Abstract
The urgent need to reduce industrial electricity consumption due to diminishing fossil fuels and environmental concerns drives the pursuit of energy-efficient production processes. This study addresses this challenge by investigating the Smoothed Particle Method (SPH) for simulating dry ice compaction, an intricate process poorly addressed by conventional methods. The Finite Element Method (FEM) and SPH have been dealt with by researchers, yet a gap persists regarding SPH mesh parameters’ influence on the empirical curve fit. This research systematically explores Particle Packing Density (PPD) and Mass Scaling (MS) effects on the agreement between simulation and experimental outputs. The Sum of Squared Errors (SSE) method was used for this assessment. By comparing the obtained FEM and SPH results under diverse PPD and MS settings, this study sheds light on the SPH method’s potential in optimizing the dry ice compaction process’s efficiency. The SSE based analyses showed that the goodness of fit did not vary considerably for PDD values of 4 and up. In the case of MS, a better fit was obtained for its lower values. In turn, for the ultimate compression force FC, an empirical curve fit was obtained for PDD values of 4 and up. That said, the value of MS had no significant bearing on the ultimate compression force FC. The insights gleaned from this research can largely improve the existing sustainability practices and process design in various energy-conscious industries.
1. Introduction
Reductions in electricity consumption in production are becoming an issue of growing importance and also an engineering challenge throughout the present-day world [1]. The underlying causes include limited availability of fossil fuels, which are the primary source of electrical energy [2]. In addition, lowered consumption of fossil fuels very often reduces greenhouse gas emissions with a desired effect on the product carbon footprint [3,4].
This explains the growing interest of researchers in studies to improve the energy efficiency of the existing production processes, as confirmed by our literature review [5,6].
Processes that involve mechanical processing of materials have been successfully studied experimentally [7] with numerical simulations as a complement [8,9]. The Discrete Element Method [10] may be considered an option of choice for studying loose materials processing, for example, the mixing materials during a transport process [11,12] or compacting [13]. However, when dealing with densification (compaction) and extrusion processes, densities tended to exceed 0.8 relative density; Harthong et al., 2009, pointed to the Finite Element Method (FEM) method as the preferred choice, as it gives better fit to the experimental data (FEM) [14].
Both methods are used for numerical model discretization [15]. Jagota et al., 2013, showed that the solid is made up of finite elements connected at nodes in the FEM method [16]. Thus, the elements create a consistent mesh representing the shape of the solid under analysis. The loading of a non-rigid element changes the distances between the nodes, resulting in deformations of this element. The element type and size are taken depending on the simulation type and the discretized model. However, in compression simulations, in which the elements are not allowed to penetrate each other, it is possible to exceed the null hypothesis. This is hard to achieve in the case of processes characterised by high deformations [17]. As a result, there are a number of adaptive finite element method (AFEM) and freemesh solutions reported in the literature, which allow relative displacement of the elements making up the finite element model [18].
The application of the DEM method for the simulation of compaction processes was described by Bahrami et al. in 2022 [19]. The discretization process involves particle size description and reactions between the particles, including friction. However, compared to FEM analysis, a different contact model is used in this case, allowing free relative movement of the model elements [20]. While widely used, this method offers worse goodness of fit values than the FEM method, which, in the case of density, fall in the range of 0.8 to 1 relative density.
The above-described methods are an option of choice in the simulation of densification and extrusion processes using single-cavity dies. This is not the case for multiple-cavity dies, where the final density of the material is clearly above 0.8 relative density, and the material is split in the process into the respective extrusion cavities. The results of these simulations would not allow obtaining the desired goodness of fit to the experimental data. Libersky et al., 1993, proposed an extended application of Smoothed Particle Hydrodynamics (SPH) to processes involving high solid body deformations [21].
Our earlier FEM studies included determinations of the Drucker–Prager/Cap (DPC), Mohr–Columb, and modified Cam–Clay model parameters [22,23]. The simulation results were compared with the experimental data, showing the highest accuracy of representation given by the DPC method. The above-mentioned models may be used in simulation programs, such as Abaqus, developed by Dassults Systemes in both FEM- and SPH-based analyses.
The authors used, to a good effect, the SPH method in a simulation study on dry ice extrusion through single-cavity dies [24]. However, as the literature review revealed [25], the reported findings must be supplemented with the information on the effect of SPH mesh division parameters on the goodness of fit to the empirical curve.
The numerical study results presented in this article fill the gap in knowledge, as identified by the literature review, on the influence of SPH discretization parameters on the goodness of fit to the experimental data presented in the previously published articles [22]. The following part of this article compares the FEM and SPH results obtained with different number of particles to be generated per isoparametric direction (PPD) and Mass Scaling (MS) values.
Goodness of fit was assessed using an SSE value, a parameter described in detail in the literature [22].
2. Materials and Methods
2.1. Materials
2.1.1. Powder
Powdery dry ice was obtained through the process of expanding liquid carbon dioxide at a specific temperature of 255 K, obtained by keeping it in a tightly sealed container under 20 bar pressure. For liquid to solid transition, the liquid carbon dioxide was rapidly expanded to atmospheric pressure in a process leading to its crystallization. In the powdered form, dry ice had a density of 0.55 g/cm3, as reported in [22].
In the context of empirical testing, the loose dry ice material was placed and secured in a DRICE 30 container manufactured by MELFROM of Monasterolo di Savigliano, Italy, as shown in Figure 1. The purpose was to reduce the material sublimation rate. In addition, the container was used for cooling the test stand components.
Figure 1.
Insulated container used to store dry ice powder and condition the experimental set-up components: 1—insulated container; 2—dry ice; and 3—experimental set-up [26].
The cooling aspect of the experiment was particularly critical, as it entailed reducing the temperature of the test stand components to a level that closely approximated the temperature of the tested material. The aim was to minimize the influence of any external factors or variations that could introduce bias or errors into the experiment.
Summing up, the loose dry ice sample was meticulously prepared by subjecting liquid carbon dioxide to controlled temperature and pressure conditions, thereby inducing crystallization. The sample obtained in this way was then stored in the DRICE 30 container to reduce sublimation effects and simultaneously facilitate temperature control during the experiment. This created a controlled and consistent testing environment, enhancing the accuracy and reliability of the empirical observations and results.
2.1.2. Compaction
In the experimental part of this research, cylindrical pellets were compressed by an extrusion ram. The authors employed a custom-designed test apparatus, tailored for compressing dry ice specimens. An MTS Insight 50 kN universal testing machine manufactured by MTS Systems Corporation based in Eden Prairie, MN, USA, was used. For a detailed description of the experimental setup, the reader is referred to the previously published article [23].
The primary focus of these experiments was to measure the force FZ applied to the 20 mm diameter ram. The measurements were executed with high precision, using a 50 kN MTS Insight strain gauge sensor of 0.01 accuracy class.
About 30 g portion of dry ice powder was subjected to compression in order to achieve a predefined specimen strain value. As a result, specimens with density values that approached the limit of approximately 1650 kg/m3 were obtained.
2.2. Numerical Model
All the numerical calculations of this study were performed using the software Abaqus 2020 (Dassault Systèmes, Vélizy-Villacoublay, France). The geometry of the same numerical model that was described in [22,23] was used to simulate compaction. It consisted of a 30 mm diameter stamp and a corresponding sleeve. This allowed for a comparison with the previously obtained values in [23]. The numerical model shown in Figure 2 is made up of 4 elements: the material being compressed (Figure 2, Label 3), the forming sleeve (Figure 2, Label 1), sleeve bottom closing disc (Figure 2, Label 4), and the upper disc acting as a compacting stamp (Figure 2, Label 2). The material being compacted was the only element modelled as a deformable body. It was illustrated as a cylinder with diameter DC = 30 mm and height hC = 39.95 mm. The other modelled elements, which act as a sleeve (Figure 2, Label 1), in which the compaction process takes place, were modelled as discrete rigid part surface object, which is assumed to be rigid and is used in contact analyses to model bodies that cannot deform. The stamp (Figure 2, Label 1) was modelled in the same way as the cylinder (Figure 2, Label 2). In the model, it is represented by a flat disc. The same geometry was also used to represent the sleeve base (Figure 2, Label 4), the place where compaction takes place.
Figure 2.
Numerical model: 1—sleeve; 2—stamp; 3—compacted dry ice; 4—bottom closing disc; and 5—compaction force measuring point [22].
The model was then discretized with a finite element grid of 0.0028 m approximate global size. C3D8R Hex-type elements were used. In the next step, for all the elements making up the compressed materials, the convert to particles option was selected in the finite element properties (Figure 3). This conversion took place in the first step of the calculation.
Figure 3.
Numerical model after conversion into particles after the first step of calculation (particles visualization).
In order to represent the actual lab compaction process, the compacting stamp was allowed to move linearly at a speed of 5 mm/s along the z-axis, in line with the sleeve/cylinder axis. The simulation time was 3 s, corresponding to 15 mm stamp travel distance. All the remaining components, i.e., the cylinder and the lower disc representing the sleeve end, had all degrees of freedom fixed. A measuring point was set on the stamp for logging and reading of the calculated reaction force values during the compaction process and to measure the displacement. It was positioned in the axis of symmetry on the inner surface of the stamp. Its readout values were directly compared with the obtained experimental data.
General Contact was the contact type used in the model. The value of the friction coefficient μ = 0.1 was set in the contact properties. In the next step, the compacted material was assigned the parameters determined from the experimental studies presented by Berdychowski et al. in 2022 [22]. As mentioned, the described results indicated that as the degree of compaction of the test material increases, the properties of the material change accordingly. In order to obtain the best fit between the simulation and experimental data, Abaqus Subroutines VUSDFLD was applied to map these changes as the criterion for determining the change in material properties, in which PEEQ values were defined (Table 1). This means that the material property input values that Abaqus will take for a given calculation step will depend on the PEEQ (equivalent plastic strain) values determined in the previous calculation step.
Table 1.
DPC model parameters.
The SPH (Smoothed Particle Hydrodynamics) method was used for the calculations. It is a numerical method, a representative of the meshfree family of methods. For these methods, nodes and elements are not defined as they are in a finite element analysis. To represent a given body, this method needs just a set of points. In the SPH method, these nodes are commonly referred to as particles or pseudo-particles. In principle, however, the method is not based on discrete particles that collide during compression or exhibit cohesion-like behaviour in tension, as the term “particles” might suggest. Rather, it is more a discretization method of continuum partial differential equations. In this respect, the SPH method resembles the FEM method quite closely [27].
For moderate deformations, the SPH method is generally less accurate than Lagrangian Finite Element analyses. The same holds true for large deformations analyses. Here, coupled Euler–Lagrange analyses yield slightly better results, but this is at a cost of significantly greater computing power, as compared to the SPH methods. Hence, they are a good alternative when computing large deformations [27].
In the SPH method, the object at the initial moment is divided into subareas that are subsequently replaced by material particles. These particles represent the respective physical parameters, such as the position vector ri or the mass mi. In this method, the particles interact, yet they are not discrete points and feature some degree of diffusion. This diffusion is modelled by a certain function (smoothing kernel) applied to the particles:
where is the relative distance between the particles, and h is the smoothing parameter, defining the range of interaction between the particles.
In the SPH method, the changes in the physical values describing the particle state result from aggregate effects of the particles that surround it. For example, for a set of N j-particles that surround an i-particle, we can define the density at the point ri as follows [28]:
and speed distribution may be represented by the following equation:
In our model, we decided to use the SPH method to test its suitability for dry ice compaction process analysis. For this purpose, the material being compacted was defined in particles. It was assumed that conversion of finite elements to particles would take place at the beginning of the simulation (Threshold = 0). In addition, it was also possible to define the number of particles to be generated. This is performed with the PPD parameter, which can take integer values of 1–7. Thus, for a cubic finite element with PPD = 1, one (1) particle per element will be generated, with PPD = 2, there will be eight (8) particles, and, with PPD = 3, there will be twenty seven particles (27), and so on. Hence, the PPD value gives the number of generated particles when raised to the power of 3, as it is represented in Figure 4. In this study, calculations were carried out for all the seven PPD value cases. Thus, it was possible to relate the initial particle distance to PDD using the following equation:
Figure 4.
Graphical interpretation of PPD values.
Considering the non-linear effect of the change in , it was decided to carry out numerical tests to determine and compare the effect of PDD on the accuracy of FEM representation in order to determine the effective value of this parameter.
In addition, the mass scaling (MS) method with values of 0.0001 and 0.00001 was used to reduce the required computation time. This followed from the results analysis, which indicated the need to reduce the mass scaling (MS) value to avoid computational (numerical) errors.
3. Results and Discussion
This section presents the results of the experimental and simulation studies carried out to verify the following hypotheses:
- The greater the PPD value, the better the fit obtained between the simulation and experimental curves.
- An increase in PPD reduces the difference between the calculated and experimental ultimate force values.
- The greater the MS value, the better the fit obtained between the simulation and experimental curves.
- An increase in MS reduces the difference between the calculated and experimental ultimate force values.
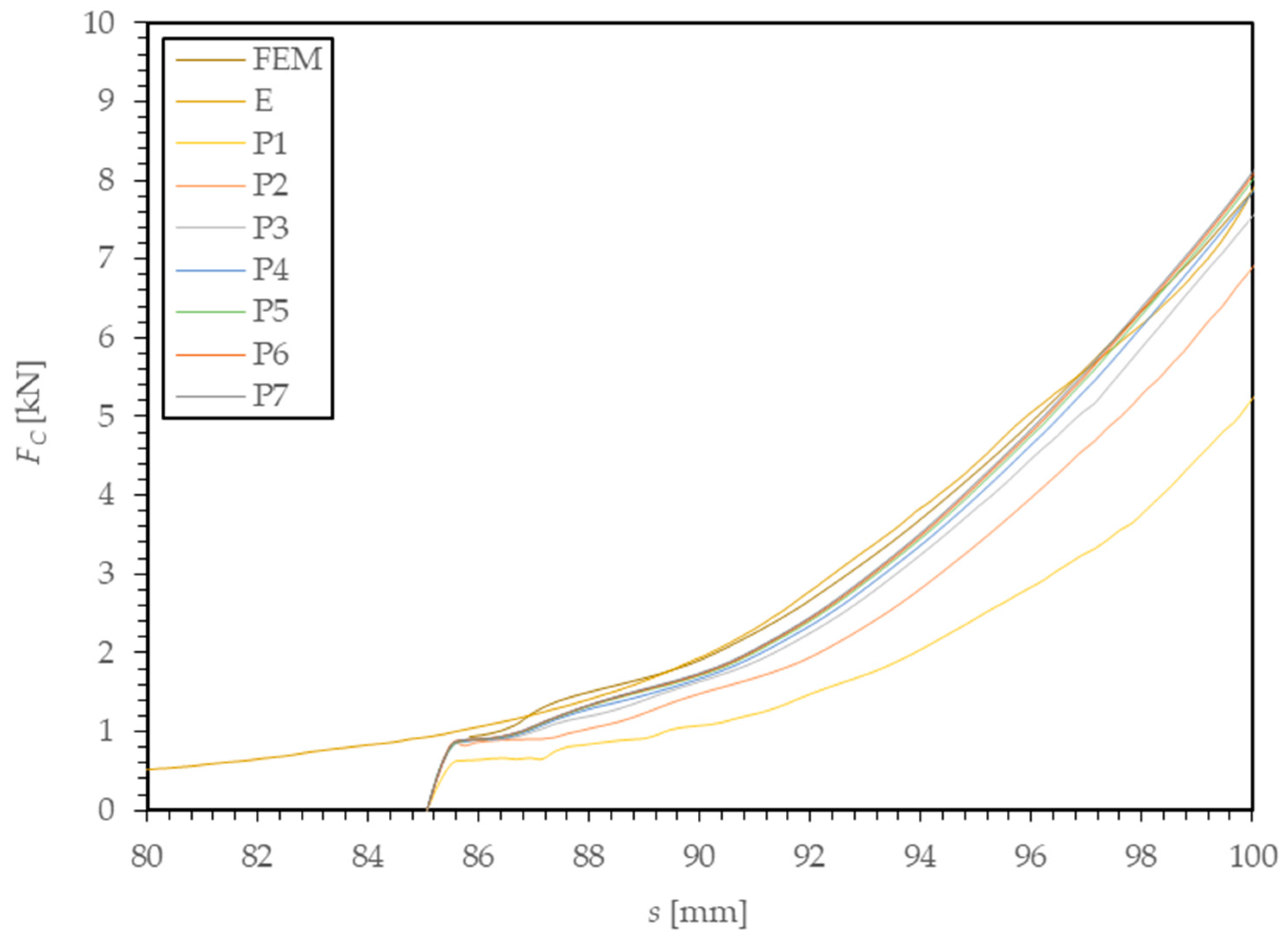
The results of FEM, SPH with variable PPD simulations, and experimental data are presented as an FC vs. displacement s curve in Figure 5. The experimental and FEM results are also shown in Figure 6. Note, however, that the MS value has changed for the SPH model from 1 × 10−4 in Figure 5 to 1 × 10−5 in Figure 6.
Figure 5.
Compression force FC vs. stamp displacement. E—empirical test results; FEM—results obtained using FEM discretisation; Pn—SPH simulation data with different PPD values; and MS = 1 × 10−4.
Figure 6.
Compression force FC vs. stamp displacement. E—empirical test results; FEM—results obtained using FEM discretisation; Pn—SPH simulation data with different PPD values; and MS = 1 × 10−5.
The goodness of fit between these curves and the experimental curve was assessed using the SSE (sum of squared errors) value. SSE was calculated with the following equation, described in previous studies [22]:
where
- FS—value of FC obtained in numerical simulation;
- FE—experimental FC value used as reference.
The calculated SSE values for the curves in Figure 5 are given in Table 2 and shown in Figure 7. SSE values in 1 mm intervals and SSE totals can be compared. The simulation results for MS = 1 × 10−5 are given in Table 3 and shown in Figure 8.
Table 2.
SSE values obtained in SPH simulation with a variable value of P and MS = 1 × 10−4.
Figure 7.
SSE values depending on the set P value of SPH mesh for MS 1 × 10−4 in the respective intervals of the compaction process.
Table 3.
SSE values obtained in SPH simulation with a variable value of P and MS = 1 × 10−5.
Figure 8.
SSE values depending on the set PPD value of the SPH mesh for MS 1 × 10−5 in different compaction spans.
The above results support the first study hypothesis, i.e., the increasing the PPD value improves the goodness of fit between the simulation and the experimental reference curves. It is worthwhile to note the over 2.5 times higher value of SSE for PPD = 7 compared to the FEM simulation value.
The second study hypothesis was that increasing the set PPD value decreased the differences between the simulated SPH and the reference ultimate forces. The results given in Table 3 support this hypothesis. It was observed that there were no significant differences between the simulated ultimate values for PPD set at 5, 6 and 7, respectively, with MS = 1 × 10−4. This lack of difference was observed also for simulations with MS = 1 × 10−5, in this case, for PPD values of 4 and up.
To verify the third hypothesis, we should compare the charts in Figure 7 and Figure 8 and the data given in Table 2 and Table 3. The effect of the studied parameter on the SSE value for PPD of 1 to 6 became apparent at lower MS values. With PPD = 7, the differences in SEE values were not significant.
The fourth hypothesis was that a change in MS would reduce the difference between the simulated and experimental ultimate force values. Comparing the simulation results given in Table 4 for different PPD and MS values, we see that the force values were, right from the beginning, closer to the reference than in the simulation, with MS = 1 × 10−4, for MS = 1 × 10−5. Simulations were performed also for MS = 1 × 10−3, yet the ultimate forces were so different from the reference values that the results were left out of consideration. In addition, as mentioned in the previous paragraph, no significant effect on the ultimate force representation was observed for PPD values of 4 and up.
Table 4.
Ultimate forces in kN taken from the respective simulation curves and from the experimental reference curve.
4. Conclusions
The study results demonstrated the applicability of the SPH method for the numerical simulation of loose dry ice compaction process. It is worth noting, however, that the PPD value had a significant effect on the degree of fit, with better fit to the reference curve obtained even with the highest available PPD value of 7.
Based on the literature review, the SPH method should be considered suitable to simulate the extrusion process using single-cavity dies. Hence, the information presented in this article may be useful in the selection of PPD and MS values in future simulations. This will be particularly relevant to research efforts to optimise the shapes of tools such as multiple-cavity dies.
The results presented in this article showed that PDD values should not be lower than 4 in future investigations. When a high quality of change in the compression force during the process is required, it is suggested to set the MS value at 1 × 10−5. However, in simulations limited to the ultimate force analysis, the authors suggest to set the MS value at 1 × 10−4 in order to reduce the computation time. The time of calculation should be taken into account for both parameters, as it may be strongly influenced by their values in studies using evolutionary algorithms.
The authors believe that this study of the effect of simulation parameters on the fit between the calculated and experimental reference may be used in future efforts to reduce the ultimate force values in extrusion processes of dry ice and similar loose materials. As the final outcome, these studies will allow reductions in the energy consumption of these production processes.
Author Contributions
Conceptualization, J.G.; methodology, M.B. and J.G.; validation, M.B.; formal analysis, J.G., M.B., and E.G.; investigation, J.G. and M.B.; data curation, M.B. and J.G.; writing—original draft preparation, J.G. and M.B.; writing—review and editing, J.G.; visualization, J.G., M.B., and K.W.; supervision, J.G.; project administration, J.G.; funding acquisition, J.G. All authors have read and agreed to the published version of the manuscript.
Funding
This research is a part of the project: “Developing an innovative method using the evolutionary technique to design a shaping dies used in the extrusion process of crystallized CO2 to reduced consumption of electricity and raw material”, number: “LIDER/3/0006/L-11/19/NCBR/2020” financed by National Centre for Research and Development in Poland, https://www.gov.pl/web/ncbr (accessed on 15 December 2021).
Data Availability Statement
Not applicable.
Conflicts of Interest
The authors declare no conflict of interest.
References
- Gierz, Ł.; Warguła, Ł.; Kukla, M.; Koszela, K.; Zawiachel, T. Computer Aided Modeling of Wood Chips Transport by Means of a Belt Conveyor with Use of Discrete Element Method. Appl. Sci. 2020, 10, 9091. [Google Scholar] [CrossRef]
- Omer, O.; Alireza, K. Alternative Energy in Power Electronics: Chapter 2 Energy in Power Electronics; Butterworth-Heinemann: Oxford, UK, 2015; pp. 81–154. [Google Scholar] [CrossRef]
- Tahmasebi, M.M.; Banihashemi, S.; Hassanabadi, M.S. Assesment of the Variation Impacts og Windwos on Energy Consumption and Carbon Footprint. Procedua Eng. 2011, 21, 820–828. [Google Scholar] [CrossRef]
- Lohri, C.; Rajabu, H.; Sweeney, D.; Zurbrügg, C. Char fuel production in developing countries—A review of urban biowaste carbonization. Renew. Sustain. Energy Rev. 2016, 59, 1514–1530. [Google Scholar] [CrossRef]
- Gawrońska, E.; Dyja, R. A Numerical Study of Geometry’s Impact on the Thermal and Mechanical Properties of Periodic Surface Structures. Appl. Sci. 2021, 14, 427. [Google Scholar] [CrossRef] [PubMed]
- Wilczyński, D.; Talaśka, K.; Wojtokwiak, D.; Wałęsa, K.; Wojciechowski, S. Selection of the Electric Drive for the Wood Waste Compacting Unit. Energies 2022, 15, 7488. [Google Scholar] [CrossRef]
- Ishiguro, M.; Dan, K.; Nakasora, K.; Morino, Y.; Yoshii, Y.; Chaki, T. Increase of Snow Compaction Density by Repeated Articial Snow Consolidation Formation. J. Inst. Ind. Appl. Eng. 2020, 8, 104. [Google Scholar] [CrossRef]
- Baiul, K.; Vashchenko, S.; Khudyakov, O.; Bembenek, M.; Zinchenko, A.; Krot, P.V.; Solodka, N. A Novel Approach to the Screw Feeder Design to Improve the Reliability of Briquetting Process in the Roller Press. Eksploat. Niezawodn.—Maint. Reliab. 2023, 25, 167967. [Google Scholar] [CrossRef]
- Warguła, Ł.; Wojtkowiak, D.; Kukla, M.; Talaśka, K. Modelling the process of splitting wood and chipless cutting Pinus sylvestris L. wood in terms of designing the geometry of the tools and the driving force of the machine. Eur. J. Wood Wood Prod. 2022, 81, 223–237. [Google Scholar] [CrossRef]
- Gierz, Ł.; Kolankowska, E.; Markowski, P.; Koszela, K. Measurements and Analysis of the Physical Properties of Cereal Seeds Depending on Their Moisture Content to Improve the Accuracy of DEM Simulation. Appl. Sci. 2022, 12, 549. [Google Scholar] [CrossRef]
- Lin, L.; Zeheng, G.; Weixin, X.; Yunfeng, T.; Xinghua, F.; Dapeng, T. Mixing mass transfer mechanism and dynamic control of gas-liquid-solid multiphase flow based on VOF-DEM coupling. Energy 2023, 272, 127015. [Google Scholar] [CrossRef]
- Ge, M.; Chen, J.; Zhao, L.; Zheng, G. Mixing Transport Mechanism of Three-Phase Particle Flow Based on CFD-DEM Coupling. Processes 2023, 11, 1619. [Google Scholar] [CrossRef]
- Giannis, K.; Schilde, C.; Finke, J.H.; Kwade, A. Modeling of High-Density Compaction of Pharmaceutical Tablets Using Multi-Contact Discrete Element Method. Pharmaceutics 2021, 13, 2194. [Google Scholar] [CrossRef]
- Harthong, B.; Jérier, J.-F.; Dorémus, P.; Imbault, D.; Donzé, F.V. Modeling of high-density compaction of granular materials by the Discrete Element Method. Int. J. Solids Struct. 2009, 46, 3357–3364. [Google Scholar] [CrossRef]
- Wu, Z.; Yu, F.; Zhang, P.; Liu, X. Micro-mechanism study on rock breaking behavior under water jet impact using coupled SPH-FEM/DEM method with Voronoi grains. Eng. Anal. Bound. Elem. 2019, 108, 472–483. [Google Scholar] [CrossRef]
- Jagota, V.; Sethi, A.P.; Kumar, K. Finite Element Method: An Overview. Walailak J. Sci. Technol. 2013, 10, 1–8. Available online: https://wjst.wu.ac.th/index.php/wjst/article/view/499 (accessed on 6 July 2023).
- Wang, W.; Wu, Y.; Wu, H.; Yang, C.; Feng, Q. Numerical analysis of dynamic compaction using FEM-SPH coupling method. Soil Dyn. Earthq. Eng. 2021, 140, 106420. [Google Scholar] [CrossRef]
- Yagawa, G.; Furukawa, T. Recent development of free mesh method. Int. J. Numer. Meth. Eng. 2000, 47, 1419–1443. [Google Scholar]
- Bahrami, M.; Naderi-Boldaji, M.; Ghanbarian, D.; Keller, T. Simulation of soil stress under plate sinkage loading: A comparison of finite element and discrete element methods. Soil Tillage Res. 2022, 223, 105463. [Google Scholar] [CrossRef]
- Gierz, Ł.; Kruszelnicka, W.; Robakowska, M.; Przybył, K.; Koszela, K.; Marciniak, A.; Zwiachel, T. Optimization of the Sowing Unit of a Piezoelectrical Sensor Chamber with the Use of Grain Motion Modeling by Means of the Discrete Element Method. Case Study: Rape Seed. Appl. Sci. 2022, 12, 1594. [Google Scholar] [CrossRef]
- Libersky, L.; Perschek, A.; Carney, T.; Hipp, C.; Allahdadi, F. High Strain Lagrangian Hydrodynamics: A Three-Dimensional SPH Code for Dynamic Material Response. J. Comput. Phys. 1993, 109, 67–75. [Google Scholar] [CrossRef]
- Berdychowski, M.; Górecki, J.; Biszczanik, A.; Wałęsa, K. Numerical Simulation of Dry Ice Compaction Process: Comparison of Drucker-Prager/Cap and Cam Clay Models with Experimental Results. Materials 2022, 15, 5771. [Google Scholar] [CrossRef] [PubMed]
- Berdychowski, M.; Górecki, J.; Wałęsa, K. Numerical Simulation of Dry Ice Compaction Process: Comparison of the Mohr–Coulomb Model with the Experimental Results. Materials 2022, 15, 7932. [Google Scholar] [CrossRef] [PubMed]
- Wałęsa, K.; Górecki, J.; Berdychowski, M.; Biszczanik, A.; Wojtkowiak, D. Modelling of the Process of Extrusion of Dry Ice through a Single-Hole Die Using the Smoothed Particle Hydrodynamics (SPH) Method. Materials 2022, 15, 8242. [Google Scholar] [CrossRef] [PubMed]
- Jankowiak, T.; Łodygowski, T. Using of Smoothed Particle Hydrodynamics (SPH) method for concrete application. Bull. Pol. Acad. Sci. Tech. Sci. 2013, 61, 111–121. [Google Scholar] [CrossRef]
- Górecki, J.; Wiktor, Ł. Influence of Die Land Length on the Maximum Extrusion Force and Dry Ice Pellets Density in Ram Extrusion Process. Materials 2023, 16, 4281. [Google Scholar] [CrossRef]
- Abaqus Documentation; Dassault Systemes: Paris, France, 2017.
- Jach, K. Computer Modeling of Dynamic Interactions of Bodies Using the Free Point Method; Wydawnictwo Naukowe PWN: Warsaw, Poland, 2001. (In Polish) [Google Scholar]
Disclaimer/Publisher’s Note: The statements, opinions and data contained in all publications are solely those of the individual author(s) and contributor(s) and not of MDPI and/or the editor(s). MDPI and/or the editor(s) disclaim responsibility for any injury to people or property resulting from any ideas, methods, instructions or products referred to in the content. |
© 2023 by the authors. Licensee MDPI, Basel, Switzerland. This article is an open access article distributed under the terms and conditions of the Creative Commons Attribution (CC BY) license (https://creativecommons.org/licenses/by/4.0/).







