Thermal Destruction of Waste and the Impact of the Presence of Cl and S in Waste on the Emissions of Cu, Ni, and Pb and Their Immobilisation in the Ash Residue
Abstract
:1. Introduction
2. Materials and Methods
2.1. Materials
2.2. Determination of Physicochemical Properties and Concentrations of Cu, Mn, and Pb in the Tested Waste
2.3. Experiment Description
3. Results and Discussion
3.1. The Influence of Chlorine in Combustible Material on the Emission of Cu, Ni, and Pb
3.2. Reduction in Emissions of Ecotoxic Metals in the Exhaust Gas Stream
- At a temperature of 1273 K, the additions of borax and V2O5 reduced the Cu emissions (during the combustion of each of the tested wastes—plastics, pesticides or pharmaceuticals) by several percent compared to the emission level during waste combustion without adding additives; Ni mobility decreased by several percent when plastic waste and pesticide waste were burned, and by 20–30% when the pharmaceutical waste was burned; with regard to Pb (for each waste), borax turned out to be effective, reducing its emission by several percent, while the addition of V2O5 resulted in a reduction in Pb emissions of over 20% in terms of pharmaceutical waste and as much as ~40% in terms of pesticide waste.
- At a temperature of 1373 K, the addition of borax reduced the emission of Cu by several percent when pesticide and pharmaceutical wastes were burned, and reduced the emission of Ni by several percent when plastic and pharmaceutical waste was burned. The emission of Cu reduced by over 20% when the plastic waste was burned, and the emissions of Ni (when pesticide waste was burned) and Pb (when plastic waste was burned) both by ~30%—while the mobility of Pb during the combustion of pesticide and pharmaceutical waste decreased by ~10%. V2O5 showed the highest effectiveness in terms of reducing heavy metal emissions during the combustion of plastic waste with regard to Pb and Cu (~50% and ~40%, respectively) and Ni by over 20%; pesticide waste with ~40% Ni, ~30% Pb, ~20% Cu; pharmaceutical waste with ~30% Ni, ~20% Cu, and ~20% Pb.
- The additions of both additives mixed with CaO in the waste reduced the mobility of the metals to a greater extent: at a temperature of 1273 K, the V2O5 with CaO reduced Pb emissions by ~65% when plastic waste was burned; and by ~40% when pesticide or pharmaceutical waste was burned; it reduced the Ni emissions (when burning pesticide waste) and Cu emissions (when burning plastics and pharmaceuticals) both by ~20%; it reduced the Cu emissions by several percent (when pesticide waste was burned) and Ni emissions (when plastic waste was burned) both by several percent; it reduced Ni emissions (when pharmaceutical waste was burned) by over 30%; borax with CaO reduced the mobility of Cu by ~20% during the combustion of plastic or pharmaceutical waste and by several percent during the combustion of pesticide waste and reduced the emissions of Ni by several percent during the combustion of plastic waste; the emissions of Ni (when pesticide waste was burned) and Pb (when plastic, pesticide, or pharmaceutical waste was burned) decreased by over 20%; borax with CaO reduced Ni emissions by ~30% during the combustion of pharmaceutical waste.
- At a temperature of 1373 K, doping borax with CaO or doping V2O5 with CaO reduced Cu emissions during the combustion of pharmaceutical waste at the level of values analogous to those at 1273 K, and Ni emission by ~50% during the combustion of pesticide waste; borax with CaO reduced Cu emissions by ~40% when pesticide waste was burned and by ~20% when plastic waste was burned; reduced Ni emissions by over 30% when plastic waste was burned and by ~20% when pharmaceutical waste was burned; and reduced Pb emissions by ~20% when pesticide and pharmaceutical wastes were burned and by ~40% when plastic waste was burned. In the case of the use of the V2O5 additive with CaO, its highest effectiveness in reducing Pb emissions during the combustion of plastic waste was recorded—namely by ~70% and by ~50% when burning pesticide or pharmaceutical waste, respectively; it also reduced Cu emissions when burning plastic waste and Ni emissions when burning pesticide waste both by ~50%. While burning plastic or pharmaceutical waste, Ni emissions were reduced by ~40%, and the mobility of Cu was reduced by ~30% during pesticide waste combustion.
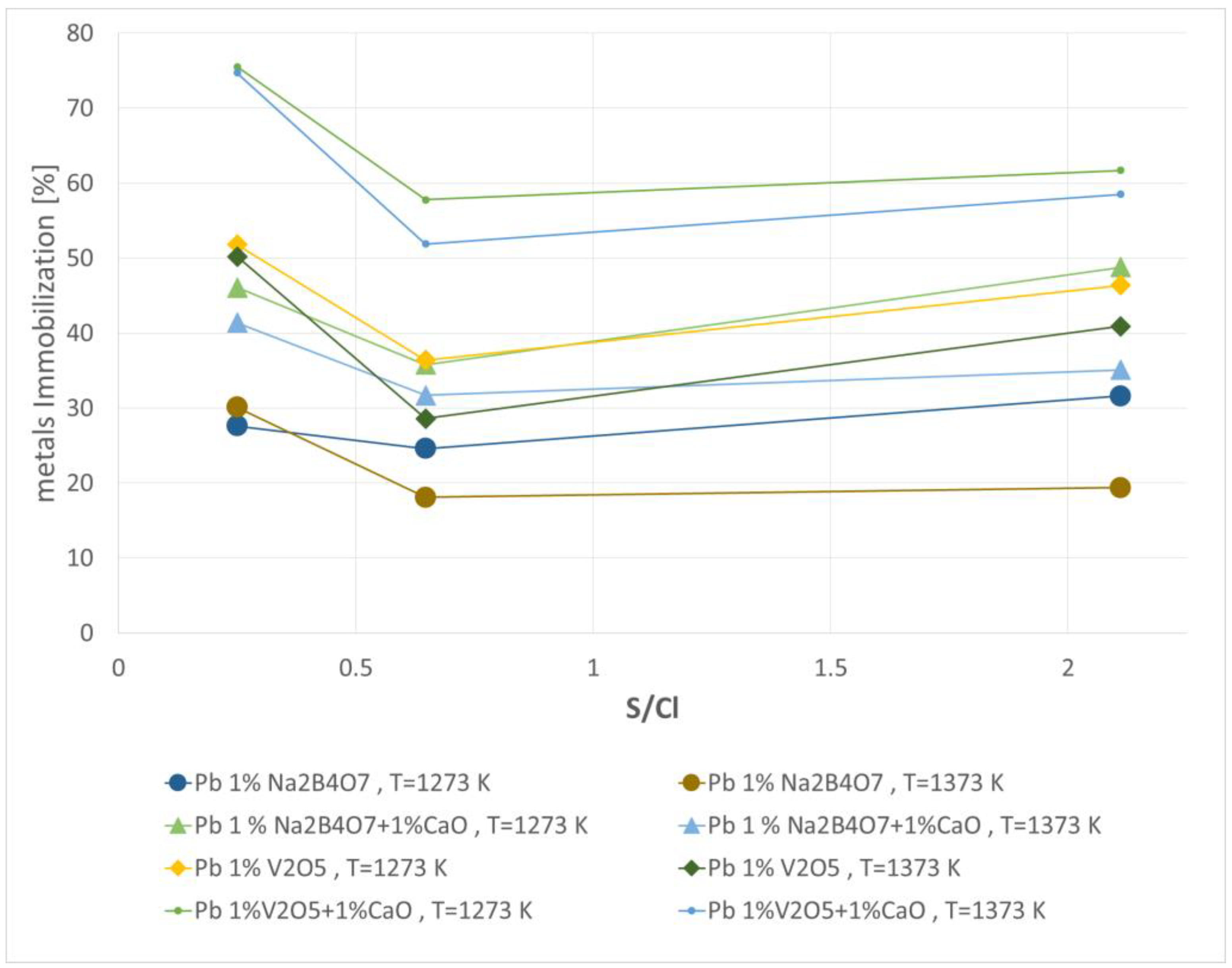
3.3. The Influence of S/Cl (Chlorine and Sulphur in Combustible Waste Material) on the Emission Levels of Cu, Ni, and Pb
4. Conclusions
- The emission and immobilisation of other ecotoxic (heavy) metals during the combustion of various wastes;
- The search for substances (or mixtures of various substances) that will effectively retain ecotoxic metals in the solid residue of the grate;
- The optimisation of the amount of additives used;
- The mathematical modelling of the immobilisation process of ecotoxic (heavy) metals on the grate.
Author Contributions
Funding
Data Availability Statement
Conflicts of Interest
References
- Guendehou, G.H.S.; Koch, M.; Hockstad, L.; Pipatti, R.; Yamada, M. Incineration and Open Burning of Waste. In 2006 IPCC Guidelines for National Greenhouse Gas Inventories; 2006; Volume 5, pp. 1–26. Available online: http://www.ipcc-nggip.iges.or.jp/public/2006gl/pdf/5_Volume5/V5_5_Ch5_IOB.pdf (accessed on 8 November 2023).
- Gomez, E.; Rani, D.A.; Cheeseman, C.R.; Deegan, D.; Wise, M.; Boccaccini, A.R. Thermal plasma technology for the treatment of wastes: A critical review. J. Hazard. Mater. 2009, 161, 614–626. [Google Scholar] [CrossRef] [PubMed]
- Dong, Y.; Wei, L.; Wang, S.; Pan, P.; Chen, H. Design and Performance Evaluation of Integrating the Waste Heat Recovery System (WHRS) for a Silicon Arc Furnace with Plasma Gasification for Medical Waste. Entropy 2023, 25, 595. [Google Scholar] [CrossRef]
- Poskrobko, S. Identification and stabilization of combusting animal waste with active participation of bone material—Emission of SO2 and HCl. Fuel Process. Technol. 2013, 113, 20–27. [Google Scholar] [CrossRef]
- Chanthakett, A.; Arif, M.T.; Khan, M.M.K.; Oo, A.M.T. Performance assessment of gasification reactors for sustainable management of municipal solid waste. J. Environ. Manag. 2021, 291, 112661. [Google Scholar] [CrossRef] [PubMed]
- Motyl, P.; Łach, J. Computational Modelling of Retrofitting a Coal Fired Boiler Type OP-230 for Predicting NOX Reduction. J. Therm. Sci. 2018, 27, 433–439. [Google Scholar] [CrossRef]
- Yang, W.; Pudasainee, D.; Gupta, R.; Li, W.; Wang, B.; Sun, L. An overview of inorganic particulate matter emission from coal/biomass/MSW combustion: Sampling and measurement, formation, distribution, inorganic composition and influencing factors. Fuel Process. Technol. 2021, 213, 106657. [Google Scholar] [CrossRef]
- Johnke, B. Emissions from waste incineration. In Good Practice Guidance and Uncertainty Management in National Greenhouse Gas Inventories; 2014; pp. 455–468. Available online: https://www.ipcc-nggip.iges.or.jp/public/gp/bgp/5_3_Waste_Incineration.pdf (accessed on 8 November 2023).
- Yu, J.; Sun, L.; Wang, B.; Qiao, Y.; Xiang, J.; Hu, S.; Yao, H. Study on the behavior of heavy metals during thermal treatment of municipal solid waste (MSW) components. Environ. Sci. Pollut. Res. 2016, 23, 253–265. [Google Scholar] [CrossRef]
- Cai, X.; Huang, Q.X.; Alhadj-Mallah, M.M.; Chi, Y.; Yan, J.H. Characterization of zinc vapor condensation in fly ash particles using synchrotron X-ray absorption spectroscopy. J. Zhejiang Univ. Sci. A 2015, 16, 70–80. [Google Scholar] [CrossRef]
- Chuai, X.; Xiao, R.; Chang, L.; Wang, J.; Yong, H.; Jiang, R.; Zhang, T.; Tan, S.; Zhao, Y.; Xiong, Z.; et al. Fate and emission behavior of heavy metals during hazardous chemical waste incineration. J. Hazard. Mater. 2022, 431, 128656. [Google Scholar] [CrossRef]
- Tchounwou, P.B.; Yedjou, C.G.; Patlolla, A.K.; Sutton, D.J. Heavy Metal Toxicity and the Environment. In Molecular, Clinical and Environmental Toxicology. Experientia Supplementum; Springer: Basel, Switzerland, 2012; pp. 133–164. [Google Scholar] [CrossRef]
- Zhang, H.; He, P.-J.; Shao, L.-M. Fate of heavy metals during municipal solid waste incineration in Shanghai. J. Hazard. Mater. 2008, 156, 365–373. [Google Scholar] [CrossRef]
- Wobst, M.; Wichmann, H.; Bahadir, M. Distribution behavior of heavy metals investigated in a laboratory-scale incinerator. Chemosphere 2001, 44, 981–987. [Google Scholar] [CrossRef]
- Heavy Metal Emissions in Europe. Available online: Eea.europa.eu/en/analysis/indicators/heavy-metal-emissions-in-europe#ref-ip34W (accessed on 8 November 2023).
- Chen, J.-C.; Wey, M.-Y.; Ou, W.-Y. Capture of heavy metals by sorbents in incineration flue gas. Sci. Total Environ. 1999, 228, 67–77. [Google Scholar] [CrossRef]
- Li, J.; Zhong, Z.; Du, H.; Li, Q.; Wang, N.; Zhao, H.; Huang, J. Theoretical study on the adsorption mechanism of PbCl2/CdCl2 by kaolinite during municipal solid waste pyrolysis. Chemosphere 2021, 267, 129184. [Google Scholar] [CrossRef]
- Zhu, Z.; Huang, Y.; Zha, J.; Yu, M.; Cheng, H.; Zhang, Z.; Dong, L.; Li, Z.; Fan, C. Transformation of Cr under sintering of Ca-rich solid waste with kaolin: Analysis of multi-element coupled interactions. Chemosphere 2022, 287, 132181. [Google Scholar] [CrossRef] [PubMed]
- PN-EN ISO 16948:2015-07; Solid Biofuels—Determination of the Total Carbon, Hydrogen and Nitrogen Content. ISO: Geneva, Switzerland, 2015.
- PN-EN ISO 16994:2016-10; Solid Biofuels—Determination of the Total Sulphur and Chlorine Content. ISO: Geneva, Switzerland, 2016.
- PN-G 04584:2001; Solid Fuels—Determination of the Total and Ash Sulphur content with Automatic Analysers. ISO: Geneva, Switzerland, 2001.
- Tolinski, M. Additives for Polyolefins: Getting the Most Out of Polypropylene, Polyethylene and Tpo, 2nd ed.; Andrew, W., Ed.; William Andrew: Norwich, NY, USA, 2015; ISBN 9780323371773. [Google Scholar] [CrossRef]
- Tamaddon, F.; Hogland, W. Review of Cadmium in Plastic Waste in Sweden. Waste Manag. Res. 1993, 11, 287–295. [Google Scholar] [CrossRef]
- Hahladakis, J.N.; Velis, C.A.; Weber, R.; Iacovidou, E.; Purnell, P. An overview of chemical additives present in plastics: Migration, release, fate and environmental impact during their use, disposal and recycling. J. Hazard. Mater. 2018, 344, 179–199. [Google Scholar] [CrossRef]
- Hildebrandt, L.; von der Au, M.; Zimmermann, T.; Reese, A.; Ludwig, J.; Pröfrock, D. A metrologically traceable protocol for the quantification of trace metals in different types of microplastic. PLoS ONE 2020, 15, e0236120. [Google Scholar] [CrossRef] [PubMed]
- Westerhoff, P.; Prapaipong, P.; Shock, E.; Hillaireau, A. Antimony leaching from polyethylene terephthalate (PET) plastic used for bottled drinking water. Water Res. 2008, 42, 551–556. [Google Scholar] [CrossRef] [PubMed]
- Barton, R.G.; Clark, W.D.; Seeker, W.R. Fate of Metals in Waste Combustion Systems. Combust. Sci. Technol. 1990, 74, 327–342. [Google Scholar] [CrossRef]
- Yousif, S.; Lockwood, F.C.; Abbas, T. Modeling of toxic metal emissions from solid fuel combustors. Symp. Combust. 1998, 27, 1647–1654. [Google Scholar] [CrossRef]
- Zhipeng, T.; Bingru, Z.; Chengjun, H.; Rongzhi, T.; Huangpu, Z.; Fengting, L. The physiochemical properties and heavy metal pollution of fly ash from municipal solid waste incineration. Process Saf. Environ. Prot. 2015, 98, 333–341. [Google Scholar] [CrossRef]
- Chen, C.; Luo, Z.; Yu, C. Release and transformation mechanisms of trace elements during biomass combustion. J. Hazard. Mater. 2019, 380, 120857. [Google Scholar] [CrossRef] [PubMed]
- Ulyakov, P.I. High-temperature evaporation of a metal. J. Eng. Phys. 1973, 24, 180–184. [Google Scholar] [CrossRef]
- Williams-Jones, A.E.; Heinrich, C.A. 100th Anniversary Special Paper: Vapor Transport of Metals and the Formation of Magmatic-Hydrothermal Ore Deposits. Econ. Geol. 2005, 100, 1287–1312. [Google Scholar] [CrossRef]
- Briffa, J.; Sinagra, E.; Blundell, R. Heavy metal pollution in the environment and their toxicological effects on humans. Heliyon 2020, 6, e04691. [Google Scholar] [CrossRef]
- Li, W.; Ma, Z.; Huang, Q.; Jiang, X. Distribution and leaching characteristics of heavy metals in a hazardous waste incinerator. Fuel 2018, 233, 427–441. [Google Scholar] [CrossRef]
- Uberoi, M. High-Temperature Removal of Metal Vapors by Solid Sorbents; The University of Arizona: Tucson, AZ, USA, 1990. [Google Scholar]
- Wey, M.-Y.; Yan, M.-H.; Chen, J.-C. Treatment of hazardous sorbents generated from the adsorption of heavy metals during incineration. J. Hazard. Mater. 2000, 73, 19–37. [Google Scholar] [CrossRef]
- Uberoi, M.; Punjak, W.A.; Shadman, F. The kinetics and mechanism of alkali removal from flue gases by solid sorbents. Prog. Energy Combust. Sci. 1990, 16, 205–211. [Google Scholar] [CrossRef]
- Król, D.; Motyl, P.; Poskrobko, S. Waste Incineration and Heavy Metal Emission—Laboratory Tests. Energies 2022, 15, 8130. [Google Scholar] [CrossRef]
- Król, D. Reduction of heavy metals mobility in process of fuels combustion formed from industrial waste. Pol. J. Environ. Stud. 2009, 6, 69–74. [Google Scholar]
- Chen, J.-C.; Wey, M.-Y.; Lin, Y.-C. The adsorption of heavy metals by different sorbents under various incineration conditions. Chemosphere 1998, 37, 2617–2625. [Google Scholar] [CrossRef] [PubMed]
- Chen, J.-C.; Wey, M.-Y. The effect of operating conditions on the capture of metals with limestone during incineration. Environ. Int. 1996, 22, 743–752. [Google Scholar] [CrossRef]
- Luo, J.; Yi, H.; Wang, J.; Wang, Z.; Shen, B.; Xu, J.; Liu, L.; Shi, Q.; Huang, C. Effect of alkaline metals (Na, Ca) on heavy metals adsorption by kaolinite during coal combustion: Experimental and DFT studies. Fuel 2023, 348, 128503. [Google Scholar] [CrossRef]















| Type of Waste | Carbon cdaf | Hydrogen hdaf | Nitrogen ndaf | Sulphur sdaf | Chlorine cldaf | Oxygen odaf | 
|---|---|---|---|---|---|---|
| Plastic waste | 71.8 | 8.4 | 0.4 | 0.7 | 2.8 | 15.9 | 
| Pesticide waste | 70.2 | 7.1 | 2.2 | 1.9 | 0.9 | 17.7 | 
| Pharmaceutical waste | 72.5 | 6.6 | 1.3 | 1.1 | 1.7 | 16.8 | 
| Type of Waste | Cu (ppmm) | Ni (ppmm) | Pb (ppmm) | 
|---|---|---|---|
| Plastic waste | 29.9 | 23.5 | 5392 | 
| Pesticide waste | 57,451.0 | 224 | 178.3 | 
| Pharmaceutical waste | 151.6 | 377.8 | 11.1 | 
| Type of Waste | |||
|---|---|---|---|
| Plastic Waste | Pesticide Waste | Pharmaceutical Waste | |
| S/Cl | 0.2500 | 2.1110 | 0.6471 | 
| Disclaimer/Publisher’s Note: The statements, opinions and data contained in all publications are solely those of the individual author(s) and contributor(s) and not of MDPI and/or the editor(s). MDPI and/or the editor(s) disclaim responsibility for any injury to people or property resulting from any ideas, methods, instructions or products referred to in the content. | 
© 2023 by the authors. Licensee MDPI, Basel, Switzerland. This article is an open access article distributed under the terms and conditions of the Creative Commons Attribution (CC BY) license (https://creativecommons.org/licenses/by/4.0/).
Share and Cite
Król, D.; Motyl, P.; Poskrobko, S.; Łuniewski, S. Thermal Destruction of Waste and the Impact of the Presence of Cl and S in Waste on the Emissions of Cu, Ni, and Pb and Their Immobilisation in the Ash Residue. Energies 2023, 16, 7603. https://doi.org/10.3390/en16227603
Król D, Motyl P, Poskrobko S, Łuniewski S. Thermal Destruction of Waste and the Impact of the Presence of Cl and S in Waste on the Emissions of Cu, Ni, and Pb and Their Immobilisation in the Ash Residue. Energies. 2023; 16(22):7603. https://doi.org/10.3390/en16227603
Chicago/Turabian StyleKról, Danuta, Przemysław Motyl, Sławomir Poskrobko, and Stanisław Łuniewski. 2023. "Thermal Destruction of Waste and the Impact of the Presence of Cl and S in Waste on the Emissions of Cu, Ni, and Pb and Their Immobilisation in the Ash Residue" Energies 16, no. 22: 7603. https://doi.org/10.3390/en16227603
APA StyleKról, D., Motyl, P., Poskrobko, S., & Łuniewski, S. (2023). Thermal Destruction of Waste and the Impact of the Presence of Cl and S in Waste on the Emissions of Cu, Ni, and Pb and Their Immobilisation in the Ash Residue. Energies, 16(22), 7603. https://doi.org/10.3390/en16227603
 
        



 
       