Abstract
The aim of the article is to analyze the perceived thermal comfort and indoor air quality of occupants and establish associations between these responses and the building-related, occupant-related characteristics, and environmental parameters of residential buildings (a total of 38 variables). The analysis is focused on the Swedish building stock as investigated during the latest national survey in 2008. The analysis covers 1035 residential buildings (multifamily and single-family dwellings). Analytical statistical analysis has been conducted, and logistic regression models have also been developed for the identification of statistically significant covariates. The analysis showed that users in this study demonstrated a significantly positive response to perceived thermal comfort and indoor air quality conditions. Perceived ratings were also highly correlated with each other. As the regression models indicated, the majority of the significant variables were related to the buildings. Nevertheless, this study also underscores the significance of contextual occupant attributes and behaviors as a crucial element influencing the subjective perception of indoor environments. Policymakers, guided by these insights, are encouraged to integrate considerations of occupant attributes into design and urban planning.
1. Introduction
The quality of the indoor environment (IEQ), which encompasses thermal, acoustic, indoor air, and visual factors, can have a substantial impact on the quality of the lives of those who experience it [1,2]. Given the amount of time that people spend indoors, it is crucial to examine the effect that the indoor environment has on them, as improvements in the air and exposures indoors could lead to substantial improvements in human health and life expectancy [3,4,5,6,7]. There is, therefore, a need for studies that consider the occupant’s preference and perception, as well as the indoor environment they are exposed to [8].
A number of field studies have attempted to associate and correlate these aforementioned factors with objective measurements [9,10,11,12,13,14,15], as well as subjective rating systems [16,17,18,19,20,21]. Adunola et al. examined the nexus between thermal comfort and various determinants, including building and neighborhood characteristics, personal attributes, and adaptive behaviors in residential settings across Idadan, Nigeria [16]. Their comprehensive analysis of over 52 variables revealed significant associations between thermal comfort and factors such as building typology, location, urban proximity to water bodies, green spaces, pollution sources, and personal factors like education, weight, and activity level. Dahlan et al. investigated student comfort in multi-storey accommodations in Malaysia, identifying subjective sensor ratings as more indicative of perceived comfort than objective metrics [18]. Indraganti et al. explored the impact of age, gender, and economic status on thermal comfort in Hyderabad, India, with over 100 subjects [19]. The study revealed weak correlations with age, gender, and tenure but higher thermal acceptance among women, older participants, and homeowners. Karjalainen et al. studied the gender differences in thermostat choices in homes, offices, and universities located in Finland [20]. In this work, women were found to be less satisfied with room temperatures than males and tended to prefer higher temperatures. Zalejska-Jonsson et al. examined the link between overall satisfaction with indoor environmental quality and thermal satisfaction in multi-family buildings in Sweden, finding significant correlations with building characteristics and individual differences, including climate zone, construction year, time spent outside the home, gender, smoking habits, and age [21]. In contrast to the past, where the focus was mainly on the building’s architecture and physical attributes, recent research on residential buildings has pivoted towards examining primarily the socio-demographic characteristics of occupants, including gender, age, and other factors (i.e., health and well-being), highlighting a shift from building-oriented to occupant-oriented studies [22,23,24,25,26,27,28,29].
Abdel Salam studied the relationship between indoor air quality (IAQ) and socioeconomic factors as well as building characteristics in two urban areas of Alexandria, in Egypt [15]. In this work, the authors found significant correlations between multiple continuous outdoor and indoor air quality factors, including particulate matter and carbon dioxide levels. Statistically significant relationships between indoor concentrations of pollutants and a number of building-related characteristics were observed, including distance from roads, building age, number of occupants, volume, air exchange rate, monthly income, and educational level. Liu et al. explored the correlation between building characteristics, lifestyle practices, and dampness-related exposures in Shanghai, China, identifying significant associations between various building and behavioral characteristics and qualitative dampness indicators such as mold, condensation, and odors [17]. Taptiklis et al. also studied associations between residential building characteristics and indoor dampness as well as measured moisture in New Zealand [13]. Several characteristics were found to have statistically significant correlations with these and subfloor defects, ventilation, occupancy, and tenure status. Psomas et al. investigated the relationship between indoor relative humidity levels and building and system characteristics, occupancy patterns, behaviors, and health symptoms complaints in Swedish residences [9]. In this work, statistically significant correlations were found between indoor humidity levels and air change rate, the number of occupants, and heating and ventilation system types. Collignan et al. studied the relationships between indoor radon concentrations, thermal retrofit, and dwelling characteristics for buildings located in Brittany, France [12]. Stephens et al. studied the correlation between various building characteristics and the penetration of submicron particles into 18 family homes located in Austin, USA [14]. In this work, the authors reported a number of statistically significant relationships between indoor particle penetration and outdoor particle concentration, as well as factors related to leakages and ventilation practices. Spilak et al.’s research in Denmark identified human activities and seasonal variations, rather than building characteristics, as more closely associated with indoor ultrafine particle concentrations, alongside significant correlations with window opening behaviors, pet ownership, floor covering choices, and floor level [11].
Objectives of the Research
Despite the considerable amount of research conducted on the association between measured (objective) or perceived (subjective) indoor environmental quality in residential buildings and various factors, there is a noticeable lack of comprehensive studies investigating the relationship between perceived thermal comfort and indoor air quality in a Nordic climate and these aforementioned characteristics. The objective of this article was to analyze the perceived thermal comfort and indoor air quality of occupants and establish associations and correlations between these responses and the most relevant and significant building-related, occupant-related characteristics and attributes, and measured environmental parameters of residential buildings in a Nordic country. The analysis focused on the Swedish building stock and Nordic climatic conditions as investigated during the latest 2007/2008 BETSI-survey (Bebyggelsens Energianvändning, Tekniska Status och Innemiljö) conducted by the National Board of Housing, Building, and Planning (Boverket). The study prioritized exploring the relationships between perception ratings and various factors, rather than characterizing the building stock itself.
The subsequent sections of this work are structured in the following manner: Section 2 outlines the materials and methods, covering the study sample, the statistical tools, and tests employed. Section 3 unveils the research’s primary results, illustrating satisfaction and comfort levels against a backdrop of various building-related and occupant-related characteristics, attributes, and environmental factors. Section 4 delves into the implications and importance of the findings, exploring their practical applications in building design, energy policy, and occupant behavior, including a comparative analysis. This section also acknowledges the study’s limitations and proposes directions for future research in this domain. The concluding section encapsulates the major discoveries of the research.
2. Materials and Methods
2.1. BETSI Study and Examined Variables
The BETSI survey was commissioned by the Swedish National Board of Housing, Building, and Planning in 2006. The study was carried out during the heating season of 2007/08 and encompassed the examination of a total of 1800 buildings, of which 1400 were residential buildings. This encompassed a range of residential buildings, including both single-family houses and apartments within multi-family buildings (representative). Overall, collected information included building- and occupant-related characteristics, energy systems and use, measurements of indoor climate parameters, occupants’ perception and satisfaction levels, health symptoms, and behavioral aspects (occupancy) regarding the indoor environment and building use [30,31,32,33,34,35,36,37,38,39,40]. The information mentioned in this survey represents the most updated and complete published data regarding the total building stock in Sweden. Further details regarding the questionnaire can be found in references [35,37].
The data were made publicly accessible in 2011, and subsequent analysis was conducted by several researchers on various aspects of it. These included investigations into the satisfaction of holistic IEQ [21], the relationship between health symptoms and building dampness, mold, and other factors [41,42,43,44], as well as the association and correlation between air quality measurements and building characteristics [45,46,47,48,49,50]. The dataset has also been utilized to analyze and describe the technical aspects of the building stock [51,52] and other aspects [53,54,55].
The current analysis included a reduced sample of 436 apartments and 599 single-family houses. The reduction in the sample size was minimal, ensuring that the examined building collection remained a representative sample of the national inventory. The occupants of these dwellings provided at least one response about perceived thermal comfort or indoor air quality assessment. The responses were associated and correlated in this study with selected relevant measured and examined variables from the BETSI database, including 7 and 4 continuous variables, respectively (3 in common for both ratings), and 18 and 27 categorical variables, respectively (15 in common), presented in Table 1, Table 2 and Table 3. These variables were building- and occupant related, selected from a large list of information in the survey and related to indoor thermal conditions and perceived air quality [39,40]. A comparison of the sub-categories of the examined variables based on different building types and other conditions is presented in [34,35,36,37,38].
Table 1.
Examined continuous variables for perceived thermal comfort association (number of responses, mean, standard deviation, median, and range).
Table 2.
Examined continuous variables for perceived indoor air quality association (number of responses, mean, standard deviation, median, and range).
Table 3.
Examined categorical variables and the available options for perceived thermal comfort and indoor air quality analysis (mean value for every category). The responses were between 1590 and 1731 depending on the perception factor and variable.
Responses about perceived thermal comfort and indoor air quality ratings were given on a five-point ordinal Likert scale from “very poor” to “very good” (1 to 5). The living area of the buildings (as well as the window area and ratio) were calculated during the inspection process of BETSI in 2007/08. The heat transfer coefficients (U-values) of the different building materials and elements were calculated based on references. Air change ventilation rates (h−1) were measured using the passive perfluorocarbon tracer gas method, as described in ISO 16000-8:2007 [45]. The indoor air temperature (°C; average values for approximately 2 weeks) and indoor relative humidity (RH; %) were measured using SatelLite20 TH sensors (Mitec Instruments, Säffle, Sweden), placed 1.6–1.8 m above the floor, in 15 min intervals [45]. Outdoor temperatures were obtained from the Swedish Meteorological and Hydrological Institute and correspond to the nearby stations [45]. Boverket selected the various alternatives for the categorical variables (Table 3) in accordance with past surveys (existing building regulations) and current research advancements [39,40].
2.2. Statistical Analysis
SPSS software, version 26.0, and R software, version 4.2.0, were used for all statistical analyses (SPSS Inc., Chicago, IL, USA; R Core Team 2022). The nonparametric Chi-square test of independence was used to examine the association between categorical variables and the perception ratings. The bias-corrected Cramer’s V was used to describe the strength of the association [56] (effect size). Even though the common Cramer’s V estimator is consistent, the bias-corrected proposal has a lower root-mean-square error and bias for finite samples with moderate levels of association [57].
The Kruskal–Wallis test was used to examine whether there were statistically significant differences between group medians of the independent variables on the ordinal or continuous dependent variables [56]. For pairwise comparisons, multiple Mann–Whitney tests using the Bonferroni correction were applied to adjust the p-values. In addition, all the p-values were calculated by approximation with a standardized normal distribution [56]. For the entire analysis, the distribution shapes during the tests were comparable in all groups. The comparisons were considered statistically significant when p was lower than 0.05 [56] (two-tailed tests).
The main purpose of developing logistic regression models was to conduct a more comprehensive analysis of the relationship between variables, while simultaneously accounting for the effects of covariates. The dataset is 16 years old, which limits its use to the analysis of relationships and drivers of patterns, rather than the characterization of the building stock. This allows for the identification of the most influential factors in the relationship under investigation. Stepwise regression based on the lowest AIC value was implemented in order to reduce the number of predictors. The multicollinearity was investigated using the generalized variance inflation factor [58] (GVIF), which was introduced by Fox and Monette (1992) and could be used in cases where the usual VIF is not applicable [59] (i.e., the model includes a set of indicator regressors). The presence of correlations among these variables can be attributed to the model structure, resulting in their artificial nature. The authors suggested taking the GVIF to the power of 1/2df to make the value of the GVIF comparable across different numbers of parameters. In the case when the value exceeds 5, a collinearity issue arises, necessitating remedial measures. Should the value surpass 10, immediate corrective action becomes imperative [59].
3. Results
3.1. Assessment of Perceived Thermal Comfort and Indoor Air Quality
Graphs of perceived thermal comfort rating, also by type of dwelling [apartments (578) and single-family houses (1144)], are presented in Figure 1a. The occupants’ response distribution was high positively skewed (very positive answers). The most common response was “good” (46.2%), followed by “very good” (31.5%), and “acceptable” (18.9%). Only 52 respondents assessed the thermal environment of their dwellings as “poor” and six respondents as “very poor”. For apartments, there were more complaints (negative responses) compared with single-family buildings, and the second highest share belonging to “acceptable” responses (p < 0.05). There were no “very poor” responses for single-family dwellings.
Figure 1.
Perceived (a) thermal comfort and (b) indoor air quality rating by types of the dwellings.
The results for perceived air quality rating (apartments/single-family buildings: 582/1149) are presented in Figure 1b. The most common response was “good” (48.1%), followed by “very good” (33.4%), and “acceptable” (16.2%). Only 36 respondents assessed the indoor environment of their dwellings as “poor” and three respondents as “very poor”. For apartments, there were more complaints (negative responses) compared with single-family buildings (p < 0.05).
As can be seen in Figure 2, occupants responded in a comparable way (positively) to two completely different assessment questions, perceived thermal comfort and indoor air quality. This finding underscores the intertwined nature of these two factors of indoor environmental quality (and vice versa). For ratings indicating “very poor” thermal comfort, the majority of responses fell into the “acceptable” category or below. Conversely, when thermal comfort was rated as very good, the majority of responses exceeded the “good” threshold, indicating a high level of satisfaction among occupants. The Cramer’s V value was almost the highest, 0.346 (after type of dwelling), among all the other associations (p < 0.05; Table A1).
Figure 2.
Percent stacked bar chart of perceived thermal comfort and indoor air quality rating.
3.2. Categorical Variables
The values of Cramer’s V and statistical significance for all the associations between perceived thermal comfort and indoor air quality rating and all the examined categorical variables are included in Table A1 and Table A2. For the perceived thermal comfort rating, the five variables with the highest Cramer’s V values were the following: “type of dwelling”, “tenure status”, “type of building”, “building location”, and “building period of construction” (p < 0.05). The majority (18 out of 19) of the variables attained statistical significance (12; p < 0.005). For the perceived indoor air quality rating, the five variables with the highest Cramer’s V values were: “type of dwelling”, “tenure status”, “type of building”, “fireplace-heating stove”, and “building location”, respectively (4 similar to the perceived thermal comfort rating; p < 0.05). Again, the majority (20) of the variables attained statistical significance (13; p < 0.005).
3.2.1. Building and Location Variables
Figure 3 presents the percent stacked bar charts of the building construction period, type of the building, building location, ventilation system, and heating system for the different perceived thermal comfort ratings. Low satisfaction with perceived thermal comfort was mainly seen in buildings of the period “1961–1975” and “1976–1985” (Figure 3a). These construction periods refer to the National Million Homes Program (Swedish: Miljonprogrammet), which was an ambitious public housing program implemented in Sweden by the government. These buildings were built with older construction and insulation regulations. The relative proportions of the construction periods of the buildings in the other perceived thermal comfort rating levels had no differences in general (Figure 3a). The occupants of newer buildings were mainly satisfied, increasing trend, in terms of perceived thermal comfort (p < 0.05). Occupants of newer buildings, however, still had considerable proportions at lower rating levels. This finding may be related to the difficulties of the users with their dwelling’s systems and controls, or high thermal comfort expectations compared to the high cost of the dwellings [10]. The Cramer’s V value is one of the highest among all the correlations.
Figure 3.
Percent stacked bar charts of perceived thermal comfort rating levels in relation to: (a) building construction period, (b) type of building, (c) building location, (d) ventilation system, and (e) heating system.
The prevalence of low perceived thermal comfort rating levels in multi-family buildings is presented in Figure 3b. The majority of residents were tenants, and their responses were more negatively skewed than those of the owners (detached (semi) houses; explained in Section 3.2.2). In addition, the fact that occupants of this type of building have limited control over the heating and ventilation systems (central control and predefined limits) or else could explain these results [10]. The relative proportions of the other types of buildings were low and without significant differences between different rating levels. The opposite tendency could be seen for semi-detached or detached buildings (mainly owners; p < 0.05). Once again, the Cramer’s V coefficient exhibited a notably high value in comparison to other correlations.
Additionally, the decrease in perceived thermal comfort rating satisfaction correlated with an increase in dwellings located in city suburbs and a decrease in dwellings located in sparsely populated areas (p < 0.05) and residential neighborhoods (Figure 3c). Again, the Cramer’s V value was one of the highest among all the correlations.
Moreover, the low rating levels were associated with high relative proportions of return only ventilation and district heating systems (Figure 3d,e). Most of the apartments were heated with district heating systems and ventilated by return only systems, especially in larger cities in Sweden [10,30,31,32,33,34,35,36,37,38,39,40]. Heat pump installation responses (“exhaust air heat pump”: p > 0.05 and “heat pump”: p < 0.05, respectively), mainly for single-family houses, increased with the increase in the perceived thermal comfort rating. The relative proportions of the other categories were without significant differences between different rating levels (HVAC). The proportion of natural ventilation is very consistent across all rating levels.
Relative proportions of buildings in various climatic zones, 1 (“North”: p > 0.05) to 4 (South), for different perceived thermal comfort rating levels were similar and probably related to adaptation processes in different extreme Nordic climatic conditions or higher insulation levels for the residential buildings. “Very poor” and “poor” perceived thermal comfort responses were associated with less access to south orientation, as was expected (“sunny”: p > 0.05). The proportion of windows that opened inside (as opposed to other sub-categories) decreased as the perceived thermal comfort rating increased (“pivot”: p > 0.05). Window opening was related to draft problems and others, as explained analytically in Section 3.3.
In terms of binary format variables (yes/no), “carpet in any room”, the increase in perceived thermal ratings’ satisfaction corresponded to an increase in the relative proportions of “yes” (p > 0.05). There was no particular trend for the “window vents” variable (p > 0.05).
The relationships and findings were immediately comparable when we examined the common variables (Table 3) between perceived thermal comfort and indoor air quality ratings in terms of levels of satisfaction (Figure A1).
The relative proportions of “no pollution” (p > 0.05) and “traffic pollution” options remained constant (around 50%) for all the examined perceived indoor air quality levels. The relative proportions of “painting” sub-categories were unchanged for all the examined perceived air quality levels (“2–3 months”: p > 0.05).
Again, in terms of binary format variables (yes/no), lower perceived air quality rating levels were associated with higher relative proportions of PVC flooring in any room (“no”: p < 0.05) and moisture damages (“no”: p < 0.05; past 12 months and past five years). There was no difference in the relative proportions of perceived indoor air quality ratings when an oiled wooden floor (“yes”: p < 0.05) and closed kitchen area (“no”: p < 0.05) were used as association variables. When examining the inclusion of a “fireplace or heating stove” as an option, the resulting conclusion was contrary to initial expectations (degrades the indoor air quality), specifically in relation to the enhancement of perceived indoor air quality (“yes”: p < 0.05). This inference was supported by a high Cramer’s V value.
3.2.2. Contextual and Behavioral Variables
Figure 4 presents the percent stacked bar charts of the tenure status, living duration in the dwelling, age, and gender variables for the different perceived thermal comfort ratings. “Tenure status” was a variable highly associated (Cramer’s V) with the assessment of the indoor environment in terms of perceived thermal comfort (Figure 4a). “Very poor” responses were exclusively related to residents living under tenancy status. People who owned a dwelling tended to assess the dwelling with a higher level (p > 0.05) of thermal satisfaction (self-forgiveness).
Figure 4.
Percent stacked bar charts of thermal comfort rating levels in relation to: (a) tenure status, (b) living duration in dwelling, (c) age group, and (d) gender.
Similar results could also be seen in the examination of the “living duration in the dwelling” variable. The longer somebody lives in a dwelling, the higher the possibilities of being satisfied with it in terms of perceived thermal comfort (Figure 4b). Highly varying responses were “one to two years” and “more than ten years” (“6–10 year”: p > 0.05). This finding may be related to the difficulties of the users with their dwelling’s systems and controls in the first years of occupancy [53].
In terms of “age groups”, occupants between 20 and 39, were the prevailing relative proportions for “very poor” and “poor” perceived comfort levels (Figure 4c; “0–19”: p > 0.05). The increase in perceived thermal ratings’ satisfactions corresponded to an increase in the “60–79” sub-category relative proportion (p > 0.05).
There was no noticeable difference in the perceived thermal comfort relative proportions between sub-categories that had varying “airing frequency” and “airing practice” (“never”: p > 0.05 and p < 0.05, respectively) or between groups who spent different “durations away from home” (“0–4”: p > 0.05). The relative proportion of female occupants (“male”: p < 0.05) increased with the decrease in the thermal comfort satisfaction (Figure 4d).
In terms of perceived indoor air quality satisfaction, the variables “tenure status” (high Cramer’s V value) and “living duration in houses” yielded similar results as before (Figure A2). For different “age groups” (“0–19”: p > 0.05) and different “durations away from home”, the relative proportions were generally unchanged among the different levels (“5–9 h”: p > 0.05).
Tobacco smoking rarely takes place indoors in Swedish dwellings, especially apartments. As a result, the “never” option was the prevailing one, more than 90%, for every indoor air quality satisfaction level (“never”: p > 0.05). Finally, when we considered the “airing frequency” and “airing practice” variables, the indoor air quality satisfaction levels were the inverse of what was expected (“never”: p > 0.05, for both).
In terms of binary format variables (yes/no), “smoking” decreased in air quality satisfaction corresponded to a decrease in the relative proportions of “no” responses (p < 0.05). A higher level of indoor air quality satisfaction reflected higher positive relative proportions of drying clothing indoors (“yes”: p < 0.05). Again, the relationship between perceived indoor air quality dissatisfaction and gender was similar to previous thermal comfort analyses (“male”: p < 0.05). The relative proportion of the existence of pets was unchanged between the different levels (“yes”: p > 0.05).
3.3. Continuous Variables
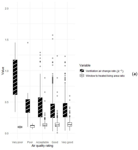
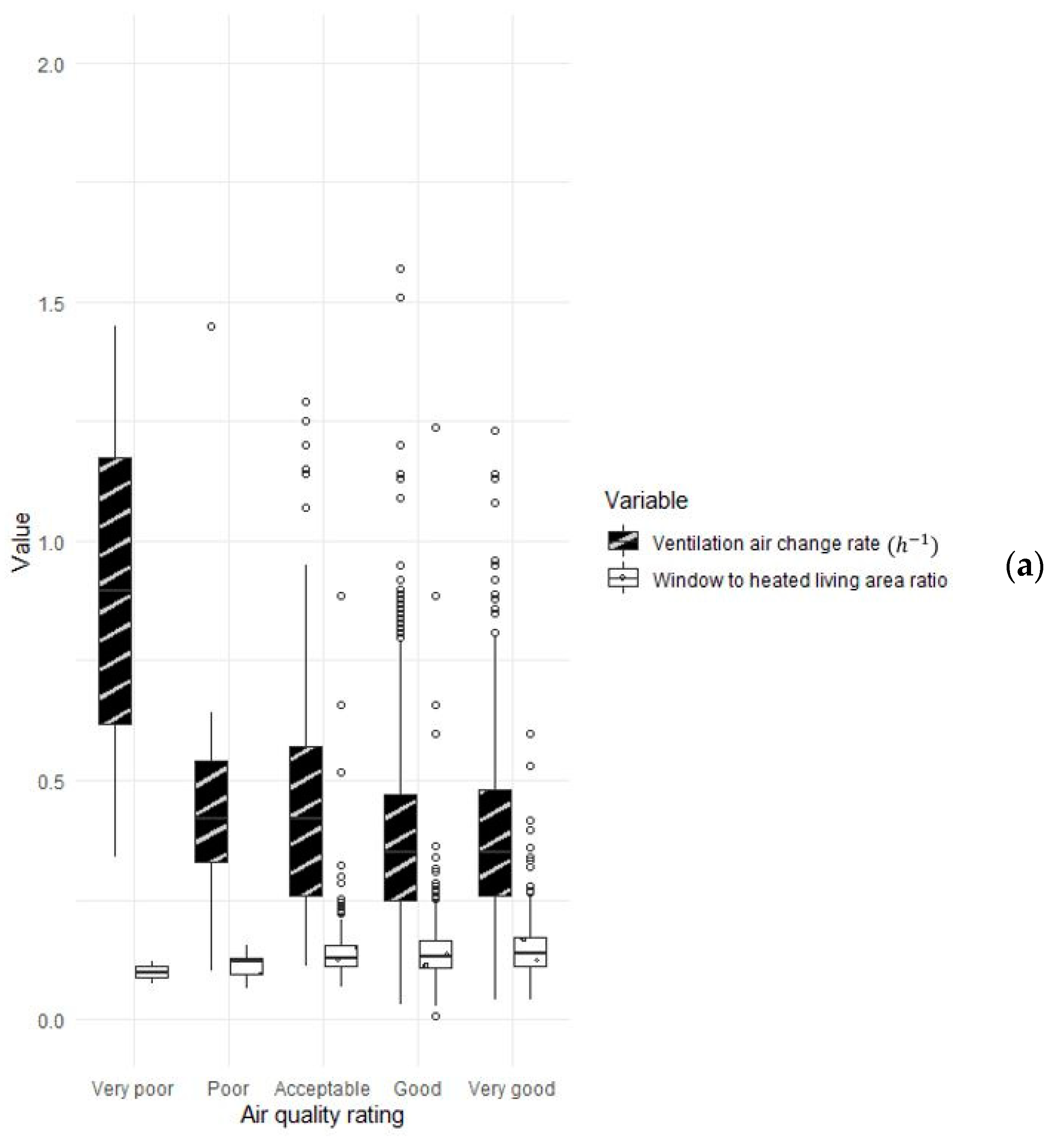
Figure 5a–c presents the boxplot diagrams of the average U-value of the external walls (including thermal bridges; W/m2K), building level ventilation air change rate (h−1), average indoor air temperature (°C), building living area (m2), and window to heated living area ratio for the five different perceived thermal comfort rating levels.
Figure 5.
Boxplots of examined variables: (a) average U-value of the external walls (including thermal bridges; W/m2K); building level ventilation air change rate (h−1); window to heated living area ratio for the five different perceived thermal comfort ratings levels; (b) building living area (m2); and (c) average indoor air temperature (°C). The bottom and top of the box represent the 25th and 75th percentiles, respectively. The median is the black line inside the box. The whiskers’ ends represent the 10th and 90th percentiles, respectively, and the symbols represent outliers.
The building’s average U-value appears to have negligible influence on the perceived thermal comfort satisfaction of the occupants (Figure 5a). The median differences between the perceived comfort levels attained no statistical significance (Table A3). The mean U-values of the apartments were mostly higher than the values of single-family houses for every satisfaction level. As far as the average U-value of the windows was concerned, the boxplots were similar in size and level for all the perceived thermal comfort levels (p > 0.05). Apartments showed lower values (more efficient windows) compared with single-family houses for a similar comfort level. There was a prevailing median value of 2 W/m2K for most of the thermal comfort levels. The renovation of dwellings in Europe prioritizes the windows independently of the construction year.
Overall, higher ventilation rates can be seen in the negative thermal comfort ratings “very poor” and “poor”, indicating possible issues with, e.g., draft (air vents, windows, doors, and downdraft; Figure 5a). The median differences between the comfort levels attained no statistical significance (Table A3). Again, the mean values of the apartments (mainly mechanical ventilation) were always higher than the values of the single-family houses for every level (energy penalty). Most cases had an average ventilation air change rate (0.4 h−1) lower than the minimum suggested benchmark of the guidelines, i.e., 0.5 h−1 [60]. The problem was more profound for single-family houses.
Increases in the living area were associated with increases in perceived thermal comfort satisfaction (Figure 5b). This output was more profound for single-family houses. Only one comparison (“good” to “acceptable”) had a statistically significant difference (Table A3).
The indoor air temperature (during the monitoring period) was constant for long periods in Swedish dwellings and not associated with outdoor conditions and other factors [10]. As a result, variations (size and level) among different thermal comfort levels were minimal (Figure 5c). The indoor temperatures were lower for single-family houses compared to apartments. The boxplots for window to heated living area ratios were similar in size and level for all the perceived thermal comfort rating levels, so no clear correlations and associations could be concluded either (Figure 5a). All the median differences between the perceived thermal comfort levels attained no statistical significance (Table A3). The outcome was influenced by the very good quality of windows in both apartments and single-family houses.
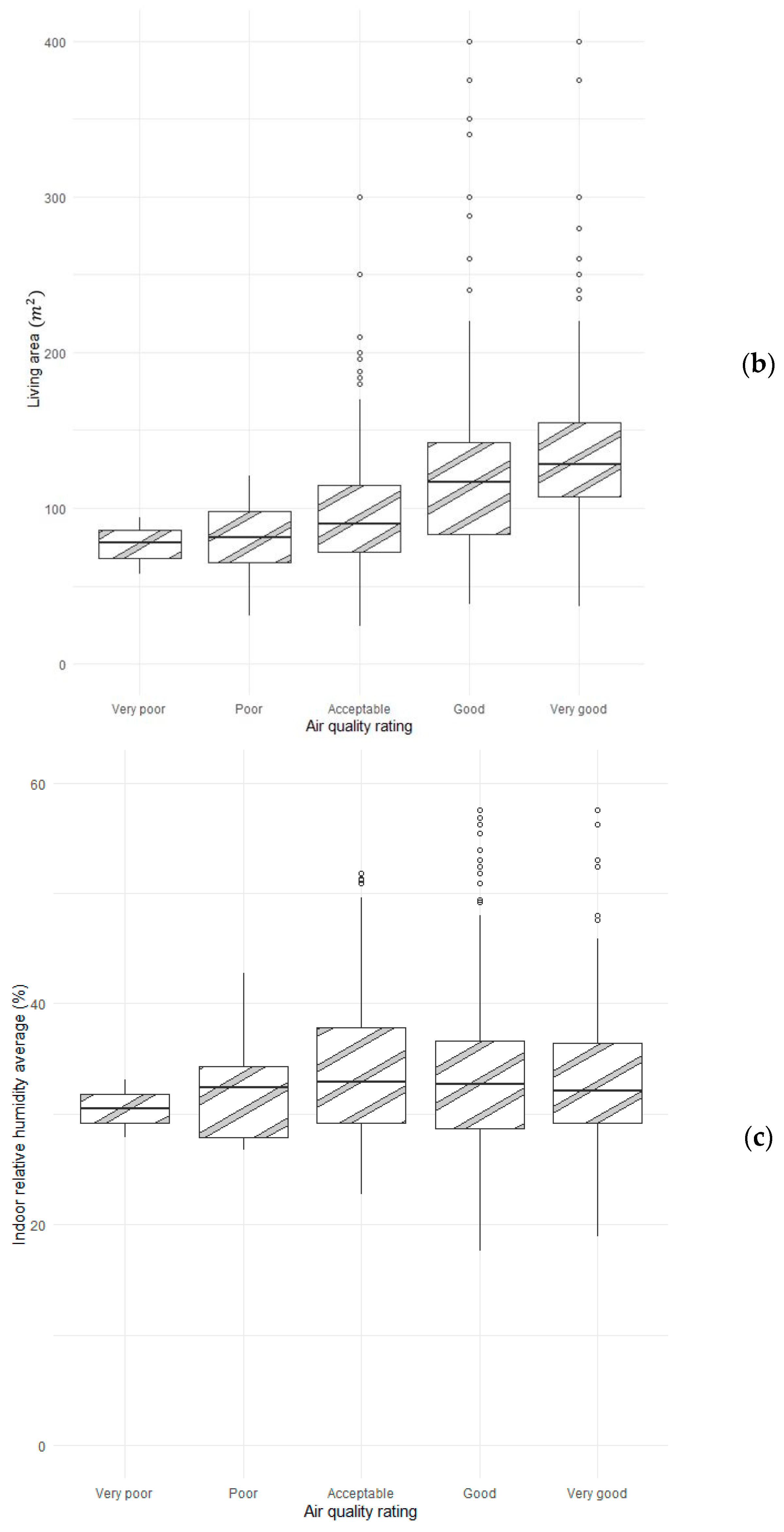
Figure 6a–c presents the boxplot diagrams of the building level ventilation air change rate (h−1), average indoor relative humidity (%), building living area (m2), and window to heated living area ratio for the five different perceived indoor air quality rating levels.

Figure 6.
Boxplots of examined variables: (a) building level ventilation air change rate (h−1); window to heated living area ratio for the five different perceived indoor air quality ratings levels; (b) average indoor relative humidity (%); and (c) building living area (m2). The bottom and top of the box represent the 25th and 75th percentiles, respectively. The median is the black line inside the box. The whiskers’ ends represent the 10th and 90th percentiles, respectively, and the symbols represent outliers.
Based on the Figure 6, apart from the “very poor” perceived indoor air quality level, the ventilation rates remained similar (size and level; also, in apartments and single-family houses). A lot of outliers existed for the highest levels. A possible explanation could be the small number of responses for the “very poor” option. Statistically significant differences between the median values were found only in one case (“good” to “acceptable”; Table A4). Increases in the average indoor relative humidity of the building were found to improve the perceived indoor air quality satisfaction level of the occupants (Figure 6c). Decreasing the living area (smaller dwellings) of a building worsens the perceived air quality satisfaction (Figure 6b). Again, this tendency is more profound for single-family houses. For the examined variable, two comparisons out of four had a statistically significant difference (Table A4).
For the examined variable: window area to heated area ratio, increasing ratio in a building improves slightly the perceived indoor air quality satisfaction (Figure 6a). The results from the Kruskal–Wallis tests for the variables above are presented in Table A4 (one out of four statistically significant differences).
3.4. Multivariate Analysis
After the bivariate analysis showed that there were significant associations, correlations, and differences between the different variables and rating levels for perceived thermal comfort and indoor air quality, ordinal logistic regression was used to find out how these ratings were related to the variables that were examined (covariates).
The current analysis incorporates two ordinal dependent variables with unbalanced group sizes (apartments/single-family houses), yet the ordinal logistic regression is robust in providing unbiased estimates when the minimum group sample size is large and the relative imbalance ratio is high (>30%), as proposed by Rhaman et al. [61] (2021).
One model was developed for each rating (TC: thermal comfort and IA: indoor air quality), following the stepwise regression procedure for comparative purposes (TCS and IAS).
Responses “very poor”, “poor”, and “acceptable” were merged to develop a new group for both rating systems (minimal number of responses; defined as “poor”). Furthermore, the authors categorized a list of variables into a reduced number of sub-categories (merged) for the purpose of modeling, as shown in Table 4.
Table 4.
Updated categorical variables (after merging) for the ordinal logistic regression analysis.
The pseudo-R-squared estimates of the TCS and IAS models were 0.15 and 0.19, respectively (Nagelkerke). Thirteen independent variables (4 continuous and 9 categorical (26 categories)) and N = 1219 responses were included in the analysis for the TCS model. On the other hand, twelve independent variables (1 continuous and 11 categorical (22 categories)) and N = 1164 responses were included in the analysis for the IAS model.
In both stepwise models, three variables are consistently present: “climate zone”, “living duration”, and “tenure status”. For the TCS model, the remaining independent variables are “U-value (external walls)”, “window to heated living area ratio”, “living area”, “building location”, “heating system”, “building period of construction”, “window opening type” (building-related), and “indoor air temperature”, “airing practice”, “age group” (occupant-related). For the IAS model, the remaining independent variables were “moisture damages (last 12 months/5 years)”, “oiled wood floor”, “painting”, “dwelling type”, “window vents” (building-related), and “indoor relative humidity”, “airing frequency”, and “tobacco smoke” (occupant-related). For the developed models, there were no variables with GVIF over 5.
4. Discussion
The large number of statistically significant correlations and associations confirms the evidence that perceived thermal comfort and indoor air quality are highly linked and dependent on the examined characteristics, attributes, and measured environmental parameters. As the logistic regression models indicate, the variables were highly correlated with each other, decreasing the number of variables to 13 and 12, respectively (initially 25 and 31). The majority of the significant variables in both models were related to the buildings, i.e., for the thermal comfort rating: climate zone, U-value (external walls), window to heated living area ratio, living area, building location, heating system, building period of construction, window opening type, and indoor air temperature; and for the air quality rating: climate zone, moisture damages (last 12 months/5 years), oiled wood floor, painting, dwelling type, window vents, and indoor relative humidity. The findings support prior studies, whether they were conducted in similar or varying contexts or under comparable or different climatic conditions [15,16,17,19,24,25,27,62,63,64,65,66,67].
Nevertheless, the findings also underscore the significance of contextual occupant attributes and behaviors as a crucial element influencing the subjective perception of indoor environments, i.e., living duration, age group, tenure status, airing practice (thermal comfort rating); and airing frequency, living duration, tenure status, and tobacco smoke (indoor air quality rating). This insight may guide policymakers and stakeholders away from a one-sided, building-centered approach in developing future regulations and action plans for the Swedish building stock, ensuring that considerations of the users are integrated into the design and renovation of buildings, e.g., by prioritizing building renovation or maintenance measures for the most affected social groups.
Respondents have the tendency to answer different satisfaction questions in a similar way, for example, perceived thermal comfort and indoor air quality condition level. This finding adds to the body of scientific evidence showing these two distinct factors are strongly related and associated with occupants’ perception states [21,63].
Variables like “type of building”, “building location”, “type of dwelling”, “tenure status”, “heating system”, “ventilation system”, and others are significantly correlated with each other, either generally or within specific sub-categories. The majority of the apartments in Sweden are fitted with central heating, mainly district heating systems, and were antilated mainly using return-only systems [37]. The fact that occupants of this type of building have limited control over the HVAC systems and also predefined (in most cases) set-points with significant time lag could explain the findings (low perceived satisfaction; [10]). In contrast, heat pumps, specifically those used in HVAC systems, offer occupants optimal thermal conditions. Buildings constructed between the years 1961 and 1985 (Miljonprogrammet) demonstrate an alarming lack of perceived comfort with regards to the thermal environment. A significant proportion of newly constructed buildings continue to demonstrate unsatisfactory thermal performance. Previous research has emphasized the importance of building age as a key component in analysis [15]. This finding can be mostly attributed to user-related challenges with controls and systems, as well as unrealistic expectations for thermal comfort in relation to the cost of the dwellings [34]. The importance of control (and associated difficulties) over the indoor environment has been highlighted by numerous sources [62,68,69]. Buildings located in residential neighborhoods and sparsely populated areas are associated with a greater level of perceived thermal comfort as compared to buildings situated in city suburbs. The findings align with studies conducted in hotter climatic conditions [15,16]. Adaptation to different Nordic climatic conditions (distinct Swedish temperature zones) and bioclimatic practices (i.e., orientation; [68,69]) are also highlighted in this study.
The variable of “tenure status” exhibited a strong correlation with the evaluation of perceived thermal comfort in an indoor environment (also air quality). Individuals who possess a residential property have a tendency to attribute a greater level of thermal satisfaction to their dwelling. The association and correlation between human nature, adaptation mechanism, and self-forgiveness has been highlighted in the fields of social sciences and engineering [21,24,53,65]. The longer an occupant lives in a home, the greater the likelihood that they will experience higher thermal satisfaction [53,65]. In many instances, the relatively brief term of occupancy within a building is typically associated with tenancy. Typically, users have difficulties with their dwelling’s systems and controls in the first years of occupancy.
There was a positive correlation between the age of residents and their level of thermal satisfaction. In relation to age cohorts, occupants falling within the demographic range of younger adults constitute the predominant proportion of individuals experiencing “very poor” and “poor” levels of thermal comfort. Occupants in this particular age demographic experience a comparatively elevated cost of living in relation to their income, hence potentially leading to heightened financial vulnerability. Furthermore, these individuals primarily reside in apartments under tenancy agreements. The findings align with previous studies in different contexts [19]. The results of this study provide further validation for existing scientific literature on the differential perceptions of comfort between genders [19,20,70,71,72].
There was a correlation between lower indoor air quality ratings and occurrences of moisture damage (past 12 months and 5 years). The results are consistent with other research conducted in various settings [13,19]. Additionally, there was an association between lower indoor air quality ratings and the presence of PVC flooring. Conversely, there was a positive correlation between elevated indoor air quality ratings and the presence of oiled wooden floors, open kitchen layouts (typical construction practices), and the availability of fireplaces or wooden stoves. The presence of fireplaces and the emission of candle smoke in households in northern nations have been substantiated through analysis [73]. The significance of recent painting efforts or the existence of pets on perceived indoor air quality is limited. The issue of outdoor pollution is generally not acknowledged as a significant concern in the majority of Swedish cities. The implementation of a non-smoking policy in residential buildings, particularly in apartment complexes, is a widely applicable scenario.
The majority of the continuous variables were not associated with the examined categorical variables or with each other and present significant differences among the different satisfaction levels for both perceived thermal comfort and indoor air quality. According to the study conducted in Swedish houses, the indoor air temperature remains consistently stable for extended durations during the monitoring period, and this stability is not influenced by outdoor conditions [10]. Single-family dwellings exhibit lower indoor temperatures in comparison to apartments. The aforementioned observation pertains to the energy and cost-saving practices of occupants of detached and semi-detached dwellings. In the vast majority of instances, the expenses associated with energy were included in the rental fees of apartments [10].
Based on the logistic regression, ventilation variables were also highly correlated with each other (i.e., ventilation behaviors, air parameters, and fenestration systems). The developed models minimized the number of statistically significant variables to two or three (Section 3.4). Occupants of Scandinavian countries do not ventilate their dwellings through window openings but mainly through mechanical systems [9,46,47,48,49,50]. Employing openings or vents for natural ventilation during winter significantly alleviates thermal discomfort in spaces, compared to what is experienced in more temperate countries [60]. A list of disturbances, including draft (cold outdoor air), moisture issues, a dry environment, and the associated energy penalty, are associated with ventilation [9,10]. Decreases in the ventilation air change rate slightly differentiate thermal satisfaction. Most cases have an average ventilation air change rate (at building level) that is approximately 0.4 h−1, lower than the minimum suggested benchmark of the guidelines, i.e., 0.5 h−1 [60]. The problem is more profound for single-family houses (energy penalty). On the other hand, the inhabitants’ perceived air quality satisfaction level was enhanced by increases in the average interior relative humidity of the building. As previously mentioned, relative humidity is a significant environmental factor that contributes to the overall indoor air quality of residential dwellings in Sweden [9,74]. Indoor clothing drying could be an alternative solution for humidifying the spaces. Finally, there was a positive correlation observed between increments in living area and increases in perceived satisfaction (refer to mainly single-family houses).
Limitations of the Research and Future Suggestions
It is important to note that the data collection was not carried out directly by the research team but was instead obtained from Boverket. The survey’s methodology and protocol does not provide a comprehensive explanation, especially concerning the approach for collecting subjective data [30,31,32,33,34,35,36,37,38]. This approach leads to potential uncertainty and bias. The dataset, being 16 years of age, constrains its applicability primarily to the examination of relationships and determinants of patterns (effects of covariates), rather than to the delineation of the characteristics of the building stock. In addition, the absence of detailed information on the occupants’ lifestyle habits, cultural and educational backgrounds, financial status, and other socio-demographic and economic factors limits the study’s depth for comparative analysis with different building contexts and climatic conditions. These details are critically important given the escalating challenges presented by climate change and the substantial changes required in daily behaviors and routines.
For future research, it is recommended to employ stratified sampling techniques to ensure a comprehensive representation of Sweden’s varied building stock and occupant socio-demographics. This approach will help in capturing a wide range of interactions between occupant responses and attributes. Such comprehensive profiling will enable a deeper comparative analysis across different building contexts and climates, highlighting how various factors intersect to influence thermal comfort and air quality perceptions. Logistic regression models could be developed based on updated data collected. These models will be capable of predicting perceived thermal comfort and air quality ratings, leveraging significant building characteristics, occupant attributes, and environmental parameters. Additionally, conducting longitudinal studies across different seasons and over successive years will provide valuable insights into the temporal dynamics of thermal comfort and air quality perceptions, accommodating for seasonal and annual variations.
To elevate the methodological precision and transparency, it is crucial to develop detailed protocols for subjective data collection. This should include clear guidelines on the timing and conditions under which assessments are conducted, ensuring consistency and reliability in the gathered data. Qualitative insights through interviews can shed light on contextual factors influencing these perceptions, complementing the quantitative data.
5. Conclusions
The objective of this article was to analyze the perceived thermal comfort and indoor air quality of occupants and establish associations between these responses and the most relevant building-related, occupant-related characteristics and attributes, and measured environmental parameters of residential buildings, as investigated during the latest national survey in Sweden.
The large number of statistically significant correlations and associations confirms the evidence that perceived thermal comfort and indoor air quality are highly linked and dependent on the examined characteristics, attributes, and measured environmental parameters. By applying logistic regression, the study managed to refine the variables down to 13 and 12 from the initial sets of 25 and 31 (statistically significant), highlighting the importance of building-oriented variables such as dwelling type, living area, location, heating system, construction period, climate zone, moisture damages, flooring, ventilation system, and others. However, it notably emphasizes the role of occupant attributes such as age, tenure status, living duration, control, ventilation behaviors, and others in shaping the subjective perception of indoor environments.
The findings mostly align with previous studies in different contexts and climatic conditions. Limitations related to the design and structure of the questions and assessment protocols are also highlighted. Finally, the study outlines recommendations for future research.
The insights from this study may guide policymakers and stakeholders in developing future regulations and action plans for the Swedish building stock, ensuring that considerations of the users are integrated into the design and urban planning, and aiming for high satisfaction in residential environments.
Author Contributions
Conceptualization, T.P., D.T. and S.L.; methodology, T.P. and P.K.; validation, T.P., D.T., P.K. and S.L.; formal analysis, T.P. and P.K.; investigation, T.P. and A.O.D.; resources, T.P. and A.O.D.; data curation, T.P. and P.K.; writing—original draft preparation, T.P., D.T., A.O.D., P.K. and S.L.; writing—review and editing, T.P., D.T., A.O.D., P.K. and S.L.; visualization, T.P. and P.K.; supervision, D.T. and S.L.; project administration, D.T. and S.L.; funding acquisition, D.T. All authors have read and agreed to the published version of the manuscript.
Funding
This research was funded by Swedish Research Council FORMAS, grant number 2018-00698.
Data Availability Statement
The data can be obtained upon request from the corresponding author.
Acknowledgments
The data analyzed in this article were drawn from the BETSI national database, which was made available by Björn Mattsson (Boverket).
Conflicts of Interest
The authors declare no conflicts of interest. The funders had no role in the design of the study; in the collection, analyses, or interpretation of data; in the writing of the manuscript; or in the decision to publish the results.
Appendix A
Table A1.
Chi-Square test results, Cramer’s V value, and approximate significance for different categorical variables associated to perceived thermal comfort rating.
Table A1.
Chi-Square test results, Cramer’s V value, and approximate significance for different categorical variables associated to perceived thermal comfort rating.
| Variable | Cramer’s V Value | Approximate Significance |
|---|---|---|
| Building location | 0.118 | * |
| Type of dwelling | 0.229 | * |
| Solar access south | 0.051 | * |
| Tenure status | 0.166 | * |
| Carpet in any room | 0.042 | 0.041 |
| Window vents | 0.085 | * |
| Airing frequency | 0.044 | 0.001 |
| Airing practice | 0.047 | 0.001 |
| Building period of construction | 0.088 | * |
| Climate zone | 0.043 | 0.002 |
| Ventilation system | 0.049 | 0.012 |
| Heating system | 0.081 | * |
| Living duration in dwelling | 0.081 | * |
| Duration away from home | 0.038 | 0.022 |
| Gender | 0.036 | 0.078 |
| Age group | 0.067 | * |
| Window opening type | 0.071 | * |
| Type of building | 0.135 | * |
| Air quality rating | 0.346 | * |
* p < 0.0005.
Table A2.
Chi-Square test results, Cramer’s V value. and approximate significance for different categorical variables associated to perceived indoor air quality rating.
Table A2.
Chi-Square test results, Cramer’s V value. and approximate significance for different categorical variables associated to perceived indoor air quality rating.
| Variable | Cramer’s V Value | Approximate Significance |
|---|---|---|
| Building location | 0.171 | * |
| Type of dwelling | 0.373 | * |
| Pollution area | 0.051 | 0.006 |
| Tenure status | 0.235 | * |
| Window opening type | 0.071 | * |
| PVC flooring in any room (excl. wetroom) | 0.088 | 0.002 |
| Window vents | 0.077 | 0.008 |
| Fireplace-heating stove | 0.193 | * |
| Oiled wood floor | 0.029 | 0.243 |
| Closing kitchen area | 0.126 | * |
| Pets | 0.063 | 0.030 |
| Tobacco smoke indoors | <0.001 | 0.847 |
| Airing frequency | 0.061 | 0.002 |
| Airing practice | 0.083 | * |
| Drying clothes indoor | 0.114 | * |
| Painting | 0.016 | 0.347 |
| Moisture damages the last 12 months | 0.166 | * |
| Moisture damages the last 5 years | 0.108 | * |
| Building period of construction | 0.078 | * |
| Climate zone | 0.030 | 0.170 |
| Ventilation system | 0.049 | 0.012 |
| Living duration in dwelling | 0.081 | * |
| Duration away from home | 0.004 | 0.428 |
| Gender | 0.056 | 0.052 |
| Age group | 0.021 | 0.272 |
| Smoking | 0.087 | 0.002 |
| Type of building | 0.208 | * |
* p < 0.0005.
Table A3.
Pairwise comparisons of perceived thermal comfort rating, independent samples Kruskal–Wallis test results (adjusted asymptotic significance values), for different continuous variables (VG: very good, G: good, A: acceptable, P: poor, VP: very poor).
Table A3.
Pairwise comparisons of perceived thermal comfort rating, independent samples Kruskal–Wallis test results (adjusted asymptotic significance values), for different continuous variables (VG: very good, G: good, A: acceptable, P: poor, VP: very poor).
| Variable | VG-G | G-A | A-P | P-VP |
|---|---|---|---|---|
| U-value windows | 0.078 | 1.000 | 1.000 | 1.000 |
| U-value external walls | 0.066 | 1.000 | 0.359 | 1.000 |
| Ventilation air change rate | 1.000 | 0.161 | 1.000 | 1.000 |
| Indoor air temperature ** | ||||
| Outdoor air temperature ** | ||||
| Living area | 0.511 | * | 0.105 | 1.000 |
| Window to heated living area ratio | 1.000 | 1.000 | 1.000 | 1.000 |
* p < 0.0005; ** Multiple comparisons were not performed because the overall test did not show significant differences across samples.
Table A4.
Pairwise comparisons of perceived air quality rating, independent samples Kruskal–Wallis test results (adjusted asymptotic significance values), for different continuous variables (VG: very good, G: good, A: acceptable, P: poor, VP: very poor).
Table A4.
Pairwise comparisons of perceived air quality rating, independent samples Kruskal–Wallis test results (adjusted asymptotic significance values), for different continuous variables (VG: very good, G: good, A: acceptable, P: poor, VP: very poor).
| Variable | VG-G | G-A | A-P | P-VP |
|---|---|---|---|---|
| Ventilation air change rate | 1.000 | 0.010 | 1.000 | 1.000 |
| Indoor relative humidity ** | ||||
| Living area | * | * | 0.232 | 1.000 |
| Window to heated living area ratio | 0.454 | 0.091 | 0.020 | 1.000 |
* p < 0.0005; ** Multiple comparisons were not performed because the overall test did not show significant differences across samples.

Figure A1.
Percent stacked bar charts of perceived indoor air quality rating levels in relation to: (a) building construction period; (b) type of building; (c) building location; and (d) ventilation system.
Figure A1.
Percent stacked bar charts of perceived indoor air quality rating levels in relation to: (a) building construction period; (b) type of building; (c) building location; and (d) ventilation system.



Figure A2.
Percent stacked bar charts of perceived indoor air quality rating levels in relation to: (a) tenure status; (b) living duration in dwelling; (c) age group; and (d) gender.
Figure A2.
Percent stacked bar charts of perceived indoor air quality rating levels in relation to: (a) tenure status; (b) living duration in dwelling; (c) age group; and (d) gender.


References
- Wargocki, P.; Wei, W.; Bendžalová, J.; Espigares-Correa, C.; Gerard, C.; Greslou, O.; Rivallain, M.; Sesana, M.M.; Olesen, B.W.; Zirngibl, J.; et al. TAIL, a new scheme for rating indoor environmental quality in offices and hotels undergoing deep energy renovation. Energy Build. 2021, 244, 111029. [Google Scholar] [CrossRef]
- Engineer, A.; Gualano, R.J.; Crocker, R.L.; Smith, J.L.; Maizes, V.; Weil, A.; Sternberg, E.M. An integrative health framework for wellbeing in the built environment. Build. Environ. 2021, 205, 108253. [Google Scholar] [CrossRef]
- Qi, J.; Ruan, Z.; Qian, Z.; Yin, P.; Yang, Y.; Acharya, B.K.; Wang, L.; Lin, H. Potential gains in life expectancy by attaining daily ambient fine particulate matter pollution standards in mainland China: A modeling study based on nationwide data. PLoS Med. 2020, 17, e1003027. [Google Scholar] [CrossRef]
- Cooper, E.; Milner, J.; Wang, Y.; Stamp, S.; Mumovic, D. Modelling the impact on mortality of using portable air purifiers to reduce PM2.5 in UK homes. Atmos. Environ. 2022, 289, 119311. [Google Scholar] [CrossRef]
- Hill, T.D.; Jorgenson, A.K.; Ore, P.; Balistreri, K.S.; Clark, B. Air quality and life expectancy in the United States: An analysis of the moderating effect of income inequality. SSM-Popul. Health 2019, 7, 100346. [Google Scholar] [CrossRef]
- Lelieveld, J.; Pozzer, A.; Pöschl, U.; Fnais, M.; Haines, A.; Münzel, T. Loss of life expectancy from air pollution compared to other risk factors: A worldwide perspective. Cardiovasc. Res. 2020, 116, 1910–1917. [Google Scholar] [CrossRef] [PubMed]
- Navas-Martin, M.A.; Oteiza, I.; Cuerdo-Vilches, T. Dwelling in times of COVID-19: An analysis on habitability and environmental factors of Spanish housing. J. Build. Eng. 2022, 60, 105012. [Google Scholar] [CrossRef]
- Ortiz, M.; Itard, L.; Bluyssen, P.M. Indoor environmental quality related risk factors with energy-efficient retrofitting of housing: A literature review. Energy Build. 2020, 221, 110102. [Google Scholar] [CrossRef]
- Psomas, T.; Teli, D.; Langer, S.; Wahlgren, P.; Wargocki, P. Indoor humidity of dwellings and association with building characteristics, behaviors and health in a northern climate. Build. Environ. 2021, 198, 107885. [Google Scholar] [CrossRef]
- Teli, D.; Psomas, T.; Langer, S.; Trüschel, A.; Dalenbäck, J.O. Drivers of winter indoor temperatures in Swedish dwellings: Investigating the tails of the distribution. Build. Environ. 2021, 202, 108018. [Google Scholar] [CrossRef]
- Spilak, M.P.; Frederiksen, M.; Kolarik, B.; Gunnarsen, L. Exposure to ultrafine particles in relation to indoor events and dwelling characteristics. Build. Environ. 2014, 74, 65–74. [Google Scholar] [CrossRef]
- Collignan, B.; Le Ponner, E.; Mandin, C. Relationships between indoor radon concentrations, thermal retrofit and dwelling characteristics. J. Environ. Radioact. 2016, 165, 124–130. [Google Scholar] [CrossRef]
- Taptiklis, P.; Phipps, R.; Jones, M.; Douwes, J. Associations of house characteristics with indoor dampness and measured moisture: Results from three New Zealand House Condition Surveys in 2005, 2010 and 2015. Build. Environ. 2022, 208, 108508. [Google Scholar] [CrossRef]
- Stephens, B.; Siegel, J.A. Penetration of ambient submicron particles into single-family residences and associations with building characteristics. Indoor Air. 2012, 22, 501–513. [Google Scholar] [CrossRef] [PubMed]
- Abdel-Salam, M.M.M. Relationship between residential indoor air quality and socioeconomic factors in two urban areas in Alexandria, Egypt. Build. Environ. 2022, 207, 108425. [Google Scholar] [CrossRef]
- Adunola, A.O.; Ajibola, K. Factors Significant to Thermal Comfort Within Residential Neighborhoods of Ibadan Metropolis and Preferences in Adult Residents’ Use of Spaces. SAGE Open 2016, 6, 1–19. [Google Scholar] [CrossRef]
- Liu, W.; Huang, C.; Hu, Y.; Zou, Z.; Shen, L.; Sundell, J. Associations of building characteristics and lifestyle behaviors with home dampness-related exposures in Shanghai dwellings. Build. Environ. 2015, 88, 106–115. [Google Scholar] [CrossRef]
- Dahlan, N.D.; Jones, P.J.; Alexander, D.K.; Salleh, E.; Alias, J. Evidence base prioritisation of indoor comfort perceptions in Malaysian typical multi-storey hostels. Build. Environ. 2009, 44, 2158–2165. [Google Scholar] [CrossRef]
- Indraganti, M.; Rao, K.D. Effect of age, gender, economic group and tenure on thermal comfort: A field study in residential buildings in hot and dry climate with seasonal variations. Energy Build. 2010, 42, 273–281. [Google Scholar] [CrossRef]
- Karjalainen, S. Gender differences in thermal comfort and use of thermostats in everyday thermal environments. Build. Environ. 2007, 42, 1594–1603. [Google Scholar] [CrossRef]
- Zalejska-Jonsson, A.; Wilhelmsson, M. Impact of perceived indoor environment quality on overall satisfaction in Swedish dwellings. Build. Environ. 2013, 63, 134–144. [Google Scholar] [CrossRef]
- Aqilah, N.; Rijal, H.B.; Yoshida, K. Gender difference regarding thermal comfort in Japanese residential building during free running mode. Build. Environ. 2023, 245, 110891. [Google Scholar] [CrossRef]
- Dosumu, O.S.; Aigbavboa, C.O. An investigation of the factors influencing indoor environmental quality (IEQ) of residential buildings in Gauteng, South Africa. Period. Polytech. Archit. 2019, 50, 81–88. [Google Scholar] [CrossRef]
- Mridha, M. The effect of age, gender and marital status on residential satisfaction. Local Environ. 2020, 25, 540–558. [Google Scholar] [CrossRef]
- Recek, P.; Kump, T.; Dovjak, M. Indoor environmental quality in relation to socioeconomic indicators in Slovenian households. J. Hous. Built Environ. 2019, 34, 1065–1085. [Google Scholar] [CrossRef]
- Sarran, L.; Hviid, C.A.; Rode, C. Correlation between perceived usability of building services and indoor environmental satisfaction in retrofitted low-energy homes. Build. Environ. 2020, 179, 106946. [Google Scholar] [CrossRef]
- Thapa, S. Insights into the thermal comfort of different naturally ventilated buildings of Darjeeling, India—Effect of gender, age and BMI. Energy Build. 2019, 193, 267–288. [Google Scholar] [CrossRef]
- Wang, J.; Norbäck, D. Subjective indoor air quality and thermal comfort among adults in relation to inspected and measured indoor environment factors in single-family houses in Sweden-the BETSI study. Sci. Total Environ. 2022, 802, 149804. [Google Scholar] [CrossRef]
- Zhao, Y.; Li, D. Multi-domain indoor environmental quality in buildings: A review of their interaction and combined effects on occupant satisfaction. Build. Environ. 2023, 28, 109844. [Google Scholar] [CrossRef]
- Swedish National Board of Housing, Building, and Planning. Statistiska Urval och Metoder i Overkets Projekt BETSI, fördjupningsrapport till Regeringsuppdrag Beträffande Byggnaders Tekniska Utformning m.m.; Swedish National Board of Housing, Building, and Planning: Stockholm, Sweden, 2010. [Google Scholar]
- Swedish National Board of Housing, Building, and Planning. Energi I Bebyggelsen-Tekniska Egenskaper Och Beräkningar-Resultat Från Projektet BETSI; Swedish National Board of Housing, Building, and Planning: Stockholm, Sweden, 2011. [Google Scholar]
- Swedish National Board of Housing, Building, and Planning. Besiktningsprotokoll Ver. 1.0 För Småhus-Survey Checklist Version 1.0 for Single Family Houses; Swedish National Board of Housing, Building, and Planning: Stockholm, Sweden, 2007. [Google Scholar]
- Swedish National Board of Housing, Building, and Planning. Besiktningsprotokoll Ver. 1.0 För Flerbostadshus-Survey Checklist Version 1.0 for Multifamily Houses; Swedish National Board of Housing, Building, and Planning: Stockholm, Sweden, 2007. [Google Scholar]
- Swedish National Board of Housing, Building, and Planning. Så må våra hus, Redovisning Av Regeringsuppdrag Beträffande Byggnaders Tekniska Utformning m.m.; Swedish National Board of Housing, Building, and Planning: Stockholm, Sweden, 2009. [Google Scholar]
- Swedish National Board of Housing, Building, and Planning. Enkätundersökning Om Boendes Upplevda Inomhusmiljö Och Ohälsa-Resultat Från Projektet BETSI; Swedish National Board of Housing, Building, and Planning: Stockholm, Sweden, 2009. [Google Scholar]
- Swedish National Board of Housing, Building, and Planning. God Bebyggd Miljö-Utvärdering Av Delmål För God Inomhusmiljö-Resultat Från Projektet BETSI; Swedish National Board of Housing, Building, and Planning: Stockholm, Sweden, 2010. [Google Scholar]
- Swedish National Board of Housing, Building, and Planning. Teknisk Status I Den Svenska Bebyggelsen-Resultat Från Projektet BETSI; Swedish National Board of Housing, Building, and Planning: Stockholm, Sweden, 2011. [Google Scholar]
- Swedish National Board of Housing, Building, and Planning. God Bebyggd Miljö-Förslag till Nytt Delmål För Fukt Och Mögel, Resultat om Byggnaders Fuktskador Från Projektet BETSI; Swedish National Board of Housing, Building, and Planning: Stockholm, Sweden, 2011. [Google Scholar]
- Swedish National Board of Housing, Building, and Planning. Spreadsheet of Microdata Results from BETSI Energy Assessment; Swedish National Board of Housing, Building, and Planning: Stockholm, Sweden, 2012. [Google Scholar]
- Swedish National Board of Housing, Building, and Planning. Spreadsheet with Excerpts from the BETSI Database Describing the Dimensional Characteristics of Residential Buildings in the BETSI Sample; Swedish National Board of Housing, Building, and Planning: Stockholm, Sweden, 2012. [Google Scholar]
- Wang, J.; Engvall, K.; Smedje, G.; Nilsson, H.; Norbäck, D. Current wheeze, asthma, respiratory infections, and rhinitis among adults in relation to inspection data and indoor measurements in single-family houses in Sweden-the BETSI study. Indoor Air 2017, 27, 725–736. [Google Scholar] [CrossRef] [PubMed]
- Wang, J.; Engvall, K.; Smedje, G.; Norbäck, D. Rhinitis, asthma and respiratory infections among adults in relation to the home environment in multi-family buildings in Sweden. PLoS ONE 2014, 9, e105125. [Google Scholar] [CrossRef]
- Wang, J.; Engvall, K.; Smedje, G.; Norbäck, D. Exacerbation of asthma among adults in relation to the home environment in multi-family buildings in Sweden. Int. J. Tuberc. Lung Dis. 2017, 21, 7. [Google Scholar] [CrossRef] [PubMed]
- Smedje, G.; Wang, J.; Norbäck, D.; Nilsson, H.; Engvall, K. SBS symptoms in relation to dampness and ventilation in inspected single-family houses in Sweden. Int. Arch. Occup. Environ. Health 2017, 90, 703–711. [Google Scholar] [CrossRef] [PubMed]
- Langer, S.; Bekö, G. Indoor air quality in the Swedish housing stock and its dependence on building characteristics. Build. Environ. 2013, 69, 44–54. [Google Scholar] [CrossRef]
- Teli, D.; Psomas, T.; Langer, S. Indoor climate and air quality: Does occupants’ assessment reflect the measured conditions? In Proceedings of the Indoor Air, Kuopio, Finland, 12–16 June 2022.
- Langer, S.; Psomas, T.; Teli, D. I-CUB: ‘Indoor Climate-Users-Buildings’: Relationship between measured and perceived indoor air quality in dwellings. In Proceedings of the 8th International Building Physics Conference, Copenhagen, Denmark, 25–27 August 2021. [Google Scholar]
- Psomas, T.; Teli, D.; Langer, S.; Wahlgren, P. Low relative humidity, a problem or not in Swedish dwellings? In Proceedings of the Indoor Environmental Quality Performance Approaches, ASHRAE, Athens, Greece, 4–6 May 2022.
- Dalenbäck, J.O.; Ekberg, L.; Langer, S.; Psomas, T.; Teli, D. Låg luftfuktighet i svenska bostäder—Ett problem? Energi Miljo 2021, 10, 54–55. [Google Scholar]
- Psomas, T.; Teli, D.; Langer, S.; Wargocki, P. Indoor humidity of dwellings in a northern climate. REHVA J. 2021, 58, 37–40. [Google Scholar]
- Mata, E.; Sasic Kalagasidis, A.; Johnsson, F. Energy usage and technical potential for energy saving measures in the Swedish residential building stock. Energy Pol. 2013, 55, 404–414. [Google Scholar] [CrossRef]
- Mangold, M.; Österbring, M.; Wallbaum, H. A review of Swedish residential building stock research. Int. J. Environ. Sustain. 2015, 11, 1–17. [Google Scholar] [CrossRef]
- Psomas, T.; O’Sullivan, P.; Langer, S.; Teli, D.; Wargocki, P. Does Gender Matters in Perception of Indoor Environmental Quality? Findings From A Swedish National Survey. In Proceedings of the Indoor Air, Kuopio, Finland, 12–16 June 2022. [Google Scholar]
- Psomas, T.; Kolias, P.; Teli, D.; Langer, S. Influence of indoor environmental quality and dwelling satisfaction aspects on overall satisfaction: Findings from a Swedish national survey. In Proceeding of the IAQVEC, Tokyo, Japan, 20–23 May 2023. [Google Scholar]
- Teli, D.; Dalenbäck, J.O.; Psomas, T.; Langer, S. Using data-driven indoor temperature setpoints in energy simulations of existing buildings: A Swedish case study. In Proceedings of the SBE23, Thessaloniki, Greece, 22–24 March 2023. [Google Scholar]
- Field, A. Discovering Statistics Using SPSS, 3rd ed.; SAGE Publications: Thousand Oaks, CA, USA, 2009. [Google Scholar]
- Bergsma, W.; Tschuprow’s, T. A bias-correction for Cramér’s V. J. Korean Stat. Soc. 2013, 42, 323–328. [Google Scholar] [CrossRef]
- Brant, R. Assessing proportionality in the proportional odds model for ordinal logistic regression. Biometrics 1990, 46, 1171–1178. [Google Scholar] [CrossRef]
- Fox, J.; Monette, G. Generalized collinearity diagnostics. J. Am. Stat. Assoc. 1992, 87, 178–183. [Google Scholar] [CrossRef]
- Psomas, T.; Heiselberg, P.; Duer, K.; Bjørn, E. Overheating risk barriers to energy renovations of single-family houses: Multicriteria analysis and assessment. Energy Build. 2016, 117, 138–148. [Google Scholar] [CrossRef]
- Rahman, H.A.A.; Wah, Y.B.; Huat, O.S. Predictive Performance of Logistic Regression for Imbalanced Data with Categorical Covariate. Pertanika J. Sci. Technol. 2021, 29, 181–197. [Google Scholar] [CrossRef]
- Haselsteiner, E. Gender Matters! Thermal Comfort and Individual Perception of Indoor Environmental Quality: A Literature Review. In Rethinking Sustainability Towards a Regenerative Economy. Future City; Andreucci, M.B., Marvuglia, A., Baltov, M., Hansen, P., Eds.; Springer: Cham, Switzerland, 2021; Volume 15. [Google Scholar]
- Frontczak, M.; Wargocki, P. Literature survey on how different factors influence human comfort in indoor environments. Build. Environ. 2011, 46, 922–937. [Google Scholar] [CrossRef]
- Wang, Z.; de Dear, R.; Luo, M.; Lin, B.; He, Y.; Ghahramani, A.; Zhu, Y. Individual difference in thermal comfort: A literature review. Build. Environ. 2018, 138, 181–193. [Google Scholar] [CrossRef]
- Abidin, N.Z.; Abdullah, M.I.; Basrah, N.; Alias, M.N. Residential satisfaction: Literature review and a conceptual framework. IOP Conf. Ser. Earth Environ. Sci. 2019, 385, 012040. [Google Scholar] [CrossRef]
- Schweicker, M.; Ampatzi, E.; Andargie, M.S.; Andersen, R.K.; Azar, E.; Barthelmes, V.M.; Berger, C.; Bourikas, L.; Carlucci, S.; Chinazzo, G.; et al. Review of multi-domain approaches to indoor environmental perception and behaviour. Build. Environ. 2020, 176, 106804. [Google Scholar] [CrossRef]
- Huang, Z.; Du, X.; Yu, X. Home ownership and residential satisfaction: Evidence from Hangzhou, China. Habitat Int. 2015, 49, 74–83. [Google Scholar] [CrossRef]
- Schweiker, M. Rethinking resilient thermal comfort within the context of human-building resilience. In Handbook of Resilient Thermal Comfort; Nicol Fergus, H.B.R., Roaf, S., Eds.; Routledge: London, UK, 2022. [Google Scholar]
- Hellwig, R.T. Design of adaptive opportunities for people in buildings. In Handbook of Resilient Thermal Comfort; Nicol Fergus, H.B.R., Roaf, S., Eds.; Routledge: London, UK, 2022. [Google Scholar]
- Al Horr, Y.; Arif, M.; Katafygiotou, M.; Mazroei, A.; Kaushik, A.; Elsarrag, E. Impact of indoor environmental quality on occupant well-being and comfort: A review of the literature. Int. J. Sustain. Built Environ. 2016, 5, 1–11. [Google Scholar] [CrossRef]
- Al Horr, Y.; Arif, M.; Kaushik, A.; Mazroei, A.; Katafygiotou, M.; Elsarrag, E. Occupant productivity and office indoor environment quality: A review of the literature. Build. Environ. 2016, 105, 369–389. [Google Scholar] [CrossRef]
- Kim, J.; de Dear, R.; Cândido, C.; Zhang, H.; Arens, E. Gender differences in office occupant perception of indoor environmental quality (IEQ). Build. Environ. 2013, 70, 245–256. [Google Scholar] [CrossRef]
- Karlsson, B.; Håkansson, M.; Sjöblom, J.; Ström, H. Light my fire but don’t choke on the smoke: Wellbeing and pollution from fireplace use in Sweden. Energy Res. Soc. Sci. 2020, 69, 101696. [Google Scholar] [CrossRef]
- Wolkoff, P. Indoor air humidity, air quality, and health—An overview. Int. J. Hyg. Environ. Health 2018, 221, 376–390. [Google Scholar] [CrossRef] [PubMed]
Disclaimer/Publisher’s Note: The statements, opinions and data contained in all publications are solely those of the individual author(s) and contributor(s) and not of MDPI and/or the editor(s). MDPI and/or the editor(s) disclaim responsibility for any injury to people or property resulting from any ideas, methods, instructions or products referred to in the content. |
© 2024 by the authors. Licensee MDPI, Basel, Switzerland. This article is an open access article distributed under the terms and conditions of the Creative Commons Attribution (CC BY) license (https://creativecommons.org/licenses/by/4.0/).






