Abstract
The in situ emulsification synergistic self-profile control system has wide application prospects for efficient development on offshore oil reservoirs. During water flooding in Bohai heavy oil reservoirs, random emulsification occurs with superimposed Jamin effects. Effectively utilizing this phenomenon can enhance the efficient development of offshore oilfields. This study addresses the challenges hindering water flooding development in offshore oilfields by investigating the emulsification mechanism and key influencing factors based on oil–water emulsion characteristics, thereby proposing a novel in situ emulsification flooding method. Based on a fundamental analysis of oil–water properties, key factors affecting emulsion stability were examined. Core flooding experiments clarified the impact of spontaneous oil–water emulsification on water flooding recovery. Two-dimensional T1–T2 NMR spectroscopy was employed to detect pure fluid components, innovating the method for distinguishing oil–water distribution during flooding and revealing the characteristics of in situ emulsification interactions. The results indicate that emulsions formed between crude oil and formation water under varying rheometer rotational speeds (500–2500 r/min), water cuts (30–80%), and emulsification temperatures (40–85 °C) are all water-in-oil (W/O) type. Emulsion viscosity exhibits a positive correlation with shear rate, with droplet sizes primarily ranging between 2 and 7 μm and a viscosity amplification factor up to 25.8. Emulsion stability deteriorates with increasing water cut and temperature. Prolonged shearing initially increases viscosity until stabilization. In low-permeability cores, spontaneous oil–water emulsification occurs, yielding a recovery factor of only 30%. For medium- and high-permeability cores (water cuts of 80% and 50%, respectively), recovery factors increased by 9.7% and 12%. The in situ generation of micron-scale emulsions in porous media achieved a recovery factor of approximately 50%, demonstrating significantly enhanced oil recovery (EOR) potential. During emulsification flooding, the system emulsifies oil at pore walls, intensifying water–wall interactions and stripping wall-adhered oil, leading to increased T2 signal intensity and reduced relaxation time. Oil–wall interactions and collision frequencies are lower than those of water, which appears in high-relaxation regions (T1/T2 > 5). The two-dimensional NMR spectrum clearly distinguishes oil and water distributions.
1. Introduction
In heavy oil reservoir development, water flooding accounts for a significant proportion of the total developed reserves due to its cost-effectiveness and environmental advantages [1,2,3]. As such, water flooding remains—and will continue to remain—the dominant method in oilfield development. Heavy oil contains substantial natural emulsifiers, such as resins, asphaltenes, and organic acids, leading to random emulsification during water flooding [4,5]. At low water saturation, water-in-oil (W/O) emulsions with higher viscosity than crude oil are formed. As water cut increases, phase inversion may occur, transforming W/O emulsions into oil-in-water (O/W) emulsions with lower viscosity than crude oil. The W/O emulsions exhibit pseudoplastic behavior, demonstrating favorable mobility and near-miscibility with crude oil [6,7,8]. This significantly reduces the oil–water mobility ratio, enabling efficient piston-like displacement during water flooding and improving microscopic oil displacement efficiency. Meanwhile, the superimposed Jamin effect of emulsions increases flow resistance in high-water-cut zones (or regions), thereby achieving in-depth profile modification [9,10,11,12].
In oil reservoirs, crude oil and water (formation water or injected water) spontaneously emulsify to form stable water-in-oil (W/O) type emulsions under the influence of natural macromolecular surfactants (naphthenic acid) and components such as resins, asphaltenes, petroleum acids, and waxes [13,14]. Research indicates that among the natural emulsifiers present in crude oil, asphaltenes have the strongest emulsifying ability, the greatest capacity to reduce the oil–water interfacial tension, and the best stability of the emulsions, followed by resin components [15,16]. Generally, the stability of crude oil emulsions is mainly influenced by the properties of the oil–water interface. During the formation of emulsions, natural active components such as asphaltenes, resins, and petroleum acids adsorb at the oil–water interface, forming interfacial films of a certain strength. The adsorption of these films makes it difficult for the liquid droplets to reaggregate after being disrupted. The higher the content of components such as resins and asphaltenes in crude oil, the lower the interfacial tension of the formed emulsions and the better their stability [17,18,19,20]. During the exploitation and production process of the oil reservoir, from the reservoir to the tubing through perforations in the casing and during the self-lifting process of the tubing, with the participation of natural gas, crude oil, and water are mixed and vigorously stirred to form an emulsion. Subsequently, through the shearing and stirring effects of vanes, nozzles, valves, etc. in the transportation pipeline, the precipitation of dissolved gas, and the pressure drop, the oil and water are further mixed to form emulsions. Most of the generated emulsions are water-in-oil W/O type emulsions. When the water content of the reservoir is relatively high, the generated emulsions are oil-in-water type. Oil-in-water O/W type emulsions are mostly used for emulsifying and increasing the viscosity of “heavy oil” (the current oil is relatively fluid) [21,22,23,24].
When heavy oil and water flow in the porous medium of the reservoir, a W/O emulsion will be produced. This phenomenon will seriously restrict the efficient exploitation in the middle and later stages of heavy oil reservoirs. Liu et al. analyzed the formation process of W/O emulsion and its influence on secondary emulsification [25]. The average emulsion droplet size (50% water content) after re-emulsification is 6.29 times that of emulsions formed by dehydrated heavy oil, and the apparent viscosity in a porous medium is 15.05 higher. Sun et al. studied the stability, droplet size distribution (DSD), and rheological behavior of the emulsion under different water contents and mineralization degrees and explored the oil displacement efficiency and oil displacement mechanism [26]. The W/O emulsion blockage agent can effectively suppress the viscous phenomenon during the water flooding process. After entering the formation, it can form a piston-type displacement process. Emulsification carrying, clogging, and resistance effects are the main mechanisms of oil displacement of W/O emulsions in porous media. Pu et al. clarified the microscopic mechanism of emulsification and viscosity reduction of sodium dodecyl sulfate, SDS; sodium dodecyl sulfonate, SO; and alkyl polysaccharide surfactant, APG0810 through molecular dynamics (MD), revealing the influence of surfactant concentration and additives on emulsification and viscosity reduction [27]. SO has superior interfacial properties. After emulsification displacement and water displacement, the experimental recovery rates of high- and low-permeability core displacement increased by 15.39% and 36.91%, respectively.
Chen et al. To explore the matching relationship between polymer surfactants and reservoirs as well as the conditions for emulsification, an intermolecular association molecule polymer surfactant (IAM) was synthesized through micelle polymerization, revealing the microscopic EOR mechanism [28]. Studies show that IAM can reduce interfacial tension and more effectively replace the remaining oil in the corners by stripping crude oil. In addition, the emulsion formed at the pore throat further increases the flow resistance, which is conducive to expanding the affected area. The research objectives of two-dimensional nuclear magnetic resonance are the transverse relaxation time T2, longitudinal relaxation time T1, diffusion coefficient D and internal magnetic field intensity of formation fluids. The D-T2 spectrum can simultaneously obtain the distribution of the diffusion coefficient D, and relaxation time in the measured sample. Thus, it can be known whether the nuclear magnetic resonance signal in the measured sample comes from water or oil [29]. Sagala et al. prepared a new type of stable nanofluid using nanomaterials coated with surfactants on the surface [30]. The core oil displacement model experiments were carried out by NMR and/or computed tomography, revealing the EOR mechanism of the emulsion at the pore structure level of porous media. Du et al. To explore the mechanism of in situ emulsification for enhanced oil recovery in low-temperature conglomerate reservoirs, based on the characterization of interface properties and oil displacement effects, the microscopic displacement characteristics at the pore–throat scale were revealed through nuclear magnetic resonance experiments [31]. The EOR mechanism of oil-in-water (W/W) emulsion flooding mainly includes fluidity control ability, Jamin effect, and improvement of oil flooding efficiency.
This study addresses the critical challenges of effectively utilizing random emulsification during water flooding in offshore oilfields and improving oil recovery, proposing a novel in situ emulsification flooding method based on spontaneous emulsification. This approach significantly enhances both sweep efficiency and microscopic displacement efficiency, promoting the efficient development of offshore water flooding fields. Taking Well PL-14 as the research subject, we analyzed the crude oil composition and physical properties of the formation water. Based on fundamental oil–water property analysis, we systematically investigated key factors affecting emulsion stability under various conditions including shear rate, water cut, emulsification temperature, and shearing duration. Conventional laboratory flooding experiments were conducted on low-, medium-, and high-permeability cores to examine the impact of spontaneous oil–water emulsification on enhanced oil recovery. A nuclear magnetic resonance (NMR) flooding system was established to study emulsification in porous media, employing two-dimensional T1-T2 spectra to analyze pure fluid components and characterize oil–water distribution and interactions during the flooding process. The research results clarify the emulsification mechanism and key influencing factors. Considering the constraints of offshore platforms (large well spacing, limited space) and the difficulties in dissolving and stabilizing viscosity-enhancing agents, we developed this innovative in situ emulsification flooding method based on spontaneous emulsification.
2. Experiments and Methods
2.1. Analysis of Oil and Water Physical Properties
The basic physical parameters of crude oil from the target wells in the Bohai Oilfield are shown in Table 1. The crude oil contains 3.8% resins and 2.9% asphaltenes. At a temperature of 65 °C, its viscosity is 58.39 mPa·s, which classifies it as a heavy oil.
Table 1.
Basic physical property parameters of crude oil.
The formation water salinity parameters of the target reservoir in Bohai Oilfield are presented in Table 2. The formation water is classified as NaHCO3 type, with Na+ being the dominant cation and a relatively low content of divalent cations. Among anions, HCO3− shows the highest concentration. The total salinity is measured at 2315.38 mg/L.
Table 2.
Formation water salinity parameter.
2.2. Experiment on Factors Affecting the Stability of Emulsions
The formation and stability of emulsions are primarily governed by the following factors: crude oil properties, salinity of formation water/injected water, naturally occurring surface-active substances at the interface, and external energy inputs (shear rates, shearing duration, temperature, and pH). This section systematically investigates the effects of shear rate, shearing time, temperature, and water cut on emulsion type (W/O or O/W), droplet size distribution, apparent viscosity, and stability behavior [32].
2.2.1. Experimental Materials
2.2.2. Experimental Methods and Procedures
(1) Stability analysis
① Prepared emulsion samples using dehydrated heavy oil and formation water at an oil–water ratio of 2:3; conducted emulsification for 1 h in 65 °C constant-temperature water bath; applied by varying rheometer rotational speeds: 500, 1000, 1500, 2000, and 2500 r/min; evaluated impacts on droplet size distribution, apparent viscosity, emulsion type (W/O or O/W), and stability [33,34].
② Rheometer rotational speeds: 2500 r/min; emulsification duration: 1 h; temperature: 65 °C; tested water cuts: 30%, 40%, 50%, 60%, 70%, 80%, and 90%.
③ Oil–water ratio: 2:3; rheometer rotational speeds: 2500 r/min; emulsification duration: 1 h; tested temperatures: 40 °C, 55 °C, 65 °C, 75 °C, and 85 °C.
④ Oil–water ratio: 2:3; rheometer rotational speed: 2500 r/min; temperature: 65 °C; tested shearing times: 10, 30, 60, 90, and 120 min.
(2) Water separation analysis
The upper layer sample of the emulsion was taken, observed, and photographed under the objective lens of the microscope. The droplet size was analyzed using Image Pro Plus software (6.0 version). The viscosity of the emulsion was measured and the change in its water separation rate was observed.
(3) Viscosity increase ratio
The viscosities of the dehydrated crude oil and the emulsion formed after stirring were measured, respectively, by the Brookfield DV-III + Pro rotational viscometer. The calculation of the viscosity increase multiplier is shown in Equation (1).
In the formula, β represents the viscosity increase multiplier, ρW/O is the viscosity of the W/O emulsion, mPa·s, and ρO is the viscosity of the dehydrated crude oil, mPa·s.
2.3. Physical Simulation of Oil Displacement in Porous Media
2.3.1. Experimental Materials and Instruments
(1) Experimental materials
Dehydrated crude oil from the target oil well-simulated formation water. The basic parameters of five artificial cores with different permeabilities are shown in Table 3.
Table 3.
Core parameters of the oil displacement physical model experiment.
(2) Experimental instruments
Schematic diagram of the physical simulation experiment process for oil displacement, as shown in Figure 1.
Figure 1.
Schematic diagram of the physical simulation experiment process for oil displacement.
2.3.2. Experimental Methods and Procedures
(1) The core was placed in a 65 °C oven and taken out every 6 h. When the mass no longer changed, the average of the three values was taken to obtain the dry weight m0. Core saturation simulates the formation of water to obtain wet weight m1. The porosity was calculated by using Equation (2):
(2) The simulated formation water was injected at a rate of 0.05 mL/min, the temperature was set to 65 °C, and the water permeability was calculated.
(3) Crude oil was injected into the core at 0.1 mL/min to saturate the crude oil until no water was seen in the measuring cylinder at the outlet end of the core, establishing the original oil saturation.
(4) Formation water was injected into the core at 0.1 mL/min. Water flooding reached the economic limit of 98%. The water flooding pressure, water content, and oil displacement efficiency were recorded.
2.4. Nuclear Magnetic Resonance Two-Dimensional Spectrum Oil Displacement
2.4.1. Experimental Materials and Instruments
(1) Nuclear magnetic percolation experimental analyzer for Porous Media (SPEC-RCI); magnetic field intensity, 0.24 T; main frequency, 10.38 MHz. The 120 mm sphere is tested in the uniform area. The shortest echo time is 60 μs. The pulse gradients in the X, Y, and Z directions have a maximum gradient value of 150 mT/m.
(2) The core holder can withstand a pressure of 35 MPa and a temperature of 150 °C. The gripper is integrated with the connecting/generating coil, and the coil size is 80 mm.
(3) T1–T2 test sequence: SR-CPMG; test parameters: P90 (20 μs) and P180 (40 μs); number of scans: 4; echo time: 300 μs; number of echoes: 6144; waiting time: 5 s; T1 edit count: 16; T1 distribution: 200–3,000,000 μs, logarithmic distribution.
(4) BRD method: The BRD (Bragg–Ray–Dawson) method is a technique used for the inversion of NMR logging data, mainly for solving the two-dimensional distribution of relaxation time (T2) and diffusion coefficient (D) of fluids within rocks. This method combines Singular Value Decomposition (SVD) for data compression and uses iterative optimization to determine the optimal regularization factor, effectively enhancing the stability and accuracy of the inversion results. This method has been applied to the independent development and experimental verification of nuclear magnetic resonance logging instruments, demonstrating its ability to process low-signal-to-noise-ratio data. Homemade software (T2Contrast/T1T2 InvPro/DT2 InvPro, version 2021, Peking University School of Information Science and Technology Magnetic Resonance Laboratory, Beijing, China).
2.4.2. Experimental Methods and Procedures
(1) Detection of pure fluid components
The nuclear magnetic resonance characteristics of oil–water were measured at different water cuts before stirring. The homogenizing emulsifier (FSH-2A, oil–water ratio is 2:3, 65 °C) was used and stirred for 10 min at the rheometer rotational speed of 5000 r/min. The nuclear magnetic resonance characteristics of oil–water after stirring were measured.
(2) In situ emulsification system oil displacement with a mass concentration of 0.4 wt.%. Firstly, core drying, weighing, and measuring core parameters. The formation water was saturated at a rate of 0.05 mL/min and the pore volume and porosity were calculated. The temperature was set to 65 °C and the water permeability was calculated. The physical simulation core parameters used in nuclear magnetic resonance are shown in Table 4.
Table 4.
Core parameters of nuclear magnetic resonance experiments.
The T2 curves of water and crude oil in the core were determined, as well as the T1-T2 two-dimensional spectra of the core, and nuclear magnetic resonance imaging was conducted. The simulated formation water was injected at a rate of 0.05 mL/min and oil was displaced. The displacement pressure and the volumes of water and oil in the produced fluid were recorded. The T1–T2 two-dimensional spectra of the core were measured every 0.2 PV when no oil was discharged from the outlet end. The in situ emulsification system was injected into at a rate of 0.05 mL/min. After the cumulative injection of the 0.6 PV system, magnetic resonance imaging was performed. Subsequent water flooding was carried out at an injection rate of 0.05 mL/min. The T1–T2 two-dimensional spectra of the entire core were measured every 0.1 PV when no oil was discharged from the outlet end, and nuclear magnetic resonance imaging was performed.
3. Results and Discussion
3.1. Analysis of Factors Affecting the Stability of Emulsions
3.1.1. Shear Rate
The variation patterns of emulsion viscosity and water separation rate under different shear rates are shown in Figure 2. As the shear rate increases, the viscosity of the formed emulsion rises rapidly; when exceeding 2000 r/min, the viscosity growth rate slows down. Through thorough oil–water mixing and agitation, the emulsion stability significantly improves, achieving a viscosity amplification factor as high as 25.8 times. With increasing shear rate, the enhanced shear strength (shear stress) causes the work done during emulsification to accumulate at the oil–water interface as surface energy, thereby increasing the system’s overall energy. The thorough mixing of oil and water reduces emulsion droplet size, increases oil droplet aggregation resistance, and promotes more uniform water phase distribution within the oil phase. Further shear rate elevation results in slower viscosity growth. The resulting system features smaller, uniform particle sizes, lower water separation rates, and enhanced emulsion stability [35,36].
Figure 2.
The stability of emulsions formed by in situ emulsification of crude oil/formation water at different shear rates: (a) viscosity; (b) water separation rate.
3.1.2. Water Cut
The variations in emulsion viscosity and water separation rate at different water cuts are illustrated in Figure 3. As the water cut increases, the emulsion viscosity initially rises and then declines, reaching its peak at 60% water cut with a viscosity amplification factor of 25.8 for the crude oil/formation water system. Notably, all viscosity values remain higher than that of dehydrated crude oil when the water cut is below 80%.
Figure 3.
The stability of emulsions formed by in situ emulsification of crude oil/formation water at different water cuts: (a) viscosity; (b) water separation rate.
Even at high water cuts, the oil–water system can still form a water-in-oil (W/O) emulsion, which may be attributed to the presence of natural surface-active components (such as resins, asphaltenes, and organic acids) in PL-14 well crude oil. These natural surfactants adsorb at the oil–water interface, enhancing the interfacial film strength and improving emulsion stability. Additionally, asphaltenes and resins contribute to increased crude oil viscosity, and at high concentrations, they can induce non-Newtonian fluid behavior.
At 30% water cut, the formed emulsion exhibits relatively good stability. However, as the water cut increases, the water separation rate accelerates, and emulsion stability deteriorates. The primary reason is that, under constant shear rate and temperature conditions, higher water cuts lead to an increase in large-diameter droplets, reduced inter-droplet spacing, and higher collision frequency. This promotes droplet coalescence, significantly increasing the likelihood of larger droplet formation and gradually weakening emulsion stability.
3.1.3. Emulsifying Temperature
The variation patterns of emulsion viscosity and water separation rate at different emulsification temperatures are shown in Figure 4. The emulsion viscosity decreases sharply with increasing temperature. Higher temperatures lead to faster water separation and poorer stability of the crude oil emulsion. As temperature rises, intensified molecular motion among small droplets significantly increases collision frequency, promoting droplet coalescence and sedimentation, thereby accelerating emulsion breakdown. Additionally, the strength of the interfacial film between the oil and water phases is compromised, making the film more “porous,” which further reduces emulsion stability [37].
Figure 4.
The stability of the emulsion formed by in situ emulsification of crude oil/formation water at different emulsification temperatures: (a) viscosity; (b) water separation rate.
3.1.4. Shearing Time
The variation in emulsion viscosity and water separation rate with shear time is shown in Figure 5. The viscosity of the emulsion initially increases with prolonged shear time but eventually stabilizes at a constant value beyond a certain duration. This behavior suggests that extended shearing promotes oil–water emulsification up to a saturation point, after which further shear time does not enhance emulsification. Concurrently, the water separation rate gradually decreases with increasing shear time. Prolonged shearing reduces droplet size, thereby improving emulsion stability.
Figure 5.
The stability of the emulsion formed by in situ emulsification of crude oil/formation water under different shear times: (a) viscosity; (b) water separation rate.
3.2. Experiment on Core Oil Displacement Efficiency
3.2.1. Low-Permeability Core
The oil recovery factor by spontaneous oil–water emulsification in low-permeability cores during water flooding is shown in Figure 6. During water flooding in low-permeability cores, the injection pressure differential continuously increases with pore volume injected. This is primarily attributed to the high viscosity of the target crude oil, which requires a critical pressure differential for oil mobilization. Upon breakthrough at the production end, the injection pressure declines and eventually stabilizes. Throughout this process, the water cut at the outlet rises rapidly while the cumulative recovery gradually increases, ultimately reaching 30%.
Figure 6.
The oil–water self-emulsification oil displacement efficiency during the water displacement process of low-permeability cores: (a) 50-3 core; (b) 100-3 core.
In low-permeability porous media, spontaneous oil–water emulsification occurs during early-stage water injection, causing a sharp pressure increase with gradients up to 3 MPa/m while maintaining low water cuts. Once the water cut exceeds 40%, it rapidly surges to 98%. Microscopic examination of produced emulsions reveals micron-scale droplet sizes. Core samples 50-3 and 100-3, with water-phase permeabilities below 50 mD, demonstrate limited pore space activation by spontaneous emulsification. At 98% water cut, the recovery of self-emulsified crude reaches only 30%. The experimental results indicate relatively low water flooding efficiency in low-permeability cores, mainly due to high crude oil viscosity creating unfavorable mobility ratios and pronounced viscous fingering during displacement, consequently reducing sweep efficiency and ultimate recovery.
3.2.2. Medium-Permeability Core
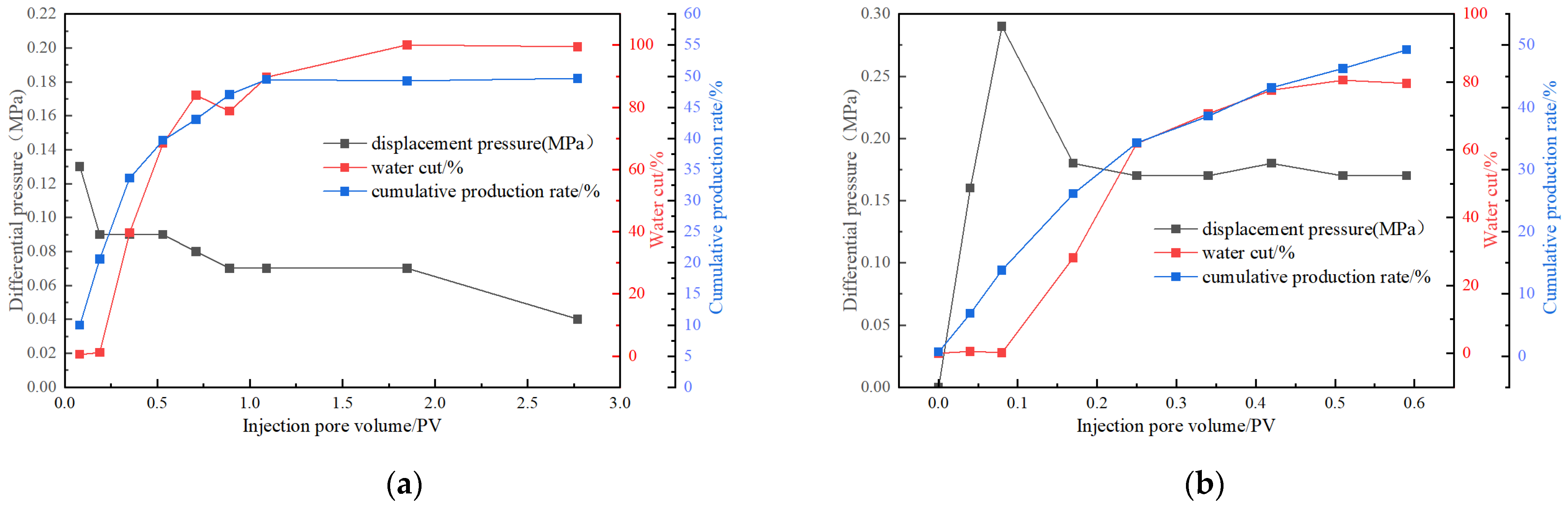
Enhanced oil recovery through spontaneous oil–water emulsification in medium-permeability cores during water flooding is illustrated in Figure 7, the water flooding process in medium-permeability cores demonstrates distinct characteristics of spontaneous oil–water emulsification. Rapid injection pressure buildup during mid-stage water flooding, pressure gradients reaching 3–4 MPa/m. Sustained pressure plateau corresponding to an 80% water cut phase. Prolonged water cut stabilization at 80% (horizontal segment), 9.7% incremental oil recovery during this plateau phase. Final recovery factor of 49–53% at 90% water cut. Visible emulsion formation at production outlets, micron-scale droplet size distribution, in situ generation within 100 mD permeability pore networks, and significant contribution to improved oil mobilization. The sustained horizontal segment in the water cut profile suggests efficient pore-scale emulsification mechanisms, contrasting with the behavior observed in low-permeability systems. This emulsification phenomenon enhances microscopic displacement efficiency, particularly during the mid-to-late stages of water flooding.
Figure 7.
The oil–water self-emulsification oil displacement efficiency during the water displacement process of the medium-permeability core: (a) 500-9 core; (b) 500-10 core.
3.2.3. High-Permeability Core
Figure 8 demonstrates the recovery performance of spontaneous water-in-oil (W/O) emulsification in high-permeability cores. The key characteristics include early-stage flooding behavior, rapid pressure buildup with gradients of 0.25–0.4 MPa/m during initial water injection, and an extended low-water-cut plateau at 50% water cut, with 12% incremental recovery during this low-water-cut phase; a distinct W/O emulsion observed at production outlets (micron-scale droplet size distribution); in situ generation within 500 mD pore networks and significant improvement in oil mobilization efficiency; 50% ultimate recovery at 90% water cut, a dominant W/O emulsion type maintained throughout flooding, and enhanced recovery compared to conventional water flooding. The sustained low-water-cut plateau indicates effective in situ emulsification, with the W/O emulsion system contributing to improved sweep efficiency. The higher permeability (500 mD) facilitates better emulsion transport compared to medium-permeability systems.
Figure 8.
The oil–water self-emulsification oil displacement efficiency of high-permeability core (800-6) during the water oil displacement process.
At 20–80% of crude oil/injected water, water-in-oil W/O emulsions with a viscosity higher than that of crude oil can be formed. In porous media, the high-speed flow and stirring of oil and water will generate emulsions. The emulsions then emulsify with crude oil again to form emulsions with a higher oil–water ratio and better stability, which leads to an increase in the oil content at the outlet end during the displacement process and an increase in the recovery degree. When the emulsion enters the porous medium of the reservoir, it greatly increases the viscosity of the injected water, making it easy to form an effective flow ratio of M > 1 during the displacement process. The reduction of the effective flow ratio can effectively improve the macroscopic ripple efficiency of the injected system during the displacement process, improve the phenomenon of uneven water absorption profiles caused by the heterogeneity within and between layers, and thereby weaken the action phenomena of viscous finger advance and tongue advance. Meanwhile, at the same stage, the moisture content of the produced liquid decreases and the recovery degree increases, thereby achieving the effect of improving the recovery rate. In addition, the emulsion oil in the porous medium is the external phase and is more likely to come into contact and mix with the crude oil in the reservoir. During the flow of the emulsion, it can exert an efficient displacement on the crude oil in the formation, thereby improving the micro-oil washing efficiency.
3.3. In Situ Emulsification and EOR Mechanism
The indoor core water flooding oil displacement experiment aims to obtain water flooding efficiency by recording the volume of oil and water injected into and displaced from the core, as well as the changes in pressure. However, manual calculation of volume and reading of data may lead to human errors. Moreover, the displacement process is similar to a “black box”, making it impossible to know the timing of emulsification formation during the oil–water self-emulsification process and the seepage law of the fluid in the core. This section, based on the nuclear magnetic displacement system, proposes a new online non-destructive testing method and develops a nuclear magnetic detection approach for emulsified porous media.
3.3.1. Pure Fluid Component
The detection spectra of T1-T2 before the mixing of crude oil and formation water are shown in Figure 9. In the process of detecting the components of pure fluids based on two-dimensional nuclear magnetic resonance spectroscopy technology, water serves as the “probe” in the emulsified state. Water has a large self-diffusion coefficient, low viscosity, and is relatively active. Emulsification will increase the contact area between water and oil [38]. Due to the surface relaxation mechanism, the relaxation time of water will decrease. The smaller the relaxation time, the smaller the size of water droplets. The detection profiles of T1-T2 and D-T2 during the 50% water-inclusive emulsified oil displacement process are shown in Figure 10. Due to the restricted diffusion of the dispersed phase (aqueous phase) droplets, the apparent self-diffusion coefficient will decrease. The smaller the size of the aqueous phase droplets, the more severe the restriction and the greater the degree of reduction in the free state of the self-diffusion coefficient. Furthermore, the values of T1/T2 are inversely correlated with the size of the water droplet, the apparent self-diffusion coefficient is positively correlated with the size of the water droplet, and the apparent diffusion coefficient of the water droplet is positively correlated with the transverse relaxation time. The water in the continuous phase exhibits a long relaxation time, with a self-diffusion coefficient equivalent to the free state, and the value of T1/T2 is approximately 1.
Figure 9.
T1-T2 detection: (a) crude oil; (b) before the crude oil and formation water are stirred.
Figure 10.
Detection of 50% water-containing emulsified oil displacement T1–T2 and D-T2: (a) T1-T2; (b) D-T2.
3.3.2. EOR Mechanism
Figure 11 shows the two-dimensional spectrum of the T1–T2 joint distribution measured during the water flooding process. Water appears in the high-relaxation region where T1/T2 is greater than 5. The reason why the value of T1/T2 is relatively high is that in this 2000-3 core, the diffusion relaxation of water is relatively large. Since the apparent transverse relaxation time T1 is reduced by the influence of diffusion relaxation, while the longitudinal relaxation time T2 is not affected, therefore, the longitudinal relaxation time of water is significantly greater than the transverse relaxation time. The self-diffusion coefficient D of the oil is small, and its viscosity is relatively high. The interaction and collision frequency with the pore walls in the rock are lower than those of water. The surface relaxation and diffusion relaxation are smaller. The relaxation characteristics of the oil inside the core are consistent with those of the pure fluid (Figure 9a).
Figure 11.
Water flooding T1–T2 detection of simulated formation water: (a) 0.2 PV; (b) 0.6 PV.
The emulsion system flooding after the simulated formation of water flooding and the subsequent water flooding were compared, as shown in Figure 12 and Figure 13. The changes of T1–T2 are not as obvious as those during the water flooding process. The analysis suggests that it might be because the viscosity of the displacement fluid is too small and there is no axial pressure [39,40]. The water permeability of core 2000-3 is too large. In the later stage of oil displacement, water seepage is prone to occur, resulting in the rapid disappearance of oil–water relaxation components and the inability to capture them.
Figure 12.
In situ emulsified oil displacement T1-T2 detection: (a) 0.2 PV; (b) 0.6 PV.
Figure 13.
Re-water flooding T1–T2 test: (a) 0.3 PV; (b) 1.0 PV.
The two-dimensional spectrum analysis results of T1–T2 during the subsequent water flooding process are shown in Figure 13. The part marked in “yellow” on the left is due to the contact between water and the pore wall of the rock, which enhances the wettability, reduces T2, and increases T1/T2 [41]. The part enclosed in black on the right shows a tailing phenomenon, which is due to the emulsification of water and crude oil, forming an oil-in-water W/O emulsion. Water acts as the dispersed phase and is isolated, resulting in a decrease in T2 and an increase in T1/T2.
The positions of fluids with different properties on the T1–T2 spectra are different. With T1 = T2 as the dividing line, the two-dimensional spectra are divided into the upper left half and the lower right half. The research found that all fluid components were located in the upper left half of the region. The clay-bound water, capillary-bound water in inorganic pores, and movable water in inorganic pores were all closer to the T1/T2 dividing line. The value of T1/T2 of the movable oil near the upper right area is greater than 1. The organic pore oil is to the left relative to the inorganic pore oil and is comparable to the T2 position of the bound water, but its T1 position is higher relative to the peak of the bound water. By comparing the two-dimensional nuclear magnetic resonance images of T1–T2 after water flooding (Figure 11), the part with a smaller short relaxation T1/T2 is water. Since oil is heavier than water, the short relaxation part T1/T2 of oil is very large. The “yellow box” area after water flooding can be understood as clay-bound water.
The T2 spectra of the simulated formation water and in situ emulsified oil displacement process are shown in Figure 14. During a water flooding process, the short relaxation spectrum (oil spectrum) decreases as the number of injected PV increases, indicating that the oil is gradually displaced and the oil content in the core decreases. In the long relaxation part (water spectrum), as the number of injected PVS increases, the signal quantity increases, and the relaxation time prolongs. During the emulsification flooding process, in the short relaxation part, as the number of injected PVS increases, the signal quantity increases, and the relaxation time decreases. The main possible reasons are emulsification occurs between the system and the crude oil at the pore wall, eroding the remaining oil after water flooding on the pore wall (the signal per unit volume of water > the signal per unit volume of oil) [42,43]. The strength of water and the hole wall increases after one year, while T2 decreases. During the experiment, the exhibited results were that the hydrophilicity of the rock increased. In the beginning, the water at the outlet end was relatively clear, the system was adsorbed, and T2 decreased. During the subsequent water flooding process, the T2 pattern changed little.
Figure 14.
T2 pattern during oil displacement process: (a) water displacement; (b) emulsification and oil displacement.
4. Conclusions
(1) The emulsions formed from crude oil and formation water under varying shear (rheometer rotational speeds of 500–2500 r/min), water cuts (30–80%), and emulsification temperatures (40–85 °C) are all water-in-oil (W/O) types. The viscosity of the emulsion exhibits a positive correlation with shear rate, with droplet sizes primarily distributed between 2 and 7 μm, and its viscosity enhancement factor reaches up to 25.8.
(2) As the water cut and emulsification temperature increases, the stability of the emulsion deteriorates. With prolonged shearing time, the viscosity of the emulsion initially increases until it stabilizes, while the water separation rate gradually decreases, which favors emulsion stability.
(3) In low-permeability cores, spontaneous oil–water emulsification occurs, resulting in a recovery factor of only 30%. In medium- and high-permeability cores (with water cuts of 80% and 50%, respectively), the recovery factor increases by 9.7% and 12%, respectively. The in situ generation of micron-scale emulsions within the pores of porous media achieves a recovery factor of approximately 50%.
(4) Two-dimensional T1–T2 NMR spectroscopy analysis of pure fluid components reveals that water acts as a “probe.” Emulsification increases the oil–water contact area, shortening the relaxation time of water. The T1/T2 ratio shows a negative correlation with water droplet size, while the continuous water phase exhibits long relaxation times.
(5) In in situ emulsification flooding, the system emulsifies with crude oil at the pore walls, enhancing the interaction intensity between water and the pore walls, thereby stripping the adhered oil. This leads to an increase in T2 signal amplitude and a reduction in relaxation time. The interaction and collision frequency between crude oil and rock pore walls are lower than those of water, causing water to appear in the high-relaxation region where T1/T2 > 5. The two-dimensional spectrum clearly distinguishes the locations of oil and water.
In this work, artificial cores were used for the two-dimensional NMR spectroscopy analysis, which differ from natural cores. Therefore, subsequent research should transition progressively from quartz sand and Berea cores to natural cores to investigate the interfacial characteristics of oil–water phases and water–pore contact behavior in the studied cores.
Author Contributions
Conceptualization, L.W.; methodology, J.L.; software, J.L.; validation, X.S. and Y.Y.; formal analysis, Y.Z. and Q.G.; investigation, L.W. and J.L.; resources, J.L. and B.S.; data curation, M.S. and B.S.; writing—original draft preparation, J.L.; writing—review and editing, L.W. All authors have read and agreed to the published version of the manuscript.
Funding
This research was funded by Lanzhou City University Doctoral Research Fund Project (LZCU-BS2025-10, LZCU-BS2023-13), 2023 Youth Fund of Lanzhou City University (LZCU-QN2023-10), Gansu Province college teachers Innovation fund (2024B-142) and Natural Science Foundation of Gansu Province (25JRRA900).
Data Availability Statement
The original contributions presented in this study are included in the article. Further inquiries can be directed to the corresponding author.
Acknowledgments
The authors would like to express their sincere gratitude to Yanchang Oilfield Co., Ltd., PetroChina Qinghai Oilfield Company and Southwest Petroleum University for materials support and for providing access to laboratory facilities that were essential for the successful completion of this study. Additionally, heartfelt thanks are extended to the Lanzhou City University and China University of Petroleum (East China) for the invaluable educational foundation and academic support that has significantly contributed to the development of this work. The authors also express their sincere appreciation to the anonymous reviewers for their valuable and constructive comments.
Conflicts of Interest
Author Jiaxin Li was employed by the company Yanchang Oilfield Co., Ltd. Author Baiqiang Shi was employed by the PetroChina Qinghai Oilfield Company. The remaining authors declare that the research was conducted in the absence of any commercial or financial relationships that could be construed as a potential conflict of interest.
References
- Peralta, A.F.; Botechia, V.E.; Santos, A.A.; Schiozer, D.J. Model-based production strategy optimization for a heavy oil reservoir considering waterflooding and intelligent wells. Geoenergy Sci. Eng. 2025, 246, 213457. [Google Scholar] [CrossRef]
- He, A.Q.; Li, J.J.; Jiang, M.C.; Fang, Y.J.; Wang, Z.Q.; Yang, H.T.; Mou, X.Y.; Jiang, H.Q. Study of cyclic waterflooding for improving oil recovery in Lukeqin heavy oil reservoir. Geoenergy Sci. Eng. 2023, 223, 211467. [Google Scholar] [CrossRef]
- Shen, F.; Cheng, L.S.; Sun, Q.; Huang, S.J. Evaluation of the vertical producing degree of commingled production via waterflooding for multilayer offshore heavy oil reservoirs. Energies 2018, 11, 2428. [Google Scholar] [CrossRef]
- Li, Y.B.; Jia, H.F.; Pu, W.F.; Wei, B.; Wang, S.S.; Yuan, N. Investigation of feasibility of alkali-cosolvent flooding in heavy oil reservoirs. Petrol. Sci. 2023, 20, 1608–1619. [Google Scholar] [CrossRef]
- Afolabi, F.; Mahmood, S.M.; Sharifigaliuk, H.; Kamarozaman, M.I.H.B.K.; Mansor, F.N.N.B.M. Investigations on the enhanced oil recovery capacity of novel bio-based polymeric surfactants. J. Mol. Liq. 2022, 368, 120813. [Google Scholar] [CrossRef]
- Liu, F.; Li, Y.F.; Li, X.Q.; Wang, X.W. Study on the properties changes of reversible invert emulsion during the process from O/W to W/O with Alkali. Molecules 2024, 29, 62. [Google Scholar] [CrossRef] [PubMed]
- Lü, T.; Wu, Y.; Qi, D.M.; Sun, Y.Y.; Zhang, D.; Zhao, H.T. Fabrication of alkyl/amino siloxane-modified magnetic nanoparticles for simultaneous demulsification of O/W and W/O emulsions. Colloids Surf. A 2022, 648, 129295. [Google Scholar] [CrossRef]
- Kong, W.T.; Pan, Y.L.; Bhushan, B.; Zhao, X.Z. Superhydrophilic Al2O3 particle layer for efficient separation of oil-in-water (O/W) and water-in-oil (W/O) emulsions. Langmuir 2020, 36, 13285–13291. [Google Scholar] [CrossRef] [PubMed]
- Sekhar, K.P.C.; Nayak, R.R. Nonionic glycolipids for chromium flotation-and emulsion (W/O and O/W)-Based bioactive release. Langmuir 2018, 34, 14347–14357. [Google Scholar] [CrossRef] [PubMed]
- Shi, S.Q.; Wang, Y.Q.; Liu, Y.H.; Wang, L. A new method for calculating the viscosity of W/O and O/W emulsion. J. Pet. Sci. Eng. 2018, 171, 928–937. [Google Scholar] [CrossRef]
- Niu, Z.; Manica, R.; Li, Z.L.; He, X.; Sjoblom, J.; Xu, Z.H. Interfacial properties pertinent to W/O and O/W emulsion systems prepared using polyaromatic compounds. Colloids Surf. A 2019, 575, 283–291. [Google Scholar] [CrossRef]
- Hu, M.Z.; Bischoff, B.L.; Morales-Rodriguez, M.E.; Gray, K.A.; Davison, B.H. Superhydrophobic or hydrophilic porous metallic/ceramic tubular membranes for continuous separations of biodiesel-water W/O and O/W emulsions. Ind. Eng. Chem. Res. 2019, 58, 1114–1122. [Google Scholar] [CrossRef]
- Sharma, E.; Rawate, H.; Thaokar, R.M.; Juvekar, V.A. Interfacial rheology as a tool to characterize the dynamics of spontaneous emulsification. Langmuir 2025, 41, 2205–2213. [Google Scholar] [CrossRef] [PubMed]
- Zabar, M.K.; Phan, C.M.; Barifcani, A. Quantifying the spontaneous emulsification of a heavy hydrocarbon with the presence of a strong surfactant. Colloids Surf. A 2023, 656, ARTN 130425. [Google Scholar] [CrossRef]
- Petroni, M.H.O.; Corona, R.R.B.; Sad, C.M.S.; Ramos, R.; Castro, J.M.; Franco, L.G.; da Silva, M.; Elias, M.Z.; Castro, E.V.R. Role of asphaltenes and resins at the interface of petroleum emulsions (W/O): A literature review. Geoenergy Sci. Eng. 2024, 239, 212932. [Google Scholar] [CrossRef]
- Kazimov, S.P.; Ahmed, F.F. Displacement of emulsified oil from formation with a composite system. Pet. Sci. Technol. 2016, 34, 1663–1667. [Google Scholar] [CrossRef]
- Peng, Y.; Zhang, X.Y.; Cheng, L.; Zhang, H.; Tang, J.; Chen, H.; Fan, Q.; Ouyang, X. Effect of asphaltenes on the stability of water in crude oil emulsions. Materials 2025, 18, 630. [Google Scholar] [CrossRef] [PubMed]
- Lu, R.L.; Lai, L.; Zhang, H. Stabilization mechanism of emulsion gels of crude oil with low asphaltene, resin, and wax contents. J. Mol. Liq. 2025, 417, 126496. [Google Scholar] [CrossRef]
- Shakouri, S.; Mohammadzadeh-Shirazi, M. Machine learning approaches for assessing stability in acid-crude oil emulsions: Application to mitigate formation damage. Petrol. Sci. 2025, 22, 894–908. [Google Scholar] [CrossRef]
- Song, F.Y.; Zheng, H.L.; Li, T.Y.; Fu, X.W.; Feng, C.; Ma, C.K.; Jiang, S.T.; Wang, J.N.; Huang, Y.J.; Zhou, F.Y. The influence of asphaltene and resin on the stability of crude oil emulsion and its demulsification mechanism. J. Mol. Liq. 2024, 413, 125924. [Google Scholar] [CrossRef]
- Zhang, J.; Wang, X.J.; Liang, Q.; Duan, M.; Fang, S.W.; Zhang, C.S.; Chen, J.Q. Demulsification law of polyether demulsifier for W/O crude oil emulsion containing hydrophobically modified polyacrylamide in water. J. Mol. Liq. 2024, 394, 123805. [Google Scholar] [CrossRef]
- Chang, J.J.; Song, Z.J.; Ji, B.Y.; Lun, Z.M.; Tang, Y.Q.; Qi, Y.B. Study on emulsification of heavy oil in porous media. Energy Fuels 2025, 39, 4728–4745. [Google Scholar] [CrossRef]
- Ning, J.; Wei, B.; Mao, R.X.; Wang, Y.Y.; Shang, J.; Sun, L. Pore-level observations of an alkali-induced mild O/W emulsion flooding for economic enhanced oil recovery. Energy Fuels 2018, 32, 10595–10604. [Google Scholar] [CrossRef]
- He, M.M.; Pu, W.F.; Yang, X.R. Experimental study on the effect of high water cut on the emulsifying properties of crude oil. Colloids Surf. A 2023, 674, 131917. [Google Scholar] [CrossRef]
- Liu, J.B.; Zhong, L.G.; Lyu, C.H.; Liu, Y.G.; Zhang, S.J. W/O emulsions generated by heavy oil in porous medium and its effect on re-emulsification. Fuel 2022, 310, 122344. [Google Scholar] [CrossRef]
- Sun, Z.Q.; Pu, W.F.; Zhao, R.B.; Pang, S.S. Study on the mechanism of W/O emulsion flooding to enhance oil recovery for heavy oil reservoir. J. Pet. Sci. Eng. 2022, 209, 109899. [Google Scholar] [CrossRef]
- Pu, W.F.; He, Y.; Wu, T.; He, W.; Chen, Q.Y.; Yang, F.; Jiang, H.J.; Hou, S.K. Emulsification and interfacial characteristics of different surfactants enhances heavy oil recovery: Experimental evaluation and molecular dynamics simulation study. J. Disper. Sci. Technol. 2024, 1–13. [Google Scholar] [CrossRef]
- Amirmoshiri, M.; Zeng, Y.; Chen, Z.; Singer, P.M.; Puerto, M.C.; Grier, H.; Kamarul Bahrim, R.Z.; Vincent-Bonnieu, S.; Farajzadeh, R.; Biswal, S.L.; et al. Probing the effect of oil type and saturation on foam flow in porous media: Core-Flooding and nuclear magnetic resonance (NMR) imaging. Energy Fuels 2018, 32, 11177–11189. [Google Scholar] [CrossRef]
- Chen, X.; Li, Y.Q.; Liu, Z.Y.; Trivedi, J.; Gao, W.B.; Sui, M.Y. Experimental investigation on the enhanced oil recovery efficiency of polymeric surfactant: Matching relationship with core and emulsification ability. Petrol. Sci. 2023, 20, 619–635. [Google Scholar] [CrossRef]
- Sagala, F.; Kantzas, A.; Hethnawi, A.; Maaref, S.; Nassar, N.N. Formulation of spontaneous in situ emulsification using sodium lauryl sulfate grafted nanopyroxene for enhanced heavy oil recovery in sandstone reservoirs. Energy Fuels 2023, 37, 12838–12853. [Google Scholar] [CrossRef]
- Du, D.J.; Li, J.T.; Pu, W.F.; He, W.; Lu, J.Y.; Xu, L.; Li, B.W.; Zeng, Q.X. Experimental study on EOR potential of in-situ water in oil emulsion in the low-temperature conglomerate reservoirs. Geoenergy Sci. Eng. 2024, 241, 213097. [Google Scholar] [CrossRef]
- Wang, T.F.; Wang, L.L.; Wang, J.X.; Qin, H.L.; Yuan, C.D. In-situ emulsification synergistic self-profile control system on heavy oil reservoir development: Prescription construction and EOR mechanism investigation. J. Pet. Sci. Eng. 2022, 219, 111069. [Google Scholar] [CrossRef]
- Gou, R.; Pu, W.F.; Liu, R.; Chen, Y.Q.; Zhang, T.; Lin, X.S. A novel hybrid hyperbranched nanowire CNTs for enhancing oil recovery through increasing viscoelasticity and high-viscous emulsions to compensate reservoir heterogeneity. Colloids Surf. A 2022, 654, 130118. [Google Scholar] [CrossRef]
- Zhu, D.Y.; Zhao, Y.H.; Zhang, H.J.; Zhao, Q.; Shi, C.Y.; Qin, J.H.; Su, Z.H.; Wang, G.Q.; Liu, Y.; Hou, J.R. Combined imbibition system with black nanosheet and low-salinity water for improving oil recovery in tight sandstone reservoirs. Petrol. Sci. 2023, 20, 1562–1571. [Google Scholar] [CrossRef]
- Yousufi, M.M.; Dzulkarnain, I.B.; Elhaj, M.E.M.; Sufian, S.B.; Negash, B.M.; Hagar, H.S.; Ahmed, S. Evaluation of activated carbon as a Pickering emulsion Stabilizer for conformance control at high temperature and Salinity: A Focus on stability and rheology. J. Mol. Liq. 2025, 419, 126764. [Google Scholar] [CrossRef]
- Liu, J.H.; Li, Y.; Lun, Z.M. Factors, mechanisms, and kinetics of spontaneous emulsification for heavy oil-in-water emulsions. Molecules 2024, 29, 2998. [Google Scholar] [CrossRef] [PubMed]
- Hong, J.J.; Wang, Z.H.; Li, J.L.; Xu, Y.F.; Xin, H. Effect of interface structure and behavior on the fluid flow characteristics and phase interaction in the petroleum industry: State of the art review and outlook. Energy Fuels 2023, 37, 10245–10268. [Google Scholar] [CrossRef]
- Zhao, Z.Y.; Zhao, Y.A.; Gao, X.F.; Wen, J.; Li, L.Y.; Zhang, H. Intelligent control of emulsion stability and evaluation of selective water shutoff performance. Colloids Surf. A 2024, 683, 132961. [Google Scholar] [CrossRef]
- Cheng, Y.S.; Yuan, S.L. Emulsification of surfactant on oil droplets by molecular dynamics simulation. Molecules 2020, 25, 3008. [Google Scholar] [CrossRef] [PubMed]
- Zhao, X.Z.; Liao, G.Z.; Gong, L.Y.; Luan, H.X.; Chen, Q.S.; Liu, W.D.; Liu, D.; Feng, Y.J. New insights into the mechanism of surfactant enhanced oil recovery: Micellar solubilization and in-situ emulsification. Petrol. Sci. 2022, 19, 870–881. [Google Scholar] [CrossRef]
- Zhong, H.Y.; Shi, B.W.; Bi, Y.B.; Cao, X.T.; Zhang, H.; Yu, C.Z.; Tang, H.L. Interaction of elasticity and wettability on enhanced oil recovery in viscoelastic polymer flooding: A case study on oil droplet. Geoenergy Sci. Eng. 2025, 231, 213827. [Google Scholar] [CrossRef]
- Zhang, F.; Zhang, Q.; Zhou, Z.H. Study on the effect of different viscosity reducers on viscosity reduction and emulsification with Daqing crude oil. Molecules 2023, 28, 1399. [Google Scholar] [CrossRef] [PubMed]
- Liu, L.; Liu, Z.Y.; Gao, Y.D.; Liu, C.L.; Li, Y.Y.; Tang, X.C.; Chen, X.; Li, Y.Q. Review and perspective on the mechanisms and application of in situ emulsification for enhanced oil recovery. Energy Fuels 2024, 38, 29–42. [Google Scholar] [CrossRef]
Disclaimer/Publisher’s Note: The statements, opinions and data contained in all publications are solely those of the individual author(s) and contributor(s) and not of MDPI and/or the editor(s). MDPI and/or the editor(s) disclaim responsibility for any injury to people or property resulting from any ideas, methods, instructions or products referred to in the content. |
© 2025 by the authors. Licensee MDPI, Basel, Switzerland. This article is an open access article distributed under the terms and conditions of the Creative Commons Attribution (CC BY) license (https://creativecommons.org/licenses/by/4.0/).













