Reliability of Insulation Systems and Its Impact on Electric Machine Design for Automotive and Aviation Applications
Abstract
1. Introduction
2. PD Measurement and Comparison of Different DUTs
2.1. PD Measurement
2.2. Different DUTs
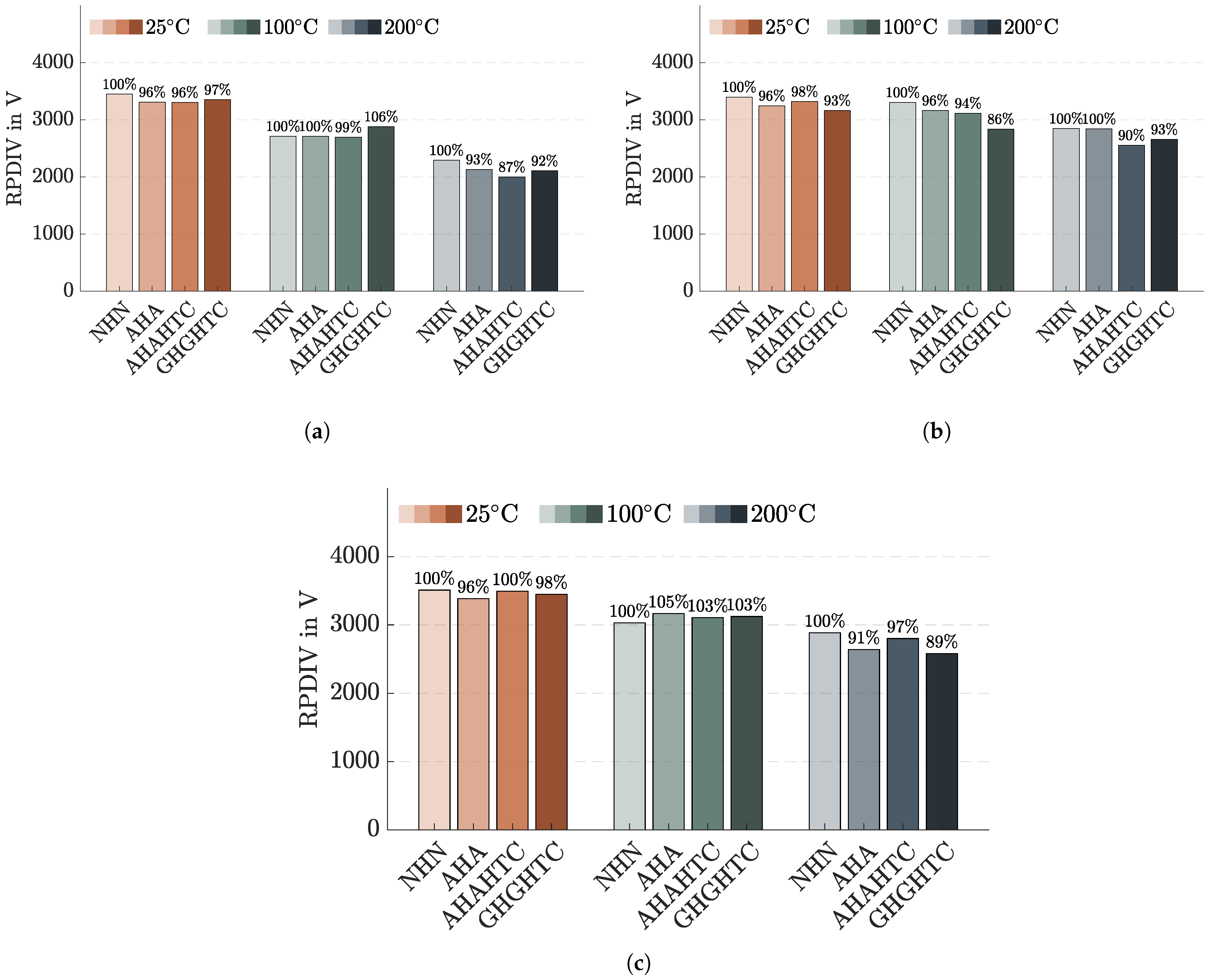
2.3. Comparison of PD Measurements Between Real Stator and Motorettes
- 1.
- Variation of geometry: The first step was to investigate whether the linear design of the motorette compared to the round stator affects the PD measurements. The three coils of a pair of poles of the reference stator were considered and unwound linearly. The axial length, the shape of the slots, the wire, and the EIMs were not changed. The motorette was also impregnated using a trickle method by storing it at an angle, preheating the wires, and trickling the impregnating resin into one side of the end winding. After the impregnating resin had completely impregnated the motorette, the resin was cured at 140 °C for two hours. In order to reproduce the stator laminations, the iron body of the motorette was made of iron sheets. The iron sheets can be seen in [24] and Figure 4a.
- 2.
- Influence of laminations: In order to investigate the influence of the laminations, a motorette with an iron body made of solid material was manufactured in the second step. This motorette is shown in Figure 1a. It is identical to the first motorette, with the exception of the laminations. A wirecutting process was used to mill the complex slot geometry into the iron.
- 3.
- Adaptation of the winding: In order to save material and to be able to manufacture more DUTs, the winding was adapted in the third step. Instead of the winding scheme of the real motorette with three coils distributed over 12 slots, only two coils overlapping in the end winding were manufactured. All other dimensions, the solid material of the iron body and the EIMs correspond to the second motorette.
- 4.
- Reduction of the axial length: The fourth motorette was manufactured to be axially shorter. The advantage of a reduced axial length is particularly apparent in combination with the fifth simplification step, in which the wirecutting process is replaced by milling. The reduced axial length saves time during milling and speeds up production. In this fourth step, however, the wirecutting process with complex slot geometry was still used. Figure 4c, adapted from [24], shows two of these motorettes.
- 5.
- Simplification of the slot geometry: In the last simplification step, the real slot geometry of the reference stator is simplified to a simple rectangular shape. The rectangular shape allows the use of a milling cutter instead of the more complex wirecutting process. The adaptation of the slot geometry, as shown in Figure 4b, is adapted from [24].
3. Evaluation of the Reliability of the Motorettes
4. Effects of EISs on Electric Machines for Aviation Applications
4.1. Thermal Boundary Conditions for the Use of the EIS
4.2. Electromagnetic Design of the Electric Machine for an Aviation Application
5. Conclusions
Author Contributions
Funding
Data Availability Statement
Conflicts of Interest
Abbreviations
| ERPI | Electric Power Research Institute |
| WBG | Wide Bandgap |
| SiC | Silicon Carbide |
| GaN | Gallium Nitride |
| FIT | Failure in Time |
| PD | Partial Discharge |
| PDIV | Partial Discharge Inception Voltage |
| RPDIV | Repetitive Partial Discharge Inception Voltage |
| RPDEV | Repetitive Partial Discharge Extinction Voltage |
| EIS | Electrical Insulation System |
| EIM | Electrical Insulation Material |
| HTC | High Thermal Conductivity |
| DUT | Device under Test |
| IVIC | Impulse Voltage Insulation Class |
| PMSM | Permanent Magnet Synchronous motor |
| PWM | Pulse Width Modulation |
| PEEK | Polyetheretherketone |
| THEIC | Tris (2-Hydroxyethyl) isocyanurate |
| PI | Polarization Index |
| MTPA | Maximum Torque per Ampere |
| MTPV | Maximum Torque per Volt |
| PoF | Physics of Failure |
References
- Cornell, E.P.; Owen, E.L.; Appiarius, J.C.; McCoy, R.M.; Albrecht, P.F.; Houghtaling, D.W. Improved Motors for Utility Applications; Final Report; General Electric Company: Schenectady, NY, USA, 1982. [Google Scholar] [CrossRef]
- Group, M.R.W. Report of Large Motor Reliability Survey of Industrial and Commercial Installations, Part I. IEEE Trans. Ind. Appl. 1985, IA-21, 853–864. [Google Scholar] [CrossRef]
- Foitzik, S. Fehlertolerante Regelung Drei- und Sechsphasiger Permanenterregter Synchronmaschinen mit Windungsschlüssen. Ph.D. Thesis, Karlsruher Institut für Technologie (KIT), Karlsruhe, Germany, 2021. [Google Scholar] [CrossRef]
- Bonnett, A.H.; Yung, C. Increased Efficiency Versus Increased Reliability. IEEE Ind. Appl. Mag. 2008, 14, 29–36. [Google Scholar] [CrossRef]
- Langmaack, N.; Balasubramanian, S.; Mallwitz, R.; Henke, M. Comparative Analysis of High Speed Drive Inverter Designs using different Wide-Band-Gap Power Devices. In Proceedings of the 2021 23rd European Conference on Power Electronics and Applications (EPE’21 ECCE Europe), Ghent, Belgium, 6–10 September 2021; pp. 1–10. [Google Scholar] [CrossRef]
- Filipenko, M.; Biser, S.; Boll, M.; Corduan, M.; Noe, M.; Rostek, P. Comparative Analysis and Optimization of Technical and Weight Parameters of Turbo-Electric Propulsion Systems. Aerospace 2020, 7, 107. [Google Scholar] [CrossRef]
- Moghadam, D.E.; Herold, C.; Zbinden, R. Electrical Insulation at 800 V Electric Vehicles. In Proceedings of the 2020 International Symposium on Electrical Insulating Materials (ISEIM), Tokyo, Japan, 13–17 September 2020; pp. 115–119. [Google Scholar]
- He, J.; Somogyi, C.; Strandt, A.; Demerdash, N.A.O. Diagnosis of stator winding short-circuit faults in an interior permanent magnet synchronous machine. In Proceedings of the 2014 IEEE Energy Conversion Congress and Exposition (ECCE), Pittsburgh, PA, USA, 14–18 September 2014; pp. 3125–3130. [Google Scholar] [CrossRef]
- Hanisch, L.V.; Dietrich, T.H.; Henke, M. Analysis of Partial Discharges and Failure Mechanism in Electrical Machines with Hairpin Winding. In Proceedings of the 2021 IEEE 13th International Symposium on Diagnostics for Electrical Machines, Power Electronics and Drives (SDEMPED), Dallas, TX, USA, 22–25 August 2021; Volume 1, pp. 1–7. [Google Scholar] [CrossRef]
- Höpner, V.N.; Wilhelm, V.E. Insulation Life Span of Low-Voltage Electric Motors—A Survey. Energies 2021, 14, 1738. [Google Scholar] [CrossRef]
- Diab, M.; Zhou, W.; Emersic, C.; Yuan, X.; Cotton, I. Impact of PWM Voltage Waveforms on Magnet Wire Insulation Partial Discharge in SiC-Based Motor Drives. IEEE Access 2021, 9, 156599–156612. [Google Scholar] [CrossRef]
- Hanisch, L.; Sun, M.; Henke, M. Novel Modeling Approach for Voltage Distribution within Automotive Electrical Machines. In Proceedings of the 2020 International Conference on Electrical Machines (ICEM), Gothenburg, Sweden, 23–26 August 2020; Volume 1, pp. 2196–2201. [Google Scholar] [CrossRef]
- Lusuardi, L.; Rumi, A.; Cavallini, A.; Barater, D.; Nuzzo, S. Partial Discharge Phenomena in Electrical Machines for the More Electrical Aircraft. Part II: Impact of Reduced Pressures and Wide Bandgap Devices. IEEE Access 2021, 9, 27485–27495. [Google Scholar] [CrossRef]
- Schefer, H.; Hanisch, L.; Dietrich, T.H.; Mallwitz, R.; Henke, M. Design of a High-Dynamic Test Bench for Accelerated Dielectric Lifetime Testing with Adjustable Voltage Slopes and Temperatures. In Proceedings of the 2022 24th European Conference on Power Electronics and Applications (EPE’22 ECCE Europe), Hanover, Germany, 5–9 September 2022; pp. 1–10. [Google Scholar]
- Liu, T.; Li, Q.; Huang, X.; Lu, Y.; Asif, M.; Wang, Z. Partial discharge behavior and ground insulation life expectancy under different voltage frequencies. IEEE Trans. Dielectr. Electr. Insul. 2018, 25, 603–613. [Google Scholar] [CrossRef]
- Hassan, W.; Hussain, G.A.; Mahmood, F.; Amin, S.; Lehtonen, M. Effects of Environmental Factors on Partial Discharge Activity and Estimation of Insulation Lifetime in Electrical Machines. IEEE Access 2020, 8, 108491–108502. [Google Scholar] [CrossRef]
- Arrhenius, S. Über die Reaktionsgeschwindigkeit bei der Inversion von Rohrzucker durch Säuren. Z. Für Phys. Chem. 1889, 4U, 226–248. [Google Scholar] [CrossRef]
- Dakin, T.W. Electrical Insulation Deterioration Treated as a Chemical Rate Phenomenon. Trans. Am. Inst. Electr. Eng. 1948, 67, 113–122. [Google Scholar] [CrossRef]
- Madonna, V.; Spagnolo, C.; Giangrande, P.; Galea, M. Improving Performance and Extending Lifetime of PMSMs via Advanced End-Winding Cooling. In Proceedings of the 2020 IEEE 29th International Symposium on Industrial Electronics (ISIE), Delft, The Netherlands, 17–19 June 2020; pp. 319–325. [Google Scholar] [CrossRef]
- Khowja, M.R.; Turabee, G.; Giangrande, P.; Madonna, V.; Cosma, G.; Vakil, G.; Gerada, C.; Galea, M. Lifetime Estimation of Enameled Wires Under Accelerated Thermal Aging Using Curve Fitting Methods. IEEE Access 2021, 9, 18993–19003. [Google Scholar] [CrossRef]
- Hanisch, L.V.; Balasubramanian, S.; Sander, M.; Henke, M.; Henze, R.; Küçükay, F. Influence of Driving Behavior on Thermal and Lifetime Characteristics of Electric Machines for Automotive Applications. SAE Int. J. Electrified Veh. 2023, 12, 247–261. [Google Scholar] [CrossRef]
- Bae, K.; Plikat, R.; Besch, C.; Neuschl, Z.; Gaussens, B.; Bailoni, M.; Litinsky, A.; Saborowski, F.; Kurrat, M. Current State and Development Trends of Insulation Systems in BEV Traction Motors Steered by Electric Powertrain Innovation. In Proceedings of the PCIM Europe Digital Days 2021—International Exhibition and Conference for Power Electronics, Intelligent Motion, Renewable Energy and Energy Management, Online, 3–7 May 2021. [Google Scholar]
- Madonna, V.; Giangrande, P.; Zhao, W.; Buticchi, G.; Zhang, H.; Gerada, C.; Galea, M. Reliability vs. Performances of Electrical Machines: Partial Discharges Issue. In Proceedings of the 2019 IEEE Workshop on Electrical Machines Design, Control and Diagnosis (WEMDCD), Athens, Greece, 22–23 April 2019; Volume 1, pp. 77–82. [Google Scholar] [CrossRef]
- Hanisch, L.V. Zuverlässigkeitsorientierte Auslegungsmethodik Elektrischer Maschinen Unter Berücksichtigung der Ausfallwahrscheinlichkeit von Isolationssystemen. Ph.D. Thesis, Technische Universität Braunschweig, Braunschweig, Germany, 2023. [Google Scholar]
- Grau, V.C. Development of a Test Bench to Investigate the Impact of Steep Voltage Slopes on the Lifetime of Insulation Systems for Coil Windings. Ph.D. Dissertation, Rheinisch-Westfälische Technische Hochschule Aachen, Aachen, Germany, 2021. [Google Scholar]
- Driendl, N.; Pauli, F.; Hameyer, K. Modeling of Partial Discharge Processes in Winding Insulation of Low-Voltage Electrical Machines Supplied by High du/dt Inverters. In Proceedings of the IECON 2019—45th Annual Conference of the IEEE Industrial Electronics Society, Lisbon, Portugal, 14–17 October 2019; Volume 1, pp. 7102–7107. [Google Scholar] [CrossRef]
- Billard, T.; Lebey, T.; Fresnet, F. Partial discharge in electric motor fed by a PWM inverter: Off-line and on-line detection. IEEE Trans. Dielectr. Electr. Insul. 2014, 21, 1235–1242. [Google Scholar] [CrossRef]
- IEC 60034-18-21:2013; Rotating Electrical Machines—Part 18–21: Functional Evaluation of Insulation Systems—Test Procedures for Wire-Wound Windings—Thermal Evaluation and Classification. IEC: Geneva, Switzerland, 2013.
- IEC60172:2022; Test Procedure for the Determination of the Temperature Index of Enamelled and Tape Wrapped Winding Wires. IEC: Geneva, Switzerland, 2022.
- Wei, Z.; You, H.; Fu, P.; Hu, B.; Wang, J. Partial Discharge Inception Characteristics of Twisted Pairs Under Single Voltage Pulses Generated by Silicon-Carbide Devices. IEEE Trans. Transp. Electrif. 2022, 8, 1674–1683. [Google Scholar] [CrossRef]
- Wei, Z.; You, H.; Hu, B.; Na, R.; Wang, J. Partial Discharge Behavior on Twisted Pair under Ultra-short Rise Time Square-wave Excitations. In Proceedings of the 2019 IEEE Electrical Insulation Conference (EIC), Calgary, AB, Canada, 16–19 June 2019; pp. 493–496. [Google Scholar] [CrossRef]
- Kodama, S.; Zenda, Y.; Kozako, M.; Hikita, M.; Hayashizaka, N.; Fujimoto, N.; Kikuchi, H. Life Estimation of Enamel Twisted Pair Suffering Partial Discharge under Repetitive Impulse Voltage. In Proceedings of the 2022 IEEE Electrical Insulation Conference (EIC), Knoxville, TN, USA, 19–23 June 2022; pp. 225–228. [Google Scholar] [CrossRef]
- Madonna, V.; Giangrande, P.; Galea, M. On specimens choice for thermal lifetime assessment of low voltage electrical machines insulation. In Proceedings of the The 10th International Conference on Power Electronics, Machines and Drives (PEMD 2020), Online, 15–17 December 2020; Volume 2020, pp. 38–43. [Google Scholar] [CrossRef]
- Madonna, V.; Giangrande, P.; Lusuardi, L.; Cavallini, A.; Gerada, C.; Galea, M. Thermal Overload and Insulation Aging of Short Duty Cycle, Aerospace Motors. IEEE Trans. Ind. Electron. 2020, 67, 2618–2629. [Google Scholar] [CrossRef]
- IEC60085:2008; Electrical Insulation—Thermal Evaluation and Designation. IEC: Geneva, Switzerland, 2008.
- Wang, Y.; Yi, X.; Wang, Y.; Zhang, X.; Yin, Y.; Han, T.; Haran, K.S. Partial Discharge Investigation of Form-Wound Electric Machine Winding for Electric Aircraft Propulsion. IEEE Trans. Transp. Electrif. 2021, 7, 78–90. [Google Scholar] [CrossRef]
- Pauli, F.; Driendl, N.; Hameyer, K. Study on Temperature Dependence of Partial Discharge in Low Voltage Traction Drives. In Proceedings of the 2019 IEEE Workshop on Electrical Machines Design, Control and Diagnosis (WEMDCD), Athens, Greece, 22–23 April 2019; Volume 1, pp. 209–214. [Google Scholar] [CrossRef]
- IEC 60034-18-41:2021; Rotating Electrical Machines—Part 18–41: Partial Discharge Free Electrical Insulation Systems (Type I) Used in Rotating Electrical Machines Fed from Voltage Converters—Qualification and Quality Control Tests. IEC: Geneva, Switzerland, 2021.
- IEC 60317-0-1:2020; Specifications for Particular Types of Winding Wires—Part 0–1: General Requirements—Enamelled Round Copper Wire. IEC: Geneva, Switzerland, 2020.
- Sell-Le Blanc, F.; Halwas, M.; Jäger, D.; Weiße, L.; Jovanoski, J.; Kehl, N.; Hofmann, J.; Fleischer, J. Feasibility Study for Enameled Round Copper Wire Compression within Slots of Electrical Machines. In Proceedings of the 2019 9th International Electric Drives Production Conference (EDPC), Esslingen, Germany, 3–4 December 2019; pp. 1–9. [Google Scholar] [CrossRef]
- Hanisch, L.V.; Franzki, J.; Henke, M. Impact of Insulation and Cooling on Performance due to Reliability-Oriented Design of Electrical Machines. In Proceedings of the 2022 24th European Conference on Power Electronics and Applications (EPE’22 ECCE Europe), Hanover, Germany, 5–9 September 2022; pp. 1–7. [Google Scholar]
- Giangrande, P.; Madonna, V.; Nuzzo, S.; Galea, M. Moving Toward a Reliability-Oriented Design Approach of Low-Voltage Electrical Machines by Including Insulation Thermal Aging Considerations. IEEE Trans. Transp. Electrif. 2020, 6, 16–27. [Google Scholar] [CrossRef]
- Asgari, A.; Henke, M. Topology Analysis of Electric Machines for a Specific Mission Profile in Aviation Applications. In Proceedings of the 2024 International Conference on Electrical Machines (ICEM), Torino, Italy, 1–4 September 2024; pp. 1–7. [Google Scholar] [CrossRef]
- IEC60216-5:2009; Electrical Insulating Materials—Thermal Endurance Properties—Part 5: Determination of Relative Thermal Endurance Index (RTE) of an Insulating Material. IEC: Geneva, Switzerland, 2009.
















| Stator Parameters | Value |
|---|---|
| Outer diameter | 106 mm |
| Inner diameter | 61 mm |
| Stack length | 65 mm |
| Number slots | 24 |
| Number of turns per slot | 65 |
| Pole pairs | 2 |
| Number parallel strands | 2 |
| Winding type | Distributed winding |
| EIS parameters | Value |
| Wire diameter | mm |
| Insulation grade | 2 |
| Thickness slot liner | mm |
| Material slot liner | Aramid/polyimid/aramid |
| Impregnation resin | Polyesterimid |
| Impregnation method | Trickling |
| Copper Wire Type | Insulation Material | Diameter |
|---|---|---|
| W210 2L | ||
| W210 2L | THEIC-modified polyesterimide, overcoated with polyamideimide | |
| W210 2L | ||
| Slot Liner | Insulation Material | Thickness (Layers and Total) |
| Myoflex NHN 3/1/3 | , (∼) | |
| Myoflex NHN 3/2/3 | , (∼) | |
| Myoflex NHN 3/3/3 | Aramid (Nomex)/Polyimid/Aramid (Nomex) | , (∼) |
| Myoflex NHN 3/7/3 | , (∼) | |
| Myoflex NHN 2/2/2 | , (∼) | |
| Myoflex AHA 2/2/2 | Modified Aramid/Polyimid/Modified Aramid | , (∼) |
| Acuflex AHA HTC 2/2/2 | Modified Aramid/Polyimid/Modified Aramid, Increased thermal conductivity | , (∼) |
| Acuflex GHG HTC 2/2/2 | Glass Fiber/Polyimid/Glass Fiber, Increased thermal conductivity | , (∼) |
| Impregnant | Insulation Material | |
| Dolphon CC-1180 HiR | 1C Epoxy | |
| Damisol 3631 HiR | 1C Polyesterimid | |
| Dolphon XL-3101 OPT | 1C next Gen. Polyester | |
| Impregnating Resin | Process | Value |
|---|---|---|
| 1C Epoxy | Preheating temperature | 140 °C |
| Cure time | 2 h | |
| Cure temperature | 160 °C | |
| 1C Polyesterimid | Preheating temperature | 120 °C |
| Cure time | 2 h | |
| Cure temperature | 140 °C | |
| 1C Next-gen. Polyester | Preheating temperature | 120 °C |
| Cure time | 2 h | |
| Cure temperature | 160 °C |
| Parameter | Value |
|---|---|
| Slot number | 24 |
| Number pole pairs | 10 |
| Number of windings per slot and phase | 8 |
| Speed in knee point | 1656 rpm |
| Max. speed | 2200 rpm |
| Maximum torque | 2939 Nm |
| DC link voltage | 1600 V |
| Stator outer diameter | 500 mm |
| Stack length | 200 mm |
| Cooling method | Water jacket cooling |
| diso | 0.17 mm | 0.25 mm | 0.35 mm |
| Tavg | 209.9 °C | 210.1 °C | 210.5 °C |
Disclaimer/Publisher’s Note: The statements, opinions and data contained in all publications are solely those of the individual author(s) and contributor(s) and not of MDPI and/or the editor(s). MDPI and/or the editor(s) disclaim responsibility for any injury to people or property resulting from any ideas, methods, instructions or products referred to in the content. |
© 2024 by the authors. Licensee MDPI, Basel, Switzerland. This article is an open access article distributed under the terms and conditions of the Creative Commons Attribution (CC BY) license (https://creativecommons.org/licenses/by/4.0/).
Share and Cite
Asgari, A.; Hanisch, L.V.; Anspach, J.; Franzki, J.; Kahn, M.; Kurrat, M.; Henke, M. Reliability of Insulation Systems and Its Impact on Electric Machine Design for Automotive and Aviation Applications. Energies 2025, 18, 92. https://doi.org/10.3390/en18010092
Asgari A, Hanisch LV, Anspach J, Franzki J, Kahn M, Kurrat M, Henke M. Reliability of Insulation Systems and Its Impact on Electric Machine Design for Automotive and Aviation Applications. Energies. 2025; 18(1):92. https://doi.org/10.3390/en18010092
Chicago/Turabian StyleAsgari, Arsham, Lucas Vincent Hanisch, Johanna Anspach, Jonas Franzki, Maik Kahn, Michael Kurrat, and Markus Henke. 2025. "Reliability of Insulation Systems and Its Impact on Electric Machine Design for Automotive and Aviation Applications" Energies 18, no. 1: 92. https://doi.org/10.3390/en18010092
APA StyleAsgari, A., Hanisch, L. V., Anspach, J., Franzki, J., Kahn, M., Kurrat, M., & Henke, M. (2025). Reliability of Insulation Systems and Its Impact on Electric Machine Design for Automotive and Aviation Applications. Energies, 18(1), 92. https://doi.org/10.3390/en18010092

