Abstract
The large-scale integration of renewable energy sources and new loads, such as distributed photovoltaics and electric vehicles, has resulted in frequent power quality issues within distribution networks. Traditional AC distribution networks lack the necessary flexibility and have limited capacity to accommodate these new energy sources and loads. Transforming the conventional distribution network into an AC-DC hybrid network using flexible interconnection devices like Voltage Source Converters can enhance the network’s flexibility, mitigating the power quality challenges arising from the integration of renewable energy and new loads. Electric buses, with their substantial capacity, mobility, and centralized management, offer potential as mobile energy storage. They can participate in the dispatching of the distribution network, thereby improving the network’s flexibility in power regulation. This paper proposes a coordinated optimization approach that integrates electric buses and VSCs for distribution network dispatch. This method enables electric buses to assist in power dispatch without interfering with their primary public transport duties, thus enhancing the network’s capacity to absorb new energy sources and loads. Firstly, considering the mobility characteristics of electric buses, a multi-layer stochastic Time–Space Network model is developed for bus dispatching. Secondly, an optimization model is constructed that accounts for the coordination of charging and discharging power between VSCs and electric buses, with the objective of minimizing the network losses in the distribution system. Finally, the proposed model is transformed into a second-order cone programming formulation, facilitating its solution through convex optimization techniques. The effectiveness of the proposed approach is demonstrated through a case study.
1. Introduction
In response to China’s dual-carbon policy and the construction of a new power system centered on renewable energy, new energy sources and loads, such as distributed photovoltaics (DPVs) and electric vehicles (EVs), have experienced rapid growth [1,2]. However, the traditional AC distribution network has limited flexibility and control capabilities, leading to power quality issues, such as reverse power flow and voltage violations, due to the stochastic and volatile nature of PV output when large-scale renewable energy sources and loads are integrated [3,4]. The significant charging power and uncertainty in the charging behavior of electric vehicles further destabilize the distribution network’s operation [5], thereby limiting the integration of these new energy sources and loads. This inadequate absorption capacity restricts the development of renewable energy and electric vehicle infrastructure.
Flexible interconnection technologies can enhance the power regulation flexibility of the distribution network, with power transfers between substations improving the network’s ability to accommodate new energy sources and loads. A coordinated control strategy for Voltage Source Converters (VSCs) is proposed to increase transfer capacity and Distributed Generation (DG) penetration, minimizing power losses in day-ahead scheduling and regulating node voltages in real time [6]. Ref. [7] introduces a VSC-based energy router model for microgrids, presenting a hierarchical distributed optimization method that partitions the microgrid into a master region and several subregions. Ref. [8] proposes a DC conversion scheme with adaptive control for low-voltage distribution networks (LVDNs) integrating EVs, aiming to enhance the capacity for EV integration and address the issues stemming from EV charging. Ref. [9] utilizes the flexible power regulation capability of intelligent soft open points (SOPs), implementing distributed reactive power coordination optimization in multi-area active distribution networks based on a continuous relaxation iterative method. A two-stage optimization strategy is proposed in Ref. [10], where the day-ahead scheduling phase achieves optimal active power dispatch of the intelligent soft open points (SOPs) using a sensitivity-based method, and the intra-day phase corrects the SOP output to achieve a more cost-effective spatiotemporal power balance. However, the adjustment capacity of flexible interconnection equipment is constrained by its own limits and installation location, and solely relying on the transfer capacity of flexible devices provides limited improvements in the absorption of new energy sources and loads in the distribution network.
With the development of Vehicle-to-Grid (V2G) technology, electric vehicles can now participate in distribution network power dispatch as mobile energy storage. Electric buses (EBs), which have large capacities, high mobility, and centralized management, can be integrated into the network’s power dispatching process without interfering with their primary public transport duties. Agreements between power grid companies and bus operators can enable EBs to participate in power distribution during off-peak hours, thereby enhancing the flexibility of the distribution network and mitigating the load impact from clustered EV charging. Ref. [11] proposes an energy management system for EB charging stations to mitigate the impact of charging on distribution networks, considering bus-to-grid capabilities. Ref. [12] introduces a transactive energy management approach for EVs in residential buildings to address uncertainties in PV output and building demand. Ref. [13] proposes a data-driven stochastic EB preallocation optimization method, separating EBs for public transit services and post-disaster power supply. Ref. [14] introduces a distributed optimization-based EV charging coordination method that reduces EV user charging costs while ensuring voltage stability in the distribution network. Ref. [15] considers the interests of multiple stakeholders and presents an optimal V2G pricing strategy for EVs participating in demand-side response, using game theory. However, unlike ordinary electric vehicles, EBs must be dispatched without affecting their public transportation function.
Furthermore, most existing studies focus on the power regulation capabilities of flexible interconnection devices but rarely consider the coordinated operation of flexible interconnection devices with other assets. Ref. [16] considers the flexibility of VSCs and Battery Energy Storage Systems (BESSs) and proposes a capacity allocation optimization model for BESSs in AC/DC distribution systems. However, compared to energy storage devices, EBs offer superior mobility, allowing for dispatching in both temporal and spatial dimensions. As such, existing control strategies may not be applicable in distribution networks where both VSCs and EBs are involved in power dispatch.
In summary, current research has the following limitations: (1) Existing studies on the power regulation of distribution networks assisted by electric vehicles mainly focus on ordinary EVs, while EBs must perform their public transportation tasks, making current dispatch strategies unsuitable for EBs. (2) Existing research has not considered the coordination between VSCs and EBs, which may result in both the VSC and EBs simultaneously delivering large amounts of power to the same node. This can lead to suboptimal power flow management and may even exacerbate power quality issues.
To address these limitations, (1) this paper first develops a dispatching model for EBs using a multi-layer stochastic Time–Space Network (TSN) method, considering the mobility characteristics of electric buses. (2) Secondly, an optimization model is constructed to coordinate the charging and discharging power of VSCs and EBs, with the objective of minimizing network losses in the distribution system. Finally, the proposed model is reformulated into a second-order cone optimization (SOCO) model, which is easier to solve using convex optimization methods. The effectiveness of the proposed approach is validated through a case study.
2. Problem Description
China is building an electricity system with new energy as the primary source. On the distribution network side, renewable energy, particularly rooftop PVs, has rapidly developed in recent years. Figure 1 illustrates the schematic of a distribution network with the large-scale integration of distributed PV and electric vehicle (EV) charging stations. The substations are interconnected via flexible devices, such as Voltage Source Converters (VSCs), with a DC fast-charging station connected to the DC line. The network includes two bus lines, and electric buses (EBs) depart from the station at specific times daily, following designated routes to meet the public transportation needs of the local population.
Figure 1.
The transportation network and distribution network.
Due to the flexible power regulation capability of the VSC, it can optimize the power flow distribution between the two AC lines and enable mutual power support. Therefore, the two lines are interconnected through the VSC. One VSC employs the Vdc-Q control mode to stabilize the DC line voltage, while the other uses the P-Q control mode to manage energy transfer between the AC and DC lines. By controlling the power of the VSCs, excess photovoltaic (PV) output from a substation area with high PV penetration can be transferred to a region with lower PV penetration, mitigating the high-voltage issue caused by excess PV output. However, the adjustment capacity of the VSCs is constrained by their own capacity, limiting the amount of transferable power. Additionally, when the PV output is high in both interconnected substation areas, the adjustment effectiveness weakens.
Electric buses (EBs), with their large capacity and strong flexibility, are ideal candidates for participating in the dispatching of the distribution network as mobile energy storage. The power grid company can enter into agreements with bus operators to control the charging and discharging of EBs, thereby improving voltage quality and reducing the impact of electric vehicle charging loads. When the PV output is high, EBs can be scheduled to charge, and during periods of low PV output (e.g., in the afternoon), the stored energy in the EBs can be discharged back to the grid. However, EB dispatching must not interfere with their primary transportation duties, meaning only those EBs that have completed their transit tasks or are not currently scheduled for transit can participate in grid services.
Both VSCs and EBs enhance the flexibility of the distribution network, as shown in Figure 2. VSCs enable flexible power transfer across the distribution network spatially, while EBs contribute flexibility both temporally and spatially. However, the adjustment capacity of VSCs is limited by their own capacity, and EB participation is constrained by their transportation schedule. Therefore, the coordinated operation of VSCs and EBs during power dispatch is essential to optimize performance. Without coordination, there is a risk of overcompensation, where both VSCs and EBs transfer energy in the same direction simultaneously. This paper proposes a coordinated optimization strategy for VSCs and EBs, ensuring full utilization of the flexible transmission capacity of VSCs and the flexibility of EBs, ultimately improving power quality and enhancing the distribution network’s capacity to integrate new energy sources and loads.
Figure 2.
The transferred power in the distribution network.
3. Multi-Layer Stochastic TSN Model for Electric Buses
The multi-layer stochastic TSN modeling method can more accurately describe the movement of vehicles at each moment [17]. However, unlike the ordinary situation, the dispatching of EBs needs to be carried out without affecting their normal transportation tasks. Therefore, to ensure the normal execution of the public transportation tasks of EBs, public transportation task constraints are further added to the multi-layer stochastic TSN model, as shown in Figure 3.
Figure 3.
Multi-layer stochastic TSN model.
The multi-layer stochastic TSN model is used to model the EBs in the area. The TSN is divided into layers, and each layer represents the movement of an EB. The horizontal axis of the TSN is time, and the vertical axis is the location of an EB. Let the total time of optimization dispatching be , and the selected unit time interval be . Then, the total number of unit time intervals in the optimization period is , and the total number of moments is . The n-th time interval is between the and the .
There are three types of arcs in the TSN: parking arcs, transit arcs, and fixed traffic task arcs.
Parking arcs : Represent all possible situations where the -th EB stops at a certain place in the -th time interval, as shown by the black solid line in the figure, that is, means that an EB is located at CS1 from to .
Transit arcs : Represent all possible paths for the -th EB to travel from one node to another node within the -th time interval, as shown by the orange solid line in the figure, that is, means that an EB starts to move from CS2 at and arrives at the CS1 node at .
Fixed traffic task arcs : Represent the route that the -th EB passes through when performing a transportation task within the -th time interval, as shown by the blue solid line in the figure, . The EB performing a transportation task needs to satisfy the following:
where is the total number of EBs; is a state variable, which is 1 if an EB is performing a transportation task at moment ; is a state variable, which is 1 when an EB is located on arc in the -th time interval.
Equation (2) ensures that each public transportation task is executed by EB, and Equation (3) ensures that the EB performing the public transportation task is located on the corresponding transportation task arc.
The dividing line in the multi-layer stochastic TSN divides the space–time network nodes in a time interval into two groups, and , where is the set of space–time network nodes on the left side of the dividing line and is the set of space–time network nodes on the right side of the dividing line. The set of arcs passed by the dividing line can be expressed as . EBs in the TSN model need to satisfy the following constraints:
where is a state variable, which is 1 when vehicle is located at node at moment ; is the set of all arcs starting from node , and denotes the sets of all arcs starting from and ending at node t, respectively.
Equation (4) indicates that an EB can only be located on one arc at the same moment. Equations (5) and (6) ensure the continuity of an EB’s movement.
An EB that is not performing a transportation task can be dispatched by the power grid to participate in charging and discharging. The charging/discharging power is the key that couples the distribution network with the transportation network. The EB participating in charging and discharging needs to satisfy the following:
where and are state variables, which are 1 when an EB is charging/discharging at the charging station at moment ; is the set of all charging station nodes; and are the charging and discharging powers of an EB at the charging station at moment , respectively; and are the rated charging and discharging powers of the charging station , respectively; is the capacity of the charging station .
The energy consumption of an EB during the dispatching process is as follows:
where is the moving consumption of an EB at moment ; is the charging consumption and discharging consumption of an EB at moment ; is the average consumption of an EB moving on section; and are the charging and discharging efficiencies, respectively; is the rated capacity of an EB; is the state of charge of an EB at moment.
Moreover, to prolong the service life of the EB battery, the SOC of the EB should not be too high or too low:
4. Coordinated Optimization Model of VSC and EB
4.1. Establishment of the Optimization Model
By adjusting the output power of the VSC and the charging and discharging time and location of the EB, the flexible regulation of the power of the flexible interconnected distribution network can be realized, the voltage quality and power flow distribution of the flexible interconnected distribution network can be improved, and the absorption capacity of the distribution network for new energy sources and loads can be enhanced. The decision variables of the proposed optimization model are the output power of the VSC and the dispatching situation of the EB at each moment, and the objective function is to minimize the network loss of the flexible interconnected distribution network:
where i and j are the node numbers of the low-voltage distribution network; is the set of all nodes on the AC line; is the set of nodes directly connected to node i; is the current flowing through branch ij at moment t.
During the operation of the VSC, it needs to satisfy the power balance and capacity constraints on the AC and DC sides, in which the power losses are ignored.
where and are the active powers output by the VSC connected to node i on the AC and DC sides, respectively; is the reactive power output by the VSC on the AC side; is the capacity of the VSC.
During the operation of the flexible interconnected distribution network, the two AC lines need to satisfy the power flow constraints:
where and are the active and reactive powers flowing from node j to node i through branch at moment, respectively; and are the active and reactive powers injected into node i at moment, respectively; and are the conductance and susceptance of branch ij, respectively; is the voltage of node i at moment; is the current flowing from node j to node i; and Φi are the sets of branches with node i as the starting and ending nodes, respectively. It should be noted that includes the power of the VSC, the power from the charging stations, and the net load, as shown in (20).
To prevent serious voltage limit violations, each node in the flexible interconnected distribution network also needs to satisfy the voltage constraint:
where and are the minimum and maximum voltage.
Considering the coordinated cooperation between the VSC and EB, the constraints of the EB dispatching model (1)–(15) also need to be included in the optimization model.
4.2. Solution of the Optimization Model
This model includes several non-convex constraints with quadratic terms, such as (17)–(19), making it unsolvable using conventional solvers. To simplify the calculation, the second-order cone convexification method can be used to simplify the model. After replacing with and with , with Equations (18) and (19), we obtain the following:
Equation (17) can also be transformed into a second-order cone form:
At the same time, the objective function can be simplified as follows:
Therefore, the objective function of the proposed VSC and EB coordinated optimization model can be expressed as Equation (27), and this model is a cone optimization model, which can be solved by calling a solver. In this paper, we use MATLAB 2023a to call CPLEX to solve the optimization problem. The pseudo-code of the model is shown in Table 1.
Table 1.
The pseudo-code of the model.
5. Case Study
5.1. Background
This paper focuses on the distribution and traffic networks in the area shown in Figure 4. The power regulation of the distribution network and the dispatch of electric buses for charging and discharging between 6:00 and 18:00 are evaluated to verify the effectiveness of the proposed coordinated optimization method. To reduce the calculation time, only one bus route is selected for simulation, and the distribution network is simplified accordingly.
Figure 4.
Schematic diagram of distribution network and transportation network. (a) Distribution network; (b) transportation network.
The area contains two adjacent distribution networks, both integrating large-scale distributed PVs. The load in each node is 8 kW, and the power factor is 0.8. The rating capacity of DPVs is 40 kW. EV charging stations are located at nodes 4 and 7 on Line 1, and nodes 3 and 9 on Line 2, each equipped with two 7 kW AC charging piles. The AC lines are interconnected via a VSC with a rated capacity of 100 kVA, and a 60 kW DC charging pile is connected to the DC line. The output coefficient changes in the DPVs and user load at the two substations can be found in [18]. Prior to interconnection, high-voltage issues often occur between 10:00 and 12:00 when the PV output is high, while low-voltage issues are common from 16:00 to 18:00 due to high user load.
In the traffic network, the rated capacity of each road is 300 pcu/h, which means the maximum number of vehicles that can pass by per hour. In the absence of congestion, the electric bus travel time between adjacent nodes is 10 min. A bus line runs between nodes 5 and 8, with 14 electric buses operating in the area. The bus from node 5 to node 8 starts at 6:00 and departs every hour, while the bus from node 8 to node 5 starts at 6:20 and departs every hour. Initially, seven electric buses are stationed at nodes 5 and 8. Four AC charging stations are located at nodes 2, 3, 10, and 11, and the DC charging station is at node 7. The initial state of charge (SOC) of the electric buses is assumed to be 0.8.
5.2. Effect Analysis of the Coordinated Optimization Method
To evaluate the effectiveness of the proposed coordinated optimization method, three comparison cases are designed, as outlined in Table 2. In Case 1, the two distribution substations are interconnected by a VSC, but the electric buses are charged in an unordered manner. In Case 2, the two substations are not interconnected, and the electric buses are dispatched in an orderly manner for charging and discharging. In Case 3, the VSCs are employed and the electric buses are dispatched in an orderly manner, and the coordinated optimization strategy proposed in this paper is implemented.
Table 2.
Comparison of example design.
The voltage variations and network loss values for each case are presented in Figure 5 and Table 3, respectively. Before interconnection, severe high-voltage issues occur on Line 1 between 11:00 and 14:00. From 16:00 to 18:00, both lines experience significant low-voltage problems due to increased user load and uncontrolled electric bus charging.
Figure 5.
Voltage variation in each example. (a) Line 1 maximum voltage changes; (b) Line 2 maximum voltage changes.
Table 3.
Network losses, maximum voltage, and minimum voltage of each example.
In Case 1, the VSC power transmission is shown in Figure 6. Due to higher distributed photovoltaic (DPV) penetration in substation area 1, excess PV output is transferred to substation area 2 through the VSC to balance the load. However, the high PV integration prevents full absorption of the transferred power, exacerbating high-voltage problems in both substations while also increasing total network loss. From 16:00 to 18:00, the VSC’s reactive power compensation helps alleviate the low-voltage issues in both substations.
Figure 6.
VSC output. (a) Case 1; (b) Case 3.
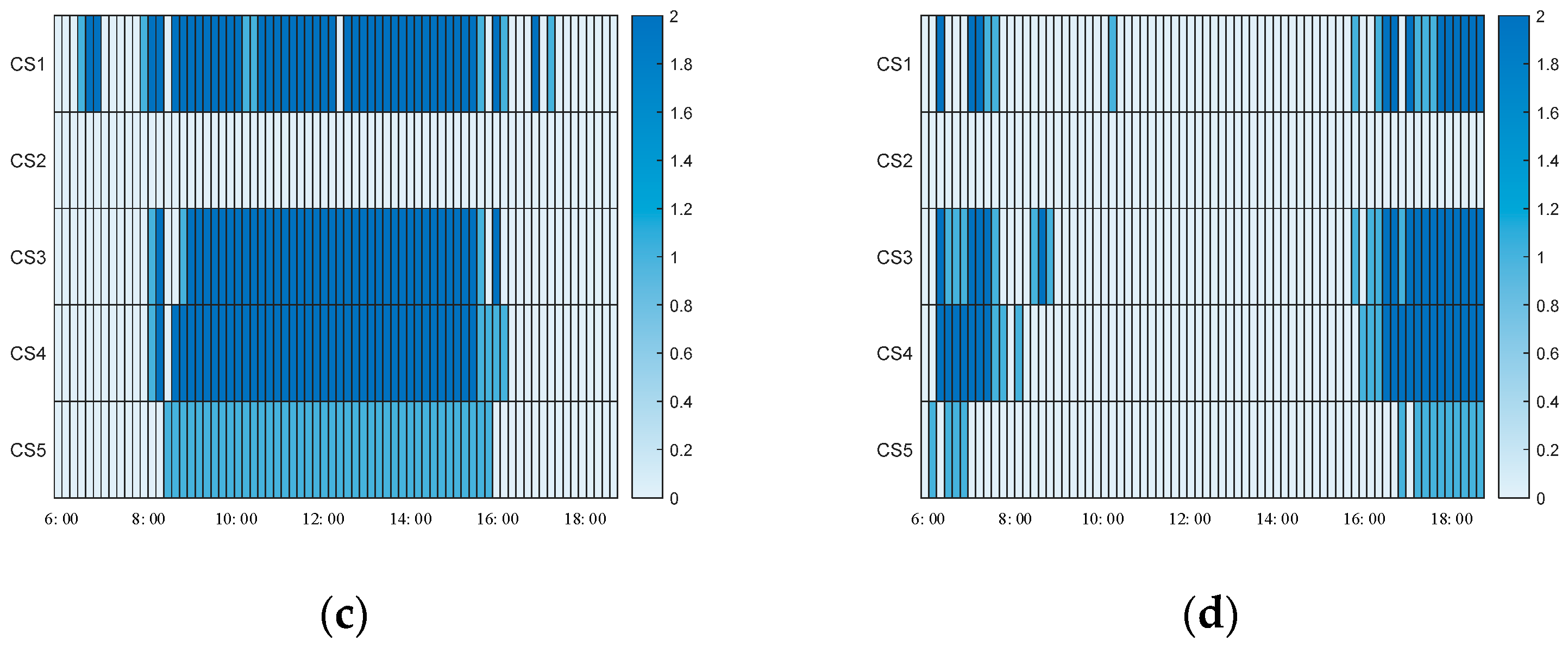
In Case 2, the electric bus charging and discharging patterns are shown in Figure 7. Between 9:00 and 16:00, approximately two buses charge at each of CS1, CS3, and CS4, which improves the high-voltage issues in both substations. From 16:00 to 18:00, two buses discharge at each of the stations, alleviating low-voltage issues. However, due to the limited power capacity of the AC charging stations, the voltage improvement is relatively weak. The total network loss decreases significantly by approximately 23.25%.

Figure 7.
EB charging and discharging situation. (a) Case 2 charging situation; (b) Case 2 discharging situation; (c) Case 3 charging situation; (d) Case 3 discharging situation.
In Case 3, between 9:00 and 16:00, in addition to the three AC charging stations, the high-power DC charging station on the DC line is continuously charged by the electric buses. The excess PV output from both substations is routed into the DC line through the VSC to charge the electric buses, addressing both the photovoltaic absorption and high-voltage problems. During the periods from 6:00 to 7:00 and 16:00 to 18:00, electric buses discharge at CS1, CS3, CS4, and CS5. The high-power discharge from the DC station flows back into the substations via the VSC, effectively mitigating low-voltage issues. As shown in Table 3, the total network loss decreases by about 37.67%.
The execution of public transportation tasks is summarized in Table 4, showing that electric bus operations are not impacted during dispatch. Therefore, the proposed coordinated optimization strategy for electric buses and VSCs effectively addresses the power quality issues caused by the large-scale integration of new energy sources and loads, improving the overall power quality for users.
Table 4.
Traffic task execution.
6. Conclusions
This paper proposes a coordinated optimization method of electric busses and the VSC for improving the absorption capacity of new energy sources and loads. Without affecting the public transportation tasks of electric busses, through the coordinated cooperation of the power control of the VSC and the orderly charging and discharging of electric busses, the high and low voltage problems in the substation area with the large-scale integration of new energy sources and loads are solved, the substation loss is reduced, and the stability and economy of the distribution network operation are improved.
Author Contributions
Conceptualization, Y.L. and L.Z.; methodology, Y.L., M.H., and Y.Z.; software, W.L.; validation, L.Z.; formal analysis, H.Y., F.W., and L.L.; writing—original draft preparation, Y.L. and M.H.; writing—review and editing, Y.Z. and L.Z. All authors have read and agreed to the published version of the manuscript.
Funding
This research was funded by the Science and Technology Project of State Grid Shandong Electric Power Company (52062624000S).
Data Availability Statement
The raw data supporting the conclusions of this article will be made available by the authors on request.
Conflicts of Interest
The authors declare no conflicts of interest.
Abbreviations
The following abbreviations are used in this manuscript:
Parameters and variables:
| PV | Photovoltaics |
| EB | Electric bus |
| EV | Electric vehicle |
| VSC | Voltage source converter |
| TSN | Time–Space Network model |
| The total number of EBs. | |
| The total time of the optimization dispatching. | |
| The selected unit time interval. | |
| The total number of unit time intervals in the optimization period. | |
| The total number of moments. | |
| The n-th time interval. | |
| The n-th moment. | |
| Parking arcs in the TSN model represent all possible situations where the m-th EB stops at a certain place in the s-th time interval. | |
| Transit arcs in the TSN model represent all possible paths for the m-th EB to travel from one node to another node within the s-th time interval. | |
| Fixed traffic task arcs in the TSN model represent the route that the m-th EB passes through when performing a transportation task p within the s-th time interval. | |
| A state variable, which is 1 if EB m is performing a transportation task p at moment s. | |
| A state variable, which is 1 when EB m is located on arc (n1,n2) in the s-th time interval. | |
| The set of space–time network nodes on the left side of the dividing line. | |
| The set of space–time network nodes on the right side of the dividing line. | |
| The set of arcs passed by the dividing line. | |
| A state variable, which is 1 when vehicle m is located at node n at moment t. | |
| The set of all arcs starting from node n. | |
| The sets of all arcs ending at node n. | |
| A state variable, which is 1 when EB m is charging at the charging station n at moment s. | |
| A state variable, which is 1 when EB m is discharging at the charging station n at moment s. | |
| The set of all charging station nodes. | |
| The charging powers of EB m at the charging station n at moment s. | |
| The discharging powers of EB m at the charging station n at moment s. | |
| The rated charging powers of the charging station n. | |
| The rated discharging powers of the charging station n. | |
| The capacity of the charging station n. | |
| The moving consumption of EB m at moment s. | |
| The charging consumption and discharging consumption of EB m at moment s. | |
| The average consumption of EB moving on section. | |
| / | The charging and discharging efficiencies. |
| The rated capacity of EB. | |
| The state of charge of EB m at moment t. | |
| The set of all nodes on the AC line. | |
| The set of nodes directly connected to node i. | |
| The current flowing through branch ij at moment t. | |
| The active powers output by the VSC connected to node i on the AC sides. | |
| The active powers output by the VSC connected to node i on the DC sides. | |
| The reactive power output by the VSC on the AC side. | |
| The capacity of the VSC. | |
| / | The active and reactive powers flowing from node j to node i through branch ij. |
| / | The active and reactive powers injected into node i. |
| / | The conductance and susceptance of branch ij. |
| The voltage of node i. | |
| The current flowing from node j to node i. | |
| / | The sets of branches with node i as the starting and ending nodes. |
References
- Abad, M.S.S.; Ma, J. Photovoltaic Hosting Capacity Sensitivity to Active Distribution Network Management. IEEE Trans. Power Syst. 2021, 36, 107–117. [Google Scholar] [CrossRef]
- Haxhiu, A.; Abdelhakim, A.; Kanerva, S.; Bogen, J. Electric Power Integration Schemes of the Hybrid Fuel Cells and Batteries-Fed Marine Vessels—An Overview. IEEE Trans. Transp. Electrif. 2022, 8, 1885–1905. [Google Scholar] [CrossRef]
- Reshikeshan, S.S.M.; Matthiesen, S.L.; Illindala, M.S.; Renjit, A.A.; Roychowdhury, R. Autonomous Voltage Regulation by Distributed PV Inverters With Minimal Inter-node Interference. IEEE Trans. Ind Appl. 2021, 57, 2058–2066. [Google Scholar] [CrossRef]
- Yao, M.; Hiskens, I.A.; Mathieu, J.L. Mitigating Voltage Unbalance Using Distributed Solar Photovoltaic Inverters. IEEE Trans. Power Syst. 2021, 36, 2642–2651. [Google Scholar] [CrossRef]
- Rubino, L.; Rubino, G.; Esempio, R. Linear Programming-Based Power Management for a Multi-Feeder Ultra-Fast DC Charging Station. Energies 2023, 16, 1213. [Google Scholar] [CrossRef]
- Zhang, L.; Liang, J.; Tang, W.; Li, G.; Cai, Y.; Sheng, W. Converting AC Distribution Lines to DC to Increase Transfer Capacities and DG Penetration. IEEE Trans. Smart Grid 2019, 10, 1477–1487. [Google Scholar] [CrossRef]
- Wu, T.; Zhao, C.; Zhang, Y.-J.A. Distributed AC-DC Optimal Power Dispatch of VSC-Based Energy Routers in Smart Microgrids. IEEE Trans. Power Syst. 2021, 36, 4457–4470. [Google Scholar] [CrossRef]
- Zhang, B.; Tang, W.; Liang, J.; Zhang, L.; Zhao, C. EV Integration-Oriented DC Conversion of AC Low-Voltage Distribution Networks and the Associated Adaptive Control Strategy. IEEE Trans. Transp. Electrif. 2024, 10, 213–223. [Google Scholar] [CrossRef]
- Zhang, T.; Pu, T.; Dong, L.; Yuan, X.; Mu, Y.; Jia, H. Distributed Reactive Power Optimization for Flexible Distribution Networks With Successive Relaxation Iteration Method. IEEE Trans. Sustain. Energy 2025, 16, 452–468. [Google Scholar] [CrossRef]
- Wang, C.; Sun, J.; Huang, M.; Zha, X.; Hu, W. Two-stage Optimization for Active Distribution Systems Based on Operating Ranges of Soft Open Points and Energy Storage System. J. Mod. Power Syst. Clean Energy 2023, 11, 66–79. [Google Scholar] [CrossRef]
- Zhuang, P.; Liang, H. Stochastic Energy Management of Electric Bus Charging Stations with Renewable Energy Integration and B2G Capabilities. IEEE Trans. Sustain. Energy 2021, 12, 1206–1216. [Google Scholar] [CrossRef]
- Saber, H.; Ranjbar, H.; Fattaheian-Dehkordi, S.; Moeini-Aghtaie, M.; Ehsan, M.; Shahidehpour, M. Transactive Energy Management of V2G-Capable Electric Vehicles in Residential Buildings: An MILP Approach. IEEE Trans. Sustain. Energy 2022, 13, 1734–1743. [Google Scholar] [CrossRef]
- Li, B.; Chen, Y.; Wei, W.; Mei, S.; Hou, Y.; Shi, S. Preallocation of Electric Buses for Resilient Restoration of Distribution Network: A Data-Driven Robust Stochastic Optimization Method. IEEE Syst. J. 2022, 16, 2753–2764. [Google Scholar] [CrossRef]
- Nimalsiri, N.; Ratnam, E.; Smith, D.; Mediwaththe, C.; Halgamuge, S. A Distributed Coordination Approach for the Charge and Discharge of Electric Vehicles in Unbalanced Distribution Grids. IEEE Trans. Ind. Inform. 2024, 20, 3551–3562. [Google Scholar] [CrossRef]
- Chen, P.; Han, L.; Xin, G.; Zhang, A.; Ren, H.; Wang, F. Game Theory Based Optimal Pricing Strategy for V2G Participating in Demand Response. IEEE Trans. Ind. Appl. 2023, 59, 4673–4683. [Google Scholar] [CrossRef]
- Meng, H.; Jia, H.; Xu, T.; Wei, W.; Wang, X. Battery Storage Configuration of AC/DC Hybrid Distribution Networks. CSEE J. Power Energy Syst. 2023, 9, 859–872. [Google Scholar]
- Liu, X.; Soh, C.B.; Zhao, T.; Wang, P. Stochastic Scheduling of Mobile Energy Storage in Coupled Distribution and Transportation Networks for Conversion Capacity Enhancement. IEEE Trans. Smart Grid 2021, 12, 117–130. [Google Scholar] [CrossRef]
- Zhang, Y.; Zhang, L.; Li, G.; Tang, W.; Tong, B.; Zhao, C.; Zhang, Q.; Zhang, B.; Chen, W. Co-Optimizing Electric Tourist Buses and VSC to Enhance the Flexibility of Hybrid AC/DC Distribution Networks With Distributed PV. IEEE Trans. Smart Grid 2025, 16, 741–753. [Google Scholar] [CrossRef]
Disclaimer/Publisher’s Note: The statements, opinions and data contained in all publications are solely those of the individual author(s) and contributor(s) and not of MDPI and/or the editor(s). MDPI and/or the editor(s) disclaim responsibility for any injury to people or property resulting from any ideas, methods, instructions or products referred to in the content. |
© 2025 by the authors. Licensee MDPI, Basel, Switzerland. This article is an open access article distributed under the terms and conditions of the Creative Commons Attribution (CC BY) license (https://creativecommons.org/licenses/by/4.0/).







