Smart Grid Systems: Addressing Privacy Threats, Security Vulnerabilities, and Demand–Supply Balance (A Review)
Abstract
1. Introduction
2. Data Privacy Threats in Smart Grids
2.1. Overview of Smart Grid Systems
- Customer Premises Area Network (HAN/BAN): Data on electricity usage by individual devices is sent to SMs via the Home Area Network (HAN) and Building Area Network (BAN). The communication protocols used by these networks are low-power, such as ZigBee, Wi-Fi, and blacktooth [35,36]. The primary concerns in this layer are privacy and security because personal data regarding consumer actions is collected and distributed.
- Wide Area Network (WAN): The WAN links all regional networks and the CCs. It is responsible for long-distance data transfer, often spanning tens of kilometers. For this purpose, optical communication and cellular networks are widely applied because they facilitate fast data transfer. The WAN is vital for providing a reliable control linkage to the distributed smart grid and its control systems [37].
2.2. Key Components of the Smart Grid
2.3. Vulnerabilities and Entry Points for Data Leaks in the Smart Grid Network
- In 2023, Hydro-Québec, a major grid operator in Canada, experienced a cyberattack that disrupted its outage verification app and website. This incident underscores the increasing cyber threats faced by energy utilities and the need for robust cybersecurity measures to protect critical infrastructure [52,53].
- In 2024, Spain’s National Cybersecurity Institute (Incibe) investigated a massive blackout that disrupted essential services. The focus was on smaller electricity generators, which may have lacked robust cyber defenses, making them potential vulnerabilities in the national power grid [54].
- In May 2023, a critical vulnerability in the MOVEit-managed file transfer software was exploited by the ransomware group CL0P, leading to unauthorized access to sensitive databases. The breach affected over 2,700 organizations across various sectors, including energy, highlighting the systemic risks inherent in the interconnected nature of digital supply chains [54,55].
- From December 2023 through to early 2024, Iranian hacker groups engaged in successful cyberattacks on various sectors, including the energy sector. Such attacks interrupted services and exposed weaknesses in critical infrastructure, pointing to the necessity of more efficient cybersecurity practices to defend against state-sponsored cyber threats [56].
2.4. Security and Privacy Requirements in the Smart Grid Network
2.5. Privacy Preservation Techniques in Smart Grid Network
2.5.1. Cryptographic Techniques
2.5.2. Homomorphic Encryption (HE)
2.5.3. Zero-Knowledge Proofs (ZKPs)
2.5.4. Secure Multiparty Computation (SMPC)
2.5.5. Anonymization and Aggregation
- Differential Privacy: The process of anonymization, particularly through differential privacy (DP), has gained significant attention in the smart grid sector for protecting individual data. Differential privacy guarantees that no individual’s data or the data collected on themsignificantly affects the response of a query [100]. Researchers Hu et al. [101] proposed a privacy-preserving data aggregation and management approach for smart grid architecture, highlighting the feasibility of using differential privacy in data aggregation in smart meters. As another example, Rai et al. [102] used differential privacy to provide privacy guarantees to energy consumption data and showed that, under this scheme, individual consumer privacy could be achieved without compromising the utility of the aggregate consumption statistics for optimizing a smart grid. Bourechak et al. [103] demonstrated that a smart grid model based on differential privacy could be constructed, in which noise is added to smart meter data in such a way that the privacy of individual consumers is guaranteed. Among the main benefits of DP is that it provides formal privacy guarantees and is, therefore, a powerful strategy to protect sensitive information in smart grids. The method ensures that no individual’s data can significantly influence query results, even if an adversary has access to auxiliary information [104]. However, a known trade-off of DP is that the addition of noise may slightly reduce the accuracy of aggregated results [105].Further research focuses on optimizing the amount of noise added to maintain a balance between privacy and data utility, ensuring that the SG can still function efficiently while maintaining strong privacy guarantees [106,107]. The following Table 4 provides a summary of a few works concerning the deployment of differential privacy in the smart grid.Table 4. Summary of differential privacy techniques in smart grids.
Refs. System Model Goal Security Parameters Performances Limitations [108] General privacy-preserving model Provide privacy guarantees while sharing data from smart meters in smart grids Privacy, data perturbation, noise addition Provable privacy guarantees under differential privacy Increased noise can affect data utility [109] SG with individual consumer data Protect individual user data while enabling utility companies to aggregate energy consumption Data privacy, utility preservation, statistical analysis High privacy preservation with minimal data alteration Performance degradation in the aggregation of data due to noise [107] SG with multiple consumers and data aggregation points Enable privacy-preserving data aggregation for demand-response management Privacy, data aggregation, differential privacy Ensures that data leaks do not occur, and efficient aggregation is maintained Limited effectiveness for highly detailed data [109] SG with large-scale data collection Apply differential privacy to protect energy usage data for large-scale grids Data perturbation, confidentiality, utility maximization Enhances privacy without large overhead for large datasets Requires balancing between privacy and data quality - k-Anonymity, another widely studied anonymization technique, has been proposed [110] and applied to ensure that energy consumption data cannot be linked to fewer than k-1 other users. Sweeney et al. [111] initially introduced this concept, and it has been applied in various domains, including SGs. In the context of SGs, k-Anonymity helps obscure individual energy usage to prevent privacy violations. However, recent studies, such as the one proposed in [112], indicate that k-Anonymity is vulnerable to attacks when auxiliary information is available, which makes it insufficient for protecting against linkability attacks. Moreover, Sakthivel et al. [113] proposed a k-Anonymity-based model for anonymizing smart meter data, where they ensure that the consumption patterns are generalized so that no individual data point can be traced back to a particular consumer.Additionally, the advantage of k-Anonymity is that it is relatively simple to implement and can provide a basic level of privacy by masking individual consumption details [114]. The proposed studies make it a useful tool for SGs where data must be aggregated and shared, but individual privacy must be preserved [115]. However, k-Anonymity can lead to a loss of granularity in the data, which might diminish its usefulness for detailed grid analysis [116]. Additionally, the technique is vulnerable to attacks that use auxiliary data or background knowledge, such as the homogeneity attack or the background knowledge attack, where attackers may still infer sensitive information [117]. A summary of a few other studies based on k-Anonymity is presented in Table 5.Table 5. Summary of k-Anonymity and data anonymization techniques.
Refs. System Model Goal Security Parameters Performances Limitations [118] Residential SM data Protect consumers’ privacy by ensuring that energy consumption patterns are indistinguishable from other
consumersk-Anonymity, data generalization,
suppressionAchieves a high level of privacy with minimal loss of data quality Data utility significantly decreases when increasing k [119] SG with aggregated consumption data Preserve privacy of consumers’ energy usage data while allowing aggregation for demand response Data anonymization, k-Anonymity, data perturbation Effective at protecting privacy without large computational overhead Performance degradation in data analysis when large k is required [120] SG with individual consumption data from residential users Protect sensitive data while maintaining usability for grid management tasks k-Anonymity, noise injection, clustering Effective for privacy protection in real-time smart grid applications Increased noise can reduce the accuracy of demand
forecasting - Data aggregation models have also been extensively researched as an alternative to individual data storage. Zhan et al. [121] discussed how aggregation at the community level can maintain grid performance while ensuring that individual data is protected. The proposed research in [122] highlights the advantage of aggregating energy usage data, as it reduces the risk of sensitive data leakage while optimizing grid control. Privacy protection through aggregation, however, has limitations because it increases data generalization, which can limit its value for individualized services such as adaptive pricing or demand-response programs [123].However, a balance must be maintained between data aggregation and the loss of detail, as privacy protection should not undermine effective grid management [124]. Furthermore, Xu et al. [125] proposed a data aggregation framework for SG systems utilizing Secure Multiparty Computation (SMPC) to aggregate data from multiple smart meters while preserving the privacy of individual consumption information. This approach ensures that only aggregated consumption data is shared with the grid operator, thereby preventing the disclosure of sensitive user information.Data aggregation in the smart grid is essential as it enables operators to analyze overall consumption and develop an understanding of future requirements and efficient strategies for resource allocation. However, there are some limitations in achieving both privacy and utility because excessive noise added during the aggregation process may reduce its usefulness for grid optimization [126]. Researchers are working on developing models that aggregate data in a way that maintains privacy while providing accurate and useful insights for grid management. Table 6 presents a summary of a few studies with their limitations.
2.5.6. Blockchain-Based Mechanism
2.5.7. Tokenization
2.5.8. Machine Learning Approaches
2.6. Trade-Offs Between Privacy Guarantees and Data Utility
- A privacy-level parameter (e.g., DP’s , key sizes or proof sizes for cryptographic techniques, attacker success rate/re-identification probability);
- Utility metrics tied to the application (e.g., RMSE/MAE for forecasting, billing error for billing tasks, detection F1/AUC for theft/anomaly detection);
- Operational costs (CPU cycles, latency, memory, communication bytes).
3. Pricing Mechanisms for Energy Trading in Smart Grid
| Type | Advantages | Disadvantages | Challenges | Refs. |
|---|---|---|---|---|
| Uniform Pricing | Simple, transparent, easy to implement. | Does not reflect grid constraints, inefficiencies in large markets. | May lead to price distortion, congestion handling issues. | [18,183,184,185,186] |
| Discriminatory Pricing | Aligns payment with bidder’s price, promotes competition. | Can lead to inefficiency and mark-ups, potential for strategic bidding. | Complexity in matching bids and price setting, potential for unfair market behavior. | [187,188,189,190,191] |
| Locational Marginal Pricing (LMP) | Reflects true cost of energy at different locations, efficient, encourages investment in grid capacity. | Computationally complex, exposes participants to locational price risk. | Requires accurate modeling of grid constraints, difficult for dynamic systems with high renewable penetration. | [192,193,194,195,196,197,198,199,200] |
| SDR-based Pricing | Simple to implement, encourages participation, promotes fairness. | Lack of grid constraint consideration, incentivization issues. | Requires accurate supply and demand data, challenges in fluctuating renewable energy markets. | [201,202,203,204,205,206,207] |
| Pricing Type | Advantages | Disadvantages | Challenges | Refs. |
|---|---|---|---|---|
| Pay-as-Bid/Vickrey Pricing | Predictable for sellers; transparency in price determination. | Can lead to market inefficiency; high risk for sellers if bids are too low. | Manipulation of bids; price uncertainty. | [208,209,210] |
| Bilateral Negotiation Mechanisms | Flexibility in terms; enables tailored agreements. | Lack of transparency; can lead to inefficiency if not well-negotiated. | Lack of market transparency; disagreement on terms. | [211,212,213,214,215] |
| Reserved Pricing | Provides a minimum price guarantee; protects sellers from low market prices. | Can prevent market clearing; prices may be set too high, reducing competition. | Determining an optimal reserve price; potential market inefficiency. | [216,217,218,219,220] |
| Forward and Futures Contracts | Price certainty for future transactions; mitigates price risk. | Not suitable for all markets; limited flexibility for customization. | Determining an appropriate contract price; market volatility risks. | [221] |
| Pricing Type | Objective Function (Mathematical Formulation) |
|---|---|
| Pay-as-Bid/Vickrey Pricing | Pay-as-Bid: Minimize total market cost, where each seller receives the price they bid.
|
| Bilateral Negotiation Mechanisms | Maximize the utility of the buyer and seller based on the negotiated price .
|
| Reserved Pricing | Maximize seller’s revenue subject to the reservation price being met.
|
| Forward and Futures Contracts | Maximize the expected profit from a future transaction based on the agreed price .
|
3.1. Uniform Pricing Mechanism
3.2. Discriminatory Pricing Mechanism
3.3. Locational Marginal Pricing Mechanism
3.4. SDR-Based Pricing Mechanism
3.5. Pay-as-Bid (PAB) and Vickrey Pricing
3.6. Reserved Pricing Mechanism
3.7. Forward and Futures Contracts
3.8. Game-Theoretic Techniques
- A Nash Stackelberg game model [288] was proposed to study strategic interactions between distributed energy resource (DER) aggregators and electricity retailers. This hierarchical model captures profit-maximizing behaviors of DER aggregators while accounting for retailers’ pricing strategies, providing insights into optimal bidding strategies in decentralized systems.
- A hybrid approach combining Mixed-Integer Linear Programming (MILP) with game theory [289] has been used to represent P2P energy market settlements.
- Game-theoretic bargaining solutions have been applied to determine prices for Tradable Green Certificates (TGCs) and other auctioned energy products [292].
- Learning-based approaches, such as the no-regret algorithm, have been integrated with Nash equilibrium to model supplier bidding strategies in forward electricity markets [293].
- Cooperative game theory analyzes coalition formation among prosumers in P2P networks and equitable profit distribution using concepts like the Shapley value or the core. For example, online coalitional games have been proposed to compute payoffs in real-time P2P markets [295], ensuring fairness and scalability.
- Distributed negotiation mechanisms facilitate stable bilateral contracts within coalitions, improving participation and user satisfaction [296].
- Hedonic games incorporate social preferences and community relationships, enabling coalition formation that maximizes total energy exchange [297].
3.9. Optimization Techniques
3.10. Numerical Method-Based Techniques
3.11. AI-Based Techniques
4. Demand–Supply Balance Program (DSBP)
4.1. Demand–Supply Balance Program Solving Models
4.1.1. Iterative Models
4.1.2. Game-Theoretic Models
4.1.3. Optimization Models
4.1.4. AI-Based Models
4.2. AI-Driven Approaches in Pricing and Balance: Economic and Environmental Perspectives
4.3. Energy Storage Systems (ESS)
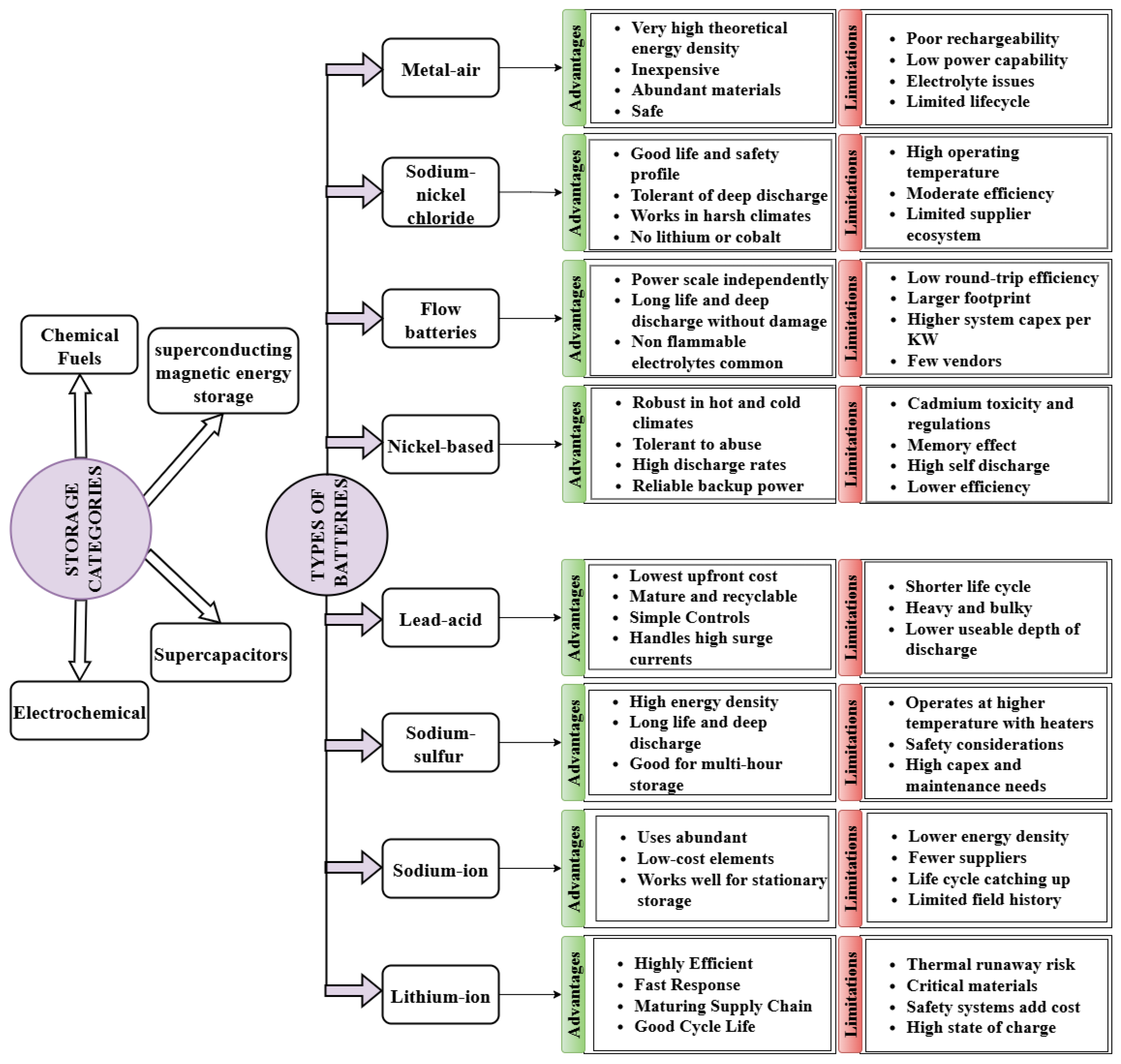
4.3.1. Lead–Acid Batteries

4.3.2. Nickel-Based Batteries
4.3.3. Sodium–Sulfur-Based Batteries
4.3.4. Sodium-Ion Batteries
4.3.5. Lithium-Ion Batteries
4.4. Cost–Performance Trade-Offs Across Battery Technologies in Smart Grid Scenarios
4.5. Role of AI/Privacy-Preserving Techniques in ESS
5. Case Studies
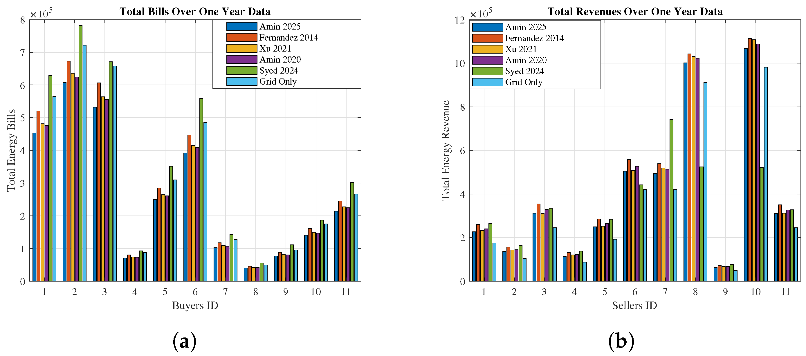
5.1. Case Study: Uniform Pricing Model
5.2. Case Study: Integrated Demand–Supply Balance, Pricing, and Privacy-Preserving Model
5.3. Cyberattack Detection in Smart Grid
- Data Acquisition: Time-series data from smart meters, including participant information such as energy demand, surplus energy, offered and proposed prices, is collected.
- Data Preprocessing: The raw input data passes through a preprocessing block to clean, normalize, and structure it for use in the Bi-LSTM model.
- Bi-LSTM Network: Captures both forward and backward temporal dependencies, enhancing recognition of subtle patterns associated with potential FDIA.
- Attention Mechanism: Dynamically assigns weights to critical time steps, focusing on significant events while filtering irrelevant information, thereby improving detection accuracy and interpretability.
6. Future Research Directions
6.1. Privacy-Preserving Future Research Directions
6.2. Future Research Direction: Pricing Models
6.3. Future Research Directions: DSBM
6.4. Future Research Directions: ESS
7. Conclusions
Author Contributions
Funding
Data Availability Statement
Conflicts of Interest
Abbreviations
| SG | Smart Grid |
| IoT | Internet of Things |
| AMI | Advanced Metering Infrastructure |
| MITM | Man-in-the-Middle |
| DoS | Denial-of-Service |
| CCs | Control Centers |
| SMs | Smart Meters |
| RESs | Renewable Energy Sources |
| DSBPs | Demand–Supply Balance Programs |
| ESSs | Energy Storage Systems |
| EVs | Electric Vehicles |
| ICT | Information and Communication Technology |
| HAN | Home Area Network |
| BAN | Building Area Network |
| WAN | Wide Area Network |
| DDoS | Distributed Denial of Service |
| HE | Homomorphic Encryption |
| ZKPs | Zero-Knowledge Proofs |
| SMPC | Secure Multiparty Computation |
| DP | Differential Privacy |
| zk-SNARKs | Zero-Knowledge Succinct Non-interactive ARguments of Knowledge |
| zk-STARKs | Zero-Knowledge Scalable Transparent ARguments of Knowledge |
References
- Amin, W.; Huang, Q.; Li, J.; Khan, A.A.; Subramaniam, U.; Selvam, S. A secure energy management model for Peer-to-Peer smart grids with user-centric constraints. Internet Things 2025, 33, 101678. [Google Scholar] [CrossRef]
- Dhaigude, R.; Chanda, R. Real-Time Data and Analytics on Building Management System to Control Energy Consumption. In Proceedings of the International Conference on Information and Communication Technology for Competitive Strategies, Jaipur, India, 15–17 December 2023; pp. 295–305. [Google Scholar]
- Dutta Pramanik, P.K.; Upadhyaya, B.K.; Kushwaha, A.; Bhowmik, D. Harnessing IoT: Transforming Smart Grid Advancements. In IoT for Smart Grid: Revolutionizing Electrical Engineering; Wiley Online Library: Hoboken, NJ, USA, 2025; pp. 127–174. [Google Scholar]
- Ahsan, F.; Dana, N.H.; Sarker, S.K.; Li, L.; Muyeen, S.M.; Ali, M.F.; Tasneem, Z.; Hasan, M.M.; Abhi, S.H.; Islam, M.R.; et al. Data-driven next-generation smart grid towards sustainable energy evolution: Techniques and technology review. Prot. Control Mod. Power Syst. 2023, 8, 43. [Google Scholar] [CrossRef]
- Althobaiti, A.; Jindal, A.; Marnerides, A.K.; Roedig, U. Energy theft in smart grids: A survey on data-driven attack strategies and detection methods. IEEE Access 2021, 9, 159291–159312. [Google Scholar] [CrossRef]
- Jain, H.; Kumar, M.; Joshi, A.M. Intelligent energy cyber physical systems (iECPS) for reliable smart grid against energy theft and false data injection. Electr. Eng. 2022, 104, 331–346. [Google Scholar] [CrossRef]
- Said, D. A survey on information communication technologies in modern demand-side management for smart grids: Challenges, solutions, and opportunities. IEEE Eng. Manag. Rev. 2022, 51, 76–107. [Google Scholar] [CrossRef]
- Amin, W.; Huang, Q.; Umer, K.; Zhang, Z.; Afzal, M.; Khan, A.A.; Ahmed, S.A. A motivational game-theoretic approach for peer-to-peer energy trading in islanded and grid-connected microgrid. Int. J. Electr. Power Energy Syst. 2020, 123, 106307. [Google Scholar] [CrossRef]
- Zhao, X.; Gao, W.; Qian, F.; Ge, J. Electricity cost comparison of dynamic pricing model based on load forecasting in home energy management system. Energy 2021, 229, 120538. [Google Scholar] [CrossRef]
- Alomari, M.A.; Al-Andoli, M.N.; Ghaleb, M.; Thabit, R.; Alkawsi, G.; Alsayaydeh, J.A.J.; Gaid, A.S.A. Security of smart grid: Cybersecurity issues, potential cyberattacks, major incidents, and future directions. Energies 2025, 18, 141. [Google Scholar] [CrossRef]
- Amanlou, S.; Hasan, M.K.; Mokhtar, U.A.; Malik, K.M.; Islam, S.; Khan, S.; Khan, M.A.; Khan, M.A. Cybersecurity challenges in smart grid systems: Current and emerging attacks, opportunities, and recommendations. IEEE Open J. Commun. Soc. 2025. [Google Scholar] [CrossRef]
- Guo, C.; Luo, F.; Cai, Z.; Dong, Z.Y. Integrated energy systems of data centers and smart grids: State-of-the-art and future opportunities. Appl. Energy 2021, 301, 117474. [Google Scholar] [CrossRef]
- Sevilla, F.R.S.; Liu, Y.; Barocio, E.; Korba, P.; Andrade, M.; Bellizio, F.; Bos, J.; Chaudhuri, B.; Chavez, H.; Cremer, J.; et al. State-of-the-art of data collection, analytics, and future needs of transmission utilities worldwide to account for the continuous growth of sensing data. Int. J. Electr. Power Energy Syst. 2022, 137, 107772. [Google Scholar] [CrossRef]
- Amuthan, N.; Sathya, M.; Rani, N.C. Empowering Consumers and Utilities for a Smarter Future: The Pivotal Role of Advanced Metering Infrastructure (AMI) in Smart Meter Technology. In Cloud Computing in Smart Energy Meter Management; Wiley Online Library: Hoboken, NJ, USA, 2025; pp. 31–65. [Google Scholar]
- Mubeen, M.; Arslan, M.; Anandhi, G. Strategies to Avoid Illegal Data Access. J. Commun. Eng. Syst. 2022, 12, 29–40. [Google Scholar]
- Shi, M.; Hoffmann, A.; Wagner, A.; Huyeng, T.; Thiele, C.-D.; Rüppel, U. Using blockchain technology to implement peer-to-peer network in construction industry. In Proceedings of the 18th International Conference on Computing in Civil and Building Engineering, Sao Paulo, Brazil, 18–20 August 2020; pp. 839–849. [Google Scholar]
- Liu, J.; Hu, H.; Yu, S.S.; Trinh, H. Electricity pricing and its role in modern smart energy system design: A review. Designs 2023, 7, 76. [Google Scholar] [CrossRef]
- Soh, C.; Markus, M.L.; Goh, K.H. Electronic marketplaces and price transparency: Strategy, information technology, and success. MIS Q. 2006, 30, 705–723. [Google Scholar] [CrossRef]
- González, F.; Arévalo, P.; Ramirez, L. Game Theory and Robust Predictive Control for Peer-to-Peer Energy Management: A Pathway to a Low-Carbon Economy. Sustainability 2025, 17, 1780. [Google Scholar] [CrossRef]
- Paul, S.; Padhy, N.P. A new iterative mixed integer linear programming based real time energy efficient management of AC–DC distribution networks. Int. J. Electr. Power Energy Syst. 2024, 157, 109793. [Google Scholar] [CrossRef]
- Zhao, Z.; Holland, N.; Nelson, J. Optimizing smart grid performance: A stochastic approach to renewable energy integration. Sustain. Cities Soc. 2024, 111, 105533. [Google Scholar] [CrossRef]
- Cheng, L.; Huang, P.; Zhang, M.; Yang, R.; Wang, Y. Optimizing electricity markets through game-theoretical methods: Strategic and policy implications for power purchasing and generation enterprises. Mathematics 2025, 13, 373. [Google Scholar] [CrossRef]
- Wang, X.; Wang, H.; Bhandari, B.; Cheng, L. AI-empowered methods for smart energy consumption: A review of load forecasting, anomaly detection and demand response. Int. J. Precis. Eng. Manuf.-Green Technol. 2024, 11, 963–993. [Google Scholar] [CrossRef]
- Antonopoulos, I.; Robu, V.; Couraud, B.; Kirli, D.; Norbu, S.; Kiprakis, A.; Flynn, D.; Elizondo-Gonzalez, S.; Wattam, S. Artificial intelligence and machine learning approaches to energy demand-side response: A systematic review. Renew. Sustain. Energy Rev. 2020, 130, 109899. [Google Scholar] [CrossRef]
- Luo, X.; Barreras, J.V.; Chambon, C.L.; Wu, B.; Batzelis, E. Hybridizing lead–acid batteries with supercapacitors: A methodology. Energies 2021, 14, 507. [Google Scholar] [CrossRef]
- Chandra Bhowmik, K.; Rahman, M.A.; Billah, M.M.; Paul, A. From lithium-ion to sodium-ion batteries for sustainable energy storage: A comprehensive review on recent research advancements and perspectives. Chem. Rec. 2024, 24, e202400176. [Google Scholar] [CrossRef]
- Miroshnyk, O.; Moroz, O.; Shchur, T.; Chepizhnyi, A.; Qawaqzeh, M.; Kocira, S. Investigation of smart grid operation modes with electrical energy storage system. Energies 2023, 16, 2638. [Google Scholar] [CrossRef]
- Dorau, F.A.; Sommer, A.; Koloch, J.; Röß-Ohlenroth, R.; Schreiber, M.; Neuner, M.; Gamra, K.A.; Lin, Y.; Schoeberl, J.; Bilfinger, P.; et al. Comprehensive analysis of commercial sodium-ion batteries: Structural and electrochemical insights. J. Electrochem. Soc. 2024, 171, 090521. [Google Scholar] [CrossRef]
- Luo, X.R.; Li, H.; Hu, Q.; Xu, H. Why individual employees commit malicious computer abuse: A routine activity theory perspective. J. Assoc. Inf. Syst. 2020, 21, 5. [Google Scholar] [CrossRef]
- Farkas, T.; Hronyecz, E. The Risks and Danger of Smart Devices Exposing Personal Information: Dark Side of Convenience. In Proceedings of the 2024 IEEE 22nd Jubilee International Symposium on Intelligent Systems and Informatics (SISY), Pula, Croatia, 19–21 September 2024; IEEE: New York, NY, USA, 2024; pp. 39–44. [Google Scholar]
- Nguyen, L.-H.; Nguyen, V.-L.; Hwang, R.-H.; Kuo, J.-J.; Chen, Y.-W.; Huang, C.-C.; Pan, P.-I. Towards secured smart grid 2.0: Exploring security threats, protection models, and challenges. IEEE Commun. Surv. Tutor. 2024, 27, 2581–2620. [Google Scholar] [CrossRef]
- Peter, J.S.P.; Babu, C.R.; Esther, B.P. Cybersecurity in ICT-Enabled Smart Metering Systems: Addressing Challenges and Implementing Solutions. In Cloud Computing in Smart Energy Meter Management; Wiley Online Library: Hoboken, NJ, USA, 2025; pp. 263–290. [Google Scholar]
- Vighneswari, B.D.; Kothai Andal, C. Smart Meter Security—Fraud Detection in Power Theft. In Cloud Computing in Smart Energy Meter Management; Wiley Online Library: Hoboken, NJ, USA, 2025; pp. 239–262. [Google Scholar]
- Abir, S.M.A.A.; Anwar, A.; Choi, J.; Kayes, A.S. Iot-enabled smart energy grid: Applications and challenges. IEEE Access 2021, 9, 50961–50981. [Google Scholar] [CrossRef]
- Senthilkumar, S.P.; Subramani, B. Internet of Things in Low-Power Wide Area Network and Short Range Network: A Review. I-Manag. J. Comput. Sci. 2023, 10, 33. [Google Scholar]
- Lounis, K.; Zulkernine, M. Attacks and defenses in short-range wireless technologies for IoT. IEEE Access 2020, 8, 88892–88932. [Google Scholar] [CrossRef]
- Suhaimy, N.; Radzi, N.A.M.; Ahmad, W.S.H.M.W.; Azmi, K.H.M.; Hannan, M.A. Current and future communication solutions for smart grids: A review. IEEE Access 2022, 10, 43639–43668. [Google Scholar] [CrossRef]
- Raza, M.H.; Rind, Y.M.; Javed, I.; Zubair, M.; Mehmood, M.Q.; Massoud, Y. Smart meters for smart energy: A review of business intelligence applications. IEEE Access 2023, 11, 120001–120022. [Google Scholar] [CrossRef]
- Rasheed, M.B.; Javaid, N.; Awais, M.; Khan, Z.A.; Qasim, U.; Alrajeh, N.; Iqbal, Z.; Javaid, Q. Real time information based energy management using customer preferences and dynamic pricing in smart homes. Energies 2016, 9, 542. [Google Scholar] [CrossRef]
- Beno, M.M.; Sivakumar, N.; Saravanan, R. Demystifying Smart Meters: Powering the Next-Generation Grid. In Cloud Computing in Smart Energy Meter Management; Wiley Online Library: Hoboken, NJ, USA, 2025; pp. 67–97. [Google Scholar]
- Noorazar, H.; Srivastava, A.; Pannala, S.; Sadanandan, S.K. Data-driven operation of the resilient electric grid: A case of COVID-19. J. Eng. 2021, 2021, 665–684. [Google Scholar] [CrossRef]
- Lang, A.; Wang, Y.; Feng, C.; Stai, E.; Hug, G. Data aggregation point placement for smart meters in the smart grid. IEEE Trans. Smart Grid 2021, 13, 541–554. [Google Scholar] [CrossRef]
- Liu, H.; Du, Z.; Xue, T.; Jiang, T. Enhancing smart building performance with waste heat recovery: Supply-side management, demand reduction, and peak shaving via advanced control systems. Energy Build. 2025, 327, 115070. [Google Scholar] [CrossRef]
- Amin, W.; Xie, S.; Vasa, L.; Mentel, U. Role of land use, green energy, and water resources for food accessibility: Evidence from emerging economies in the lens of COP 28. Land Degrad. Dev. 2024, 35, 4607–4622. [Google Scholar] [CrossRef]
- Ajayi, O.O.; Alozie, C.E.; Abieba, O.A. Enhancing cybersecurity in energy infrastructure: Strategies for safeguarding critical systems in the digital age. Trends Renew. Energy 2025, 11, 201–212. [Google Scholar] [CrossRef]
- Sivasubramanian, S.S. Detection of Man in the Middle Attack on Fog Layer Using Intrusion Detection Systems. Ph.D. Thesis, National College of Ireland, Dublin, Ireland, 2023. [Google Scholar]
- Cui, L.; Qu, Y.; Gao, L.; Xie, G.; Yu, S. Detecting false data attacks using machine learning techniques in smart grid: A survey. J. Netw. Comput. Appl. 2020, 170, 102808. [Google Scholar] [CrossRef]
- Tripathi, N.; Hubballi, N. Application layer denial-of-service attacks and defense mechanisms: A survey. ACM Comput. Surv. 2021, 54, 1–33. [Google Scholar] [CrossRef]
- Salim, M.M.; Rathore, S.; Park, J.H. Distributed denial of service attacks and its defenses in IoT: A survey. J. Supercomput. 2020, 76, 5320–5363. [Google Scholar] [CrossRef]
- Bushigampala, B.K.; Inaganti, A.C. Threat Detection in Critical Infrastructure Using AI Models. Int. J. Acta Inform. 2023, 2, 196–208. [Google Scholar]
- Lee, I. Analysis of insider threats in the healthcare industry: A text mining approach. Information 2022, 13, 404. [Google Scholar] [CrossRef]
- Medcalfe, D. Critical Infrastructure in the Face of Global Cyber Threats; Université de Sherbrooke: Sherbrooke, QC, USA, 2024. [Google Scholar]
- Lackenbauer, P.W. Situating the Yukon in Canadian Arctic Defence and Security. 2024. Available online: https://www.naadsn.ca/wp-content/uploads/2024/07/2024apr-Lackenbauer-Yukon-defence-security.pdf (accessed on 1 September 2025).
- Gomila, D.; Carreras, B.A.; Reynolds-Barredo, J.-M.; Martínez-Barbeito, M.; Colet, P.; Gomis-Bellmunt, O. Reducing Blackout Risk by Segmenting European Power Grid with HVDC Lines. J. Mod. Power Syst. Clean Energy 2025. [Google Scholar] [CrossRef]
- Konstantinoudis, G.; Riou, J. Excess mortality attributable to the 2025 Iberian Peninsula blackout. medRxiv 2025. [Google Scholar] [CrossRef]
- Iftikhar, S. Cyberterrorism as a global threat: A review on repercussions and countermeasures. PeerJ Comput. Sci. 2024, 10, e1772. [Google Scholar] [CrossRef]
- Alromih, A. Developing an Efficient and Privacy-Preserving Energy Theft Detection System for Smart Grids. Ph.D. Thesis, University of Sheffield, Sheffield, UK, 2023. [Google Scholar]
- Liu, L.; Workman, M.; Hayes, S. Net Zero and the potential of consumer data-United Kingdom energy sector case study: The need for cross-sectoral best data practice principles. Energy Policy 2022, 163, 112803. [Google Scholar] [CrossRef]
- Singh, S.K.; Kumar, S.; Garg, S.; Arora, S.; Sharma, S.K.; Arya, V.; Chui, K.T. Blockchain-Based Data Security in Smart Cities: Ensuring Data Integrity and Trustworthiness. In Digital Forensics and Cyber Crime Investigation; CRC Press: Boca Raton, FL, USA, 2025; pp. 17–41. [Google Scholar]
- Shah, M.S.M.; Leau, Y.-B.; Anbar, M.; Bin-Salem, A.A. Security and integrity attacks in named data networking: A survey. IEEE Access 2023, 11, 7984–8004. [Google Scholar] [CrossRef]
- Zografopoulos, I.; Hatziargyriou, N.D.; Konstantinou, C. Distributed energy resources cybersecurity outlook: Vulnerabilities, attacks, impacts, and mitigations. IEEE Syst. J. 2023, 17, 6695–6709. [Google Scholar] [CrossRef]
- Herath, H.M.S.S.; Herath, H.M.K.K.M.B.; Madhusanka, B.G.D.A.; Guruge, L.G.P.K. Data protection challenges in the processing of sensitive data. In Data Protection: The Wake of AI and Machine Learning; Springer: Berlin/Heidelberg, Germany, 2024; pp. 155–179. [Google Scholar]
- Haque, A.B.; Bhushan, B.; Dhiman, G. Conceptualizing smart city applications: Requirements, architecture, security issues, and emerging trends. Expert Syst. 2022, 39, e12753. [Google Scholar] [CrossRef]
- Munjal, K.; Bhatia, R. A systematic review of homomorphic encryption and its contributions in healthcare industry. Complex Intell. Syst. 2023, 9, 3759–3786. [Google Scholar] [CrossRef] [PubMed]
- Bozduman, H.Ç.; Afacan, E. Simulation of a homomorphic encryption system. Appl. Math. Nonlinear Sci. 2020, 5, 479–484. [Google Scholar] [CrossRef]
- Xiao, Y.; Xu, J.; Lin, Z.; Xie, Y.; Liu, R.; Yan, L.; Feng, P. Privacy Protection Anomaly Detection in Smart Grids Based on Combined PHE and TFHE Homomorphic Encryption. Electronics 2025, 14, 2386. [Google Scholar] [CrossRef]
- Zhao, S. Smart Grids Data Aggregation Method on Paillier Homomorphic Encryption. Appl. Artif. Intell. 2024, 38, 2327901. [Google Scholar] [CrossRef]
- Sousa-Dias, D.; Amyot, D.; Rahimi-Kian, A.; Bashari, M.; Mylopoulos, J. Cyclic Homomorphic Encryption Aggregation (CHEA)—A Novel Approach to Data Aggregation in the Smart Grid. Energies 2024, 17, 878. [Google Scholar] [CrossRef]
- Westrich, B. Privacy-Preserving Analytics for Smart Meter (AMI) Data: A Hybrid Approach to Comply with CPUC Privacy Regulations. arXiv 2025, arXiv:2505.08237. [Google Scholar] [CrossRef]
- Parihar, V.; Malik, A.; Bhushan, B.; Bhattacharya, P.; Shankar, A. Innovative smart grid solutions for fostering data security and effective privacy preservation. In Data Analytics for Smart Grids Applications—A Key to Smart City Development; Springer: Berlin/Heidelberg, Germany, 2023; pp. 351–380. [Google Scholar]
- Syed, D.; Refaat, S.S.; Bouhali, O. Privacy preservation of data-driven models in smart grids using homomorphic encryption. Information 2020, 11, 357. [Google Scholar] [CrossRef]
- Bakar, A.A.; Yussof, S.; Ghapar, A.A.; Sameon, S.S.; Jørgensen, B.N. A review of privacy concerns in energy-efficient smart buildings: Risks, rights, and regulations. Energies 2024, 17, 977. [Google Scholar] [CrossRef]
- Mollakuqe, E.; Parduzi, A.; Rexhepi, S.; Dimitrova, V.; Jakupi, S.; Muharremi, R.; Hamiti, M.; Qarkaxhija, J. Applications of homomorphic encryption in secure computation. Open Res. Eur. 2024, 4, 158. [Google Scholar] [CrossRef]
- Singh, P.; Masud, M.; Hossain, M.S.; Kaur, A. Blockchain and homomorphic encryption-based privacy-preserving data aggregation model in smart grid. Comput. Electr. Eng. 2021, 93, 107209. [Google Scholar] [CrossRef]
- Samuel, A.J. Optimizing energy consumption through AI and cloud analytics: Addressing data privacy and security concerns. World J. Adv. Eng. Technol. Sci. 2024, 13, 789–806. [Google Scholar] [CrossRef]
- Ali, M.; Suchismita, M.; Ali, S.S.; Choi, B.J. Privacy-Preserving Machine Learning for IoT-Integrated Smart Grids: Recent Advances, Opportunities, and Challenges. Energies 2025, 18, 2515. [Google Scholar] [CrossRef]
- Cali, U.; Gourisetti, S.N.G.; Sebastian-Cardenas, D.J.; Catak, F.O.; Lee, A.; Zeger, L.M.; Ustun, T.S.; Dynge, M.F.; Rao, S.; Ramirez, J.E. Emerging technologies for privacy preservation in energy systems. In Proceedings of the European Interdisciplinary Cybersecurity Conference, Xanthi, Greece, 5–6 June 2024; pp. 163–170. [Google Scholar]
- Desai, S.; Sabar, N.; Alhadad, R.; Mahmood, A.; Chilamkurti, N. Mitigating Consumer Privacy Breach in Smart Grid Using Obfuscation-Based Generative Adversarial Network; La Trobe: Melbourne, Australia, 2022. [Google Scholar]
- Bamberger, K.A.; Canetti, R.; Goldwasser, S.; Wexler, R.; Zimmerman, E.J. Verification dilemmas in law and the promise of zero-knowledge proofs. Berkeley Tech. LJ 2022, 37, 1. [Google Scholar] [CrossRef]
- Bhattacharya, S.; Seth, D.; Panyam, S.; Gangrade, P. Enhancing Digital Privacy: The Application of Zero-Knowledge Proofs in Authentication Systems. Int. J. Comput. Trends Technol. 2024, 72, 34–41. [Google Scholar] [CrossRef]
- Liang, W.; Liu, Y.; Yang, C.; Xie, S.; Li, K.; Susilo, W. On identity, transaction, and smart contract privacy on permissioned and permissionless blockchain: A comprehensive survey. ACM Comput. Surv. 2024, 56, 1–35. [Google Scholar] [CrossRef]
- Ballesteros-Rodríguez, A.; Sánchez-Alonso, S.; Sicilia-Urbán, M.-Á. Enhancing Privacy and Integrity in Computing Services Provisioning Using Blockchain and zk-SNARKs. IEEE Access 2024, 12, 117970–117993. [Google Scholar] [CrossRef]
- Lodder, M. Token Based Authentication and Authorization with Zero-Knowledge Proofs for Enhancing Web API Security and Privacy. 2023. Available online: https://scholar.dsu.edu/cgi/viewcontent.cgi?article=1426&context=theses (accessed on 15 August 2025).
- Giaconi, G.; Gündüz, D.; Poor, H.V. 10 smart meter data privacy. In Advanced Data Analytics for Power Systems; Cambridge University Press: Cambridge, UK, 2021; p. 230. [Google Scholar]
- El-Hajj, M.; Oude Roelink, B.; Sarmah, D. Systematic review: Comparing zk-SNARK, zk-STARK, and bulletproof protocols for privacy-preserving authentication. Secur. Priv. 2024, 7, e401. [Google Scholar]
- Manzoor, A. Performance and Security Analysis of Distributed Ledger Technologies in IoT; Oulun Yliopisto: Oulu, Finland, 2024. [Google Scholar]
- Dehalwar, V.; Kolhe, M.L.; Deoli, S.; Jhariya, M.K. Blockchain-based trust management and authentication of devices in smart grid. Clean. Eng. Technol. 2022, 8, 100481. [Google Scholar] [CrossRef]
- Koukaras, P.; Afentoulis, K.D.; Gkaidatzis, P.A.; Mystakidis, A.; Ioannidis, D.; Vagropoulos, S.I.; Tjortjis, C. Integrating blockchain in smart grids for enhanced demand response: Challenges, strategies, and future directions. Energies 2024, 17, 1007. [Google Scholar] [CrossRef]
- Rahman, H. Securing Data Privacy in Blockchain Networks. In Blockchain Technology Applications in Knowledge Management; IGI Global Scientific Publishing: Palmdale, PA, USA, 2025; pp. 367–410. [Google Scholar]
- Chen, X.; Wang, F.; Huang, Z.; Chen, Y.-C. Smart grid aggregation billing scheme based on blockchain. J. Netw. Intell. 2022, 7, 878–893. [Google Scholar]
- Kumar, R.; Khan, A.A.; Kumar, J.; Golilarz, N.A.; Zhang, S.; Ting, Y.; Zheng, C.; Wang, W. Blockchain-federated-learning and deep learning models for covid-19 detection using ct imaging. IEEE Sens. J. 2021, 21, 16301–16314. [Google Scholar] [CrossRef] [PubMed]
- Li, W. Frontiers in Blockchain for Secure Information Sharing in Next Generation Transportation Systems. Ph.D. Thesis, University of Delaware, Newark, DE, USA, 2022. [Google Scholar]
- Rahaman, M.; Arya, V.; Orozco, S.M.; Pappachan, P. Secure multi-party computation (SMPC) protocols and privacy. In Innovations in Modern Cryptography; IGI Global: Palmdale, PA, USA, 2024; pp. 190–214. [Google Scholar]
- Zhou, I.; Tofigh, F.; Piccardi, M.; Abolhasan, M.; Franklin, D.; Lipman, J. Secure multi-party computation for machine learning: A survey. IEEE Access 2024, 12, 53881–53899. [Google Scholar] [CrossRef]
- Khan, S. Secure multi-party computation for privacy preservation in big data analytics. J. Big Data Priv. Manag. 2024, 2, 168–179. [Google Scholar]
- Fowlie, M.; Wolfram, C.; Baylis, P.; Spurlock, C.A.; Todd-Blick, A.; Cappers, P. Default effects and follow-on behaviour: Evidence from an electricity pricing program. Rev. Econ. Stud. 2021, 88, 2886–2934. [Google Scholar] [CrossRef]
- Fan, C.; Chen, M.; Wang, X.; Wang, J.; Huang, B. A review on data preprocessing techniques toward efficient and reliable knowledge discovery from building operational data. Front. Energy Res. 2021, 9, 652801. [Google Scholar] [CrossRef]
- Sasikumar, K.; Nagarajan, S. Comprehensive review and analysis of cryptography techniques in cloud computing. IEEE Access 2024, 12, 52325–52351. [Google Scholar] [CrossRef]
- Bjarghov, S.; Löschenbrand, M.; Saif, A.U.I.; Pedrero, R.A.; Pfeiffer, C.; Khadem, S.K.; Rabelhofer, M.; Revheim, F.; Farahmand, H. Developments and challenges in local electricity markets: A comprehensive review. IEEE Access 2021, 9, 58910–58943. [Google Scholar] [CrossRef]
- Zhao, Y.; Chen, J. A survey on differential privacy for unstructured data content. ACM Comput. Surv. 2022, 54, 1–28. [Google Scholar] [CrossRef]
- Hu, C.; Liu, Z.; Li, R.; Hu, P.; Xiang, T.; Han, M. Smart contract assisted privacy-preserving data aggregation and management scheme for smart grid. IEEE Trans. Dependable Secur. Comput. 2023, 21, 2145–2161. [Google Scholar] [CrossRef]
- Rai, H.M.; Shukla, K.K.; Tightiz, L.; Padmanaban, S. Enhancing data security and privacy in energy applications: Integrating IoT and blockchain technologies. Heliyon 2024, 10, e38917. [Google Scholar] [CrossRef] [PubMed]
- Gai, N.; Xue, K.; Zhu, B.; Yang, J.; Liu, J.; He, D. An efficient data aggregation scheme with local differential privacy in smart grid. Digit. Commun. Netw. 2022, 8, 333–342. [Google Scholar] [CrossRef]
- Cai, Z.; Xiong, Z.; Xu, H.; Wang, P.; Li, W.; Pan, Y. Generative adversarial networks: A survey toward private and secure applications. ACM Comput. Surv. 2021, 54, 1–38. [Google Scholar] [CrossRef]
- Chen, W.-N.; Song, D.; Ozgur, A.; Kairouz, P. Privacy amplification via compression: Achieving the optimal privacy-accuracy-communication trade-off in distributed mean estimation. Adv. Neural Inf. Process. Syst. 2023, 36, 69202–69227. [Google Scholar]
- Gough, M.B.; Santos, S.F.; AlSkaif, T.; Javadi, M.S.; Castro, R.; Catalão, J.P.S. Preserving privacy of smart meter data in a smart grid environment. IEEE Trans. Ind. Inform. 2021, 18, 707–718. [Google Scholar] [CrossRef]
- Razi, Q.; Piyush, R.; Chakrabarti, A.; Singh, A.; Hassija, V.; Chalapathi, G.S.S. Enhancing Data Privacy: A Comprehensive Survey of Privacy-Enabling Technologies. IEEE Access 2025, 13, 40354–40385. [Google Scholar] [CrossRef]
- Tran, H.-Y.; Hu, J.; Pota, H.R. Smart meter data obfuscation with a hybrid privacy-preserving data publishing scheme without a trusted third party. IEEE Internet Things J. 2022, 9, 16080–16095. [Google Scholar] [CrossRef]
- Kua, J.; Hossain, M.B.; Natgunanathan, I.; Xiang, Y. Privacy preservation in smart meters: Current status, challenges and future directions. Sensors 2023, 23, 3697. [Google Scholar] [CrossRef]
- Li, M.; Zhu, L.; Zhang, Z.; Lal, C.; Conti, M.; Alazab, M. User-defined privacy-preserving traffic monitoring against n-by-1 jamming attack. IEEE/ACM Trans. Netw. 2022, 30, 2060–2073. [Google Scholar] [CrossRef]
- Etezady, N.N. A survey of privacy metrics for smart homes. Cybersecur. Pedagog. Pract. J. 2023, 2, 26–37. [Google Scholar]
- Bhattacharjee, K. Interactive Visualization Workflows for Mitigating Analytical Uncertainty. Ph.D. Thesis, New Jersey Institute of Technology, Newark, NJ, USA, 2024. [Google Scholar]
- Sakthivel, S.; Vinotha, N. An intellectual optimization of k-anonymity model for efficient privacy preservation in cloud platform. J. Intell. Fuzzy Syst. 2023, 45, 1497–1512. [Google Scholar] [CrossRef]
- Li, S.; Schneider, M.J.; Yu, Y.; Gupta, S. Reidentification risk in panel data: Protecting for k-anonymity. Inf. Syst. Res. 2023, 34, 1066–1088. [Google Scholar] [CrossRef]
- Adewole, K.S.; Torra, V. DFTMicroagg: A dual-level anonymization algorithm for smart grid data. Int. J. Inf. Secur. 2022, 21, 1299–1321. [Google Scholar] [CrossRef]
- Avraam, D.; Wilson, R.; Butters, O.; Burton, T.; Nicolaides, C.; Jones, E.; Boyd, A.; Burton, P. Privacy preserving data visualizations. EPJ Data Sci. 2021, 10, 2. [Google Scholar] [CrossRef] [PubMed]
- Sun, L.; Dou, Y.; Yang, C.; Zhang, K.; Wang, J.; Yu, P.S.; He, L.; Li, B. Adversarial attack and defense on graph data: A survey. IEEE Trans. Knowl. Data Eng. 2022, 35, 7693–7711. [Google Scholar] [CrossRef]
- Arshad, R.; Asghar, M.R. Characterisation and quantification of user privacy: Key challenges, regulations, and future directions. IEEE Commun. Surv. Tut. 2024. [Google Scholar] [CrossRef]
- Ul Hassan, M. Efficient Privacy Preservation in Smart Grid. Ph.D. Thesis, Swinburne, Hawthorn, Australia, 2021. [Google Scholar]
- Kapoor, A.; Kumar, D. Federated learning for urban sensing systems: A comprehensive survey on attacks, defences, incentive mechanisms, and applications. IEEE Commun. Surv. Tut. 2024, 27, 1293–1325. [Google Scholar] [CrossRef]
- Zhan, Y.; Zhou, L.; Wang, B.; Duan, P.; Zhang, B. Efficient function queryable and privacy preserving data aggregation scheme in smart grid. IEEE Trans. Parallel Distrib. Syst. 2022, 33, 3430–3441. [Google Scholar] [CrossRef]
- Teng, F.; Chhachhi, S.; Ge, P.; Graham, J.; Gunduz, D. Balancing Privacy and Access to Smart Meter Data; Energy Futures Lab briefing paper; Imperial College: London, UK, 2022. [Google Scholar]
- Diraco, G.; Rescio, G.; Caroppo, A.; Manni, A.; Leone, A. Human action recognition in smart living services and applications: Context awareness, data availability, personalization, and privacy. Sensors 2023, 23, 6040. [Google Scholar] [CrossRef]
- Aga, D.T.; Chintanippu, R.; Mowri, R.A.; Siddula, M. Exploring secure and private data aggregation techniques for the internet of things: A comprehensive review. Discov. Internet Things 2024, 4, 28. [Google Scholar] [CrossRef]
- Xu, H.; Seng, K.P.; Ang, L.M.; Smith, J. Decentralized and distributed learning for AIoT: A comprehensive review, emerging challenges, and opportunities. IEEE Access 2024, 12, 101016–101052. [Google Scholar] [CrossRef]
- Tong, X.; Hamzei, M.; Jafari, N. Towards Secure and Efficient Data Aggregation in Blockchain-Driven IoT Environments: A Comprehensive and Systematic Study. Trans. Emerg. Telecommun. Technol. 2025, 36, e70061. [Google Scholar]
- Behrouz, P.; Khaksari, A.; Konstantinidis, O.; Pagourtzis, A.; Spyrakou, M. Privacy-preserving methods for smart meter data-a systematization of knowledge. In Proceedings of the CP904: Institute of Engineering and Technology Conference, Singapore, October 2024; pp. 64–71. Available online: https://digital-library.theiet.org/doi/10.1049/icp.2024.4638 (accessed on 1 September 2025).
- Le, M.; Huynh-The, T.; Do-Duy, T.; Vu, T.-H.; Hwang, W.-J.; Pham, Q.-V. Applications of distributed machine learning for the internet-of-things: A comprehensive survey. IEEE Commun. Surv. Tut. 2024, 27, 1053–1100. [Google Scholar] [CrossRef]
- Yan, R.; Zheng, Y.; Yu, N.; Liang, C. Multi-smart meter data encryption scheme based on distributed differential privacy. Big Data Min. Anal. 2023, 7, 131–141. [Google Scholar] [CrossRef]
- Hasan, M.K.; Alkhalifah, A.; Islam, S.; Babiker, N.B.; Habib, A.A.; Aman, A.H.M.; Hossain, M.A. Blockchain technology on smart grid, energy trading, and big data: Security issues, challenges, and recommendations. Wirel. Commun. Mob. Comput. 2022, 2022, 9065768. [Google Scholar] [CrossRef]
- Saeed, N.; Wen, F.; Afzal, M.Z. Decentralized peer-to-peer energy trading in microgrids: Leveraging blockchain technology and smart contracts. Energy Rep. 2024, 12, 1753–1764. [Google Scholar] [CrossRef]
- Nazir, I.; Mushtaq, N.; Ishfaq, H.; Amin, W.; Maaliw, R.R.; Shi, X.; Saleem, M.A. Blockchain Enabled Reserved Pricing and Privacy Preserving Model for Peer-to-Peer Energy Trading in Smart Grid. IEEE Trans. Consum. Electron. 2025, 1. [Google Scholar] [CrossRef]
- Alshahrani, H.; Islam, N.; Syed, D.; Sulaiman, A.; Al Reshan, M.S.; Rajab, K.; Shaikh, A.; Shuja-Uddin, J.; Soomro, A. Sustainability in blockchain: A systematic literature review on scalability and power consumption issues. Energies 2023, 16, 1510. [Google Scholar] [CrossRef]
- Alsheavi, A.N.; Hawbani, A.; Othman, W.; Wang, X.; Qaid, G.; Zhao, L.; Al-Dubai, A.; Zhi, L.; Ismail, A.S.; Jhaveri, R. Iot authentication protocols: Challenges, and comparative analysis. ACM Comput. Surv. 2025, 57, 1–43. [Google Scholar] [CrossRef]
- Honari, K.; Rouhani, S.; Falak, N.E.; Liu, Y.; Li, Y.; Liang, H.; Dick, S.; Miller, J. Smart contract design in distributed energy systems: A systematic review. Energies 2023, 16, 4797. [Google Scholar] [CrossRef]
- Fatima, S.; Arshad, M.J. A Comprehensive Review of Blockchain and Machine Learning Integration for Peer-to-Peer Energy Trading in Smart Grids. IEEE Access 2025, 13, 92756–92782. [Google Scholar] [CrossRef]
- Ishtaiwi, A.; Aldweesh, A.; al-Qerem, A.; Alkasassbeh, M. AI-Powered Smart Contracts for Energy Grid Optimization: A Hybrid Intelligence Approach. In Blockchain Applications for the Energy and Utilities Industry; IGI Global Scientific Publishing: Palmdale, PA, USA, 2025; pp. 235–264. [Google Scholar]
- Sigalov, K.; Ye, X.; König, M.; Hagedorn, P.; Blum, F.; Severin, B.; Hettmer, M.; Hückinghaus, P.; Wölkerling, J.; Groß, D. Automated payment and contract management in the construction industry by integrating building information modeling and blockchain-based smart contracts. Appl. Sci. 2021, 11, 7653. [Google Scholar] [CrossRef]
- Kalbantner, J. Security and Privacy Issues of Distributed, Complex P2P Smart Grid Marketplace Systems. Ph.D. Thesis, Royal Holloway University of London, London, UK, 2024. [Google Scholar]
- Zaidi, S.Y.A.; Shah, M.A.; Khattak, H.A.; Maple, C.; Rauf, H.T.; El-Sherbeeny, A.M.; El-Meligy, M.A. An attribute-based access control for IoT using blockchain and smart contracts. Sustainability 2021, 13, 10556. [Google Scholar] [CrossRef]
- AlMarshoud, M.; Sabir Kiraz, M.; Al-Bayatti, A.H. Security, privacy, and decentralized trust management in VANETs: A review of current research and future directions. ACM Comput. Surv. 2024, 56, 1–39. [Google Scholar]
- Rouhani, S.; Belchior, R.; Cruz, R.S.; Deters, R. Distributed attribute-based access control system using permissioned blockchain. World Wide Web 2021, 24, 1617–1644. [Google Scholar] [CrossRef]
- Saidi, H.; Labraoui, N.; Ari, A.A.A.; Maglaras, L.A.; Emati, J.H.M. DSMAC: Privacy-aware Decentralized Self-Management of data Access Control based on blockchain for health data. IEEE Access 2022, 10, 101011–101028. [Google Scholar] [CrossRef]
- Lankadasu, N.V.Y.; Pesarlanka, D.B.; Sharma, A.; Sharma, S. Security Aspects of Blockchain Technology. In Driving Transformative Technology Trends with Cloud Computing; IGI Global: Palmdale, PA, USA, 2024; pp. 259–277. [Google Scholar]
- Babu, S.B.; Jothi, K.R. A secure framework for privacy-preserving analytics in healthcare records using zero-knowledge proofs and blockchain in multi-tenant cloud environments. IEEE Access 2024, 13, 8439–8455. [Google Scholar] [CrossRef]
- Alladi, T.; Chamola, V.; Rodrigues, J.J.; Kozlov, S.A. Blockchain in smart grids: A review on different use cases. Sensors 2019, 19, 4862. [Google Scholar] [CrossRef]
- Uddin, S.S.; Joysoyal, R.; Sarker, S.K.; Muyeen, S.M.; Ali, M.F.; Hasan, M.M.; Abhi, S.H.; Islam, R.; Ahamed, H.; Islam, M.; et al. Next-generation blockchain enabled smart grid: Conceptual framework, key technologies and industry practices review. Energy AI 2023, 12, 100228. [Google Scholar] [CrossRef]
- Luo, H.; Yu, H.; Luo, J. PRAFT and RPBFT: A class of blockchain consensus algorithm and their applications in electric vehicles charging scenarios for V2G networks. Internet Things Cyber-Phys. Syst. 2023, 3, 61–70. [Google Scholar]
- Su, K.; Yu, Y.; Zhang, J. Blockchain-based smart grid power trading technology. J. Eng. Appl. Sci. 2024, 71, 220. [Google Scholar] [CrossRef]
- Chikezie, U.; Karacolak, T.; Do Prado, J.C. Examining the applicability of blockchain to the smart grid using proof-of-authority consensus. In Proceedings of the 2021 IEEE 9th International Conference on Smart Energy Grid Engineering (SEGE), Oshawa, ON, Canada, 11–13 August 2021; pp. 19–25. [Google Scholar]
- Khan, A.A.; Dhabi, S.; Yang, J.; Alhakami, W.; Bourouis, S.; Yee, L. B-LPoET: A middleware lightweight Proof-of-Elapsed Time (PoET) for efficient distributed transaction execution and security on Blockchain using multithreading technology. Comput. Electr. Eng. 2024, 118, 109343. [Google Scholar] [CrossRef]
- Jain, A.K.; Gupta, N.; Gupta, B.B. A survey on scalable consensus algorithms for blockchain technology. Cyber Secur. Appl. 2025, 3, 100065. [Google Scholar] [CrossRef]
- Zhang, X.; You, L.; Hu, G. An efficient and robust multidimensional data aggregation scheme for smart grid based on blockchain. IEEE Trans. Netw. Serv. Manag. 2022, 19, 3949–3959. [Google Scholar] [CrossRef]
- Akiladevi, R.; Sardha, S.; Shruthi, R. Tokenization of energy assets: A multichain blockchain approach. In Proceedings of the 5th International Conference on Mobile Computing and Sustainable Informatics (ICMCSI), Lalitpur, Nepal, 18–19 January 2024; pp. 702–709. [Google Scholar]
- Taherdoost, H. Blockchain integration and its impact on renewable energy. Computers 2024, 13, 107. [Google Scholar] [CrossRef]
- Hu, C.; Cheng, X.; Tian, Z.; Yu, J.; Lv, W. Achieving privacy preservation and billing via delayed information release. IEEE/ACM Trans. Netw. 2021, 29, 1376–1390. [Google Scholar] [CrossRef]
- Karaduman, Ö.; Gülhas, G. Blockchain-Enabled Supply Chain Management: A Review of Security, Traceability, and Data Integrity Amid the Evolving Systemic Demand. Appl. Sci. 2025, 15, 5168. [Google Scholar] [CrossRef]
- Khemaissia, R. Using Blockchain to Protect Personal Data. Ph.D. Thesis, Université Echahid Cheikh Larbi-Tebessi-Tébessa, Tébessa, Algeria, 2025. [Google Scholar]
- An, Q.; Jiang, F.; Dong, C.; Pal, S.; Li, J.; Neiat, A.G.; Yeoh, W. A blockchain-powered secure architecture for cyber marketplaces of electric vehicles. IEEE Trans. Ind. Appl. 2025, 61, 4198–4213. [Google Scholar] [CrossRef]
- Fekri, M.N.; Grolinger, K.; Mir, S. Distributed load forecasting using smart meter data: Federated learning with Recurrent Neural Networks. Int. J. Electr. Power Energy Syst. 2022, 137, 107669. [Google Scholar] [CrossRef]
- Su, Z.; Wang, Y.; Luan, T.H.; Zhang, N.; Li, F.; Chen, T.; Cao, H. Secure and efficient federated learning for smart grid with edge-cloud collaboration. IEEE Trans. Ind. Inform. 2021, 18, 1333–1344. [Google Scholar] [CrossRef]
- Alshehri, A.; Badr, M.M.; Baza, M.; Alshahrani, H. Deep anomaly detection framework utilizing federated learning for electricity theft zero-day cyberattacks. Sensors 2024, 24, 3236. [Google Scholar] [CrossRef]
- Santosh, S.H.L.; Ravi, R.M. A Enhancing Privacy in IoT Systems with Federated Learning: A Multi-Agent Solution for Smart City Networks. SGS-Eng. Sci. 2025, 1. Available online: https://spast.org/techrep/article/view/5282 (accessed on 15 August 2025).
- Qu, L.; Zhou, Y.; Liang, P.P.; Xia, Y.; Wang, F.; Adeli, E.; Fei-Fei, L.; Rubin, D. Rethinking architecture design for tackling data heterogeneity in federated learning. In Proceeding of the IEEE/CVF Conference on Computer Vision and Pattern Recognition, New Orleans, LA, USA, 18–24 June 2022; pp. 10061–10071. [Google Scholar]
- Khan, A.R. Federated learning for next generation intelligent applications. Ph.D. Thesis, University of Glasgow, Glasgow, UK, 2025. [Google Scholar]
- Zhang, C.; Li, S. State-of-the-art approaches to enhancing privacy preservation of machine learning datasets: A survey. arXiv 2024, arXiv:2404.16847. [Google Scholar]
- Mohammadi, M.; Mohammadi, A. Empowering distributed solutions in renewable energy systems and grid optimization. In Distributed Machine Learning and Computing: Theory and Applications; Springer: Berlin/Heidelberg, Germany, 2024; pp. 141–155. [Google Scholar]
- Adewole, K.S.; Torra, V. Privacy Protection of Synthetic Smart Grid Data Simulated via Generative Adversarial Networks. In Proceedings of the 20th International Conference on Security and Cryptography (SECRYPT), Rome, Italy, 10–12 July 2023; pp. 279–286. [Google Scholar]
- Takiddin, A.; Ismail, M.; Serpedin, E. Robust data-driven detection of electricity theft adversarial evasion attacks in smart grids. IEEE Trans. Smart Grid 2022, 14, 663–676. [Google Scholar] [CrossRef]
- Abdi, N.; Albaseer, A.; Abdallah, M. The role of deep learning in advancing proactive cybersecurity measures for smart grid networks: A survey. IEEE Internet Things J. 2024, 11, 16398–16421. [Google Scholar] [CrossRef]
- Pelekis, S.; Koutroubas, T.; Blika, A.; Berdelis, A.; Karakolis, E.; Ntanos, C.; Spiliotis, E.; Askounis, D. Adversarial machine learning: A review of methods, tools, and critical industry sectors. Artif. Intell. Rev. 2025, 58, 226. [Google Scholar] [CrossRef]
- Ramirez, J.E.; Sebastian, C.; David, J. A Computational Review of Privacy-Preserving Mechanisms for the Smart Grid; Pacific Northwest National Laboratory (PNNL): Richland, WA, USA, 2024. Available online: https://www.pnnl.gov/main/publications/external/technical_reports/PNNL-36774.pdf (accessed on 1 September 2025).
- Zhang, J. Efficient Zero-Knowledge Proofs: Theory and Practice. Ph.D. Thesis, UC Berkeley, Berkeley, CA, USA, 2023. Available online: https://www2.eecs.berkeley.edu/Pubs/TechRpts/2025/EECS-2025-20.pdf (accessed on 1 September 2025).
- Egunjobi, O.O.; Gomes, A.; Egwim, C.N.; Morais, H. A systematic review of blockchain for energy applications. E-Prime Electr. Eng. Electron. Energy 2024, 9, 100751. [Google Scholar] [CrossRef]
- Huang, Q.; Amin, W.; Umer, K.; Gooi, H.B.; Eddy, F.Y.S.; Afzal, M.; Shahzadi, M.; Khan, A.A.; Ahmad, S.A. A review of transactive energy systems: Concept and implementation. Energy Rep. 2021, 7, 7804–7824. [Google Scholar] [CrossRef]
- Asad, M.; Shaukat, S.; Hu, D.; Wang, Z.; Javanmardi, E.; Nakazato, J.; Tsukada, M. Limitations and future aspects of communication costs in federated learning: A survey. Sensors 2023, 23, 7358. [Google Scholar] [CrossRef]
- Zhang, J.; Shi, C. Efficient Secure Data Aggregation for Real-Time Smart Grid Monitoring: A Lightweight Privacy-Preserving Approach. IEEE Trans. Comput. Soc. Syst. 2025, 12, 1563–1573. [Google Scholar] [CrossRef]
- Yang, R.; Gao, H.; Si, F.; Wang, J. Advancing User Privacy in Virtual Power Plants: A Novel Zero-Knowledge Proof-Based Distributed Attribute Encryption Approach. Electronics 2024, 13, 1283. [Google Scholar] [CrossRef]
- Hu, H.; Hsu, C.; Cui, J.; Harn, L.; Hou, Q.; Li, L. Advancing User Privacy in Virtual Power Plants: Provably secure and lightweight authentication protocol using PUF and blockchain for smart grids. J. Supercomput. 2025, 8, 949. [Google Scholar] [CrossRef]
- Soto, E.A.; Bosman, L.B.; Wollega, E.; Leon-Salas, W.D. Peer-to-peer energy trading: A review of the literature. Appl. Energy 2021, 283, 116268. [Google Scholar] [CrossRef]
- Le, H.T.; Sanseverino, E.R.; Nguyen, D.-Q.; Di Silvestre, M.L.; Favuzza, S.; Pham, M.-H. Critical assessment of feed-in tariffs and solar photovoltaic development in Vietnam. Energies 2022, 15, 556. [Google Scholar] [CrossRef]
- Lin, Y.; Wang, J. Realizing the transactive energy future with local energy market: An overview. Curr. Sustain. Renew. Energy Rep. 2022, 9, 1–14. [Google Scholar] [CrossRef]
- Munoz, F.D.; Wogrin, S.; Oren, S.S.; Hobbs, B.F. Economic inefficiencies of cost-based electricity market designs. Energy J. 2018, 39, 51–68. [Google Scholar] [CrossRef]
- Wei, W.; Liu, F.; Mei, S. Energy pricing and dispatch for smart grid retailers under demand response and market price uncertainty. IEEE Trans. Smart Grid 2014, 6, 1364–1374. [Google Scholar] [CrossRef]
- Bouloumpasis, I.; Steen, D. Congestion management using local flexibility markets: Recent development and challenges. In Proceedings of the 2019 IEEE PES Innovative Smart Grid Technologies Europe (ISGT-Europe), Bucharest, Romania, 29 September–2 October 2019; pp. 1–5. [Google Scholar]
- Biegel, B.; Andersen, P.; Stoustrup, J.; Bendtsen, J. Congestion management in a smart grid via shadow prices. IFAC Proc. Vol. 2012, 45, 518–523. [Google Scholar] [CrossRef]
- Armstrong, M. Price discrimination. In The New Palgrave Dictionary of Economics; Macmillan: London, UK, 2008. [Google Scholar]
- Willems, B.; Yueting, Y. Bidding and Investment in Wholesale Electricity Markets: Discriminatory Versus Uniform-Price Auctions. TSE Working Paper 2023. Available online: https://www.tse-fr.eu/sites/default/files/TSE/documents/doc/wp/2023/wp_tse_1462.pdf (accessed on 15 August 2025).
- Jaskowski, P.; Biruk, S.; Czarnigowska, A. Strategy for mark-up definition in competitive tenders for construction work. In Proceedings of the IOP Conference Series Materials Science and Engineering, Bristol, UK, 19–22 August 2019; p. 112060. [Google Scholar]
- Beiranvand, N. The Role of Algorithmic Pricing in Modern Markets: Price Discrimination, Fairness, and Collusion. 2023. Available online: https://unitesi.unipv.it/bitstream/20.500.14239/27269/1/Collusion%20and%20Price%20Discrimination%20with%20Algorithmic%20Pricing%20Efficiency%20and%20Fairness%20Issue.pdf (accessed on 15 August 2025).
- Damiano, E.; Li, H. Price discrimination and efficient matching. Econ. Theory 2007, 30, 243–263. [Google Scholar] [CrossRef]
- Pollitt, M.G. Locational Marginal Prices (LMPs) for Electricity in Europe? The Untold Story. 2023. [Google Scholar]
- Li, F. Continuous locational marginal pricing (CLMP). IEEE Trans. Power Syst. 2007, 22, 1638–1646. [Google Scholar] [CrossRef]
- Tesfatsion, L. Locational marginal pricing: A fundamental reconsideration. IEEE Open Access J. Power Energy 2024, 11, 104–116. [Google Scholar] [CrossRef]
- Wang, Q.; Zhang, G.; McCalley, J.D.; Zheng, T.; Litvinov, E. Risk-based locational marginal pricing and congestion management. IEEE Trans. Power Syst. 2014, 29, 2518–2528. [Google Scholar] [CrossRef]
- Tan, Z.; Cheng, T.; Liu, Y.; Zhong, H. Extensions of the locational marginal price theory in evolving power systems: A review. IET Gener. Transm. Distrib. 2022, 16, 1277–1291. [Google Scholar] [CrossRef]
- Liyanapathirane, U.; Khorasany, M.; Razzaghi, R. Optimization of economic efficiency in distribution grids using distribution locational marginal pricing. IEEE Access 2021, 9, 60123–60135. [Google Scholar] [CrossRef]
- Chen, B. Real-Time Electricity Market Pricing Methods Incorporating Power System Frequency Dynamics. Ph.D. Thesis, University of British Columbia, Vancouver, BC, Canada, 2025. [Google Scholar]
- Tang, W.; Shi, L.; Xu, P.; Luo, H.; Li, L. Assessing the Influencing Factors of Locational Marginal Price in Day-Ahead Hydro-Thermal Power Spot Market. IEEE Access 2025, 13, 47055–47067. [Google Scholar] [CrossRef]
- Gill, S.; MacIver, C.; Bell, K. Exploring Market Change in the GB Electricity System: The Potential Impact of Locational Marginal Pricing. 2023. Available online: https://pureportal.strath.ac.uk/en/publications/exploring-market-change-in-the-gb-electricity-system-the-potentia-2 (accessed on 15 August 2025).
- Arora, M.; Vishwanath, G.M.; Sharma, A.; Chilamkurti, N. A novel congestion based pricing model for prosumer-centric smart grid systems. Electr. Power Syst. Res. 2025, 247, 111732. [Google Scholar] [CrossRef]
- Niu, T.; Li, H.; Chen, G.; Fang, S.; Liao, R. Pricing and Distributed Scheduling Framework of Multi-Microgrid System Based on Coupled Electricity-Carbon Market. J. Mod. Power Syst. Clean Energy 2024, 13, 1026–1039. [Google Scholar] [CrossRef]
- Syed, A.A.; Qi, H.; Waqas, A.; Muhammad, A.; Fazal, H.; Muhammad Husnain, H. A fair and effective approach to managing distributed energy resources through peer-to-peer energy trading with load prioritization among smart homes. Energy Rep. 2023, 10, 4402–4419. [Google Scholar]
- Alsolami, M.; Alferidi, A.; Lami, B.; Slama, S.B. Peer-to-peer trading in smart grid with demand response and grid outage using deep reinforcement learning. Ain Shams Eng. J. 2023, 14, 102466. [Google Scholar] [CrossRef]
- Park, S.; Lee, J.; Bae, S.; Hwang, G.; Choi, J.K. Contribution-based energy-trading mechanism in microgrids for future smart grid: A game theoretic approach. IEEE Trans. Ind. Electron. 2016, 63, 4255–4265. [Google Scholar] [CrossRef]
- Amin, W.; Ahmad, F.; Umer, K.; Khawaja, A.H.; Afzal, M.; Ahmad, S.A.; Chaitusaney, S. An effective pricing mechanism for electricity trading considering customer preference and reserved price in direct P2P electricity market under uncertainty in grid supply. IEEE Access 2022, 10, 96197–96211. [Google Scholar] [CrossRef]
- Umar, A.; Kumar, D.; Ghose, T. A decentralized energy management system inculcating supply–demand ratio (SDR) and miners’ stake through blockchain smart contract for community microgrid operation. IEEE J. Emerg. Sel. Top. Ind. Electron. 2023, 5, 369–380. [Google Scholar] [CrossRef]
- Oprea, S.-V.; Bâra, A. An adaptive pricing mechanism framework for post-auction in the local electricity markets integrating a higher share of renewables. Renew. Energy 2025, 256, 124056. [Google Scholar] [CrossRef]
- Caragiannis, I.; Jiang, Z.; Skoulakis, S. Rethinking Pricing in Energy Markets: Pay-as-Bid vs Pay-as-Clear. arXiv 2025, arXiv:2507.06035. [Google Scholar]
- Akbari-Dibavar, A.; Mohammadi-Ivatloo, B.; Zare, K. Electricity market pricing: Uniform pricing vs. pay-as-bid pricing. In Electricity Markets: New Players and Pricing Uncertainties; Springer: Berlin/Heidelberg, Germany, 2020; pp. 19–35. [Google Scholar]
- Shahinzadeh, H.; Nasrabadi, M.N.; Nafisi, H.; Moazzami, M.; Jurado, F.; Abdelaziz, A.Y. Enhancing Transparency in the Peer-to-Peer Transactive Energy Market: Smart Contract Monitoring in Bilateral Negotiations with the Ethereum Platform. In Proceedings of the 9th International Conference Technology and Energy Management (ICTEM), Hoes Lane, Piscataway, NJ, USA, 14–15 February 2024; pp. 1–8. [Google Scholar]
- Cretan, A.-G. Leveraging AI to revolutionize business processes. Chall. Knowl. Soc. 2025, 504–517. [Google Scholar]
- Atanasov, A. The Economics of Water Conflict: Transaction Costs, Bargaining Failure, and Sustainable Cooperation in the Nile Dispute. Available online: https://papers.ssrn.com/sol3/papers.cfm?abstract_id=5371192 (accessed on 15 August 2025).
- Hassan, F.; Abinader, L.G.; Kavanagh, M.M. Law and power in pandemic negotiations: Policymaking via contract in South Africa’s dealings with COVID-19 vaccine companies. Glob. Public Health 2025, 20, 2537688. [Google Scholar] [CrossRef] [PubMed]
- Talebi, E.; Mehdinejad, M.; Mohammadi-Ivatloo, B.; Abapour, M.; Tohidi, S. A robust framework for peer-to-peer energy trading with transmission costs consideration: A fuzzy possibilistic programming model. Appl. Energy 2025, 398, 126379. [Google Scholar] [CrossRef]
- van de Water, P.R.; Doumen, S.C.; Campfens, J.K.E.K.; Wieczorek, A.J.; Nguyen, P.H. An implementation pathway for price formation mechanisms in local electricity markets. Energy Rep. 2025, 13, 6384–6396. [Google Scholar] [CrossRef]
- Wang, Y.; Li, T.; Li, Y.; Shao, N.; Wang, Y. Spot market clearing model and flexibility premium assessment method considering flexible regulation of virtual power plants. IEEE Access 2024, 12, 53855–53870. [Google Scholar] [CrossRef]
- Jiang, Y.; Sioshansi, R. Optimal and incentive-compatible scheduling of flexible generation in an electricity market. Energy J. 2024, 01956574251340293. [Google Scholar] [CrossRef]
- Taslimi, M.; Khosravi, A. Flexibility and profitability in power-to-methanol plants: Integrating storage solutions and reserve market participation. Energy 2025, 327, 136438. [Google Scholar] [CrossRef]
- Xu, Y.; Bai, Y.; Zhang, Y.; Wang, P.; Wang, X.; Guo, J.; Xie, K.; Zhao, R. Analyzing the Impact of Strategic Bidding on the Reserve Capacity via a Bi-Level Model. arXiv 2025, arXiv:2506.20493. [Google Scholar] [CrossRef]
- Johnson, A.; Fraser, A.; York, D. Enabling Industrial Demand Flexibility: Aligning Industrial Consumer and Grid Benefits; White Paper; ACEEE: Washington, DC, USA, 2024. [Google Scholar]
- Cramton, P. Competitive bidding behavior in uniform-price auction markets. In Proceedings of the 37th Annual Hawaii International Conference on System Sciences Proceeding, Big Island, HI, USA, 5–8 January 2004; p. 11. [Google Scholar]
- Vlachos, A.G.; Biskas, P.N. Balancing supply and demand under mixed pricing rules in multi-area electricity markets. IEEE Trans. Power Syst. 2010, 26, 1444–1453. [Google Scholar] [CrossRef]
- Zhang, C.; Wang, Y.; Yang, T. Iterative auction for P2P renewable energy trading with dynamic energy storage management. Energies 2020, 13, 4963. [Google Scholar] [CrossRef]
- Amin, W.; Huang, Q.; Afzal, M.; Khan, A.A.; Zhang, Z.; Umer, K.; Ahmed, S.A. Consumers’ preference based optimal price determination model for P2P energy trading. Electr. Power Syst. Res. 2020, 187, 106488. [Google Scholar] [CrossRef]
- Xu, S.; Zhao, Y.; Li, Y.; Zhou, Y. An iterative uniform-price auction mechanism for peer-to-peer energy trading in a community microgrid. Appl. Energy 2021, 298, 117088. [Google Scholar] [CrossRef]
- Xu, S.-S. Pion superfluid phase transition at finite isospin chemical potential. Eur. Phys. J. A 2021, 57, 298. [Google Scholar] [CrossRef]
- Tushar, W.; Chai, B.; Yuen, C.; Huang, S.; Smith, D.B.; Poor, H.V.; Yang, Z. Energy storage sharing in smart grid: A modified auction-based approach. IEEE Trans. Smart Grid 2016, 7, 1462–1475. [Google Scholar] [CrossRef]
- Doan, H.T.; Cho, J.; Kim, D. Peer-to-peer energy trading in smart grid through blockchain: A double auction-based game theoretic approach. IEEE Access 2021, 9, 49206–49218. [Google Scholar] [CrossRef]
- Angaphiwatchawal, P.; Sompoh, C.; Chaitusaney, S. A Multi-k double auction pricing mechanism for peer-to-peer energy trading market of prosumers. In Proceedings of the 2021 18th International Conference on Electrical Engineering/Electronics, Computer, Telecommunications and Information Technology (ECTI-CON), Chiang Mai, Thailand, 19–22 May 2021. [Google Scholar]
- Zhang, Z.; Tang, H.; Ren, J.; Huang, Q.; Lee, W.-J. Strategic prosumers-based peer-to-peer energy market design for community microgrids. IEEE Trans. Ind. Appl. 2021, 57, 2048–2057. [Google Scholar] [CrossRef]
- Salehi, Z.; Chen, Y.; Petersen, I.R.; Shi, G.; Callaway, D.S.; Ratnam, E.L. Peer-to-Peer Energy Markets with Uniform Pricing: A Dynamic Operating Envelope Approach. arXiv 2025, arXiv:2506.19328. [Google Scholar]
- Kwag, K.; Shin, H.; Oh, H.; Yun, H.; Yoon, H.; Kim, W. Quantifying the impact and policy implications of transitioning to zonal and nodal pricing in the electricity market: A South Korean case study. Appl. Sci. 2025, 15, 716. [Google Scholar] [CrossRef]
- Hu, J.; Mitchell, J.E.; Pang, J.-S.; Yu, B. On linear programs with linear complementarity constraints. J. Glob. Optim. 2012, 53, 29–51. [Google Scholar] [CrossRef]
- Fernández-Blanco, R.; Arroyo, J.M.; Alguacil, N. Consumer payment minimization under uniform pricing: A mixed-integer linear programming approach. Appl. Energy 2014, 114, 676–686. [Google Scholar] [CrossRef]
- Tierney, S.; Schatzki, T.; Mukerji, R. Uniform-Pricing versus Pay-as-bid in Wholesale Electricity Markets. Analysis Group ISO New York. 2008, 24p. Available online: https://g-city.sass.org.cn/_upload/article/files/7f/9e/6effc73d4950949afcbca0df3872/0dcf8fef-1149-428d-adb8-e0c8b0f1e18d.pdf (accessed on 15 August 2025).
- Paudel, A.; Beng, G.H. A hierarchical peer-to-peer energy trading in community microgrid distribution systems. In Proceedings of the 2018 IEEE Power Energy Soc. Gen. Meet. (PESGM), Portland, OR, USA, 5–10 August 2018; IEEE: New York, NY, USA, 2018; pp. 1–5. [Google Scholar]
- Rasheed, M.B.; Qureshi, M.A.; Javaid, N.; Alquthami, T. Dynamic pricing mechanism with the integration of renewable energy source in smart grid. IEEE Access 2020, 8, 16876–16892. [Google Scholar] [CrossRef]
- Fabra, N. Market power and price discrimination: Learning from changes in renewables regulation. EnergyEcoLab 2020. Available online: https://repository.graduateinstitute.ch/record/319894?v=pdf (accessed on 15 August 2025).
- El Gohary, F.; Nyström, S.; Reitsma, L.; Bartusch, C. Identifying challenges in engaging users to increase self-consumption of electricity in microgrids. Energies 2021, 14, 1257. [Google Scholar] [CrossRef]
- Malik, S. Peer-to-Peer Energy Trading in Microgrids: A Game-Theoretic Approach. Ph.D. Thesis, University of Galway, Galway, Ireland, 2024; pp. 1–144. [Google Scholar]
- Tushar, W.; Yuen, C.; Smith, D.B.; Poor, H.V. Price discrimination for energy trading in smart grid: A game theoretic approach. IEEE Trans. Smart Grid 2016, 8, 1790–1801. [Google Scholar] [CrossRef]
- Tushar, W.; Yuen, C.; Chai, B.; Smith, D.B.; Poor, H.V. Feasibility of using discriminate pricing schemes for energy trading in smart grid. In Proceedings of the IEEE Global Communication Conference, Austin, TX, USA, 8–12 December 2014; pp. 3138–3144. [Google Scholar]
- PVcase. Why Locational Marginal Pricing (LMP) Data Is Essential for Solar Development. 2023. Available online: https://pvcase.com/blog/why-locational-marginal-pricing-lmp-data-is-essential-for-solar-development (accessed on 31 July 2025).
- SlideServe. Locational Marginal Pricing Overview. 2023. Available online: https://www.slideserve.com/shina/locational-marginal-pricing-overview (accessed on 31 July 2025).
- Thomaßen, G.; Fuhrmanek, A. Where to build renewables in Europe? The benefits of locational auction design. Energy Econ. 2025, 147, 108579. [Google Scholar] [CrossRef]
- Hausman, E.; Fagan, R.; White, D.; Takahashi, K.; Napoleon, A.; Economics, S.E. LMP Electricity Markets: Market Operations, Market Power; Synapse Energy Economics: Cambridge, MA, USA, 2006. [Google Scholar]
- Liu, H.; Tesfatsion, L.; Chowdhury, A. Derivation of Locational Marginal Prices for Restructured Wholesale Power Markets. 2009. Available online: https://faculty.sites.iastate.edu/tesfatsi/archive/tesfatsi/DerivationLMP.HLLTAC.pdf (accessed on 15 August 2025).
- Wu, J.; Guo, X.; Zhu, Q.; Guo, J.; Han, Y.; Zhong, L.; Liu, S. Threshold effects and supply-demand ratios should be considered in the mechanisms driving ecosystem services. Ecol. Indic. 2022, 142, 109281. [Google Scholar] [CrossRef]
- Alfaverh, F.; Denai, M.; Sun, Y. A dynamic peer-to-peer electricity market model for a community microgrid with price-based demand response. IEEE Trans. Smart Grid 2023, 14, 3976–3991. [Google Scholar] [CrossRef]
- Crespo-Vazquez, J.L.; AlSkaif, T.; Gonzalez-Rueda, A.M.; Gibescu, M. A community-based energy market design using decentralized decision-making under uncertainty. IEEE Trans. Smart Grid 2020, 12, 1782–1793. [Google Scholar] [CrossRef]
- Kim, S.-J.; Giannakis, G.B. An online convex optimization approach to real-time energy pricing for demand response. IEEE Trans. Smart Grid 2016, 8, 2784–2793. [Google Scholar] [CrossRef]
- El Rahi, G.; Etesami, S.R.; Saad, W.; Mandayam, N.B.; Poor, H.V. Managing price uncertainty in prosumer-centric energy trading: A prospect-theoretic Stackelberg game approach. IEEE Trans. Smart Grid 2017, 10, 702–713. [Google Scholar] [CrossRef]
- Kim, J.-Y.; Brünner, T.; Skiera, B.; Natter, M. A comparison of different pay-per-bid auction formats. Int. J. Res. Mark. 2014, 31, 368–379. [Google Scholar] [CrossRef]
- Galgana, R.; Golrezaei, N. Learning in repeated multiunit pay-as-bid auctions. Manuf. Serv. Oper. Manag. 2025, 27, 200–229. [Google Scholar] [CrossRef]
- Carlos Carbajal, J.; Dharanan, G.V.A. GVA, Pay-as-Bid Auctions with Budget Constrained Bidders. 2025. Available online: https://www.isid.ac.in/~acegd/acegd2024/papers/GVADharanan.pdf (accessed on 15 August 2025).
- Song, Y.; Chu, Y.; Yoon, Y.; Jin, Y. Virtual Power Plant Bidding Strategies in Pay-as-Bid and Pay-as-Clear Markets: Analysis of Imbalance Penalties and Market Operations. Energies 2025, 18, 1383. [Google Scholar] [CrossRef]
- Federico, G.; Rahman, D. Bidding in an electricity pay-as-bid auction. J. Regul. Econ. 2003, 24, 175–211. [Google Scholar] [CrossRef]
- Rothkopf, M.H.; Teisberg, T.J.; Kahn, E.P. Why are Vickrey auctions rare? J. Polit. Econ. 1990, 98, 94–109. [Google Scholar] [CrossRef]
- Evans, J.R. Determining Consumer Perceptions of and Willingness to Pay for Appalachian Grass-Fed Beef: An Experimental Economics Approach; West Virginia University: Morgantown, MV, USA, 2007. [Google Scholar]
- Yassine, A.; Hossain, M.S.; Muhammad, G.; Guizani, M. Double auction mechanisms for dynamic autonomous electric vehicles energy trading. IEEE Trans. Veh. Technol. 2019, 68, 7466–7476. [Google Scholar] [CrossRef]
- Sutterer, P.; Waldherr, S.; Bichler, M. Are truthful bidders paying too much? Efficiency and revenue in display ad auctions. ACM Trans. Manag. Inf. Syst. (TMIS) 2019, 10, 1–18. [Google Scholar] [CrossRef]
- Potfer, M.; Baudry, D.; Richard, H.; Perchet, V.; Wan, C. Improved learning rates in multi-unit uniform price auctions. Adv. Neural Inf. Process. Syst. 2024, 37, 130237–130264. [Google Scholar]
- Lamp, S.; Samano, M.; Tiedemann, S. Firms’ Bidding Behavior in a New Market: Evidence from Renewable Energy Auctions. Avail. SSRN 4780866. 2024. Available online: https://papers.ssrn.com/sol3/papers.cfm?abstract_id=4780866 (accessed on 15 August 2025).
- Bertsimas, D.; Koulouras, A.G. Adaptive Pricing in Unit Commitment Under Load and Capacity Uncertainty. arXiv 2023, arXiv:2309.08162. [Google Scholar] [CrossRef]
- Just, S.; Weber, C. Pricing of reserves: Valuing system reserve capacity against spot prices in electricity markets. Energy Econ. 2008, 30, 3198–3221. [Google Scholar] [CrossRef]
- Hummon, M.; Denholm, P.; Jorgenson, J.; Palchak, D.; Kirby, B.; Ma, O. Fundamental Drivers of the Cost and Price of Operating Reserves; National Renewable Energy Laboratory (NREL): Golden, CO, USA, 2013. [Google Scholar]
- Rosen, C.; Madlener, R. An auction design for local reserve energy markets. Decis. Support Syst. 2013, 56, 168–179. [Google Scholar] [CrossRef]
- Cramton, P. How best to auction natural resources. In The Taxation of Petroleum and Minerals; Routledge: London, UK, 2010; pp. 305–332. [Google Scholar]
- Mehrtash, M.; Hobbs, B.F.; Ela, E. Reserve and energy scarcity pricing in United States power markets: A comparative review of principles and practices. Renew. Sustain. Energy Rev. 2023, 183, 113465. [Google Scholar] [CrossRef]
- Nazir, I.; Mushtaq, N.; Ziafat, B.; Fareed, M.F.; Amin, W. A Reserved Pricing Mechanism for Nano/Peco Smart Grid Peer-to-Peer Energy Trading. In Proceedings of the 3rd International Conference Emerging Trends Electrical, Control, and Telecommunication Engineering (ETECTE), Lahore, Pakistan, 26–27 November 2024; pp. 1–5. [Google Scholar]
- Deman, L.; Siddiqui, A.S.; Clastres, C.; Boucher, Q. Day-ahead and reserve prices in a renewable-based power system: Adapting electricity-market design for energy storage. Energy J. 2025, 46, 67–98. [Google Scholar] [CrossRef]
- Ribeiro, L.; Street, A.; Arroyo, J.M.; Moreno, R. A Causation-Based Framework for Pricing and Cost Allocation of Energy, Reserves, and Transmission in Modern Power Systems. arXiv 2025, arXiv:2505.24159. [Google Scholar] [CrossRef]
- Qi, N.; Pinson, P.; Almassalkhi, M.R.; Cheng, L.; Zhuang, Y. Chance-constrained generic energy storage operations under decision-dependent uncertainty. IEEE Trans. Sustain. Energy 2023, 14, 2234–2248. [Google Scholar] [CrossRef]
- Wang, Y.; Jiang, S.; Zhou, H.; Zhu, M.; Zhang, Y. A two-stage optimization strategy for VPP trading in multi-market considering setting method and marginal revenue and expenditure of standby capacity. J. Renew. Sustain. Energy 2025, 17. [Google Scholar] [CrossRef]
- Chow, Y.-F.; McAleer, M.; Sequeira, J. Pricing of forward and futures contracts. J. Econ. Surv. 2000, 14, 215–253. [Google Scholar] [CrossRef]
- Injadat, E.M.M. Futures and forwards contracts from perspective of Islamic law. J. Econ. Polit. Econ. 2014, 1, 241–252. [Google Scholar]
- Landman, D.J. Real Option Analysis of Primary Rail Contracts in Grain Shipping. Master’s Thesis, North Dakota State University, Fargo, ND, USA, 2017. [Google Scholar]
- Munné-Collado, Í.; Bullich-Massagué, E.; Aragüés-Peñalba, M.; Olivella-Rosell, P. Local and micro power markets. In Micro and Local Power Markets; Wiley: Hoboken, NJ, USA, 2019; pp. 37–96. [Google Scholar]
- Schlecht, I.; Maurer, C.; Hirth, L. Financial contracts for differences: The problems with conventional CfDs in electricity markets and how forward contracts can help solve them. Energy Policy 2024, 186, 113981. [Google Scholar] [CrossRef]
- Ordoñez, C.C.; Organero, M.M.; Ramirez-Gonzalez, G.; Corrales, J.C. Smart Contracts as a Tool to Support the Challenges of Buying and Selling Coffee Futures Contracts in Colombia. Agriculture 2024, 14, 845. [Google Scholar] [CrossRef]
- Ogundu, P.G. The Strategic Implications of Financial Derivatives in Hedging Corporate Exposure to Global Economic volatility. World J. Adv. Res. Rev. 2025, 25, 1218–1234. [Google Scholar] [CrossRef]
- Dahlberg, J.; Rehula, L. The Effect of Hedging with Derivatives on Firm Performance: Evidence from European Energy Firms During the Global Energy Crisis in 2021–2023. 2024. Available online: https://www.diva-portal.org/smash/get/diva2:1877521/FULLTEXT01.pdf (accessed on 15 August 2025).
- Mohandes, N.; Bayhan, S.; Sanfilippo, A.; Abu-Rub, H. Peer-to-peer trade and the sharing economy at distribution level: A review of the literature. IEEE Access 2023, 11, 122842–122858. [Google Scholar] [CrossRef]
- Ahmadian-Yazdi, F.; Sokhanvar, A.; Roudari, S.; Tiwari, A.K. Dynamics of the relationship between stock markets and exchange rates during quantitative easing and tightening. Financ. Innov. 2025, 11, 51. [Google Scholar] [CrossRef]
- Bensalah, N. Challenges and Opportunities in Energy Economics: Balancing Cost, Sustainability, and Innovation in the Global Energy Transition. Mod. Econ. 2024, 15, 1147–1180. [Google Scholar] [CrossRef]
- Karaki, A.; Al-Fagih, L. Evolutionary game theory as a catalyst in smart grids: From theoretical insights to practical strategies. IEEE Access 2024, 12, 186926–186940. [Google Scholar] [CrossRef]
- Wan, X.; Wen, X.; Tang, B.; Sun, Q. Trading strategy for virtual power plant clusters based on a multi-subject game model. J. Comput. Methods Sci. Eng. 2023, 23, 2261–2274. [Google Scholar] [CrossRef]
- Izanlo, A.; Sheikholeslami, A.; Gholamian, S.A.; Kazemi, M.V.; Hosseini, S.N. A combination of MILP and game theory methods for P2P energy trading by considering network constraints. Appl. Energy 2024, 374, 123916. [Google Scholar] [CrossRef]
- Wang, B.; Guo, X. Blockchain-enabled transformation: Decentralized planning and secure peer-to-peer trading in local energy networks. Sustain. Energy Grids Netw. 2024, 40, 101556. [Google Scholar] [CrossRef]
- Malik, S.; Thakur, S.; Duffy, M.; Breslin, J.G. Comparative double auction approach for peer-to-peer energy trading on multiple microgrids. Smart Grids Sustain. Energy 2023, 8, 21. [Google Scholar] [CrossRef]
- Zhang, W.; Ji, C.; Liu, Y.; Hao, Y.; Song, Y.; Cao, Y.; Qi, H. Dynamic interactions of carbon trading, green certificate trading, and electricity markets: Insights from system dynamics modeling. PLoS ONE 2024, 19, e0304478. [Google Scholar] [CrossRef]
- Abate, A.G.; Majdi, D.; Kazempour, J.; Kamgarpour, M. Learning to bid in forward electricity markets using a no-regret algorithm. Electr. Power Syst. Res. 2024, 234, 110693. [Google Scholar] [CrossRef]
- Amin, W.; Huang, Q.; Afzal, M.; Khan, A.A.; Umer, K.; Ahmed, S.A. A converging non-cooperative & cooperative game theory approach for stabilizing peer-to-peer electricity trading. Electr. Power Syst. Res. 2020, 183, 106278. [Google Scholar]
- Raja, A.A.; Grammatico, S. Online coalitional games for real-time payoff distribution with applications to energy markets. IEEE Trans. Energy Mark. Policy Regul. 2023, 1, 97–106. [Google Scholar] [CrossRef]
- Raja, A.A.; Grammatico, S. Bilateral peer-to-peer energy trading via coalitional games. IEEE Trans. Ind. Inform. 2022, 19, 6814–6824. [Google Scholar] [CrossRef]
- Mitrea, D.; Chifu, V.R.; Cioara, T.; Anghel, I.; Pop, C.B. Social Factors in P2P Energy Trading Using Hedonic Games. IEEE Access 2024, 12, 71256–71270. [Google Scholar] [CrossRef]
- Azar, A.G.; Nazaripouya, H.; Khaki, B.; Chu, C.-C.; Gadh, R.; Jacobsen, R.H. A non-cooperative framework for coordinating a neighborhood of distributed prosumers. IEEE Trans. Ind. Inform. 2018, 15, 2523–2534. [Google Scholar] [CrossRef]
- Bandeiras, F.; Gomes, Á.; Gomes, M.; Coelho, P. Application and challenges of coalitional game theory in power systems for sustainable energy trading communities. Energies 2023, 16, 8115. [Google Scholar] [CrossRef]
- Gerwin, C.; Mieth, R.; Dvorkin, Y. Compensation mechanisms for double auctions in peer-to-peer local energy markets. Curr. Sustain. Renew. Energy Rep. 2020, 7, 165–175. [Google Scholar] [CrossRef]
- Emami, I.T.; Samani, E.; Abyaneh, H.A.; Mohsenian-Rad, H.; Bakhshai, A. A conceptual analysis of equilibrium bidding strategy in a combined oligopoly and oligopsony wholesale electricity market. IEEE Trans. Power Syst. 2022, 37, 4229–4243. [Google Scholar] [CrossRef]
- Song, H.; Liu, C.-C.; Lawarrée, J. Nash equilibrium bidding strategies in a bilateral electricity market. IEEE Trans. Power Syst. 2002, 17, 73–79. [Google Scholar] [CrossRef]
- Cheng, H.; Li, Y.; Jiang, H.; Sun, W.; Wei, C.; Huang, X. A Multi-Type Distributed Renewable Energy Aggregators Collaborative Operation Model Based on Non-Cooperative Game Theory. J. Phys. Conf. Ser. 2025, 3015, 012011. [Google Scholar] [CrossRef]
- Mignoni, N. Non-Cooperative Game Theoretical Control for Green and Efficient Energy Communities; Politecnico di Bari: Bari, Italy, 2025. [Google Scholar]
- Lei, Z.; Liu, M.; Shen, Z.; Lu, J.; Lu, Z. A Nash–Stackelberg game approach to analyze strategic bidding for multiple DER aggregators in electricity markets. Sustain. Energy Grids Netw. 2023, 35, 101111. [Google Scholar] [CrossRef]
- Yu, X.; Pan, D.; Zhou, Y. A Stackelberg game-based peer-to-peer energy trading market with energy management and pricing mechanism: A case study in Guangzhou. Sol. Energy 2024, 270, 112388. [Google Scholar] [CrossRef]
- Li, Y.; Yang, Y.; Zhang, F.; Li, Y. A Stackelberg game-based approach to load aggregator bidding strategies in electricity spot markets. J. Energy Storage 2024, 95, 112509. [Google Scholar] [CrossRef]
- Xu, N.; Hu, Y.; Zhang, J.; Hao, R. Load-Side Shared Energy Storage New Energy Consumption Strategy Based on Nash Bargaining. In Proceedings of the 7th International Conference on Renewable Energy and Power Engineering, Beijing China, 25–27 September 2024; pp. 137–142. [Google Scholar]
- Becchetti, L.; Salustri, F. Renewable energy communities and the ecological transition: A game theoretic bargaining approach. Util. Policy 2025, 96, 102006. [Google Scholar] [CrossRef]
- Tanis, Z.; Durusu, A. Cooperative behaviors and multienergy coupling through distributed energy storage in the peer-to-peer market mechanism. IEEE Access 2025, 13, 12081–12102. [Google Scholar] [CrossRef]
- Wang, Y.; Zhang, B.; Ma, J.; Jin, Q. Earning while learning: An adversarial multi-armed bandit based real-time bidding scheme in deregulated electricity market. IEEE Trans. Netw. Sci. Eng. 2022, 9, 3991–4000. [Google Scholar] [CrossRef]
- Alsalloum, H.; Merghem-Boulahia, L.; Rahim, R. A systematical analysis on the dynamic pricing strategies and optimization methods for energy trading in smart grids. Int. Trans. Electr. Energy Syst. 2020, 30, e12404. [Google Scholar] [CrossRef]
- Umer, K.; Huang, Q.; Khorasany, M.; Amin, W.; Afzal, M. A novel prosumer-centric approach for social welfare maximization considering network voltage constraints in peer-to-peer energy markets. Int. J. Electr. Power Energy Syst. 2023, 147, 108820. [Google Scholar] [CrossRef]
- Nekrasov, S.A. Reducing costs for integration of renewable energy sources: A way to making renewable energy more accessible. Therm. Eng. 2021, 68, 593–603. [Google Scholar] [CrossRef]
- Mushtaq, N.; Nazir, I.; Azad, M.; Ishfaq, H.; Fareed, M.F.; Amin, W. Optimal Selection of Trading Partner in Peer-to-Peer Energy Markets. In Proceedings of the 3rd International Conference Emerging Trends Electrical, Control, and Telecommunication Engineering (ETECTE), Lahore, Pakistan, 26–27 November 2024; pp. 1–5. [Google Scholar]
- Camelo, M.M.; de Andrade, C.F.; de Athayde Prata, B. A mixed-integer linear programming model for optimizing green hydrogen supply chain networks. Int. J. Hydrog. Energy 2025, 118, 134–145. [Google Scholar] [CrossRef]
- Yoon, S.-J.; Ryu, K.-S.; Kim, C.; Nam, Y.-H.; Kim, D.-J.; Kim, B. Optimal Bidding Scheduling of Virtual Power Plants Using a Dual-MILP (Mixed-Integer Linear Programming) Approach under a Real-Time Energy Market. Energies 2024, 17, 3773. [Google Scholar] [CrossRef]
- Jin, X.; Liu, B.; Liao, S.; Cheng, C.; Zhao, Z.; Zhang, Y. Robust optimization for the self-scheduling and bidding strategies of a hydroproducer considering the impacts of crossing forbidden zones. J. Water Resour. Plan. Manag. 2023, 149, 05022017. [Google Scholar] [CrossRef]
- Zhou, W.; Zheng, J.; Wang, H.; Yin, P.; Zhang, J.; Zhang, Y. Coordinated and optimized dispatch of smart building group-energy storage power station based on multiple games. In Proceedings of the 36th Chinese Control and Decision Conference, Xi’an, China, 25–27 May 2024; pp. 2180–2185. [Google Scholar]
- Twaisan, K.; Barışçı, N. Integrated distributed energy resources (DER) and microgrids: Modeling and optimization of DERs. Electronics 2022, 11, 2816. [Google Scholar] [CrossRef]
- Di Persio, L.; Alruqimi, M.; Garbelli, M. Stochastic Approaches to Energy Markets: From Stochastic Differential Equations to Mean Field Games and Neural Network Modeling. Energies 2024, 17, 6106. [Google Scholar] [CrossRef]
- Zheng, K.; Sun, Z.; Song, Y.; Zhang, C.; Zhang, C.; Chang, F.; Yang, D.; Fu, X. Stochastic scenario generation methods for uncertainty in wind and photovoltaic power outputs: A comprehensive review. Energies 2025, 18, 503. [Google Scholar] [CrossRef]
- Tang, J.; Qian, B.; Luo, Y.; Lin, X.; Zhou, M.; Zhang, F.; Wang, H. Evolutionary Game Theory-Based Analysis of Power Producers’ Carbon Emission Reduction Strategies and Multi-Group Bidding Dynamics in the Low-Carbon Electricity Market. Processes 2025, 13, 952. [Google Scholar] [CrossRef]
- Yu, J.; Liu, S.; Zou, Y.; Wang, G.; Hu, C. Auction Theory and Game Theory Based Pricing of Edge Computing Resources: A Survey. IEEE Internet Things J. 2025, 12, 32394–32418. [Google Scholar] [CrossRef]
- Amin, W.; Ahmad, F.; Umer, K.; Khawaja, A.H.; Afzal, M.; Ahmed, S.A.; Chaitusaney, S. P2p energy trading: An optimal solution for energy shortage in pakistan. IEEE Access 2022, 10, 89614–89633. [Google Scholar] [CrossRef]
- Zheng, Y.; Wang, Y.; Yang, Q. Bidding strategy design for electric vehicle aggregators in the day-ahead electricity market considering price volatility: A risk-averse approach. Energy 2023, 283, 129138. [Google Scholar] [CrossRef]
- Rousta, M.; Güsewell, J.; Eltrop, L. Integrated Production and Multi-Market Optimization of Biomethane in Germany: A Two-Step Linear Programming Approach. Energies 2025, 18, 2991. [Google Scholar] [CrossRef]
- Pinthanon, P.; Rianmora, S.; Chanchiewvichai, W. Decision-Making Platform for Design Optimization by Integrating Linear Programming and House of Quality. Eng. J. 2025, 29, 95–122. [Google Scholar] [CrossRef]
- Kuram, Ç.; Bilişik, Ö.N. A mixed-integer linear programming model proposal to determine material sustainability for new product development processes in production. Comput. Chem. Eng. 2025, 198, 109108. [Google Scholar] [CrossRef]
- Liaquat, S.; Hussain, T.; Kassab, F.A.; Ali, A.; Celik, B.; Fourney, R.; Hansen, T.M. An Integrated Two-Stage Hybrid P2P-DR Transactive Energy Trading Platform Using Iterative Distributed-Mixed Integer Linear Optimisation. IET Smart Grid 2025, 8, e70027. [Google Scholar] [CrossRef]
- Deng, J.; He, F.; Zeng, Q.; Yan, J.; Liu, R.; He, D.; Zhou, S. Coordinated Optimal Dispatch of Distribution Grids and P2P Energy Trading Markets. Energy Sci. Eng. 2025, 13, 2206–2219. [Google Scholar] [CrossRef]
- Yaghoubi, M. Resilient Peer-to-Peer Energy Trading: Addressing Price Uncertainty and Communication Delays in Decentralized Markets. Ph.D. Thesis, École de Technologie Supérieure, Montréal, QC, Canada, 2025. [Google Scholar]
- Akülker, H.; Alakent, B.; Aydin, E. A two-stage stochastic MINLP model to design and operate a multi-energy microgrid by addressing carbon emission regulatory policies uncertainty. arXiv 2025, arXiv:2501.18988. [Google Scholar] [CrossRef]
- Kassab, F.A. Co-Optimisation of the Sizing and Control of an Urban Microgrid. Ph.D. Thesis, Université de Technologie de Compiègne, Compiègne, France, 2024. [Google Scholar]
- Ling, J.Q.; Tan, W.-S.; Ding, Z.Y.; Wu, Y.-K. Multi-Objective Optimization of Cloud Energy Storage Placement and Sizing in Peer-to-Peer Energy Market Under Line Congestion. In Proceedings of the 2025 IEEE Industry Applications Society Annual Meeting (IAS), Taipei, Taiwan, 15–20 June 2025; IEEE: New York, NY, USA, 2025; pp. 1–8. [Google Scholar]
- dos Santos, S.A.B.; Coutinho, L.R.R.; Tofoli, F.L.; Barroso, G.C. Community energy management system for residential energy communities integrating demand response, distributed generation, and energy storage systems. J. Energy Storage 2025, 132, 117832. [Google Scholar] [CrossRef]
- Ahmadi Kamarposhti, M.; Ghandour, R.; Abdel-Aty, M.; Hafez, M.; Alfiras, M.; Alkhazaleh, S.; Colak, I.; Solyman, A. Optimizing capacitor bank placement in distribution networks using a multi-objective particle swarm optimization approach for energy efficiency and cost reduction. Sci. Rep. 2025, 15, 12332. [Google Scholar] [CrossRef]
- Vaithiyanathan, B.; Jothi, K.R.; Paramasivam, S.K. Develop a Hybrid Intelligent Fuzzy Self-Adaptive Mutated Genetic Algorithm and Deep Reinforcement Learning for Efficient Home Energy Management. Trait. Signal 2025, 42, 2. [Google Scholar] [CrossRef]
- Zubin, J.B.; Sunitha, R.; Pathirikkat, G. Integrated Bidding and Battery Scheduling in a Microgrid for Sealed-Bid Double Auction Power Trading with Peer Microgrids under Uncertainty and Its Blockchain-Based Implementation. IEEE Access 2025, 13, 117953–117970. [Google Scholar]
- Li, S.; Gu, N.; Wu, C. Electricity Tariff Insurance Design Under Real-Time Pricing. In Proceedings of the 7th Conference on Energy Internet & Energy System Integration, Hangzhou, China, 15–18 December 2023; pp. 3172–3177. [Google Scholar]
- Yang, A.; Li, A.; Li, Z.; Sun, Y.; Gao, J. Investment Analysis of Low-Carbon Yard Cranes: Integrating Monte Carlo Simulation and Jump Diffusion Processes with a Hybrid American–European Real Options Approach. Energies 2025, 18, 1928. [Google Scholar]
- Kluge, T. Pricing Derivatives in Stochastic Volatility Models Using the Finite Difference Method. Master’s Thesis, Technische Universität Chemnitz, Chemnitz, Germany, 2002. [Google Scholar]
- Baamonde-Seoane, M.A. Modelling, Mathematical Analysis and Numerical Simulation to Value Derivatives Related to Renewable Energy Certificates. 2021. Available online: https://ruc.udc.es/entities/publication/21889049-7496-4f83-8f44-3333e810ed59 (accessed on 15 August 2025).
- Voronin, S.; Partanen, J. Price forecasting in the day-ahead energy market by an iterative method with separate normal price and price spike frameworks. Energies 2013, 6, 5897–5920. [Google Scholar] [CrossRef]
- Kim, H.J.; Kim, M.K. Data-Driven Virtual Power Plant Bidding Strategy in Electricity Markets Integrating Hybrid Forecasting Model and Customized Incentive Demand Response. IEEE Internet Things J. 2025, 12, 13851–13869. [Google Scholar] [CrossRef]
- Oprea, S.-V.; Bara, A. Two-step price mechanism using Newton-Raphson method and peer-to-peer mediation for local electricity markets. Energy Strategy Rev. 2025, 59, 101701. [Google Scholar] [CrossRef]
- Shiltz, D.J.; Cvetković, M.; Annaswamy, A.M. An integrated dynamic market mechanism for real-time markets and frequency regulation. IEEE Trans. Sustain. Energy 2015, 7, 875–885. [Google Scholar] [CrossRef]
- Lu, J.; Xie, Z.; Xu, H.; Liu, J. Optimizing Joint Bidding and Incentivizing Strategy for Price-Maker Load Aggregators Based on Multi-Task Multi-Agent Deep Reinforcement Learning. IEEE Access 2024, 12, 63988–164001. [Google Scholar] [CrossRef]
- Tang, C.; Qin, Y.; Wu, F.; Tang, Z. Dynamic demand-aware power grid intelligent pricing algorithm based on deep reinforcement learning. IEEE Access 2024, 12, 75809–75817. [Google Scholar] [CrossRef]
- Basnet, M.R.; Bryan, J.A.; Dana, S.J.; Meek, A.S.; Wang, H.; Talbot, P. Stochastic optimization and uncertainty quantification of Natrium-based nuclear-renewable energy Systems for Flexible Power Applications in deregulated markets. Appl. Energy 2024, 375, 124105. [Google Scholar] [CrossRef]
- Wang, Y.; Lin, T. A novel deterministic probabilistic forecasting framework for gold price with a new pandemic index based on quantile regression deep learning and multi-objective optimization. Mathematics 2023, 12, 29. [Google Scholar] [CrossRef]
- Nizharadze, N.; Farokhi Soofi, A.; Manshadi, S. Predicting the gap in the day-ahead and real-time market prices leveraging exogenous weather data. Algorithms 2023, 16, 508. [Google Scholar] [CrossRef]
- Li, W.; Zhang, N.; Liu, Z.; Ma, S.; Ke, H.; Wang, J.; Chen, T. MLfus: A real-time forecasting architecture for low communication costs in electricity IoT based on ensemble learning. IET Commun. 2023, 17, 145–161. [Google Scholar] [CrossRef]
- Alhosani, A. Development and Application of Forecasting Machine Learning Approach for Renewable Energy-Related Products’ Prices. Ph.D. Thesis, Khalifa University of Science, Abu Dhabi, United Arab Emirates, 2023. [Google Scholar]
- Saeed, N.; Shafi, I.; Pervez, S.; Thompson, E.B.; Castilla, A.K.; Samad, M.A.; Ashraf, I. Intelligent Decision Making for Commodities Price Prediction: Opportunities, Challenges and Future Avenues. Comput. Econ. 2025, 1–59. [Google Scholar] [CrossRef]
- Liu, F.; Li, X. Integrating deep reinforcement learning with evolutionary algorithms for advanced optimization in smart city energy management. IEEE Access 2024, 12, 177103–177118. [Google Scholar] [CrossRef]
- Jeong, J.; Kim, S.W.; Kim, H. Deep reinforcement learning based real-time renewable energy bidding with battery control. IEEE Trans. Energy Mark., Policy Regul. 2023, 1, 85–96. [Google Scholar] [CrossRef]
- Yadav, D.; Mekhilef, S.; Singh, B.; Rawa, M. Deep Reinforcement Learning and Energy Price Prediction. In Artificial Intelligence-Based Smart Power Systems; Wiley Online Library: Hoboken, NJ, USA, 2023; pp. 207–231. [Google Scholar]
- Song, J.; Zheng, W.; Chen, M.; Qi, L.; Zou, Q. Analysis of collusive bidding characteristics in the power spot market based on multi-agent reinforcement learning simulation. Electr. Eng. 2025, 107, 10069–10090. [Google Scholar] [CrossRef]
- Alavi, S.A.; Mehran, K.; Vahidinasab, V.; Catalão, J.P.S. Forecast-based consensus control for DC microgrids using distributed long short-term memory deep learning models. IEEE Trans. Smart Grid 2021, 12, 3718–3730. [Google Scholar] [CrossRef]
- Aslam, S.; Ayub, N.; Farooq, U.; Alvi, M.J.; Albogamy, F.R.; Rukh, G.; Haider, S.I.; Azar, A.T.; Bukhsh, R. Towards electric price and load forecasting using cnn-based ensembler in smart grid. Sustainability 2021, 13, 12653. [Google Scholar] [CrossRef]
- Bakir, A.; Rami, A. Enhanced electricity price forecasting in smart grids using an optimized hybrid convolutional Multi-Layer Perceptron deep network with Marine Predators Algorithm for feature selection. Energy Sources Part B Econ. Plan. Policy 2025, 20, 2456058. [Google Scholar] [CrossRef]
- Guo, X.; Zhao, Q.; Zheng, D.; Ning, Y.; Gao, Y. A short-term load forecasting model of multi-scale CNN-LSTM hybrid neural network considering the real-time electricity price. Energy Rep. 2020, 6, 1046–1053. [Google Scholar] [CrossRef]
- Zhu, Z. Applications of Reinforcement Learning on Deregulated Active Distribution Networks; Hong Kong Polytechnic University: Hong Kong, China, 2023. [Google Scholar]
- Meydani, A.; Shahinzadeh, H.; Ramezani, A.; Moazzami, M.; Nafisi, H.; Askarian-Abyaneh, H. Comprehensive review of artificial intelligence applications in smart grid operations. In Proceedings of the 2024 9th International Conference on Technology Energy Management (ICTEM), 445 Hoes Lane, Piscataway, NJ, USA, 14–15 February 2024; pp. 1–13. [Google Scholar]
- Richarz, J.; Henn, S.; Osterhage, T.; Müller, D. Optimal scheduling of modernization measures for typical non-residential buildings. Energy 2022, 238, 121871. [Google Scholar] [CrossRef]
- Alghamdi, H.; Hua, L.-G.; Hafeez, G.; Murawwat, S.; Bouazzi, I.; Alghamdi, B. Optimal adaptive heuristic algorithm based energy optimization with flexible loads using demand response in smart grid. PLoS ONE 2024, 19, e0307228. [Google Scholar] [CrossRef] [PubMed]
- Gronier, T.; Fitó, J.; Franquet, E.; Gibout, S.; Ramousse, J. Iterative sizing of solar-assisted mixed district heating network and local electrical grid integrating demand-side management. Energy 2022, 238, 121517. [Google Scholar] [CrossRef]
- Li, J.; Mi, Z.; Yu, Y. Research on the classification and evaluation of large-scale user load patterns for grid supply–demand balance regulation demands. Appl. Energy 2025, 397, 126301. [Google Scholar] [CrossRef]
- Yu, S.; Fan, Y.; Shi, Z.; Zhang, J.; Zhang, T.; Zhang, J.; Liu, Z. Innovative heat management method and metaheuristic algorithm optimized power supply–demand balance for PEMFC–ASHP–CHP system. Appl. Energy 2024, 371, 123778. [Google Scholar] [CrossRef]
- Chandlekar, S.; Boroju, A.; Jain, S.; Gujar, S. A novel demand response model and method for peak reduction in smart grids–PowerTAC. arXiv 2023, arXiv:2302.12520. [Google Scholar]
- Yu, M.; Hong, S.H. Supply–demand balancing for power management in smart grid: A Stackelberg game approach. Appl. Energy 2016, 164, 702–710. [Google Scholar] [CrossRef]
- Chen, Q.; Kumar, P.; Baskonus, H.M. Modeling and analysis of demand–supply dynamics with a collectability factor using delay differential equations in economic growth via the Caputo operator. AIMS Math. 2024, 9, 7471–7491. [Google Scholar] [CrossRef]
- Toderean, L.; Cioara, T.; Anghel, I.; Sarmas, E.; Michalakopoulos, V.; Marinakis, V. Demand response optimization for smart grid integrated buildings: Review of technology enablers landscape and innovation challenges. Energy Build. 2025, 326, 115067. [Google Scholar] [CrossRef]
- Rashid, A.; Biswas, P.; Nasim, M.D.; Gupta, K.D. Power plays: Unleashing machine learning magic in smart grids. arXiv 2024, arXiv:2410.15423. [Google Scholar] [CrossRef]
- Du, Y.; Wu, J.; Li, S.; Long, C.; Onori, S. Hierarchical coordination of two-time scale microgrids with supply–demand imbalance. IEEE Trans. Smart Grid 2020, 11, 3726–3736. [Google Scholar] [CrossRef]
- Ghorbanian, M.; Dolatabadi, S.H.; Siano, P. Game theory-based energy-management method considering autonomous demand response and distributed generation interactions in smart distribution systems. IEEE Syst. J. 2020, 15, 905–914. [Google Scholar] [CrossRef]
- Naughton, J.; Wang, H.; Cantoni, M.; Mancarella, P. Co-optimizing virtual power plant services under uncertainty: A robust scheduling and receding horizon dispatch approach. IEEE Trans. Power Syst. 2021, 36, 3960–3972. [Google Scholar] [CrossRef]
- Cheng, L.; Wei, X.; Li, M.; Tan, C.; Yin, M.; Shen, T.; Zou, T. Integrating evolutionary game-theoretical methods and deep reinforcement learning for adaptive strategy optimization in user-side electricity markets: A comprehensive review. Mathematics 2024, 12, 3241. [Google Scholar] [CrossRef]
- Wen, Y.; Lu, Y.; Gou, J.; Liu, F.; Tang, Q.; Wang, R. Robust transmission expansion planning of ultrahigh-voltage AC–DC hybrid grids. IEEE Trans. Ind. Appl. 2022, 58, 3294–3302. [Google Scholar] [CrossRef]
- Lee, J.-W.; Kim, M.-K. An evolutionary game theory-based optimal scheduling strategy for multiagent distribution network operation considering voltage management. IEEE Access 2022, 10, 50227–50241. [Google Scholar] [CrossRef]
- Zhang, X.; Cai, Z.; Yang, X.; Luo, J.; Zhang, R.; Zhang, Y. Game theory-based demand-side management for efficient energy collaboration in smart networks: A neighborhood-scale optimization framework. Electr. Eng. 2024, 107, 9071–9088. [Google Scholar] [CrossRef]
- Chen, P.; Han, L.; Xin, G.; Zhang, A.; Ren, H.; Wang, F. Game theory based optimal pricing strategy for V2G participating in demand response. IEEE Trans. Ind. Appl. 2023, 59, 4673–4683. [Google Scholar] [CrossRef]
- Ding, Y.; Xie, D.; Hui, H.; Xu, Y.; Siano, P. Game-theoretic demand side management of thermostatically controlled loads for smoothing tie-line power of microgrids. IEEE Trans. Power Syst. 2021, 36, 4089–4101. [Google Scholar] [CrossRef]
- Yadav, R.K.; Bhadoria, V.S.; Hrisheekesha, P.N. Demand side management using ant colony optimization algorithm in renewable energy integrated smart grid. J. Intell. Fuzzy Syst. 2024, 46, 7627–7642. [Google Scholar] [CrossRef]
- Nanibabu, S.; Baskaran, S.; Marimuthu, P. Realisation of demand side management in smart distribution grid with commercial loads using butterfly optimization algorithm. In Proceedings of the Third International Conference on Intelligent Techniques in Control, Optimization and Signal Processing (INCOS), Tamil Nadu, India, 14–16 March 2024; pp. 1–6. [Google Scholar]
- Maity, S.; Chanda, S.; Rai, A.K.; Biswas, P.; De, A. A DE modified quantum PSO based demand response program for social welfare optimization with scalable renewable energy penetration in smart grid. SAMRIDDHI A J. Phys. Sci. Eng. Technol. 2024, 16, 9–19. [Google Scholar] [CrossRef]
- Xiong, Q.; Chen, Y.; Song, L.; Huang, Z.; Dong, C.; Zou, G.; Yu, S. Research on multi-scenario source–grid–load–storage optimization and comprehensive optimization strategies considering user satisfaction and economy. In Proceedings of the 6th International Conference on Energy, 2314 Power and Grid (ICEPG), Guangzhou, China, 27–29 September 2024; pp. 1717–1723. [Google Scholar]
- Woo, Y.-B.; Moon, I. Bilevel optimization for multi-user systems with mixed demand response programs for enhanced operational efficiency in electric power grids. Appl. Energy 2025, 399, 126507. [Google Scholar] [CrossRef]
- Xu, W.; Zhou, D.; Huang, X.; Lou, B.; Liu, D. Optimal allocation of power supply systems in industrial parks considering multi-energy complementarity and demand response. Appl. Energy 2020, 275, 115407. [Google Scholar] [CrossRef]
- Xinfa, T.; Jingjing, W.; Yonghua, W.; Youwei, W. The optimization of supply–demand balance dispatching and economic benefit improvement in a multi-energy virtual power plant within the Jiangxi power market. Energies 2024, 17, 4691. [Google Scholar] [CrossRef]
- Silva, W.N.; Henrique, L.F.; Silva, A.F.P.d.C.; Dias, B.H.; Soares, T.A. Market models and optimization techniques to support the decision-making on demand response for prosumers. Electr. Power Syst. Res. 2022, 210, 108059. [Google Scholar] [CrossRef]
- Zhang, Z.; Yang, H.; Zhang, Z.; Wang, Y. Optimization model of supply and demand matching of energy right products based on pre-listing transactions. In Proceedings of the 4th International Conference on Big Data Economy and Information Management, Tianjin, China, 27–29 October 2023; pp. 704–708. [Google Scholar]
- Stanelyte, D.; Radziukyniene, N.; Radziukynas, V. Overview of demand-response services: A review. Energies 2022, 15, 1659. [Google Scholar] [CrossRef]
- Honarmand, M.E.; Hosseinnezhad, V.; Hayes, B.; Shafie-Khah, M.; Siano, P. An overview of demand response: From its origins to the smart energy community. IEEE Access 2021, 9, 96851–96876. [Google Scholar] [CrossRef]
- Yang, P.; Jiang, H.; Liu, C.; Kang, L.; Wang, C. Coordinated optimization scheduling operation of integrated energy system considering demand response and carbon trading mechanism. Int. J. Electr. Power Energy Syst. 2023, 147, 108902. [Google Scholar] [CrossRef]
- Baldivieso Monasterios, P.R.; Verba, N.; Morris, E.A.; Morstyn, T.; Gaura, E.; McArthur, S. Incorporating forecasting and peer-to-peer negotiation frameworks into a distributed model predictive control approach for meshed electric networks. arXiv 2021, arXiv:2105.14547. [Google Scholar]
- Sampath, L.P.M.I.; Paudel, A.; Nguyen, H.D.; Foo, E.Y.S.; Gooi, H.B. Peer-to-peer energy trading enabled optimal decentralized operation of smart distribution grids. IEEE Trans. Smart Grid 2021, 13, 654–666. [Google Scholar] [CrossRef]
- Yan, M.; Shahidehpour, M.; Paaso, A.; Zhang, L.; Alabdulwahab, A.; Abusorrah, A. Distribution network-constrained optimization of peer-to-peer transactive energy trading among multi-microgrids. IEEE Trans. Smart Grid 2020, 12, 1033–1047. [Google Scholar] [CrossRef]
- Li, J.; Khodayar, M.E.; Wang, J.; Zhou, B. Data-driven distributionally robust co-optimization of P2P energy trading and network operation for interconnected microgrids. IEEE Trans. Smart Grid 2021, 12, 5172–5184. [Google Scholar] [CrossRef]
- Pop, C.; Antal, M.; Cioara, T.; Anghel, I.; Salomie, I.; Bertoncini, M. A fog computing enabled virtual power plant model for delivery of frequency restoration reserve services. Sensors 2019, 19, 4688. [Google Scholar] [CrossRef]
- Wang, W.; Chen, P.; Zeng, D.; Liu, J. Electric vehicle fleet integration in a virtual power plant with large-scale wind power. IEEE Trans. Ind. Appl. 2020, 56, 5924–5931. [Google Scholar] [CrossRef]
- Van Summeren, L.F.M.; Wieczorek, A.J.; Bombaerts, G.J.T.; Verbong, G.P.J. Community energy meets smart grids: Reviewing goals, structure, and roles in virtual power plants in Ireland, Belgium and the Netherlands. Energy Res. Soc. Sci. 2020, 63, 101415. [Google Scholar] [CrossRef]
- Phyo, P.-P.; Jeenanunta, C. Advanced ML-based ensemble and deep learning models for short-term load forecasting: Comparative analysis using feature engineering. Appl. Sci. 2022, 12, 4882. [Google Scholar] [CrossRef]
- Sivakumar, S.A. Predictive analytics for demand response management with AI. Acta Energetica 2024, 2, 12–22. [Google Scholar]
- Khan, M.A.; Saleh, A.M.; Waseem, M.; Sajjad, I.A. Artificial intelligence enabled demand response: Prospects and challenges in smart grid environment. IEEE Access 2022, 11, 1477–1505. [Google Scholar] [CrossRef]
- Aguiar-Pérez, J.M.; Pérez-Juárez, M.A. An insight of deep learning based demand forecasting in smart grids. Sensors 2023, 23, 1467. [Google Scholar] [CrossRef]
- Sangoleye, F.; Jao, J.; Faris, K.; Tsiropoulou, E.E.; Papavassiliou, S. Reinforcement learning-based demand response management in smart grid systems with prosumers. IEEE Syst. J. 2023, 17, 1797–1807. [Google Scholar] [CrossRef]
- Wen, X.; Liao, J.; Niu, Q.; Shen, N.; Bao, Y. Deep learning-driven hybrid model for short-term load forecasting and smart grid information management. Sci. Rep. 2024, 14, 13720. [Google Scholar] [CrossRef]
- El Maghraoui, A.; El Hadraoui, H.; Ledmaoui, Y.; El Bazi, N.; Guennouni, N.; Chebak, A. Revolutionizing smart grid-ready management systems: A holistic framework for optimal grid reliability. Sustain. Energy Grids Netw. 2024, 39, 101452. [Google Scholar] [CrossRef]
- Ma, R.; Yi, Z.; Xiang, Y.; Shi, D.; Xu, C.; Wu, H. A blockchain-enabled demand management and control framework driven by deep reinforcement learning. IEEE Trans. Ind. Electron. 2022, 70, 430–440. [Google Scholar] [CrossRef]
- Dascalu, A.; Cruden, A.J.; Sharkh, S.M. Experimental investigations into a hybrid energy storage system using directly connected lead-acid and Li-ion batteries. Energies 2024, 17, 4726. [Google Scholar] [CrossRef]
- Szott, M.; Wermiński, S.; Jarnut, M.; Kaniewski, J.; Benysek, G. Battery energy storage system for emergency supply and improved reliability of power networks. Energies 2021, 14, 720. [Google Scholar] [CrossRef]
- Diaz-Gonzalez, F.; Chillón-Antón, C.; Llonch-Masachs, M.; Galceran-Arellano, S.; Rull-Duran, J.; Bergas-Jane, J.; Bullich-Massagué, E. A hybrid energy storage solution based on supercapacitors and batteries for the grid integration of utility scale photovoltaic plants. J. Energy Storage 2022, 51, 104446. [Google Scholar] [CrossRef]
- Zhang, L.; Hu, X.; Wang, Z.; Ruan, J.; Ma, C.; Song, Z.; Dorrell, D.G.; Pecht, M.G. Hybrid electrochemical energy storage systems: An overview for smart grid and electrified vehicle applications. Renew. Sustain. Energy Rev. 2021, 139, 110581. [Google Scholar] [CrossRef]
- Wang, Z.; Tuo, X.; Zhou, J.; Xiao, G. Performance study of large capacity industrial lead-carbon battery for energy storage. J. Energy Storage 2022, 55, 105398. [Google Scholar] [CrossRef]
- Han, K.B.; Jung, J.; Kang, B.O. Real-time load variability control using energy storage system for demand-side management in South Korea. Energies 2021, 14, 6292. [Google Scholar] [CrossRef]
- Kebede, A.A.; Kalogiannis, T.; Van Mierlo, J.; Berecibar, M. A comprehensive review of stationary energy storage devices for large scale renewable energy sources grid integration. Renew. Sustain. Energy Rev. 2022, 159, 112213. [Google Scholar] [CrossRef]
- Theocharis, A.; Hamanee, S. Battery storage at the secondary distribution electricity grid by investigating end-users load demand measurements. Energies 2022, 15, 2743. [Google Scholar] [CrossRef]
- Barakat, S.; Emam, A.; Samy, M.M. Investigating grid-connected green power systems’ energy storage solutions in the event of frequent blackouts. Energy Rep. 2022, 8, 5177–5191. [Google Scholar] [CrossRef]
- Phogat, P.; Dey, S.; Wan, M. Powering the sustainable future: A review of emerging battery technologies and their environmental impact. RSC Sustain. 2025, 3, 3266–3306. [Google Scholar] [CrossRef]
- Zeng, Y.; Li, X.; Fu, J.; Shen, P.K.; Zhang, X. Corrigendum: High-energy-density and high-rate membraneless Ni–Fe battery enabled by a 1-butyl-3-methylimidazolium bromide-based gel electrolyte. ChemElectroChem 2023, 10, e202300354. [Google Scholar]
- Sun, H.; Wang, C.; Qi, Z.; Hu, W.; Zhang, Z. Nanostructure nickel-based selenides as cathode materials for hybrid battery–supercapacitors. Front. Chem. 2021, 8, 611032. [Google Scholar] [CrossRef]
- Salkuti, S.R. Electrochemical batteries for smart grid applications. Int. J. Electr. Comput. Eng. 2021, 11, 1849–1856. [Google Scholar]
- Li, Y.; Tan, Z.; Liu, Y.; Lei, C.; He, P.; Li, J.; He, Z.; Cheng, Y.; Wu, F.; Li, Y. Past, present and future of high-nickel materials. Nano Energy 2024, 119, 109070. [Google Scholar] [CrossRef]
- Li, F.; Wang, D.; Liu, D.; Yang, S.; Sun, K.; Liu, Z.; Yu, H.; Qin, J. A comprehensive review on energy storage system optimal planning and benefit evaluation methods in smart grids. Sustainability 2023, 15, 9584. [Google Scholar] [CrossRef]
- Huang, Z.; Song, B.; Zhang, H.; Feng, F.; Zhang, W.; Lu, K.; Chen, Q. High-capacity and stable sodium–sulfur battery enabled by confined electrocatalytic polysulfides full conversion. Adv. Funct. Mater. 2021, 31, 2100666. [Google Scholar] [CrossRef]
- Wang, L.; Wang, T.; Peng, L.; Wang, Y.; Zhang, M.; Zhou, J.; Chen, M.; Cao, J.; Fei, H.; Duan, X.; et al. The promises, challenges and pathways to room-temperature sodium–sulfur batteries. Natl. Sci. Rev. 2022, 9, nwab050. [Google Scholar]
- Wang, Y.; Zhang, Y.; Cheng, H.; Ni, Z.; Wang, Y.; Xia, G.; Li, X.; Zeng, X. Research progress toward room temperature sodium–sulfur batteries: A review. Molecules 2021, 26, 1535. [Google Scholar] [CrossRef]
- Wu, J.; Tian, Y.; Gao, Y.; Gao, Z.; Meng, Y.; Wang, Y.; Wang, X.; Zhou, D.; Kang, F.; Li, B.; et al. Rational electrolyte design toward cyclability remedy for room-temperature sodium–sulfur batteries. Angew. Chem. Int. Ed. 2022, 61, e202205416. [Google Scholar]
- Yan, Z.; Zhao, L.; Wang, Y.; Zhu, Z.; Chou, S.-L. The future for room-temperature sodium–sulfur batteries: From persisting issues to promising solutions and practical applications. Adv. Funct. Mater. 2022, 32, 2205622. [Google Scholar]
- Murugan, S.; Klostermann, S.V.; Schützendübe, P.; Richter, G.; Kästner, J.; Buchmeiser, M.R. Stable cycling of room-temperature sodium–sulfur batteries based on an in situ crosslinked gel polymer electrolyte. Adv. Funct. Mater. 2022, 32, 2201191. [Google Scholar] [CrossRef]
- Zhang, Y.; Guo, X.; Yang, Q.; Shao, Y.; Du, Y.; Qi, J.; Zhao, M.; Shang, Z.; Hao, Y.; Tang, Y.; et al. Chemical and spatial dual-confinement engineering for stable Na–S batteries with approximately 100% capacity retention. Proc. Natl. Acad. Sci. USA 2023, 120, e2314408120. [Google Scholar] [CrossRef] [PubMed]
- Basel, J.; Sapkota, N.; Parekh, M.; Rao, A.M. Electrolyte optimization for sodium–sulfur batteries. Appl. Phys. Lett. 2024, 124, 123901. [Google Scholar]
- Liu, D.; Li, Z.; Li, X.; Chen, X.; Li, Z.; Yuan, L.; Huang, Y. Stable room-temperature sodium–sulfur batteries in ether-based electrolytes enabled by the fluoroethylene carbonate additive. ACS Appl. Mater. Interfaces 2022, 14, 6658–6666. [Google Scholar] [CrossRef]
- Zhang, H.; Gao, Y.; Liu, X.; Zhou, L.; Li, J.; Xiao, Y.; Peng, J.; Wang, J.; Chou, S.-L. Long-cycle-life cathode materials for sodium-ion batteries toward large-scale energy storage systems. Adv. Energy Mater. 2023, 13, 2300149. [Google Scholar]
- Singh, A.N.; Islam, M.; Meena, A.; Faizan, M.; Han, D.; Bathula, C.; Hajibabaei, A.; Anand, R.; Nam, K.-W. Unleashing the potential of sodium-ion batteries: Current state and future directions for sustainable energy storage. Adv. Funct. Mater. 2023, 33, 2304617. [Google Scholar]
- Zhu, Q.; Wu, J.; Li, W.; Hu, X.; Tian, N.; He, L.; Li, Y. Boosting sodium-ion battery performance by anion doping in NASICON Na4MnCr(PO4)3 cathode. J. Colloid Interface Sci. 2024, 663, 191–202. [Google Scholar]
- Tyagaraj, H.B.; Marje, S.J.; Ranjith, K.S.; Hwang, S.-K.; Al Ghaferi, A.; Chodankar, N.R.; Huh, Y.S.; Han, Y.-K. Sodium-ion batteries: Charge storage mechanisms and recent advancements in diglyme-based electrolytes. J. Energy Storage 2023, 74, 109411. [Google Scholar] [CrossRef]
- Pahari, D.; Verma, P.; Puravankara, S. Are Na-ion batteries nearing the energy storage tipping point?—Current status of non-aqueous, aqueous, and solid-state Na-ion battery technologies for sustainable energy storage. J. Energy Storage 2022, 56, 105961. [Google Scholar]
- Ma, W.-L.; Zhou, Y.; Zhao, X.-W.; Cao, X.; Wu, P.; Zhu, X.-S.; Wei, S.-H.; Sun, K.; Zhou, H.; Zhou, Y.-M. Ultra-fast-charging, long-duration, and wide-temperature-range sodium storage enabled by multiwalled carbon nanotube-hybridized biphasic polyanion-type phosphate cathode materials. ACS Appl. Mater. Interfaces 2024, 16, 34819–34829. [Google Scholar]
- Parthasarathy, C.; Laaksonen, H.; Redondo-Iglesias, E.; Pelissier, S. Aging aware adaptive control of Li-ion battery energy storage system for flexibility services provision. J. Energy Storage 2023, 57, 106268. [Google Scholar]
- Rouholamini, M.; Wang, C.; Nehrir, H.; Hu, X.; Hu, Z.; Aki, H.; Zhao, B.; Miao, Z.; Strunz, K. A review of modeling, management, and applications of grid-connected Li-ion battery storage systems. IEEE Trans. Smart Grid 2022, 13, 4505–4524. [Google Scholar]
- Cheng, L.; Wan, Y.; Zhou, Y.; Gao, D.W. Operational reliability modeling and assessment of battery energy storage based on lithium-ion battery lifetime degradation. J. Mod. Power Syst. Clean Energy 2021, 10, 1738–1749. [Google Scholar] [CrossRef]
- Iqbal, H.; Sarwar, S.; Kirli, D.; Shek, J.K.H.; Kiprakis, A.E. A survey of second-life batteries based on techno-economic perspective and applications-based analysis. Carbon Neutrality 2023, 2, 8. [Google Scholar] [CrossRef]
- Kostenko, G.; Zaporozhets, A. Transition from electric vehicles to energy storage: Review on targeted lithium-ion battery diagnostics. Energies 2024, 17, 5132. [Google Scholar] [CrossRef]
- Wang, W.; Liu, S.; Ma, X.-Y.; Jiang, J.; Yang, X.-G. Advancing smart lithium-ion batteries: A review on multi-physical sensing technologies for lithium-ion batteries. Energies 2024, 17, 2273. [Google Scholar] [CrossRef]
- Nazaralizadeh, S.; Banerjee, P.; Srivastava, A.K.; Famouri, P. Battery energy storage systems: A review of energy management systems and health metrics. Energies 2024, 17, 1250. [Google Scholar] [CrossRef]
- Solyali, D.; Safaei, B.; Zargar, O.; Aytac, G. A comprehensive state-of-the-art review of electrochemical battery storage systems for power grids. Int. J. Energy Res. 2022, 46, 17786–17812. [Google Scholar] [CrossRef]
- Waqas, A.; Qi, H.; Jian, L.; Abdullah, A.K.; Umashankar, S.; Sivakumar, S.S. Reputation-based uniform pricing & energy distribution in peer-to-peer energy trading market. Ain Shams Eng. J. 2025, 16, 103715. [Google Scholar]
- Ishfaq, H.; Amin, W.; Ashfaq, S.; Mushtaq, N.; Shi, X. Attention-Enhanced Bidirectional LSTM for Accurate False Data Injection Attack Detection in Smart Grid. Trans. Emerg. Telecommun. Technol. 2025, 36, 70238. [Google Scholar] [CrossRef]
- Ahmed, S.A.; Huang, Q.; Zhang, Z.; Li, J.; Amin, W.; Afzal, M.; Hussain, J.; Hussain, F. Optimization of social welfare and mitigating privacy risks in P2P energy trading: Differential privacy for secure data reporting. Appl. Energy 2024, 356, 122403. [Google Scholar] [CrossRef]
- Force, J.T.; Benysek, G. Security and Privacy Controls for Information Systems and Organizations. National Institute of Standards and Technology. 2017. Available online: https://nvlpubs.nist.gov/nistpubs/SpecialPublications/NIST.SP.800-53r5.pdf (accessed on 1 September 2025).
- International Electrotechnical Commission (IEC). Power Systems Management and Associated Information Exchange—Data and Communications Security—Part 3: Communication Network and System Security—Profiles Including TCP/IP. International Electrotechnical Commission. 2014. Available online: https://cdn.standards.iteh.ai/samples/105100/b7a344cdd98f47e4a67e4a94e9df50b5/IEC-62351-3-2023.pdf (accessed on 1 September 2025).
- Cindrić, I.; Jurčević, M.; Hadjina, T. Mapping of Industrial IoT to IEC 62443 Standards. Sensors 2025, 25, 728. [Google Scholar] [CrossRef]
- Ishfaq, H.; Kanwal, S.; Anwar, S.; Abdussalam, M.; Amin, W. Enhancing Smart Grid Security and Efficiency: AI, Energy Routing, and T&D Innovations (A Review). Energies 2025, 18, 4747. [Google Scholar] [CrossRef]














| Refs. | System Model | Goal | Security Parameters | Performances | Limitations |
|---|---|---|---|---|---|
| [67,74] | SG, Data Aggregator, SMs | Aggregate encrypted energy consumption data to preserve user privacy in SG. | Confidentiality, Integrity, and Availability of encrypted data | Efficient data aggregation, reducing exposure of sensitive information. | High computational overhead, especially in large networks. |
| [75] | Smart Metering System, Cloud-based Framework | Enable secure demand-side energy management while preserving privacy using HE. | Privacy of users’ consumption data, Data confidentiality | Secure privacy-preserving aggregation, effective for dynamic demand-response systems. | Heavy computation, delays in processing large-scale data. |
| [76,77] | SG, Distributed Energy Systems | Preserve privacy during SG data processing and forecasting. | Confidentiality of real-time data, Robustness to cyberattacks | Secure processing and forecasting for energy data, supports multiparty computation. | High encryption cost, latency in data handling for large datasets. |
| [78] | SM, Consumer-side Aggregators | Enable privacy-preserving energy consumption analysis for smart grid forecasting. | Secure computation, Data integrity, Privacy of consumers | Improved privacy, secure aggregation of energy data, real-time analysis possible. | Large overhead for dynamic data and issues with real-time processing. |
| [69] | SG, Centralized Data Servers | Securely aggregate and analyze energy data from multiple SMs while preserving privacy. | Data confidentiality, Authentication, Integrity of aggregated data | Low-risk data breaches, secure load forecasting, scalable implementation. | Performance degradation with large datasets and high computation costs. |
| Refs. | System Model | Goal | Security Parameters | Performances | Limitations |
|---|---|---|---|---|---|
| [87,88] | Blockchain-based SG | Identity verification, ensuring users’ identity without revealing sensitive data | Identity verification, confidentiality, integrity | Efficient identity verification in decentralized systems | Computationally expensive, scalability issues with large-scale grids |
| [89] | Permissioned and permissionless blockchain | Privacy for identity, transactions, and smart contracts | Privacy preservation, transaction confidentiality, anonymity | Reduces transaction-related privacy risks | Limited by blockchain size and complexity |
| [90,91] | Blockchain-based SG | Billing verification and identity authentication | Privacy, non-repudiation, confidentiality | Fast and efficient in verifying billing information and user identity | Complex implementation in large-scale smart grid systems |
| [92] | Blockchain-based Privacy-Preserving Systems | Comparing ZKP protocols (zk-SNARKs, zk-STARKs) for secure authentication | Secure authentication, privacy preservation, efficiency | Comparison of zk-SNARKs, zk-STARKs, and bulletproof protocols for low-latency systems | Limited application to large-scale networks, high computational load for zk-SNARKs |
| [76] | IoT-based SG | Implementing ZKP for secure data exchange between consumers and utility providers | Confidentiality, authentication | Enables secure and private communication for energy data | High processing overhead in resource-constrained devices |
| Refs. | System Model | Goal | Security Parameters | Performances | Limitations |
|---|---|---|---|---|---|
| [88] | SG with multiple users, demand-response systems | Ensure privacy of users’ energy usage data during collaborative optimization and demand-response computations | Data privacy, integrity, confidentiality | Efficient in computation and communication overhead | Scalability issues with large systems and multiple participants |
| [75,98] | Cloud-based AI and SG systems | Address data privacy and security concerns during energy consumption optimization | Data confidentiality, encryption, non-repudiation | Enhances security for cloud-based smart grid systems | Increased latency and computation costs due to complex cryptographic operations |
| [99] | Distributed SG with multiple consumers and grid operators | Secure collaborative computations for demand response without compromising privacy | Privacy, confidentiality, trust, authentication | Highly efficient for small to medium-sized grids | Scalability issues with large datasets and numerous participants |
| Refs. | System Model | Goal | Security Parameters | Performances | Limitations |
|---|---|---|---|---|---|
| [115] | SG with smart meters and aggregators | Aggregate energy consumption data while preserving consumer privacy | Data aggregation, privacy preservation, encryption | Efficient aggregation with reduced communication overhead | Aggregated data may lose individual-level accuracy |
| [127] | Residential energy usage data from SMs | Aggregate data in a way that maintains privacy without compromising data utility for analysis | Homomorphic Encryption, data anonymization | Effective at maintaining data utility for grid management | Higher computational complexity due to encryption processes |
| [128] | SG with distributed energy resources | Perform secure aggregation of energy consumption data across different smart meters | Data aggregation, privacy preservation, Secure Multiparty Computation | Reduced data leakage with minimal performance impact | Some aggregation models increase latency due to encryption |
| [129] | Energy data aggregation in a smart city | Aggregate data from multiple smart meters while maintaining privacy of users’ energy consumption patterns | Data aggregation, differential privacy, noise injection | High accuracy in aggregated results with strong privacy guarantees | Increased noise can reduce the accuracy of the aggregated data |
| Refs. | System Model | Goal | Security Parameters | Performances | Limitations |
|---|---|---|---|---|---|
| [136] | Blockchain-based SG with decentralized control | Automate energy transactions and ensure secure, tamper-proof agreements between consumers and producers | Blockchain, cryptographic signatures, encryption | High transparency and immutability; reduces fraud in transactions | Scalability issues with large-scale deployments |
| [137] | Peer-to-peer energy trading in SGs | Use smart contracts to facilitate secure and automated energy trading between prosumers | Smart contracts, blockchain, digital signatures | Efficient energy trading with minimal overhead and reduced human error | Potential delays in transaction execution due to blockchain confirmation times |
| [138] | Energy management system using smart contracts | Automate billing and payment for energy usage while ensuring privacy and transparency | Blockchain, encryption, access control | Provides secure billing and payment system with reduced administrative costs | High computational power required for contract execution |
| [88] | Decentralized SG system with smart contracts for grid operation | Enable autonomous grid management and decision-making through automated contracts | Decentralized access control, blockchain, cryptography | Improves operational efficiency and reduces human intervention | Limited adoption due to infrastructure requirements and implementation complexity |
| [139] | Decentralized energy trading platform | Ensure the privacy and integrity of trading data through secure smart contracts | Blockchain, Zero-Knowledge Proofs (ZKPs), cryptographic protocols | Enhances privacy while automating secure energy trading | Complex implementation and maintenance costs in large-scale grids |
| Refs. | System Model | Goal | Security Parameters | Performances | Limitations |
|---|---|---|---|---|---|
| [140] | Decentralized energy management system | Provide secure and efficient access to energy data and smart grid resources | Blockchain, public-key infrastructure, cryptographic access control | High security and flexibility; allows dynamic access control | High computational cost and complexity in implementation |
| [144] | Blockchain-based SG with decentralized control | Enable secure, role-based access to SG data and services | Blockchain, multi-signature authentication, access policies | Enhanced privacy and control over energy data sharing | Complexity in managing large numbers of access policies and users |
| [145] | SG with decentralized access control for energy data sharing | Allow users to control and grant access to their energy consumption data | Smart contracts, encryption, Zero-Knowledge Proofs | Efficient data sharing with enhanced privacy; reduces risks of unauthorized access | Risk of performance bottlenecks in real-time applications |
| Consensus Mechanism | Description | Advantages | Limitations | Storage Requirements | Latency | Scalability | Common Use Cases in Smart Grid | Key References |
|---|---|---|---|---|---|---|---|---|
| Proof of Work (PoW) | Miners solve cryptographic puzzles to create a new block. | High security, widely tested | High energy consumption, slower transactions | High (full blockchain replication) | High (minutes scale) | Low (scales poorly) | Data aggregation, electricity consumption recording | [146] |
| Proof of Stake (PoS) | Validators chosen based on coin holdings staked as collateral. | Energy efficient, faster than PoW | Potential centralization risk | Moderate (depends on node role) | Moderate (seconds scale) | Moderate to high | Distributed energy resources management | [147] |
| Delegated Proof of Stake (DPoS) | Stakeholders elect delegates to validate transactions and create blocks. | Faster consensus, scalable | Trust issues, potential centralization | Moderate | Low (seconds or less) | High | Real-time energy trading, demand response | [147] |
| Practical Byzantine Fault Tolerance (PBFT) | Nodes agree on transaction order through voting rounds. | Low latency, suitable for permissioned networks | Scalability limits in large networks | Low to moderate | Very low (milliseconds to seconds) | Low to moderate | Consortium blockchain for monitoring, maintenance | [148] |
| Proof of Task (PoT) | Nodes complete real-time control tasks for consensus based on contribution. | Real-time control, contribution-based | Emerging, under development | Moderate | Very low | Moderate | Real-time regulation and control of renewable energy systems | [147] |
| Proof of Authority (PoA) | Trusted validators are pre-approved and known entities maintaining the network. | High throughput, low energy use | Centralization risk | Low (permissioned blockchain) | Very low | High | Permissioned smart grid networks | [146] |
| Proof of Credit Scores (PoCS) | Consensus based on node credit scores reflecting trustworthiness and performance. | Encourages honest participation, efficient | Complexity in credit evaluation | Moderate | Moderate | Moderate | Smart grid power trading systems | [149] |
| Proof of Importance (PoI) | Nodes gain importance score based on activity and stake influencing block creation rights. | Encourages active participation and stakeholding | Less common, requires additional metrics | Moderate | Moderate | Moderate | Energy trading and decentralized energy markets | [150] |
| Proof of Elapsed Time (PoET) | Random wait times assigned to nodes; the first to finish produces the block. | Energy efficient, fair | Requires trusted execution environment | Low | Very low | Moderate | Suitable for permissioned smart grids | [151] |
| Algorand Consensus | Pure PoS variant with verifiable random functions for leader election. | High security, fast finality | Complexity in implementation | Moderate | Low | High | Distributed energy resource coordination | [152] |
| RAFT Consensus | Leader-based consensus utilized mostly in permissioned blockchains. | Simplicity, low overhead | Not decentralized | Low | Very low | Moderate | Consortium smart grid implementations | [153] |
| Refs. | System Model | Goal | Security Parameters | Performances | Limitations |
|---|---|---|---|---|---|
| [158] | Tokenization in SG data management | Protect users’ personal energy consumption data while enabling secure transactions | Cryptographic token generation, data masking | Enhanced privacy by converting sensitive data into non-sensitive tokens | Risk of token theft if not properly managed |
| [159] | SG platform using tokenized identities for energy trading | Enable secure, anonymous energy transactions among prosumers and consumers | Tokenized identities, encryption, blockchain | Secure energy trading with privacy-preserving features | Possible scalability issues when handling a large number of transactions |
| [159] | Blockchain-based tokenized smart SG system for data access control | Prevent unauthorized access to smart grid data using tokens for verification | Smart contracts, tokenized access control | Fast, secure data access control with reduced risks of unauthorized access | High computational overhead and reliance on blockchain networks |
| Refs. | System Model | Goal | Security Parameters | Performances | Limitations |
|---|---|---|---|---|---|
| [165] | Federated learning for distributed energy resources (DERs) | Train models for optimal energy dispatch across DERs without revealing individual data | Secure aggregation, federated model synchronization | Efficient energy distribution, better user privacy preservation | Data heterogeneity, model imbalance due to unshared local data |
| [166] | SG demand-response system using federated learning | Optimize energy consumption models while maintaining privacy | Local model training, differential privacy | Enhanced privacy for users, reduced central data processing | Delays in model updates, potential inefficiencies with large-scale systems |
| [167] | Federated learning for distributed energy resources (DERs) | Train models for optimal energy dispatch across DERs without revealing individual data | Secure aggregation, federated model synchronization | Efficient energy distribution, better user privacy preservation | Data heterogeneity, model imbalance due to unshared local data |
| Refs. | System Model | Goal | Security Parameters | Performances | Limitations |
|---|---|---|---|---|---|
| [170] | Adversarial machine learning for anomaly detection in smart grids | Detect adversarial attacks in energy consumption data | Adversarial training, perturbation-based attack detection | Improved robustness against data tampering, anomaly detection in real time | Risk of adversarial model manipulation, requires extensive training data |
| [171] | SG cybersecurity using adversarial learning for load forecasting | Detect adversarial inputs influencing energy consumption predictions | GANs for synthetic attack generation, adversarial robustness | Increased prediction accuracy under adversarial conditions, resilient against data poisoning | Computational cost of adversarial model training, vulnerability to strong attacks |
| [31] | Adversarial training for secure energy trading in P2P systems | Enhance security of decentralized energy trading systems by learning adversarial behaviors | Generative adversarial networks (GANs), secure training protocols | Enhanced resistance to cyberattacks in peer-to-peer energy transactions | Difficulty in balancing model performance with adversarial robustness |
| Method | Key Advantages | Main Limitations | Key Insights and Suitability for Smart Grids | Latency | Computation Cost/Scalability | Refs. |
|---|---|---|---|---|---|---|
| HE | Strong privacy; allows computation over encrypted data | Very high computational overhead; unsuitable for real-time | Suitable for offline analysis or small-scale aggregation | 0.5–5 s (per operation/aggregation) | <10 k users (current demos) | [172] |
| ZKP | Enables authentication without revealing data | High complexity; latency in large-scale systems | Effective for billing/identity verification, not for bulk data | 300–600 ms (per proof) | <5 k users | [173] |
| SMPC | Collaborative computation without sharing raw data | Heavy communication overhead; scales poorly | Useful for cooperative analytics among few entities | 200-ms (For Three Parties) | 1.5 Mbps Per operation | [173] |
| DP | Lightweight; scalable; strong formal guarantees | Loss of accuracy due to noise addition | Good for large-scale smart meter data aggregation | <50 ms | >100 k users | [76] |
| BC | Tamper-proof records; transparency; decentralization | Scalability and transaction delays; energy consumption | Suitable for settlements and secure trading platforms | 1–10 s per transaction (PoW); 200–400 ms (PoS/DAG) | <1 k users (PoW); >50 k users (PoS/DAG) | [174,175] |
| FL | Data never leaves the devices; transparency; decentralization | Communication overhead, heterogeneity | Suitable for offline analysis or small-scale aggregation | 100–300 ms per round | >10 k users | [176] |
| Pricing Mechanism | Objective Function |
|---|---|
| Uniform Pricing | Maximize social welfare:
|
| Discriminatory Pricing | Maximize individual profits or market participation:
|
| Locational Marginal Pricing (LMP) | Minimize total system cost subject to power flow and grid constraints:
|
| SDR-based Pricing | Maximize market efficiency and fairness by balancing supply and demand:
|
| Application Area | Technique Used | Description | Refs. |
|---|---|---|---|
| Auction Design (Pay-as-Bid, Vickrey–Clarke–Groves) | Nash Equilibrium/Auction Theory | Game theory models are used to design and analyze auction mechanisms like pay-as-bid and Vickrey auctions to determine optimal bidding strategies in competitive electricity markets. | [208,300] |
| Bilateral Electricity Markets | Nash Equilibrium | Nash equilibrium models are used to study bidding strategies in bilateral electricity markets, where players (sellers and buyers) interact to optimize their payoffs. | [301,302] |
| Peer-to-Peer (P2P) Energy Trading | Non-Cooperative Game Theory | Game theory is applied to model the strategic interactions of prosumers and consumers in P2P energy trading systems, optimizing pricing and transaction behavior. | [241,303,304] |
| Distributed Energy Resource (DER) Aggregation | Nash–Stack-elberg Game | Nash–Stackelberg game theory models are applied to optimize pricing and bidding strategies in DER aggregation by modeling the interactions between aggregators and retailers. | [305,306,307] |
| Tradable Green Certificates (TGCs) | Nash Bargaining Theory | Nash bargaining models are used for price determination and profit-sharing in energy markets, ensuring mutual benefits between stakeholders. | [308,309,310] |
| Forward and Futures Markets | Nash Equilibrium + No-Regret Learning | Nash equilibrium and no-regret learning algorithms are used to determine optimal bidding strategies in forward and futures electricity markets, considering market volatility. | [293,311] |
| Objective | Optimization Technique | Description | Refs. |
|---|---|---|---|
| Market Clearing | Linear Programming (LP) | Linear Programming (LP) is widely used for optimizing the market clearing process, minimizing costs while satisfying supply and demand constraints. | [313,326,327,328] |
| Bidding Strategies in Electricity Auctions | Mixed-Integer Linear Programming (MILP) | MILP is applied to model bidding strategies and generation scheduling, helping market participants determine optimal strategies for both price and quantity. | [329,330] |
| Price Forecasting in Spot Markets | Convex Optimization | Convex optimization is used for forecasting prices in spot markets, where prices are determined based on supply–demand dynamics and operational constraints. | [319,331] |
| Real-time Pricing Adjustment | Stochastic Optimization | Stochastic optimization is applied in real-time price adjustment by modeling uncertainty in market conditions and helping determine optimal pricing strategies under uncertainty. | [321,332] |
| Generation Scheduling and Profit Maximization | Mixed-Integer Non-Linear Programming (MINLP) | MINLP models are applied to optimize generation scheduling while maximizing profit, considering operational and environmental constraints such as emission limits. | [333,334] |
| Energy Storage Optimization | Particle Swarm Optimization (PSO) | PSO is used to optimize the operation of energy storage systems by minimizing cost and maximizing energy delivery efficiency based on demand forecasts and storage capacity. | [335,336,337] |
| Bidding in Renewable Energy Markets | Genetic Algorithms (GAs) | Genetic algorithms (GAs) are used to model and optimize bidding strategies in renewable energy markets, considering factors like energy production and market prices. | [338,339] |
| Technique | Advantages | Disadvantages | Challenges |
|---|---|---|---|
| Game Theory Techniques | Helps model strategic interactions between market participants. Provides insights into optimal bidding strategies. Can handle competitive pricing environments. | Assumes rational behavior, which may not always hold in real-world markets. Models can become complex for large-scale systems. Computational complexity for large datasets. | Uncertainty in behavior modeling. Equilibrium calculation in large markets is difficult. Handling non-cooperative behaviors in dynamic markets. |
| Optimization Techniques | Offers efficient solutions for complex problems (e.g., market clearing, generation scheduling). Can optimize for cost minimization and profit maximization. Can incorporate uncertainty and constraints effectively. | Limited flexibility in some non-linear or dynamic pricing models. Requires accurate data inputs, which may be difficult to obtain in real-world markets. Scalability issues in larger markets. | Data accuracy issues in forecasting. Requires computational resources for large-scale problems. Difficulty in modeling renewable energy variability in optimization problems. |
| Numerical-Based Techniques | Can handle uncertainty and complexity in pricing models. Useful for real-time price determination. Can simulate various market scenarios and price behaviors. | May not provide global optimal solutions for non-linear problems. Computationally expensive for large-scale models. Sensitivity to initial conditions can affect results. | High computational costs for real-time price simulation. Difficulty in calibrating models under dynamic market conditions. Handling large data in Monte Carlo simulations or FDM. |
| AI-Based Techniques | Adaptability to dynamic market conditions. Improved accuracy in price forecasting and real-time pricing. Can handle large datasets and complex patterns. | Requires large amounts of training data. Models can become black-boxes, making it difficult to interpret results. Overfitting can be an issue in some models. | Data quality and availability. Model interpretability can be a concern for decision-makers. Training time for large-scale models and adaptation to market dynamics. |
| Model Type | Main Principle | Typical Use Scenarios | Strengths | Weaknesses | Operational Challenges | Scalability | Data Requirements | Real-Time Capability |
|---|---|---|---|---|---|---|---|---|
| Iterative Model | Progressive updates until convergence; decentralized interactions | Decentralized coordination, iterative pricing, DSM | Simple implementation; distributed; scalable | Slow convergence; sensitive to delays; suboptimal solutions | Communication reliability; synchronization | High | Low to Moderate | Moderate |
| Optimization Model | Mathematical programming (LP/MILP/heuristics) | Cost minimization, load balancing, scheduling | Achieves optimality; constraint flexibility; performance control | Computationally intensive; centralized; complex modeling | Data availability; solving high-dimensional problems | Moderate | High | Challenging |
| Game Theoretic Model | Strategic decision-making among multiple agents (users, suppliers) | Pricing, market design, incentive mechanism, auctions | Captures strategic intelligence; equilibrium concepts | Equilibrium may not be unique; complexity; data dependency | Ensuring incentive compatibility; privacy; convergence | Moderate | Moderate to High | Moderate |
| AI-Based Model | Learning from data (ML, deep learning, RL, expert systems, etc.) | Forecasting, anomaly detection, demand prediction | Adapts to uncertainty; predictive; pattern recognition | Needs training data; transparency issues; bias risks | Integration with legacy systems; computation; security risks | High | High | High |
| Ref. | Model Focus | Data Used | Findings | Strength | Limitation |
|---|---|---|---|---|---|
| [371] | Demand peak reduction via incentives | Smart grid agent load data | Novel incentive algorithm learning user response iteratively under budget constraints | Realistic agent modeling, budget aware | Simulator-based results; limited real-field validation |
| [372] | Demand–supply balancing in power | Generator and consumer data | Stackelberg equilibrium algorithm balancing supply and demand interactions | Strong theoretical foundation | Heavy assumptions on rationality and market structure |
| [373] | Integration of smart buildings | Building and grid integrated data | Proposes iterative optimization for building-grid demand coordination | Building-grid integration focus | Scale limitations from building to entire grid |
| [374] | Market clearing and price setting | Electricity market bid data | Fast converging algorithm robust to stochastic bids | Efficient market clearing with robustness | Focus on market, less on grid operation |
| [375] | Smart Grid Energy Management | Machine learning iterative algorithms | Demand forecasting, failure detection | Smart meters and sensors | Integrates ML for iterative energy load balancing and anomaly detection |
| [376] | Multi-level supply–demand matching | Cost/performance measures | Reduces mismatch via multi-level iterative solution | Hierarchical structure improves scalability | Solution complexity not fully addressed |
| Ref. | Game Type | Objectives | Strengths |
|---|---|---|---|
| [22] | Nash Equilibrium | Optimize energy consumption and pricing strategies between consumers and utilities; balance consumer cost savings with utility revenue while promoting green energy use | Uses smart meter data for informed, strategic decision-making; achieves a mutually beneficial equilibrium where both consumers and utilities maximize payoffs |
| [377] | Non-cooperative Game | Analyse interactions between distributed generation (DG) units and autonomous demand-response programs in smart distribution grids; reduce total operational costs and power losses | Enhances overall grid performance in terms of power quality and stability |
| [378] | Nash Bargaining Model | Achieve fair benefit allocation between trading peers while maximizing social welfare | Balances fairness and efficiency, ensuring stable cooperation |
| [379] | Nash Equilibrium | Optimize energy consumption and pricing strategies between consumers and utilities using green energy sources | Balances consumer and utility interests; reduces costs; promotes green energy adoption |
| [380] | Nash Equilibrium | Demand side management in smart grids to optimize energy use and costs, maximizing utility and consumer payoffs | Enhances energy efficiency; reduces environmental pollution through green energy use |
| [381] | Non-cooperative Game | Manage smart distribution grids with distributed generation and autonomous demand response; analyze effects compared to centralized control | Reduces total costs and power losses; improves reactive power support, voltage profiles, and load profile flattening |
| [382] | Noncooperative Game | Encourage residential consumers to adjust electricity use via dynamic pricing; minimize costs while maintaining comfort | Significant cost savings without sacrificing comfort; optimized appliance scheduling using NSGA-II |
| [383] | Stackelberg Game | Optimize V2G pricing for aggregators and EV users, balancing benefits while considering charging costs and inconvenience | Models multi-entity interactions with realistic factors; validated through multi-aggregator EV simulations |
| [229] | Double Auction-Based Stackelberg Game | Enable P2P energy trading among prosumers to maximize participant profits, ensure social welfare, and maintain privacy | Achieves incentive compatibility and individual rationality; supports real-time trading via blockchain; effective under various scenarios |
| [384] | Concave N-Person Game | Optimize global power consumption scheduling of TCL users while considering individual preferences and REN generation forecasts | Adaptive and flexible pricing mechanism; fast solution via simplified model; smooths tie-line power in microgrids |
| Ref. | Optimization Type | Objectives | Strengths |
|---|---|---|---|
| [391] | Multi-objective optimization with real-time supply–demand balance | Minimize average electricity cost for the VPP operation, maximize renewable energy utilization (solar and wind), maintain grid stability while meeting demand | Manages uncertainty in renewable generation; adjusts supply allocation based on real-time market prices; selects optimal mix of multiple energy sources; reduces average electricity cost by 15%; increases renewable utilization by 20% |
| [392] | Multi-objective, market-based optimization (LP, MILP, Evolutionary Algorithms) | Reduce peak demand, ease power flow congestion, integrate DERs while maintaining grid stability, maximize economic benefits, improve DR participation and scheduling | Coordinates DER integration through AMI; enhances network and market operations; improves decision-making for DER management; increases flexibility and resilience of the power system |
| [393] | Market-based bilateral bidding model for pre-listing energy consumption rights trading | Connect medium-/long-term and spot markets, enable multi-day rights transfer, ensure fair bidding, align volume and price, improve resource allocation | Allows flexible listing and withdrawal within price tolerance; encourages engagement from supply and demand; improves market clearing with defined computation methods |
| [394] | DSM optimization with IoT-enabled monitoring and blockchain | Shift load from peak to off-peak, reduce costs, encourage behavioral change, cut emissions, improve grid efficiency | Uses smart meters and IoT for adaptive monitoring; supports competitive pricing; integrates tech and social change; enables secure transactions via blockchain |
| [395] | Goal-oriented classification and selection optimization for DR schemes | Improve performance and reliability, enhance decision-making, maximize economic benefits, integrate DR into ancillary services | Provides practical classification for DR plan selection; considers benefits and barriers; supports all stakeholders; aligns DR schemes with smart community concepts |
| [396] | MILP for optimal scheduling of integrated energy systems (CCHP, carbon capture, DR) | Minimize total operating cost (energy purchase, maintenance, carbon, compensation), enable low-carbon operation, enhance user satisfaction, optimize multi-energy flow | Integrates cooling, heating, and electricity DR with carbon trading; enables flexible load shifting; reduces gas purchase; cuts emissions; lowers costs by 5.9% plus 3.1% with DR |
| [397] | Distributed MPC with forecasting and P2P negotiation | Incorporate forecasting and peer-to-peer negotiation in distributed MPC for meshed grids | Enables coordinated, predictive control with negotiation; improves adaptability in meshed grids |
| [398] | Optimal decentralized operation model (P2P-enabled) | Achieve optimal decentralized operation of smart distribution grids with P2P trading | Facilitates decentralized decision-making; improves local autonomy and operational efficiency |
| [399] | Distribution network-constrained optimization for multi-microgrid P2P trading | Optimize P2P energy trading among multiple MGs considering network constraints | Integrates network constraints into market transactions; enhances feasibility and reliability |
| [400] | Data-driven distributionally robust co-optimization of P2P trading and network operation | Provide robust collaborative optimization for interconnected MGs considering fairness | Uses distributionally robust optimization and ADMM for decentralized, fair, and resilient decisions |
| [401] | Distributed consensus-based optimization | Reach agreement on energy prices and quantities via iterative local exchanges | Low communication overhead; convergence to global optimality |
| [402] | Bi-level optimization model | Upper level sets market prices; lower level optimizes prosumer schedules | Captures hierarchical decision-making between market operator and prosumers |
| [403] | Robust optimization | Account for uncertainty in renewable generation and demand during scheduling | Ensures feasible solutions under worst-case scenarios |
| Ref. | AI Model | Objectives | Strengths |
|---|---|---|---|
| [23] | Artificial Neural Networks (ANNs) | Predict energy consumption patterns for improved demand-response performance | Can capture complex, non-linear relationships in energy data, enabling accurate predictions |
| [404] | Supervised Machine Learning (SML) | Develop predictive models for load forecasting in demand response | Flexible with various algorithms; performance improves with quality feature engineering |
| [405] | Hybrid AI Approach (ANN + Optimization) | Optimize demand-response scheduling by combining predictive modeling with decision optimization | Integrates prediction accuracy with operational optimization for better scheduling outcomes |
| [406] | AI-based (ANN, Supervised ML) | Present an overview of AI methods in demand response, identify research gaps, and propose future study directions | ANNs can capture complex non-linear patterns in energy data; Supervised ML provides flexibility with various algorithms but benefits greatly from effective feature engineering |
| [407] | Deep Learning (LSTM) and Unsupervised Learning (K-means, Hierarchical Clustering, PCA) | Provide insight into demand forecasting in smart grids and explore deep learning techniques for improving forecasting accuracy | LSTM handles temporal dependencies in load profiles; Unsupervised learning reveals hidden patterns and clusters in consumption data |
| [408] | Reinforcement Learning | Develop price-driven demand-response management to minimize system cost via optimal pricing for prosumers | Handles incomplete information and outperforms other price-based DRM approaches |
| [409] | Hybrid GRU–TCN with Attention | Improve short-term power load forecasting accuracy and efficiency; enhance energy information management in smart grids | Incorporates uncertainty modeling with stochastic and Monte Carlo methods for robust forecasting |
| [410] | AI-based diagnostics and prognostics (Machine Learning) | Address challenges in smart grid management and security; develop a comprehensive framework for optimal grid reliability | Enables real-time monitoring and predictive maintenance for improved grid performance |
| [24] | AI methods (Machine Learning, ANN) | Provide an overview of AI techniques in energy demand response; identify future research directions in demand-side response | Offers diverse modeling capabilities; adaptable to various DR scenarios |
| [411] | Model-free DDPG on Hyperledger Fabric | Integrate distributed controllable resources for grid services; optimize DCR allocations and maximize prosumer profits | Handles continuous control without system model; on-chain execution and auditability; coordinates many resources securely |
| Ref. | Lead–Acid Type | Objectives | Strengths |
|---|---|---|---|
| [25] | Lead–acid Battery Model with New Control Scheme | Propose a new control scheme for hybrid energy storage systems; introduce a lead–acid battery model considering DoD and temperature effects | Enhances power filtering and voltage limit adherence; improves performance in poor thermal conditions |
| [412] | Hybrid Battery Configurations | Investigate hybrid energy storage system performance; analyze charge/discharge cycling of battery configurations | Enables round-trip efficiency measurement; provides insight into DoD impact on efficiency |
| [413] | Battery Energy Storage System (BESS) | Introduce battery energy storage for emergency power supply; improve reliability of separated power networks during outages | Based on real measurement data; enhances network reliability during main line damage or transmission limitations |
| [414] | Lead–acid Battery Pack + Supercapacitor Pack (HESS) | Manage hybrid energy storage for photovoltaic grid integration; optimize service level and minimize battery degradation | Balances power delivery between battery and supercapacitor; extends battery lifespan while maintaining optimal performance |
| [415] | Hybrid Electrochemical Energy Storage System (HEESS) | Summarize recent research progress in HEESS development; stimulate innovative thoughts for HEESS applications | Integrates system configuration, DC/DC converter design, and energy management strategy; supports innovative approaches for performance and lifespan improvements |
| [416] | Lead–Carbon Battery | Optimize positive plate performance and production process; enhance high-current charging and deep discharge capabilities | Improved positive plate structure and lead alloy selection; better deep discharge performance and tolerance to high-current charging |
| [417] | Hybrid MTM–ANN Method | Control load variability for real-time demand-side management; optimize reserved ESS capacity | Combines Markov Transition Matrix with ANN for improved real-time maximum demand control |
| [418] | Energy Storage Technology | Identify suitable energy storage devices for grid support applications; evaluate technical, economic, and environmental impacts | Provides a comprehensive comparative analysis of various storage devices for different stationary applications |
| [419] | Residential Energy Consumption and BESS Analysis | Analyze electrical power consumption patterns in residential areas; assess economic viability of aggregated and distributed battery energy storage systems | Provides insights into consumption patterns and potential business models for BESS deployment |
| [27] | Battery ESS and Power-to-Gas | Analyze balance and flows of electrical energy in networks; model operational modes incorporating electricity storage systems | Combines short-term and long-term storage solutions for improved grid flexibility |
| Ref. | Nickel-Based Type | Objectives | Strengths |
|---|---|---|---|
| [420] | Nickel–iron battery (NI) | Provide reliable backup power in a PV/battery hybrid system to compensate for main grid outages | Long lifespan, high durability, suitable for harsh environments, low maintenance needs |
| [421] | Nickel–Cadmium Battery (NiCd) | Durable industrial battery storage, withstands extreme temperatures | High cycle life (1000–1500+), wide temperature range, reliability |
| [422] | Membraneless Ni–Fe battery with gel electrolyte | Develop a high-performance Ni–Fe battery without membrane, improving redox kinetics and addressing passivation, hydrogen evolution, and self-discharge | Enhanced ion transport via self-assembled nanostructures; simpler design; reduced cost; improved durability |
| [423] | Nickel-based selenides | Summarize preparation methods (hydrothermal, thermal solvent, thermal decomposition, heat treatment) and discuss performance optimization paths | Provides a foundation for future research by consolidating methods and highlighting electrode–electrolyte interaction considerations |
| [424] | Ni-based batteries | Review current trends and classifications of electrochemical storage for smart grids and EVs, focusing on nickel- based technologies | Broad comparison with other battery types considering cost, impact, maintenance, advantages, and protection; supports informed selection for future applications |
| [425] | Ni-based (general) | Sustainable, scalable battery storage in smart grids | Long cycle life, safety, moderate energy density, scalable for grid and industrial use |
| [419] | Residential BESS Business Model Analysis | Analyze electrical power consumption patterns in residential areas; assess economic viability of aggregated and distributed battery energy storage systems | Provides insight into consumption behavior for optimized storage deployment; supports development of viable business models for nickel-based BESS integration |
| [426] | Optimization and Benefit Evaluation in High-RES Smart Grids | Summarize challenges of integrating high renewable energy sources in smart grids; analyze optimization planning and benefit evaluation methods for energy storage | Incorporates diverse decision-making and optimization techniques; enables comprehensive assessment of energy storage benefits and planning under complex grid conditions |
| Ref. | Battery Type | Objectives | Strengths |
|---|---|---|---|
| [427] | Room-temperature Sodium–Sulfur Battery | Enhance cycling stability; achieve complete conversion of sodium polysulfides in cathodes | Advanced analysis using DFT adsorption energy calculations and in situ synchrotron XRD for species tracking |
| [428] | Room-temperature Sodium–Sulfur Battery | Clarify operating principles and technical challenges; propose future strategies for practical RT-Na–S batteries | Strategies include regulating electrolyte components, adding additives, developing new electrolytes, and multifunctional separators to address low conductivity, volume expansion, and Na dendrite formation |
| [428] | Sodium–Sulfur Battery with Covalent Sulfur Confinement | Enhance sodium–sulfur battery performance by confining covalent sulfur and accelerating polysulfide redox kinetics; improve cycling stability | Uses ex situ XPS and theoretical calculations to study covalent sulfur bond breakage; mitigates sluggish reactivity, polysulfide dissolution, and sulfur’s insulating nature |
| [429] | Room-Temperature Sodium–Sulfur Battery | Summarize working principles of RT-Na–S batteries; address key scientific problems in cathode, anode, electrolyte, and separator design to enhance energy storage performance | Tackles poor safety performance, high cost, and limited lithium resources; provides a pathway for safer, more sustainable, and cost-effective large-scale energy storage |
| [430] | Room-Temperature Sodium–Sulfur Battery | Enhance reversibility and cyclability by designing an all-fluorinated electrolyte (FDMA, MTFE, FEC) and forming NaF- and Na3N-rich cathode electrolyte interphase; improve compatibility between electrolytes and electrodes | Mitigates polysulfide shuttle, improves electrode–electrolyte compatibility, and boosts long-term cycling stability |
| [431] | Room-Temperature Sodium–Sulfur Battery | Summarize historical progress toward practical RT-Na/S batteries; promote balanced research trends by addressing advanced sulfur host design, Na metal anode protection, electrolyte optimization, separator modification, and binder engineering | Highlights overlooked components affecting polysulfide migration and reaction kinetics; encourages holistic and unbiased development for broader practical applications |
| [432] | Room-Temperature Sodium–Sulfur Battery | Develop a stable quasi-solid-state gel polymer electrolyte; enhance performance using in situ preparation and density functional theory for ion interaction analysis | Addresses dendrite formation and polysulfide shuttle issues; offers lower-cost alternative to expensive solid electrolytes in high-temperature Na–S systems |
| [433] | Room-Temperature Sodium–Sulfur Battery | Improve stability of sodium–sulfur batteries using chemical and spatial dual-confinement and covalent bonding of sulfur to carbon materials; achieve high-capacity retention after multiple cycles | Enhances cathode stability; mitigates sodium polysulfide formation; improves cycling performance and capacity retention |
| [434] | Sodium–Sulfur Battery | Mitigate polysulfide shuttle via covalent bonding of sulfur to polymeric backbone; optimize electrolyte compositions for long cycle life | Reduces capacity fade; improves stability and cycling performance through tailored cathode–electrolyte interactions |
| [435] | Room-temperature sodium–sulfur battery with FEC additive and tetraethylene glycol dimethyl ether solvent | Improve lifespan by mitigating shuttle effect in sulfur cathode | Targets key degradation mechanism (“solid–liquid–solid” reaction), enhancing cycle life through electrolyte optimization |
| Ref. | Battery Type/Focus | Objectives | Strengths |
|---|---|---|---|
| [28] | Sodium-ion battery with varied electrode coatings and materials analyzed using SEM, EDS, EIS, and C-rate testing | Investigate structural and electrochemical characteristics of sodium-ion batteries | Provides detailed performance insights across conditions, supporting a knowledge base for further sodium-ion battery research |
| [436] | Study of capacity degeneration mechanisms in cathodes and review of effective strategies for long-cycle-life cathodes | Focus on developing long-cycle-life, low-cost cathodes for sodium-ion batteries | Identifies structural/morphology changes and unstable interphases, providing targeted strategies for stable cycling performance |
| [437] | Review fundamentals and progress of sodium-ion batteries, focusing on novel materials and electrochemistry tuning factors | Provide sustainable, low-cost alternative to lithium-ion batteries and guide future SIB development | Addresses lithium scarcity, promotes material sustainability, and supports long-term battery technology advancement |
| [438] | Na4MnCr(PO4)3 cathode | Develop high-energy cathode materials for sodium-ion batteries and investigate redox mechanisms and ionic migration | Moderate 7.7% volume change during cycling, enabling better structural stability and performance |
| [439] | Diglyme-based electrolyte SIBs | Explore sodium-ion batteries for sustainable energy storage systems and discuss advancements in diglyme-based electrolytes | Highlights significant impact of electrolyte selection on electrochemical performance |
| [440] | Non-aqueous, aqueous, and solid-state SIBs | Review current sodium-ion battery technologies for energy storage and explore sustainable alternatives to lithium-ion batteries | Addresses resource and supply chain limitations, highlighting cost-effective and sustainable solutions |
| [26] | Electrolyte compositions and electrode materials | Examine advancements in sodium-ion battery technology and discuss future research directions for scalability and commercial viability | Provides insights into material degradation and sodium-ion diffusion challenges for improved performance |
| [437] | Materials, degradation mechanisms, full-cell design, and electrolyte progress | Assess progress and challenges in sodium-ion battery technology and present a roadmap for future SIB implementation in energy storage | Identifies fundamental degradation mechanisms and enduring challenges, providing a foundation for targeted improvements |
| [437] | Standardized evaluation criteria and retention index for sodium cathodes | Discuss the role of sodium-ion batteries in energy storage and explore low-cost, performance, and sustainability benefits | Establishes a standardized evaluation framework, enabling consistent comparison and improvement across studies |
| [441] | One-pot solid-state reaction synthesized biphasic cathodes | Improve sodium-ion battery performance and enhance cycle stability and rate capability | Simple synthesis method with in situ structural analysis for better understanding of performance factors |
| Ref. | Type | Objectives | Strengths |
|---|---|---|---|
| [442] | Li-ion BESS with active network management | Design ANM architecture with Li-ion BESSs and develop adaptive controllers considering battery aging | Incorporates aging effects into control strategy to maintain performance and reliability over time |
| [443] | Grid-connected Li-ion BESS | Review management approaches for grid-connected Li-ion BESSs and evaluate participation in electricity markets | Provides comprehensive analysis of battery modeling, BMS architecture, and market integration challenges |
| [444] | Li-ion BESS reliability assessment | Propose a reliability assessment algorithm for BES systems and analyze battery lifetime degradation effects on reliability | Combines universal generating function and weak-link analysis to quantify safety and reliability impacts, offering a systematic evaluation method |
| [445] | Second-life Li-ion batteries (SLB) for fast-charging | Evaluate second-life batteries for fast-charging energy storage and compare economic and environmental impacts in U.S. cities | Provides detailed comparison of SLB and grid-based configurations, analyzing cost, lifetime, efficiency, and environmental metrics like GWP and CED |
| [446] | Direct and Model-Based SOH Diagnostics for Battery Reuse | Diagnose state of health for battery repurposing; assess direct, model-based, and data-driven methods for EV and ESS applications | Enables accurate SOH estimation to support battery reuse, promoting sustainability and circular economy goals |
| [415] | Hybrid Energy Storage System (HEESS) Development | Summarize recent research progress in HEESS; develop system configuration, DC/DC converter design, integrated sizing, and energy management strategies | Integrates battery and other storage elements to improve performance and extend lifetime; encourages innovative applications despite cost and degradation constraints |
| [447] | Smart Sensing Technologies for Batteries | Highlight advancements in smart sensing technologies for batteries; analyze limitations and challenges of different sensor applications (electrical, thermal, mechanical, acoustic, gas) | Provides comprehensive monitoring for battery health and safety; multi-sensor approach enables early detection of issues and improved battery management despite data collection challenges |
| [448] | Advanced Battery Management Systems | Improve battery energy density, power density, and cycle life; develop advanced BMS for safety and efficiency through online electrochemical spectroscopy impedance estimation and SOC estimation using adaptive unscented Kalman Filter | Enables accurate state-of-charge estimation and robust thermal management; enhances performance, safety, and lifespan of Li-ion batteries |
| [449] | Grid-Integrated Battery Storage | Discuss applications and benefits of battery storage in electricity grids; compare advantages and disadvantages of various electrochemical batteries | Provides comprehensive comparison of battery types; highlights suitability of Li-ion and other chemistries for managing renewable intermittency and long-term cost considerations |
| [413] | Emergency Backup for Isolated Networks | Introduce battery energy storage for emergency power supply; improve reliability of separated power networks during outages | Uses real measurement data for accurate ESS dimensioning; enhances reliability and resilience during main line damage or transmission limitations |
| Battery Type | Cost Level | Performance (Cycle Life/Energy Density) | Maintenance/Degradation | Typical SG Use Cases |
|---|---|---|---|---|
| Lead–acid | Low (cheapest upfront) | Low–Moderate/Low energy density | Short lifecycle, sensitive to adverse weather | Short-duration backup, cost-constrained stationary storage |
| Nickel-based (NiCd, NiMH) | Moderate | High cycle life (1000–1500+), good temperature tolerance | Higher self-discharge, moderate maintenance | Resilient stationary storage, moderate-to-high cycling frequency |
| Sodium–sulfur (Na–S) | Moderate–High | High energy density, long life, deep discharge | Requires regular maintenance, thermal management | Large-scale stationary storage, renewable smoothing |
| Sodium-ion (SIBs) | Low–Moderate | Moderate energy density, emerging tech | Limited high-power performance, early stage scaling | Sustainable, cost-sensitive stationary storage |
| Lithium-ion (Li-ion) | High | High cycle life, high energy density, scalable | Degradation over time, higher upfront cost | Distributed and grid-scale storage, fast-response balancing |
| Second-life Li-ion | Moderate (lower lifecycle cost) | Maintains acceptable performance for SG use | Performance depends on EV battery history | Cost-effective grid services, environmental lifecycle benefits |
| Hybrid systems (e.g., Li-ion + supercapacitor) | Case-dependent | Optimized performance via complementary chemistries | Reduced stress on individual cells | Applications requiring both high power and high energy capabilities |
| Mechanism | Interaction with ESS/BMS |
|---|---|
| Homomorphic Encryption | Encrypts storage data before sharing |
| Zero-Knowledge Proofs | Verifies BMS data authenticity without revealing full details |
| Differential Privacy | Preserves privacy in aggregated SoC/charging data |
| Blockchain | Provides immutable record of ESS transactions and logs |
| IDS/Lightweight Crypto | Detects abnormal SoC/voltage patterns |
| Model | Accuracy (%) | F1-Score (Attack) | F1-Score (Natural) | F1-Score (NoEvents) |
|---|---|---|---|---|
| Proposed Model | 92.32 | 88.17 | 89.54 | 99.14 |
| LSTM-CNN | 79.01 | 66.29 | 73.82 | 96.92 |
| LSTM-Autoencoder | 90.17 | 86.21 | 87.80 | 97.81 |
| Bert | 80.00 | 68.25 | 74.60 | 98.51 |
| Research Area | Future Research Direction | Refs. |
|---|---|---|
| Cryptographic Techniques (HE) | Streamline methods to minimize computational overhead and latency for large-scale SG networks. | [64,65,73] |
| Cryptographic Techniques (ZKPs) | Optimize protocols for reduced complexity and improved scalability in real-time applications. | [85,86] |
| Cryptographic Techniques (SMPC) | Enhance efficiency to handle high communication overhead in decentralized systems. | [93,97] |
| Anonymization and Aggregation (DP) | Optimize noise addition for better balance between privacy and data utility. | [100,106] |
| Anonymization and Aggregation (k-Anonymity) | Develop robust models resistant to auxiliary attacks using clustering and noise. | [111,117] |
| Anonymization and Aggregation (Data Aggregation) | Minimize data generalization losses for individualized services and grid optimization. | [122,123] |
| Blockchain-Based Mechanisms (Smart Contracts/Access Control) | Address scalability and transaction speed for large network traffic. | [130,142] |
| Blockchain-Based Mechanisms (Tokenization) | Improve key management to prevent misuse in energy trading. | [156,157] |
| Machine Learning Approaches (Federated Learning) | Mitigate data heterogeneity and communication issues for model convergence. | [160,164] |
| Machine Learning Approaches (Adversarial Learning) | Enhance synthetic data quality and reduce computational costs. | [168,169] |
| Research Area | Future Research Direction | Refs. |
|---|---|---|
| Synchronous Pricing Mechanisms | Mitigate price distortion and congestion issues in uniform pricing; improve grid constraint modeling for LMP in high renewable systems; enhance data accuracy for SDR in fluctuating markets. | [18,183,184,185,186,192,193,194,195,196,197,198,199,200,201,202,203,204,205,206,207] |
| Asynchronous Pricing Mechanisms | Reduce bid manipulation and uncertainty in pay-as-bid/Vickrey; improve transparency in bilateral negotiations; optimize reserve prices to avoid market inefficiency; handle volatility in forward/futures contracts. | [208,209,210,211,212,213,214,215,216,217,218,219,220,221] |
| Game-Theoretic Techniques | Address uncertainty in behavior modeling and equilibrium in large markets; handle non-cooperative behaviors in dynamic settings. | [19,241,287,288,289,293,301,302,303,304,305,306,307,308,309,310,311] |
| Optimization Techniques | Improve data accuracy in forecasting; reduce computational resources for large problems; model renewable variability effectively. | [313,319,321,326,327,328,329,330,331,332,333,334,335,336,337,338,339] |
| Numerical Method-Based Techniques | Lower computational costs for real-time simulations; enhance calibration under dynamic market conditions. | [22,340,341,342,343,344,345,346,347,348,349,350,351] |
| AI-Based Techniques | Overcome data quality and availability issues; improve model interpretability; reduce training time for large-scale models. | [352,353,354,355,356,358,359,360,361,362,363,364,365] |
| Research Area | Future Research Direction | References |
|---|---|---|
| Iterative Models | Enhance convergence speed using advanced synchronization techniques; improve robustness against communication delays | [20,370] |
| Optimization Models | Develop hybrid optimization algorithms combining heuristics with real-time data processing to reduce computational intensity | [21,385] |
| Game-Theoretic Models | Explore decentralized frameworks with blockchain for secure, privacy-preserving strategic interactions | [22,229] |
| AI-Based Models | Develop lightweight AI models for seamless integration with legacy systems; leverage transfer learning to reduce data dependency | [23,408] |
| Research Area | Future Research Direction | References |
|---|---|---|
| Lead–Acid Batteries | Improve lifecycle through advanced thermal management and hybrid configurations | [25,418] |
| Nickel-Based Batteries | Develop low-cost, high-efficiency electrolytes to reduce self-discharge rates | [420,424] |
| Sodium–Sulfur Batteries | Explore low-maintenance designs and novel electrolyte additives for enhanced stability | [427,428] |
| Sodium-Ion Batteries | Investigate advanced cathode materials to improve energy density while maintaining cost-effectiveness | [28,437] |
| Lithium-Ion Batteries | Focus on second-life applications and advanced battery management systems to extend lifespan and reduce costs | [442,448] |
Disclaimer/Publisher’s Note: The statements, opinions and data contained in all publications are solely those of the individual author(s) and contributor(s) and not of MDPI and/or the editor(s). MDPI and/or the editor(s) disclaim responsibility for any injury to people or property resulting from any ideas, methods, instructions or products referred to in the content. |
© 2025 by the authors. Licensee MDPI, Basel, Switzerland. This article is an open access article distributed under the terms and conditions of the Creative Commons Attribution (CC BY) license (https://creativecommons.org/licenses/by/4.0/).
Share and Cite
Nazir, I.; Mushtaq, N.; Amin, W. Smart Grid Systems: Addressing Privacy Threats, Security Vulnerabilities, and Demand–Supply Balance (A Review). Energies 2025, 18, 5076. https://doi.org/10.3390/en18195076
Nazir I, Mushtaq N, Amin W. Smart Grid Systems: Addressing Privacy Threats, Security Vulnerabilities, and Demand–Supply Balance (A Review). Energies. 2025; 18(19):5076. https://doi.org/10.3390/en18195076
Chicago/Turabian StyleNazir, Iqra, Nermish Mushtaq, and Waqas Amin. 2025. "Smart Grid Systems: Addressing Privacy Threats, Security Vulnerabilities, and Demand–Supply Balance (A Review)" Energies 18, no. 19: 5076. https://doi.org/10.3390/en18195076
APA StyleNazir, I., Mushtaq, N., & Amin, W. (2025). Smart Grid Systems: Addressing Privacy Threats, Security Vulnerabilities, and Demand–Supply Balance (A Review). Energies, 18(19), 5076. https://doi.org/10.3390/en18195076

