capture in power plants. Int. J. Greenh. Gas Control 2015, 40, 55–125. [Google Scholar] [CrossRef]
- Nielsen, H.P.; Frandsen, F.J.; Dam-Johansen, K.; Baxter, L.L. The implications of chlorine-associated corrosion on the operation of biomass-fired boilers. Prog. Energy Combust. Sci. 2000, 26, 283–298. [Google Scholar] [CrossRef]
- Coda, B.; Aho, M.; Berger, R.; Hein, K.R.G. Behavior of Chlorine and Enrichment of Risky Elements in Bubbling Fluidized Bed Combustion of Biomass and Waste Assisted by Additives. Energy Fuels 2001, 15, 680–690. [Google Scholar] [CrossRef]
- Van Lith, S.C.; Frandsen, F.J.; Montgomery, M.; Vilhelmsen, T.; Jensen, S.A. Lab-scale Investigation of Deposit-induced Chlorine Corrosion of Superheater Materials under Simulated Biomass-firing Conditions. Part 1: Exposure at 560 °C. Energy Fuels 2009, 23, 3457–3468. [Google Scholar] [CrossRef]
- Knudsen, J.N.; Jensen, P.A.; Lin, W.; Frandsen, F.J.; Dam-Johansen, K. Sulfur Transformations during Thermal Conversion of Herbaceous Biomass. Energy Fuels 2004, 18, 810–819. [Google Scholar] [CrossRef]
- Dayton, D.C.; Jenkins, B.M.; Turn, S.Q.; Bakker, R.R.; Williams, R.B.; Belle-Oudry, D.; Hill, L.M. Release of Inorganic Constituents from Leached Biomass during Thermal Conversion. Energy Fuels 1999, 13, 860–870. [Google Scholar] [CrossRef]
- Knudsen, J.N.; Jensen, P.A.; Dam-Johansen, K. Transformation and Release to the Gas Phase of Cl, K, and S during Combustion of Annual Biomass. Energy Fuels 2004, 18, 1385–1399. [Google Scholar] [CrossRef]
- Lang, T.; Jensen, A.D.; Jensen, P.A. Retention of Organic Elements during Solid Fuel Pyrolysis with Emphasis on the Peculiar Behavior of Nitrogen. Energy Fuels 2005, 19, 1631–1643. [Google Scholar] [CrossRef]
- Telfer, M.A.; Zhang, D.K. Investigation of Sulfur Retention and the Effect of Inorganic Matter during Pyrolysis of South Australian Low-Rank Coals. Energy Fuels 1998, 12, 1135–1141. [Google Scholar] [CrossRef]
- Glarborg, P.; Marshall, P. Mechanism and modeling of the formation of gaseous alkali sulfates. Combust. Flame 2005, 141, 22–39. [Google Scholar] [CrossRef]
- Li, W.; Lu, H.; Chen, H.; Li, B. The volatilization behavior of chlorine in coal during its pyrolysis and CO2-gasification in a fluidized bed reactor. Fuel 2005, 84, 1874–1878. [Google Scholar] [CrossRef]
- Peng, B.; Li, X.; Luo, J.; Yu, X. Fate of Chlorine in Rice Straw under Different Pyrolysis Temperatures. Energy Fuels 2019, 33, 9272–9279. [Google Scholar] [CrossRef]
- Feng, C.; Zhang, M.; Wu, H. Trace Elements in Various Individual and Mixed Biofuels: Abundance and Release in Particulate Matter during Combustion. Energy Fuels 2018, 32, 5978–5989. [Google Scholar] [CrossRef]
- Mousavi, S.M.; Thorin, E.; Schmidt, F.M.; Sepman, A.; Bai, X.S.; Fatehi, H. Numerical Study and Experimental Verification of Biomass Conversion and Potassium Release in a 140 kW Entrained Flow Gasifier. Energy Fuels 2023, 37, 1116–1130. [Google Scholar] [CrossRef]
- He, Z.M.; Cao, J.P.; Zhao, X.Y. Review of Biomass Agglomeration for Fluidized-Bed Gasification or Combustion Processes with a Focus on the Effect of Alkali Salts. Energy Fuels 2022, 36, 8925–8947. [Google Scholar] [CrossRef]
- Meng, X.; Wang, Q.; Wan, B.; Xu, J.; Huang, Q.; Yan, J.; Tang, Y. Transformation of Phosphorus during Low-Temperature Co-Combustion of Sewage Sludge with Biowastes. ACS Sustain. Chem. Eng. 2021, 9, 3668–3676. [Google Scholar] [CrossRef]
- Frigge, L.; Elserafi, G.; Ströhle, J.; Epple, B. Sulfur and Chlorine Gas Species Formation during Coal Pyrolysis in Nitrogen and Carbon Dioxide Atmosphere. Energy Fuels 2016, 30, 7713–7720. [Google Scholar] [CrossRef]
- He, Z.; Lane, D.J.; Saw, W.L.; van Eyk, P.J.; Nathan, G.J.; Ashman, P.J. Ash–Bed Material Interaction during the Combustion and Steam Gasification of Australian Agricultural Residues. Energy Fuels 2018, 32, 4278–4290. [Google Scholar] [CrossRef]
- Von Bohnstein, M.; Yildiz, C.; Frigge, L.; Ströhle, J.; Epple, B. Simulation Study of the Formation of Corrosive Gases in Coal Combustion in an Entrained Flow Reactor. Energies 2020, 13, 4523. [Google Scholar] [CrossRef]
- Deng, C.; Liaw, S.B.; Wu, H. Characterization of Size-Segregated Soot from Pine Wood Pyrolysis in a Drop Tube Furnace at 1300 °C. Energy Fuels 2019, 33, 2293–2300. [Google Scholar] [CrossRef]
- Iisa, K.; Lu, Y.; Salmenoja, K. Sulfation of Potassium Chloride at Combustion Conditions. Energy Fuels 1999, 13, 1184–1190. [Google Scholar] [CrossRef]
- DIN 51718:2002-06; Testing of Solid Fuels—Determination of the Water Content and the Moisture of Analysis Sample. Beuth Verlag: Berlin, Germany, 2002. [CrossRef]
- DIN 51719:1997-07; Testing of Solid Fuels—Solid Mineral Fuels—Determination of Ash Content. Beuth Verlag: Berlin, Germany, 1997. [CrossRef]
- DIN 51720:2001-03; Testing of Solid Fuels—Determination of Volatile Matter Content. Beuth Verlag: Berlin, Germany, 2001. [CrossRef]
- DIN 51724-3:2012-07; Solid Mineral Fuels—Determination of Sulfur Content—Part 3: Instrumental Methods. Beuth Verlag: Berlin, Germany, 2012. [CrossRef]
- DIN 51727:2011-11; Testing of Solid Fuels—Determination of Chlorine Content. Beuth Verlag: Berlin, Germany, 2011. [CrossRef]
- Debiagi, P.; Yildiz, C.; Richter, M.; Ströhle, J.; Epple, B.; Faravelli, T.; Hasse, C. Experimental and modeling assessment of sulfur release from coal under low and high heating rates. Proc. Combust. Inst. 2021, 38, 4053–4061. [Google Scholar] [CrossRef]
- Frigge, L. Untersuchung der Freisetzung von Schwefel- und Chlorverbindungen während der Oxyfuel-Verbrennung von Kohle. Ph.D. Thesis, TU Darmstadt, Darmstadt, Germany, 2019. [Google Scholar]
- DIN 1319-4:1999-02; Fundamentals of Metrology—Part 4: Evaluation of Measurements; Uncertainty of Measurement. Beuth Verlag: Berlin, Germany, 1999. [CrossRef]
- Shao, D.; Hutchinson, E.J.; Heidbrink, J.; Pan, W.P.; Chou, C.L. Behavior of sulfur during coal pyrolysis. J. Anal. Appl. Pyrolysis 1994, 30, 91–100. [Google Scholar] [CrossRef]
- Attar, A. Chemistry, thermodynamics and kinetics of reactions of sulphur in coal-gas reactions: A review. Fuel 1978, 57, 201–212. [Google Scholar] [CrossRef]
- Khudenko, B.M.; Gitman, G.M.; Wechsler, T.E.P. Oxygen Based Claus Process for Recovery of Sulfur from H2S Gases. J. Environ. Eng. 1993, 119, 1233–1251. [Google Scholar] [CrossRef]
- Chardonneaua, M.; Ibrahim, S.; Gupta, A.K.; AlShoaibi, A. Role of Toluene and Carbon Dioxide on Sulfur Recovery Efficiency in a Claus Process. Energy Procedia 2015, 75, 3071–3075. [Google Scholar] [CrossRef]
- Tanner, J.; Bhattacharya, S.; Bläsing, M.; Müller, M. High-temperature pyrolysis and CO2 gasification of Victorian brown coal and Rhenish lignite in an entrained flow reactor. AIChE J. 2016, 62, 2101–2111. [Google Scholar] [CrossRef]
- Hildor, F.; Leion, H.; Mattisson, T. Steel Converter Slag as an Oxygen Carrier—Interaction with Sulfur Dioxide. Energies 2022, 15, 5922. [Google Scholar] [CrossRef]
- Tsubouchi, N.; Ohtsuka, S.; Nakazato, Y.; Ohtsuka, Y. Formation of Hydrogen Chloride during Temperature-Programmed Pyrolysis of Coals with Different Ranks. Energy Fuels 2005, 19, 554–560. [Google Scholar] [CrossRef]
- Jensen, P.A.; Frandsen, F.J.; Hansen, J.; Dam-Johansen, K.; Henriksen, N.; Hörlyck, S. SEM Investigation of Superheater Deposits from Biomass-Fired Boilers. Energy Fuels 2004, 18, 378–384. [Google Scholar] [CrossRef]
- Nielsen, H.; Baxter, L.; Sclippab, G.; Morey, C.; Frandsen, F.; Dam-Johansen, K. Deposition of potassium salts on heat transfer surfaces in straw-fired boilers: A pilot-scale study. Fuel 2000, 79, 131–139. [Google Scholar] [CrossRef]
- Robinson, A.L.; Junker, H.; Baxter, L.L. Pilot-Scale Investigation of the Influence of Coal-Biomass Cofiring on Ash Deposition. Energy Fuels 2002, 16, 343–355. [Google Scholar] [CrossRef]
- Allen, D.; Hayhurst, A.N. Kinetics of the reaction between gaseous sulfur trioxide and solid calcium oxide. J. Chem. Soc. Faraday Trans. 1996, 92, 1239–1242. [Google Scholar] [CrossRef]
- Deborah, A.; Allan, N.H. Reaction between gaseous sulfur dioxide and solid calcium oxide mechanism and kinetics. J. Chem. Soc. Faraday Trans. 1996, 92, 1227–1238. [Google Scholar] [CrossRef]
- Lehmusto, J.; Skrifvars, B.J.; Yrjas, P.; Hupa, M. Comparison of potassium chloride and potassium carbonate with respect to their tendency to cause high temperature corrosion of stainless 304L steel. Fuel Process. Technol. 2013, 105, 98–105. [Google Scholar] [CrossRef]
Disclaimer/Publisher’s Note: The statements, opinions and data contained in all publications are solely those of the individual author(s) and contributor(s) and not of MDPI and/or the editor(s). MDPI and/or the editor(s) disclaim responsibility for any injury to people or property resulting from any ideas, methods, instructions or products referred to in the content. |
© 2023 by the authors. Licensee MDPI, Basel, Switzerland. This article is an open access article distributed under the terms and conditions of the Creative Commons Attribution (CC BY) license (https://creativecommons.org/licenses/by/4.0/).














