Abstract
Plant Microbial Fuel Cells (PMFCs) represent a promising technology that uses electroactive bacteria to convert the chemical energy in organic matter into electrical energy. The addition of carbon pellet on electrodes may increase the specific surface area for colonization via bacteria. Use of nutrients such as urea could enhance plant growth. Our study aims to address the following questions: (1) Does carbon pellet layering affect the electrical performance of PMFCs? (2) Does urea treatment of the plants used to feed the PMFCs affect the electrical performance? A new prototype of PMFC has been tested: the plant pot is on the top, drainage water percolates to the tub below, containing the Microbial Fuel Cells (MFCs). To evaluate the best layering setup, two groups of MFCs were constructed: a “Double layer” group (with carbon pellet both on the cathode and on the anode), and a “Single layer” group (with graphite only on the cathode). All MFCs were plant-fed by Spathiphyllum lanceifolium L leachate. After one year, each of the previous two sets has been divided into two subsets: one wetted with percolate from plants fertilized with urea, and the other with percolate from unfertilized plants. Open circuit voltage (mV), short circuit peak current, and short circuit current after 5 s (mA) produced values that were measured on a weekly basis. PMFCs characterized by a “Single layer” group performed better than the “Double layer” group most times, in terms of higher and steadier values for voltage and calculated power. Undesirable results regarding urea treatment suggest the use of less concentrated urea solution. The treatment may provide consistency but appears to limit voltage and peak values, particularly in the “Double layer” configuration.
1. Introduction
The transition to clean energy is essential to address issues such as climate change, environmental pollution, and energy security. Reliance on fossil fuels has caused significant environmental harm, making the shift to sustainable sources—such as solar, wind, bioenergy, and bioelectricity—urgently necessary. Growing global energy demand requires innovative solutions that integrate economic development with environmental responsibility [1,2].
In this context, Plant Microbial Fuel Cells (PMFCs) represent a promising technology, supporting the United Nations Sustainable Development Goals, particularly SDG 7 (affordable and clean energy) and SDG 11 (sustainable cities and communities) [1].
The PMFC is an advanced form of the Microbial Fuel Cell (MFC), a bioenergy system that uses electroactive bacteria (e.g., Shewanella, Geobacter, Rhodoferax) [3,4] to convert the chemical energy in organic matter into electrical energy. These microorganisms generate electricity by oxidizing organic compounds and transferring electrons to external electron acceptors such as electrodes [5,6].
The MFC operates by creating a potential difference between an anode and a cathode, facilitated by microbial activity and the breakdown of organic waste in the substrate. PMFC technology incorporates living plants into the system. Plants continuously release organic compounds in the form of rhizodeposition through their roots. These include root exudates, which serve as an energy source for the electroactive microbes in the anode region [4,6,7].
The rhizosphere, the soil zone surrounding plant roots, plays a key role in this process as it is rich in microbial activity influenced by root secretions. PMFCs leverage this interaction by combining plant photosynthesis, rhizodeposition, and microbial metabolism to form a bioelectrochemical system that produces electricity. Since PMFCs rely on living plants to maintain continuous energy production, they create a mutually beneficial symbiotic relationship between plants and microbial communities [1,4].
Although the concept is promising, PMFC technology is still in an early developmental phase and faces multiple challenges. These include low power output, variability linked to plant species and plant functional traits [8], microbial diversity within the substrate, limitations in electron transfer mechanisms, and concerns related to long-term stability, scalability, and implementation costs on a large scale. Additionally, the performance of PMFCs is strongly influenced by microbial activity, electrochemical interactions at the electrodes, environmental conditions, irrigation regimes, the type of soil–bacteria interaction, and the quantity and rate of rhizodeposit release [1].
One of the major challenges is to improve electrode performance. Selecting appropriate electrode materials is crucial for ensuring efficient bioelectricity generation in the construction of Plant Microbial Fuel Cells. The electrode material should have high electrical conductivity, electrochemical stability, porosity, and biocompatibility. Metals and carbon materials are usually used as electrodes in bioelectrochemical systems [3]. On one hand, metals have higher electrical conductivity in comparison with carbon materials. On the other, graphite electrodes (felt/fiber) have a surface that promotes the adhesion of microorganisms and the sorption of organic compounds, and is not subject to corrosion [3].
Moreover, the addition of granular graphite or activated carbon to the surface of the electrodes improves the adsorption of organic compounds and increases the specific surface area for colonization via bacteria [3].
Moreover, past studies have not addressed the sustainable, direct re-use of nutrients in conjunction with Plant Microbial Fuel Cell (PMFC) systems. Integrating such an approach could not only enhance plant growth but also support smart, integrated farming practices through the simultaneous generation of green electricity [9].
Any compost that is cheap and abundant is a viable candidate for the MFC [10]. Urea is a suitable fuel for MFCs. It is an advantage for the soil-based system to go through the natural processes by following nitrification and denitrification in the nitrogen cycle by ammonification to nitrogen (N2) formation in soil [10,11].
Urea has been relatively underexplored in PMFC applications despite offering a promising route to produce low-cost fertilizers while simultaneously reducing environmental impacts. Moreover, PMFC technology can be implemented in any crop-production field without competing with or harming the plants [9]. The soil itself is a source of many bacteria and microorganisms in aerobic and anaerobic forms. Urea and ammonium are sources of nitrogen, and the density of urea is higher compared to other nitrogen sources [10,11,12]. When urea comes into contact with the soil, hydrolysis releases urease enzymes which work as a catalyst with bacteria. Therefore, soil systems can be a neutral medium to transport electrons and protons easily in an eco-friendly medium for power generation and maintain the pH level for the proper working of the MFC [10,13].
Based on these premises, our study aims to address the following questions:
- Does carbon pellet layering affect the electrical performance of PMFCs?
- Does urea treatment of the plants used to feed the PMFCs affect the electrical performance?
The work focuses solely on electrical parameters (OCV, current, power). However, essential characteristics of the drainage electrolyte solutions entering the PMFC—such as electrical conductivity, pH, COD, ORP, and nitrogen compound speciation—were not considered.
2. Materials and Methods
2.1. Design of the PMFC
A new prototype of PMFC has been developed: the pot containing the plants is on the top, drainage water percolates to the container below, which contains the cells (Figure 1).
Figure 1.
Novel prototype of PMFC.
This is highly advantageous for the maintenance of the prototype and allows the MFCs to retain their potential thanks to the nourishment provided by the plant.
The plant pot is on the top, drainage water percolates to the tub below, containing the MFCs. The leachate fills the tub, submerging the MFCs. A key characteristic of this prototype is the separation between the rhizosphere zone and the Microbial Fuel Cell, allowing a more accurate control of bioelectrochemical processes.
2.2. Carbon Pellet Stratification
To evaluate the best layering setup, 48 MFCs were constructed, using 8 cm × 8 cm × 4 cm derivation boxes (Figure 2a) with the following stratification (from the bottom to the top of the cell): aluminum foil anode (Figure 2b), carbon pellets (when needed for the experimental setup) (Figure 2e), soil, polyethylene nonwoven fabric (Figure 2c), carbon felt cathode (Figure 2d), carbon pellets. The carbon felt cathodes measured 8 cm × 8 cm (surface area 64 cm2) and were approximately half a centimeter thick. The aluminum foil anodes measured 8 cm × 8 cm (surface area 64 cm2) and were approximately 2 mm thick. Carbon pellet layers were approximately 5 mm thick. Main technical data of carbon pellets are reported in Table 1. Nonwoven polyethylene fabric was used as a membrane due to its low cost and easy availability.
Figure 2.
MFC’s construction material: (a) derivation box; (b) aluminum anode; (c) membrane; (d) carbon felt cathode; (e) carbon pellet.
Table 1.
Main technical data of carbon pellets.
Twenty-four MFCs were built with a double layer of C pellets, one layer on the cathode and one layer on the anode compartment (hereafter “Double layer” group), while the other 24 MFCs were built with C pellets only on the cathode compartment (hereafter “Single layer” group). All 48 MFCs were plant-fed by Spathiphyllum lanceifolium L.
2.3. Urea Treatment
From February 2024, each of the previous two sets has been divided into two subsets: one wetted with percolate from plants fertilized with urea, and the other with percolate from unfertilized plants. This resulted in 12 “Treated Double layer” cells, 11 “Control Double layer” cells (a cell broke), 12 “Treated Single layer” cells and 12 “Control Single layer” cells.
Urea, a nitrogen fertilizer containing 46% urea nitrogen, is easily absorbed and quickly transforms into ammoniacal nitrogen and then nitric nitrogen within a few days. It simultaneously provides immediate (nitrates) and reserve (ammonium salts) nutrition to plants. Its high water solubility ensures immediate availability for soil and plants. Usage recommendations, reported on the package of urea, suggest applying 40 g per m2 of soil in cultivated fields. The pots used for plants had the following sizes: upper diameter 20 cm, height 15 cm, lower diameter 12 cm, giving a calculated volume of approximately 2333 cm3 (0.002333 m3). Consequently, 0.09333 g of urea per pot was recommended (40 g × 0.002333 m3), which was rounded to 0.1 g of urea per pot. We considered the volume instead of the surface because in the pot the urea dispersion is less than in a cultivated field and we wanted to avoid a surplus of nutrients that could inhibit bacterial activity [1,14]. A stock solution with 0.1 gr/mL of water was prepared and 1 mL of this solution was used to water the “Treated” plants every 4/5 weeks (on February 26, March 25, April 22, May 28, July 5, and August 19).
A schematic diagram of the complete laboratory setup is shown in Figure 3.
Figure 3.
Schematic diagram of the laboratory setup.
2.4. Data Collection
Open circuit voltage (mV), short circuit peak current, and short circuit current after 5 s (mA) values produced by every single MFC were measured on a weekly basis using a digital multimeter (KEITHLEY 2000 MULTIMETER). Power figure of merit (mW) was calculated by multiplying open circuit voltage per short circuit current and per an arbitrary coefficient. According to theoretical maximum power point transfer (matched load), the coefficient could be set to ¼ [15].
Measures were collected from February 2023 to February 2024 to assess the influence of C pellet layering.
Measures were collected from February 2024 to September 2024 to assess the influence of urea treatment and to assess the effect of C pellet layering on “Control” groups.
2.5. Data Elaboration
Value distribution for each measured variable was examined across all cells. The means of the value distributions for open circuit voltage, short circuit peak current, and short circuit current after 5 s, and the corresponding power figure of merit values, were calculated for each MFC of each experimental setup.
To compare two groups, the t-test was performed when the distributions were normal, and the Mann–Whitney nonparametric test for equal medians was used when the distributions were non-normal. To compare multiple groups, the ANOVA one-way for equal means followed by Tuckey pairwise test was performed when the distributions were normal, and Kruskal–Wallis nonparametric test for equal medians followed by Dunn’s post hoc test with raw values was performed when the distributions were non-normal. All analyses were performed using Past 4.09 software. This method allowed the calculation of the p-value as a test of statistical significance. For all cases, a confidence of 95% was established with configurations with p-value less than 0.05 being significant.
To verify and compare the trends of the different groups, the PMFC mean of each group under consideration was calculated for each day over the course of the experiment.
3. Results and Discussion
3.1. Carbon Pellet Stratification of PMFCs from Feb 2023 to Feb 2024
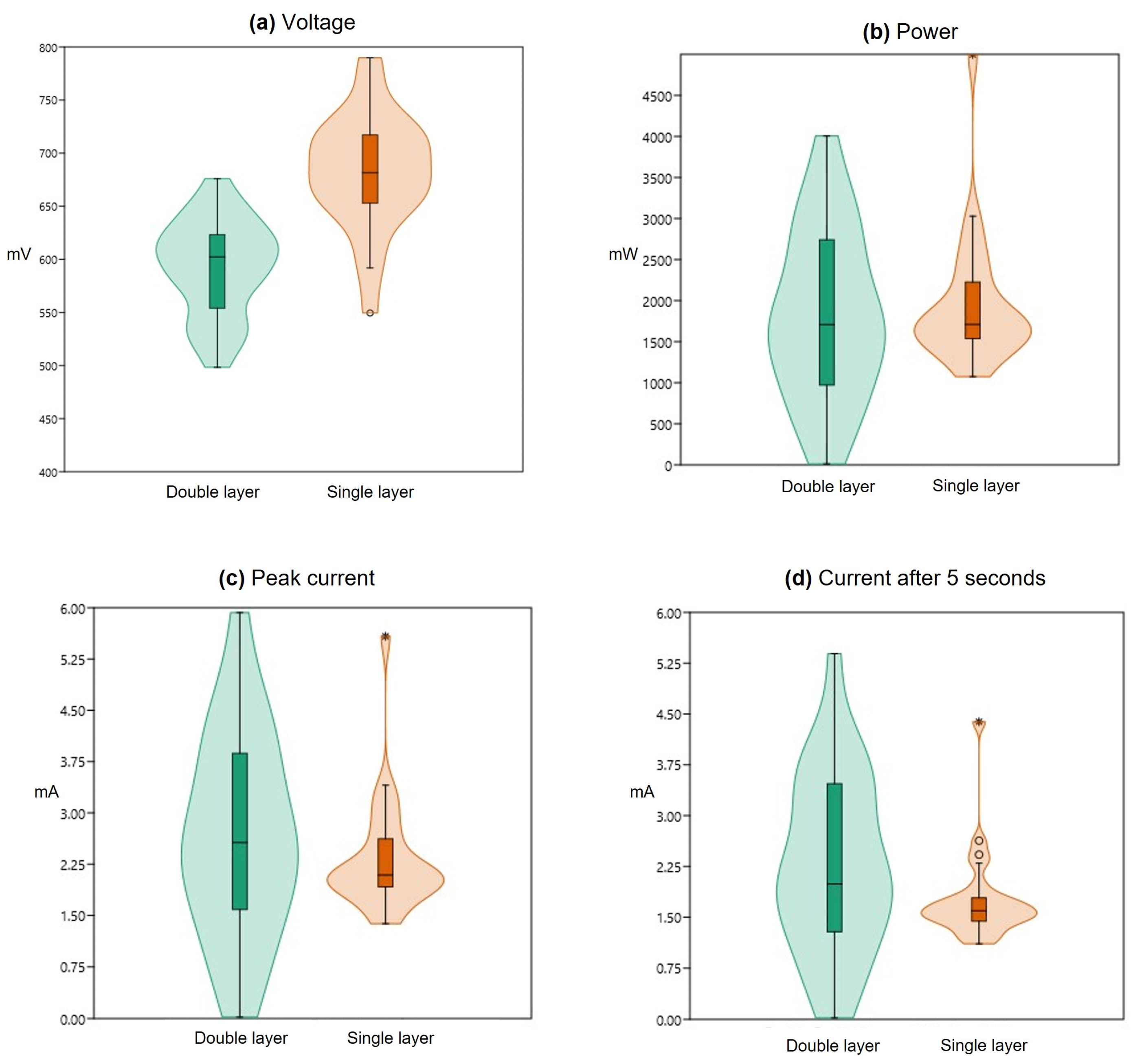
Distributions of the voltage mean values showed significant differences; the current values did not show significant differences between the groups, whereas the power values showed evidence of equality of the medians (Table 2). Violin plots (Figure 4) show “Single layer” group having higher median value in the distribution of voltage mean values (Figure 4a), and having a more compact distribution around the median value in peak current (Figure 4c), current after s5 s (Figure 4d), and power (Figure 4b) mean values distributions than “Double layer” group.
Table 2.
Summary of the results of carbon pellet stratification from Feb 2023 to Feb 2024 [p (same mean) when normal distributions were tested, p (same median) when non-normal distributions were tested, calculated using Montecarlo permutation]. Significantly different results are highlighted.
Figure 4.
Violin and box plots comparing “Single layer” and “Double layer” groups in terms of distribution of PMFCs mean values for each variable: (a) open circuit voltage, (b) power, (c) peak current, (d) current after 5 s.
Table 3 provides the minimum, maximum, and median values of the average distributions for all four parameters analyzed. Interestingly, the “Single layer” group consistently shows higher minimum values compared to the “Double layer” group.
Table 3.
Minimum, maximum, and median values of the average distributions of open circuit voltage, peak current, current after 5 s, and power in “Single layer” and “Double layer” groups.
The time series of data for voltage, current, and power across the two configurations—“Double layer” and “Single layer”—(Figure 5) revealed distinct trends and differences.
Figure 5.
Comparison of group mean between “Double layer” and “Single layer” of carbon pellets from 28 February 2023 to 16 February 2024 (24 “Double layer” PMFCs vs. 24 “Single layer” PMFCs in one year) for each variable: (a) open circuit voltage, (b) power, (c) peak current, (d) current after 5 s.
As shown in Figure 5a, the mean voltage values were consistently higher for the “Single layer” group compared to the “Double layer” group throughout most of the observation period. This supports the significant difference in voltage between the two groups. However, the values gradually converged toward the end of the observation time span, suggesting a possible stabilization or degradation effect affecting both groups equally in the long term. This trend does not deviate from that of previous work [16,17,18,19].
On the contrary, the current values—both peak current (Figure 5c) and current after 5 s (Figure 5d)—did not show clear or systematic differences between the groups. While some fluctuations exist, especially during the first high-activity period (February–April 2023), the overall patterns were similar and suggest no significant differences in current were observed between the “Double” and “Single layer” groups.
Regarding power (Figure 5b), both groups exhibited a pronounced peak early in the timeline, followed by a steep decline and stabilization, probably due to anode state and bacteria limitations at catalysis [16,18,20,21,22]. The distribution of power values over time suggests no substantial or consistent separation between the groups. The statistical analysis confirmed that the medians of power values were equal between the groups, supporting the interpretation that both groups performed similarly in terms of power output over time.
3.2. Carbon Pellet Stratification of “Control” PMFCs from Feb 2023 to Sep 2024
Distributions of the voltage mean values indicate strong evidence for unequal means; current after 5 s also shows a significant difference among groups; peak current values and the power values indicate no evidence for either equal or unequal medians (Table 4).
Table 4.
Summary of the results of carbon pellet stratification of “Control” PMFCs from Feb 2023 to Sep 2024 [p (same mean) when normal distribution was tested, p (same median) when non-normal distribution was tested, calculated using Montecarlo permutation] of the conducted statistical analysis. Significantly different results are highlighted.
Violin plots (Figure 6) show “Single layer” “Control” group having higher median value in the distribution of voltage mean values (Figure 6a) and having a more compact distribution around the median value in peak current (Figure 6c), current after 5 s (Figure 6d), and power (Figure 6b) mean values than the “Double layer” “Control” group. Table 5 provides the minimum, maximum, and median values of the average distributions for the analyzed parameters.
Figure 6.
Violin and box plots comparing “Single layer” and “Double layer” “Control” groups in terms of distribution of PMFCs mean values for each variable: (a) voltage, (b) power, (c) peak current, (d) current after 5 s.
Table 5.
Minimum, maximum, and median values of the average distributions of open circuit voltage, peak current, current after 5 s, and power for carbon pellet stratification of “Control” PMFCs.
In this case as well, the “Single layer” group consistently shows higher minimum values compared to the “Double layer” group, along with narrower value ranges around the median, indicating greater stability.
As seen in Figure 7a, the “Single layer” group consistently exhibited higher voltage values than the “Double layer” group for a large portion of the experimental period. Over time, both groups showed a gradual decline, but the “Single layer” maintained a higher voltage than “Double layer” in most cases. This supports the significant difference in voltage performance between the two groups.
Figure 7.
Comparison of sample averages between “Control Double layer” and “Control Single layer” groups from 28 March 2023 to 5 September 2024 (12 “Double layer” PMFCs vs. 12 “Single layer” PMFCs in one year and a half) for each variable: (a) open circuit voltage, (b) power, (c) peak current, (d) current after 5 s.
In Figure 7b, the power output peaked early in the observation period (around March 2023) for both groups, with the “Double layer” showing slightly higher (peak) values. After the peak, power dropped substantially and remained low for the rest of the time. Overall, the distributions appeared to converge, suggesting no substantial difference in power medians over the long term.
Figure 7c,d show similar trends. The “Double layer” group demonstrated higher current values, both at peak and after 5 s, particularly during the first months of the study. These differences persisted throughout most of the timeline, though the current values of both groups eventually flattened at low levels.
3.3. PMFCs Under Urea Treatment
Kruskal–Wallis test on the values of the voltage mean distributions indicates no significant difference between group medians; Dunn’s post hoc test with raw values highlighted both “Treated” and “Control” “Single layer” groups being significantly different from the “Treated Double layer” group for voltage values.
Peak current, current after 5 s, and power resulted significantly different; Dunn’s post hoc highlighted the “Treated Single layer” group being different from the other groups for all three parameters (Table 6).
Table 6.
Summary of the results of urea treatment p (same mean) when normal distribution was tested, p (same median) when non-normal distribution was tested, calculated using Montecarlo permutation] of the conducted statistical analysis. Significantly different results are highlighted.
Table 7 provides the minimum, maximum, and median values of the average distributions for the analyzed parameters.
Table 7.
Minimum, maximum, and median values of the average distributions of open circuit voltage, peak current, current after 5 s, and power for “Treated” and “Control” groups.
Violin plots (Figure 8) show comparable median values between the distributions of voltage (Figure 8a). “Treated Single layer” group shows the lowest distribution values for power (Figure 8b), while “Control Single layer” group distribution appears to be more compact. Distribution of values for the variable peak current and current after 5 s have very similar trends than power and are shown in Supplementary Materials Figures S1 and S2.
Figure 8.
Violin and box plots comparing “Treatment Double layer”, “Control Double layer”, “Treatment Single layer”, and “Control Single layer” groups of PMFCs in terms of distribution of mean values for the variable: (a) voltage, (b) power.
Data presented in Figure 9 show electrical performance over time, comparing “Treated” and “Control” samples for both “Single-layer” and “Double-layer” groups. Looking at voltage trends (Figure 9a), we observe that the “Treated Double layer” group consistently shows the lowest voltage values throughout the entire observation period. This suggests that the treatment may have negatively affected voltage output, at least in the “Double layer” group. On the contrary, both “Treated Single layer” and “Control Single layer” groups maintain higher and more stable voltage values. Interestingly, the “Control Double layer” group falls somewhere in between, showing a slight decline over time but still performing better than the “Treated Double layer” group. Overall, this pattern suggests that the urea treatment seems to reduce voltage, particularly in more complex configurations like the “Double layer”. Peak current reveals some contrasts among groups (Figure 9c). Once again, the “Control Double layer” group shows a clear increase toward the end of the timeline, while the “Treated Double layer” maintains intermediate current values for most of the time. Both “Treated” and “Control” “Single layer” groups show very low peak current. The current measured after five seconds closely mirrors the peak current trends (Figure 9d). The “Control Double layer” group achieves the highest values toward the end, followed by the “Treated Double layer”, which again shows more stable but lower values. In contrast, the “Single layer” groups remain low and flat across the entire observation period.
Figure 9.
Comparison of sample averages of “Treated Double layer”, “Control Double layer”, “Treated Single layer”, and “Control Single layer” groups from 27 February 2024 to 5 September 2024 for each variable: (a) voltage, (b) power, (c) peak current, (d) current after 5 s.
Power output follows a similar pattern to current (Figure 9b). Toward the end of the measurement period, the “Control Double layer” group shows a sharp increase in power, far exceeding all other groups. Meanwhile, the “Treated Double layer” group displays more moderate but stable power values throughout. Both “Treated and “Control” “Single layer” groups remain consistently low, suggesting a limited capacity for power output regardless of treatment. These data suggest that the urea treatment seems to stabilize the power output, but, at the same time, limit the peak performance, especially when compared to the “Control Double-layer” group.
Anyway, the obtained results in cells treated with urea did not produce the expected results, in contrast with the literature data [10,23] and our previous experiments realized in the contest of degree thesis.
This could be due to the high concentration of urea in the solution used to water the plants feeding the cells, with consequent decline in the bacterial activity. Anyway, our study did not consider other parameters (e.g., soil chemistry, microbial load, urea concentration), which could be implied in the found results, limiting a comprehensive understanding of the processes.
4. Conclusions
In this study, we found C pellet stratification influencing electrical performances of PMFCs, while urea treatment is not as expected.
PMFCs characterized by a “Single layer” of C pellet performed better than “Double layer” of C pellet ones most of times, in terms of higher values for voltage and power and more stable values. This can be considered a positive outcome, with practical implications for future experiments. In fact, this is also cost-effective for the construction of cells, which will result a little more economic and easier to build.
Undesirable results regarding urea treatment suggest repeating the experiment using less concentrated urea solution. Anyway, some interesting points emerge from our study. The treatment may provide consistency but appears to limit voltage and peak values, particularly in the “Double layer” configuration.
Although this study has certain limitations, as it analyzes few parameters related to the MFCs, the results refer to a novel prototype and an original setup. Our primary objective was to evaluate the functionality of the new prototype under different conditions (Single layer, Double layer, urea provision) and in terms of electrical performances, establishing a first baseline dataset. Future research on similar configurations will address other chemical and/or microbiological parameters useful to understand their implications in the processes related to electricity production.
Supplementary Materials
The following supporting information can be downloaded at: https://www.mdpi.com/article/10.3390/en18195320/s1, Figure S1: Peak current_Urea treatment; Figure S2: Current after 5 s_Urea treatment.
Author Contributions
Conceptualization, S.A.; methodology, S.A., I.B. and M.G.; software, I.B.; validation, S.A. and M.G.; formal analysis, I.B.; investigation, I.B.; resources, P.M.; data curation, I.B.; writing—original draft preparation, I.B.; writing—review and editing, S.A. and M.G.; visualization, I.B.; supervision, S.A. and P.M.; project administration, P.M.; funding acquisition, P.M. All authors have read and agreed to the published version of the manuscript.
Funding
This work is part of the project NODES which has received funding from the MUR—M4C2 1.5 of PNRR funded by the European Union—NextGenerationEU (Grant agreement no. ECS00000036). The funding source was not involved in study design, in the collection, analysis, and interpretation of data and in the decision to submit the article for publication.
Data Availability Statement
All data used in this paper are published, and references are cited in the article.
Acknowledgments
We would like to express our sincere gratitude to the reviewers whose comments have contributed significantly to the improvement of this manuscript. During the preparation of this work, the authors used ChatGPT-5 in order to improve grammar, readability, and flow of the written text. After using this tool, the authors reviewed and edited the content as needed and take full responsibility for the content of the published article.
Conflicts of Interest
Authors Piero Malcovati and Silvia Assini are the inventors of patent EP3840094A1.
Abbreviation
The following abbreviations are used in this manuscript:
| PMFC | Plant Microbial Fuel Cell |
| MFC | Microbial Fuel Cell |
| EAB | Electro Active Bacteria |
References
- Chong, P.L.; Chuah, J.H.; Chow, C.O.; Ng, P.K. Plant microbial fuel cells: A comprehensive review of influential factors, innovative configurations, diverse applications, persistent challenges, and promising prospects. Int. J. Green Energy 2025, 22, 599–648. [Google Scholar] [CrossRef]
- Hoang, A.T.; Varbanov, P.S.; Nižetić, S.; Sirohi, R.; Pandey, A.; Luque, R.; Ng, K.H.; Pham, V.V. Perspective review on municipal solid waste-to-energy route: Characteristics, management strategy, and role in circular economy. J. Clean. Prod. 2022, 359, 131897. [Google Scholar] [CrossRef]
- Lepikash, R.; Lavrova, D.; Stom, D.; Meshalkin, V.; Ponamoreva, O.; Alferov, S. State of the art and environmental aspects of plant microbial fuel cells’ application. Energies 2024, 17, 752. [Google Scholar] [CrossRef]
- Maddalwar, S.; Nayak, K.K.; Kumar, M.; Singh, L. Plant microbial fuel cell: Opportunities, challenges, and prospects. Bioresour. Technol. 2021, 341, 125772. [Google Scholar] [CrossRef] [PubMed]
- Shaikh, R.; Rizvi, A.; Quraishi, M.; Pandit, S.; Mathuriya, A.S.; Gupta, P.K.; Singh, J.; Prasad, R. Bioelectricity production using plant-microbial fuel cell: Present state of art. S. Afr. J. Bot. 2021, 140, 393–408. [Google Scholar] [CrossRef]
- Strik, D.P.; Hamelers, H.V.M.; Snel, J.F.; Buisman, C.J. Green electricity production with living plants and bacteria in a fuel cell. Int. J. Energy Res. 2008, 32, 870–876. [Google Scholar] [CrossRef]
- Kabutey, F.T.; Zhao, Q.; Wei, L.; Ding, J.; Antwi, P.; Quashie, F.K.; Wang, W. An overview of plant microbial fuel cells (PMFCs): Configurations and applications. Renew. Sustain. Energy Rev. 2019, 110, 402–414. [Google Scholar] [CrossRef]
- Brugellis, I.; Grassi, M.; Malcovati, P.; Assini, S. Plant Microbial Fuel Cells in a botanical perspective: Nomenclatural constraints and new insights on plant traits potentially affecting bioelectrical perfomance. Heliyon 2024, 10, e38733. [Google Scholar] [CrossRef]
- Apollon, W.; Luna-Maldonado, A.I.; Kamaraj, S.K.; Vidales-Contreras, J.A.; Rodríguez-Fuentes, H.; Gómez-Leyva, J.F.; Maldonado-Ruelas, V.A.; Ortiz-Medina, R.A. Self-sustainable nutrient recovery associated to power generation from livestock’s urine using plant-based bio-batteries. Fuel 2023, 332, 126252. [Google Scholar] [CrossRef]
- Magotra, V.K.; Kumar, S.; Kang, T.W.; Inamdar, A.I.; Aqueel, A.T.; Im, H.; Ghodake, G.; Shinde, S.; Waghmode, D.P.; Jeon, H.C. Compost soil microbial fuel cell to generate power using urea as fuel. Sci. Rep. 2020, 10, 4154. [Google Scholar] [CrossRef]
- Xu, W.; Wu, Z.; Tao, S. Urea-based fuel cells and electrocatalysts for urea oxidation. Energy Technol. 2016, 4, 1329–1337. [Google Scholar] [CrossRef]
- Lan, R.; Tao, S.; Irvine, J.T.S. A direct urea fuel cell—Power from fertilizer and waste. Energy Environ. Sci. 2010, 3, 438–441. [Google Scholar] [CrossRef]
- Wolińska, A.; Stępniewska, Z.; Bielecka, A.; Ciepielski, J. Bioelectricity production from soil using microbial fuel cells. Appl. Biochem. Biotechnol. 2014, 173, 2287–2296. [Google Scholar] [CrossRef] [PubMed]
- Parkash, A.; Aziz, S.; Abro, M.; Soomro, S.A.; Kousar, A. Design and fabrication of microbial fuel cell using cow manure for power generation. Sci. Int. 2015, 27, 4235–4238. [Google Scholar]
- Turhan, M.; Dai, B.; Yildirim, D. Analytical MPPT solution using Thevenin approach for solar panels. In Proceedings of the Eurocon 2013, Zagreb, Croatia, 1–4 July 2013; pp. 803–808. [Google Scholar]
- Guadarrama-Pérez, O.; Bahena-Rabadan, K.Y.; Dehesa-Carrasco, U.; Guadarrama Perez, V.H.; Estrada-Arriaga, E.B. Bioelectricity production using shade macrophytes in constructed wetlands-microbial fuel cells. Environ. Technol. 2022, 43, 1532–1543. [Google Scholar] [CrossRef]
- Long, X.; Cao, X.; Song, H.; Nishimura, O.; Li, X. Characterization of electricity generation and microbial community structure over long-term operation of a microbial fuel cell. Bioresour. Technol. 2019, 285, 121395. [Google Scholar] [CrossRef]
- Azri, Y.M.; Tou, I.; Sadi, M.; Benhabyles, L. Bioelectricity generation from three ornamental plants: Chlorophytum comosum, Chasmanthe floribunda and Papyrus diffusus. Int. J. Green Energy 2018, 15, 254–263. [Google Scholar] [CrossRef]
- Chiranjeevi, P.; Chandra, R.; Mohan, S.V. Ecologically engineered submerged and emergent macrophyte based system: An integrated eco-electrogenic design for harnessing power with simultaneous wastewater treatment. Ecol. Eng. 2013, 51, 181–190. [Google Scholar] [CrossRef]
- Regmi, R.; Nitisoravut, R.; Charoenroongtavee, S.; Yimkhaophong, W.; Phanthurat, O. Earthen pot–plant microbial fuel cell powered by Vetiver for bioelectricity production and wastewater treatment. Clean Soil Air Water 2018, 46, 1700193. [Google Scholar] [CrossRef]
- Kumar, K.; Manmohan, K.; Sreelakshmi, P.M.; Gajalakshmi, S. Terracotta separator based plant microbial fuel cells for bioelectricity and catholyte production. Int. J. Appl. Eng. Res. 2018, 13, 14948–14955. [Google Scholar]
- Moqsud, M.A.; Yoshitake, J.; Bushra, Q.S.; Hyodo, M.; Omine, K.; Strik, D. Compost in plant microbial fuel cell for bioelectricity generation. Waste Manag. 2015, 36, 63–69. [Google Scholar] [CrossRef]
- Khoirunnisa, N.S.; Alfiansah, Y.R.; Hazra, F.; Anwar, S.; Sudadi, U.; Santosa, D.A. Impact of fertilizer, salinity, and exo-electrogen bacteria on the performance of plant microbial fuel cell (PMFC) using rice plant (Oryza sativa). Biomass Convers. Biorefinery 2025, 15, 25417–25431. [Google Scholar]
Disclaimer/Publisher’s Note: The statements, opinions and data contained in all publications are solely those of the individual author(s) and contributor(s) and not of MDPI and/or the editor(s). MDPI and/or the editor(s) disclaim responsibility for any injury to people or property resulting from any ideas, methods, instructions or products referred to in the content. |
© 2025 by the authors. Licensee MDPI, Basel, Switzerland. This article is an open access article distributed under the terms and conditions of the Creative Commons Attribution (CC BY) license (https://creativecommons.org/licenses/by/4.0/).








