Novel Green In Situ Synthesis of ZnO Nanoparticles on Cotton Using Pomegranate Peel Extract
Abstract
:1. Introduction
2. Materials and Methods
2.1. Materials
2.2. Preparation of Natural Extracts
2.3. In Situ Synthesis of ZnO on Cotton Fabric
2.4. UV Protection Factor Measurements
2.5. Scanning Electron Microscopy (SEM)
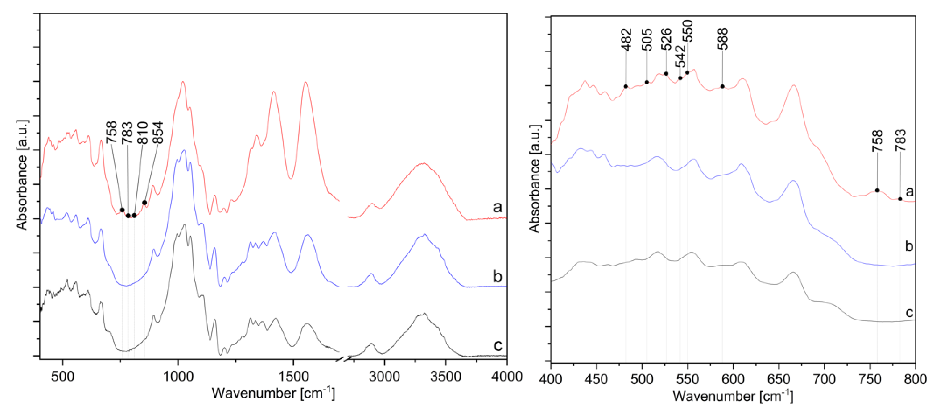
2.6. Fourier Transform Infrared Spectroscopy (FTIR)
2.7. Inductively Coupled Plasma Mass Spectroscopy (ICP-MS)
2.8. Color Measurements
2.9. Antioxidant Activity (DPPH Assay)
2.10. Determination of Total Phenolic Content (TPC)
2.11. Determination of Total Flavonoids Content (TFC)
2.12. Atomic Force Microscopy (AFM)
2.13. X-ray Diffractometry (XRD)
3. Results
4. Conclusions
Author Contributions
Funding
Data Availability Statement
Conflicts of Interest
References
- Kolodziejczak-Radzimska, A.; Jesionowski, T. Zinc Oxide-from Synthesis to Application: A Review. Materials 2014, 7, 2833–2881. [Google Scholar] [CrossRef] [Green Version]
- Sirelkhatim, A.; Mahmud, S.; Seeni, A.; Kaus, N.H.M.; Ann, L.C.; Bakhori, S.K.M.; Hasan, H.; Mohamad, D. Review on Zinc Oxide Nanoparticles: Antibacterial Activity and Toxicity Mechanism. Nano-Micro Lett. 2015, 7, 219–242. [Google Scholar] [CrossRef] [Green Version]
- Verbič, A.; Gorjanc, M.; Simončič, B. Zinc Oxide for Functional Textile Coatings: Recent Advances. Coatings 2019, 9, 550. [Google Scholar] [CrossRef] [Green Version]
- Shubha, P.; Gowda, M.L.; Namratha, K.; Shyamsunder, S.; Manjunatha, H.; Byrappa, K. Ex-situ fabrication of ZnO nanoparticles coated silk fiber for surgical applications. Mater. Chem. Phys. 2019, 231, 21–26. [Google Scholar] [CrossRef]
- Malis, D.; Jeršek, B.; Tomšič, B.; Štular, D.; Golja, B.; Kapun, G.; Simončič, B. Antibacterial Activity and Biodegradation of Cellulose Fiber Blends with Incorporated ZnO. Materials 2019, 12, 3399. [Google Scholar] [CrossRef] [PubMed] [Green Version]
- Khosravian, S.; Montazer, M.; Malek, R.M.A.; Harifi, T. In situ synthesis of nano ZnO on starch sized cotton introducing nano photo active fabric optimized with response surface methodology. Carbohydr. Polym. 2015, 132, 126–133. [Google Scholar] [CrossRef] [PubMed]
- Verbič, A.; Šala, M.; Gorjanc, M. The influence of in situ synthesis parameters on the formation of ZnO nanoparticles and the UPF value of cotton fabric. Tekstilec 2018, 61, 61. [Google Scholar] [CrossRef]
- Montazer, M.; Amiri, M.M. ZnO Nano Reactor on Textiles and Polymers: Ex Situ and In Situ Synthesis, Application, and Characterization. J. Phys. Chem. B 2014, 118, 1453–1470. [Google Scholar] [CrossRef]
- Karthik, S.; Siva, P.; Balu, K.S.; Suriyaprabha, R.; Rajendran, V.; Maaza, M. Acalypha indica—Mediated green synthesis of ZnO nanostructures under differential thermal treatment: Effect on textile coating, hydrophobicity, UV resistance, and antibacterial activity. Adv. Powder Technol. 2017, 28, 3184–3194. [Google Scholar] [CrossRef]
- Ramadan, M.A.; Nassar, S.H.; Montaser, A.S.; El-Khatib, E.M.; Abdel-Aziz, M.S. Synthesis of Nano-sized Zinc Oxide and Its Application for Cellulosic Textiles. Egypt. J. Chem. 2016, 59, 523–535. [Google Scholar] [CrossRef] [Green Version]
- Samanta, A.K.; Bhattacharyya, R.; Jose, S.; Basu, G.; Chowdhury, R. Fire retardant finish of jute fabric with nano zinc oxide. Cellulose 2017, 24, 1143–1157. [Google Scholar] [CrossRef]
- Xu, S.; Wang, Z.L. One-dimensional ZnO nanostructures: Solution growth and functional properties. Nano Res. 2011, 4, 1013–1098. [Google Scholar] [CrossRef] [Green Version]
- Thi, V.H.T.; Lee, B.-K. Development of multifunctional self-cleaning and UV blocking cotton fabric with modification of photoactive ZnO coating via microwave method. J. Photochem. Photobiol. A Chem. 2017, 338, 13–22. [Google Scholar] [CrossRef]
- Alias, S.; Ismail, A.; Mohamad, A.A. Effect of pH on ZnO nanoparticle properties synthesized by sol–gel centrifugation. J. Alloy Compd. 2010, 499, 231–237. [Google Scholar] [CrossRef]
- Wahab, R.; Ansari, S.A.; Kim, Y.S.; Song, M.; Shin, H.-S. The role of pH variation on the growth of zinc oxide nanostructures. Appl. Surf. Sci. 2009, 255, 4891–4896. [Google Scholar] [CrossRef]
- Wahab, R.; Kim, Y.-S.; Shin, H.-S. Synthesis, Characterization and Effect of pH Variation on Zinc Oxide Nanostructures. Mater. Trans. 2009, 50, 2092–2097. [Google Scholar] [CrossRef] [Green Version]
- Chand, P.; Gaur, A.; Kumar, A. Structural and optical properties of ZnO nanoparticles synthesized at different pH values. J. Alloy Compd. 2012, 539, 174–178. [Google Scholar] [CrossRef]
- Shaba, E.Y.; Jacob, J.O.; Tijani, J.O.; Suleiman, M.A.T. A Critical Review of Synthesis Parameters Affecting the Properties of Zinc Oxide Nanoparticle and Its Application in Wastewater Treatment. Appl. Water Sci. 2021, 11, 1–41. [Google Scholar] [CrossRef]
- Rafaie, H.; Samat, N.; Nor, R.M. Effect of pH on the growth of zinc oxide nanorods using Citrus aurantifolia extracts. Mater. Lett. 2014, 137, 297–299. [Google Scholar] [CrossRef]
- Baruah, S.; Dutta, J. pH-dependent growth of zinc oxide nanorods. J. Cryst. Growth 2009, 311, 2549–2554. [Google Scholar] [CrossRef]
- Ghayempour, S.; Montazer, M. Ultrasound irradiation based in-situ synthesis of star-like Tragacanth gum/zinc oxide nanoparticles on cotton fabric. Ultrason. Sonochem. 2017, 34, 458–465. [Google Scholar] [CrossRef] [PubMed]
- El-Naggar, M.E.; Shaarawy, S.; Hebeish, A. Multifunctional properties of cotton fabrics coated with in situ synthesis of zinc oxide nanoparticles capped with date seed extract. Carbohydr. Polym. 2018, 181, 307–316. [Google Scholar] [CrossRef]
- Upadhyaya, H.; Shome, S.; Sarma, R.; Tewari, S.; Bhattacharya, M.K.; Panda, S.K. Green Synthesis, Characterization and Antibacterial Activity of ZnO Nanoparticles. Am. J. Plant Sci. 2018, 9, 1279–1291. [Google Scholar] [CrossRef] [Green Version]
- Ravichandran, V.; Sumitha, S.; Ning, C.Y.; Xian, O.Y.; Yu, U.K.; Paliwal, N.; Shah, S.A.A.; Tripathy, M. Durian waste mediated green synthesis of zinc oxide nanoparticles and evaluation of their antibacterial, antioxidant, cytotoxicity and photocatalytic activity. Green Chem. Lett. Rev. 2020, 13, 102–116. [Google Scholar] [CrossRef]
- Aladpoosh, R.; Montazer, M.; Samadi, N. In situ green synthesis of silver nanoparticles on cotton fabric using Seidlitzia rosmarinus ashes. Cellulose 2014, 21, 3755–3766. [Google Scholar] [CrossRef]
- Dhandapani, P.; Siddarth, A.S.; Kamalasekaran, S.; Maruthamuthu, S.; Rajagopal, G. Bio-approach: Ureolytic bacteria mediated synthesis of ZnO nanocrystals on cotton fabric and evaluation of their antibacterial properties. Carbohydr. Polym. 2014, 103, 448–455. [Google Scholar] [CrossRef] [PubMed]
- Sundrarajan, M.; Ambika, S.; Bharathi, K. Plant-extract mediated synthesis of ZnO nanoparticles using Pongamia pinnata and their activity against pathogenic bacteria. Adv. Powder Technol. 2015, 26, 1294–1299. [Google Scholar] [CrossRef]
- Yuvakkumar, R.; Suresh, J.; Nathanael, A.J.; Sundrarajan, M.; Hong, S. Novel green synthetic strategy to prepare ZnO nanocrystals using rambutan (Nephelium lappaceum L.) peel extract and its antibacterial applications. Mater. Sci. Eng. C 2014, 41, 17–27. [Google Scholar] [CrossRef] [PubMed]
- Noorian, S.A.; Hemmatinejad, N.; Navarro, J.A. Ligand modified cellulose fabrics as support of zinc oxide nanoparticles for UV protection and antimicrobial activities. Int. J. Biol. Macromol. 2020, 154, 1215–1226. [Google Scholar] [CrossRef]
- Singh, J.; Dutta, T.; Kim, K.-H.; Rawat, M.; Samddar, P.; Kumar, P. ‘Green’ synthesis of metals and their oxide nanoparticles: Applications for environmental remediation. J. Nanobiotechnol. 2018, 16, 84. [Google Scholar] [CrossRef]
- Basnet, P.; Chanu, T.I.; Samanta, D.; Chatterjee, S. A review on bio-synthesized zinc oxide nanoparticles using plant extracts as reductants and stabilizing agents. J. Photochem. Photobiol. B Biol. 2018, 183, 201–221. [Google Scholar] [CrossRef]
- Čuk, N.; Šala, M.; Gorjanc, M. Development of antibacterial and UV protective cotton fabrics using plant food waste and alien invasive plant extracts as reducing agents for the in-situ synthesis of silver nanoparticles. Cellulose 2021, 28, 3215–3233. [Google Scholar] [CrossRef]
- Siripireddy, B.; Mandal, B.K. Facile green synthesis of zinc oxide nanoparticles by Eucalyptus globulus and their photocatalytic and antioxidant activity. Adv. Powder Technol. 2017, 28, 785–797. [Google Scholar] [CrossRef]
- Parthasarathy, G.; Saroja, M.; Venkatachalam, M.; Shankar, S.; Evanjelene, V.K. Green synthesis of zinc oxide nanoparticles-review paper. World J. Pharm. Pharm. Sci. 2016, 5, 922–931. [Google Scholar] [CrossRef]
- Stan, M.; Popa, A.; Toloman, D.; Dehelean, A.; Lung, I.; Katona, G. Enhanced photocatalytic degradation properties of zinc oxide nanoparticles synthesized by using plant extracts. Mater. Sci. Semicond. Process. 2015, 39, 23–29. [Google Scholar] [CrossRef]
- Velmurugan, P.; Park, J.-H.; Lee, S.-M.; Yi, Y.-J.; Cho, M.; Jang, J.-S.; Myung, H.; Bang, K.-S.; Oh, B.-T. Eco-friendly approach towards green synthesis of zinc oxide nanocrystals and its potential applications. Artif. Cells Nanomed. Biotechnol. 2016, 44, 1537–1543. [Google Scholar] [CrossRef]
- Senthilkumar, S.R.; Sivakumar, T. Green Tea (Camellia Sinensis) Mediated Synthesis of Zinc Oxide (ZnO) Nanoparticles and Studies on Their Antimicrobial Activities. Int. J. Pharm. Pharm. Sci. 2014, 6, 461–465. [Google Scholar]
- Sangeetha, G.; Rajeshwari, S.; Venckatesh, R. Green synthesis of zinc oxide nanoparticles by aloe barbadensis miller leaf extract: Structure and optical properties. Mater. Res. Bull. 2011, 46, 2560–2566. [Google Scholar] [CrossRef]
- Kundu, D.; Hazra, C.; Chatterjee, A.; Chaudhari, A.; Mishra, S. Extracellular biosynthesis of zinc oxide nanoparticles using Rhodococcus pyridinivorans NT2: Multifunctional textile finishing, biosafety evaluation and in vitro drug delivery in colon carcinoma. J. Photochem. Photobiol. B Biol. 2014, 140, 194–204. [Google Scholar] [CrossRef]
- Veluswamy, P.; Sathiyamoorthy, S.; Chowdary, K.H.; Muthusamy, O.; Krishnamoorthy, K.; Takeuchi, T.; Ikeda, H. Morphology dependent thermal conductivity of ZnO nanostructures prepared via a green approach. J. Alloy Compd. 2017, 695, 888–894. [Google Scholar] [CrossRef]
- Aladpoosh, R.; Montazer, M. The role of cellulosic chains of cotton in biosynthesis of ZnO nanorods producing multifunctional properties: Mechanism, characterizations and features. Carbohydr. Polym. 2015, 126, 122–129. [Google Scholar] [CrossRef]
- Tavill, G. Industry challenges and approaches to food waste. Physiol. Behav. 2020, 223, 112993. [Google Scholar] [CrossRef]
- Karimi, M.; Sadeghi, R.; Kokini, J. Pomegranate as a promising opportunity in medicine and nanotechnology. Trends Food Sci. Technol. 2017, 69, 59–73. [Google Scholar] [CrossRef]
- Reports, 360 Research Global Pomegranate Market Research Report 2020. Available online: https://www.360researchreports.com/global-pomegranate-market-15046337 (accessed on 10 February 2021).
- Singh, A.; Sheikh, J. Cleaner functional dyeing of wool using Kigelia Africana natural dye and Terminalia chebula bio-mordant. Sustain. Chem. Pharm. 2020, 17, 100286. [Google Scholar] [CrossRef]
- Jadav, K.M.; Gowda, K.N. Antibacterial and antioxidant properties of silk fabric dyed with cichorium intybus root extract. Int. J. Pharmacogn. 2017, 4, 299–304. [Google Scholar] [CrossRef]
- Türkoğlu, G.C.; Sariişik, A.M.; Erkan, G.; Kayalar, H.; Kontart, O.; Öztuna, S. Determination of Antioxidant Capacity of Capsule Loaded Textiles. Indian J. Fibre Text. Res. 2017, 42, 189–195. [Google Scholar]
- Katırcı, N.; Işık, N.; Çağlar, G.; Guler, H.O.; Gursoy, O.; Yilmaz, Y. Differences in antioxidant activity, total phenolic and flavonoid contents of commercial and homemade tomato pastes. J. Saudi Soc. Agric. Sci. 2020, 19, 249–254. [Google Scholar] [CrossRef]
- Zhishen, J.; Mengcheng, T.; Jianming, W. The determination of flavonoid contents in mulberry and their scavenging effects on superoxide radicals. Food Chem. 1999, 64, 555–559. [Google Scholar] [CrossRef]
- Hu, X.; Masuda, Y.; Ohji, T.; Kato, K. Rapid Low-Temperature Synthesis of Porous ZnO Nanoparticle Film by Self-Hydrolysis Technique. Key Eng. Mater. 2010, 445, 123–126. [Google Scholar] [CrossRef]
- Sarkar, J.; Ghosh, M.; Mukherjee, A.; Chattopadhyay, D.; Acharya, K. Biosynthesis and safety evaluation of ZnO nanoparticles. Bioprocess Biosyst. Eng. 2013, 37, 165–171. [Google Scholar] [CrossRef]
- Gorjanc, M.; Savić, A.; Topalić-Trivunović, L.; Mozetic, M.; Zaplotnik, R.; Vesel, A.; Grujić, D. Dyeing of plasma treated cotton and bamboo rayon with Fallopia japonica extract. Cellulose 2016, 23, 2221–2228. [Google Scholar] [CrossRef]
- Preston, C. Dyeing of Cellulosic Fibres; Woodhead Publishing: Southston, UK, 1986. [Google Scholar]
- Loganathan, T.M.; Sultan, M.T.H.; Ahsan, Q.; Jawaid, M.; Naveen, J.; Shah, A.U.M.; Hua, L.S. Characterization of alkali treated new cellulosic fibre from Cyrtostachys renda. J. Mater. Res. Technol. 2020, 9, 3537–3546. [Google Scholar] [CrossRef]
- Broadbent, A.D. Basic Principles of Textile Coloration; Society of Dyers and Colorists: Bradford, UK, 2001. [Google Scholar]
- Sinnur, H.D.; Samanta, A.K.; Verma, D.K.; Kaware, R. Studies on Coloration and UV Protective Action of Anar Peel (Pomegranate Rind) as an Effective Natural Colorant for Cotton Khadi Fabric. J. Inst. Eng. Ser. E 2017, 99, 9–26. [Google Scholar] [CrossRef]
- Afaq, F.; Abu Zaid, M.; Khan, N.; Dreher, M.; Mukhtar, H. Protective effect of pomegranate-derived products on UVB-mediated damage in human reconstituted skin. Exp. Dermatol. 2009, 18, 553–561. [Google Scholar] [CrossRef] [Green Version]
- Moneim, A.E.A. Antioxidant activities of Punica granatum (pomegranate) peel extract on brain of rats. J. Med. Plants Res. 2012, 6, 195–199. [Google Scholar] [CrossRef]
- Thoo, Y.Y.; Ho, S.K.; Liang, J.Y.; Ho, C.W.; Tan, C.P. Effects of binary solvent extraction system, extraction time and extraction temperature on phenolic antioxidants and antioxidant capacity from mengkudu (Morinda citrifolia). Food Chem. 2010, 120, 290–295. [Google Scholar] [CrossRef]
- Mokrani, A.; Madani, K. Effect of solvent, time and temperature on the extraction of phenolic compounds and antioxidant capacity of peach (Prunus persica L.) fruit. Sep. Purif. Technol. 2016, 162, 68–76. [Google Scholar] [CrossRef]
- Sood, A.; Gupta, M. Extraction process optimization for bioactive compounds in pomegranate peel. Food Biosci. 2015, 12, 100–106. [Google Scholar] [CrossRef]
- Anandan, S.; Mahadevamurthy, M.; Ansari, M.A.; Alzohairy, M.A.; Alomary, M.N.; Siraj, S.F.; Nagaraja, S.H.; Chikkamadaiah, M.; Ramachandrappa, L.T.; Krishnappa, H.K.N.; et al. Biosynthesized ZnO-NPs from Morus indica Attenuates Methylglyoxal-Induced Protein Glycation and RBC Damage: In-Vitro, In-Vivo and Molecular Docking Study. Biomolecules 2019, 9, 882. [Google Scholar] [CrossRef] [Green Version]
- Matinise, N.; Fuku, X.; Kaviyarasu, K.; Mayedwa, N.; Maaza, M. ZnO nanoparticles via Moringa oleifera green synthesis: Physical properties & mechanism of formation. Appl. Surf. Sci. 2017, 406, 339–347. [Google Scholar] [CrossRef]
- Kähkönen, M.P.; Hopia, A.I.; Vuorela, H.J.; Rauha, J.-P.; Pihlaja, K.; Kujala, A.T.S.; Heinonen, M. Antioxidant Activity of Plant Extracts Containing Phenolic Compounds. J. Agric. Food Chem. 1999, 47, 3954–3962. [Google Scholar] [CrossRef] [PubMed]
- Castrica, M.; Rebucci, R.; Giromini, C.; Tretola, M.; Cattaneo, D.; Baldi, A. Total phenolic content and antioxidant capacity of agri-food waste and by-products. Ital. J. Anim. Sci. 2019, 18, 336–341. [Google Scholar] [CrossRef]
- Lee, S.E.; Hwang, H.J.; Ha, J.S.; Jeong, H.S.; Kim, J.H. Screening of Medicinal Plant Extracts for Antioxidant Activity. Life Sci. 2003, 73, 167–179. [Google Scholar] [CrossRef]
- Mahendra, C.; Chandra, M.N.; Murali, M.; Abhilash, M.; Singh, S.B.; Satish, S.; Sudarshana, M. Phyto-fabricated ZnO nanoparticles from Canthium dicoccum (L.) for antimicrobial, anti-tuberculosis and antioxidant activity. Process. Biochem. 2020, 89, 220–226. [Google Scholar] [CrossRef]
- Moghaddam, A.B.; Moniri, M.; Azizi, S.; Rahim, R.A.; Bin Ariff, A.; Saad, W.Z.; Namvar, F.; Navaderi, M.; Mohamad, R. Biosynthesis of ZnO Nanoparticles by a New Pichia kudriavzevii Yeast Strain and Evaluation of Their Antimicrobial and Antioxidant Activities. Molecules 2017, 22, 872. [Google Scholar] [CrossRef] [PubMed] [Green Version]
- Yazdanshenas, M.E.; Shateri-Khalilabad, M. One-Step Synthesis of Superhydrophobic Coating on Cotton Fabric by Ultrasound Irradiation. Ind. Eng. Chem. Res. 2013, 52, 12846–12854. [Google Scholar] [CrossRef]
- Mahalakshmi, S.; Hema, N.; Vijaya, P.P. In Vitro Biocompatibility and Antimicrobial activities of Zinc Oxide Nanoparticles (ZnO NPs) Prepared by Chemical and Green Synthetic Route—A Comparative Study. BioNanoScience 2020, 10, 112–121. [Google Scholar] [CrossRef]
- Gupta, M.; Tomar, R.S.; Kaushik, S.; Mishra, R.K.; Sharma, D. Effective Antimicrobial Activity of Green ZnO Nano Particles of Catharanthus roseus. Front. Microbiol. 2018, 9, 2030. [Google Scholar] [CrossRef]
- Štular, D.; Jerman, I.; Naglič, I.; Simončič, B.; Tomšič, B. Embedment of silver into temperature- and pH-responsive microgel for the development of smart textiles with simultaneous moisture management and controlled antimicrobial activities. Carbohydr. Polym. 2017, 159, 161–170. [Google Scholar] [CrossRef]
- Katepetch, C.; Rujiravanit, R.; Tamura, H. Formation of nanocrystalline ZnO particles into bacterial cellulose pellicle by ultrasonic-assisted in situ synthesis. Cellulose 2013, 20, 1275–1292. [Google Scholar] [CrossRef]
- Hu, W.; Chen, S.; Zhou, B.; Wang, H. Facile synthesis of ZnO nanoparticles based on bacterial cellulose. Mater. Sci. Eng. B Solid-State Mater. Adv. Technol. 2010, 170, 88–92. [Google Scholar] [CrossRef]
- Soltani, M.; Najafi, A.; Yousefian, S.; Naji, H.R.; Bakar, E.S. Water Repellent Effect and Dimension Stability of Beech Wood Impregnated with Nano-Zinc Oxide. BioResources 2013, 8, 6280–6287. [Google Scholar] [CrossRef] [Green Version]
- Rajendran, S.P.; Sengodan, K. Synthesis and Characterization of Zinc Oxide and Iron Oxide Nanoparticles Using Sesbania grandiflora Leaf Extract as Reducing Agent. J. Nanosci. 2017, 2017, 8348507. [Google Scholar] [CrossRef] [Green Version]
- Shamhari, N.M.; Wee, B.S.; Chin, S.F.; Kok, K.Y. Synthesis and Characterization of Zinc Oxide Nanoparticles with Small Particle Size Distribution. Acta Chim. Slov. 2018, 65, 578–585. [Google Scholar] [CrossRef]
- Kert, M.; Jazbec, K.; Černe, L.; Jerman, I.; Gorjanc, M. The Influence of Nano-ZnO Application Methods on UV Protective Properties of Cotton. Acta Chim. Slov. 2014, 61, 587–594. [Google Scholar]
- Jayarambabu, N.; Kumari, B.S. Beneficial Role of Zinc Oxide Nanoparticles on Green Crop Production. Int. J. Multidiscip. Adv. Res. Trends 2015, 10, 273–282. [Google Scholar]
- Morkoç, H.; Özgür, Ü. Zinc Oxide: Fundamentals, Materials and Device Technology; John Wiley & Sons: Hoboken, NJ, USA, 2009. [Google Scholar]
- Samanta, A.; Goswami, M.; Mahapatra, P. Magnetic and electric properties of Ni-doped ZnO nanoparticles exhibit diluted magnetic semiconductor in nature. J. Alloy Compd. 2018, 730, 399–407. [Google Scholar] [CrossRef]
- Shafei, A.E.; Okeil, A. ZnO/carboxymethyl chitosan bionano-composite to impart antibacterial and UV protection for cotton fabric. Carbohydr. Polym. 2011, 83, 920–925. [Google Scholar] [CrossRef]
- Swarthmore, P. Powder Diffraction File, Joint Committee on Powder Diffraction Standards. Int. Cent. Diffr. Data 1972, 3–226. [Google Scholar]
- Sricharussin, W.; Threepopnatkul, P.; Neamjan, N. Effect of various shapes of zinc oxide nanoparticles on cotton fabric for UV-blocking and anti-bacterial properties. Fibers Polym. 2011, 12, 1037–1041. [Google Scholar] [CrossRef]
- Arputharaj, A.; Nadanathangam, V.; Shukla, S.R. A simple and efficient protocol to develop durable multifunctional property to cellulosic materials using in situ generated nano-ZnO. Cellulose 2017, 24, 3399–3410. [Google Scholar] [CrossRef]
- Fu, F.; Lianjie, L.; Liu, L.; Cai, J.; Zhang, P.; Zhou, J.; Zhang, L. Construction of Cellulose Based ZnO Nanocomposite Films with Antibacterial Properties through One-Step Coagulation. ACS Appl. Mater. Interfaces 2015, 7, 2597–2606. [Google Scholar] [CrossRef]
- John, A.; Ko, H.-U.; Kim, D.-G.; Kim, J. Preparation of cellulose-ZnO hybrid films by a wet chemical method and their characterization. Cellulose 2011, 18, 675–680. [Google Scholar] [CrossRef]
- Zhang, W.; Li, C.; Tian, Z.; Wang, Y.; Hou, Z. Preparation of ZnO nanosheet-assembly film on zinc plate by cold plasma. Thin Solid Films 2020, 712, 138274. [Google Scholar] [CrossRef]
- Yang, R.; Zheng, J.; Li, W.; Qu, J.; Zhang, X.; Li, X. Low-temperature growth of ZnO nanostructures by oxygen plasma oxidation of ZnCl2. Mater. Chem. Phys. 2011, 129, 693–695. [Google Scholar] [CrossRef]
- Jebel, F.S.; Almasi, H. Morphological, physical, antimicrobial and release properties of ZnO nanoparticles-loaded bacterial cellulose films. Carbohydr. Polym. 2016, 149, 8–19. [Google Scholar] [CrossRef]
- Dejen, K.D.; Zereffa, E.A.; Murthy, H.C.A.; Merga, A. Synthesis of ZnO and ZnO/PVA nanocomposite using aqueous Moringa Oleifeira leaf extract template: Antibacterial and electrochemical activities. Rev. Adv. Mater. Sci. 2020, 59, 464–476. [Google Scholar] [CrossRef]
- Okpara, E.C.; Fayemi, O.E.; Sherif, E.-S.M.; Junaedi, H.; Ebenso, E.E. Green Wastes Mediated Zinc Oxide Nanoparticles: Synthesis, Characterization and Electrochemical Studies. Materials 2020, 13, 4241. [Google Scholar] [CrossRef]
- Gordeeva, A.; Hsu, Y.-J.; Jenei, I.Z.; Carvalho, P.H.B.B.; Simak, S.I.; Andersson, O.; Häussermann, U. Layered Zinc Hydroxide Dihydrate, Zn5(OH)10·2H2O, from Hydrothermal Conversion of ε-Zn(OH)2 at Gigapascal Pressures and its Transformation to Nanocrystalline ZnO. ACS Omega 2020, 5, 17617–17627. [Google Scholar] [CrossRef]
- Qin, N.; Xiang, Q.; Zhao, H.; Zhang, J.; Xu, J. Evolution of ZnO microstructures from hexagonal disk to prismoid, prism and pyramid and their crystal facet-dependent gas sensing properties. CrystEngComm 2014, 16, 7062–7073. [Google Scholar] [CrossRef]
- Sun, D.; Yan, Z.-H.; Blatov, V.A.; Wang, L.; Sun, D.-F. Syntheses, Topological Structures, and Photoluminescences of Six New Zn(II) Coordination Polymers Based on Mixed Tripodal Imidazole Ligand and Varied Polycarboxylates. Cryst. Growth Des. 2013, 13, 1277–1289. [Google Scholar] [CrossRef]
- Mendoza, M.A.R.; Oliva-Avilés, A.; Oliva, A.I. Investigation of the Selective Growth of ZnO and Zn(OH)2Films Deposited by Chemical Bath Near Room Temperature. ECS J. Solid State Sci. Technol. 2017, 6, N45–N53. [Google Scholar] [CrossRef]
- Kanmani, S.S.; Ramachandran, K.; Umapathy, S. Eosin Yellowish Dye-Sensitized ZnO Nanostructure-Based Solar Cells Employing Solid PEO Redox Couple Electrolyte. Int. J. Photoenergy 2012, 2012, 267824. [Google Scholar] [CrossRef] [Green Version]
- Yazhini, K.B.; Prabu, H.G.; Nandhini, J.R. Environmental and Applied Bioresearch Synthesis and Coating of ZnO-BTCA Composite on Cotton for Antibacterial Activity. J. Environ. Appl. Biores. 2015, 3, 150–154. [Google Scholar]
- Alkaim, A.F.; Alrobayi, E.M.; Algubili, A.M.; Aljeboree, A.M. Synthesis, characterization, and photocatalytic activity of sonochemical/hydration–dehydration prepared ZnO rod-like architecture nano/microstructures assisted by a biotemplate. Environ. Technol. 2017, 38, 2119–2129. [Google Scholar] [CrossRef]














| Synthesis Type (Ex Situ or In Situ) | Zinc Precursor | Reducing Agent and Its Preparation | Alkali Source | Synthesis Procedure (and Application to Textile) | Ref. |
|---|---|---|---|---|---|
| ex situ | 1 M Zn-acetate | Aqueous Acalypha indica leaf extract (20 g/L, 2 h at 70 °C, filtration) | none | Synthesis: at 60 °C for 1 h, heating at 80 °C for 24 h, calcination at 100, 300, and 600 °C (time N/A); Application: pad-dry-cure method | [9] |
| in situ on cotton | 0.1 M Zn-nitrate | Tragacanth gum (1%) | 0.2 M NaOH | 2× ultrasonication for 1 h, drying at 60 °C | [21] |
| partially in situ on cotton | Zn-acetate | Aqueous date seed extract (2 g/250 mL for 6h, filtration) | NaOH | Synthesized Zn-hydroxide was applied on fabric by 2× pad-dry-cure method | [22] |
| in situ on cotton | 0.02 M Zn-acetate | Bacterium Serratia ureilytica | Biologically activated ammonia | Synthesis on fabric: 30, 60 and 90 min at 50 °C | [26] |
| ex situ | 0.1 M Zn-nitrate | Aqueous Pongamia pinnata leaves extract (2 h at 100 °C, filtration) | none | Synthesis: 24 h of precipitation, centrifugation 15 min, drying at 80 °C, calcination at 350 °C for 3 h; Application: pad-dry-cure in 3% ZnO with crosslinker. | [27] |
| ex situ | 0.1 M Zn-nitrate | Ethanolic Nephelium lappaceum peel extract | none | Synthesis: 2 h at 80 °C precipitation, centrifugation 10 min, drying at 40 °C for 8 h, calcination at 450 °C Application: pad-dry-cure method in 2% ZnO and crosslinker | [28] |
| ex situ | 0.1 M Zn-nitrate | Aqueous Prunus x yedoensis leaf extract (50 g/200 mL, 30 min at boiling, filtration) | none | Synthesis: 8 h at 80 °C, washing with EtOH, calcination at 450 °C for 1 h. Application: pad-dry-cure method. | [36] |
| ex situ | 100 mM Zn-sulfate | Actinobacteria Rhodococcus pyridinovorans | K2HPO4 | Synthesis: 72 h at 30 °C, centrifugation, filtration, drying at 70 °C for 4 h Application: stirring fabric in ZnO solution for 30 min, drying 10 min at room temperature and 5 min at 135 °C | [39] |
| ex situ | 0.5 M Zn-nitrate | Aqueous avocado fruit extract (10 g/150 mL, at 60 °C for 10 min) | NaOH | Synthesis: 1 h, washing with EtOH, calcination for 2 h at 400 °C Application: N/A | [40] |
| in situ on cotton | Zn-acetate | Aqueous Keliab extract (10 g/100 mL, overnight) | none | Cotton impregnation with precursor for 30 min, adding reducing agent at 90 °C for 60 min, drying at 80 °C for 30 min, curing at 150 °C for 3 min | [41] |
| Sample | CIE L* | CIE a* | CIE b* | |
|---|---|---|---|---|
| Untreated cotton | 91.66 | −0.27 | 1.01 | |
| C4H6O4Zn·2H2O treated cotton | 91.95 | −0.49 | 1.80 | |
| Wood ash extract treated cotton | 88.72 | 0.14 | 5.85 | |
| Pomegranate peel extract treated cotton | 70.36 | 7.93 | 34.92 | |
| Pomegranate peel and zinc acetate dihydrate treated cotton | 69.38 | −2.50 | 48.99 | |
| In situ synthesis of ZnO-NP on cotton | Method 1 | 60.64 | 4.39 | 51.33 |
| Method 2 | 71.36 | −1.77 | 54.39 | |
| Method 3 | 63.48 | 2.53 | 55.61 | |
| Method 4 | 56.16 | 5.73 | 47.17 |
| Sample | K/S Value | λ (nm) | |
|---|---|---|---|
| Untreated cotton | 0.04 | 400 | |
| C4H6O4Zn·2H2O treated cotton | 0.05 | 400 | |
| Wood ash extract treated cotton | 0.14 | 400 | |
| Pomegranate peel extract treated cotton | 10.85 | 400 | |
| Pomegranate peel and zinc acetate dihydrate treated cotton | 9.09 | 400 | |
| In situ synthesis of ZnO-NP on cotton | Method 1 | 12.37 | 400 |
| Method 2 | 9.70 | 400 | |
| Method 3 | 11.96 | 400 | |
| Method 4 | 10.98 | 400 |
| Sample | UPF | T (UVA) (%) | T (UVB) (%) | T (UVA + UVB) (%) | UVA Blocking (%) | UVB Blocking (%) | Protection Category | |
|---|---|---|---|---|---|---|---|---|
| Untreated cotton | 3.9 | 28.9 | 24.8 | 27.3 | 71.1 | 75.2 | Insufficient | |
| Wood ash extract treated cotton | 6.9 | 20.7 | 16.5 | 19.2 | 79.3 | 83.5 | Insufficient | |
| Pomegranate peel extract treated cotton | 88.6 | 1.5 | 1.2 | 1.4 | 98.5 | 98.8 | Excellent | |
| Pomegranate peel and zinc acetate dihydrate treated cotton | 50.7 | 2.5 | 2.1 | 2.4 | 97.5 | 97.9 | Excellent | |
| In situ synthesis of ZnO-NP on cotton | Method 1 | 1083.9 | 0.2 | 0.1 | 0.2 | 99.8 | 99.9 | Excellent |
| Method 2 | 92.3 | 1.5 | 1.1 | 1.3 | 98.5 | 98.9 | Excellent | |
| Method 3 | 118.0 | 1.2 | 0.9 | 1.1 | 98.8 | 99.1 | Excellent | |
| Method 4 | 154.0 | 1.0 | 0.8 | 0.9 | 99.0 | 99.2 | Excellent |
| Extract | TFC (CE Catechin Equivalent mg per 100 g) | TPC (GAE Gallic Acid Equivalent mg per 100 g) |
|---|---|---|
| Pomegranate peel extract | 765.8 | 2911.8 |
| Sample | Average Antioxidant Activity (%) | |
|---|---|---|
| Untreated cotton | 0.7 ± 0.19 | |
| C4H6O4Zn·2H2O-treated cotton | 0.4 ± 0.14 | |
| Pomegranate peel extract (no textile) | 94.8 ± 0.03 | |
| Cotton treated with pomegranate peel extract | 79.7 ± 0.01 | |
| In situ synthesis of ZnO-NP on cotton | Method 2 | 27.3 ± 0.06 |
| Method 3 | 40.8 ± 0.04 | |
| Method 4 | 25.9 ± 0.05 |
| Sample | cZn (%) | |
|---|---|---|
| In situ synthesis of ZnO-NP on cotton | Method 2 | 5.6 ± 0.16 |
| Method 3 | 7.8 ± 0.62 | |
| Method 4 | 9.6 ± 0.33 |
Publisher’s Note: MDPI stays neutral with regard to jurisdictional claims in published maps and institutional affiliations. |
© 2021 by the authors. Licensee MDPI, Basel, Switzerland. This article is an open access article distributed under the terms and conditions of the Creative Commons Attribution (CC BY) license (https://creativecommons.org/licenses/by/4.0/).
Share and Cite
Verbič, A.; Šala, M.; Jerman, I.; Gorjanc, M. Novel Green In Situ Synthesis of ZnO Nanoparticles on Cotton Using Pomegranate Peel Extract. Materials 2021, 14, 4472. https://doi.org/10.3390/ma14164472
Verbič A, Šala M, Jerman I, Gorjanc M. Novel Green In Situ Synthesis of ZnO Nanoparticles on Cotton Using Pomegranate Peel Extract. Materials. 2021; 14(16):4472. https://doi.org/10.3390/ma14164472
Chicago/Turabian StyleVerbič, Anja, Martin Šala, Ivan Jerman, and Marija Gorjanc. 2021. "Novel Green In Situ Synthesis of ZnO Nanoparticles on Cotton Using Pomegranate Peel Extract" Materials 14, no. 16: 4472. https://doi.org/10.3390/ma14164472
APA StyleVerbič, A., Šala, M., Jerman, I., & Gorjanc, M. (2021). Novel Green In Situ Synthesis of ZnO Nanoparticles on Cotton Using Pomegranate Peel Extract. Materials, 14(16), 4472. https://doi.org/10.3390/ma14164472

