A Flexible Envelope Method for the Operation Domain of Distribution Networks Based on “Degree of Squareness” Adjustable Superellipsoid
Abstract
1. Introduction
2. Feasible Domain Modeling Based on Network Operational Constraints
2.1. Rewriting of the Power Flow Model of the Distribution Network
2.2. Distribution Network Constraints
3. Construction and Improvement of Flexible Operational Domain Models
3.1. Distribution Network Operating Envelope Definition
3.2. Tunable Superellipsoid Running Envelope Solution Model Based on “Degree of Squareness”
4. Experimental Verification
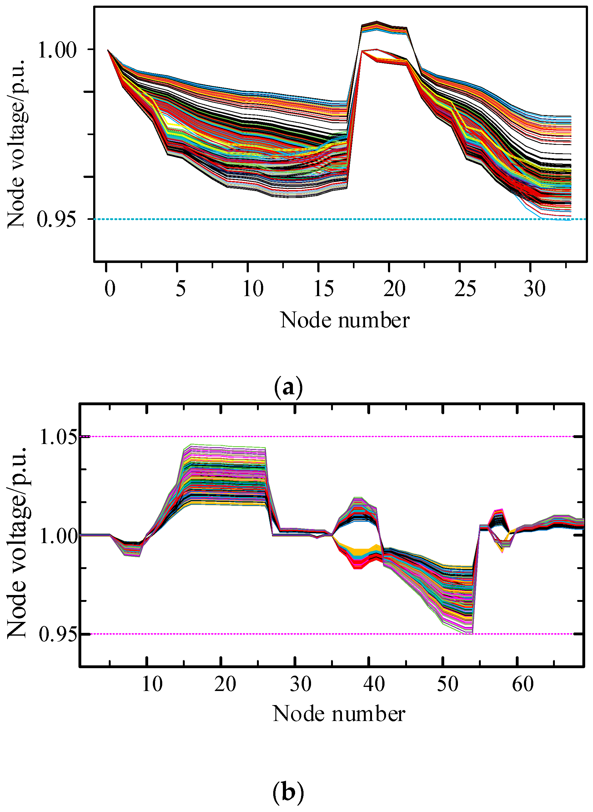
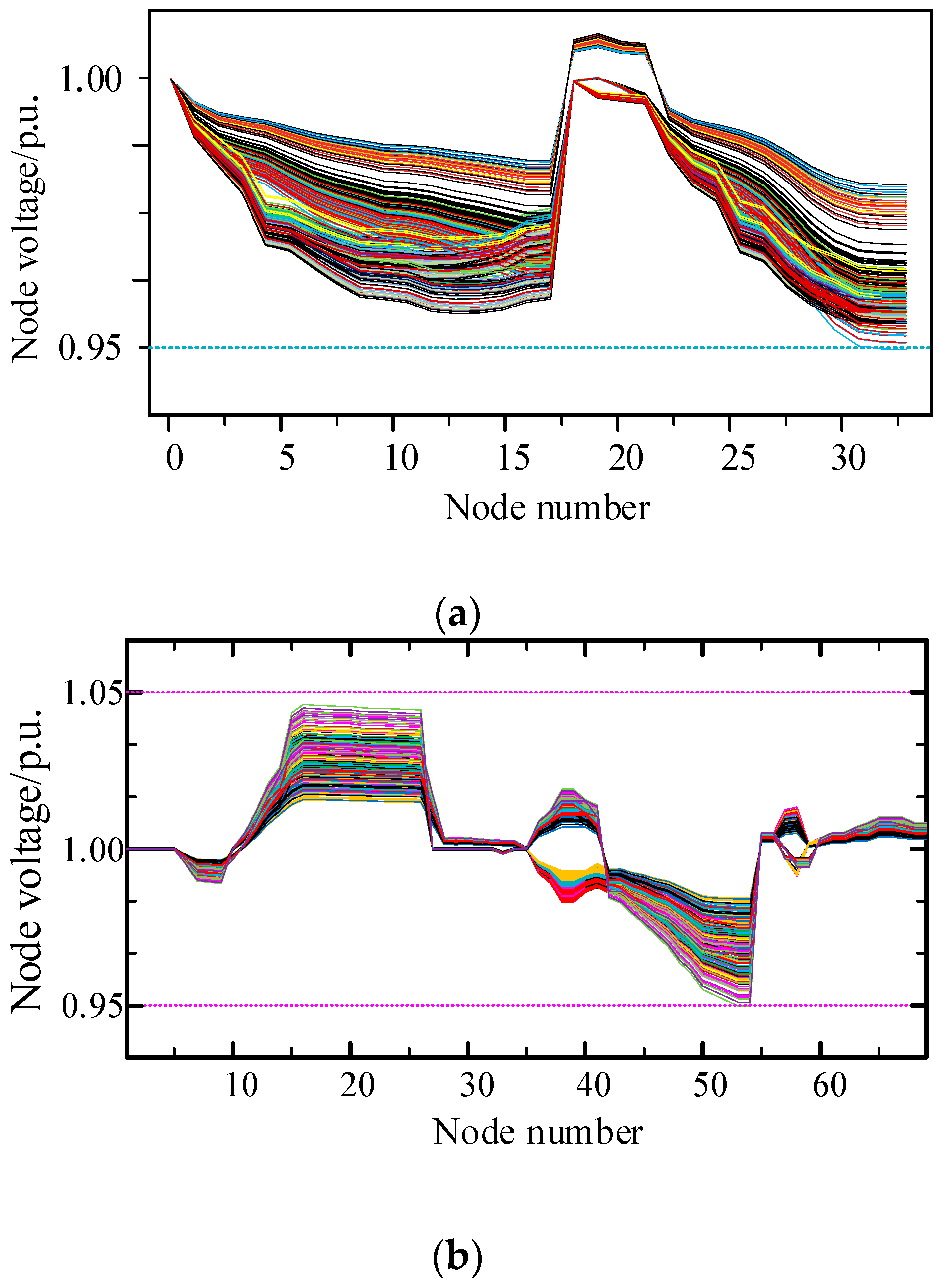
4.1. Total Operational Domain Envelope Security Assessment
4.2. Active Node Independent Regulatory Scope Analysis
4.3. Operational Domain Envelope Time Analysis
4.4. Operational Domain Envelope Security Validation
5. Conclusions
- (1)
- The method adopted in this paper uses an improved convex inner approximation approach, providing a convex solution space that is strictly contained within the original feasible region of the system for subsequent envelope construction of the distribution network operation domain.
- (2)
- This paper employs a “degree of squareness” adjustable superellipsoid envelope method with high network adaptability, capable of dynamically adjusting parameters to change its size and adapt to different operating states of the system, achieving p-q decoupling operation among various active nodes in the distribution network. Compared with traditional methods, the proposed method significantly enhances the range of the operation envelope while ensuring the feasibility of solution decomposition.
- (3)
- In response to the high penetration of DERs, compared with traditional convex envelope methods, this paper’s method adds a penalty term to the model to penalize unknown states of each node during the calculation of the operation domain, effectively mitigating the adverse effects brought by the uncertainty and complexity of resources such as DERs.
Author Contributions
Funding
Data Availability Statement
Conflicts of Interest
Nomenclature
| Symbol | |
| Mathematical expression of feasible domain | |
| The set of all run constraints | |
| Mathematical expression of hyperrectangle | |
| L | The length of all axes of a hyperellipsoid |
| Hyperellipsoid with adjustable “square” | |
| Built-in hyperrectangular volume | |
| Introduced relaxation variable | |
| The input/output quota to be allocated by each node | |
| Abbreviations | |
| DERs | Distributed energy resources |
| DFR | Decoupled feasibility region |
| UTOPF | Unbalanced three-phase optimal power flow |
| DOEs | Dynamic operation envelopes |
| CDOEs | Convex DOEs |
| RDOEs | Rectangular DOEs |
| HDOEs | Hyperellipsoidal DOEs |
| MHDOEs | Modified HDOEs |
Appendix A

| No. | DG Type | Quantity | Location | Active Power/MW |
|---|---|---|---|---|
| DG1 | PV cell | 1 | 6, 9, 13, 24 | 0~0.5 |
| DG2 | WTG | 1 | 30 | 0~0.35 |
| DG2 | WTG | 1 | 33 | 0~0.65 |

| No. | DG Type | Quantity | Location | Active Power/MW |
|---|---|---|---|---|
| DG1 | PV cell | 1 | 4, 8, 21, 25, 36, | 0~0.35 |
| DG2 | WTG | 1 | 40, 45, 48, 52, 60 | 0~0.25 |

References
- Zhang, Z.; Chen, Z. Transformation mechanism and characterization method of multi-agent flexibility and randomness in active distribution Network. Autom. Electr. Power Syst. 2018, 48, 116–129. (In Chinese) [Google Scholar]
- Koutsoukis, N.C.; Georgilakis, P.S.; Hatziargyriou, N.D. Multistage coordinated planning of active distribution networks. IEEE Trans. Power Syst. 2017, 33, 32–44. [Google Scholar] [CrossRef]
- Jiang, X. Feasible Operation Region of an Electricity Distribution Network with SOPs. Ph.D. Thesis, Cardiff University, Cardiff, UK, 2024. [Google Scholar]
- Sun, X.; Qiu, J.; Zhao, J. Optimal Local Volt/Var Control for Photovoltaic Inverters in Active Distribution Networks. IEEE Trans. Power Syst. 2021, 36, 5756–5766. [Google Scholar] [CrossRef]
- Vandoorn, T.L.; Meersman, B.; De Kooning, J.D.M.; Vandevelde, L. Transition From Islanded to Grid-Connected Mode of Microgrids With Voltage-Based Droop Control. IEEE Trans. Power Syst. 2013, 28, 2545–2553. [Google Scholar] [CrossRef]
- Samadi, A.; Eriksson, R.; Söder, L.; Rawn, B.G.; Boemer, J.C. Coordinated Active Power-Dependent Voltage Regulation in Distribution Grids With PV Systems. IEEE Trans. Power Deliv. 2014, 29, 1454–1464. [Google Scholar] [CrossRef]
- Xing, Q.; Chen, Z.; Zhang, T.; Li, X.; Sun, K. Real-time optimal scheduling for active distribution networks: A graph reinforcement learning method. Int. J. Electr. Power Energy Syst. 2023, 145, 108637. [Google Scholar] [CrossRef]
- Xiao, J.; Zu, G.; Bai, G.; Zhang, M.; Wang, C.; Zhao, J. Mathematical Definition and Existence Proof of Security Domain of Distribution System. Proc. CSEE 2016, 36, 4828–4836. (In Chinese) [Google Scholar]
- Xiao, J.; Zuo, L.; Zu, G.; Liu, S. Security Domain Model of Distribution System Based on Power Flow Calculation. Proc. CSEE 2017, 37, 4941–4949. (In Chinese) [Google Scholar]
- Ageeva, L.; Majidi, M.; Pozo, D. Analysis of Feasibility Region of Active Distribution Networks. In Proceedings of the 2019 International Youth Conference on Radio Electronics, Electrical and Power Engineering (REEPE), Moscow, Russia, 14–15 March 2019; pp. 1–5. [Google Scholar]
- Pei, L.; Wei, Z.; Chen, S.; Sun, G.; Lv, S. Security Domain of AC-DC Hybrid Distribution Network based on Convex envelope. Power Syst. Autom. 2021, 45, 45–51. (In Chinese) [Google Scholar]
- Petrou, K.; Procopiou, A.T.; Gutierrez-Lagos, L.; Liu, M.Z.; Ochoa, L.F.; Langstaff, T.; Theunissen, J.M. Ensuring Distribution Network Integrity Using Dynamic Operating Limits for Prosumers. IEEE Trans. Smart Grid 2021, 12, 3877–3888. [Google Scholar] [CrossRef]
- Blackhall, L. On the Calculation and Use of Dynamic Operating Envelopes; Australian National University: Canberra, Australian, 2020. [Google Scholar]
- Liu, B.; Braslavsky, J.H. Sensitivity and robustness issues of operating envelopes in unbalanced distribution networks. IEEE Access 2022, 10, 92789–92798. [Google Scholar] [CrossRef]
- Rayati, M.; Bozorg, M.; Cherkaoui, R.; Carpita, M. Distributionally robust chance constrained optimization for providing flexibility in an active distribution network. IEEE Trans. Smart Grid 2022, 13, 2920–2934. [Google Scholar] [CrossRef]
- Karimianfard, H.; Haghighat, H. Generic resource allocation in distribution grid. IEEE Trans. Power Syst. 2018, 34, 810–813. [Google Scholar] [CrossRef]
- Wang, R.; Ji, H.; Li, P.; Yu, H.; Zhao, J.; Zhao, L.; Zhou, Y.; Wu, J.; Bai, L.; Yan, J.; et al. Multi-resource dynamic coordinated planning of flexible distribution network. Nat. Commun. 2024, 15, 4576. [Google Scholar] [CrossRef] [PubMed]
- Karthikeyan, N.; Pillai, J.R.; Bak-Jensen, B.; Simpson-Porco, J.W. Predictive control of flexible resources for demand response in active distribution networks. IEEE Trans. Power Syst. 2019, 34, 2957–2969. [Google Scholar] [CrossRef]
- Liu, M.Z.; Ochoa, L.F.; Wong, P.K.C.; Theunissen, J. Using opf-based operating envelopes to facilitate residential der services. IEEE Trans. Smart Grid 2022, 13, 4494–4504. [Google Scholar] [CrossRef]
- Bassi, V.; Ochoa, L.N. Deliverables 1-2-3a: Model-Free Voltage Calculations and Operating Envelopes; The University of Melbourne: Melbourne, Australia, 2022. [Google Scholar]
- Chen, X.; Li, N. Leveraging two-stage adaptive robust optimization for power flexibility aggregation. IEEE Trans. Smart Grid 2021, 12, 3954–3965. [Google Scholar] [CrossRef]
- Shi, L.; Xu, X.; Yan, Z.; Tan, Z. Envelop Calculation Method for Active-reactive Power Operation of Distribution Network. Proc. CSEE 2024, 1–15. (In Chinese) [Google Scholar]
- Yang, T.; Yu, Y. Steady-state security region-based voltage/var optimization considering power injection uncertainties in distribution grids. IEEE Trans. Smart Grid 2018, 10, 2904–2911. [Google Scholar] [CrossRef]
- Oladeji, I.; Makolo, P.; Abdillah, M.; Shi, J.; Zamora, R. Security impacts assessment of active distribution network on the modern grid operation—A review. Electronics 2021, 10, 2040. [Google Scholar] [CrossRef]
- Gu, C.; Wang, Y.; Wang, W.; Gao, Y. Research on Load State Sensing and Early Warning Method of Distribution Network under High Penetration Distributed Generation Access. Energies 2023, 16, 3093. [Google Scholar] [CrossRef]
- Hu, D.; Peng, Y.; Wei, W.; Xiao, T.; Cai, T.; Xi, W. Reactive power optimization strategy of deep reinforcement learning for distribution network with multiple time scales. Proc. CSEE 2022, 42, 5034–5045. (In Chinese) [Google Scholar]
- Zhang, J.; Cui, M.; Yao, X.; He, Y. Dual time-scale coordinated optimization of active distribution network based on data-driven and physical model. Automation of Electr. Power Syst. 2023, 47, 64–71. (In Chinese) [Google Scholar]
- Lin, Z.; Hu, Z.; Song, Y. Review of Convex relaxation Techniques for optimal power flow Problems. Proc. CSEE 2019, 39, 3717–3728. [Google Scholar]
- Ju, Y.; Huang, Y.; Zhang, R. Optimal power flow of three-phase AC-DC hybrid active distribution Network based on second-order cone programming convex relaxation. Trans. China Electrotech. Soc. 2021, 36, 1866–1875. (In Chinese) [Google Scholar]
- Heidari, R.; Seron, M.M.; Braslavsky, J.H. Non-local approximation of power flow equations with guaranteed error bounds. In Proceedings of the 2017 Australian and New Zealand Control Conference (ANZCC), Gold Coast, QLD, Australia, 17–20 December 2017; pp. 83–88. [Google Scholar]
- Borghetti, A.; Bosetti, M.; Grillo, S.; Massucco, S.; Nucci, C.A.; Paolone, M.; Silvestro, F. Short-term scheduling and control of active distribution systems with high penetration of renewable resources. IEEE Syst. J. 2010, 4, 313–322. [Google Scholar] [CrossRef]
- Pilo, F.; Pisano, G.; Soma, G.G. Optimal coordination of energy resources with a two-stage online active management. IEEE Trans. Ind. Electron. 2011, 58, 4526–4537. [Google Scholar] [CrossRef]
- Huang, Y.; Wang, Y.; Kong, W.; Cao, C.; Su, J.; Wang, K. Active power and reactive power coordination optimization of active distribution network based on improved convex inner approximation method. Proc. CSEE 2024, 1–11. (In Chinese) [Google Scholar]
- Li, H.; He, H. Learning to operate distribution networks with safe deep reinforcement learning. IEEE Trans. Smart Grid 2022, 13, 1860–1872. [Google Scholar] [CrossRef]
- Kou, P.; Liang, D.; Wang, C.; Wu, Z.; Gao, L. Safe deep reinforcement learning-based constrained optimal control scheme for active distribution networks. Appl. Energy 2020, 264, 114772. [Google Scholar] [CrossRef]
- Mu, Y.; Jin, S.; Zhao, K.; Dong, X.; Jia, H.; Qi, Y. “people-car-pile-road-net” depth under the coupling of the collaborative planning and operation optimization distribution network. Autom. Electr. Power Syst. 2018, 48, 24–37. (In Chinese) [Google Scholar]
- Lu, S.; Mo, Y. Distributed dispatching method of active distribution network considering multiple regulation resources. J. Phys. Conf. Ser. 2022, 2237, 012004. [Google Scholar] [CrossRef]
- Sun, H.; Ding, X.; Wu, Z.; Zheng, S.; Xu, Z. Voltage regulation strategy of distribution network with automatic voltage control system limit optimization. Electr. Power Syst. Autom. 2024, 1–13. (In Chinese) [Google Scholar]
- Guo, Q.; Wu, J.; Mo, C.; Xu, H. Collaborative optimization model of voltage and reactive power for new energy distribution Network based on mixed integer second-order cone programming. Proc. CSEE 2018, 38, 1385–1396. (In Chinese) [Google Scholar]
- Chen, S.; Wei, Z.; Sun, G.; Wei, W.; Wang, D. Convex hull based robust security region for electricity-gas integrated energy systems. IEEE Trans. Power Syst. 2018, 34, 1740–1748. [Google Scholar] [CrossRef]











| RDOEs | HDOEs | MHDOEs | |
|---|---|---|---|
| IEEE 33 | 0.21 | 0.09 | 0.01 |
| IEEE 69 | 0.23 | 0.13 | 0.02 |
| RDOEs | HDOEs | MHDOEs | |
|---|---|---|---|
| IEEE 33 | 0.039 s | 16.154 s | 18.674 s |
| IEEE 69 | 0.055 s | 24.564 s | 28.389 s |
Disclaimer/Publisher’s Note: The statements, opinions and data contained in all publications are solely those of the individual author(s) and contributor(s) and not of MDPI and/or the editor(s). MDPI and/or the editor(s) disclaim responsibility for any injury to people or property resulting from any ideas, methods, instructions or products referred to in the content. |
© 2024 by the authors. Licensee MDPI, Basel, Switzerland. This article is an open access article distributed under the terms and conditions of the Creative Commons Attribution (CC BY) license (https://creativecommons.org/licenses/by/4.0/).
Share and Cite
Wang, K.; Huang, Y.; Xu, J.; Liu, Y. A Flexible Envelope Method for the Operation Domain of Distribution Networks Based on “Degree of Squareness” Adjustable Superellipsoid. Energies 2024, 17, 4096. https://doi.org/10.3390/en17164096
Wang K, Huang Y, Xu J, Liu Y. A Flexible Envelope Method for the Operation Domain of Distribution Networks Based on “Degree of Squareness” Adjustable Superellipsoid. Energies. 2024; 17(16):4096. https://doi.org/10.3390/en17164096
Chicago/Turabian StyleWang, Kewei, Yonghong Huang, Junjun Xu, and Yanbo Liu. 2024. "A Flexible Envelope Method for the Operation Domain of Distribution Networks Based on “Degree of Squareness” Adjustable Superellipsoid" Energies 17, no. 16: 4096. https://doi.org/10.3390/en17164096
APA StyleWang, K., Huang, Y., Xu, J., & Liu, Y. (2024). A Flexible Envelope Method for the Operation Domain of Distribution Networks Based on “Degree of Squareness” Adjustable Superellipsoid. Energies, 17(16), 4096. https://doi.org/10.3390/en17164096

