Abstract
Distributed photovoltaic (PV) power stations generally lack historical meteorological data, which is one of the main reasons for their insufficient power prediction accuracy. To address this issue, this paper proposes a power prediction method for regional distributed PV power stations based on meteorological encryption and spatio-temporal graph networks. First, inverse distance weighted meteorological encryption technology is used to achieve the comprehensive coverage of key meteorological resources based on the geographical locations of PV power stations and the meteorological resources of weather stations. Next, the historical power correlations between PV power stations are analyzed, and highly correlated stations are connected to construct a topological graph structure. Then, an improved spatio-temporal graph network model is established based on this graph to deeply mine the spatio-temporal characteristics of regional PV power stations. Furthermore, a dual-layer attention mechanism is added to further learn the feature attributes of nodes and enhance the spatio-temporal features extracted by the spatio-temporal graph network, ultimately achieving power prediction for regional PV power stations. The simulation results indicate that the proposed model demonstrates excellent prediction accuracy, robustness, extensive generalization capability, and broad applicability.
1. Introduction
Distributed photovoltaic (PV) systems have undergone significant growth due to the benefits of clean energy. By the end of 2023, China’s distributed PV installations totaled 608.9 GW, representing 41.8% of the nation’s overall PV capacity. In the distribution network, the increasing penetration of distributed PV provides a series of challenges [1]. Moreover, the forecasting for individual PV power plants alone fails to address the critical needs for coordinated scheduling across counties and cities, as well as for cross-regional energy storage [2]. Thus, the accurate regional distributed PV power forecasting and the promotion of the local consumption of distributed PV systems are crucial for developing new power systems and the safe and stable operation of distribution networks.
The current PV power prediction methods can be categorized into physical model prediction and data-driven prediction [3]. The physical model prediction method primarily leverages meteorological data and the principles of PV power generation to construct a physical model, exemplified by the ASHRAE clear sky model [4]. In practical use, the prediction method of physical modeling is complex and difficult to promote. The data-driven prediction method is based on data-driven approaches and uses artificial intelligence technologies such as deep learning to construct prediction models. Examples include CNN-LSTM prediction models [5], LSTM-TCN prediction models [6], and GAN-BiLSTM prediction models [7]. These models have demonstrated enhanced prediction accuracy for individual PV plants [8]. However, studies on the prediction of regional PV power stations are limited.
Currently, the methods for predicting the power output of regional PV stations include accumulation and statistical upscaling [9]. The accumulation method involves predicting the power output for each PV station within a region and then summing these predictions to obtain the regional forecast. Statistical upscaling involves splitting the region into subregions, selects representative PV stations in each for prediction, and then derives the regional power forecast based on their proportions. The methods for dividing subregions include hierarchical clustering [10] and K-means clustering [11]. Although these methods have achieved some success, they do not account for the spatial correlation between subregions or PV stations. This limitation affects the forecast precision, indicating room for improvement.
Recently, Graph Convolutional Networks (GCNs) have attracted considerable interest in time series prediction [12,13,14]. Gao et al. [15] used a graph structure to construct prediction models, where each PV station and its output were treated as nodes and node features, respectively, to more effectively mine spatio-temporal correlation information. Simeunović et al. [16] utilized GCNs for multi-site PV power forecasting, demonstrating that GCNs can capture the spatial correlations across various PV stations. For graph structures defined by historical PV power correlations and the spatial geographical location [17,18], better prediction results are obtained under the long-term stability of distributed PV power. Lin et al. [19] categorized the historical PV power generation data according to the weather conditions, constructed different adjacency matrices, and used the spatio-temporal graph network to realize the regional PV power prediction. Zhang et al. [20] developed a GCN-LSTM prediction model using satellite cloud images to enhance the accuracy of ultra-short-term PV power predictions. Wang Yuqing et al. [21] proposed decomposing the distributed photovoltaics in sequence, constructing a spatio-temporal graph structure, and achieving the prediction of the total power of regional distributed photovoltaics. Although the aforementioned models fully exploit the spatial characteristics between PV power stations, the temporal features of the solar power plants themselves still need enhancement.
Moreover, due to cost considerations, distributed PV power stations typically do not install meteorological measurement devices, lacking the essential weather data required for accurate prediction, which increases the difficulty of PV power prediction. Qiao ying et al. [3,22] utilized a 3D-CNN to establish an irradiation encryption model, encrypting the irradiation characteristics of regional PV power stations to predict the power output. Zhang Tongyan et al. [23] applied geographic elevation information as an auxiliary variable, used co-Kriging for meteorological encryption, and then employed a self-organizing map network to predict the distributed PV power stations. Wang Xiaoxia et al. [11] employed a bilinear interpolation method for meteorological encryption and used LSTNet to achieve the simultaneous prediction of multiple PV power stations. Thus, meteorological encryption techniques can effectively enhance the power prediction accuracy of PV power stations. Therefore, this study adopts the inverse distance weighting meteorological encryption technology to achieve the comprehensive coverage of the key meteorological resources within a region at a lower economic cost, thereby improving the PV power prediction accuracy.
In summary, this paper proposes a method for predicting the power output of regional distributed PV power stations, leveraging meteorological encryption and a spatio-temporal graph network. First, the geographical locations of the PV power stations and meteorological data from weather stations are used. The distributed PV stations are then mapped using inverse distance weighting techniques to ensure comprehensive meteorological coverage across the region. Following this, a graph structure is built based on the correlations in the PV power data. An enhanced dual-layer attention mechanism within a spatio-temporal graph network prediction model is subsequently developed to capture both the spatial relationships between the PV power stations and the temporal patterns of each station. Finally, the model generates the power output predictions for the regional distributed PV power stations.
The key contributions of this paper are as follows:
- (1)
- To tackle the low prediction accuracy of PV power caused by the lack of historical meteorological resources for regional distributed PV power stations, this paper adopts the inverse distance weighting meteorological encryption technique. This technique achieves the comprehensive coverage of the essential meteorological resources within the region at a lower economic cost, thereby enhancing the model’s prediction accuracy.
- (2)
- In the ablation experiments, this paper proposes an improved dual-layer attention mechanism spatio-temporal graph network prediction model and compares it with multiple ablation experiment models. The proposed model fully leverages the complex spatio-temporal features of regional distributed PV power stations, learns the inherent attributes of these stations, and enhances the important spatio-temporal features extracted by the ST-GCN network, thereby improving the model’s prediction performance.
- (3)
- In various combination experiments, the proposed model is compared with three different combination models (CNN-Transformer, ST-GCN-BITCN, and ST-GCN-CNN-Transformer). The experimental analysis is performed on two datasets from different regions (Dataset I and Dataset II). The simulation results indicate that the proposed model demonstrates excellent prediction performance, extensive generalization capability, and broad applicability.
2. Wide-Area Meteorological Resource Encryption for Photovoltaic Power Prediction
The generated power from solar power plants is significantly impacted by the weather conditions. Typically, distributed PV power stations do not install meteorological resource detection devices. Instead, they directly use meteorological data from nearby weather stations and historical power data from the closest distributed PV power stations for power prediction. This approach often leads to low prediction accuracy. Therefore, this paper adopts the inverse distance weighting meteorological encryption technique to enhance the resolution of wide-area meteorological resources for regional distributed PV power stations.
2.1. Data Preprocessing
During the actual collection of PV power and meteorological data, various uncertain factors often lead to missing data and anomalies, severely affecting data quality and subsequently impacting the performance of PV power models. To address this issue, this study employs the 3-sigma rule to detect and eliminate anomalies, followed by the application of a cubic polynomial interpolation model to fill missing values [24].
Additionally, to accelerate model optimization, prevent gradient issues, and enhance the accuracy of wide-area meteorological resource encryption, this study normalizes the historical power features of regional distributed PV stations and the meteorological features of weather stations. The normalized data values range from 0 to 1, and the normalization process is shown in Equation (1):
where represents the normalized feature, y is the current input feature, and and denote the minimum and maximum values of the current input feature, respectively.
2.2. Inverse Distance Weighted Interpolation Technique
Inverse Distance Weighting (IDW) estimates the meteorological values at PV power stations using meteorological data from nearby weather stations. The weight assigned to each weather station is determined by its distance from the PV power station; the closer the weather station, the greater its weight. This weighting inversely correlates with the distance. The calculation method is shown in Equation (2):
where represents the IDW meteorological estimate at PV power station , represents the meteorological value at the corresponding weather station, indicates the distance between the PV power station and the weather station, and p is the power parameter of the IDW method.
3. Spatio-Temporal Graph Network Analysis and Modeling
3.1. Constructing Spatio-Temporal Diagrams for Photovoltaic Power Station Groups
To fully extract the spatio-temporal feature information between PV power stations, the stations are represented as graph-structured data . In this representation, denotes the set of nodes, where each node corresponds to a PV power station. The node feature matrix is denoted as , and represents the set of edges connecting nodes and . The adjacency matrix mathematically represents the relationships between any two nodes.
Firstly, the correlation between different nodes is analyzed. The relationship modeling between nodes considers the similarity of historical PV power data, establishing a connection if the correlation coefficient exceeds a certain threshold. Therefore, the adjacency matrix is defined as shown in Equations (3) and (4):
where are the elements in the matrix A indicating the relationship between the PV power station nodes and ; and are the historical PV power values at nodes and at time t; and are the average historical PV power values at nodes and , respectively; T is the length of time; represents the distance between PV power station nodes and ; and represents the threshold for topology graph connections.
3.2. Improved Spatio-Temporal Graph Convolutional Model
3.2.1. Spatial Feature Extraction Using Spatio-Temporal Graph Convolutional Networks
The spatial convolution layer in the spatio-temporal graph network updates the central node’s features by aggregating the feature vectors of the strongly correlated surrounding nodes, thereby extracting the spatial features from graph-structured data. The mathematical model of the spatial convolution layer is shown in Equations (5)–(8):
where is the feature vector of layer l, is the activation function, is the Laplacian matrix of the network, is the weight matrix of the convolution layer at layer l, is the expanded degree matrix of the network, represents the element at row i and column j of the matrix, is the expanded adjacency matrix of the network, and is the identity matrix.
3.2.2. Temporal Feature Extraction Using Spatio-Temporal Graph Convolutional Networks
The temporal convolution layer of the spatio-temporal graph network consists of two components: 1D causal convolution and the gated linear unit (GLU). The 1D causal convolution primarily extracts local temporal features, while the GLU enhances the nonlinear capabilities of the temporal convolution layer. The mathematical model is shown in Equation (9):
where represents the input sequence to the temporal convolutional layer for each node, with T denoting the length of the input sequence and representing the number of input channels. The convolution kernel acts as the kernel for the 1D causal convolution, where is the kernel width and is the number of output channels. Each node’s input sequence Z is mapped to the inputs of the gated linear units (GLU) via the 1D causal convolution. The symbol ⊙ denotes the Hadamard product, and represents the sigmoid activation function.
The temporal convolution layer can only capture local temporal features, which is insufficient for high-precision power prediction. The Transformer model demonstrates superior performance in learning long-term temporal features and can complement 1D causal convolution. Therefore, a Transformer is proposed to enhance the capabilities of the fully connected layer.
3.2.3. Transformer
The Transformer comprises three core modules: position embedding, multi-head attention, and feedforward network [25]. To enhance positional information in long sequences, the position embedding mechanism is introduced. The definition of the position encoding (PE) equation is shown in Equation (10):
where is the embedded dimension of the node feature vector, i is the specific dimension index, and is the position index of the data in the node feature vector.
The Transformer’s multi-head attention mechanism can highlight the key attributes between node feature vectors, as demonstrated in Equation (11):
where Q and K are the query vector and the key vector, respectively; V denotes the value vector of the node’s feature vector; is the attention value of the node feature vector; h denotes the number of attention heads; and is a normalization function used to normalize the score to a probability value.
3.3. Dual-Layer Attention Mechanism
3.3.1. Iterative Attentional Feature Fusion (IAFF)
The initial processing of the node feature matrix significantly impacts the weight distribution of the node features during the fusion process, thereby affecting the accuracy of power prediction. When the node feature matrix is input into the model, IAFF [26] mechanism learns the fusion attributes between the features of the sensing nodes to perform the initial feature fusion process. This process is shown in Equation (12):
where represents the original input node feature sequence, and represents the node feature sequence after a linear mapping of X. The symbol ⊎ denotes the feature fusion of X and Y. The function is the multi-scale channel attention module (MS-CAM), which calculates the fusion weight . By using the weight and its complement , the local features of X and the global features of Y after linear transformation are, respectively, enhanced. This results in the initially fused features containing the feature information of both X and Y, thus learning the fusion attributes between the node features.
3.3.2. Convolutional Block Attention Module (CBAM)
CBAM [27] mechanism infers the spatio-temporal attention map along the channel and spatial dimensions, captures changes in the details of the spatio-temporal feature map, further highlights important features, and effectively addresses the dynamic spatio-temporal variations in the power prediction task of distributed PV power stations. It also enhances and extracts feature information for long-term tasks. This process is shown in Equation (13):
where denotes the channel attention calculation and and represent the average pooling and maximum pooling features across the channel dimension, respectively. The weights of the multilayer perceptron (MLP), and , are shared between both inputs. is the result of applying CBAM along the channel dimension to the spatio-temporal features F extracted by ST-GCN, thereby enhancing useful node features and suppressing irrelevant ones. denotes the spatial attention calculation, where and represent the average pooling and maximum pooling features across the spatial dimension, respectively. is the feature map obtained by weighting along the spatial dimension using CBAM, thus highlighting the important feature information in the spatio-temporal features F.
In conclusion, the process of the improved ST-GCN regional distributed PV prediction model with the dual-layer attention mechanism is shown in Figure 1. Firstly, the historical power data of the regional PV stations are standardized, and a correlation analysis is conducted to construct the topological structure diagram. Secondly, IDW meteorological encryption technology is used to achieve comprehensive coverage of wide-area meteorological resources, resulting in standardized meteorological encryption data for the PV power stations. Then, historical PV power data and meteorological data are combined and encrypted to form the node feature matrix. This matrix, along with the original node feature matrix, is obtained through linear transformation. Using the IAFF attention mechanism, local and global features are learned, resulting in a preliminarily processed node feature matrix. This matrix is fed into the ST-GCN module to extract spatio-temporal features, producing the spatio-temporal feature map. Subsequently, the spatio-temporal feature map is input into CBAM to further mine the spatio-temporal features. Finally, the spatio-temporal feature map and the original node feature map are used to form the encoder input and decoder output of the Transformer layer, and power predictions for each node are performed to obtain the power prediction results for the regional distributed PV power stations.
Figure 1.
Process of improved ST-GCN distributed PV prediction model with dual attention mechanism.
4. Case Analysis
4.1. Data Sources and Evaluation Indicators
4.1.1. Data Details
To evaluate the effectiveness and generalizability of the proposed model, which is designed for the power prediction of PV plants across various regions and seasons, case studies were conducted. These studies included PV power plants located in two distinct regions: Hebei Province in China and the state of Michigan in the United States.
Dataset I from Hebei Province, China, includes historical power data and meteorological data from 7 PV power stations. The installed capacities of these stations range from 6.6 MW to 20 MW, with their geographical distribution illustrated in Figure 2a. The sampling period for the PV power stations spans from 1 September 2018 to 10 June 2019, with a sampling interval of 15 min, and daily sampling occurring between 7:00 and 19:00. The experimental analysis was conducted across three seasons: spring, autumn, and winter. The topology connections of regional photovoltaic power stations for each season are illustrated in Appendix A, Figure A1.
Figure 2.
Geographical distributions of the photovoltaic power stations: (a) Dataset I; (b) Dataset II.
Dataset II from Michigan, USA, includes historical power data from 78 distributed PV power stations in 2006 and meteorological data from 9 meteorological stations in the region. The installed capacities of these PV power stations range from 17 MW to 35 MW, with their geographical distribution illustrated in Figure 2b. The data sampling interval is 15 min, with daily sampling occurring between 7:00 and 19:00. The experimental analysis was conducted across all four seasons. The topology connections of regional photovoltaic power stations for each season are illustrated in Appendix A, Figure A2.
4.1.2. Evaluation Indicators
This study employs three metrics to validate the proposed model’s effectiveness and robustness: Mean Absolute Error (), Root Mean Square Error (), and the coefficient of determination (). The specific equations are provided in Equations (14)–(16):
where represents the predicted PV power of the i-th PV power station at time t; m denotes the number of sampling points for the test set PV power stations; and N signifies the total number of PV stations.
4.2. Experiment Setup
To thoroughly evaluate the effectiveness and prediction performance of the proposed PV model, seven experimental models were established for comparison. Among these, the ablation models, represented as comparison models 1 to 4, progressively add specific sub-modules, as shown in Table 1. The combination models, represented as comparison models 5 to 7, include CNN-Transformer, ST-GCN-BITCN, and ST-GCN-CNN-Transformer configurations.
Table 1.
Sub-module additions for ablation models.
The simulation experiments in this study were conducted using Python 3.9. The simulation device was equipped with an Intel Core i5-13400F 2.50 GHz CPU (Intel Corporation, Santa Clara, CA, USA), 16 GB RAM, and an NVIDIA GeForce RTX 4060Ti GPU (NVIDIA Corporation, Santa Clara, CA, USA).
Based on existing experience, the range of initial model parameters are shown in Table 2. Through trial and error and using the criterion of minimizing model prediction loss, the initial parameters of the model were selected as follows: a sliding window size of 65 with a stride of 2, 2 encoder and decoder layers, 8 attention heads, an embedding dimension of 32, 64 neurons in the dense layer, a learning rate of 0.001, a dropout rate of 0.05, and 50 training epochs.
Table 2.
Selection of initial parameters of experimental model.
4.3. Experimental Results and Analysis
4.3.1. Correlation Analysis between Weather Conditions and Solar Power Production
Pearson correlation is employed to quantitatively analyze the relationship between the meteorological factors and PV power. The inputs for the forecasting model are selected based on the high correlation of weather factors. The relationship between the solar power and measured weather data, as well as numerical weather forecast data in Dataset I, is examined, with the results shown in Table 3. Similarly, the relationship between the solar power output and weather data from the inverse distance meteorological interpolation in Dataset II is evaluated, with the results shown in Table 4.
Table 3.
Relationship of meteorological factors with solar power output for Dataset I.
Table 4.
Relationship of meteorological factors with solar power output for Dataset II.
The analysis of Dataset I shows that the four selected features used as inputs in the prediction model are measured global horizontal irradiance (GHI), numerical weather prediction (NWP) GHI, NWP direct normal irradiance (DNI), and historical PV power. For Dataset II, the selected features are IDW-interpolated GHI, IDW-interpolated diffuse horizontal irradiance (DHI), IDW-interpolated temperature, and historical PV power.
To analyze the impact of meteorological factors as an input on the prediction performance of the proposed model, this study conducted a comprehensive analysis of the prediction performance under two different input conditions: one without the meteorological features as the input and the other with the meteorological features as the input. The experimental results are shown in Table 5 and Table 6.
Table 5.
Comparison of predictions with and without meteorological features in Dataset I.
Table 6.
Comparison of predictions with and without meteorological features in Dataset II.
As shown in Table 5, for Dataset I, when the meteorological features are used as the input, the proposed model exhibits superior prediction performance in forecasting power output. For example, in the spring experiment, using the meteorological features as the input improved the of the proposed model by 0.965%, reduced the by 0.083 MW, and decreased the by 0.074 MW. Similar improvements were observed in autumn and winter.
As shown in Table 6, for Dataset II, using the meteorological features generated by the inverse distance weighting meteorological encryption technique as the input significantly enhanced the prediction performance of the proposed model. For example, in the spring experiment, the of the proposed model increased by 0.950%, the decreased by 0.094 MW, and the decreased by 0.121 MW. Additionally, the prediction performance of the proposed model was improved in the other seasons as well.
Therefore, including meteorological features as the input can effectively improve the prediction performance of the proposed model. The analysis of the experimental results for Dataset II indicates that using the inverse distance weighting meteorological encryption technique can achieve the comprehensive coverage of the meteorological resources within the region at a lower economic cost, thereby obtaining differentiated meteorological data resources and improving the model’s prediction performance. This further demonstrates that meteorological features are a critical factor in enhancing the prediction performance of the proposed model.
4.3.2. Ablation Analysis of Sub-Module Additions for PV Power Prediction Performance
The overall power prediction performance of the proposed model and models 1 to 4 in the ablation experiments across various regions and seasons is presented in Table 7 and Table 8. The results indicate that the proposed model outperforms models 1 to 4 in terms of the overall prediction performance. In the seasonal experiments on Datasets I and II, model 2 shows an improvement in the prediction performance compared to model 1. Using the spring experiment results as an example, in Dataset I, compared to model 1, model 2 with the added ST-GCN network showed an improvement of 0.650% in , a decrease of 0.03 MW in , and a reduction of 0.047 MW in . In Dataset II, compared to model 1, model 2 showed an improvement of 1.899% in , a decrease of 0.128 MW in , and a reduction of 0.16 MW in . Additionally, similar results were obtained in the experiments conducted in other seasons. This improvement is attributed to the ST-GCN network, which aggregates the feature information from highly correlated neighboring nodes, thus integrating features from multiple PV stations to obtain richer and more accurate feature representations. In contrast, model 1 predicts each PV station in the region individually, failing to capture the global information, which limits its prediction performance.
Table 7.
Prediction outcomes of ablative testing for Dataset I.
Table 8.
Prediction outcomes of ablative testing for Dataset I and Dataset II.
The experimental results of models 3 and 4 indicate that the addition of IAFF or CBAM attention layers improves the prediction performance of model 2. Specifically, after extracting the spatio-temporal feature information with ST-GCN, adding the CBAM attention layer significantly enhances model 2’s prediction performance by emphasizing the important spatio-temporal feature information. For example, in the spring experiments, for Dataset I, model 3 and model 4 improve the by 0.87% and 1.73%, respectively, compared to model 2. The decreased by 0.09 MW and 0.103 MW, and the decreased by 0.058 MW and 0.137 MW, respectively. For Dataset II, model 3 and model 4 improve the by 2.41% and 3.8%, respectively, compared to model 2. The decreased by 0.191 MW and 0.354 MW, and the decreased by 0.233 MW and 0.395 MW, respectively.
Moreover, the experimental results indicate that the proposed model outperforms model 4. Although model 4 focuses on the spatio-temporal features extracted by ST-GCN, which enhances model 3’s prediction performance, it does not process the initial node feature matrix with the IAFF attention layer, thus failing to extract beneficial features for prediction. This limitation restricts model 4’s prediction performance. For example, in the spring experiments, for Dataset I, compared to model 4, the proposed model improves the by 0.74%, reduces by 0.136 MW, and reduces by 0.057 MW. For Dataset II, the proposed model improves the by 1.05%, reduces by 0.155 MW, and reduces by 0.141 MW compared to model 4.
Therefore, based on the ST-GCN network, the proposed model incorporates a dual-layer attention mechanism that not only effectively learns and integrates both the local and global features from the initial node feature matrix, resulting in a more comprehensive node feature matrix, but also further enhances the useful spatio-temporal features and suppresses the less important ones after the ST-GCN extracts the spatio-temporal features. This dual-layer attention mechanism thereby significantly improves the model’s prediction accuracy and stability.
To analyze the residual distributions in the ablation experiments, the residual distributions of the proposed model and models 1 to 4, using the spring experiment results as an example, are presented in Figure 3. For Dataset I, the residuals of the proposed model are primarily concentrated between −0.428 MW and 0.353 MW, with a median of approximately −0.013 MW. For Dataset II, the residuals are mainly concentrated between −0.635 MW and 0.244 MW, with a median of around −0.186 MW. Compared to models 1 to 4, the proposed model’s residual distribution in both datasets is notably narrow and peaked, indicating that the residuals are closely clustered around the median. This suggests the stability and precision of the proposed model’s predictive performance. Furthermore, these findings demonstrate that the improved spatio-temporal graph prediction model with a dual-attention mechanism substantially enhances the prediction performance for regional distributed PV power stations.
Figure 3.
Residuals of ablation experiment model predictions: (a) Dataset I; (b) Dataset II.
To intuitively demonstrate the actual forecasting performance of the proposed model and models 1 to 4, and to ensure the randomness of the experiment, this study randomly selected PV power stations S0 and S8 from Dataset I and stations no. 2 and no. 42 from Dataset II for the analysis of the actual prediction results.
In the ablation experiment, using the spring results as an example, the actual power forecasts of various PV power stations are shown in Figure 4, Figure 5 and Figure 6. Figure 4 shows that the proposed model maintains lower and indices compared to models 1 to 4 when predicting multiple stations simultaneously. Figure 5 and Figure 6 illustrate that the proposed model achieves a closer fit to the actual values for stations S0, S8, no. 2, and no. 42, with smoother curves and better prediction performance than models 1 to 4.
Figure 4.
Power forecasting metrics for different PV stations in spring: (a) ; (b) .
Figure 5.
Comparison of prediction results from ablation experimental models in spring: (a) station S0; (b) station S8.
Figure 6.
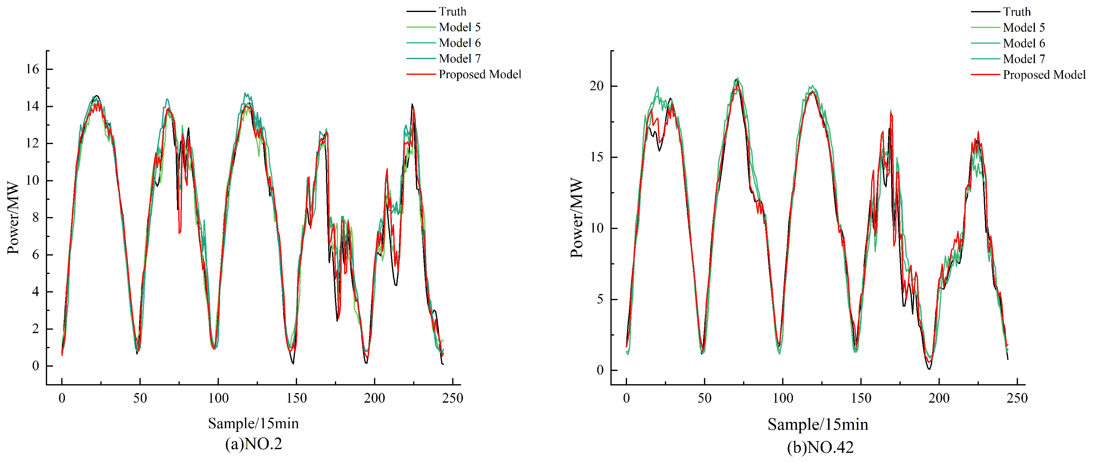
Comparison of prediction results from ablation experimental models in spring: (a) station no. 2; (b) station no. 42.
Additionally, to further analyze the power prediction results of the proposed model and ablation models 1 to 4 under complex weather conditions for PV stations, Figure 5a shows that both the proposed model and models 1 to 4 can effectively capture the actual power trends under complex weather conditions. However, examining the second prediction day of PV station S0 under complex weather conditions reveals that, despite some differences between the proposed model’s predictions and the actual values, the proposed model’s results are closer to the actual values compared to models 1 to 4. Furthermore, as illustrated in Figure 6, during the fourth and fifth prediction days for PV stations no. 2 and no. 42, the proposed model shows a better fitting trend, especially during the periods of local fluctuations, and its predictions are closer to the actual values in the trough periods. From the prediction results under complex weather conditions shown in Figure 5 and Figure 6, it can be seen that the proposed model maintains better prediction performance under complex weather conditions compared to models 1 to 4.
Therefore, the proposed model, employing an enhanced spatio-temporal graph prediction method with a dual-layer attention mechanism, demonstrates excellent prediction performance in regional PV power station group forecasting.
4.3.3. Evaluation of Ensemble and Proposed Models for Power Forecasting Performance
To further evaluate the forecasting effectiveness of the proposed model against various ensemble models for power forecasting in PV power plants, three ensemble models were selected for comparison: the CNN-Transformer prediction model (model 5), the ST-GCN-BITCN prediction model (model 6), and the ST-GCN-CNN-Transformer prediction model (model 7). Under the initial conditions specified in Section 4.2, models 5 to 7 were retrained using data from various regions and seasons. The prediction results for these ensemble models are presented in Table 9 and Table 10.
Table 9.
Prediction results of various ensemble models for Dataset I.
Table 10.
Prediction results of various ensemble models for Dataset II.
The experimental findings for the proposed model and model 5 reveal that the proposed model markedly outperforms model 5. Using the spring experimental results of Dataset I as an example, the proposed model demonstrates an improvement in of 2.9% compared to model 5. Additionally, the is reduced by 0.203 MW and the is reduced by 0.217 MW. This is because model 5 predicts each station in the regional distributed PV power stations individually, without considering the complex spatio-temporal relationships between the plants. Instead, it relies solely on the CNN model to independently extract the features from each node, which limits its predictive performance.
The experimental findings for the proposed model and model 6 indicate that, despite model 6’s use of the ST-GCN network to account for the temporal and spatial characteristics between PV power plants, its predictive performance is limited by the BITCN’s constrained receptive field of the convolutional kernel. This limitation hampers its ability to capture long-term dependencies. Using the spring experimental results of Dataset I as an example, the proposed model demonstrates improvements in of 1.9% compared to model 6. Additionally, the is reduced by 0.202 MW and the is reduced by 0.162 MW.
The experimental findings for the proposed model and model 7 indicate that, while model 7 improves upon model 6 by incorporating the ST-GCN network and further accounting for the spatiotemporal characteristics between PV power plants, its predictive performance still requires enhancement. The reasons are (1) the initial node feature matrix was not processed, preventing the extraction of useful feature information for the prediction model; (2) although the CNN network further investigates the spatial characteristics captured by the ST-GCN network, the temporal features extracted by the ST-GCN are not enhanced, thus limiting the predictive performance of model 7. Using the spring experimental results of Dataset I as an example, the proposed model demonstrates improvements in of 0.9% compared to model 7. Additionally, the is reduced by 0.113 MW and the is reduced by 0.089 MW.
To analyze the residual distributions in the ensemble experiments, using the spring experiment results as an illustration, the residual distributions of the proposed model and models 5 to 7 in different combination experiments are shown in Figure 7. Compared to models 5 to 7, the proposed model exhibits narrower and higher-peaked residual distributions in both Dataset I and Dataset II, indicating that the residuals of the proposed model are closer to the median. Moreover, the residual distributions of the proposed model across different datasets are highly similar, further demonstrating the stability and accuracy of its predictive performance. Consequently, this suggests that the proposed model has broad applicability and strong generalization capability.
Figure 7.
Residuals of various ensemble model predictions: (a) Dataset I; (b) Dataset II.
To visually illustrate the forecast precision of the proposed model compared to models 5 to 7, and to ensure the fairness of the experiment, PV power stations S0, S8, no. 2, and no. 42 were chosen for detailed analysis. The experiments continued to use the spring results as examples. The actual power prediction results for different PV power stations are shown in Figure 8, Figure 9 and Figure 10.
Figure 8.
Power prediction metrics for different PV stations in spring: (a) ; (b) .
Figure 9.
Comparison of prediction results from ensemble models in spring: (a) station S0; (b) station S8.
Figure 10.
Comparison of prediction results from ensemble models in spring: (a) station no. 2; (b) station no. 42.
Figure 8 shows that the proposed model surpasses models 5 to 7 in terms of the and forecasting metrics. Figure 9 and Figure 10 illustrate that the proposed model demonstrates a superior fitting trend in the S0, S8, no. 2, and no. 42 photovoltaic power stations. Compared to models 5 to 7, the proposed model’s predictions are more aligned with the actual values, featuring smoother curves and greatly enhanced overall forecasting accuracy.
Additionally, to further analyze the performance of the proposed model and ensemble models 5 to 7 in predicting the PV station power under complex weather conditions, Figure 9a shows that, under complex weather conditions, the actual power values of PV station S0 on the second prediction day exhibit significant fluctuations during several periods. The proposed model achieves a high degree of fit with the actual values during these periods, demonstrating strong predictive performance. In contrast, models 5 to 7 show considerable deviations from the actual values in some periods, with overall smoother fluctuations in their curves. Similarly, as illustrated in Figure 10, during the fourth and fifth prediction days for PV stations no. 2 and no. 42, the proposed model’s predictions closely match the actual values, especially during the peaks and troughs in fluctuating periods. Conversely, models 5 to 7 show larger deviations during these periods. The analysis of Figure 9 and Figure 10 indicates that the proposed model not only captures the actual power trends more accurately but also maintains better predictive performance across different fluctuating periods compared to models 5 to 7.
Therefore, in the ensemble model experiments, the proposed model, utilizing an improved spatio-temporal graph prediction method with a dual-layer attention mechanism, demonstrates superior predictive performance. When evaluated across different datasets, it also exhibits broad applicability and strong generalization capabilities.
4.4. Analysis of the Impact and Stability of the Proposed Model’s Predictive Performance
4.4.1. Impact of Different PV Stations on the Model’s Overall Predictive Performance
By comparing the overall predictive results of the proposed model in Dataset I and Dataset II, it is evident that the model’s predictive performance varies across different regions and seasons. This variation arises from the differing predictive capabilities of the proposed model when forecasting multiple photovoltaic (PV) power stations simultaneously. To further analyze the impact of each PV power station on the overall predictive performance of the proposed model, refer to Figure 11 and Figure 12.
Figure 11.
Performance analysis of various photovoltaic power stations in Dataset I: (a) ; (b) .
Figure 12.
Performance analysis of various photovoltaic power stations in Dataset II: (a) ; (b) .
Figure 11 shows that, for Dataset I, when predicting multiple stations simultaneously, the prediction metrics and for various PV power stations exhibit significant differences in spring, while the differences are smaller in autumn and winter. A longitudinal comparison across the three seasons reveals that stations S1 and S8 significantly impact the overall predictive performance of the proposed model.
Figure 12 indicates that, for Dataset II, when predicting multiple stations simultaneously, the seasonal prediction metrics for various PV power stations generally remain at median levels. Among these, the prediction metrics and are the highest in spring and winter, followed by summer, and lowest in autumn. A longitudinal comparison across the four seasons reveals that several PV power stations exhibit significant peak values in MAE and RMSE, which notably affect the overall predictive performance of the proposed model. These PV power stations include no. 6, no. 8, no. 39, no. 40, no. 47, no. 49, no. 55, no. 56, no. 65, no. 68, no. 70, no. 72, and no. 74.
4.4.2. Stability Analysis of the Proposed Model’s Predictive Performance
To further analyze and validate the stability of the proposed model’s predictive performance, multiple independent repeat experiments were conducted across different regions and seasons. The predictive performance of the proposed model is shown in Figure 13 and Figure 14. From these figures, it is evident that the predictive performance curves of the proposed model fluctuate within a narrow range across different regions and seasons, indicating good stability in predictive performance.
Figure 13.
Performance analysis of independent repeat experiments in Dataset I: (a) R_Squared; (b) ; (c) .
Figure 14.
Performance analysis of independent repeat experiments in Dataset II: (a) R_Squared; (b) ; (c) .
Taking the independent repeat experiment results for the spring season as an example, in Dataset I, the values of the proposed model mainly range from 0.939 to 0.942, ranges from 0.701 to 0.740 MW, and ranges from 1.088 to 1.121 MW. In Dataset II, the values mainly range from 0.954 to 0.959, ranges from 0.738 to 0.837 MW, and ranges from 1.151 to 1.219 MW.
5. Conclusions
This study proposes an improved ST-GCN prediction model based on meteorological encryption and a dual-layer attention mechanism. To account for the seasonal variations throughout the year, simulation experiments were conducted on datasets from different regions and seasons. These experiments produced power prediction results for regional PV power stations across various regions and seasons. The simulation results demonstrate that the proposed model achieves the highest accuracy in power predictions relative to the actual output of regional PV power stations. Through theoretical and experimental analysis, the following key conclusions were drawn:
- (1)
- IDW technology is utilized to encrypt distributed PV power stations lacking historical meteorological data. This process generates distinct meteorological encrypted data for the region, ensuring the comprehensive coverage of essential meteorological data. The encrypted weather data are subsequently incorporated into the prediction model, effectively resolving the issue of missing weather data in distributed PV power stations and thereby enhancing the prediction accuracy.
- (2)
- In the proposed model, a topological structure diagram of PV power stations, constructed through correlation analysis, connects multiple highly correlated PV power stations within the region. Based on this graph structure, the ST-GCN network is utilized to deeply extract the spatio-temporal characteristics among PV stations. Simultaneously, the Transformer model enhances the fully connected layer of the ST-GCN network, further extracting the long-term dependent temporal characteristics of the nodes, thus boosting the model’s predictive performance.
- (3)
- Building upon the Transformer-enhanced ST-GCN network, the IAFF and CBAM dual-layer attention mechanisms are added. These additions not only further excavate the feature attributes of the learning nodes but also enhance the spatio-temporal features extracted by the ST-GCN network, thus enhancing the model’s robustness and forecasting precision.
- (4)
- The analysis of cases from various regions and seasons demonstrates that the proposed model delivers precise predictions, exhibits strong generalization capabilities, and has broad applicability.
In the study on the power prediction of regional distributed photovoltaic (PV) stations, an inverse distance meteorological densification technique was employed to obtain differentiated meteorological resources, thereby improving the predictive accuracy of the model. However, the study did not optimize or enhance the meteorological densification technique. Future work should focus on optimizing and improving the meteorological densification technique to enhance its accuracy and applicability across different regions.
Additionally, this paper primarily conducts seasonal simulation experiments and analysis on the power datasets of photovoltaic power stations from different regions, specifically Dataset I and Dataset II. The study does not verify the applicability of the proposed model to other types of renewable energy or power systems, nor does it consider factors such as the computational complexity and resource requirements during model training and evaluation. Therefore, the future research should extend the proposed model to the power prediction studies of other renewable energies, such as regional wind power prediction, and account for the computational complexity and operational efficiency of the model to more comprehensively evaluate its feasibility and effectiveness in practical applications. Furthermore, the future research should expand the experimental datasets to include more data from different regions and seasons to more thoroughly verify the model’s applicability.
Author Contributions
Conceptualization, S.D. and S.C.; methodology, S.D. and S.C.; formal analysis, S.D. and A.X.; resources, S.D. and A.X.; data curation, S.D. and A.X.; writing—original draft preparation, S.D.; writing—review and editing, S.C.; visualization, S.D. and A.X.; supervision, S.C. All authors have read and agreed to the published version of the manuscript.
Funding
This research was funded by the National Natural Science Foundation of China, grant number 52266018.
Data Availability Statement
Data will be made available upon request.
Conflicts of Interest
The authors declare no conflicts of interest.
Appendix A
Figure A1.
Regional photovoltaic power station topology connections for Dataset I: (a) Spring; (b) Autumn; (c) Winter.
Figure A1.
Regional photovoltaic power station topology connections for Dataset I: (a) Spring; (b) Autumn; (c) Winter.

Figure A2.
Regional photovoltaic power station topology connections for Dataset II: (a) Spring; (b) Summer; (c) Autumn; (d) Winter.
Figure A2.
Regional photovoltaic power station topology connections for Dataset II: (a) Spring; (b) Summer; (c) Autumn; (d) Winter.

References
- Bai, R.; Shi, Y.; Yue, M.; Du, X. Hybrid model based on K-means++ algorithm, optimal similar day approach, and long short-term memory neural network for short-term photovoltaic power prediction. Glob. Energy Interconnect. 2023, 6, 184–196. [Google Scholar] [CrossRef]
- Cheng, L.; Zang, H.; Wei, Z.; Sun, G. Ultra-short-term forecasting of regional photovoltaic power generation considering multispectral satellite remote sensing data. Proc. CSEE 2022, 42, 7451–7465. [Google Scholar]
- Qiao, Y.; Sun, R.; Ding, R.; Li, S.; Lu, Z. Distributed photovoltaic station cluster gridding short-term power forecasting part I: Methodology and data augmentation. Power Syst. Technol. 2021, 45, 1799–1808. [Google Scholar]
- Yao, W.; Xu, C.; Ding, R.; Zhao, J.; Wang, X.; Wang, Y. The modified ASHRAE model based on the mechanism of multi-parameter coupling. Energy Convers. Manag. 2020, 209, 112642. [Google Scholar] [CrossRef]
- Ali, A.; Ahmed, A.; Moussa, L.; Yassine, E.; Imane, H. CNN-LSTM: An efficient hybrid deep learning architecture for predicting short-term photovoltaic power production. Electr. Power Syst. Res. 2022, 208, 107908. [Google Scholar]
- Limouni, T.; Yaagoubi, R.; Bouziane, K.; Guissi, K.; Baali, E.H. Accurate one step and multistep forecasting of very short-term PV power using LSTM-TCN model. Renew. Energy 2023, 205, 1010–1024. [Google Scholar] [CrossRef]
- Huang, X.; Li, Q.; Tai, Y.; Chen, Z.; Liu, J.; Shi, J.; Liu, W. Time series forecasting for hourly photovoltaic power using conditional generative adversarial network and Bi-LSTM. Energy 2022, 246, 123403. [Google Scholar] [CrossRef]
- Sobri, S.; Koohi-Kamali, S.; Rahim, N.A. Solar photovoltaic generation forecasting methods: A review. Energy Convers. Manag. 2018, 156, 459–497. [Google Scholar] [CrossRef]
- Liu, C.; Li, M.; Yu, Y.; Wu, Z.; Gong, H.; Cheng, F. A Review of Multitemporal and Multispatial Scales Photovoltaic Forecasting Methods. IEEE Access 2022, 10, 35073–35093. [Google Scholar] [CrossRef]
- Lu, J.; Cai, T.; Lang, J.; Peng, X.S.; Cheng, K. Short-term Power Output Forecasting of Clustered Photovoltaic Solar Plants Based on Cluster Partition. High Volt. Eng. 2022, 48, 1943–1951. [Google Scholar]
- Wang, X.; Yu, M.; Huo, Z.; Yang, D. Short-term Power Forecasting of Distributed Photovoltaic Station Clusters Based on Affinity Propagation Clustering and Long Short-term Time-series Network. Autom. Electr. Power Syst. 2023, 47, 133–141. [Google Scholar]
- Liao, W.; Yang, D.; Wang, Y.; Ren, X. Fault diagnosis of power transformers using graph convolutional network. CSEE J. Power Energy Syst. 2021, 7, 241–249. [Google Scholar] [CrossRef]
- Zhao, L.; Song, Y.; Zhang, C.; Liu, Y.; Wang, P.; Lin, T.; Deng, M.; Li, H. T-GCN: A Temporal Graph Convolutional Network for Traffic Prediction. IEEE Trans. Intell. Transp. Syst. 2020, 21, 3848–3858. [Google Scholar] [CrossRef]
- Su, Z.; Zheng, G.; Hu, M.; Kong, L.; Wang, G. Short-term load forecasting of regional integrated energy system based on spatio-temporal convolutional graph neural network. Electr. Power Syst. Res. 2024, 232, 110427. [Google Scholar] [CrossRef]
- Gao, B.; Mao, C.; Zhang, C.; Weijie, Q.; Chao, F.; Chao, Z. Power output prediction of distributed photovoltaic generation based on spatio-temporal graph network. J. Electr. Power Syst. Autom. 2023, 35, 125–133. [Google Scholar] [CrossRef]
- Simeunović, J.; Schubnel, B.; Alet, P.-J.; Carrillo, R.E. Spatio-Temporal Graph Neural Networks for Multi-Site PV Power Forecasting. IEEE Trans. Sustain. Energy 2022, 13, 1210–1220. [Google Scholar] [CrossRef]
- Khodayar, M.; Wang, J. Spatio-Temporal Graph Deep Neural Network for Short-Term Wind Speed Forecasting. IEEE Trans. Sustain. Energy 2019, 10, 670–681. [Google Scholar] [CrossRef]
- Jiao, X.; Li, X.; Lin, D.; Xiao, W. A Graph Neural Network Based Deep Learning Predictor for Spatio-Temporal Group Solar Irradiance Forecasting. IEEE Trans. Ind. Inform. 2022, 18, 6142–6149. [Google Scholar] [CrossRef]
- Lin, L.; Deng, G.; Fan, H. New Energy Generation Power Prediction Based on Weather Pattern Recognition and Spatiotemporal Graph Neural Network. Electr. Autom. 2023, 45, 30–33. [Google Scholar]
- Zhang, X.; Gao, R.; Zhu, C.; Liu, C.; Mei, S. Ultra-short-term prediction of regional photovoltaic power based on dynamic graph convolutional neural network. Electr. Power Syst. Res. 2024, 226, 109965. [Google Scholar] [CrossRef]
- Wang, Y.; Xu, F.; Liu, Z.; Yuqing, W.; Fei, X.; Zhao, Z.; Fei, W. Ultra-short-term Power Forecasting of Distributed Photovoltaic Based on Dynamic Correlation Characterization and Graph Network Modeling. Autom. Electr. Power Syst. 2023, 47, 72–82. [Google Scholar]
- Qiao, Y.; Sun, R.; Ding, R.; Li, S.; Lu, Z. Distributed photovoltaic station cluster short-term power forecasting part II: Gridding prediction. Power Syst. Technol. 2021, 45, 2210–2218. [Google Scholar]
- Zhang, T.; Liao, Q.; Tang, F.; Yu, L.; Jiale, W.; Huipeng, D. Wide-area Distributed Photovoltaic Power Forecast Method Based on Meteorological Resource Interpolation and Transfer Learning. Proc. CSEE 2023, 43, 7929–7940. [Google Scholar] [CrossRef]
- Liu, J.; Li, T. Multi-step power forecasting for regional photovoltaic plants based on ITDE-GAT model. Energy 2024, 293, 130468. [Google Scholar] [CrossRef]
- Li, X.; Zou, X.; Cheng, J.; Tang, M.; Hu, P. FMM-VMD-Transformer: A hybrid deep learning model for predicting natural gas consumption. Digit. Eng. 2024, 2, 100005. [Google Scholar] [CrossRef]
- Dai, Y.; Gieseke, F.; Oehmcke, S.; Wu, Y.; Barnard, K. Attentional Feature Fusion. In Proceedings of the 2021 IEEE Winter Conference on Applications of Computer Vision (WACV), Waikoloa, HI, USA, 3–8 January 2021; pp. 3559–3568. [Google Scholar] [CrossRef]
- Woo, S.; Park, J.; Lee, J.-Y.; Kweon, I.S. CBAM: Convolutional Block Attention Module. In Proceedings of the Computer Vision—ECCV 2018: 15th European Conference, Munich, Germany, 8–14 September 2018; Proceedings, Part VII. Springer: Berlin/Heidelberg, Germany, 2018; pp. 3–19. [Google Scholar] [CrossRef]
Disclaimer/Publisher’s Note: The statements, opinions and data contained in all publications are solely those of the individual author(s) and contributor(s) and not of MDPI and/or the editor(s). MDPI and/or the editor(s) disclaim responsibility for any injury to people or property resulting from any ideas, methods, instructions or products referred to in the content. |
© 2024 by the authors. Licensee MDPI, Basel, Switzerland. This article is an open access article distributed under the terms and conditions of the Creative Commons Attribution (CC BY) license (https://creativecommons.org/licenses/by/4.0/).













