Influence of the Die Height on the Density of the Briquette Produced from Shredded Logging Residues
Abstract
1. Introduction
2. Materials and Methods
2.1. Research Stand
2.2. Material
2.3. Compaction Process
2.4. Determination of the Volume and Density of the Briquette
2.5. Statistical Analysis
3. Results and Discussion
3.1. Briquette Density in the Die ρ0
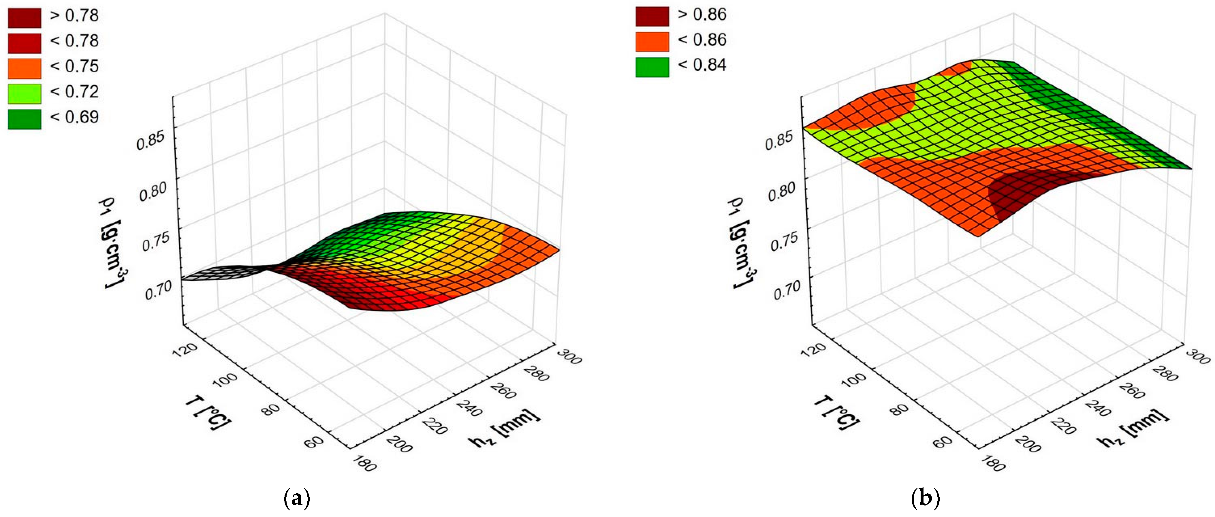
3.2. Briquette Density after Ejection from the Die ρ1
3.3. The Relaxation Coefficient λ
4. Summary and Conclusions
Author Contributions
Funding
Institutional Review Board Statement
Informed Consent Statement
Data Availability Statement
Conflicts of Interest
References
- Phanphanich, M.; Mani, S. Drying Characteristics of Pine Forests Residues. BioResources 2009, 5, 108–121. [Google Scholar] [CrossRef]
 - Jensen, P.D.; Hartmann, H.; Böhm, T.; Temmerman, M.; Rabier, F.; Morsing, M. Moisture Content Determination in Solid Biofuels by Dielectric and NIR Reflection Methods. Biomass Bioenergy 2006, 30, 935–943. [Google Scholar] [CrossRef]
 - Sultana, A.; Kumar, A. Optimal Configuration and Combination of Multiple Lignocellulosic Biomass Feedstocks Delivery to a Biorefinery. Bioresour. Technol. 2011, 102, 9947–9956. [Google Scholar] [CrossRef]
 - Stolarski, M.J.; Szczukowski, S.; Tworkowski, J.; Krzyżaniak, M.; Gulczyński, P.; Mleczek, M. Comparison of Quality and Production Cost of Briquettes Made from Agricultural and Forest Origin Biomass. Renew. Energy 2013, 57, 20–26. [Google Scholar] [CrossRef]
 - Chaloupková, V.; Ivanova, T.; Krepl, V. Particle Size and Shape Characterization of Feedstock Material for Biofuel Production. Agron. Res. 2019, 17, 1861–1873. [Google Scholar] [CrossRef]
 - Wróbel, M.; Jewiarz, M.; Mudryk, K.; Knapczyk, A. Influence of Raw Material Drying Temperature on the Scots Pine (Pinus Sylvestris L.) Biomass Agglomeration Process—A Preliminary Study. Energies 2020, 13, 1809. [Google Scholar] [CrossRef]
 - Friedl, A.; Padouvas, E.; Rotter, H.; Varmuza, K. Prediction of Heating Values of Biomass Fuel from Elemental Composition. Anal. Chim. Acta 2005, 544, 191–198. [Google Scholar] [CrossRef]
 - Munalula, F.; Meincken, M. An Evaluation of South African Fuelwood with Regards to Calorific Value and Environmental Impact. Biomass Bioenergy 2009, 33, 415–420. [Google Scholar] [CrossRef]
 - Reva, V.; Fonseca, L.; Lousada, J.L.; Abrantes, I.; Viegas, D.X. Impact of the Pinewood Nematode, Bursaphelenchus Xylophilus, on Gross Calorific Value and Chemical Composition of Pinus Pinaster Woody Biomass. Eur. J. For. Res. 2012, 131, 1025–1033. [Google Scholar] [CrossRef]
 - Wielgosiński, G.; Łechtańska, P.; Namiecińska, O. Emission of Some Pollutants from Biomass Combustion in Comparison to Hard Coal Combustion. J. Energy Inst. 2017, 90, 787–796. [Google Scholar] [CrossRef]
 - Zhao, D.; Kane, M.; Teskey, R.; Markewitz, D.; Greene, D.; Borders, B. Impact of Management on Nutrients, Carbon, and Energy in Aboveground Biomass Components of Mid-Rotation Loblolly Pine (Pinus Taeda L.) Plantations. Ann. For. Sci. 2014, 71, 843–851. [Google Scholar] [CrossRef][Green Version]
 - Chandrasekaran, S.R.; Hopke, P.K.; Rector, L.; Allen, G.; Lin, L. Chemical Composition of Wood Chips and Wood Pellets. Energy Fuels 2012, 26, 4932–4937. [Google Scholar] [CrossRef]
 - Sulaiman, S.A.; Roslan, R.; Inayat, M.; Yasin Naz, M. Effect of Blending Ratio and Catalyst Loading on Co-Gasification of Wood Chips and Coconut Waste. J. Energy Inst. 2018, 91, 779–785. [Google Scholar] [CrossRef]
 - Akhmedov, S.; Ivanova, T.; Abdulloeva, S.; Muntean, A.; Krepl, V. Contribution to the Energy Situation in Tajikistan by Using Residual Apricot Branches after Pruning as an Alternative Fuel. Energies 2019, 12, 3169. [Google Scholar] [CrossRef]
 - Ivanova, T.; Mendoza Hernández, A.H.; Bradna, J.; Fernández Cusimamani, E.; García Montoya, J.C.; Armas Espinel, D.A. Assessment of Guava (Psidium Guajava L.) Wood Biomass for Briquettes’ Production. Forests 2018, 9, 613. [Google Scholar] [CrossRef]
 - Mudryk, K.; Jewiarz, M.; Wróbel, M.; Niemiec, M.; Dyjakon, A. Evaluation of Urban Tree Leaf Biomass-Potential, Physico-Mechanical and Chemical Parameters of Raw Material and Solid Biofuel. Energies 2021, 14, 818. [Google Scholar] [CrossRef]
 - Bożym, M.; Siemiątkowski, G. Characterization of Composted Sewage Sludge during the Maturation Process: A Pilot Scale Study. Environ. Sci. Pollut. Res. 2018, 25, 34332–34342. [Google Scholar] [CrossRef] [PubMed]
 - Bożym, M.; Siemiątkowski, G. Assessment of Composition Changes, Stability Degree and the Potential of Biogas Formation of Sewage Sludge Composts During Maturation Process. Waste Biomass Valorization 2020, 11, 4081–4091. [Google Scholar] [CrossRef]
 - Nurek, T.; Gendek, A.; Roman, K.; Dąbrowska, M. The Impact of Fractional Composition on the Mechanical Properties of Agglomerated Logging Residues. Sustainability 2020, 12, 6120. [Google Scholar] [CrossRef]
 - Taulbee, D.; Patil, D.P.; Honaker, R.Q.; Parekh, B.K. Briquetting of Coal Fines and Sawdust Part I: Binder and Briquetting-Parameters Evaluations. Int. J. Coal Prep. Util. 2009, 29, 1–22. [Google Scholar] [CrossRef]
 - Gürdίl, G.A.K.; Demίrel, B. Effect of Moisture Content, Particle Size and Pressure on Some Briquetting Properties of Hazelnut Residues. Anadolu Tarım Bilim. Derg. 2020, 35, 330–338. [Google Scholar] [CrossRef]
 - Lisowski, A.; Dąbrowska-Salwin, M.; Ostrowska-Ligęza, E.; Nawrocka, A.; Stasiak, M.; Świętochowski, A.; Klonowski, J.; Sypuła, M.; Lisowska, B. Effects of the Biomass Moisture Content and Pelleting Temperature on the Pressure-Induced Agglomeration Process. Biomass Bioenergy 2017, 107, 376–383. [Google Scholar] [CrossRef]
 - Kaliyan, N.; Morey, R.V. Densification Characteristics of Corn Cobs. Fuel Process. Technol. 2010, 91, 559–565. [Google Scholar] [CrossRef]
 - Kaliyan, N.; Morey, R.V. Factors Affecting Strength and Durability of Densified Biomass Products. Biomass Bioenergy 2009, 33, 337–359. [Google Scholar] [CrossRef]
 - Wang, Y.; Wu, K.; Sun, Y. Effects of Raw Material Particle Size on the Briquetting Process of Rice Straw. J. Energy Inst. 2018, 91, 153–162. [Google Scholar] [CrossRef]
 - Spinelli, R.; Hartsough, B.R.; Magagnotti, N. Testing Mobile Chippers for Chip Size Distribution. Int. J. For. Eng. 2005, 16, 29–36. [Google Scholar] [CrossRef]
 - Nati, C.; Spinelli, R.; Fabbri, P. Wood Chips Size Distribution in Relation to Blade Wear and Screen Use. Biomass Bioenergy 2010, 34, 583–587. [Google Scholar] [CrossRef]
 - Barontini, M.; Scarfone, A.; Spinelli, R.; Gallucci, F.; Santangelo, E.; Acampora, A.; Jirjis, R.; Civitarese, V.; Pari, L. Storage Dynamics and Fuel Quality of Poplar Chips. Biomass Bioenergy 2014, 62, 17–25. [Google Scholar] [CrossRef]
 - Kaliyan, N.; Morey, R.V. Constitutive Model for Densification of Corn Stover and Switchgrass. Biosyst. Eng. 2009, 104, 47–63. [Google Scholar] [CrossRef]
 - Jewiarz, M.; Wróbel, M.; Mudryk, K.; Szufa, S. Impact of the Drying Temperature and Grinding Technique on Biomass Grindability. Energies 2020, 13, 3392. [Google Scholar] [CrossRef]
 - Kaliyan, N.; Morey, R.V. Strategies to Improve Durability of Switchgrass Briquettes. Trans. ASABE 2009, 52, 1943–1953. [Google Scholar] [CrossRef]
 - Gürdίl, G.A.K.; Melki, S. Determining Briquetting Parameters for Peach Tree Pruning Residues For Biofuel. Fresenius Environ. Bull. 2018, 27, 9083–9090. [Google Scholar]
 - Ganesan, V.; Muthukumarappan, K.; Rosentrater, K.A. Flow Properties of DDGS with Varying Soluble and Moisture Contents Using Jenike Shear Testing. Powder Technol. 2008, 187, 130–137. [Google Scholar] [CrossRef]
 - Zou, Y.; Brusewitz, G.H. Flowability of Uncompacted Marigold Powder as Affected by Moisture Content. J. Food Eng. 2002, 55, 165–171. [Google Scholar] [CrossRef]
 - Landillon, V.; Cassan, D.; Morel, M.-H.; Cuq, B. Flowability, Cohesive, and Granulation Properties of Wheat Powders. J. Food Eng. 2008, 86, 178–193. [Google Scholar] [CrossRef]
 - Mani, S.; Tabil, L.G.; Sokhansanj, S. Effects of Compressive Force, Particle Size and Moisture Content on Mechanical Properties of Biomass Pellets from Grasses. Biomass Bioenergy 2006, 30, 648–654. [Google Scholar] [CrossRef]
 - Shaw, M.D.; Tabil, L.G. Compression and Relaxation Characteristics of Selected Biomass’ Grinds; ASABE Annual International Meeting, Technical Papers, Paper Number 076183; American Society of Agricultural and Biological Engineers: Minneapolis, MN, USA, 2007. [Google Scholar]
 - Gendek, A.; Aniszewska, M.; Malaťák, J.; Velebil, J. Evaluation of Selected Physical and Mechanical Properties of Briquettes Produced from Cones of Three Coniferous Tree Species. Biomass Bioenergy 2018, 117, 173–179. [Google Scholar] [CrossRef]
 - Wongsiriamnuay, T.; Tippayawong, N. Effect of Densification Parameters on the Properties of Maize Residue Pellets. Biosyst. Eng. 2015, 139, 111–120. [Google Scholar] [CrossRef]
 - Nurek, T.; Gendek, A.; Roman, K. Forest Residues as a Renewable Source of Energy: Elemental Composition and Physical Properties. BioResources 2019, 14, 6–20. [Google Scholar] [CrossRef]
 - Nurek, T.; Gendek, A.; Roman, K.; Dąbrowska, M. The Effect of Temperature and Moisture on the Chosen Parameters of Briquettes Made of Shredded Logging Residues. Biomass Bioenergy 2019, 130, 105368. [Google Scholar] [CrossRef]
 - International Organization for Standardization. ISO 17827-1:2016—Solid Biofuels—Determination of Particle Size Distribution for Uncompressed Fuels—Part 1: Oscillating Screen Method Using Sieves with Apertures of 3,15 Mm and Above; International Organization for Standardization: Geneva, Switzerland, 2016. [Google Scholar]
 - International Organization for Standardization. ISO 3310-2:2013—Test Sieves—Technical Requirements and Testing—Part 2: Test Sieves of Perforated Metal Plate; International Organization for Standardization: Geneva, Switzerland, 2013. [Google Scholar]
 - Polish Committee for Standardization. PN-ISO 565:2000—Test Sieves—Metal Wire Cloth, Perforated Metal Plate and Electroformed Sheet—Nominal Sizes of Openings; Polish Committee for Standardization: Warsaw, Poland, 2000. [Google Scholar]
 - Lisowski, A.; Świątek, K.; Kostyra, K.; Chlebowski, J. Methods for Evaluation of Breaking up of Maize Chaff Separated on the Sieve Separator. Ann. Wars. Univ. Life Sci. SGGW Agric. 2008, 52, 23–30. [Google Scholar]
 - Lisowski, A.; Sar, Ł.; Świątek, K.; Kostyra, K. Sieve separator to analysis of chaff length distribution. Tech. Rol. Ogrod. Leśna 2008, 2, 17–19. [Google Scholar]
 - Chen, W.-H.; Kuo, P.-C. A Study on Torrefaction of Various Biomass Materials and Its Impact on Lignocellulosic Structure Simulated by a Thermogravimetry. Energy 2010, 35, 2580–2586. [Google Scholar] [CrossRef]
 - Borowski, G. Metody Przetwarzania Odpadów Drobnoziarnistych Na Produkty Użyteczne [Methods of Fine-Grained Waste Processing into Useful Products]; Monografie—Politechnika Lubelska; Politechnika Lubelska: Lublin, Poland, 2013; ISBN 978-83-63569-43-3. [Google Scholar]
 - Biswas, A.K.; Yang, W.; Blasiak, W. Steam Pretreatment of Salix to Upgrade Biomass Fuel for Wood Pellet Production. Fuel Process. Technol. 2011, 92, 1711–1717. [Google Scholar] [CrossRef]
 - Garcia-Maraver, A.; Zamorano, M.; Fernandes, U.; Rabaçal, M.; Costa, M. Relationship between Fuel Quality and Gaseous and Particulate Matter Emissions in a Domestic Pellet-Fired Boiler. Fuel 2014, 119, 141–152. [Google Scholar] [CrossRef]
 - Brunerová, A.; Müller, M.; Gürdil, G.A.K.; Šleger, V.; Brožek, M. Analysis of the Physical-Mechanical Properties of a Pelleted Chicken Litter Organic Fertiliser. Res. Agric. Eng. 2020, 66, 131–139. [Google Scholar] [CrossRef]
 - Mitchual, S.J.; Frimpong-Mensah, K.; Darkwa, N.A. Effect of Species, Particle Size and Compacting Pressure on Relaxed Density and Compressive Strength of Fuel Briquettes. Int. J. Energy Environ. Eng. 2013, 4, 30. [Google Scholar] [CrossRef]
 - International Organization for Standardization. ISO 17225-3:2014—Solid Biofuels—Fuel Specifications and Classes—Part 3: Graded Wood Briquettes; International Organization for Standardization: Geneva, Switzerland, 2014. [Google Scholar]
 - Styks, J.; Knapczyk, A.; Łapczyńska-Kordon, B. Effect of Compaction Pressure and Moisture Content on Post-Agglomeration Elastic Springback of Pellets. Materials 2021, 14, 879. [Google Scholar] [CrossRef] [PubMed]
 




| T, °C | hz, mm | ρ0, g·cm–3 | ρ1, g·cm–3 | λ, % | ||||||||||||
|---|---|---|---|---|---|---|---|---|---|---|---|---|---|---|---|---|
| Mean | SD | −95% | +95% | SE | Mean | SD | −95% | +95% | SE | Mean | SD | −95% | +95% | SE | ||
| MC = 16% | - | |||||||||||||||
| 60 | 195 | 1.36 | 0.07 | 1.29 | 1.43 | 0.03 | 0.77 | 0.02 | 0.75 | 0.79 | 0.01 | 42.8 | 3.63 | 39.03 | 46.64 | 1.48 | 
| 220 | 1.31 | 0.04 | 1.27 | 1.36 | 0.02 | 0.75 | 0.04 | 0.72 | 0.79 | 0.01 | 42.4 | 4.06 | 38.18 | 46.69 | 1.66 | |
| 245 | 1.33 | 0.04 | 1.29 | 1.37 | 0.02 | 0.75 | 0.02 | 0.72 | 0.77 | 0.01 | 43.9 | 2.74 | 41.04 | 46.79 | 1.12 | |
| 270 | 1.32 | 0.02 | 1.30 | 1.34 | 0.01 | 0.74 | 0.02 | 0.72 | 0.76 | 0.01 | 43.9 | 2.17 | 41.62 | 46.18 | 0.89 | |
| 295 | 1.31 | 0.03 | 1.28 | 1.35 | 0.01 | 0.74 | 0.02 | 0.73 | 0.76 | 0.01 | 43.2 | 2.73 | 40.32 | 46.04 | 1.11 | |
| 80 | 195 | 1.40 | 0.04 | 1.36 | 1.45 | 0.02 | 0.76 | 0.01 | 0.75 | 0.78 | 0.00 | 45.6 | 1.96 | 43.58 | 47.69 | 0.80 | 
| 220 | 1.34 | 0.03 | 1.31 | 1.37 | 0.01 | 0.75 | 0.01 | 0.74 | 0.75 | 0.00 | 44.3 | 1.27 | 43.00 | 45.66 | 0.52 | |
| 245 | 1.34 | 0.02 | 1.32 | 1.36 | 0.01 | 0.72 | 0.03 | 0.70 | 0.75 | 0.01 | 45.8 | 2.33 | 43.31 | 48.19 | 0.95 | |
| 270 | 1.34 | 0.02 | 1.32 | 1.35 | 0.01 | 0.73 | 0.03 | 0.70 | 0.76 | 0.01 | 45.5 | 2.56 | 42.76 | 48.14 | 1.05 | |
| 295 | 1.33 | 0.03 | 1.29 | 1.36 | 0.01 | 0.74 | 0.02 | 0.72 | 0.75 | 0.01 | 44.5 | 2.28 | 42.06 | 46.84 | 0.93 | |
| 100 | 195 | 1.39 | 0.05 | 1.34 | 1.44 | 0.02 | 0.74 | 0.02 | 0.72 | 0.76 | 0.01 | 46.5 | 1.02 | 45.46 | 47.60 | 0.42 | 
| 220 | 1.33 | 0.02 | 1.31 | 1.35 | 0.01 | 0.73 | 0.02 | 0.71 | 0.75 | 0.01 | 45.0 | 1.18 | 43.72 | 46.21 | 0.48 | |
| 245 | 1.34 | 0.07 | 1.34 | 1.42 | 0.03 | 0.72 | 0.02 | 0.70 | 0.73 | 0.01 | 46.7 | 3.33 | 43.17 | 50.16 | 1.36 | |
| 270 | 1.34 | 0.04 | 1.32 | 1.38 | 0.02 | 0.72 | 0.02 | 0.70 | 0.74 | 0.01 | 46.3 | 2.84 | 43.36 | 49.31 | 1.16 | |
| 295 | 1.34 | 0.03 | 1.34 | 1.37 | 0.01 | 0.71 | 0.03 | 0.69 | 0.74 | 0.01 | 46.9 | 1.94 | 44.87 | 48.93 | 0.79 | |
| 120 | 195 | 1.39 | 0.04 | 1.34 | 1.43 | 0.02 | 0.71 | 0.03 | 0.68 | 0.74 | 0.01 | 48.9 | 1.30 | 47.50 | 50.23 | 0.53 | 
| 220 | 1.35 | 0.04 | 1.31 | 1.39 | 0.02 | 0.69 | 0.01 | 0.68 | 0.70 | 0.00 | 48.8 | 2.02 | 46.69 | 50.94 | 0.83 | |
| 245 | 1.38 | 0.04 | 1.34 | 1.42 | 0.02 | 0.69 | 0.02 | 0.67 | 0.71 | 0.01 | 50.1 | 1.49 | 48.55 | 51.68 | 0.61 | |
| 270 | 1.35 | 0.03 | 1.32 | 1.38 | 0.01 | 0.69 | 0.03 | 0.67 | 0.72 | 0.01 | 48.6 | 2.9 | 45.52 | 51.61 | 1.18 | |
| 295 | 1.35 | 0.02 | 1.34 | 1.37 | 0.01 | 0.69 | 0.02 | 0.67 | 0.71 | 0.01 | 49.2 | 1.80 | 47.32 | 51.08 | 0.73 | |
| MC = 9% | ||||||||||||||||
| 60 | 195 | 1.11 | 0.01 | 1.10 | 1.12 | 0.00 | 0.86 | 0.01 | 0.85 | 0.87 | 0.00 | 22.5 | 1.23 | 21.70 | 23.27 | 0.36 | 
| 220 | 1.11 | 0.01 | 1.10 | 1.12 | 0.00 | 0.87 | 0.02 | 0.86 | 0.88 | 0.01 | 21.7 | 1.61 | 20.62 | 22.68 | 0.47 | |
| 245 | 1.13 | 0.02 | 1.12 | 1.14 | 0.01 | 0.86 | 0.01 | 0.85 | 0.86 | 0.00 | 24.2 | 1.50 | 23.26 | 25.17 | 0.43 | |
| 270 | 1.13 | 0.02 | 1.12 | 1.14 | 1.01 | 0.85 | 0.01 | 0.84 | 0.86 | 0.00 | 24.8 | 1.25 | 23.97 | 25.55 | 0.36 | |
| 295 | 1.10 | 0.02 | 1.09 | 1.11 | 0.01 | 0.83 | 0.01 | 0.83 | 0.84 | 0.00 | 24.5 | 1.41 | 23.65 | 25.44 | 0.41 | |
| 80 | 195 | 1.22 | 0.02 | 1.20 | 1.23 | 0.01 | 0.86 | 0.02 | 0.84 | 0.87 | 0.01 | 29.6 | 2.05 | 28.25 | 30.86 | 0.59 | 
| 220 | 1.19 | 0.03 | 1.17 | 1.21 | 0.01 | 0.86 | 0.02 | 0.85 | 0.87 | 0.00 | 28.0 | 2.38 | 26.50 | 29.53 | 0.69 | |
| 245 | 1.15 | 0.03 | 1.13 | 1.17 | 0.01 | 0.85 | 0.02 | 0.84 | 0.96 | 0.00 | 26.4 | 2.21 | 24.94 | 27.76 | 0.64 | |
| 270 | 1.12 | 0.01 | 1.12 | 1.13 | 0.00 | 0.85 | 0.01 | 0.84 | 0.86 | 0.00 | 24.3 | 1.61 | 23.30 | 25.34 | 0.46 | |
| 295 | 1.10 | 0.01 | 1.10 | 1.11 | 0.00 | 0.83 | 0.01 | 0.83 | 0.84 | 0.00 | 24.4 | 1.12 | 23.71 | 25.14 | 0.32 | |
| 100 | 195 | 1.27 | 0.05 | 1.24 | 1.30 | 0.01 | 0.85 | 0.01 | 0.84 | 0.86 | 0.00 | 33.1 | 2.53 | 31.49 | 34.71 | 0.73 | 
| 220 | 1.23 | 0.05 | 1.21 | 1.26 | 0.01 | 0.84 | 0.02 | 0.83 | 0.85 | 0.00 | 31.9 | 3.45 | 29.70 | 34.08 | 1.00 | |
| 245 | 1.21 | 0.02 | 1.20 | 1.22 | 0.01 | 0.85 | 0.02 | 0.84 | 0.86 | 0.00 | 29.9 | 1.53 | 28.88 | 30.82 | 0.44 | |
| 270 | 1.18 | 0.02 | 1.16 | 1.19 | 0.01 | 0.84 | 0.01 | 0.83 | 0.85 | 0.00 | 28.5 | 1.56 | 27.55 | 29.53 | 0.45 | |
| 295 | 1.13 | 0.02 | 1.12 | 1.14 | 0.01 | 0.83 | 0.01 | 0.83 | 0.84 | 0.00 | 26.3 | 1.44 | 25.35 | 27.18 | 0.42 | |
| 120 | 195 | 1.31 | 0.02 | 1.30 | 1.33 | 0.01 | 0.85 | 0.02 | 0.84 | 0.86 | 0.00 | 35.4 | 1.90 | 34.14 | 36.56 | 0.55 | 
| 220 | 1.28 | 0.02 | 1.27 | 1.30 | 0.01 | 0.85 | 0.02 | 0.84 | 0.86 | 0.00 | 33.4 | 1.61 | 32.41 | 34.46 | 0.47 | |
| 245 | 1.25 | 0.01 | 1.24 | 1.26 | 0.00 | 0.84 | 0.02 | 0.83 | 0.86 | 0.01 | 32.4 | 1.81 | 31.28 | 33.81 | 0.52 | |
| 270 | 1.21 | 0.02 | 1.20 | 1.22 | 0.00 | 0.85 | 0.01 | 0.84 | 0.86 | 0.00 | 29.8 | 1.52 | 28.87 | 30.81 | 0.44 | |
| 295 | 1.16 | 0.01 | 1.15 | 1.17 | 0.00 | 0.83 | 0.01 | 0.82 | 0.84 | 0.00 | 28.0 | 1.61 | 27.01 | 29.06 | 0.47 | |
| df | SS | MS | F | p-Value | |
|---|---|---|---|---|---|
| MC = 16% | |||||
| Die height (A) | 4 | 0.0457 | 0.0114 | 7.9 | 0.000 | 
| Temperature (B) | 3 | 0.0215 | 0.0072 | 5.0 | 0.003 | 
| Interaction (A × B) | 12 | 0.0085 | 0.0007 | 0.5 | 0.915 | 
| MC = 9% | |||||
| Die height (A) | 4 | 0.3069 | 0.0767 | 150.9 | 0.000 | 
| Temperature (B) | 3 | 0.5617 | 0.1872 | 368.2 | 0.000 | 
| Interaction (A × B) | 12 | 0.1276 | 0.0106 | 20.9 | 0.000 | 
| df | SS | MS | F | p-Value | |
| MC = 16% | |||||
| Die height (A) | 4 | 0.0145 | 0.0036 | 8.0 | 0.000 | 
| Temperature (B) | 3 | 0.0567 | 0.0189 | 41.6 | 0.000 | 
| Interaction (A × B) | 12 | 0.0016 | 0.0001 | 0.3 | 0.991 | 
| MC = 9% | |||||
| Die height (A) | 4 | 0.0142 | 0.0036 | 17.4 | 0.000 | 
| Temperature (B) | 3 | 0.0032 | 0.0011 | 5.2 | 0.002 | 
| Interaction (A × B) | 12 | 0.0043 | 0.004 | 1.7 | 0.061 | 
| df | SS | MS | F | p-Value | |
|---|---|---|---|---|---|
| MC = 16% | |||||
| Die height (A) | 4 | 26.7 | 6.7 | 1.14 | 0.341 | 
| Temperature (B) | 3 | 542.1 | 180.7 | 30.93 | 0.000 | 
| Interaction (A × B) | 12 | 17.3 | 1.4 | 0.25 | 0.995 | 
| MC = 9% | |||||
| Die height (A) | 4 | 5355 | 1339 | 39.32 | 0.000 | 
| Temperature (B) | 3 | 24,249 | 808.3 | 237.41 | 0.000 | 
| Interaction (A × B) | 12 | 5603 | 46.7 | 13.71 | 0.000 | 
Publisher’s Note: MDPI stays neutral with regard to jurisdictional claims in published maps and institutional affiliations.  | 
© 2021 by the authors. Licensee MDPI, Basel, Switzerland. This article is an open access article distributed under the terms and conditions of the Creative Commons Attribution (CC BY) license (https://creativecommons.org/licenses/by/4.0/).
Share and Cite
Nurek, T.; Gendek, A.; Dąbrowska, M. Influence of the Die Height on the Density of the Briquette Produced from Shredded Logging Residues. Materials 2021, 14, 3698. https://doi.org/10.3390/ma14133698
Nurek T, Gendek A, Dąbrowska M. Influence of the Die Height on the Density of the Briquette Produced from Shredded Logging Residues. Materials. 2021; 14(13):3698. https://doi.org/10.3390/ma14133698
Chicago/Turabian StyleNurek, Tomasz, Arkadiusz Gendek, and Magdalena Dąbrowska. 2021. "Influence of the Die Height on the Density of the Briquette Produced from Shredded Logging Residues" Materials 14, no. 13: 3698. https://doi.org/10.3390/ma14133698
APA StyleNurek, T., Gendek, A., & Dąbrowska, M. (2021). Influence of the Die Height on the Density of the Briquette Produced from Shredded Logging Residues. Materials, 14(13), 3698. https://doi.org/10.3390/ma14133698
        
                                                
