Minimum Carbon Credit Cost Estimation for Carbon Geological Storage in the Mae Moh Basin, Thailand
Abstract
1. Introduction
2. Methodology
2.1. Prospected Storage Formation
2.2. Injection Well Completion Design
2.3. CO2 Injection Design
2.4. Economic Analysis
3. Results
3.1. Well Completion Design
3.2. CO2 Injection Design
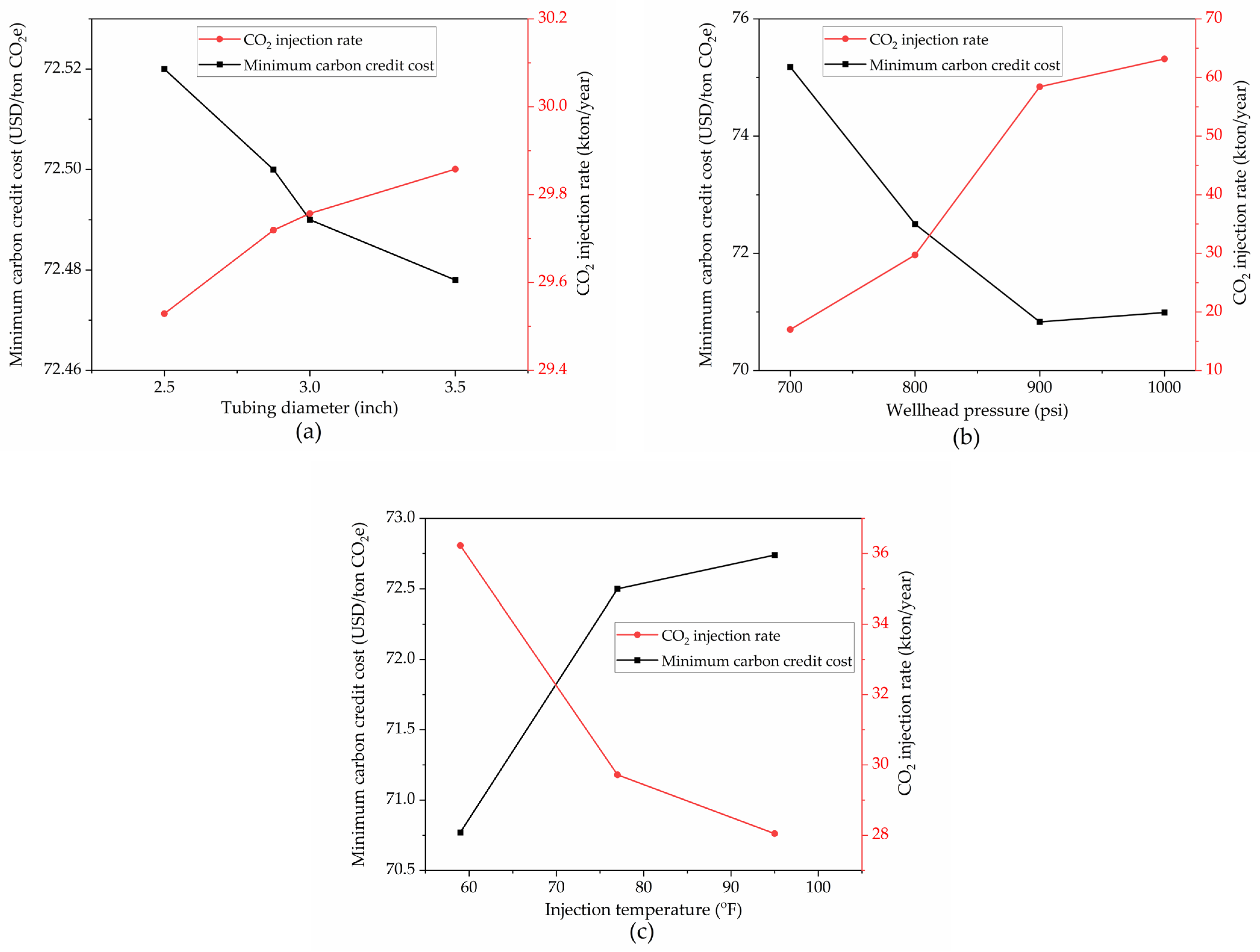
3.3. Economic Analysis
4. Discussion
5. Conclusions
Author Contributions
Funding
Data Availability Statement
Acknowledgments
Conflicts of Interest
Nomenclature
| Abbreviations | |
| AOF | Absolute open flow | 
| CAPEX | Capital expenditure | 
| CCS | Carbon capture and storage | 
| CGS | Carbon geological storage | 
| EGAT | Electricity Generating Authority of Thailand | 
| EOS | Equation of state | 
| GHGs | Greenhouse gases | 
| IPR | Inflow performance relationship | 
| MMI | Modified Mercalli Intensity | 
| NPV | Net present value | 
| O.D. | Outer diameter | 
| OPEX | Operational expenditure | 
| POE | Probability of exceedance | 
| PSHA | Probabilistic seismic hazard | 
| PVT | Pressure–volume–temperature | 
| SDGs | Sustainable Development Goals | 
| TD | Total depth | 
| TGO | Thailand Greenhouse Gas Management Organization | 
| T-VER | Thailand Voluntary Emission Reduction Program | 
| USD | U.S. dollar | 
| VLP | Vertical lift performance | 
| Symbols | |
| CO2 | Carbon dioxide | 
| g/cm3 | Gram per cubic centimeter | 
| in | Inch | 
| kW.h | Kilowatt-hour | 
| mD | Millidarcy | 
| MMscf | Million standard cubic feet | 
| MPa | Megapascal | 
| ppg | Pound per gallon (lb/gal) | 
| psi | Pound per square inch | 
| spf | Shots per foot | 
| tCO2e | Ton of carbon dioxide equivalent | 
Appendix A


| Power Generation of Thailand (MW) | Contribution of Energy Source (%) | Power Generation Based on Each Sector (MW) | Capacity of the Mae Moh Coal Power Plant (MW) | Total GHG Emissions (MtCO2e) | Emission of Mae Moh Coal Power Plant (MtCO2e) | |
|---|---|---|---|---|---|---|
| 32,255 | Coal | 16.76% | 5405.94 | 2200 | 96.3 | 6.57 | 
| Natural gas | 52.15% | 16,820.98 | ||||
| Renewable energy | 7.31% | 2357.84 | ||||
| Imports | 17.64% | 5689.78 | ||||
| Oil and others | 6.14% | 1980.46 | ||||
References
- Pachauri, R.K.; Allen, M.R.; Barros, V.R.; Broome, J.; Cramer, W.; Christ, R.; Church, J.A.; Clarke, L.; Dahe, Q.; Dasgupta, P.; et al. Climate Change 2014: Synthesis Report. Contribution of Working Groups I, II and III to the Fifth Assessment Report of the Intergovernmental Panel on Climate Change; IPCC: Geneva, Switzerland, 2014; p. 155. [Google Scholar]
- Ming, A.; Rowell, I.; Lewin, S.; Rouse, R.; Aubry, T.; Boland, E. Key Messages from the IPCC AR6 Climate Science Report; University of Cambridge: Cambridge, UK, 2021. [Google Scholar]
- Morshed-BozorgDel, A. Assessment Report Headline Statements from the Summary for Policymakers A; The Current State of the Climate by WG I IPCC; IPCC: Geneva, Switzerland, 2021. [Google Scholar]
- Zhongming, Z.; Wangqiang, Z.; Wei, L. What You Need to Know about the COP26 UN Climate Change Conference; United Nations Environment Programme: Nairobi, Kenya, 2021. [Google Scholar]
- Zhang, K.; Bokka, H.K.; Lau, H.C. Decarbonizing the energy and industry sectors in Thailand by carbon capture and storage. J. Pet. Sci. Eng. 2022, 209, 109979. [Google Scholar] [CrossRef]
- Climate Action Tracker. Thailand Net Zero Targets. Available online: https://climateactiontracker.org/countries/thailand/net-zero-targets/ (accessed on 23 September 2023).
- Liang, Z.H.; Rongwong, W.; Liu, H.; Fu, K.; Gao, H.; Cao, F.; Zhang, R.; Sema, T.; Henni, A.; Sumon, K.; et al. Recent progress and new developments in post-combustion carbon-capture technology with amine based solvents. Int. J. Greenh. Gas Control 2015, 40, 26–54. [Google Scholar] [CrossRef]
- Ringrose, P.S.; Furre, A.-K.; Gilfillan, S.M.V.; Krevor, S.; Landrø, M.; Leslie, R.; Meckel, T.; Nazarian, B.; Zahid, A. Storage of Carbon Dioxide in Saline Aquifers: Physicochemical Processes, Key Constraints, and Scale-Up Potential. Annu. Rev. Chem. Biomol. Eng. 2021, 12, 471–494. [Google Scholar] [CrossRef] [PubMed]
- Rackley, S.A. Carbon Capture and Storage; Butterworth-Heinemann: Oxford, UK, 2017. [Google Scholar]
- Thakerngkiat, N. Carbon Credits for Sustainable Development: UOB Asset Management. Available online: https://www.uobam.co.th/en/publication/download/283/ (accessed on 24 September 2023).
- Witkowski, A.; Majkut, M.; Rulik, S. Analysis of pipeline transportation systems for carbon dioxide sequestration. Arch. Thermodyn. 2014, 35, 117–140. [Google Scholar] [CrossRef]
- Ratanasthien, B.; Takashima, I.; Matsubaya, O. Paleaogeography and Climatic Change recorded on Viviparidae Carbon and Oxygen Isotope in Mae Moh Coal Mine, Northern Thailand. Bull. Geol. Surv. Jpn. 2008, 59, 327–338. [Google Scholar] [CrossRef]
- Pailoplee, S.; Charusiri, P. Probabilistic analysis of the seismic activity and hazard in northern Thailand. Geosci. J. 2015, 19, 731–740. [Google Scholar] [CrossRef]
- EGAT. Mae Moh Power Plant: Characteristics of the Power Plant. Available online: https://www.egat.co.th/home/en/maemoh-pp-specification/ (accessed on 23 September 2023).
- Maneeintr, K.; Ruanman, N.; Juntarasakul, O. Assessment of CO2 Geological Storage Potential in a Depleted Oil Field in the North of Thailand. Energy Procedia 2017, 141, 175–179. [Google Scholar] [CrossRef]
- Somprasong, K.; Hutayanon, T.; Jaroonpattanapong, P. Using Carbon Sequestration as a Remote-Monitoring Approach for Reclamation’s Effectiveness in the Open Pit Coal Mine: A Case Study of Mae Moh, Thailand. Energies 2024, 17, 231. [Google Scholar] [CrossRef]
- Thanasaksukthawee, V.; Santha, N.; Saenton, S.; Tippayawong, N.; Jaroonpattanapong, P.; Foroozesh, J.; Tangparitkul, S. Relative CO2 Column Height for CO2 Geological Storage: A Non-Negligible Contribution from Reservoir Rock Characteristics. Energy Fuels 2022, 36, 3727–3736. [Google Scholar] [CrossRef]
- Gaurina-Međimurec, N.; Pašić, B. Design and mechanical integrity of CO2 injection wells. Rud.-Geološko-Naft. Zb. 2011, 23, 1–8. [Google Scholar]
- Advanced Resources International, Inc. Injection Well Construction Diagrams and Specifications SECARB Phase III. Available online: https://www.osti.gov/servlets/purl/1820368/ (accessed on 3 October 2023).
- Abd El Moniem, M.A.; El-Banbi, A.H. Proper Selection of Multiphase Flow Correlations. In Proceedings of the SPE North Africa Technical Conference and Exhibition, SPE-175805-MS, Cairo, Egypt, 14–16 September 2015. [Google Scholar]
- Zero Emissions Platform. The Costs of CO2 Storage Post-Demonstration CCS in the EU. Available online: https://www.globalccsinstitute.com/archive/hub/publications/119816/costs-co2-storage-post-demonstration-ccs-eu.pdf (accessed on 4 November 2023).
- Hossain, M.E. Drilling Costs Estimation for Hydrocarbon Wells. J. Sustain. Energy Eng. 2015, 3, 3–32. [Google Scholar] [CrossRef]
- Khurana, S.; Beck, S. Carbon Capture, Utilization, and Sequestration Value Chain. In Proceedings of the Offshore Technology Conference, OTC-32042-MS, Houston, TX, USA, 2–5 May 2022. [Google Scholar]
- Rubin, E.S.; Davison, J.E.; Herzog, H.J. The cost of CO2 capture and storage. Int. J. Greenh. Gas Control 2015, 40, 378–400. [Google Scholar] [CrossRef]
- Hafner, M.; Luciani, G. The Palgrave Handbook of International Energy Economics; Springer Nature: Cham, Switzerland, 2022; pp. 6–15. [Google Scholar]
- Gul, S.; Aslanoglu, V. Drilling and Well Completion Cost Analysis of Geothermal Wells in Turkey. In Proceedings of the 43rd Workshop on Geothermal Reservoir Engineering, SGP-TR-213, Stanford, CA, USA, 12–14 February 2018. [Google Scholar]
- Duguid, A.; Kirksey, J.; Riestenburg, D.; Koperna, G.; Holley, C.; Loizzo, M.; Locke, R. CO2 well construction: Lessons learned from United States Department of Energy sponsored projects. In Proceedings of the 14th International Conference on Greenhouse Gas Control Technologies, GHGT-14, Melbourne, Australia, 21–25 October 2018; pp. 1–12. [Google Scholar]
- Abid, K.; Gholami, R.; Mutadir, G. A pozzolanic based methodology to reinforce Portland cement used for CO2 storage sites. J. Nat. Gas Sci. Eng. 2020, 73, 103062. [Google Scholar] [CrossRef]
- Spagnoli, G.; Oreste, P.; Kirby, A.; Adams, P.; Bosco, C. Assessment of the Theoretical Net Relief Drilling Rate for Conductor Pipes. Geotech. Geol. Eng. 2017, 35, 1249–1259. [Google Scholar] [CrossRef]
- Guo, B.; Zhang, P. Injectivity Assessment of Radial-Lateral Wells for CO2 Storage in Marine Gas Hydrate Reservoirs. Energies 2023, 16, 7987. [Google Scholar] [CrossRef]
- Al Mutairi, F.M. Evaluation of Skin Factor from Single-Rate Gas Well Test. Master’s Thesis, West Virginia University, Morgantown, WV, USA, 8 December 2008. [Google Scholar]
- Ogden, J.; Johnson, N. Techno-economic analysis and modeling of carbon dioxide (CO2) capture and storage (CCS) technologies. In Developments and Innovation in Carbon Dioxide (CO2) Capture and Storage Technology; Maroto-Valer, M.M., Ed.; Woodhead Publishing: Cambridge, UK, 2010; Volume 1, pp. 27–63. [Google Scholar]
- Liu, M.; Bai, B.; Li, X. A unified formula for determination of wellhead pressure and bottom-hole pressure. Energy Procedia 2013, 37, 3291–3298. [Google Scholar] [CrossRef]
- Bai, B.; Wu, H.; Li, X. Investigation on the Relationship between Wellhead Injection Pressure and Injection Rate for Practical Injection Control in CO2 Geological Storage Projects. Geofluids 2018, 2018, 4927415. [Google Scholar] [CrossRef]
- Jing, J.; Yang, Y.; Tang, Z. Assessing the influence of injection temperature on CO2 storage efficiency and capacity in the sloping formation with fault. Energy 2021, 215, 119097. [Google Scholar] [CrossRef]
- EGAT. Procurement Plan. Available online: https://fprocurement.egat.co.th/procurementplan/en?pt=t (accessed on 13 April 2024).
- Inta, T.; Somprasong, K.; Huttagosol, P. Study of climate effect on the atmospheric conversion in coal mine: A case study of lignite coal mine in Thailand. IOP Conf. Ser. Earth Environ. Sci. 2020, 581, 012028. [Google Scholar] [CrossRef]
- Win, S.Y.; Opaprakasit, P.; Papong, S. Environmental and economic assessment of carbon capture and utilization at coal-fired power plant in Thailand. J. Clean. Prod. 2023, 414, 137595. [Google Scholar] [CrossRef]






| System Parameters | Value | Unit | Value | Unit | 
|---|---|---|---|---|
| Formation thickness | 355 | ft | 108 | m | 
| Formation temperature | 25 | °C | 25 | °C | 
| Formation permeability | 50 | mD | 50 | mD | 
| Reservoir pressure | 721 | psig | 4.97 | MPa | 
| Porosity | 0.2 | fraction | 0.2 | fraction | 
| Connate water saturation | 0.1 | fraction | 0.1 | fraction | 
| Drainage area, acres | 49,000 | acres | 198 | km2 | 
| Heat transfer coefficient | 2 | Btu/(h.ft2.°F) | 11.35 | W/m2.K | 
| Tubular | Depth (ft) | Grade | O.D. (in) | Weight (lb/ft) | Collapse Pressure (psi) | Burst Pressure (psi) | 
|---|---|---|---|---|---|---|
| Conductor | 0–30 | H-40 | 16 | 65 | 670 | 1640 | 
| Surface Casing | 0–1200 | C-75 | 11 3/4 | 60 | 3070 | 5460 | 
| Injection Casing | 0–1555 | C-75 | 8 5/8 | 36 | 4020 | 6090 | 
| Tubular | Depth (ft) | Grade | O.D. (in) | Weight (lb/ft) | Collapse Pressure (psi) | Burst Pressure (psi) | 
|---|---|---|---|---|---|---|
| Tubing | 0–1550 | L-80 | 2 7/8 | 6.5 | 11,170 | 10,570 | 
| Component | Description | Value (USD/Year) | Ref. | 
|---|---|---|---|
| Injection cost | Calculated from injection pump capacity and power usage from simulation results | 50,300 | - | 
| Overhead | 2.5% of total operating cost | 41,000 | [22] | 
| Maintenance cost | 6% of capital cost | 4500 | [22] | 
| Capture and Transport cost | USD ~53 per ton CO2 | 1,575,000 | [23,24] | 
| Operating labor cost | 15% of total operating cost | 244,000 | [25] | 
| General and administrative | 7% of total operating cost | 114,000 | [25] | 
| Disclaimer/Publisher’s Note: The statements, opinions and data contained in all publications are solely those of the individual author(s) and contributor(s) and not of MDPI and/or the editor(s). MDPI and/or the editor(s) disclaim responsibility for any injury to people or property resulting from any ideas, methods, instructions or products referred to in the content. | 
© 2024 by the authors. Licensee MDPI, Basel, Switzerland. This article is an open access article distributed under the terms and conditions of the Creative Commons Attribution (CC BY) license (https://creativecommons.org/licenses/by/4.0/).
Share and Cite
Charoentanaworakun, C.; Somprasong, K.; Duongkaew, A.; Wongchai, P.; Katunyoo, P.; Thanaphanyakhun, P. Minimum Carbon Credit Cost Estimation for Carbon Geological Storage in the Mae Moh Basin, Thailand. Energies 2024, 17, 2231. https://doi.org/10.3390/en17092231
Charoentanaworakun C, Somprasong K, Duongkaew A, Wongchai P, Katunyoo P, Thanaphanyakhun P. Minimum Carbon Credit Cost Estimation for Carbon Geological Storage in the Mae Moh Basin, Thailand. Energies. 2024; 17(9):2231. https://doi.org/10.3390/en17092231
Chicago/Turabian StyleCharoentanaworakun, Chanapol, Komsoon Somprasong, Anusak Duongkaew, Panita Wongchai, Ploypailin Katunyoo, and Purin Thanaphanyakhun. 2024. "Minimum Carbon Credit Cost Estimation for Carbon Geological Storage in the Mae Moh Basin, Thailand" Energies 17, no. 9: 2231. https://doi.org/10.3390/en17092231
APA StyleCharoentanaworakun, C., Somprasong, K., Duongkaew, A., Wongchai, P., Katunyoo, P., & Thanaphanyakhun, P. (2024). Minimum Carbon Credit Cost Estimation for Carbon Geological Storage in the Mae Moh Basin, Thailand. Energies, 17(9), 2231. https://doi.org/10.3390/en17092231
 
        




 
       