Abstract
The enhancement of gas turbine (GT) efficiency through inlet air cooling, known as TIAC, in chillers using the heat of exhaust gas is one of the most attractive tendencies in energetics, particularly in thermal engineering. In reality, any combustion engine with cyclic air cooling using waste heat recovery chillers might be considered as a power plant with in-cycle trigeneration focused on enhancing a basic engine efficiency, which results in additional power output or fuel savings, reducing carbon emissions in all cases. The higher the fuel efficiency of the engine, the more efficient its functioning as a source of emissions. The sustainable operation of a GT at stabilized low intake air temperature is impossible without using rational design to determine the cooling capacity of the chiller and TIAC system as a whole to match current duties without overestimation. The most widespread absorption lithium-bromide chillers (ACh) are unable to reduce the GT intake air temperature below 15 °C in a simple cycle because the temperature of their chilled water is approximately 7 °C. Deeper cooling air would be possible by applying a boiling refrigerant as a coolant in ejector chiller (ECh) as the cheapest and simplest in design. However, the coefficients of performance (COP) of EChs are considerably lower than those of AChs: about 0.3 compared to 0.7 of AChs. Therefore, EChs are applied for subsequent cooling of air to less than 15 °C, whereas the efficient ACh is used for ambient air precooling to 15 °C. The application of an absorption–ejector chiller (AECh) enables deeper inlet air cooling and greater effects accordingly. However, the peculiarities of the subtropical climate, characterized by high temperature and humidity and thermal loads, require extended analyses to reveal the character of thermal load and to modify the methodology of designing TIAC systems. The advanced design methodology that can reveal and thereby forecast the peculiarities of the TIAC system’s thermal loading was developed to match those peculiarities and gain maximum effect without oversizing.
1. Introduction
Improving combustion engine operation efficiency by using cyclic air cooling in chillers using exhaust heat potential [1,2] is one of the most widespread energy-saving technologies in internal combustion engines [3,4], gas engines [5,6] and gas turbines [7,8]. Therefore, combustion engine cyclic air cooling as a whole, and turbine intake air cooling (TIAC) in particular, are kept as sustainable and prosperous trends for enhancing operation efficiency [9,10].
Many researches in energetics are focused on improving the efficiency of exhaust heat conversion [11,12], depending on the type and working fluid of the transformer limiting the cooling potential. Various exhaust output conversion chillers are applied: ammonia–water absorption chillers [13,14], absorption lithium-bromide chillers (ACh) [15,16], adsorption chillers [17,18], vapor compression [19,20] and hybrid [21,22] chillers. The application of Ach, along with inlet fogging by evaporative cooling [23,24], is most widespread in TIAC [25,26]. However, evaporative cooling is not efficient in a wet climate, and a simple cycle of an ACh is unable to lower ambient air temperature below 15 °C, because the chilled water temperature is about 7 °C [27,28].
Deeper air cooling would be possible by applying a boiling refrigerant as a coolant in the air coolers of ejector chillers (ECh) [29,30]. EChs, along with other jet devices such as thermopressors [31,32], are the most simple and cheap. However, the coefficients of performance (COP) of EChs [33,34] are considerably lower than those of AChs: about 0.3 compared to the 0.7 of AChs [35,36], and require more heat to convert into refrigeration. This could be achieved through deep exhaust heat utilization [37,38] with the application of low-temperature heating surfaces in exhaust boilers. Thus, the ECh could be applied preferably for additionally subcooling air to a lowered temperature of 10 °C, while the efficient ACh can be used for precooling ambient air to 15 °C.
In reality, the ECh generally consists of heat exchangers. Highly efficient heat exchangers [39,40] should be applied to enhance heat [41,42] and hydrodynamic [43,44] efficiency and heat flux and to reduce the pressure drop and amount of engine power wasted. The reduction in external and in-cycle irreversibility, causing additional energy loss, might be achieved by mitigating inside [45,46] and outside [47,48] instabilities, offsetting maldistribution [49,50] caused by uneven refrigerant flows [51,52], and outside load [53,54] distribution accordingly.
Many studies are devoted to rationalizing the ambient air cooling systems by taking into account site climatic conditions [55,56]. The corresponding load profiles are proposed to follow actual cooling duties [57,58], for instance, those of the sinusoidal type [59,60].
The majority of combustion engines with intake air cooling operate as cogenerative or in-cycle trigeneration plants [61,62], depending on prevailing seasonal heating or cooling duties, or their simultaneous influence [63,64]. Therefore, a lot of methodological approaches and principal findings that combine cooling, heat and power production [65,66], known as trigeneration [67,68], including building conditioning [69,70], can be successfully applied in TIAC. Various approaches to design and management [66,67,70], in particular, thermal demand management (TDM) as the most applicable [65,68,69], have been proposed. In reality, all of them focus on minimizing primary fuel consumption and carbon emissions.
Most design methods proceed from approaches to determine a thermal load covering current peaked loads that inevitably leads to overestimation, or are based on their values reduced by about 20%; these can vary considerably for quite definite climatic conditions [28,65].
From the above, developing a method to determine more precise values of the thermal load while avoiding overestimation is desirable. Moreover, such a method should be able to reveal the peculiarities of the TIAC system current thermal loading in response to actual needs.
To enhance the efficiency of the TIAC system in actual climatic conditions, two-stage inlet air cooling can be used. The two-stage GT exhaust heat conversion in a combined absorption–ejector chiller (AECh) can be applied for two-stage TIAC with hybrid coolants (chilled water from ACh and refrigerant from ECh).
It has been shown that, in temperate climatic conditions, the two-stage TIAC with an AECh provides nearly 1.5 times more annual fuel reduction compared to cooling with an ACh [8,57]. However, the efficiency of two-stage TIAC in a subtropical climate is uncertain.
The subtropical climate is characterized by high temperature and humidity of ambient air simultaneously, leading to converging dry bulb and wet bulb ambient air temperatures. This peculiarity causes increased thermal load on the GT intake air exhaust heat recovery cooling system, which requires extended analyses of the operation efficiency of the TIAC system to reveal the character of the thermal load and modify the methodology of the TIAC system design to forecast its efficient on-site operation with maximum effect without oversizing.
The research aim is to increase the efficiency of GT intake air cooling when operating in a subtropical climate by adapting the TIAC system to the peculiarities of actual thermal loading to provide fuel-efficient decarbonized turbine performance without oversizing.
2. Materials and Methods
2.1. General Assumptions and Hypothesis
The following hypotheses to describe novel approaches to developing innovative TIAC system designs and operation to match the actual subtropical climatic conditions are proposed.
The peculiarity of subtropical climatic conditions is characterized by high temperature and humidity of ambient air simultaneously, which results in converging actual dry bulb and wet bulb ambient air temperatures and increased thermal loads on TIAC systems as a consequence. This peculiarity makes it possible to generate the following hypotheses as the phenomenological base of the TIAC system design methodology.
- The values of the TIAC system cooling capacity, which provide the maximum rate of the total increase in annual effect due to TIAC, and provide practically the maximum annual effect, for instance, reduction in fuel consumption, are due to converging dry bulb and wet bulb ambient air temperatures, leading to an increase in actual thermal loading in subtropical climatic conditions.
- Converging the values of cooling capacities, which provide the maximum rate of the total effect increase due to TIAC and maximum annual effect, enables us to design TIAC systems proceeding from the maximum rate of annual effect increase at minimum installed cooling capacity and system sizes accordingly.
In temperate climates, deeper intake air cooling has been confirmed as a prosperous trend to improve turbine efficiency [8,57].
The task of the present research is to approve the efficiency of deep TIAC in subtropical climatic conditions, using central China as an example.
2.2. The Computation Procedure
The methodology developed for TIAC system design aims to define a rational value for the overall cooling capacity and its subsequent distribution according to actual thermal loading that enables it to achieve annual fuel savings close to its maximum value but without overestimation.
The basic methodology of TIAC system design was developed in [57]. It focuses on defining the optimal design cooling capacity that enables it to provide the maximum rate of the total effect increase due to TIAC as the first step, and the value of rational design cooling capacity enabling it to achieve close to the maximum value of its annual effect.
In contrast to comfort (space) air conditioning [71,72] with annual refrigeration energy production in response to its consumption as a criterion [73,74], in engine cyclic air cooling, the annual fuel reduction is applied as criterion [57,75] to determine the rational capacities to achieve maximum output.
Thus, the annual fuel reduction ΣBe due to TIAC is accepted as a primary criterion and calculated according to hour-by-hour summary procedure all year round:
where: Δta—actual value of the drop in the temperature of ambient intake air, Δta = ta − ta2, K or °C; Pe—power output of GT, kW; τ—time period, h; bet = be/Δta—specific fuel decrease for Δta = 1 K or 1 °C, accepted as 0.35 g/(kWh·K).
ΣBe = ∑(Δta · τ · bet · Pe 10−3), t,
As an example, the efficiency of the developed TIAC system was investigated for GTU GE 9351FA, nominal power 260.68 MW.
The results of the annual fuel reduction ΣBe calculation are presented as relative values for unit power of GT (Pe = 1 kW): ∑be = ∑Be/Pe, kg/kW.
The cooling capacity is also presented as relative values as specific cooling capacity q0 and calculated as the absolute value Q0, referring to the unit of air mass flow rate Ga = 1 kg/s: q0 = Q0/Ga or
where ξ—specific heat ratio; cma—humide air specific heat, kJ/(kg·K).
q0 = ξ · cma · Δta, kW/(kg/s) or kJ/kg
The actual input data for on-site ambient air current temperature ta and relative humidity φa are used by applying http://www.meteomanz.com accessed on 15 January 2020. (Figure 1).
Figure 1.
Current values of ambient air temperature ta, absolute da and relative φa humidity in July 2017: (a)—Nanjing; (b)—Shanghai.
A scheme of the developed TIAC system with two-stage air cooling in AECh is presented in Figure 2.
Figure 2.
A scheme of the developed TIAC system with two-stage cooling air in AECh: ACHT and ACLT—high- and low-temperature stages of air cooler.
The results of the calculations of rational q0rat and optimum q0opt for designing specific cooling capacities for subtropical climates in a coastal region (Shanghai) and an inland region (Nanjing) are presented in Figure 3. The optimal values q0.15opt and q0.10opt of cooling capacity for ambient air cooling to 15 °C and 10 °C, respectively, are defined according to the maximum value of the ratio Σbe/q0 within the whole range of Σbe as the first, global, maximum of the cumulative characteristic Σbe = f(q0). In their turn, the rational values q0.15rat and q0.10rat of cooling capacity are defined according to the second maximum value of the ratio (Σbe − Σbe.opt)/q0 within the range of (Σbe − Σbe.opt)/q0 beyond the first maximum of cumulative characteristic Σbe = f(q0), where Σbe > Σbe.opt. Thus, the ratio Σbe/q0 is used as an indicator to define the maximum of the cumulative characteristic Σbe = f(q0). The optimal cooling capacity q0.opt makes it possible to achieve a maximum rate of total annual effect increase Σbe/q0 due to TIAC, and the rational value of design cooling capacity q0.rat enables it to reach a practical maximum annual effect in fuel reduction, however without oversizing: q0.rat < q0.max (Figure 3a,b).
Figure 3.
Annual specific fuel reduction Σbe and relative values Σbe/q0 with a global maximum (a) and relative values (Σbe − Σbe.opt)/q0 with a local maximum (b) depending on design-specific cooling capacity q0 for 2017: ta2 = 10 °C—for AECh; 15 °C—forACh; (a,b)—Nanjing; (c,d)—Shanghai.
It can be seen that, in the subtropical climate of Shanghai, the optimum specific cooling capacity q0.10opt is close to its rational value q0.10rat. Therefore, to simplify the calculation procedure and gain more precise values of the results simultaneously, the rational design cooling capacity q0.10rat could be accepted as the optimum value increased by about 5 kJ/kg: q0.10rat = q0.10opt + 5 kJ/kg. The optimum value q0.10opt is determined according to the global maximum rate of annual specific fuel reduction increase as the first maximum of relative values Σbe/q0 over the range of their variation (Figure 3c,d).
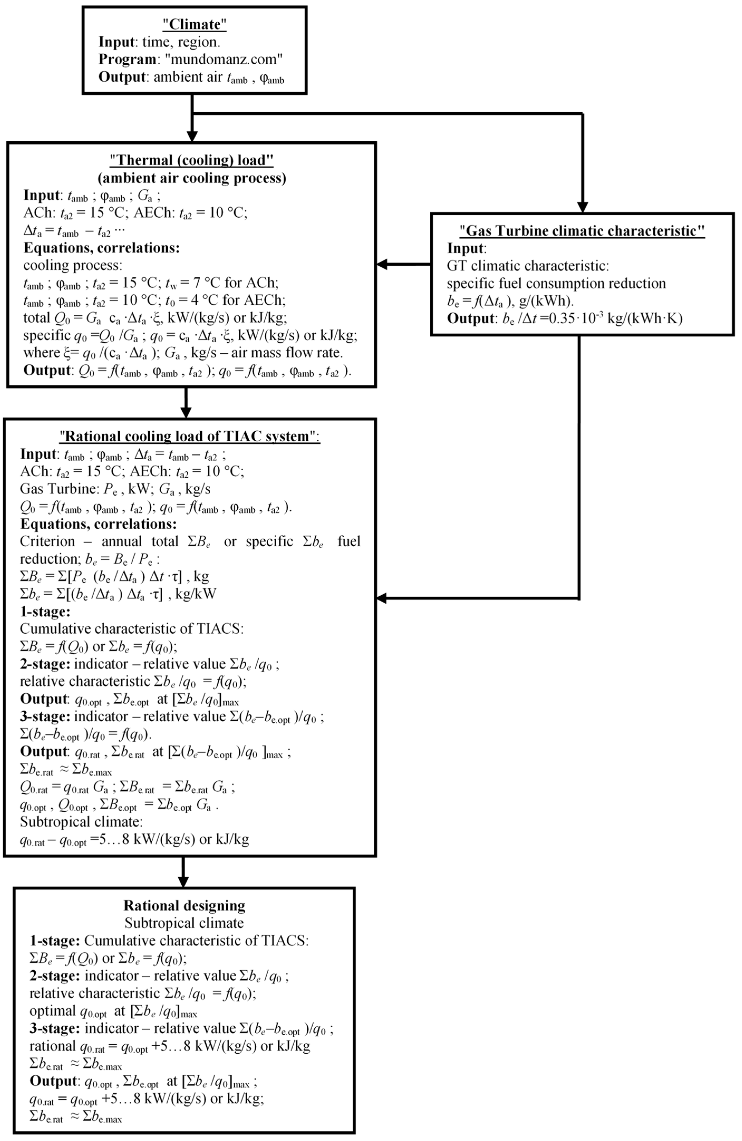
The flow chart of the calculation procedure is presented in Appendix A.
3. Results
The next step in the TIAC system design methodology is to adopt it to the actual subtropical climatic conditions and to reveal their peculiarities that enable us to simplify the calculation procedure and to justify the efficiency of TIAC system operation at design cooling capacity.
The actual values of decrease in specific fuel consumption Δbe15 due to GT inlet air cooling to 15 °C with temperature depression Δt15 using the ACh, and the values of Δbe10 according to the ambient air temperature drop Δt10 when cooling to 10 °C using the AECh were calculated for climatic conditions from July 2017 (Figure 4 and Figure 5). The calculations were conducted for GT General Electric GE 9351FA GT (rated power 260 MW), proceeding from specific fuel consumption reduction Δbe by 0.35 g/(kWh) for each 1 °C of air temperature reduction Δta.
Figure 4.
Current values of decrease in ambient air temperature at the inlet of GT Δt15 due to cooling to 15 °C with ACh, reduction in GT specific fuel consumption Δbe15 and specific cooling capacities needed q0.15: (a)—Nanjing; (b)—Shanghai.
Figure 5.
Current values of decrease in ambient air temperature at the inlet of GT Δt10 due to cooling to 10 °C with AECh, reduction in GT specific fuel consumption Δbe10 as well as specific cooling capacities needed q0.10: (a)—Nanjing; (b)—Shanghai.
The next step of the phenomenological analysis aimed to reveal the peculiarities of thermal loading in the TIAC systems to modify and simplify the design methodology.
Comparing the values of specific thermal loads when cooling ambient air to 15 °C in the ACh q0.15 and to 10 °C in a combined two-stage AECh q0.10 (Figure 6), one can see that the specific thermal load on the ECh for subcooling air from 15 °C to 10 °C, calculated as thermal load difference Δq0.10–15, is approximately 10 kJ/kg. The reason for this is that the thermal load changes fall on a comparatively high-temperature range of precooling air from the ambient temperatures ta to 15 °C in a high-temperature ACh stage.
Figure 6.
Current specific cooling capacities q0.10 needed for cooling ambient air at the inlet of GT to 10 °C in AECh, q0.15—needed for cooling air to 15 °C in ACh and their differences Δq0.10–15 as cooling capacities required for subcooling air from 15 °C to 10 °C in ECh: (a)—Nanjing; (b)—Shanghai.
In addition, the practically stable cooling capacity Δq0.10–15 required to offset the thermal load range for subcooling air confirms the hypothesis of the reasonable application of ECh as the simplest and cheapest method, despite it operating efficiently only at the stable thermal load.
4. Discussion
The values of rational q0.15rat and optimum q0.15opt specific cooling capacities, current cooling capacities q0.15 required for cooling the ambient air to 15 °C, deficit of rational q0.15rat.def and optimum q0.15opt.def cooling capacities for cooling ambient air to 15 °C in ACh, as well as their values for cooling ambient air to 10 °C in AECh during July 2017 in the subtropical climate of Nanjing and Shanghai are presented in Figure 7 and Figure 8.
Figure 7.
Actual values of specific cooling capacities q0.15 required for cooling GT inlet air to 15 °C by ACh, rational q0.15rat and optimum q0.15opt design cooling capacities, their deficit q0.15rat_d and q0.15opt_d for July 2017: (a)—Nanjing; (b)—Shanghai.
Figure 8.
Actual values of specific cooling capacities q0.10 required for cooling ambient air to 10 °C by AECh, rational q0.10rat and optimum q0.10opt design cooling capacities, their deficit q0.10rat_d and q0.10opt_.d during July 2017: (a)—Nanjing; (b)—Shanghai; q0.10rat_d = q0.10 − q0.10rat; q0.10opt_d = q0.10 − q0.10opt.
As Figure 8b shows, in the coastal subtropical climate of Shanghai, the optimum specific cooling capacity q0.10opt is close to its rational value q0.10rat and generally covers current cooling capacities q0.10, as is confirmed by the quite small and rare values of their deficit q0.10rat.d and q0.10opt.d. Therefore, to simplify the calculation procedure, the optimum value q0.10opt increased by about 5 kJ/kg could be accepted as the rational design cooling capacity q0.10rat for the subtropical coastal climate of Shanghai.
In order to cover the deficit of designed cooling capacities, deeper exhaust heat utilization [37,76] leading to increased available potential for combined air cooling in chillers of different types can be applied [77,78].
As was shown earlier, the optimum value q0.10opt is determined according to the first maximum of relative values ΣΔbe/q0 over the entire range of their variation (Figure 3a,c). In the subtropical climate of inland Nanjing, the values of optimum cooling capacity deficit q0.10opt.d are sometimes twice as high: from 5 to 10 kJ/kg, which is caused by an increased value of difference between rational q0.10rat and optimum q0.10opt design cooling capacities: q0.10rat − q0.10opt = 8 kJ/kg (Figure 3a,c and Figure 8a).
The hypothesis of accepting the optimum values of cooling capacities q0.15opt or q0.10opt increased by 5 to 8 kJ/kg as design values for ACh or AECh for a subtropical climate, justified at the differential level (by current values) (Figure 7b and Figure 8b), can be confirmed at the integral level (by total values) as well (Figure 9 and Figure 10).
Figure 9.
Current cooling capacities q0.15 for cooling ambient air to ta2 = 15 °C in ACh and optimum value q0.15opt, current excess of optimum cooling capacity q0.15opt.ex and summary excess of refrigeration energy Σ(q0.15opt.ex · τ) (a), current q0.15opt.def and summary deficit Σ(q0.15opt.def · τ) (b) during July 2017, Nanjing.
Figure 10.
Current cooling capacities q0.10 for cooling ambient air to ta2 = 10 °C with AECh and optimum value q0.10opt, corresponding current q0.15opt.ex and summary excess Σ(q0.15opt.ex · τ) (a), current q0.10opt.def and summary deficit Σ(q0.10opt.def · τ) (b) during July 2017, Nanjing.
As Figure 9 shows, the summary values of refrigeration energy deficit Σ(q0.15opt.d · τ) are entirely coved by its excess Σ(q0.15opt.ex · τ), which justifies the use of optimum cooling capacity increased by 5 to 8 kJ/kg as a design value.
The results of similar calculations of specific cooling capacities for the ambient air cooling to 10 °C in AECh are presented in Figure 10.
The practical coincidence of the optimum specific cooling capacity excess when cooling to 15 °C and 10 °C (q0.15opt.ex ≈ q0.10opt.ex) (Figure 9a and Figure 10a), as well as the corresponding values of their deficit (q0.15opt.d ≈ q0.10opt.ex) (Figure 9b and Figure 10b) are confirmed by the summary values of specific refrigeration energy excess Σ(q0.15opt.ex · τ) ≈ Σ(q0.10opt.ex · τ) and Σ(q0.15opt.d · τ) ≈ Σ(q0.10opt.d · τ).
From the analyses of the calculation results in Figure 9 and Figure 10, the following conclusion can be stated: all the deviations of the current thermal loads q0.10 from optimum q0.10opt design cooling capacities when cooling ambient air to 10 °C in AECh are caused by the corresponding deviations in the actual thermal loads q0.15 from optimum q0.15opt values for cooling ambient air to 15 °C in ACh.
Therefore, the reserves of further improving the operation efficiency of TIAC systems, and enhancing the fuel efficiency of GT as a result, should be focused on designing the ACh stage without overestimation by reducing its design cooling capacity.
This confirms the general approach to designing the innovative two-stage combined AECh TIAC system for subtropical climates by defining the optimum value providing the maximum rate of thermal loading and minimum sizes of the AECh by increasing its value for ACh by about 5 to 8 kJ/kg or kW/(kg/s). Such an approach simplifies the calculation procedure considerably and raises the accuracy simultaneously.
Figure 11 shows the fuel consumption savings in relative Be10/Be15 and absolute Be10–Be15 values for GTU GE 9351FA (General Electric) due to cooling the intake air to 10 °C in AECh and to 15 °C in ACh in July 2017 for climatic conditions in Nanjing and Shanghai (subtropical) and Lanzhou (temperate continental climate).
Figure 11.
Fuel consumption savings in relative Be10/Be15 and absolute Be10–Be15 values for GTU GE 9351FA (General Electric) due to cooling air to 10 °C in AECh and to 15 °C in ACh in July 2017: (a)—Nanjing; (b)—Shanghai.
Regarding fuel efficiency of deeper cooling in TIAC to 10 °C with combined AECh and traditional TIAC to 15 °C by ACh in the subtropical climate of Nanjing and Shanghai, one can consider proceeding from the calculation results of monthly fuel reduction Be and total fuel savings ΣBe during 2017 for 10 MW in Figure 12.
Figure 12.
The values of monthly fuel reduction Be and total fuel savings ΣBe in 2017 due to TIAC to various values of ta2: 10 °C—AECh; 15 °C—ACh; (a)—Nanjing; (b)—Shanghai.
As can be seen from the results in Figure 13, the amount of fuel saved ΣBe in 2017, while comparing a deep cooling to 10 °C (ΣBe10) in a combined AECh with a moderate cooling to 15 °C (ΣBe15) in ACh, is about 100 t. However, the aerodynamic resistance of GT intake air cooler requires power to overcome it and supplementary fuel consumption. Therefore, the actual effect, in particular in fuel reduction, will be somewhat less.
Figure 13.
The relative values of annual fuel reduction Bf/Bf15 due to TIAC to various values of ta2 referred to Bf15 gained due to cooling air to 15 °C: (a)—Nanjing; (b)—Shanghai.
Regarding fuel efficiency of deeper TIAC to 10 °C in a combined AECh as compared with traditional TIAC to 15 °C by ACh in the subtropical climate of Nanjing and Shanghai, one can consider proceeding from the results of its calculation in relative values of annual fuel reduction Bf/Bf15 due to cooling intake air to various temperatures ta2 in Figure 13.
As one can see, deeper cooling via TIAC to 10 °C with combined AECh in the subtropical climate of Nanjing and Shanghai provides about a 1.5 times greater annual fuel reduction Bf/Bf15 ≈ 1.5 as compared with typical TIAC to 15 °C with ACh (Figure 5a,b). Thus, the newly developed method enables us to determine a rational design for cooling capacity that provides nearly maximum annual fuel savings ∑B according to actual climatic conditions and avoids oversizing the chiller.
Taking into account the fact that each saved cubic meter of GT fuel reduces carbon dioxide CO2 emissions by 428.7 g and NOX by 2.78 g, the annual reduction in emissions for 2017 was calculated (Figure 14 and Figure 15).
Figure 14.
Reduction in carbon dioxide ΣCO2 emissions during 2017 due to TIAC to various values of ta2: 10 °C—in AECh; 15 °C—in ACh: (a)—Nanjing; (b)—Shanghai.
Figure 15.
Reduction in nitric oxide ΣNOX emissions during 2017 due to TIAC to various values of ta2: 10 °C—in AECh; 15 °C—in ACh: (a)—Nanjing; (b)—Shanghai.
As can be seen from Figure 15, cooling the air to 15 °C allows for a reduction in CO2 emissions by 90 t annually, depending on the climatic conditions of the region. Deeper cooling to 10 °C ensures their reduction to 140 t for the considered climatic conditions.
When air is cooled to 15 °C, NOX emissions are reduced by 0.5–0.6 t per year, while for deep cooling to 10 °C, they are increased to 0.92–0.96 t depending on the region.
Therefore, the efforts to further improve the operation efficiency of TIAC systems and to enhance the fuel and environmental efficiency of GTs as a result should focus on designing the ACh stage without overestimation at reduced (optimum) design cooling capacity for different climates. The lack of ACh stage design cooling capacity at peak thermal loads has to be covered by the excesses gained at lowered needs.
5. Conclusions
TIAC systems with two-stage combined chillers including ACh for ambient air precooling to 15 °C by chilled water as a coolant and ECh for further cooling of air to temperatures lower than 15 °C using refrigerant are considered as a novel prospective trend in enhancement of GT fuel and environmental efficiency in a subtropical climate.
A general approach to designing an innovative two-stage combined AECh TIAC system for the subtropical climate consists of defining the optimum value providing the maximum rate of thermal loading and minimum sizes of the AECh, while increasing its value for ACh by about 5 to 8 kJ/kg or kW/(kg/s). Such an approach simplifies the calculation procedure considerably and raises the accuracy simultaneously.
A TIAC system developed for cooling intake air to 10 °C using an AECh provides a reduction in specific fuel consumption by 2 to 3% of the overall specific fuel consumption and reduces carbon emissions by 15 to 20% compared to traditional methods of cooling intake air to 15 °C by ACh in subtropical climate conditions. Thus, the fuel efficiency of the two-stage TIAC has been confirmed for the subtropical climate.
The plans to further improve the operation efficiency of TIAC systems with AECh as well as enhancing fuel and environmental efficiency of GTs as a result are associated with designing an ACh stage without overestimation—at reduced, optimum, cooling capacity in different climates.
Author Contributions
Conceptualization, M.R., Z.Y., A.P. and G.B.; methodology A.R., Z.Y., A.P. and G.B.; software, A.R., H.K. and G.B.; validation, M.R., Z.Y., A.P., R.R. and G.B.; formal analysis, H.K.; investigation, A.R., Z.Y., H.K. and G.B.; data curation, M.R.; writing—original draft preparation, A.R., Z.Y. and G.B.; writing—review and editing, A.P., A.R. and H.K.; visualization, M.R., Z.Y. and G.B.; project administration, A.P. All authors have read and agreed to the published version of the manuscript.
Funding
This research received no external funding.
Conflicts of Interest
The authors declare no conflict of interest.
Nomenclature
| Nomenclature and units | ||
| ACh | Absorption lithium-bromide chiller | |
| AECh | Absorption–ejector chiller | |
| COP | Coefficient of performance | |
| ECh | Ejector chiller | |
| GT | Gas turbine | |
| TIAC | Turbine intake air cooling | |
| WAC | Water Atomization Cooling | |
| Symbols and units | ||
| a | ambient air | |
| B | fuel reduction | t |
| be | specific fuel consumption | g/kWh |
| cma | air specific heat | kJ/(kg·K) |
| da | absolute humidity | g/kg |
| G | mass flow rate | kg/s |
| Pe | power | kW |
| Q0 | total cooling capacity | kW |
| q0 | specific cooling capacity | kJ/kg; kW/(kg/s) |
| q0.15opt; q0.10opt | optimum values for cooling air to 15 °C and 10 °C | kJ/kg |
| q0.15rat; q0.10rat | rational values for cooling air to 15 °C and 10 °C | kJ/kg |
| q0.15rat_ex | excess of rational design value when cooling air to 15 °C | kJ/kg |
| q0.15opt_d | deficit of optimum design value when cooling air to 15 °C | kJ/kg |
| ta | air temperature | °C; K |
| φ | relative humidity | % |
| τ | time | h |
| Δt | temperature drop | °C; K |
| ΣB | annual, monthly fuel reduction | t |
| ξ | specific heat ratio | |
| Subscripts | ||
| 10, 15 | set temperature 10 °C and 15 °C | |
| a | ambient air | |
| d | deficit | |
| ex | excess | |
| f | fuel | |
| max | maximum | |
| opt | optimum | |
| rat | rational | |
Appendix A
Figure A1.
Flow chart of the calculation procedure.
Figure A1.
Flow chart of the calculation procedure.

References
- Patel, V.R.; Chaudhari, K.V.; Pathak, B.C.; Shekh, A.A. Evaluation of output and heat rate of the simple cycle gas turbine during the base load condition. Int. J. Adv. Res. Eng. Sci. Technol. (IJAREST) 2015, 2, 2394–2444. [Google Scholar]
- Yang, Z.; Radchenko, R.; Radchenko, M.; Radchenko, A.; Kornienko, V. Cooling potential of ship engine intake air cooling and its realization on the route line. Sustainability 2022, 14, 15058. [Google Scholar] [CrossRef]
- Radchenko, M.; Mikielewicz, D.; Andreev, A.; Vanyeyev, S.; Savenkov, O. Efficient ship engine cyclic air cooling by turboexpander chiller for tropical climatic conditions. In Integrated Computer Technologies in Mechanical Engineering (ICTM 2020); Nechyporuk, M., Pavlikov, V., Kritskiy, D., Eds.; Lecture Notes in Networks and Systems; Springer: Cham, Switzerland, 2021; Volume 188, pp. 498–507. [Google Scholar]
- Kornienko, V.; Radchenko, R.; Radchenko, M.; Radchenko, A.; Pavlenko, A.; Konovalov, D. Cooling cyclic air of marine engine with water-fuel emulsion combustion by exhaust heat recovery chiller. Energies 2022, 15, 248. [Google Scholar] [CrossRef]
- Maravera, D.; Sina, A.; Royob, J.; Sebastián, F. Assessment of CCHP systems based on biomass combustion for small-scale applications through a review of the technology and analysis of energy efficiency parameters. Appl. Energy 2013, 102, 1303–1313. [Google Scholar] [CrossRef]
- Radchenko, A.; Scurtu, I.-C.; Radchenko, M.; Forduy, S.; Zubarev, A. Monitoring the efficiency of cooling air at the inlet of gas engine in integrated energy system. Therm. Sci. 2022, 26 Pt A, 185–194. [Google Scholar] [CrossRef]
- Zhang, T.; Liu, Z.; Hao, H.; Chang, L.J. Application research of intake-air cooling technologies in gas-steam combined cycle power plants in China. Power Energy Eng. 2014, 2, 304–311. [Google Scholar] [CrossRef]
- Radchenko, A.; Radchenko, N.; Tsoy, A.; Portnoi, B.; Kantor, S. Increasing the efficiency of gas turbine inlet air cooling in actual climatic conditions of Kazakhstan and Ukraine. In Proceedings of the AIP Conference Proceedings, Nur-Sultan, Kazakhstan, 26–29 February 2020; Volume 2285, p. 030071. [Google Scholar] [CrossRef]
- Mohapatra, A.K. Comparative analysis of inlet air cooling techniques integrated to cooled gas turbine plant. J. Energy Inst. 2015, 88, 344–358. [Google Scholar] [CrossRef]
- Kamal, S.N.O.; Salim, D.A.; Fouzi, M.S.M.; Khai, D.T.H.; Yusof, M.K.Y. Feasibility Study of Turbine Inlet Air Cooling using Mechanical Chillers in Malaysia Climate. Energy Procedia 2017, 138, 558–563. [Google Scholar] [CrossRef]
- Popli, S.; Rodgers, P.; Eveloy, V. Trigeneration scheme for energy efficiency enhancement in a natural gas processing plant through turbine exhaust gas waste heat utilization. Appl. Energy 2012, 93, 623–636. [Google Scholar] [CrossRef]
- Radchenko, A.; Radchenko, M.; Mikielewicz, D.; Pavlenko, A.; Radchenko, R.; Forduy, S. Energy saving in trigeneration plant for food industries. Energies 2022, 15, 1163. [Google Scholar] [CrossRef]
- Liang, X.; He, G.; Zhou, S.; Hao, Z.; Cai, D. Absorption characteristics of NH3/NaSCN working pair in an adiabatic absorber with structured packing. Appl. Therm. Eng. 2021, 185, 116325. [Google Scholar] [CrossRef]
- Al-Tahaineh, H.A. Cooling of compressor air inlet of a gas turbine power plant using ammonia-water vapor absorption system. Int. J. Energy Eng. 2013, 3, 267–271. [Google Scholar]
- Radchenko, R.; Radchenko, N.; Tsoy, A.; Forduy, S.; Zybarev, A.; Kalinichenko, I. Utilizing the heat of gas module by an absorption lithium-bromide chiller with an ejector booster stage. In Proceedings of the AIP Conference Proceedings, Nur-Sultan, Kazakhstan, 26–29 February 2020; Volume 2285, p. 030084. [Google Scholar] [CrossRef]
- Elberry, M.F.; Elsayed, A.; Teamah, M.; Abdel-Rahman, A.; Elsafty, A. Performance improvement of power plants using absorption cooling system. Alex. Eng. J. 2018, 57, 2679–2686. [Google Scholar] [CrossRef]
- Umberto, L. Adsorber efficiency in adsorption refrigeration. Renew. Sustain. Energy Rev. 2013, 20, 570–575. [Google Scholar]
- Sur, A.; Das, R.K.; Sah, R.P. Influence of Initial Bed Temperature on Bed Performance of an Adsorption Refrigeration System. Therm. Sci. 2018, 22, 2583–2595. [Google Scholar] [CrossRef]
- Barreto, D.; Fajardo, J.; Caballero, G.C.; Escorcia, Y.C. Innovative exergy and exergoeconomic analysis of a gas power system with steam injection and air cooling with a compression refrigeration machine. Energy Technol. 2021, 9, 2000993. [Google Scholar] [CrossRef]
- Yang, Z.; Korobko, V.; Radchenko, M.; Radchenko, A.; Radchenko, R. Improving thermoacoustic low temperature heat recovery systems. Sustainability 2022, 14, 12306. [Google Scholar] [CrossRef]
- Pourhedayat, S.; Hu, E.; Chen, L. An improved semi-analytical model for evaluating performance of gas turbine power plants. Energy 2022, 267, 126583. [Google Scholar] [CrossRef]
- Serbin, S.I.; Kozlovskyi, A.V.; Burunsuz, K.S. Investigations of Nonstationary Processes in Low Emissive Gas Turbine Combustor with Plasma Assistance. IEEE Trans. Plasma Sci. 2016, 44, 2960–2964. [Google Scholar] [CrossRef]
- Anoop, K.S.; Oskar, S. Performance evaluation of steam injected gas turbine based power plant with inlet evaporative cooling. Appl. Therm. Eng. 2016, 102, 454–464. [Google Scholar]
- Dizaji, H.S.; Hu, E.J.; Chen, L.; Pourhedayat, S. Using novel integrated Maisotsenko cooler and absorption chiller for cooling of gas turbine inlet air. Energy Convers. Manag. 2019, 195, 1067–1078. [Google Scholar] [CrossRef]
- Baakeem, S.S.; Orfi, J.; Al-Ansary, H. Performance improvement of gas turbine power plants by utilizing turbine inlet air-cooling (TIAC) technologies in Riyadh, Saudi Arabia. Appl. Therm. Eng. 2018, 138, 417–432. [Google Scholar] [CrossRef]
- Kwon, H.M.; Kim, T.S.; Sohn, J.L. Performance improvement of gas turbine combined cycle power plant by dual cooling of the inlet air and turbine coolant using an absorption chiller. Energy 2018, 163, 1050–1061. [Google Scholar] [CrossRef]
- Forsyth, J.L. Gas turbine inlet air chilling for LNG. IGT Int. Liq. Nat. Gas Conf. Proc. 2013, 3, 1763–1778. [Google Scholar]
- Kalhori, S.B.; Rabiei, H.; Mansoori, Z. Mashad trigeneration potential—An opportunity for CO2 abatement in Iran. Energy Conv. Manag. 2012, 60, 106–114. [Google Scholar] [CrossRef]
- Chen, G.; Volovyk, O.; Zhu, D.; Ierin, V.; Shestopalov, K. Theoretical analysis and optimization of a hybrid CO2 transcritical mechanical compression–ejector cooling cycle. Int. J. Refrig. 2017, 74, 84–92. [Google Scholar] [CrossRef]
- Chen, G.; Ierin, V.; Volovyk, O.; Shestopalov, K. An improved cascade mechanical compression–ejector cooling cycle. Energy 2019, 170, 459–470. [Google Scholar] [CrossRef]
- Konovalov, D.; Radchenko, M.; Kobalava, H.; Kornienko, V.; Maksymov, V.; Radchenko, A.; Radchenko, R. Research of characteristics of the flow part of an aerothermopressor for gas turbine intercooling air. Proc. Inst. Mech. Eng. Part A J. Power Energy 2022, 236, 634–646. [Google Scholar] [CrossRef]
- Yang, Z.; Konovalov, D.; Radchenko, M.; Radchenko, R.; Kobalava, H.; Radchenko, A.; Kornienko, V. Analyzing the efficiency of thermopressor application for combustion engine cyclic air cooling. Energies 2022, 15, 2250. [Google Scholar] [CrossRef]
- Ierin, V.; Chen, G.; Volovyk, O.; Shestopalov, K. Hybrid two–stage CO2 transcritical mechanical compression–ejector cooling cycle: Thermodynamic analysis and optimization. Int. J. Refrig. 2021, 132, 45–55. [Google Scholar] [CrossRef]
- Chen, G.; Zhelezny, V.; Khliyeva, O.; Shestopalov, K.; Ierin, V. Ecological and energy efficiency analysis of ejector and vapor compression air conditioners. Int. J. Refrig. 2017, 74, 127–135. [Google Scholar] [CrossRef]
- Ghatos, S.; Taha-Janan, M.; Mehdari, A. Thermodynamic model of a single stage H2O-LiBr absorption cooling. In Proceedings of the E3S Web of Conferences, Kenitra, Morocco, 25–27 December 2020; Volume 234, p. 00091. [Google Scholar]
- Radchenko, M.; Portnoi, B.; Kantor, S.; Forduy, S.; Konovalov, D. Rational Thermal Loading the Engine Inlet Air Chilling Complex with Cooling Towers. In Advanced Manufacturing Processes II; InterPartner 2020; Lecture Notes in Mechanical, Engineering; Tonkonogyi, V., Ivanov, V., Trojanowska, J., Oborskyi, G., Grabchenko, A., Pavlenko, I., Edl, M., Kuric, I., Dasic, P., Eds.; Springer: Cham, Switzerland, 2021; pp. 724–733. [Google Scholar]
- Kornienko, V.; Radchenko, R.; Bohdal, T.; Radchenko, M.; Andreev, A. Thermal characteristics of the wet pollution layer on condensing heating surfaces of exhaust gas boilers. In Advances in Design, Simulation and Manufacturing IV; DSMIE 2021; Lecture Notes in Mechanical Engineering; Ivanov, V., Pavlenko, I., Liaposhchenko, O., Machado, J., Edl, M., Eds.; Springer: Cham, Switzerland, 2021; pp. 339–348. [Google Scholar] [CrossRef]
- Yang, Z.; Kornienko, V.; Radchenko, M.; Radchenko, A.; Radchenko, R.; Pavlenko, A. Capture of pollutants from exhaust gases by low-temperature heating surfaces. Energies 2022, 15, 120. [Google Scholar] [CrossRef]
- Radchenko, N. A concept of the design and operation of heat exchangers with change of phase. Arch. Thermodyn. 2004, 25, 3–19. [Google Scholar]
- Nikulin, A.; Khliyeva, O.; Zhelezny, V.; Semenyuk, Y.; Lukianov, N.; Moreira, A.L.N. How does change of the bulk concentration affect the pool boiling of the refrigerant oil solutions and their mixtures with surfactant and nanoparticles? Int. J. Heat Mass Transf. 2019, 137, 868–875. [Google Scholar] [CrossRef]
- Khliyeva, O.; Zhelezny, V.; Lukianov, T.; Lukianov, N.; Semenyuk, Y.; Moreir, A.L.N.; Murshed, S.M.S.; Palomo del Barrio, E.; Nikulin, A. A new approach for predicting the pool boiling heat transfer coefficient of refrigerant R141b and its mixtures with surfactant and nanoparticles using experimental data. J. Therm. Anal. Calorim. 2020, 142, 2327–2339. [Google Scholar] [CrossRef]
- Kruzel, M.; Bohdal, T.; Dutkowski, K.; Radchenko, M. The Effect of Microencapsulated PCM Slurry Coolant on the Efficiency of a Shell and Tube Heat Exchanger. Energies 2022, 15, 5142. [Google Scholar] [CrossRef]
- Yu, Z.; Løvås, T.; Konovalov, D.; Trushliakov, E.; Radchenko, M.; Kobalava, H.; Radchenko, R.; Radchenko, A. Investigation of thermopressor with incomplete evaporation for gas turbine intercooling systems. Energies 2022, 15, 20. [Google Scholar] [CrossRef]
- Zhelezny, V.; Khliyeva, O.; Lukianov, M.; Motovoy, I.; Ivchenko, D.A.; Faik, A.; Grosu Ya Nikulin, A.; Moreira, A.L.N. Thermodynamic properties of isobutane/mineral compressor oil and isobutane/mineral compressor oil/fullerenes C60 solutions. Int. J. Refrig. 2019, 106, 153–162. [Google Scholar] [CrossRef]
- Shevchenko, S.; Shevchenko, O.; Vynnychuk, S. Mathematical Modelling of Dynamic System Rotor-Groove Seals for the Purposes of Increasing the Vibration Reliability of NPP Pumps. Nucl. Radiat. Saf. 2021, 1, 80–87. [Google Scholar] [CrossRef]
- Shevchenko, S.; Shevchenko, O. Improvement of Reliability and Ecological Safety of NPP Reactor Coolant Pump Seals. Nucl. Radiat. Saf. 2020, 4, 47–55. [Google Scholar] [CrossRef]
- Blecich, P. Experimental investigation of the effects of airflow nonuniformity on performance of a fin-and-tube heat exchanger. Int. J. Refrig. 2015, 59, 65–74. [Google Scholar] [CrossRef]
- Pourhedayat, S.; Hu, E.; Chen, L. A comparative and critical review on gas turbine intake air pre-cooling strategies. Therm. Sci. Eng. Prog. 2023, 41, 101828. [Google Scholar] [CrossRef]
- Kumar, R.; Singh, G.; Mikielewicz, D. A New Approach for the Mitigating of Flow Maldistribution in Parallel Microchannel Heat Sink. J. Heat Transf. 2018, 140, 72401–72410. [Google Scholar] [CrossRef]
- Kumar, R.; Singh, G.; Mikielewicz, D. Numerical Study on Mitigation of Flow Maldistribution in Parallel Microchannel Heat Sink: Channels Variable Width Versus Variable Height Approach. J. Electron. Packag. 2019, 141, 21009–21011. [Google Scholar] [CrossRef]
- Dąbrowski, P.; Klugmann, M.; Mikielewicz, D. Channel Blockage and Flow Maldistribution during Unsteady Flow in a Model Microchannel Plate heat Exchanger. J. Appl. Fluid Mech. 2019, 12, 1023–1035. [Google Scholar] [CrossRef]
- Dąbrowski, P.; Klugmann, M.; Mikielewicz, D. Selected studies of flow maldistribution in a minichannel plate heat exchanger. Arch. Thermodyn. 2017, 38, 135–148. [Google Scholar] [CrossRef][Green Version]
- Konovalov, D.; Trushliakov, E.; Radchenko, M.; Kobalava, G.; Maksymov, V. Research of the aerothermopresor cooling system of charge air of a marine internal combustion engine under variable climatic conditions of operation. In Grabchenko’s International Conference on Advanced Manufacturing Processes; InterPartner-2019; Lecture Notes in Mechanical Engineering; Tonkonogyi, V., Ivanov, V., Trojanowska, J., Oborskyi, G., Grabchenko, A., Pavlenko, I., Edl, M., Kuric, I., Dasic, P., Eds.; Springer: Cham, Switzerland, 2020; pp. 520–529. [Google Scholar] [CrossRef]
- Radchenko, N.; Radchenko, A.; Tsoy, A.; Mikielewicz, D.; Kantor, S.; Tkachenko, V. Improving the efficiency of railway conditioners in actual climatic conditions of operation. In Proceedings of the AIP Conference Proceedings, Nur-Sultan, Kazakhstan, 26–29 February 2020; Volume 2285, p. 030072. [Google Scholar] [CrossRef]
- Radchenko, N.; Trushliakov, E.; Radchenko, A.; Tsoy, A.; Shchesiuk, O. Methods to determine a design cooling capacity of ambient air conditioning systems in climatic conditions of Ukraine and Kazakhstan. In Proceedings of the AIP Conference Proceedings, Nur-Sultan, Kazakhstan, 26–29 February 2020; Volume 2285, p. 030074. [Google Scholar] [CrossRef]
- Bai, Z.; Liu, Q.; Gong, L.; Lei, J. Application of a mid-/low-temperature solar thermochemical technology in the distributed energy system with cooling, heating and power production. Appl. Energy 2019, 253, 113491. [Google Scholar] [CrossRef]
- Radchenko, M.; Radchenko, A.; Mikielewicz, D.; Radchenko, R.; Andreev, A. A novel degree-hour method for rational design loading. Proc. Inst. Mech. Eng. Part A J. Power Energy 2022, 237, 570–579. [Google Scholar] [CrossRef]
- Coskun, C.; Demiral, D.; Ertürk, M.; Oktay, Z. Modified Degree-Hour Calculation Method. In Solar Power; Radu, R., Ed.; InTech: London, UK, 2012; ISBN 978-953-51-0014-0. Available online: http://www.intechopen.com/books/solar-power/modified-degree-hour-calculation-method (accessed on 22 June 2021).
- Oktay, Z.; Coskun, C.; Dincer, I. A new approach for predicting cooling degree-hours and energy requirements in buildings. Energy 2011, 36, 4855–4863. [Google Scholar] [CrossRef]
- Coskun, C. A novel approach to degree-hour calculation: Indoor and outdoor reference temperature based degree-hour calculation. Energy 2010, 35, 2455–2460. [Google Scholar] [CrossRef]
- Radchenko, A.; Radchenko, M.; Koshlak, H.; Radchenko, R.; Forduy, S. Enhancing the efficiency of integrated trigeneration system by redistribution of heat flows on the base of monitoring data. Energies 2020, 15, 8774. [Google Scholar] [CrossRef]
- Lozano, M.A.; Ramos, J.C.; Serra, L.M. Cost Optimization of the Design of CHCP (Combined Heat, Cooling and Power) Sys-tems under Legal Constraints. Energy 2010, 35, 794–805. [Google Scholar] [CrossRef]
- Pavlenko, A. Energy conversion in heat and mass transfer processes in boiling emulsions. Therm. Sci. Eng. Prog. 2020, 15, 00439. [Google Scholar] [CrossRef]
- Kavvadias, K.C.; Tosios, A.P.; Maroulis, Z.B. Design of a combined heating, cooling and power system: Sizing, operation strategy selection and parametric analysis. Energy Convers. Manag. 2010, 51, 833–845. [Google Scholar] [CrossRef]
- Cardona, E.; Piacentino, A. A methodology for sizing a trigeneration plant in mediterranean areas. Appl. Therm. Eng. 2003, 23, 15. [Google Scholar] [CrossRef]
- Shevchenko, S.; Chernov, A. Development of pulse mechanical seal calculation methods on the basis of its physical model construction. East.-Eur. J. Enterp. Technol. 2020, 3, 58–69. [Google Scholar] [CrossRef]
- Freschi, F.; Giaccone, L.; Lazzeroni, P.; Repetto, M. Economic and environmental analysis of a trigeneration system for food-industry: A case study. Appl. Energy 2013, 107, 157–172. [Google Scholar] [CrossRef]
- Ortiga, J.; Bruno, J.C.; Coronas, A. Operational optimization of a complex trigeneration system connected to a district heating and cooling network. Appl. Therm. Eng. 2013, 50, 1536–1542. [Google Scholar] [CrossRef]
- Rodriguez-Aumente, P.A.; Rodriguez-Hidalgo, M.C.; Nogueira, J.I.; Lecuona, A.; Veneg, M.C. District heating and cooling for business buildings in Madrid. Appl. Therm. Eng. 2013, 50, 1496–1503. [Google Scholar] [CrossRef]
- Khliyeva, O.; Shestopalov, K.; Ierin, V.; Zhelezny, V.; Chen, G.; Gao, N. Environmental and energy comparative analysis of expediency of heat-driven and electrically-driven refrigerators for air conditioning application. Appl. Therm. Eng. 2022, 219 Pt. B, 119533. [Google Scholar] [CrossRef]
- Radchenko, M.; Radchenko, A.; Trushliakov, E.; Pavlenko, A.M.; Radchenko, R. Advanced method of variable refrigerant flow (VRF) systems designing to forecast on site operation–Part 1: General approaches and criteria. Energies 2023, 16, 1381. [Google Scholar] [CrossRef]
- Radchenko, M.; Radchenko, A.; Trushliakov, E.; Koshlak, H.; Radchenko, R. Advanced method of variable refrigerant flow (VRF) systems designing to forecast on site operation—Part 2: Phenomenological simulation to recuperate refrigeration energy. Energies 2023, 16, 1922. [Google Scholar] [CrossRef]
- Radchenko, M.; Radchenko, A.; Trushliakov, E.; Pavlenko, A.; Radchenko, R. Advanced Method of Variable Refrigerant Flow (VRF) System Design to Forecast on Site Operation—Part 3: Optimal Solutions to Minimize Sizes. Energies 2023, 16, 2417. [Google Scholar] [CrossRef]
- Khliyeva, O. New indicator for life cycle greenhouse gases emission assessment of household refrigerating appliances. Environ. Probl. 2019, 4, 39–44. [Google Scholar] [CrossRef]
- Yang, Z.; Radchenko, M.; Radchenko, A.; Mikielewicz, D.; Radchenko, R. Gas turbine intake air hybrid cooling systems and a new approach to their rational designing. Energies 2022, 15, 1474. [Google Scholar] [CrossRef]
- Pavlenko, A.M.; Koshlak, H. Application of thermal and cavitation effects for heat and mass transfer process intensification in multicomponent liquid media. Energies 2021, 14, 7996. [Google Scholar] [CrossRef]
- Shubenko, A.; Babak, M.; Senetskyi, O.; Tarasova, V.; Goloshchapov, V.; Senetska, D. Economic assessment of the modernization perspectives of a steam turbine power unit to the ultra-supercritical operation conditions. Int. J. Energy Res. 2022, 46, 23530–23537. [Google Scholar] [CrossRef]
- Naeim, K.A.; Hegazi, A.A.; Awad, M.M.; El-Emam, S.H. Inlet air fogging strategy using natural gas fuel cooling potential for gas turbine power plants. Case Stud. Therm. Eng. 2022, 37, 102235. [Google Scholar] [CrossRef]
Disclaimer/Publisher’s Note: The statements, opinions and data contained in all publications are solely those of the individual author(s) and contributor(s) and not of MDPI and/or the editor(s). MDPI and/or the editor(s) disclaim responsibility for any injury to people or property resulting from any ideas, methods, instructions or products referred to in the content. |
© 2023 by the authors. Licensee MDPI, Basel, Switzerland. This article is an open access article distributed under the terms and conditions of the Creative Commons Attribution (CC BY) license (https://creativecommons.org/licenses/by/4.0/).














