Abstract
Since fossil fuels still dominate industry and electricity production, post-combustion carbon capture remains essential for decarbonizing these sectors. The most advanced technique for widespread application, particularly in hard-to-abate industries, is amine-based absorption. However, increasing energy efficiency is crucial for broader implementation. This study presents pilot-scale results from the Tauron Power Plant in Poland using a mobile CO2 capture unit (1 TPD). Two innovative process modifications—Split Flow (SF) and Heat Integrated Stripper (HIS)—were experimentally investigated; they achieved a 10% reduction in reboiler heat duty, reaching 2.82 MJ/kgCO2, along with a 36% decrease in overall heat losses and up to a 28% reduction in cross-flow heat exchanger duty. The analysis highlights both the advantages and challenges of these modifications. SF is easier to retrofit into existing plants, whereas the HIS requires more extensive modifications in the stripper section, thus making HIS more cost-effective for new installations. Moreover, as heat consumption constitutes the primary operational cost, even a moderate reduction in heat duty can lead to significant economic benefits. The HIS also offers substantial potential for thermal integration in industries with available waste heat streams. The pilot data underwent validation procedures to ensure reliability, which provides a robust foundation for process modeling, optimization, and scaling for industrial applications.
1. Introduction
Decarbonizing industry presents a major challenge, particularly in sectors where emissions are difficult to avoid, including cement manufacturing, metallurgy, fertilizer production, and refining. These industries, along with power generation, still rely heavily on fossil fuels, making post-combustion carbon capture (PCCC) a crucial technology for reducing CO2 emissions [1,2,3]. Among the available methods, amine-based chemical absorption remains the most advanced and widely applicable, particularly for hard-to-abate sectors [4,5]. While initially developed for power plants, this approach has also proven effective in capturing CO2 from biogenic sources (BECCS); it is currently the only available negative emissions technology [6,7]. Given the similar CO2 concentrations found in industrial and power sector flue gases, amine-based absorption offers a scalable and versatile solution for large-scale emissions reduction. However, to enable widespread deployment across both industries, improving energy efficiency remains a key challenge that must be addressed [1,8].
One of the main challenges of amine-based CO2 capture is the high energy demand associated with solvent regeneration, which typically requires at least 3.6–3.8 MJ/kgCO2 in conventional systems [2]. Current research efforts aim to lower this energy consumption to below 2.0 MJ/kgCO2 through advanced process modifications and novel solvent formulations [4]. Several modifications have been proposed to enhance process efficiency; however, those related to stripper modifications appear to be the least explored. In this context, Cold Solvent Split (CSS) and Stripper Interheating (SI) are the most commonly considered, while Split Flow (SF) and Heat Integrated Stripper (HIS) are investigated much less frequently [8,9,10].
The CSS, also referred to as Rich Split (RS), involves diverting a portion of the rich solvent stream and feeding it to the upper section of the stripper without prior heating. This configuration was recognized by Feron et al. in 2020 [11] as a new standard in amine-based CO2 capture processes.
The SF configuration represents a more advanced process layout involving the separation of both lean and rich amine solvent streams. The key feature of this configuration lies in the strategic division of solvent flows for optimizing energy usage. Such a modification was initially proposed to reduce steam demand in the reboiler, which offered a more energy-efficient alternative to the conventional process arrangement. This concept was originally introduced in the early 20th century by Shoeld [12] for the removal of acid gases, such as H2S, from high-pressure natural gas systems. Shoeld’s idea has since been further developed by several researchers [13,14,15]. Later studies confirmed its applicability for CO2 capture from flue gases [16]. However, despite its potential, there are relatively few pilot-scale studies available that explore the practical implementation of such a configuration.
On the other hand, SI enhances heat distribution by extracting, heating, and reinjecting solvent at specific stripper sections while often utilizing the lean solvent as a heating medium [17,18,19]. Other potential heat sources include steam condensates, hot flue gases, or external low-temperature heat sources [16,20,21]. While SI has been extensively studied in simulations by Li et al. [22], Zhao et al. [23], and Muhammad et al. [24], experimental validation has been limited to studies by Stoffregen et al. [21] and Iijima et al. [17], who reported its application in MHI technology with the KS-1 solvent without detailed analysis. Recently, Danish researchers addressed this gap with pilot-scale experiments on Stripper Interheating at the Amager Bakke Waste-to-Energy plant in Copenhagen, utilizing a steam generator to facilitate the SI system, as presented by Vinjarapu et al. [25].
While other innovative stripper modifications, such as the Piperazine Advanced Stripper (PZAS) developed by the University of Texas at Austin [26] and the divided stripper configuration employed by the CAER 0.7 MWe pilot plant [27], have demonstrated promising results, challenges such as oxidative degradation of solvents persist. These studies highlight the need for continued exploration of alternative heat integration strategies. One such approach is the Heat Integrated Stripper (HIS), which was proposed by Leites et al. [28] and later extensively studied through modeling research by Oyenekan [29]. The HIS involves deep thermal integration by embedding heat exchangers along the significant height of the stripper, which are supplied with a lean solvent. As noted in reviews by Feron [8], Cousin et al. [16], and more recently by Salimi et al. [30] and Løge et al. [31], this concept has not yet been validated at the pilot scale.
A form of this solution has been implemented by the ITPE (Institute of Energy and Fuel Processing Technology) team in the Tauron pilot plant. Preliminary research findings were presented in [32,33], including an initial analysis of HIS efficiency and an economic evaluation based on pilot-scale experiments [34], which demonstrated its cost-effectiveness for industrial applications.
In this study, a combination of Split Flow (SF) and the Heat Integrated Stripper (HIS) is investigated using a mobile pilot plant with a 1 TPD CO2 capture capacity (Figure 1). The experiments, conducted at the Tauron Power Plant in Poland, utilize a well-documented and widely tested MEA 30 wt.% solvent, making it a strong reference for evaluating advanced process configurations. The results for these modifications will be compared to baseline data from a previous study [35]. The findings demonstrate a significant reduction in reboiler heat duty, with energy consumption falling below 2.90 MJ/kgCO2. Additionally, the HIS shows strong potential for integration with external waste heat sources, particularly in cement plants, steelworks, and waste incineration facilities. Beyond heat reduction benefits, the HIS could also facilitate CO2 capture integration with exothermic catalytic processes, such as methanation, using green hydrogen [36,37].
Figure 1.
Mobile solvent-based CO2 capture pilot plant at the Jaworzno Power Plant (Tauron Group).
To accurately assess the impact of different modifications, comprehensive thermal balancing [38] and heat loss evaluations were performed [35]. These analyses are critical for pilot plants, where heat losses can constitute a significant portion of the energy balance, whereas, in industrial-scale applications, these losses represent a much smaller share. Additionally, the study examines the feasibility of combining multiple process modifications to maximize efficiency improvements.
Despite extensive simulation studies, the practical deployment of advanced stripper configurations remains underexplored. By providing pilot-scale validation, this study contributes to the optimization and industrial deployment of post-combustion CO2 capture, reinforcing its role in decarbonization.
2. Materials and Methods
2.1. The Pilot Plant
The CO2 capture unit investigated in this study builds upon extensive prior research conducted at Tauron Group power plants. While its design and operation parameters have been extensively described in previous studies [32,33], this paper specifically examines the impact of advanced process configurations, such as SF and the HIS, on energy efficiency and CO2 capture performance.
Developed as a mobile unit, the pilot plant enables CO2 capture at a rate of 1 ton per day via chemical absorption under different industrial conditions. It has been deployed three times in total, with key research conducted at the Jaworzno Power Plant [35], where it was connected to the flue gas stream from the hard coal-fired, fluidized bed boiler operating under normal industrial conditions. The present study includes additional results obtained during these campaigns.
Earlier studies at the Łaziska Power Plant played a crucial role in validating its performance and refining measurement methodologies [33]. Ultimately, after 2500 h of research, the plant was integrated into a research system for energy storage in the form of synthetic natural gas (SNG), demonstrating that chemical absorption can provide a CO2 stream with parameters suitable for catalytic hydrogenation syntheses [36,37].
The modular pilot plant, typically handling flue gas streams of approximately 200 m3/h sourced directly from an industrial site, was equipped with a dedicated deep desulfurization section. During its deployment at the coal-fired power plant, this module played a critical role in flue gas purification prior to CO2 capture studies. Before entering the desulfurization unit, the flue gas was first subjected to a washing and cooling stage, reducing its temperature to approximately 40 °C. The core process equipment was housed in the Technology Container while monitoring and analytical operations were conducted in the Supervision Container. The complete layout with the Storage Container is illustrated in Figure 1. The pilot plant was designed as a flexible testing platform, allowing for the evaluation of multiple process configurations during individual test campaigns, each typically lasting around 100 h. The most relevant of these configurations are discussed in detail in the present study.
2.2. Main Apparatus
Analyzing temperature profiles within the column is crucial when comparing different process configurations, as the tested SF and HIS setups affect both the absorber and the stripper. Table 1 presents the key data for these columns. Thermocouples were installed between individual packed sections and their positions corresponded to those shown in Figure 2.
Table 1.
Characteristics of the sections in the columns of the pilot plant.
Figure 2.
Structure of the Heat Integrated Stripper with streams in the SF-HIS configuration.
The K-215 stripper was constructed from stainless steel and designed with 15 sections. Seven of these were dedicated to gas and liquid distribution, while the remaining sections, detailed in Table 1, were responsible for mass transfer and thermal integration.
The primary heat source was a reboiler situated in section S01, powered by a four-core electric heater manufactured by Selfa (Szczecin, Poland). To ensure precise process monitoring, six pressure measurement points were distributed along the stripper’s height, primarily for assessing packing performance and pressure variations. A pressure sensor and control valve (as shown in Figure A1 in Appendix A) were installed downstream of the F-223 separator to regulate system pressure.
To minimize thermal losses, the entire column was insulated with 80 mm thick mineral wool and enclosed in aluminum sheeting. Given the mobile nature of the plant, the stripper was designed for partial disassembly. Although the insulation was non-uniform at structural connection points, this had no significant impact on overall heat retention.
A key innovation in the stripper (total height of 15.3 m) was the incorporation of diaphragm-type, tube-in-tube heat exchangers, commonly referred to as recuperators. These exchangers harnessed the heat from the regenerated solvent, improving the temperature profile within the central part of the column and enhancing CO2 desorption efficiency. To further optimize mass transfer, a 1” Sulzer C-ring packing was installed inside the recuperator tubes, while the remaining sections employed structured Sulzer Mellapak 750Y packing (Winterthur, Switzerland).
The system featured a dual-recuperator setup. The upper recuperator was positioned in section S08, while the lower recuperator was split into two parts, located in sections S04 and S06. This configuration enabled the implementation of the Split Flow (SF) modification by allowing the extraction of semi-lean solvent from section S05.
The technical data on the remaining apparatus and equipment were already presented in a previous publication [35], and they were not modified during the experiments described in this study.
2.3. Andvanced Proces Configurations
The process setup of the pilot plant was based on the conventional amine scrubbing system, which has been extensively described in the literature [39,40,41]. While grounded in this well-established framework, the installation was designed to offer considerable flexibility, enabling the implementation of several advanced process configurations. These included Double Absorber Feed (DAF), Cold Solvent Split (CSS), and the previously mentioned Heat Integrated Stripper (HIS) and Split Flow (SF).
Most of these configurations primarily differed in terms of the solvent dosing point within the column. However, the HIS configuration required modifications to the stripper by incorporating internal heat exchangers (recuperators), while the SF configuration involved splitting the lean solvent stream, necessitating the duplication of certain equipment such as pumps, heat exchangers, and coolers. Consequently, the process flowsheet presented in Figure 3 appears more complex than the conventional solvent-based CO2 capture process.
2.3.1. Standard Configuration with Cold Solvent Split (CSS)
In comparison to the conventional amine-based system, the applied setup included a process modification in which the top section of the stripper was supplied with a colder portion of the rich solvent (L31), typically accounting for about 8% of the total rich solvent stream leaving the absorber. This adjustment constitutes the core of this process modification. It is now widely recognized as a standard feature in CO2 capture systems and is commonly implemented [11,23,42,43].
The remaining portion of the rich solvent stream was split into two comparable parts and routed through cross-flow heat exchangers, where it exchanged heat with the lean solvent. These streams were subsequently introduced into the stripper as L12 above section S09 and L23 above section S08. This arrangement helped to partially cool the upper part of the stripper, thereby reducing water losses through the gas outlet stream.
During the presented campaign, this configuration was applied in all experiments and was not analyzed independently. For this reason, it is treated in this study as part of the standard system configuration (Figure 3).
Figure 3.
The process flowsheet in the standard configuration of the TAURON pilot CO2 capture plant.
Figure 3.
The process flowsheet in the standard configuration of the TAURON pilot CO2 capture plant.

2.3.2. Split Flow (SF)
This process modification involves drawing two solvent streams with different levels of CO2 loading from the stripper and directing them back into the absorber at two distinct points (Figure 4). The first stream, deep regenerated (deep-lean) (L4) and withdrawn from the bottom of the stripper, was introduced above the section (S07) of the absorber. The second, partially regenerated (semi-lean) (L5) stream was extracted from an intermediate section of the stripper (S05) and fed into the middle part of the absorber above section S04.
Figure 4.
The process flowsheet in the SF configuration of the TAURON pilot CO2 capture plant.
This solution aimed to cool the middle section of the absorber and perform preliminary gas purification in its lower sections while enhancing the driving force for absorption in the upper stages. This approach allowed the system to maintain the required CO2 removal efficiency without increasing the reboiler heat duty, as only a portion of the circulating solvent was subjected to deep regeneration in the stripper. Such a strategy is considered particularly useful for absorbents with a low reaction rate, such as tertiary amines [20].
2.3.3. Split Flow with Heat Integrated Stripper (SF-HIS)
In this configuration, diaphragm-based heat exchangers (recuperators) were integrated into the stripper, following a modified concept originally proposed by Leites [28]. In conventional strippers, an excessive driving force for desorption tends to concentrate in the reboiler and the top sections of the column. Leites suggested that optimal desorption performance can be achieved by distributing the driving force more evenly across the entire packed sections.
In the pilot plant, the lower recuperator (REC-L) consisted of two parts located in sections 4 and 6, separated by a distributor tray (section S05) that collected stream L51 from the stripper. The REC-L facilitated heat recovery (without mass exchange) from the lean solvent stream L41, which was drawn from the bottom of the stripper. The recovered heat was transferred then to the solvent within the recuperator’s internal tubes, intensifying desorption as the solvent flowed downward through the packing.
The upper recuperator (REC-U), located in section S08, operated similarly by recovering heat from the L51 stream (collected in section S05) and transferring it to the solvent within the upper part of the desorption zone.
After passing through the recuperators, the partially cooled solvent streams (L42 and L52) were directed to cross-flow heat exchangers and subsequently cooled in solvent coolers before being returned to the absorber (Figure 5).
Figure 5.
The process flowsheet in the SF-HIS configuration of the TAURON pilot CO2 capture plant.
2.4. Main Proces Indicators
2.4.1. CO2 Capture Efficiency
This parameter is a key performance indicator in solvent-based carbon capture processes, representing the proportion of CO2 removed from the treated gas stream. It directly reflects the effectiveness of the absorption system and is crucial for assessing the viability of different process configurations, solvents, and operating conditions. A high η is desirable for maximizing CO2 removal while minimizing solvent consumption and energy demand.
In this study, η was determined based on the mass flow rates of CO2 in the inlet gas stream (G21) and the outlet gas stream (G22), both expressed in kg/h. The CO2 capture efficiency was calculated using Equation (1):
2.4.2. Reboiler Heat Duty
In solvent-based CO2 capture, most of the energy consumption is associated with solvent regeneration, quantified as reboiler heat duty (q) in MJ/kgCO2. This parameter is critical for assessing process efficiency, comparing solvent performance, and evaluating optimization strategies. Reducing reboiler heat duty is fundamental to improving the economic feasibility of CO2 capture technologies. The heat required for solvent regeneration Qreg is supplied to the stripper’s steam-powered reboiler, and the total specific energy demand can be expressed as in Equation (2) [40,44,45,46].
where
- Heat of Desorption (Qdes)—Represents the minimum energy required to break the chemical bonds between CO2 and the amine solvent, enabling solvent regeneration. In CO2 capture studies [47,48,49,50], it is often assumed that the heat of desorption equals the heat of absorption, although this depends on the solvent composition. In this study, the heat of absorption value was adopted based on Bruder et al. [51].
- Heat of Vaporization (Qvap)—Energy associated with solvent evaporation, primarily water. Some water exits the system with the desorbed CO2, and the heat required for its vaporization is lost. The amount of water leaving the stripper in this manner depends on process parameters, including stripper operating pressure and temperature, solvent composition, and CO2 loading. Higher desorption temperatures and lower solvent CO2 loadings generally increase water vaporization losses.
- Sensible Heat (Qsens)—Represents the energy required to raise the temperature of the solvent entering the desorption system. Its magnitude depends on the temperature difference between the inlet and outlet solvent streams and the specific heat capacity of the solution. In this study, the specific heat capacity of a MEA 30 wt.% solvent was determined using data from Hilliard [52].
In the SF configuration, the lean solvent stream withdrawn from the stripper is divided into two separate streams. As a result, the specific sensible heat qsens consists of two components. The value of qsens-deep refers to the energy needed to heat the deep regenerated solvent stream (L4), while qsens-semi corresponds to the heating of the partially regenerated solvent stream (L5). This relationship is shown in Equation (3).
In practical applications, the actual heat supplied to the system is always higher than the theoretical reboiler heat duty due to inevitable heat losses. These losses vary depending on the type of installation, system scale, and process conditions. Proper quantification of heat losses must be considered when analyzing the thermal efficiency of the process. Heat losses can be categorized as follows:
- Stripper heat loss (Qloss.S)—Heat dissipation from the stripper, influenced by factors such as design, insulation quality, number of connection points, instrumentation, and the surface-area-to-volume ratio of flowing media (scale effect).
- Exchanger heat loss (Qloss.E)—Heat loss occurring in heat exchangers and other process equipment, including measurement devices and piping between the stripper and cross-flow heat exchangers. The extent of this loss depends on the complexity and the scale of the plant.
- Heat lost in coolers (Qloss.C)—This occurs when the lean solvent is not sufficiently cooled due to inadequate heat exchange in cross-flow heat exchangers, leading to excess heat removal in coolers. Such a situation is more likely in research facilities where varying process configurations are tested, causing deviations from nominal design parameters. However, this type of heat loss does not occur in properly designed industrial systems operating near their design specifications. For this pilot-scale installation, a maximum acceptable (and not counted as a loss) temperature difference between the lean and rich solvent at the outlet of the cross-flow heat exchangers was set at 7 °C.
- The actual heat input required for solvent regeneration, considering all losses, is given by Equation (4):
Heat losses can significantly impact pilot-scale measurements, with losses reaching up to 35%, depending on system design and insulation quality [53,54,55]. While such losses are acceptable in research settings, they can distort comparisons between different process configurations if not properly accounted for. The heat loss determination methodology for this pilot plant was thoroughly described by Tatarczuk et al. [35], using the process balance reconciliation method presented in [38,56].
To ensure accurate benchmarking, the use of q as a standardized parameter allows for a fair evaluation of process efficiency across various system configurations and operating conditions.
2.4.3. CO2 Loading
The primary function of the stripper is to regenerate the solvent by reducing the concentration of dissolved CO2 in the liquid phase, called the CO2 loading of the solvent (α, molCO2/molA). This parameter represents the amount of CO2 absorbed per mole of amine groups in the solvent and is crucial for assessing both absorption and regeneration efficiency.
In this study, the CO2 loading was determined through precise density measurements of solvent samples collected during pilot-scale tests. The methodology relied on an experimentally derived correlation α = f(t,ρ), which is specific to the solvent used. For MEA 30 wt.% solutions, the procedure described by Spietz et al. [57] was applied.
3. Results
This study analyses the impact of advanced configurations on the chemical absorption process for CO2 capture from flue gases. The comparison is based on pilot-scale test results, with global parameters presented in Table 2. The SF and HIS configurations were evaluated following the scheme in Figure 4, using a previously published standard configuration test as a reference [35].
Table 2.
Summary of key raw parameters for pilot tests.
The mass balance results, including reconciled process stream data, are summarized in Table 3. The stream notations align with Figure 4. Raw measurement data from the test campaigns are provided in Appendix B, with instrumentation notations matching the scheme in Figure A1.
Table 3.
Mass flow rate of main components in process streams (data after balance reconciliation).
3.1. Effect of the SF Configuration
3.1.1. Impact on the Absorber
The SF configuration affects both the absorber and the stripper, as evident from its influence on the temperature profiles in both columns.
Since chemical absorption is an exothermic process, temperature variations directly impact mass transfer between phases. As shown in Figure 6 (left), the main absorption phase occurred in sections S06–S07, where a significant temperature rise was observed. In all tests, lean solvent was introduced at section S08, which acted as a liquid distributor. It then flowed downward, contacting the flue gas, absorbing CO2, releasing heat, and increasing the temperature in the sections below. In the SF tests, however, a partially regenerated solvent (L55) at 40 °C was introduced above section S04 into the liquid distributor (section S05). This adjustment improved the process driving force by shifting operating conditions away from equilibrium and lowering the temperature in the middle section of the column [58]. This effect is comparable to intercooled absorption, where part of the solvent stream is withdrawn, cooled, and reintroduced into the column [16,59].
Figure 6.
Temperature profiles along the height of the absorber packing (left) and the stripper packing (right) for analyzed tests with inlet and outlet stream markers.
However, due to the higher CO2 loading of this solvent, absorption in sections S02–S05 was less intensive. Ultimately, the SF configuration resulted in a rich solvent stream exiting the absorber at a temperature approximately 5 °C lower than in the standard test. Additionally, CO2 capture efficiency improved by nearly 4 percentage points, while reboiler heater power setting was reduced by 10% (Table 2), enhancing overall process efficiency.
It should be noted that the tests for the S and SF configurations were not conducted under perfectly identical conditions, particularly with regard to the L/G ratio. However, as reported in an earlier study [32], increasing L/G beyond 5.0 in the standard configuration can negatively affect the capture efficiency, while the SF configuration continues to perform favorably under these conditions. Moreover, the S test was conducted at a slightly higher CO2 inlet concentration and with higher reboiler heat input, both of which are conditions that typically enhance CO2 capture efficiency. Nevertheless, the SF test achieved better performance. This implies that under identical conditions, the actual performance advantage of the SF configuration might be even greater. As is often the case in pilot-scale testing, a perfect alignment of conditions is not always feasible.
3.1.2. Impact on the Stripper
The temperature profiles along the stripper packing, presented in Figure 6(right), indicate that in all sections except the reboiler section (S01), the SF configuration resulted in the lowest temperatures compared to the standard test.
With the withdrawal of stream L51 at section S05, the solvent flow through the lower sections of the stripper (S01–S04) was nearly halved compared to the standard case. At a lower Qh, deeper solvent regeneration was achieved (Figure 7). Furthermore, this stream was heated to a slightly higher temperature in the reboiler. Simultaneously, the vapor flow generated in the reboiler (S01) was significantly lower, reducing heat transfer from the rising vapor to the descending solvent. As a result, temperatures in sections S02–S05 were noticeably lower. This trend was further amplified in sections S06–S09, where a reduced vapor flow contacted the entire rich solvent stream.
Figure 7.
Comparison of the CO2 loading of the solvent streams and gaseous components flow from the stripper for analyzed tests.
Additionally, the rich solvent introduced into sections S09–S12 had the lowest temperature in the SF configuration, leading to further cooling in the upper part of the stripper. An important factor influencing the temperature difference at the top of the stripper is the water vapor content in the gas phase leaving section S09. The gas temperature at this point was noticeably higher in the standard configuration compared to the SF test. Given that the operating pressure in the stripper remains similar across all cases (see Table A1), the equilibrium vapor pressure of water in the SF case is significantly lower, resulting in reduced water vapor content in the gas phase. Consequently, the gas phase in the S case contains a higher fraction of water vapor, which is more prone to condensation upon contact with the colder L31 stream. This leads to a reduced cooling effect of the gas in the standard configuration, whereas in the SF case, the gas containing less water vapor undergoes a more substantial temperature drop due to more effective sensible heat exchange with the L31 stream.
However, the lower temperature in the packed sections of the stripper during the SF test (with an average reduction of 8.6 °C compared to the standard configuration) led to a less intensive mass transfer. This is evidenced by the graphical representation of operational stream parameters (L12, L23, L31—inlets; L41, L51—outlets) relative to the equilibrium curve pCO2 = f(t,α), as shown in Figure 8.
Figure 8.
Operational parameters of the solvent streams at the inlet and outlet of the stripper in relation to the equilibrium curve for analyzed tests.
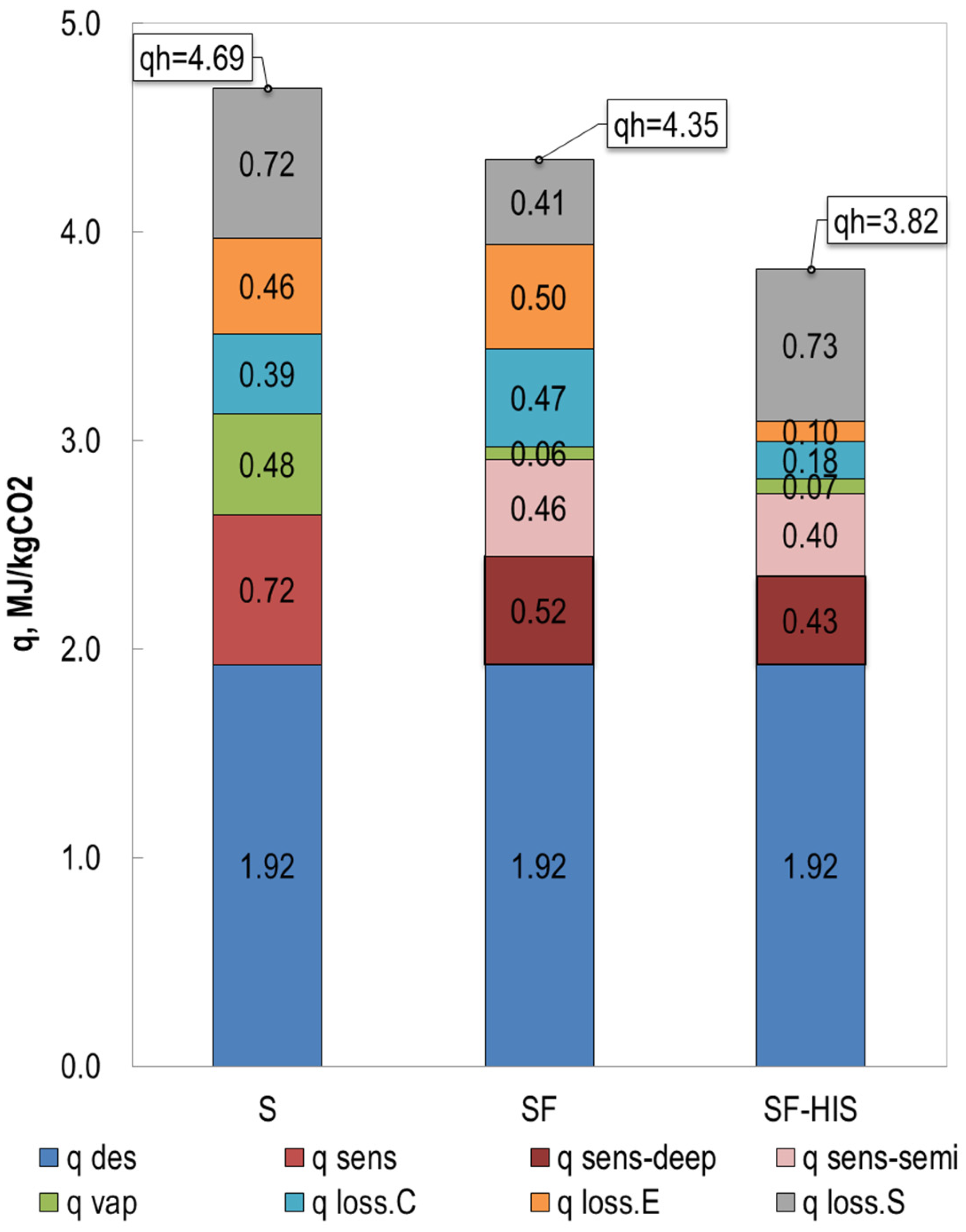
The equilibrium curves for the average and maximum temperatures, determined using Bruder et al.’s equation [51], indicate that the lower average temperature in the stripper’s packed section during the SF test resulted in lower equilibrium CO2 partial pressure. The operating stream parameters for the SF test were closer to equilibrium conditions, reducing the mass transfer driving force compared to the standard test and resulting in a lower stream of removed CO2 (Figure 7). The above conditions contributed to the fact that the total heat required for solvent heating (qsens) was highest for the SF test and amounted to 0.98 MJ/kgCO2.
When the remaining components of the qh from Figure 9 are compared, it is evident that in the SF test, a significant reduction in heat losses in the stripper (qloss.S) was observed. This is most likely associated with a lower solvent flow rate reaching the stripper’s reboiler due to the removal of the L51 stream in section S05. The reduction in qloss.S can be further confirmed by analyzing the temperature profile in the stripper for the SF test, presented in Figure 6. In contrast to test S, where the temperature decreased by 1.0 °C, an increase in the temperature of the solvent flowing downward along the packing in section S04 was observed.
Figure 9.
Reboiler heat duty components for analyzed tests.
On the other hand, the increased solvent flow outside the stripper contributed to a slight increase in heat losses within the heat exchanger island (qloss.E) and the coolers (qloss.C). Ultimately, the total heat losses were reduced by 12% compared to the standard test.
3.2. Impact of HIS Implementation on Process
To evaluate the potential for improving process efficiency in the SF configuration, an additional test was conducted, incorporating a heat-integrated stripper (HIS). The HIS configuration was activated by adjusting valve positions, enabling the lean solvent to flow through recuperators. Both tests were conducted consecutively under comparable operating conditions to minimize external influences.
The implementation of the HIS had no significant impact on the absorption process, as temperature profiles in the absorber remained highly similar. A slight temperature increase was observed, which may indicate a higher intensity of CO2 absorption from the gas phase. However, the key benefit of the HIS was the substantial improvement in solvent regeneration, leading to an almost 9 percentage point increase in CO2 capture efficiency.
During the SF test, the L41 solvent stream at 108.0 °C was extracted from section S01 of the stripper and directed to the cross-flow heat exchanger E-213. Simultaneously, the L51 stream at 85.0 °C was withdrawn from section S05 and routed to E-214. In contrast, during the SF-HIS test, the L41 stream at 109.0 °C was directed to the lower recuperator (REC-L) in sections S04 and S06, where it transferred QREC-L = 17.50 kW of heat to the stripper. It then exited as L42 at 87.0 °C and was routed to E-213. The semi-lean solvent stream L51, at 93.0 °C, was extracted from S05 and introduced into S08, where it transferred QREC-U = 8.39 kW of heat in the upper recuperator before leaving the stripper. The L52 stream, at 83.4 °C, was then directed to E-214 and subsequently to the cross-flow heat exchanger E-210.
3.2.1. Upper Sections of the Stripper Performance
The temperature profile for the SF-HIS test (Figure 6) indicates that the use of solvent flow through the upper recuperator did not increase the temperature in sections S08 and S09. In this test, the upper recuperator was supplied with stream L51 from section S05. The temperature of this stream was only 3 °C higher than tavg, resulting in a low heat exchange driving force. Therefore, the heat flow transferred in the upper recuperator was twice as low as in the lower recuperator, and the temperature profiles for these stripper sections in the SF and SF-HIS tests were similar but clearly lower than in the standard configuration. Consequently, the qvap remained consistently low, with a value of 0.07 MJ/kgCO2, indicating that heat integration in the SF configuration had no significant impact on this parameter.
The desorption heat qdes remained unchanged across all tests despite having the largest contribution to the reboiler heat duty. Its value is independent of process configuration [47,60], and therefore, its role is not significant in comparing tests that used the same solvent. Given that MEA 30 wt.% was the solvent used in all tests, qdes was assumed to be 1.92 MJ/kgCO2 (Figure 9) based on data from Bruder et al. [51].
3.2.2. Lower Sections of the Stripper Performance
The presence of recuperators in the Split Flow configuration resulted in a 4.4 °C increase in the average temperature (tavg) within sections S02–S09 of the stripper during the HIS test. However, the maximum temperature (tmax) in section S01, where L41 was extracted, remained the highest, despite the lowest heat duty (Qh). The higher tavg in the packed section of the stripper during the HIS test resulted in a correspondingly higher equilibrium CO2 partial pressure (Figure 8), enhancing the mass transfer driving force compared to the SF test conditions.
Intense mass transfer in the HIS test is further evidenced by the positioning of the L51 stream parameters. As shown in Figure 7, the CO2 loading of L51 (α51) decreased by 0.0361 molCO2/molA relative to α11, corresponding to an additional 12.5 kg/h of CO2 transfer to the gas phase, which accounted for 28% of the total captured CO2 in this test. Conversely, in the SF test, α51 decreased by only 0.0201 molCO2/molA, leading to 7.1 kg/h of desorbed CO2, or 18% of the total captured CO2. Additionally, the regeneration of the L41 stream was more intensive in the HIS test, resulting in a greater Δα11–L41 value.
3.2.3. Impact of HIS on Heat Losses
The increase in heat exchange intensity within the stripper after implementing the HIS resulted in a noticeable rise in qloss.S compared to the SF test, reaching a level similar to that observed in the S test. However, a significant decrease in other heat loss components was recorded. The reduction in the amount of heat directed to cross-flow heat exchangers lowered qloss.E by 0.40 MJ/kgCO2, while the existing heat exchange surface was sufficient to enhance heat transfer between the lean and rich solvent. This improvement led to a reduction in cooler heat losses (qloss.C) by 0.29 MJ/kgCO2.
As a result, the total heat losses for the test with the HIS were 27% lower compared to the SF test and 36% lower compared to the S test. Nevertheless, they still accounted for over 26% of qh, which is an acceptable level. Pilot facilities typically experience higher heat losses, reaching up to 35% depending on design and construction [53,54,55].
4. Discussion
4.1. Reduction in Process Heat Demand
Pilot plant studies using a well-known MEA 30 wt.% solvent demonstrated the beneficial impact of innovative process modifications. The implementation of the SF and HIS modifications resulted in a 10% reduction in heat demand for the process (Figure 10), which, in industrial-scale applications, could lead to significant cost savings and an overall improvement in the economic efficiency of decarbonization processes.
Figure 10.
Reboiler heat duty results for different process configurations (The empty marker presents the result from the earlier work [35]).
Ultimately, the reboiler heat duty for the SF-HIS test was 2.82 MJ/kgCO2, a value comparable to commercial technologies such as the DMX™ process, developed by Axens and IFPEN, which requires regeneration energy between 2.3 and 2.9 MJ/kgCO2 [61]; the technology developed by Linde and BASF using the OASE® blue solvent, with a heat demand of 2.7 MJ/kgCO2 [62], and MHI’s KS-1 solvent, which ranges from 2.44 to 2.53 MJ/kgCO2 [17].
The key findings of this study, highlighting the benefits of process modifications, are presented in Figure 10. Additionally, previously published results of the HIS implementation in the standard configuration [35] were included to identify common trends.
4.2. Reduction in Heat of Vaporization
The application of the SF configuration significantly reduced the temperature at the top of the stripper, creating conditions that limited water losses through vapor emissions from the system. This reduction directly lowered the energy required for water evaporation in the stripper, thereby decreasing qvap.
The comparison of tests presented in Figure 11 confirms that a lower temperature at the top of the stripper results in a reduced qvap. In the test using the SF configuration, a significant decrease in qvap was observed compared to the standard test. While the HIS configuration also contributed to a notable temperature reduction at the top of the stripper [35], the SF modification lowered it to such an extent that the introduction of the HIS had no further impact. This suggests that when combined with the split-flow configuration, heat recuperation in the lower section of the stripper is sufficient.
Figure 11.
Summary of the impact of stripper temperature on qvap and qsens during tests in different configurations.
This indicates that combining multiple configurations may not provide a synergistic benefit, as they may influence the process in a similar manner, affecting the same aspect of Equation (2). Previously published studies have shown that implementing the HIS in the standard configuration can reduce heat demand by up to 7% (Figure 10). However, in the case of integration with SF, a lower reduction was achieved, partly due to the limited impact on qvap.
An additional advantage of these two modifications is the reduction in cooling requirements for the captured gas. The amount of heat that must be removed to condense moisture is largely equivalent to qvap, as minimizing water content before further processing (including compression) is typically necessary. Therefore, the application of the SF and HIS configurations reduces cooling water demand, leading to lower operational costs. Additionally, the required surface area of the gas cooler and the size of the condensate separator are reduced, contributing to lower capital expenditures (CAPEX).
4.3. Reduction in Sensible Heat
A characteristic decrease in stripper temperature during the SF test, particularly in terms of tavg, had a negative effect on qsens, which increased significantly compared to the standard test. In both HIS tests shown in Figure 11, an increase in tavg was observed relative to tests without the HIS, intensifying the solvent regeneration process. The higher CO2 capture rate in the SF-HIS test at an identical Qh led to a lower overall qsens for the lean and semi-lean solvents, which was 0.15 MJ/kgCO2 lower compared to the SF test (Figure 9). Since heat integration did not influence qvap, the reduction in qsens was the primary contributor to the overall benefit of using the HIS in the split-flow configuration.
The implementation of heat integration through recuperators in the form of heat exchangers inside the stripper reduces the required external heat exchange surface. During the SF test, cross-flow heat exchangers and coolers transferred a total of 77.41 kW (Qcross + Qloss.C) from the lean solvent. The introduction of flow through the recuperators in the subsequent test significantly reduced the amount of heat exchanged outside the stripper (Figure 12). Since the mass flow rate of released CO2 also increased, a fair comparison was made by normalizing Qcross and Qloss.C to the mass of separated CO2. The SF-HIS test demonstrated a 36% reduction in external heat exchange compared to the SF test and a 28% reduction compared to the standard test, with the majority of this improvement attributed to a decrease in Qcross due to the relatively small contribution of Qloss.C. This reduction contributes to lower capital expenditures (CAPEX) related to the heat exchanger island.
Figure 12.
Summary of the amount of heat exchanged outside the stripper and CO2 production during tests in different configurations.
It should also be noted that introducing process configurations into the system will inevitably involve additional investment costs.
For the SF configuration, the required modifications include the following:
- A dual pumping system for lean and semi-lean solvents;
- Modification of the stripper to allow semi-lean solvent extraction;
- Redesign of the absorber to accommodate changed solvent flows;
- Increased heat exchange surface in cross heat exchangers.
- For the HIS configuration, the modifications include the following:
- Significant modification of the stripper, particularly due to the integration of internal recuperators;
- A slightly increased pumping load for the lean solvent.
Even if the SF configuration requires more changes, these adjustments are generally easier to implement in existing facilities. In contrast, the HIS requires more extensive modifications, particularly in the stripper section, making it a more cost-effective option for new installations. Nevertheless, heat consumption remains the primary operational cost, and a 5–10% reduction in heat duty can generate substantial economic benefits, helping to offset investment costs [34].
4.4. Comparison with Literature Data
The available literature does not report practical applications of thermal integration in the stripper via built-in heat exchangers (recuperators), but several studies have explored this concept through simulations. The most frequently analyzed and similar configuration is Stripper Interheating (SI), where solvent heating is performed externally before re-entering the stripper.
Zhao et al. [23] conducted a simulation of CO2 capture using MDEA/Pz (30/20%) with a stripper pressure of 2.1 bar(abs). Their results showed that SI reduced q from 2.74 to 2.56 MJ/kgCO2, representing a 7% decrease. They also identified reductions in qvap and qsens, which aligned with the findings from this study. However, differences in operating pressure influenced the magnitude of these effects.
Similarly, Li et al. [22] developed an optimized CO2 capture model, achieving a heat duty reduction from 3.60 to 3.38 MJ/kgCO2 when implementing SI, corresponding to an over 6% improvement. Their findings also indicated reductions in qvap and qsens, with qdes remaining unchanged.
Recent pilot-scale experiments on Stripper Interheating with MEA 30 wt.% solvent at the Amager Bakke Waste-to-Energy plant demonstrated a specific reboiler duty reduction from 3.71 to 2.71 MJ/kgCO2 while maintaining an 83% capture efficiency. Further modeling suggested a reduction to 2.25 MJ/kgCO2 at higher capture efficiencies [25]. An external heat exchanger powered by a separate steam source was used, which, in the long term, could enable the utilization of waste heat sources in a similar manner.
In this regard, the Heat Integrated Stripper also offers significant potential for thermal integration. Its design allows recuperators to be supplied with external waste heat sources available in various industrial sectors, such as cement plants, steelworks, and waste incineration facilities. Moreover, the HIS enables the integration of solvent-based CO2 capture with exothermic catalytic processes, such as CO2 hydrogenation for synthetic natural gas (SNG) production. Excess heat from this process could be used through recuperators to improve the stripper’s temperature profile and enhance solvent regeneration efficiency, as proposed in Tauron’s patent PL238451B1 [63]. Such integration strategies represent a promising direction for further research.
Until now, the only reported industrial studies on the application of the Heat Integrated Stripper for solvent-based CO2 capture have been conducted within the Tauron pilot plant, as presented in this work. However, previous publications have compared the performance of the HIS with the standard configuration [34,35,38].
5. Conclusions
This study demonstrates that energy efficiency improvements in solvent-based post-combustion CO2 capture can be achieved not only through advanced solvents but also via innovative process modifications. The integration of Split Flow and Heat Integrated Stripper with a widely studied MEA 30 wt.% solvent resulted in a reboiler heat duty reduction to 2.82 MJ/kgCO2, which is comparable to commercial-scale technologies, thus indicating a potential for significant operational cost reductions. Further improvements could be expected when applying these modifications in combination with next-generation solvents.
Comparison with the standard process configuration revealed that SF alone reduced the reboiler heat duty by 5%, while the addition of the HIS further decreased it by another 5%. The combination of these configurations also resulted in an over 12 percentage point increase in CO2 capture efficiency. The SF configuration improved absorption conditions and significantly lowered the stripper’s top temperature, reducing water vapor emissions and associated heat losses. As a result, implementing this solution is expected to reduce cooling water demand and the capital costs associated with the stripper condensation system.
The integration of the HIS with SF further enhanced solvent regeneration by increasing the average temperature within the stripper, particularly in the zones affected by the implanted heat exchangers. This improved mass transfer conditions and had a secondary effect of enhancing CO2 capture efficiency. Additionally, heat integration led to a 36% reduction in overall heat losses and a decrease in external heat exchanger duty by up to 28%. These benefits will directly translate into lower investment and operating costs compared to the standard solvent-based CO2 capture process.
While these modifications present clear economic and process advantages, it is important to consider potential challenges, particularly in adapting absorber and stripper column designs to accommodate these configurations. However, the results from over 2500 h of industrial-scale (at Tauron facilities) testing indicate no operational issues related to the implanted heat exchangers, thus providing strong support for their further scale-up and commercialization.
The findings presented in this study provide a valuable basis for the engineering-scale design of CO2 capture facilities. The implementation of SF and the HIS in mature solvent-based processes can significantly enhance efficiency and accelerate decarbonization efforts, particularly in sectors where chemical absorption remains the most viable option until emerging carbon capture technologies reach commercial maturity.
Author Contributions
Conceptualization, A.T. and L.W.-S.; methodology, A.T., A.K. and T.S.; validation, A.T. and M.T.; formal analysis, L.W.-S. and M.T.; investigation, A.T., A.K. and T.S.; data curation, A.T., A.K., T.C. and S.D.; writing—original draft preparation, A.T.; writing—review and editing, A.T., A.K. and L.W.-S.; supervision, J.Z.; funding acquisition, J.Z. All authors have read and agreed to the published version of the manuscript.
Funding
This research was funded by the National Centre of Research and Development in Poland, grant number SP/E/1/67484/10.
Data Availability Statement
For further information regarding data presented in this article, please contact the corresponding author.
Acknowledgments
The authors would like to express gratitude to former employees of ITPE (M.S., A.W., D.S.) for their dedication and the countless hours spent together on pilot-scale research. Appreciation is also extended to the representatives of the Tauron Group for their collaboration in research projects and their openness to embracing new challenges. This work is dedicated to the memory of Z. Budner, K. Dreszer, and K. Warmuziński. Declaration of generative AI and AI-assisted technologies in the writing process: During the preparation of this work, the authors used OpenAI’s ChatGPT based on the GPT-4 model in order to improve the language of the work. After using this tool, the authors reviewed and edited the content as needed and took full responsibility for the content of the publication.
Conflicts of Interest
Author Janusz Zdeb was employed by the company Tauron Inwestycje sp. z o.o. The remaining authors declare that the research was conducted in the absence of any commercial or financial relationships that could be construed as a potential conflict of interest.
Nomenclature
The following abbreviations are used in this manuscript:
| BECCS | Bio-energy with Carbon capture and storage |
| c(n_i) | concentration of the component ‘i’ in gas stream ‘n’ (dry basis), %vol. |
| C% | amine mass concentration in the CO2 unloaded solvent, %wt. |
| cp | specific heat capacity of the solvent at a given balance point, kJ/kg K |
| CSS | Cold Solvent Split (solvent-based process configuration) |
| D | diameter, mm |
| DAF | Double Absorber Feed (solvent-based process configuration) |
| G(n_i) | gas stream (mass flow rate of the component ‘i’ in ‘n’ stream), kg/h |
| G’ | gas stream (volumetric flow rate), m3/h |
| H | height, mm |
| HIS | Heat Integrated Stripper (solvent-based process configuration) |
| ITPE | Institute of Energy and Fuel Processing Technology |
| L(n_i) | liquid stream (mass flow rate of the component ‘i’ in ‘n’ stream), kg/h |
| L’(n_i) | liquid stream (volumetric flow rate of the component ‘i’ in ‘n’ stream), kg/h |
| MEA | Monoethanolamine (2-aminoethanol) |
| p | pressure, kPa |
| pi | partial pressure of the component ‘i’ |
| PCCC | post-combustion carbon capture |
| q | reboiler heat duty, MJ/kgCO2 |
| qcross | unit heat duty in cross-flow heat exchangers, MJ/kgCO2 |
| qdes | heat of desorption, MJ/kgCO2 |
| qh | reboiler heater duty, MJ/kgCO2 |
| qloss.C | unit heat loss in coolers, J/h, kW |
| qloss.E | unit heat loss in cross-flow heat exchangers, J/h, kW |
| qloss.S | unit heat loss in stripper, J/h, kW |
| qsens | sensible heat of the solvent, MJ/kgCO2 |
| qsens-semi | sensible heat of the semi lean solvent, MJ/kgCO2 |
| qsens-deep | sensible heat of the deep lean solvent, MJ/kgCO2 |
| qvap | heat of vaporization, MJ/kgCO2 |
| Qcross | heat transfer rate in a cross-flow heat exchanger, J/h, kW |
| Qdes | heat flow for desorption, J/h, kW |
| Qh | reboiler heater power setting, kW |
| Qloss.C | heat loss in coolers, J/h, kW |
| Qloss.E | heat loss in cross-flow heat exchangers, J/h, kW |
| Qloss.S | heat loss in stripper, J/h, kW |
| QREC | heat flow through recuperators, J/h, kW |
| Qreg | heat flow for solvent regeneration, J/h, kW |
| Qsens | sensible heat flow, J/h, kW |
| Qvap | heat flow for solvent vaporization, J/h, kW |
| REC-U | upper recuperator of the stripper |
| REC-L | lower recuperator of the stripper |
| RS | Rich Split (solvent-based process configuration) |
| S | Standard (solvent-based process configuration) |
| SF | Split Flow (solvent-based process configuration) |
| SI | Stripper Interheating (solvent-based process configuration) |
| t | temperature, °C |
| u | uncertainty |
| y(n_i) | molar fraction of the component ‘i’ in ‘n’ stream (dry basis), mol/mol |
| α | CO2 loading of the solvent (ratio of the moles of absorbed CO2 to the moles of amine functional groups in the solvent), molCO2/molA |
| ρ | density, kg/dm3 |
| η | CO2 capture efficiency, % |
Appendix A
Measurement Scheme of the Pilot Plant
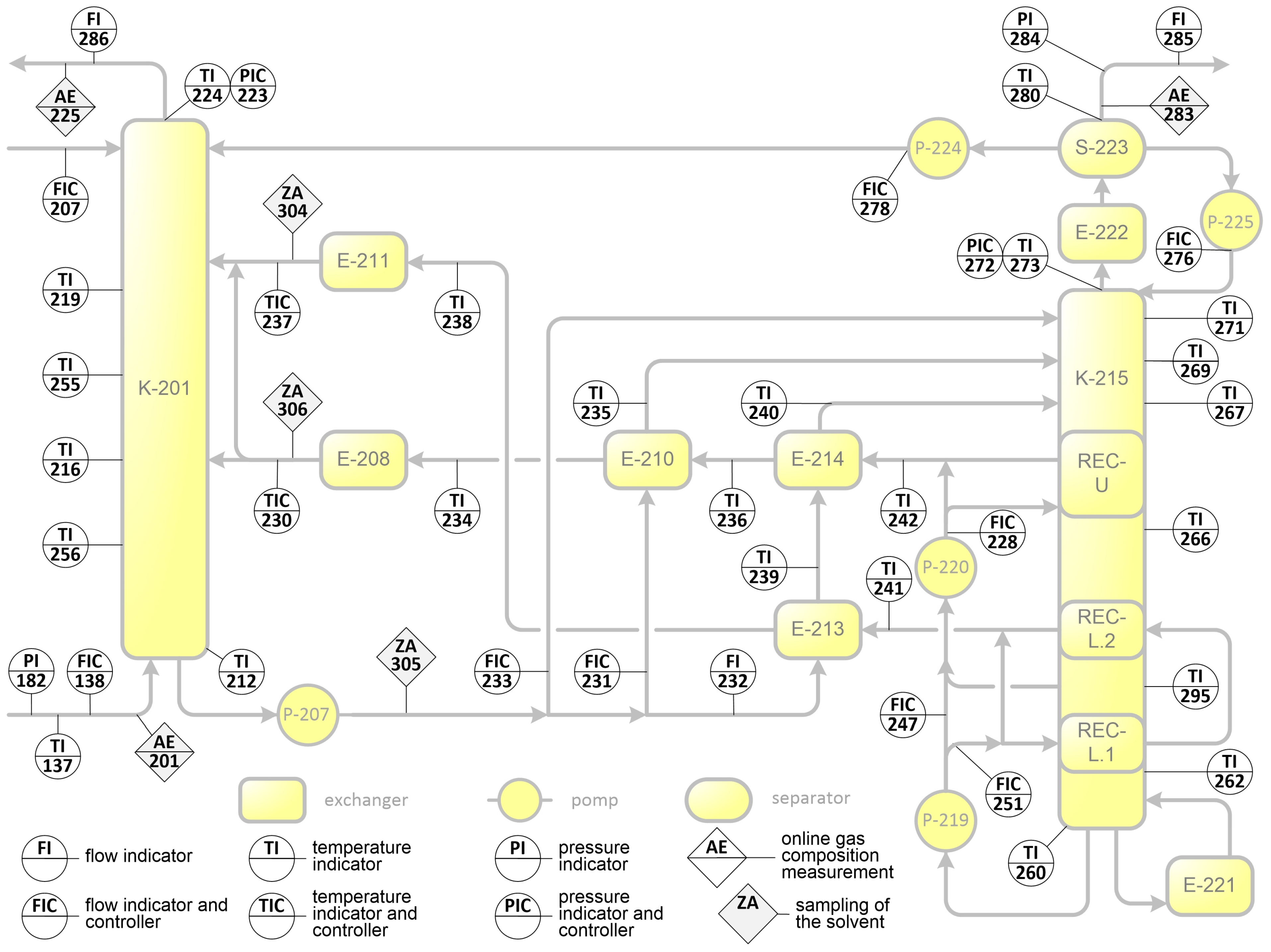
The measurement system of the pilot plant comprised over 180 measurement points. The recorded data were continuously monitored and automatically archived using AsixEvo 7 software by ASKOM, providing a comprehensive database on the CO2 capture process. The key measurement points essential for process control and mass balance are presented in the schematic diagram (Figure A1).
Figure A1.
Location of the main measuring points in the pilot plant.
Figure A1.
Location of the main measuring points in the pilot plant.

Appendix B
Raw Measurement Data
The table below presents the raw data collected during the tests conducted in S, SF, and SF-HIS configurations. The measurement devices listed correspond to the schematic diagram shown in Figure A1. These detailed raw data results, including those for the S configuration, have not been previously published.
Table A1.
Raw measurement data from pilot test with S, SF, and SF-HIS configurations.
Table A1.
Raw measurement data from pilot test with S, SF, and SF-HIS configurations.
| Configuration | S | SF | SF-HIS | ||||||
|---|---|---|---|---|---|---|---|---|---|
| Sym. | Measured Parameter | Unit | Meas. no | Value | u | Value | u | Value | u |
| G21 | Absorber inlet flue gas flow | kg/h | FI-138 | 299.7 | 5.9 | 286.5 | 5.9 | 285.6 | 5.9 |
| p21 | Pressure of the absorber inlet flue gas | kPa(g) | PI-182 | 24.6 | 0.1 | 25.0 | 0.1 | 24.8 | 0.1 |
| t21 | Temperature of the absorber inlet flue gas | °C | TI-137 | 29.0 | 1.2 | 32.6 | 1.3 | 30.0 | 1.2 |
| y21_CO2 | The molar fraction of CO2 in the dry inlet flue gas | molCO2/ moldfg | AE-201 | 0.1366 | 0.0017 | 0.1299 | 0.0019 | 0.1305 | 0.0016 |
| y21_O2 | The molar fraction of O2 in the dry inlet flue gas | molO2/ moldfg | AE-201 | 0.0616 | 0.0017 | 0.0689 | 0.0020 | 0.0674 | 0.0016 |
| G22 | Absorber outlet flue gas flow | kg/h | FI-286 | 245.2 | 7.3 | 254.2 | 7.3 | 252.7 | 7.3 |
| p22 | Flue gas pressure at the top of the absorber | kPa(g) | PI-223 | 20.4 | 0.1 | 21.3 | 0.1 | 21.2 | 0.1 |
| t22 | Flue gas temperature at the top of the absorber | °C | TI-224 | 44.9 | 0.8 | 56.0 | 0.8 | 57.1 | 0.8 |
| y22_CO2 | The molar fraction of CO2 in the dry outlet flue gas | molCO2/ moldfg | AE-225 | 0.0412 | 0.0015 | 0.0336 | 0.0017 | 0.0217 | 0.0015 |
| y22_O2 | The molar fraction of O2 in the dry outlet flue gas | molO2/ moldfg | AE-225 | 0.0673 | 0.0018 | 0.0768 | 0.0021 | 0.0756 | 0.0017 |
| G33 | Separator S-223 outlet flue gas flow | kg/h | FI-285 | 40.9 | 0.4 | 39.6 | 0.4 | 45.1 | 0.4 |
| p33 | Outlet gas pressure from the Separator S-223 | kPa(g) | PI-284 | -3.0 | 0.1 | -2.0 | 0.1 | -1.8 | 0.4 |
| t33 | Outlet gas temperature from the Separator S-223 | °C | TI-280 | 29.0 | 1.3 | 25.0 | 1.2 | 25.0 | 1.2 |
| p31 | Gas pressure at the top of the stripper | dm3/h | PI-272 | 30.0 | 0.1 | 29.9 | 0.1 | 30.1 | 0.1 |
| L’11 | E-210 HX-rich solvent inlet flow | dm3/h | FI-231 | 601.0 | 8.8 | 736.0 | 6.6 | 739.2 | 6.9 |
| α11 | CO2 loading of the rich solvent from the absorber | molCO2/ molA | ZA-305 | 0.5436 | 0.0095 | 0.5246 | 0.0091 | 0.5443 | 0.0094 |
| t11 | Temperature of the rich solvent from the absorber | °C | TI-212 | 49.0 | 0.8 | 43.0 | 0.8 | 43.0 | 0.8 |
| t12 | Temperature of the rich solvent to the stripper (sec. 10) | °C | TI-235 | 92.8 | 0.9 | 79.0 | 0.8 | 77.0 | 0.8 |
| C% | Amine concentration in the CO2 unloaded solvent | % | ZA-304 | 33.8 | 1.7 | 32.4 | 1.7 | 32.4 | 1.7 |
| L’21 | E-213 HX-rich solvent inlet flow | dm3/h | FI-232 | 571.1 | 17.8 | 666.1 | 10.7 | 656.7 | 12.6 |
| t22 | Temperature of the rich solvent to the HX E-214 | °C | TI-239 | 97.4 | 1.0 | 97.0 | 0.8 | 81.0 | 0.8 |
| t23 | Temperature of the rich solvent to the stripper (sec. 8) | °C | TI-240 | 100.5 | 0.8 | 95.0 | 0.8 | 81.0 | 0.8 |
| L’31 | Stripper (sec. 12) solvent inlet flow | dm3/h | FI-233 | 100.4 | 1.6 | 125.3 | 1.5 | 124.6 | 1.5 |
| L’41 | Stripper solvent outlet flow | dm3/h | FI-251 | 608.8 | 2.6 | 773.0 | 2.6 | 727.6 | 2.4 |
| α41 | CO2 loading of the lean solvent from the stripper | molCO2/ molA | ZA-304 | 0.3967 | 0.0067 | 0.3150 | 0.0055 | 0.3167 | 0.0055 |
| t41 | Temperature of the lean solvent from the stripper | °C | TI-260 | 107.0 | 0.8 | 108.0 | 0.8 | 109.0 | 0.8 |
| t42 | Temperature of the lean solvent to the HX E-213 | °C | TI-241 | 107.0 | 0.9 | 108.0 | 0.8 | 87.0 | 0.8 |
| t43 | Temperature of the lean solvent to the cooler E-211 | °C | TI-238 | 58.7 | 0.9 | 55.4 | 0.9 | 52.1 | 0.8 |
| t44 | Temperature of the lean solvent to the top absorber | °C | TI-237 | 40.0 | 0.8 | 40.0 | 0.8 | 40.0 | 0.8 |
| L’51 | Stripper (sec. 1/sec. 5) solvent outlet flow | dm3/h | FI-247/ FI-228 | 689.7 | 3.1 | 800.1 | 2.5 | 799.8 | 2.5 |
| α51 | CO2 loading of the lean solvent from the stripper (sec. 1/sec. 5) | molCO2/ molA | ZA-306 | 0.3967 | 0.0067 | 0.5007 | 0.0087 | 0.5118 | 0.0089 |
| t51 | Temperature of the lean solvent from the stripper (sec. 1/sec. 5) | °C | TI-260/ TI-295 | 107.0 | 0.8 | 85.0 | 0.8 | 93.0 | 0.8 |
| t52 | Temperature of the lean solvent to the HX E-214 | °C | TI-242 | 107.0 | 0.8 | 85.0 | 0.8 | 83.4 | 0.9 |
| t53 | Temperature of the lean solvent to the HX E-210 | °C | TI-236 | 99.2 | 0.9 | 86.0 | 0.8 | 83.0 | 0.8 |
| t54 | Temperature of the lean solvent to the cooler E-208 | °C | TI-234 | 59.8 | 0.8 | 51.0 | 0.8 | 51.0 | 0.8 |
| t55 | Temperature of the lean solvent to the mid-section of the absorber | °C | TIC-230 | 40.0 | 0.8 | 40.0 | 0.8 | 40.0 | 0.8 |
| L’61 | Top absorber condensate inlet flow | dm3/h | FI-278 | 7.7 | 0.5 | 0.5 | 0.0 | 0.7 | 0.1 |
| t61 | Temperature of the condensate from the Separator S-223 | °C | TI-280 | 29.0 | 0.9 | 25.0 | 0.7 | 25.0 | 0.7 |
| L’81 | Top absorber make-up water inlet flow | dm3/h | FI-207 | 11.8 | 0.7 | 22.1 | 1.8 | 20.1 | 1.6 |
| t81 | Temperature of the make-up water | °C | Ext. | 12.6 | 0.7 | 17.0 | 0.7 | 17.0 | 0.7 |
References
- Alizadeh, S.M.; Khalili, Y.; Ahmadi, M. Comprehensive Review of Carbon Capture and Storage Integration in Hydrogen Production: Opportunities, Challenges, and Future Perspectives. Energies 2024, 17, 5330. [Google Scholar] [CrossRef]
- Yang, J.; Wang, C.; Xu, D.; Yu, X.; Yang, Y.; Wang, Z.; Wu, X. Study on the Economic Operation of a 1000 MWe Coal-Fired Power Plant with CO2 Capture. Energies 2024, 17, 4986. [Google Scholar] [CrossRef]
- Kopacz, M.; Matuszewska, D.; Olczak, P. Carbon Capture and Storage (CCS) Implementation as a Method of Reducing Emissions from Coal Thermal Power Plants in Poland. Energies 2024, 17, 6342. [Google Scholar] [CrossRef]
- He, S.; Zheng, Y. CO2 Capture Cost Reduction Potential of the Coal-Fired Power Plants under High Penetration of Renewable Power in China. Energies 2024, 17, 2050. [Google Scholar] [CrossRef]
- Strojny, M.; Gładysz, P.; Hanak, D.P.; Nowak, W. Comparative Analysis of CO2 Capture Technologies Using Amine Absorption and Calcium Looping Integrated with Natural Gas Combined Cycle Power Plant. Energy 2023, 284, 128599. [Google Scholar] [CrossRef]
- Vijayan, D.S.; Gopalaswamy, S.; Sivasuriyan, A.; Koda, E.; Sitek, W.; Vaverková, M.D.; Podlasek, A. Advances and Applications of Carbon Capture, Utilization, and Storage in Civil Engineering: A Comprehensive Review. Energies 2024, 17, 6046. [Google Scholar] [CrossRef]
- Christianides, D.; Bagaki, D.A.; Timmers, R.A.; Zrimec, M.B.; Theodoropoulou, A.; Angelidaki, I.; Kougias, P.; Zampieri, G.; Kamergi, N.; Napoli, A.; et al. Biogenic CO2 Emissions in the EU Biofuel and Bioenergy Sector: Mapping Sources, Regional Trends, and Pathways for Capture and Utilisation. Energies 2025, 18, 1345. [Google Scholar] [CrossRef]
- Feron, P. Absorption-Based Post-Combustion Capture of Carbon Dioxide; Woodhead Publishing: Duxford, UK, 2016; ISBN 978-0-08-100514-9. [Google Scholar]
- Le Moullec, Y.; Kanniche, M. Screening of Flowsheet Modifications for an Efficient Monoethanolamine (MEA) Based Post-Combustion CO2 Capture. Int. J. Greenh. Gas Control 2011, 5, 727–740. [Google Scholar] [CrossRef]
- Cousins, A.; Wardhaugh, L.T.; Feron, P.H.M. Preliminary Analysis of Process Flow Sheet Modifications for Energy Efficient CO2 Capture from Flue Gases Using Chemical Absorption. Chem. Eng. Res. Des. 2011, 89, 1237–1251. [Google Scholar] [CrossRef]
- Feron, P.H.M.; Cousins, A.; Jiang, K.; Zhai, R.; Garcia, M. An Update of the Benchmark Post-Combustion CO2-Capture Technology. Fuel 2020, 273, 117776. [Google Scholar] [CrossRef]
- Shoeld, M. Purification and Separation of Gaseous Mixtures. U.S. Patent 1,971,798, 28 August 1934. [Google Scholar]
- Towler, G.; Shethna, H.; Cole, B.; Hajdik, B. Improved Absorber-Stripper Technology for Gas Sweetening to Ultra-Low H2S Concentrations. Proc. Annu. Conv.-Gas Process. Assoc. 1997. Available online: https://www.bre.com/PDF/Improved-Absorber-Stripper-Technology-for-Gas-Sweetening-to-Ultra-Low-H2S-Concentrations.pdf (accessed on 31 January 2025).
- Condorelli, P.; Mariz, C.; Scherffius, J.; Won, R. Split Flow Process and Apparatus 2001. Available online: https://patents.google.com/patent/EP1152815A1/en (accessed on 31 January 2025).
- Freguia, S.; Gilmartin, J.; Reddy, S.; Scherffius, J. Improved Split Flow Process and Apparatus 2004. Available online: https://patents.google.com/patent/WO2004005818B1/en (accessed on 31 January 2025).
- Cousins, A.; Wardhaugh, L.T.; Feron, P.H.M. A Survey of Process Flow Sheet Modifications for Energy Efficient CO2 Capture from Flue Gases Using Chemical Absorption. Int. J. Greenh. Gas Control 2011, 5, 605–619. [Google Scholar] [CrossRef]
- Iijima, M.; Nagayasu, T.; Kamijyo, T.; Nakatani, S. MHI’s Energy Efficiency Flue Gas CO2 Capture Technology and Large Scale CCS Demonstration Test at Coal-Fired Power Plants in USA. Mitsubishi Heavy Ind. Tech. Rev. 2011, 48, 26–32. [Google Scholar]
- Oyenekan, B.A.; Rochelle, G.T. Alternative Stripper Configurations for CO2 Capture by Aqueous Amines. AIChE J. 2007, 53, 3144–3154. [Google Scholar] [CrossRef]
- Wagener, H.D. Stripper Modeling for CO2 Removal Using Monoethanolamine and Piperazine Solvents. Ph.D. Thesis, The University of Texas, Austin, TX, USA, 2011. [Google Scholar]
- Le Moullec, Y.; Neveux, T.; Al Azki, A.; Chikukwa, A.; Hoff, K.A. Process Modifications for Solvent-Based Post-Combustion CO2 Capture. Int. J. Greenh. Gas Control 2014, 31, 96–112. [Google Scholar] [CrossRef]
- Stoffregen, T.; Rigby, S.; Jovanovic, S.; Krishnamurthy, K.R. Pilot-Scale Demonstration of an Advanced Aqueous Amine-Based Post-Combustion Capture Technology for CO2 Capture from Power Plant Flue Gases. Energy Procedia 2014, 63, 1456–1469. [Google Scholar] [CrossRef]
- Li, K.; Cousins, A.; Yu, H.; Feron, P.; Tade, M.; Luo, W.; Chen, J. Systematic Study of Aqueous Monoethanolamine-Based CO2 Capture Process: Model Development and Process Improvement. Energy Sci. Eng. 2016, 4, 23–39. [Google Scholar] [CrossRef]
- Zhao, B.; Liu, F.; Cui, Z.; Liu, C.; Yue, H.; Tang, S.; Liu, Y.; Lu, H.; Liang, B. Enhancing the Energetic Efficiency of MDEA/PZ-Based CO2 Capture Technology for a 650MW Power Plant: Process Improvement. Appl. Energy 2017, 185, 362–375. [Google Scholar] [CrossRef]
- Muhammad, H.A.; Sultan, H.; Lee, B.; Imran, M.; Baek, I.H.; Baik, Y.-J.; Nam, S.C. Energy Minimization of Carbon Capture and Storage by Means of a Novel Process Configuration. Energy Convers. Manag. 2020, 215, 112871. [Google Scholar] [CrossRef]
- Vinjarapu, S.H.B.; Neerup, R.; Larsen, A.H.; Villadsen, S.N.B.; Jensen, S.; Karlsson, J.L.; Kappel, J.; Lassen, H.; Blinksbjerg, P.; von Solms, N.; et al. Pilot-Scale CO2 Capture Demonstration of Stripper Interheating Using 30 Wt% MEA at a Waste-to-Energy Facility. Energy 2025, 320, 134973. [Google Scholar] [CrossRef]
- Rochelle, G.; Gao, T.; Liu, C.-T.; Suresh, A.; Akinpelumi, K.; Chen, E.; Wu, Y. National Carbon Capture Center Work Supported by Carbon Capture Project 4-PZASTM at NGCC Conditions. Appl. Energy 2020, 367, 123416. [Google Scholar]
- Frimpong, R.A.; Nikolic, H.; Bahr, D.; Kiran, G.; Liu, K. Pilot Scale Testing of an Advanced Solvent in a 0.7 MWe Post-Combustion CO2 Capture Unit. Int. J. Greenh. Gas Control 2021, 106, 103290. [Google Scholar] [CrossRef]
- Leites, I.L.; Sama, D.A.; Lior, N. The Theory and Practice of Energy Saving in the Chemical Industry: Some Methods for Reducing Thermodynamic Irreversibility in Chemical Technology Processes. Energy 2003, 28, 55–97. [Google Scholar] [CrossRef]
- Oyenekan, B.A. Modeling of Strippers for CO2 Capture by Aqueous Amines. Ph.D. Thesis, The University of Texas, Austin, TX, USA, 2007. [Google Scholar]
- Salimi, M.; Karimi, V.; Hosseinifard, F.; Amidpour, M. Techno-Economic Study of Different Process Configurations of CO2 Capture by MEA Absorption and Utilization of an MCDM Method for Their Ranking. Energy Rep. 2024, 12, 593–607. [Google Scholar] [CrossRef]
- Løge, I.A.; Demir, C.; Vinjarapu, S.H.B.; Neerup, R.; Jensen, E.H.; Jørsboe, J.K.; Dimitriadi, M.; Halilov, H.; Frøstrup, C.F.; Gyorbiro, I.; et al. Pilot-Scale CO2 Capture in a Cement Plant with CESAR1: Comparative Analysis of Specific Reboiler Duty across Advanced Process Configurations. Chem. Eng. J. 2025, 506, 159429. [Google Scholar] [CrossRef]
- Stec, M.; Tatarczuk, A.; Więcław-Solny, L.; Krótki, A.; Ściążko, M.; Tokarski, S. Pilot Plant Results for Advanced CO2 Capture Process Using Amine Scrubbing at the Jaworzno II Power Plant in Poland. Fuel 2015, 151, 50–56. [Google Scholar] [CrossRef]
- Stec, M.; Tatarczuk, A.; Więcław-Solny, L.; Krótki, A.; Spietz, T.; Wilk, A.; Śpiewak, D. Demonstration of a Post-Combustion Carbon Capture Pilot Plant Using Amine-Based Solvents at the Łaziska Power Plant in Poland. Clean Technol. Environ. Policy 2016, 18, 151–160. [Google Scholar] [CrossRef]
- Tatarczuk, A.; Szega, M.; Billig, T.; Więcław-Solny, L.; Zdeb, J. Techno-Economic Analysis of Heat Integrated Stripper Application in Chemical Absorption Process for CO2 Capture: Insights from Pilot Plant Studies. Energy 2025, 319, 134995. [Google Scholar] [CrossRef]
- Tatarczuk, A.; Tańczyk, M.; Więcław-Solny, L.; Zdeb, J. Pilot Plant Results of Amine-Based Carbon Capture with Heat Integrated Stripper. Appl. Energy 2024, 367, 123416. [Google Scholar] [CrossRef]
- Krótki, A.; Chwoła, T.; Więcław-Solny, L.; Tatarczuk, A.; Spietz, T.; Dobras, S.; Zdeb, J. Advancements in CO2 Hydrogenation–Investigating a CNG Pilot Plant in Poland. Fuel 2025, 381, 133599. [Google Scholar] [CrossRef]
- Chwoła, T.; Spietz, T.; Więcław-Solny, L.; Tatarczuk, A.; Krótki, A.; Dobras, S.; Wilk, A.; Tchórz, J.; Stec, M.; Zdeb, J. Pilot Plant Initial Results for the Methanation Process Using CO2 from Amine Scrubbing at the Łaziska Power Plant in Poland. Fuel 2019, 263, 116804. [Google Scholar] [CrossRef]
- Tatarczuk, A.; Szega, M.; Zuwała, J. Thermodynamic Analysis of a Post-Combustion Carbon Dioxide Capture Process in a Pilot Plant Equipped with a Heat Integrated Stripper. Energy 2023, 278, 127907. [Google Scholar] [CrossRef]
- Bottoms, R. Process for Separating Acidic Gases. U.S. Patent 1,783,901, 2 December 1930. [Google Scholar]
- Kohl, A.L.; Nielsen, R. Gas Purification, 5th ed.; Gulf Professional Publishing: Houston, TX, USA, 1997; ISBN 978-0-88415-220-0. [Google Scholar]
- Weiland, R.H.; Rawal, M.; Rice, R.G. Stripping of Carbon Dioxide from Monoethanolamine Solutions in a Packed Column. AIChE J. 1982, 28, 963–973. [Google Scholar] [CrossRef]
- Vinjarapu, S.H.B.; Neerup, R.; Larsen, A.H.; Villadsen, S.N.B.; von Solms, N.; Jensen, S.; Karlsson, J.L.; Kappel, J.; Lassen, H.; Blinksbjerg, P.; et al. Pilot-Scale CO2 Capture Demonstration of Heat Integration through Split Flow Configuration Using 30 Wt% MEA at a Waste-to-Energy Facility. Sep. Purif. Technol. 2024, 345, 127311. [Google Scholar] [CrossRef]
- Oh, H.-T.; Ju, Y.; Chung, K.; Lee, C.-H. Techno-Economic Analysis of Advanced Stripper Configurations for Post-Combustion CO2 Capture Amine Processes. Energy 2020, 206, 118164. [Google Scholar] [CrossRef]
- Leites, I.L. Thermodynamics of CO2 Solubility in Mixtures Monoethanolamine with Organic Solvents and Water and Commercial Experience of Energy Saving Gas Purification Technology. Energy Convers. Manag. 1998, 39, 1665–1674. [Google Scholar] [CrossRef]
- Artanto, Y.; Jansen, J.; Pearson, P.; Do, T.; Cottrell, A.; Meuleman, E.; Feron, P. Performance of MEA and Amine-Blends in the CSIRO PCC Pilot Plant at Loy Yang Power in Australia. Fuel 2012, 101, 264–275. [Google Scholar] [CrossRef]
- Oexmann, J. Post Combustion CO2 Capture: Energetic Evaluation of Chemical Absorption Processes in Coal—Fired Steam Power Plants. Ph.D. Thesis, Technischen Universität Harburg, Hamburg, Germany, 2011. [Google Scholar]
- Nwaoha, C.; Idem, R.; Supap, T.; Saiwan, C.; Tontiwachwuthikul, P.; Rongwong, W.; Al-Marri, M.J.; Benamor, A. Heat Duty, Heat of Absorption, Sensible Heat and Heat of Vaporization of 2–Amino–2–Methyl–1–Propanol (AMP), Piperazine (PZ) and Monoethanolamine (MEA) Tri–Solvent Blend for Carbon Dioxide (CO2) Capture. Chem. Eng. Sci. 2017, 170, 26–35. [Google Scholar] [CrossRef]
- Oexmann, J.; Kather, A. Minimising the Regeneration Heat Duty of Post-Combustion CO2 Capture by Wet Chemical Absorption: The Misguided Focus on Low Heat of Absorption Solvents. Int. J. Greenh. Gas Control 2010, 4, 36–43. [Google Scholar] [CrossRef]
- Quang, D.V.; Dindi, A.; Rayer, A.V.; Hadri, N.E.; Abdulkadir, A.; Abu-Zahra, M.R.M. Effect of Moisture on the Heat Capacity and the Regeneration Heat Required for CO2 Capture Process Using PEI Impregnated Mesoporous Precipitated Silica. Greenh. Gases Sci. Technol. 2015, 5, 91–101. [Google Scholar] [CrossRef]
- Rayer, A.V.; Henni, A. Heats of Absorption of CO2 in Aqueous Solutions of Tertiary Amines: N-Methyldiethanolamine, 3-Dimethylamino-1-Propanol, and 1-Dimethylamino-2-Propanol. Ind. Eng. Chem. Res. 2014, 53, 4953–4965. [Google Scholar] [CrossRef]
- Brúder, P.; Grimstvedt, A.; Mejdell, T.; Svendsen, H.F. CO2 Capture into Aqueous Solutions of Piperazine Activated 2-Amino-2-Methyl-1-Propanol. Chem. Eng. Sci. 2011, 66, 6193–6198. [Google Scholar] [CrossRef]
- Hilliard, M.D. A Predictive Thermodynamic Model for an Aqueous Blend of Potassium Carbonate, Piperazine, and Monoethanolamine for Carbon Dioxide Capture from Flue Gas. Ph.D. Thesis, The University of Texas, Austin, TX, USA, 2008. [Google Scholar]
- Notz, R.; Mangalapally, H.P.; Hasse, H. Post Combustion CO2 Capture by Reactive Absorption: Pilot Plant Description and Results of Systematic Studies with MEA. Int. J. Greenh. Gas Control 2012, 6, 84–112. [Google Scholar] [CrossRef]
- Dugas, R. Pilot Plant Study of Carbon Dioxide Capture by Aqueous Monoethanoloamine. Master’s Thesis, The University of Texas, Austin, TX, USA, 2006. [Google Scholar]
- Mangalapally, H.P.; Notz, R.; Asprion, N.; Sieder, G.; Garcia, H.; Hasse, H. Pilot Plant Study of Four New Solvents for Post Combustion Carbon Dioxide Capture by Reactive Absorption and Comparison to MEA. Int. J. Greenh. Gas Control 2012, 8, 205–216. [Google Scholar] [CrossRef]
- VDI-Richtlinien Messunsicherheiten Bei Abnahmemessungen an Energie- Und Kraftwerkstechnischen Anlagen—Grundlagen. VDI 2048; VDI 2048. 2000. Available online: https://www.vdi.de/richtlinien/details/vdi-2048-blatt-3-messunsicherheiten-bei-abnahmemessungen-an-energie-und-kraftwerkstechnischen-anlagen-beispiele-insbesondere-vorbereitung-der-abnahme-einer-kombi-anlage-1 (accessed on 29 January 2025).
- Spietz, T.; Stec, M.; Wilk, A.; Krótki, A.; Tatarczuk, A.; Więcław-Solny, L. Density Correlation of Carbonated Amine Solvents for CO2 Loading Determination. Asia-Pac. J. Chem. Eng. 2018, 13, e2248. [Google Scholar] [CrossRef]
- Stec, M.; Tatarczuk, A.; Więcław-Solny, L.; Krótki, A.; Spietz, T.; Wilk, A. Process Development Unit Experimental Studies of a Split-Flow Modification for the Post-Combustion CO2 Capture Process. Asia-Pac. J. Chem. Eng. 2017, 12, 283–291. [Google Scholar] [CrossRef]
- Butwell, K.; Kubek, D. Process for CO2 Removal. U.S. Patent 4,184,855, 22 January 1980. [Google Scholar]
- El Hadri, N.; Quang, D.V.; Goetheer, E.L.V.; Abu Zahra, M.R.M. Aqueous Amine Solution Characterization for Post-Combustion CO2 Capture Process. Appl. Energy 2017, 185, 1433–1449. [Google Scholar] [CrossRef]
- Park, H.; Lee, J.; Yun, S.; Kim, J.-K. Energy-Efficient Process Design and Optimization of the Absorption-Based CO2 Capture Process with a Low-Pressure Flash Column for the SMR-Based Hydrogen Production Plant. Energy Convers. Manag. 2025, 325, 119416. [Google Scholar] [CrossRef]
- Krishnamurthy, K.R. Slipstream Pilot-Scale Demonstration of a Novel Amine-Based Post-Combustion Technology for Carbon Dioxide Capture from Coal-Fired Power Plant Flue Gas; Linde LLC: Murray Hill, NJ, USA, 2017. [Google Scholar]
- Więcław-Solny, L.; Krótki, A.; Tatarczuk, A.; Sobolewski, A.; Wilk, A.; Chwoła, T.; Stec, M.; Jastrząb, K.; Dobras, S.; Liszka, M.; et al. Method of Integrating Thermal Synthesis of Natural Gas with a CO2 Removal Module. PL 238451 B1, 31 December 2018. [Google Scholar]
Disclaimer/Publisher’s Note: The statements, opinions and data contained in all publications are solely those of the individual author(s) and contributor(s) and not of MDPI and/or the editor(s). MDPI and/or the editor(s) disclaim responsibility for any injury to people or property resulting from any ideas, methods, instructions or products referred to in the content. |
© 2025 by the authors. Licensee MDPI, Basel, Switzerland. This article is an open access article distributed under the terms and conditions of the Creative Commons Attribution (CC BY) license (https://creativecommons.org/licenses/by/4.0/).










