Fractional-Order Sliding-Mode Control and Radial Basis Function Neural Network Adaptive Damping Passivity-Based Control with Application to Modular Multilevel Converters
Abstract
1. Introduction
2. The Topology and Mathematical Modelling of MMC
2.1. MMC Topology
2.2. MMC Mathematical Modelling
3. Design of FOSMC-PBC Controller
3.1. Euler–Lagrange Model
3.2. Passivity-Based Controller Design
3.3. Fractional-Order Sliding-Mode Passivity-Based Controller Design
4. RBFNN-Based Injection Damping Adaptation Control
5. Simulation Analysis
5.1. Simulation Setup
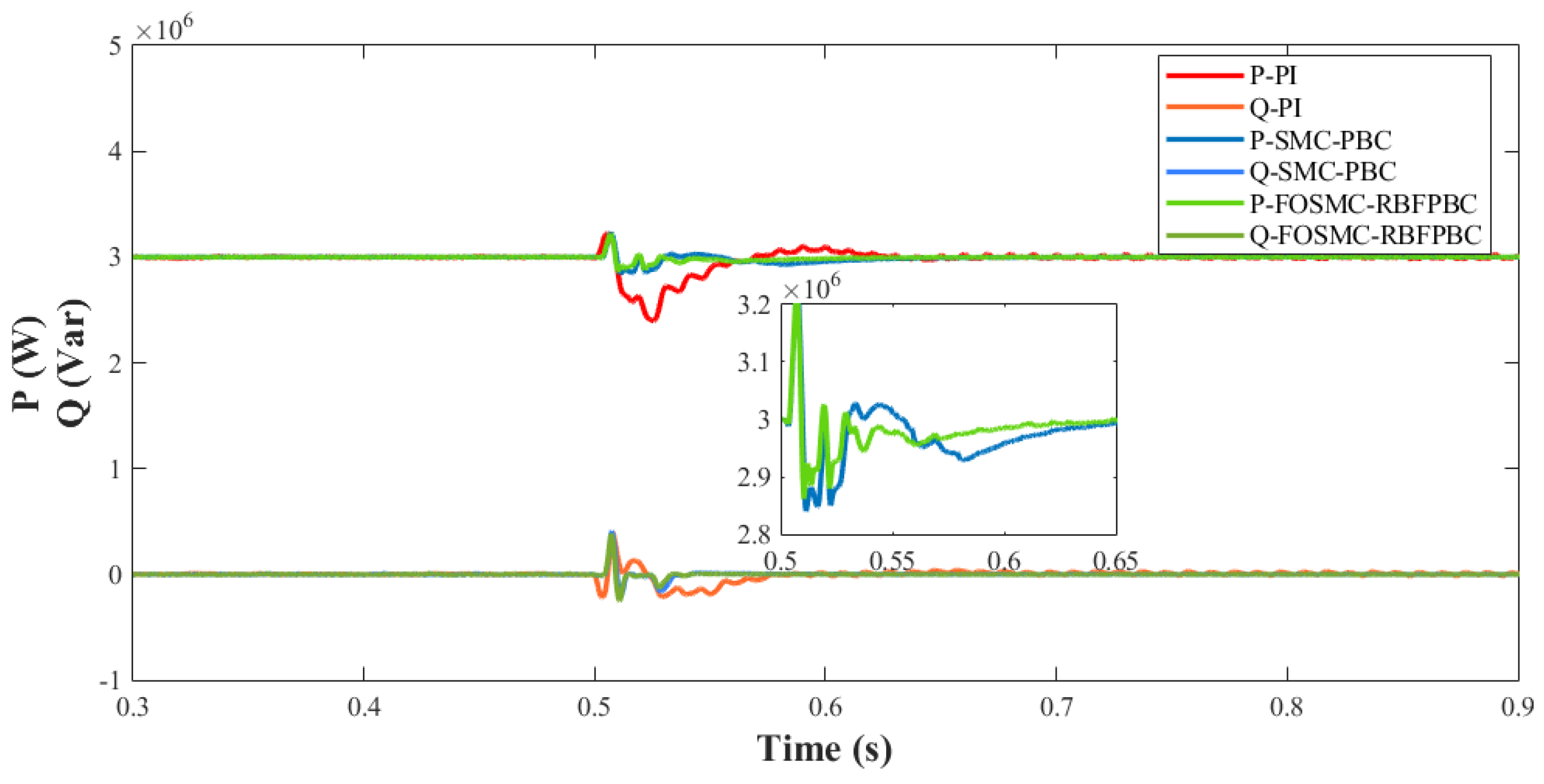
5.2. Grid-Side Disturbance
5.3. Three-Phase Symmetrical Failure
5.4. Asymmetrical Fault
5.5. Analysis of Results
6. Conclusions
- (1)
- Through the fractional-order theory and RBFNN injection damping adaptation, the passive control operation is freed from the shortcomings of being too dependent on the parameters, and the ability to resist perturbations is significantly improved. The system under FOSMC-RBFPBC control has better results in all three non-ideal operating conditions.
- (2)
- The FOSMC-RBFPBC control retains the original anti-disturbance performance of the sliding-mode control while having the passive characteristics of the system, and the introduction of the fractional-order sliding-mode surface improves the chattering phenomenon. The response speed, stability, overshooting, and robustness of the system are all improved significantly, and also, the FOSMC-RBFPBC control has a certain suppression effect on the harmonics.
- (3)
- In the future, RBFNN should be researched in greater depth, and more experiments should be conducted.
Author Contributions
Funding
Data Availability Statement
Conflicts of Interest
References
- Huang, Q.; Zhou, G.B.; Gao, L.; Chenjun, S. Review on DC Transmission Line Protection Technologies of HB-MMC Based DC Grids. Power Syst. Technol. 2018, 42, 2837–2847. [Google Scholar]
- Zheng, T.; Wang, K.; Zheng, Z.D.; Pang, J.P.; Li, Y.D. Review of Power Electronic Transformers Based on Modular Multilevel Converters. Proc. CSEE 2022, 42, 5630–5649. [Google Scholar]
- Li, J.K.; Georgios, K.; Harith, R.; Wickramasinghe, J.P. Operation and Control Methods of Modular Multilevel Converters in Unbalanced AC Grids: A Review. IEEE J. Emerg. Sel. Top. Power Electron. 2019, 7, 1258–1271. [Google Scholar] [CrossRef]
- Moon, J.W.; Park, J.W.; Kang, D.W.; Kim, J.M. A Control Method of HVDC-Modular Multilevel Converter Based on Arm Current under the Unbalanced Voltage Condition. IEEE Trans. Power Deliv. 2015, 30, 529–536. [Google Scholar] [CrossRef]
- Tan, G.J.; Han, T.; Xu, M.; Yin, S. Variable Frequency Operation Control of MMC Based on Quasi Proportional Reasonant Loop control. Power Electron. 2018, 52, 57–60. [Google Scholar]
- Wang, L.Q.; Zhang, L.; Xiong, Y.S.; Du, Z. Research on Three-phase Modeling MPC Strategy Suitable for MMC Multi-objective Control. Proc. CSEE 2022, 42, 287–294. [Google Scholar]
- Song, P.G.; Dong, H.; Liu, W.; Zhou, Z.B. Adaptive Droop Control Strategy Based on Sliding Mode Control for MMC-MTDC. J. Power Supply 2017, 15, 100–107. [Google Scholar]
- Sun, L.M.; Yang, B. Passive Fractional-order Sliding-mode Control Design of A Supercapacitor Energy Storage System. Power Syst. Prot. Control 2020, 48, 76–83. [Google Scholar]
- Lei, C.; Lan, Y.P.; Sun, Y.P. Fuzzy Fractional Sliding Mode Control of Magnetic Levitation System of Liner Synchronous Motors. Eletr. Mach. Control 2022, 26, 94–100. [Google Scholar]
- Wang, H.; Nie, J.Y.; Li, B.; Zhang, G.P.; Wei, Y.F.; Wang, X.W. Fractional Order Sliding Mode Control Strategy of AC/DC Hybrid Microgrid Interconnection Interface Converter under Grid Voltage Imbalance. Power Syst. Prot. Control 2023, 51, 94–103. [Google Scholar]
- Chai, X.H.; Zhang, Y.L.; Zhang, D.; Zhang, C.J.; Zhao, X.J. Integral IDA-PBC Control Strategy for LCL Type Inverter. Adv. Technol. Electr. Eng. Energy 2023, 42, 1–11. [Google Scholar]
- Yating, Z.; Qiming, C.; Chang, J.; Yiqun, X.; Wenqian, F.; Peile, Y. MMC-DVR Control System Based on Passivity Control Strategy. Acta Energ. Sol. Sin. 2022, 42, 275–280. [Google Scholar]
- Huang, M.; Chen, F.; Wu, W.M.; Yao, Z.L. Passivity-Based Control of Grid-Connected Inverters without Phase-Locked Loop under Weak Grid. Electr. Mach. Control 2022, 26, 127–136. [Google Scholar]
- Ning-Zhi, J.I.; Guang-Yi, L.I.; Jin-feng, L.I.; Teng, M.A.; Kai, Z.H. IPMSM Control System Based on ADRC-PBC Strategy. Electr. Mach. Control 2020, 24, 35–42. [Google Scholar]
- Liu, W.P.; Cui, X.F.; Hou, M.X.; Wu, S. Research on the Parallel Connection of Converters Based on Hybrid Passivity-Based Control. Electr. Meas. Instrum. 2023, 60, 26–31. [Google Scholar]
- Xue, H.; Li, Y.; Wang, Y.F.; Deng, X.C. Adaptive Passivity-Based PI Control Strategy of Megawatt MMC. Power Electron. 2018, 52, 40–44. [Google Scholar]
- Wang, X.G.; Wang, H.L.; Xue, S.; Li, X. Grid-Connected Current Control for MMC–MG Adopting Nonlinear Passive Theory. Control Theory Appl. 2022, 39, 1541–1550. [Google Scholar]
- Chen, W.; Zhang, Y.; Tu, Y.M.; Liu, J.J.; Jiang, X.X. Design of Critical Passive Damping Parameters for LCL-Type Grid-Connected Inverter. Electr. Power Constr. 2022, 43, 70–77. [Google Scholar]
- Ji, X.F.; Zhang, D.R.; Zhou, N.T.; Huang, W.; Tao, C. Adaptive Fuzzy Passive Control Strategy of LCL-type APF Based on Port Controlled Hamilton with Dissipation Mode. Electr. Drive 2021, 51, 53–59. [Google Scholar]
- Zheng, F.B.; Wu, W.M.; Chen, B.L.; Koutroulis, E. An Optimized Parameter Design Method for Passivity-Based Control in a LCL-Filtered Grid-Connected Inverter. IEEE Access 2020, 8, 189878–189890. [Google Scholar] [CrossRef]
- Yao, F.; Zhao, J.; Li, X.; Mao, L.; Qu, K. RBF Neural Network Based Virtual Synchronous Generator Control with Improved Frequency Stability. IEEE Trans. Ind. Inform. 2021, 17, 4014–4024. [Google Scholar] [CrossRef]
- Yang, X.H.; Fang, H.X. Control Strategy of T-type Three Level Dimming Power Supply Based on RBF PI Algorithms. Power Syst. Prot. Control 2020, 48, 169–177. [Google Scholar]
- Yang, X.H.; Chen, Y.; Jia, W.; Fang, J.F.; Luo, X.; Gao, Z.X. Vienna Rectifier with Voltage Outer Loop Sliding Mode Control Based on an RBF Neural Network. Power Syst. Prot. Control 2022, 50, 103–115. [Google Scholar]
- Shah, P.; Agashe, S. Review of fractional PID controller. Mechatronics 2016, 38, 29–41. [Google Scholar] [CrossRef]
- Abd-Elmonem, A.; Banerjee, R.; Ahmad, S.; Jamshed, W.; Nisar, K.S.; Eid, M.R.; Ibrahim, R.W.; El Din, S.M. A comprehensive review on fractional-order optimal control problem and its solution. Open Math. 2023, 21, 210–213. [Google Scholar] [CrossRef]
- Padilha, V.R.; Martins, L.T.; Massing, J.R.; Stefanello, M. Sliding Mode Controller in a Multiloop Framework for a Grid-Connected VSI With LCL Filter. IEEE Trans. Ind. Electron. 2018, 65, 4714–4723. [Google Scholar]















| Parameters | Values |
|---|---|
| Grid voltage ugabc/kV | 66 |
| Grid-side inductors Lg/mH | 1.2 |
| Grid-side resistors Rg/Ω | 0.4 |
| Bridge arm resistors R/Ω | 0.01 |
| Bridge arm inductors Lf/mH | 0.135 |
| Submodule capacitance C/μF | 12 |
| Number of bridge arm submodules n | 21 |
| System frequency f/Hz | 50 |
| Switching frequency fs/kHz | 20 |
| Parameters | Values |
|---|---|
| PI | Kp = 5, Ki = 10 |
| SMC-PBC | = = = = 80 ε1 = ε2 = ε3 = ε4 = 50, q1 = q2 = q3 = q4 = 100 |
| FOPBC-RBFSMC | b1 = b2 = b3 = b4 = 8 c1 = c2 = c3 = c4 = 30 d1 = d2 = d3 = d4 = 3 ε1 = ε2 = ε3 = ε4 = 10 q1 = q2 = q3 = q4 = 23 α = 0.5, β = 0.3 |
| Current | FOSMC-RBFPBC | SMC-PBC | PI |
|---|---|---|---|
| FFT analysis | 0.63% | 0.95% | 1.66% |
| Condition | Control Strategy | Overshoot/% | Setting Time/s |
|---|---|---|---|
| 1 | PI | 12 | 0.25 |
| SMC-PBC | 7.6 | 0.12 | |
| FOSMC-RBFPBC | 1.5 | 0.07 | |
| 2 | PI | 29.08 | 0.14 |
| SMC-PBC | 11.33 | 0.1 | |
| FOSMC-RBFPBC | 7.67 | 0.08 | |
| 3 | PI | 20.13 | 0.18 |
| SMC-PBC | 5.33 | 0.15 | |
| FOSMC-RBFPBC | 4.21 | 0.1 |
Disclaimer/Publisher’s Note: The statements, opinions and data contained in all publications are solely those of the individual author(s) and contributor(s) and not of MDPI and/or the editor(s). MDPI and/or the editor(s) disclaim responsibility for any injury to people or property resulting from any ideas, methods, instructions or products referred to in the content. |
© 2024 by the authors. Licensee MDPI, Basel, Switzerland. This article is an open access article distributed under the terms and conditions of the Creative Commons Attribution (CC BY) license (https://creativecommons.org/licenses/by/4.0/).
Share and Cite
Yang, X.; Chen, W.; Yin, C.; Cheng, Q. Fractional-Order Sliding-Mode Control and Radial Basis Function Neural Network Adaptive Damping Passivity-Based Control with Application to Modular Multilevel Converters. Energies 2024, 17, 580. https://doi.org/10.3390/en17030580
Yang X, Chen W, Yin C, Cheng Q. Fractional-Order Sliding-Mode Control and Radial Basis Function Neural Network Adaptive Damping Passivity-Based Control with Application to Modular Multilevel Converters. Energies. 2024; 17(3):580. https://doi.org/10.3390/en17030580
Chicago/Turabian StyleYang, Xuhong, Wenjie Chen, Congcong Yin, and Qiming Cheng. 2024. "Fractional-Order Sliding-Mode Control and Radial Basis Function Neural Network Adaptive Damping Passivity-Based Control with Application to Modular Multilevel Converters" Energies 17, no. 3: 580. https://doi.org/10.3390/en17030580
APA StyleYang, X., Chen, W., Yin, C., & Cheng, Q. (2024). Fractional-Order Sliding-Mode Control and Radial Basis Function Neural Network Adaptive Damping Passivity-Based Control with Application to Modular Multilevel Converters. Energies, 17(3), 580. https://doi.org/10.3390/en17030580
