A High Performance PSO-Based Global MPP Tracker for a PV Power Generation System
Abstract
:1. Introduction
2. Connection Characteristics of Photovoltaic Module Arrays
| Electrical parameters | Specifications |
|---|---|
| Maximum output power (Pmp) | 27.8 W |
| Maximum power point current (Imp) | 1.63 A |
| Maximum power point voltage (Vmp) | 17.1 V |
| Short-circuit current (Isc) | 1.82 A |
| Open-circuit voltage (Voc) | 21.6 V |
| Module length and width specifications | 496 mm × 524 mm |





3. MPPT Method Based on PSO Algorithm
3.1. Conventional PSO Algorithm
- Step 1:
- Specify the value of the number of particles, P, and the number of iterations, N.
- Step 2:
- For each particle, initialize its value, namely the duty cycle of a boost converter in this study, its value of the velocity Vij, the individual optimized D value, i.e., Pbest, (the initial value of D), and the optimized D value of the entire particle swarm, Gbest.
- Step 3:
- Given the cognition-only factor C1, the social-only learning factor C2 and the inertial weight W, the substitution of the initial value of D into the fitness function gives the updated particle velocity, expressed as:and D is updated as:
- Step 4:
- Either Pij+1 or Pij is saved as Pbest,i for such D value, whichever is larger.
- Step 5:
- Either Pbest,i or Gbest is saved as Gbesi for such D value, whichever is larger.
- Step 6:
- Repeat Steps 3–5 until the specified number of iterations is reached.

- The number of particles P: The number of particles being tracked for a given initial duty cycle D,
- The number of iterations N: Times of travels of each particle,
- The cognition-only learning factor C1: The learning factor in relation to the particle itself,
- The social-only learning factor C2: The learning factor in relation to other particles,
- The inertia weight W: The relation to the distance traveled last time of a particle,
- : The velocity of particle i in iteration j,
- : The duty cycle D of particle i in iteration j,
- Rand1 (): The first random number between 0 and 1,
- Rand2 (): The second random number between 0 and 1,
- : The individual optimal value of the duty cycle D of particle i, and
- : The global optimal value of the duty cycle D among the whole particles.
3.2. Proposed PSO Algorithm with Automatic Parameter Tuning
- The slope of P-V characteristic m: It is defined as ;
- The slope coefficient L: The value set in this paper is 0.8;
- The upper bound of slope of P-V characteristic y: The maximum slope of P-V characteristic set in this paper is 25;
- The power variation value of particle i in iteration j ΔP: It defined as ;
- The power variation value of particle i in iteration j ΔV: It define as ;
- The upper bound of the cognition-only learning factor C1,max: The maximum value of the learning factor in relation to the particle itself;
- The lower bound of the cognition-only learning factor C1,min: The minimum value of the learning factor in relation to the particle itself;
- The upper bound of the social-only learning factor C2,max: The maximum value of the learning factor in relation to other particles;
- The lower bound of the social-only learning factor C2,min: The minimum value of the learning factor in relation to other particles;
- The upper bound of the inertia weight Wmax: The maximum value of the relation to the distance traveled last time of a particle; and
- The lower bound of the inertia weight Wmin: The minimum value of the relation to the distance traveled last time of a particle.


3.3. Implementation of MPPT Using PSO Algorithm

| Part Name | Types and Specifications |
|---|---|
| Inductor (L) | 1 mH |
| Capacitor () | 470 μF/450 V |
| Capacitor () | 470 μF/450 V |
| Switching frequency (f) | 20 kHz |
| Transistor | IRF460 (500 V/20 A) |
| Diode | DSEP30-12A (1200 V/30 A) |
| Parameter Name | Setting Value |
|---|---|
| Particle number (P) | 3 |
| Iterations (N) | 30 |
| Cognition-only learning factor (C1) | 3 |
| Social-only learning factor (C2) | 3 |
| Inertia weight (W) | 0.4 |
| Parameter Name | Setting Value |
|---|---|
| Particle number (P) | 3 |
| Iterations (N) | 30 |
| Upper bound of the cognition-only learning factor (C1,max) | 4 |
| Lower bound of the cognition-only learning factor (C1,min) | 1 |
| Upper bound of the social-only learning factor (C2,max) | 4 |
| Lower bound of the social-only learning factor (C2,min) | 1 |
| Upper bound of the inertia weight (Wmax) | 0.8 |
| Lower bound of the inertia weight (Wmin) | 0.1 |
| Case | Partial Shadow or Fault Conditions | Number of P-V Curve Peaks |
|---|---|---|
| 1 | 2-series 1-parallel: 0% shadow+70% shadow | 2 |
| 2 | 3-series 1-parallel: 0% shadow + 50% shadow + 70% shadow | 3 |
| 3 | 4-series 1-parallel: 0% shadow + 30% shadow + 50% shadow + 70% shadow | 4 |
| 4 | 4-series 1-parallel: 50% shadow + fault + 30% shadow + 0% shadow | 3 |
| 5 | 2-series 2-parallel: (0% shadow +0% shadow)//(fault +0% shadow) | 2 |
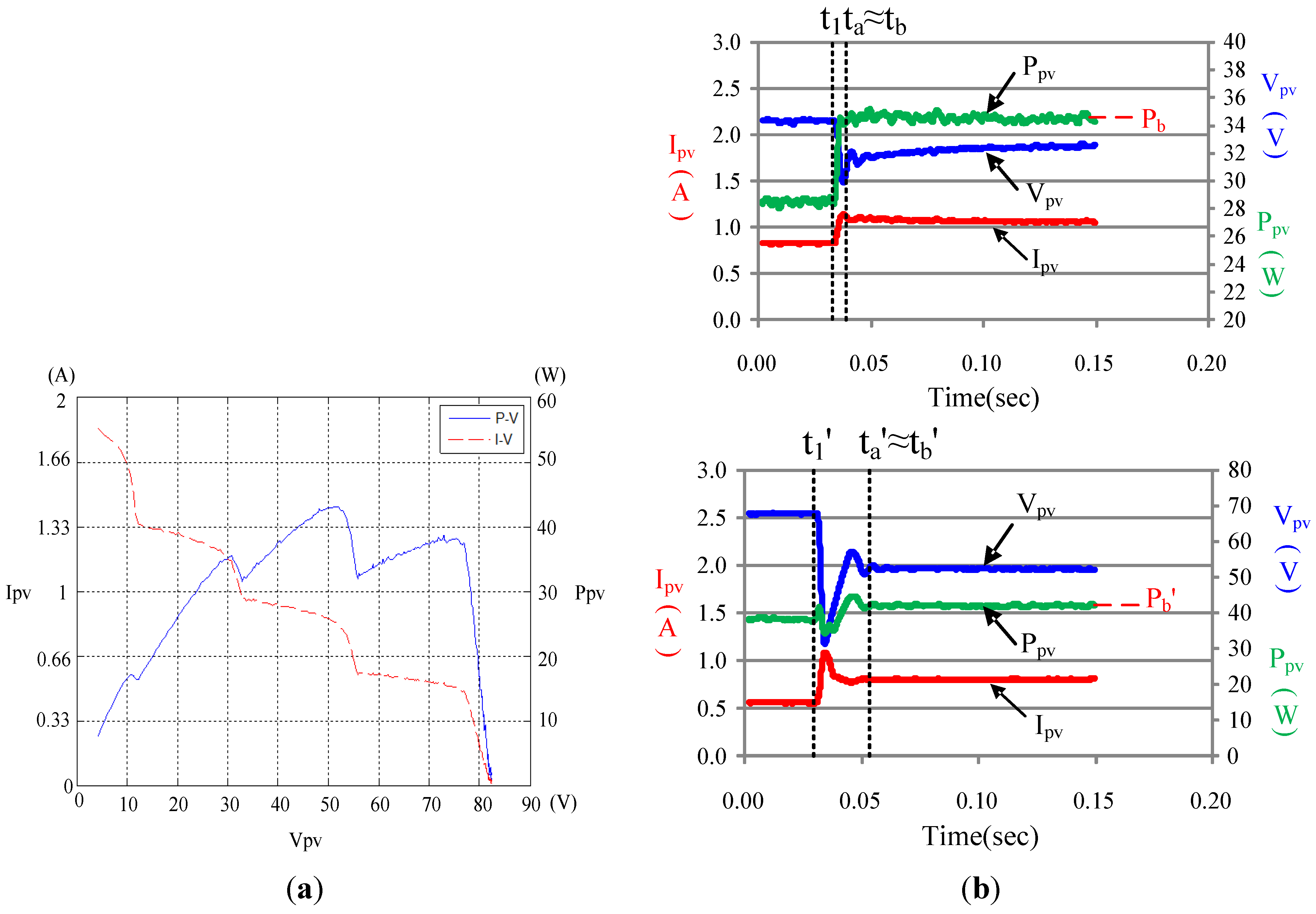
4. Experimental Results

- Step 1:
- Adjust Voc and Isc for the PV module simulator to arrange the rate of shade needed for each test configuration. If to simulate a PV module defect, adjust the output current of the PV module simulator at zero, such that the current from the rest of the modules flows through the bypass diode of the faulty simulator.
- Step 2:
- Scan the P-V and I-V output characteristic curves of the PV module simulator using the MP170 I-V checker to verify the condition where multiple peaks appear, the positions and the power.
- Step 3:
- Perform the modified PSO MPPT algorithm and the PSO MPPT algorithm with fixed parameters, respectively, on a same hardware circuit, and compare the tracking speeds and the steady-state performances.





5. Conclusions
Conflicts of Interest
References
- Masoum, M.A.S.; Sarvi, M. Voltage and Current Based MPPT of Solar Arrays under Variable Insolation and Temperature Conditions. In Proceeding of the 43th International Universities Power Engineering Conference, Sydney, Australia, 1–4 September 2008; pp. 1–5.
- Masoum, M.A.S.; Dehbonei, H.; Fuchs, E.F. Theoretical and Experimental Analyses of Photovoltaic Systems with Voltage and Current-Based Maximum Power-Point Tracking. IEEE Trans. Energy Convers. 2002, 17, 514–522. [Google Scholar] [CrossRef]
- Esram, T.T.; Chapman, P.L. Comparison of Photovoltaic Array Maximum Power Point Tracking Techniques. IEEE Trans. Energy Convers. 2007, 22, 439–449. [Google Scholar] [CrossRef]
- Femia, N.; Granozio, D.; Petrone, G.; Spagnuolo, G.; Vitelli, M. Predictive and Adaptive MPPT Perturb and Observe Method. IEEE Trans. Aerosp. Electron. Syst. 2007, 43, 934–950. [Google Scholar] [CrossRef]
- Liu, F.; Duan, S.; Liu, B.; Kang, Y. A Variable Step Size INC MPPT Method for PV Systems. IEEE Trans. Ind. Electron. 2008, 55, 2622–2628. [Google Scholar]
- Chao, K.H.; Lee, Y.H. A Maximum Power Point Tracker with Automatic Step Size Tuning Scheme for Photovoltaic Systems. Int. J. Photoenergy 2012, 2012, 1–10. [Google Scholar] [CrossRef]
- Ramaprabha, R. Maximum Power Point Tracking using GA-Optimized Artificial Neural Network for Solar PV System. In Proceeding of the 1st International Electrical Energy Systems Conference, Newport Beach, CA, USA, 3–5 January 2011; pp. 264–268.
- Besheer, A.H. Ant Colony System Based PI Maximum Power Point Tracking for Stand Alone Photovoltaic System. In Proceeding of the IEEE International Industrial Technology Conference, Athens, Greece, 19–21 March 2012; pp. 693–698.
- Adly, M. An Optimized Fuzzy Maximum Power Point Tracker for Stand Alone Photovoltaic Systems: Ant Colony Approach. In Proceeding of the 7th IEEE Industrial Electronics and Applications Conference, Singapore, 18–20 July 2012; pp. 113–119.
- Chao, K.H.; Chiu, C.L. Design and Implementation of an Intelligent Maximum Power Point Tracking Controller for Photovoltaic Systems. Int. Rev. Electr. Eng. 2012, 7, 3759–3768. [Google Scholar]
- Yau, H.T.; Wu, C.H. Comparison of Extremum-Seeking Control Techniques for Maximum Power Point Tracking in Photovoltaic Systems. Energies 2011, 4, 2180–2195. [Google Scholar] [CrossRef]
- Zazo, H.; Del Castillo, E.; Reynaud, J.F.; Leyva, R. MPPT for Photovoltaic Modules via Newton-Like Extremum Seeking Control. Energies 2012, 5, 2653–2666. [Google Scholar] [CrossRef]
- Chen, L.R.; Tsai, C.H.; Lin, Y.L.; Lai, Y.S. A Biological Swarm Chasing Algorithm for Tracking the PV Maximum Power Point. IEEE Trans. Energy Convers. 2010, 25, 484–493. [Google Scholar] [CrossRef]
- Miyatake, M.; Veerachary, M.; Toriumi, F.; Fujii, N.; Ko, H. Maximum Power Point Tracking of Multiple Photovoltaic Arrays: A PSO Approach. IEEE Trans. Aerosp. Electron. Syst. 2011, 47, 367–380. [Google Scholar] [CrossRef]
- Chao, K.H.; Chen, J.P. A Maximum Power Point Tracking Method Based on Particle Swarm Optimization for Photovoltaic Module Arrays with Shadows. ICIC Exp. Lett. 2014, 8, 697–702. [Google Scholar]
- Ishaque, K.; Salam, Z.; Amjad, M.; Mekhilef, S. An Improved Particle Swarm Optimization (PSO)-Based MPPT for PV with Reduced Steady-State Oscillation. IEEE Trans. Power Electron. 2012, 27, 3627–3638. [Google Scholar] [CrossRef]
- Liu, Y.H.; Huang, S.C.; Huang, J.W.; Liang, W.C. A Particle Swarm Optimization-Based Maximum Power Point Tracking Algorithm for PV Systems Operating Under Partially Shaded Conditions. IEEE Trans. Energy Convers. 2012, 27, 1027–1035. [Google Scholar] [CrossRef]
- SANYO HIP 2717 Datasheet. Available online: http://iris.nyit.edu/~mbertome/solardecathlon/SDClerical/SD_DESIGN+DEVELOPMENT/091804_Sanyo190HITBrochure.pdf (accessed on 27 February 2015).
- Tang, K.H.; Chao, K.H.; Chao, Y.W.; Chen, J.P. Design and Implementation of a Simulator for Photovoltaic Modules. Int. J. Photoenergy 2012, 2012. [Google Scholar] [CrossRef]
- PSpice Official Website. Available online: http://www.cadence.com/products/orcad/pspice_simulation/pages/default.aspx (accessed on 27 February 2015).
- Kennedy, J.; Eberhart, R. Particle Swarm Optimization. In Proceeding of the IEEE International Conference on Neural Networks, Perth, Australia, 27 November–1 December 1995; pp. 1942–1948.
- Hart, D.W. Introduction to Power Electronics; Prentice Hall: New York, NY, USA, 2003. [Google Scholar]
- EKO Instruments Co. Ltd. official website. Available online: http://www.environmental-expert.com/products/model-mp-170-iv-checker-80092 (accessed on 27 February 2015).
© 2015 by the author; licensee MDPI, Basel, Switzerland. This article is an open access article distributed under the terms and conditions of the Creative Commons Attribution license (http://creativecommons.org/licenses/by/4.0/).
Share and Cite
Chao, K.-H. A High Performance PSO-Based Global MPP Tracker for a PV Power Generation System. Energies 2015, 8, 6841-6858. https://doi.org/10.3390/en8076841
Chao K-H. A High Performance PSO-Based Global MPP Tracker for a PV Power Generation System. Energies. 2015; 8(7):6841-6858. https://doi.org/10.3390/en8076841
Chicago/Turabian StyleChao, Kuei-Hsiang. 2015. "A High Performance PSO-Based Global MPP Tracker for a PV Power Generation System" Energies 8, no. 7: 6841-6858. https://doi.org/10.3390/en8076841
APA StyleChao, K.-H. (2015). A High Performance PSO-Based Global MPP Tracker for a PV Power Generation System. Energies, 8(7), 6841-6858. https://doi.org/10.3390/en8076841