Abstract
Organic light emitting diode (OLED) is a new, promising technology in the field of lighting and display applications due to the advantages offered by its organic electroactive derivatives over inorganic materials. OLEDs have prompted a great deal of investigations within academia as well as in industry because of their potential applications. The electroactive layers of OLEDs can be fabricated from low molecular weight derivatives by vapor deposition or from polymers by spin coating from their solution. Among the low-molar-mass compounds under investigation in this field, carbazole-based materials have been studied at length for their useful chemical and electronic characteristics. The carbazole is an electron-rich heterocyclic compound, whose structure can be easily modified by rather simple reactions in order to obtain 2,7(3,6)-diaryl(arylamino)-substituted carbazoles. The substituted derivatives are widely used for the formation of OLEDs due to their good charge carrier injection and transfer characteristics, electroluminescence, thermally activated delayed fluorescence, improved thermal and morphological stability as well as their thin film forming characteristics. On the other hand, relatively high triplet energies of some substituted carbazole-based compounds make them useful components as host materials even for wide bandgap triplet emitters. The present review focuses on 2,7(3,6)-diaryl(arylamino)-substituted carbazoles, which were described in the last decade and were applied as charge-transporting layers, fluorescent and phosphorescent emitters as well as host materials for OLED devices.
1. Introduction
Since the first discovery of organic electroluminescent compounds, huge attention has been devoted to the creation of new materials and optimized multilayer device architectures for viable and practical organic light emitting diodes (OLEDs), which would demonstrate low-driving voltage, high brightness, full-color emission, a long lifetime, and the easy formation of flexible thin-film devices. The commercial benefit of OLED devices is seen in the emergence of digital cameras, mobile cell phones as well as display technologies; however, there is still a strong demand to considerably improve the performance and lifetime of the devices for lighting technologies [1,2,3,4,5].
Formerly, structurally and chemically well-defined, carbazole-based compounds and their characteristics were investigated due to their properties of biological activity [6,7,8]. However, in the last three decades, the carbazole rings or substituted carbazole-containing compounds have been widely investigated in the field of organic optoelectronics, particularly in OLED technologies [9,10,11,12]. The substituted carbazole-based derivatives are widely used as components of the devices due to their good charge injection and transport characteristics in the layers of the materials [13], electroluminescence [14], thermally activated delayed fluorescence [15], improved thermal and morphological stability as well as their homogenous thin film formation properties [16]. In addition, the rather high triplet energies of some aryl(arylamino)-substituted derivatives make them useful components, acting as host materials for the phosphorescent triplet emitters in electrophosphorescent OLED technologies [17].
The 9H-carbazole core as electron donor (D) can be easily substituted at the 9,2,7(3,6)-positions by using different aromatic fragments. Donor–acceptor (D-A) derivatives (9-arylcarbazoles), asymmetric 9,2(3)-diarylcarbazoles as well as symmetric 2,7(3,6)-diarylcarbazoles could be synthesized by using various arylation or amination reactions. D-D fragments containing derivatives are usually used as hole-transporting layer materials or fluorescent emitters [18,19,20]. The D-A and A-D-A structures that have carbazoles are more suitable as host materials for phosphorescent triplet emitters, thermally activated delayed fluorescence (TADF)-based emitters as well as in other less investigated fields such as exciplex components, intramolecular hosts, dopants, etc. [21]. D-A structure derivatives and asymmetric 9,2(3)-diaryl(diarylamino)carbazoles are rather widely described in earlier review articles [22,23]. In the present review, we analyze and present only symmetric 2,7(3,6)-diaryl(arylamino)-substituted carbazoles, which were developed and described in last decade and were applied as charge-transporting layers, fluorescent and phosphorescent emitters as well as host materials for the OLED devices.
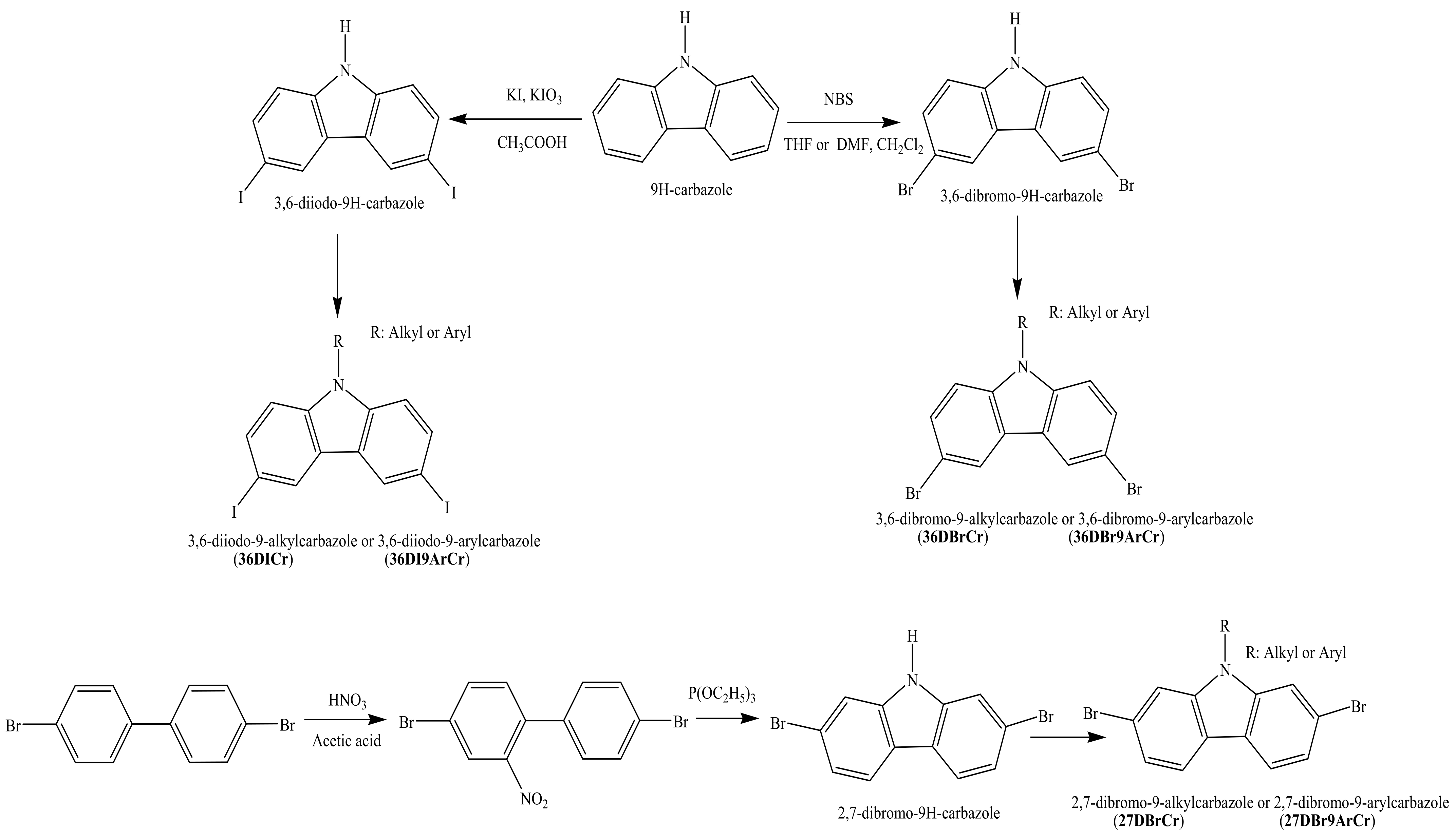
2. Synthesis of 2,7(3,6)-Diiodo(dibromo)carbazoles and 2,7(3,6)-Diaryl(diarylamino)-substituted Objective Carbazoles
Both the 3,6-Diiodo-9H-carbazoles and 3,6(2,7)-dibromo-9H-carbazoles are intermediate materials for the preparation of objective carbazole-based derivatives for OLEDs. Structures of the halogenated derivatives are shown in Scheme 1. The bromination reaction of 9H-carbazole with N-bromosuccinimide (NBC) [24] or its Tucker iodination reaction [25] correspondingly yields 3,6-dibromocarbazole or 3,6-diiodocarbazole. On the other hand, 2,7-dibromocarbazole is obtained by a two-step synthesis, as shown in the Scheme 1 [26]. The starting material 4,4′-dibromo-1,1′-biphenyl is firstly nitrified. The obtained 4,4′-dibromo-2-nitro-1,1′-biphenyl is then reacted with triethylphosphate to get 2,7-dibromo-9H-carbazole. The nitrogen atom of the halogenated carbazoles can be then functionalized by different alkyl or aryl groups in order to obtain the key starting materials: 3,6-diiodo-9-alkylcarbazoles (36DICr), 3,6-diiodo-9-arylcarbazoles (36DI9ArCr), 3,6-dibromo-9-alkylcarbazoles (36DBrCr), 3,6-dibromo-9-arylcarbazoles (36DBr9ArCr), 2,7-dibromo-9-alkylcarbazoles (27DBrCr), and 2,7-dibromo-9-arylcarbazoles (27DBr9ArCr), which are shown in the Scheme 1. The alkylation reactions with bromo or iodo alkanes under basic conditions are rather simple and widely described in the literature [27,28,29]. The di-halogenated 9-arylcarbazoles are prepared by Ullmann or Buchwald–Hartwig reactions [30,31,32].
Scheme 1.
Synthesis of starting compounds: 3,6-diiodo(dibromo)-9-alkyl(aryl)carbazoles and 2,7-dibromo-9-alkyl(aryl)carbazoles.
The key starting di-halogenated compounds 36DICr, 36DI9ArCr, 36DBrCr, 36DBr9ArCr, 27DBrCr, and 27DBr9ArCr can then be used in the following amination or C-C coupling reactions to obtain the target compounds: 2,7-diarylamino-9-alkyl(aryl)carbazoles (27DNCr and 27DNArCr), 3,6-diarylamino-9-alkyl(aryl)carbazoles (36DNCr and 36DNArCr), 2,7-diaryl-9-alkyl(aryl)carbazoles (27DCr and 27DArCr), or 3,6-diaryl-9-alkyl(aryl)carbazoles (36DCr and 36DArCr) (Scheme 2). Most of the objective carbazole-based derivatives, which are used later as electroactive components for the production of OLED devices, are obtained from the di-halogenated carbazoles by the Ullmann, Suzuki, Stille, or Buchwald–Hartwig reactions.
Scheme 2.
Synthetic pathway of the 2,7(3,6)-diaryl(arylamino)-substituted objective 9-alkyl(aryl)carbazoles.
The Ullmann reaction is a coupling reaction between aryl halides and aromatic amines or aromatic heterocyclic compounds in the presence of copper-based catalysts. The mechanism of the Ullmann reaction was extensively studied for many years. Complications arise because the reactions are often heterogeneous, especially those catalyzed with metallic copper. [33,34]. Suzuki cross-coupling procedures, developed by Nobel laureate Akira Suzuki, are among the most widely investigated reactions in the formation of carbon–carbon bonds in aromatic compounds. These reactions were generally catalyzed by inorganic catalysts, such as soluble palladium (Pd) complexes having various ligands, and more recently, also in aqueous media [35,36]. The Buchwald–Hartwig amination procedure is a chemical reaction used in organic chemistry for the formation of carbon–nitrogen bonds via palladium-catalyzed coupling reactions of aromatic amines with aryl halides [37]. Other reactions as the Stille coupling [38,39], Diels Alder [40,41,42], and Friedel–Craft [43] have also been used to obtain the target carbazole compounds, but in rarer cases. In the general case, diarylamino carbazoles (27DNCr, 27DNArCr, 36DNCr, and 36DNArCr) are usually obtained by Ullmann or Buchwald–Hartwig reactions. On the other hand, diaryl carbazoles (27DCr, 27DArCr, 36DCr, and 36DArCr) are usually prepared by Suzuki or Stille reactions, as presented in Scheme 2.
3. Diaryl(diarylamino)-substituted Carbazoles as Charge-Transporting Layer Materials for OLEDs
Structures of the diaryl-substituted compounds (Cx), which were used to form the hole-transporting layers (HTLs) in OLED devices, are shown in Scheme 3. The target compounds C1–C14 [44,45,46,47,48] and C17–C26 [49,50,51,52,53,54] were obtained under the conditions of the Suzuki reaction. Compounds C15–C16 were generated by the Diels–Alder reaction between conjugated diene and substituted alkene, forming the substituted cyclohexene fragments [55]. Authors of the research studied properties of the derivatives and used these materials for the formation of HTLs in OLED devices. Thermal properties were examined for compounds C1–C13, C17–C19, C21–C22, and C24–C26. The reported material C22 demonstrated the highest thermal stability in this group, with a very high thermal decomposition temperature (Td) of 575 °C, as well as the highest glass transition temperature (Tg) of 260 °C. The values of ionization potentials (Ip) for compounds C9–C11, C17–C20, and C23 were 5.65 eV, 5.55 eV, 5.8 eV, 5.38 eV, 5.42 eV, 5.19 eV, and 5.50 eV, respectively, and confirmed suitable hole-injecting properties for thin layers of many of the materials. HOMO and LUMO levels of the materials C1–C8, C13–C17, C19–C22, and C24–C26 are different and depend on the nature of the substituents. The HOMO level of the diarylcarbazoles varied between −4.93 and −6.02 eV, and the LUMO level was in a broad range between −0.87 and −2.93 eV due to different electron-withdrawing or donating substituents at the carbazole core.
Scheme 3.
Structures of 3,6-diarylcarbazoles used for hole-transporting films in OLEDs.
Positive charge drift mobility (µh) in the thin layers of the derivatives C12, C17–C19, C21–C22, and C25–C26 were reported. The compounds demonstrated rather high hole-drift mobility in their amorphous films ranging from 5 × 10−5 cm2·V−1·s−1 to 1.5 × 10−4 cm2·V−1·s−1 at high electrical fields. The charge-injecting/transporting properties of these materials confirmed that they are suitable hole-transporting layer materials in OLEDs.
Agarwal fabricated the single-layer spin-coated OLEDs, in which the derivatives C1-C8 were sandwiched between indium tin oxide (ITO) or ITO/PEDOT:PSS {poly(3,4-ethylene-dioxythiophene): poly(styrenesulfonate)} as the anode and a calcium (Ca) cathode, which was protected by a thick layer of Al. Multilayer OLEDs with the materials C1–C8 were also fabricated. The structure of the devices was ITO/F4TCNQ (2,3,5,6-tetrafluoro-7,7′,8,8′-tetracyano-p-quinodimethane)/TPD (N,N′-(bis(3-methylphenyl)-1,1′-biphenyl-4,4’-diamine))/CBP (N,N′-dicarbazolyl-4,4′-biphenyl)/C3 or C4/BCP (4,7-diphenyl-1,10-phenanthroline)/LiF/Al. Brightness as high as 900–1000 cd/m2 was achieved in the multilayer OLED devices using the HTLs of C3 or C4. Green electro-phosphorescent devices ITO/PEDOT:PSS/C9 or C11/CBP/Ir(ppy)3 (tris(2-phenylpyrydine(iridium(III))/TPBi (2,2′,2″-(1,3,5-benzinetriyl)-tris(1-phenyl-1-H-benzimidazole))/LiF/Al were also presented. The device with C11 demonstrated the best results, with a turn-on voltage of 5 V, a maximum brightness of 9800 cd/m2, and a maximum current efficiency of 22.5 cd/A. C12 was tested as an electron-confining HTL for phosphorescent OLEDs with a red, green, or blue emitting layer. The power efficiency of the studied red device was increased from 8.5 to 13.5 lm/W, an increment of 59%, and the maximum luminance was enhanced from 13,000 to 19,000 cd/m2, an increment of 46%, as compared with an analogous device using commercial HTL material. For the blue device using C12, the power efficiency was increased from 6.9 to 8.9 lm/W, an increment of 29%, and the maximum brightness was enhanced from 9000 to 11,000 cd m−2, an increment of 22%. C13 as an HTL was investigated by Kochapradist et al. Tris(8-hydroxyquinolinato)aluminum (Alq3) emitter-based green OLEDs, with the structure of ITO/PEDOT:PSS/C13/Alq3/LiF:Al, were fabricated. The material C13 showed excellent hole-transporting properties for the green device—a luminance (current) efficiency exceeding 5 cd/A was achieved. Lee and co-workers studied the hole-transporting properties of C14 and formed the device with ITO /CuPc (copper(II)phthalocyanine)/C14/Alq3/LiF/Al. For an objective comparison of electroluminescent properties, a reference device was fabricated and NPB was used as the HTL material. The device with the compound C14 showed a high power efficiency of 1.67 lm/W and a current efficiency of 6.12 cd/A, which were higher as compared with the NPB-based device. OLEDs with the structures ITO/2-TNATA (4,4′,4′′-tris{N-(2-naphthyl)-N-phenylamino}-triphenylamine)/C15 or C16/Alq3/LiF/Al were fabricated by Park and co-workers. The devices showed pure performance, with their luminescence efficiency exceeding only 3 cd/A and a power efficiency exceeding 1 lm/W.
In order to identify the charge-transporting properties of C17, multilayer OLED devices were fabricated by Kim et al. The green device ITO/CuPc/C17/Alq3/LiF /Al showed a current efficiency of 5.16 cd/A and a power efficiency of 2.35 lm/W. Braveenth and co-authors studied the properties of the compounds C18–C19 as hole-transporting materials. Device configuration was ITO/DNTPD (4,4′-bis[N-[4-{N,N-bis(3-meth ]-N-phenylamino]biphenyl)/C18 or C19 /Bebq2 (bis(10-hydroxybenzo[h]quinolinato)beryllium): Ir(mphmq)2(tmd) (bis[2,4-dimethyl-6-(4-methyl-2-quinolinyl)phenyl](2,2,6,6-tetramethyl-3,5-heptanedionate)/Bebq2/LiF/Al. A C18-based phosphorescent device exhibited higher maximum current efficiency (24.6 cd/A) and higher maximum external quantum efficiency (23.2%) as compared with a C18-based OLED. In the double-layer device, ITO/C20/Alq3/LiF/Al, in which C20 was used as the hole-transporting material, a yellowish-green color arising from the Alq3 was observed. It was only reported that the luminance at the applied voltage of 10 V was about 9600 cd/m2. Devices with the structures of ITO/C21/TPBi/LiF/Al and ITO/NPB/C21/TPBi /LiF/Al were fabricated to evaluate the properties of C21 as a hole-transporting light-emitting layer. A quantum efficiency of 2.21% was obtained for the C21-based device having an additional NPB layer.
Kumar and co-workers investigated the hole-transporting properties of C25 and C26 for fluorescent OLEDs ITO/PEDOT:PSS/NPB/C25 or C26/Alq3/LiF/Al, as well as for phosphorescent devices ITO/PEDOT:PSS/NPB/C25 or C26 /Ir(ppy)3/CBP/TPBi/LiF/Al. At 1000 cd/m2, the fluorescent green device with C26 showed a current efficiency of 4.0 cd/A, which was about 135% higher than that of the typical HTM NPB-based device. Green phosphorescent devices with C25 showed a high current efficiency of 58.4 cd/A (power efficiency 54.8 lm/W and EQE 16.1%), while 45.1 cd/A (power efficiency 40.8 lm/W and EQE 12.5%) was measured in the C26-containing device.
Diarylamino-substituted carbazoles, which were used as HTLs in OLEDs, are shown in Scheme 4. The target compounds C27–C42 were all obtained by Ullmann amination reactions [56,57,58,59,60,61,62]. C30–C42 demonstrated sufficient and high thermal stability, with the thermal degradation temperatures (Td) ranging from 263 °C to 490 °C. The derivatives C30–C42 are also suitable for glass formation, having a Tg in the range of 42–217 °C. The Ip of the compounds C30–C31 and C37–C42 were reported and demonstrated the values of 5.80 eV, 5.81 eV, 5.50 eV, 5.24 eV, 5.43 eV, 5.67 eV, 5.28 eV, and 5.34 eV, respectively. HOMO and LUMO energy levels were reported for the materials C27–C30. The values of HOMO/LUMO for the derivatives C27–C30 were −4.92/−1.91 eV, −4.92/−2.24 eV, −4.92/−2.33 eV, and −4.83/−1.87 eV, respectively.
Scheme 4.
Structures of diarylamino-substituted carbazoles used for HTL formation.
The charge-transporting properties of the derivatives C27–C28 and C31–C42 were studied with the time-of-flight technique. The µh values ranged from 1.2 × 10−8 to 2 × 10−3 cm2·V−1·s−1 at high electric fields. The µh in the films of C32 and C40 dispersed in bisphenol Z polycarbonate (PC-Z) reached 10−3 cm2·V−1·s−1 at high electrical fields. The charge injection/transport characteristics of some from the derivatives C27–C28 and C31–C42 showed that they are suitable as hole-transporting layers for OLED devices.
Shen and co-authors investigated two types of devices. The structure of device I was ITO/C27–C30/TPBi/Mg:Ag, and that of device II was ITO/C27–C30/(Alq3)/Mg:Ag. In type I, the derivatives functioned as both hole-transporting and emitting materials. In the type II devices, light was emitted from either the disubstituted carbazole layers or from Alq3. Device II with C30 reached a maximum external quantum efficiency of 1.3%.
4. Diaryl(arylamino)-substituted Carbazoles as Host Materials for PhOLEDs
The structures of the diaryl-substituted carbazoles, which were used as host materials for PhOLED devices, are shown in Scheme 5. The compounds 36DICr, 36DBrCr, and 36DBr9ArCr were firstly obtained for their synthesis as key starting materials, as shown in Scheme 1. The objective compounds H1–H4 [63,64,65], H6–H7 [66], H10 [67], and H12–H14 [68,69] were obtained during the Suzuki reaction. The diphosphine oxide-based material H5 was obtained by the oxidation of the corresponding diphosphine, which was prepared by a lithium–halogen exchange reaction between the di-brominated aromatic bridge and n-butyl lithium, followed by a reaction with chlorodiphenylphosphine [70]. Compound H8 was obtained when 9-phenyl-9-carbazole-3,6-dicarboxylic acid reacted with SOCl2, and then the resulting compound was treated with trimethylamine and 2-aminodiphenylamine. Derivative H9 resulted from the reaction of 9-phenyl-3,6-di(2H-tetrazol-5-yl)-9H-carbazole with the o-xylene solution containing benzoyl chloride [71]. H11 was synthesized by the coupling reaction of chlorodiphenylphosphine with 3,6-dibromo-N-phenylcarbazole [72]. The reaction of 9-(4-tert-butylphenyl)carbazole with triphenylmethanol in the presence of Eaton’s reagent yielded the objective derivative H15 [73].
Scheme 5.
Chemical structures of diarylcarbazoles used as host materials for PhOLEDs.
The destruction temperatures (Td) of the compounds H1–H4, H6–H10, and H12–H15 were reported. The compound H7 demonstrated a rather low thermal destruction temperature of 186 °C, while the temperatures of the other compounds reached 300 °C. All the compounds H1–H15 were obtained as amorphous substances and could form amorphous glasses with Tg values ranging from 30 °C to 269 °C. The HOMO and LUMO energy levels of H1–H15 were reported. The HOMO/LUMO energies of the derivatives H1–H15 were different and depended on substituents at the 3,6 positions of the carbazole core. The HOMO level was between −5.21 and −6.48 eV, and the LUMO level varied between −1.90 and −2.83 eV. The values of µh in the thin films of the prepared materials H3 and H15 were investigated. The amorphous layers of these materials showed very similar results, and the charge drift mobility reached 5 × 10−4 cm2·V−1·s−1 at high electrical fields.
Kim et al. investigated the phosphorescent devices ITO/NPD/H1 or H2: Ir(ppy)3/Alq3/LiF/Al. A maximum brightness of 4165 cd/m2, low current efficiency of 1.58 cd/A, and also a low external quantum efficiency of 0.59% were achieved in the group of the most efficient device with the host H1 [74]. The PhOLEDs ITO/PEDOT/H3:Ir(ppy)3/TPBi/LiF/Al containing the green emitter Ir(ppy)3 in hosts H3 using wet and dry processes as well as dry process, with the incorporation of an additional TAPC hole-transporting layer, were fabricated by Jou and co-workers. The efficiency of the best device was reported as 11.6 lm/W (21 cd/A). The host material H4 was used in a solution processable multilayer device ITO/PEDOT/ H4 Ir(ppy)3/TPBi /LiF/Al. Its maximum photometric efficiency was 35.5 cd/A, and the maximum EQE exceeded 10.6%. Sapochak et al. investigated the blue devices ITO/TCTA/H5: FIrpic/DPDT (2,8-bis(diphenylphosphoryl)dibenzo[b,d]thiophene)/LiF/Al and obtained an EQE of 7% at a voltage of about 7 V [75]. The simple-structured blue PhOLEDs with hosts H6 and H7 and FIrpic dopant correspondingly reached a maximum efficiency of 43.9 cd/A and 46.1 cd/A. Sky blue PhOLEDs were fabricated using either FIrpic or (DFPPM)2Irpic as phosphorescent emitters co-evaporated with the hosts H8 or H9 in the devices. The host material H9 gave excellent OLED characteristics, with an EQE of 17.7% for green and 20.6% for the red device. Jiang et al. investigated the host H10 and reported that the device with FIrpic as a dopant reached a maximum current efficiency of 7.1 cd/A. Ahn and co-workers formed the device ITO/HATCN (1,4,5,8,9,11-hexaazatriphenylenehexacarbonitrile)/TAPC/(3,5-di(carbazol-9-yl)-N,N-diphenylaniline) DCDPA/H11:TSPO1 (diphenyl-4-triphenylsilylphenyl-phosphine oxide)/TPBi/LiF/Al and found that the multilayer PhOLED shows a very high external quantum efficiency of 27.8% [76]. A green PhOLED with the structure ITO/2-TNATA/NPB/H12/TPBi/LiF/Al was fabricated by Song et al. The device showed that its maximum luminescence efficiency could exceed 29 cd/A and its EQE could reach 8.68%. The double-layer solution-processed blue PhOLEDs ITO/PEDOT:PSS/PVK/H13 or H14: FIrpic/Ba/Al were fabricated. The best results yielded a device with an H14 host-maximal current efficiency of 4.16 cd/A. Tsai et al. created the device ITO/PEDT:PSS/DPAS (2,2′-bis(N,N-diphenylamine)-9,9′-spirobifluorene)/TCTA/H15:FIrpic/TAZ (3-(4-biphenylyl)-4-phenyl-5-(4-tert-butylphenyl)-1,2,4-triazole) /LiF /Al. The efficiency of the H15-based device reached 7% at 100 cd/m2.
The structures of the diarylamino-substituted carbazoles, which were used as host materials for PhOLED devices, are shown in Scheme 6. The objective compounds H16–H17 [77,78], H22–H23 [79], and H24 [80] were obtained by Ullmann reaction. The compounds H18–H21 [81] and H25 [57] were prepared by the Buchwald–Hartwig amination procedure. TGA confirmed that the compounds are highly and thermally stable. The Td values of the derivatives H16–H23 were 419 °C, 384 °C, 364 °C, 389 °C , 399 °C, 417 °C, 335 °C, and 404 °C, respectively. The Tg values of the materials H16–H23 ranged from 81 °C to 210 °C. Ip was reported for some of the derivatives. For example, the phenothiazine-substituted compound H16 had a lower Ip of 5.25 eV as compared with the carbazole-based compound H17 (5.57 eV). The described HOMO and LUMO energies of the compounds H17 and H19–H25 had different values and depended considerably on arylamino fragments. The energy levels of these derivatives ranged from −4.86 to −5.62 eV for HOMO and from −1.78 to −2.74 eV for LUMO.
Scheme 6.
Structures of diarylamino-substituted carbazoles used as host materials.
Bagdziunas et al. fabricated three PhOLEDs in which H16 was used as host material. The structures of the devices were ITO/H16:Ir(ppy)3/Bphen (4,7-diphenyl-1,10-phenanthroline)/Ca:Al or ITO/m-MTDATA/H16 :Ir(ppy)3/Bphen/Ca:Al or ITO/m-MTDATA/H16 :Ir(piq)2(acac)/Bphen/Ca:Al. The maximum power and EQE up to 47.5/29.6 lm/W and 20.0/10.5% for green or red PhOLED devices, respectively, were reported in the most effective device. The structure ITO/PEDOT: PSS/H17: Ir(Fppy)3/LiF/Al was fabricated by Pudzs et al. [82]; however, the un-optimized OLED reached very low efficiencies of only 0.07 lm/W and 0.45 cd/A. The reported optimized phosphorescent device with the host H20 material ITO/PEDOT:PSS/TAPC/ H20 :FIrpic/TmPyPB/LiF/Al [83] had a maximum current efficiency of 36 cd/A at 200 cd/m2. A device stack with the carbazole-based host H22 doped with an orange phosphor tris(2-phenylquinoline)iridium(III) [Ir(2-phq)3] demonstrated improved efficiency (7.4% and 16 lm/W). Most importantly, the superior stability of the device using H22 enabled a lifetime well above 10,000 h at a practical luminance of 1000 cd/m2 [84]. PhOLED devices ITO/PEDOT/PSS/TAPC/H24 or H25: Ir(ppy)3 /BmPyPb/LiF/Al were fabricated by Park and Lee. The green device with H24 showed the best performance, with a maximal EQE of 21.3%.
5. Diaryl(arylamino)-substituted Carbazoles as Fluorescent Emitters of OLEDs
Structures of the 2,7-diaryl- or 3,6-diaryl-substituted carbazoles, which were used as emitters (E) in the fluorescent OLED devices, are shown in Scheme 7. All the target diaryl-substituted compounds E1–E13 [85,86,87,88,89,90,91,92,93] and E15–E20 [94,95,96,97], except for E14, were obtained during the Suzuki reaction of the di-halogenated carbazoles with the corresponding boronic acids or their esters. The objective material E14 was synthesized by fusing triphenyl-ethylene and one dimesitylboron group moiety into a system, with one attached to the carbazole fragment [98].
Scheme 7.
Structures of 2,7(3,6)-diarylcarbazole-based emitters.
The thermal properties of some of the emitters were investigated [99]. It was described that the compounds E1–E7, E9–E10, E14, and E17–E18 exhibited rather high thermal stability, with a Td value ranging from 283 to 603 °C. Meanwhile, the Td values of the compounds E15 and E16 were lower and reached 219 °C and 188 °C, respectively. It was mentioned that the combination of fragments of carbazole with various conjugated aromatic fragments is favorable for the formation of homogeneous thin films with high Tg temperature values. The Tg of E1, E3–E6, E9–E10, E14, E17, and E18 were 105, 138, 65, 138, 77, 70, 211, 88, 170, and 172 °C, respectively. The values of Ip for the derivatives E1–E2 and E19–E20 were 5.70 eV, 5.56 eV, 5.17 eV, and 5.30 eV, respectively. It was evident that the attached fragments at the 2,7- and 3,6-positions of the carbazole core provided an effective tool for the HOMO and LUMO of the compounds. The HOMO and LUMO of E2–E7 and E9–E20 ranged from −4.43 to −5.66 and from −2.61 to −3.01 eV, respectively. Hole drift mobilities in the amorphous layer of the compounds E17–E18 were reported, and the values varied from 1 × 10−5 to 3 × 10−8 cm2·V−1·s−1 at a high electric field.
The device ITO/PEDOT:PSS/CBP: E2/TPBi/LiF/Al was fabricated by Konidena and co-workers. This OLED reached a power efficiency of only 0.5 lm/W and a current efficiency of 1.1 cd/A. The same structure device just using the emitter E5 reached a power efficiency of 3.9 lm/W and a current efficiency of 4.9 cd/A, while the same device with E7 reached a power efficiency of 4.12 lm/W and a current efficiency of 9.52 cd/A. Dang and co-workers experimented with the device ITO/HATCN (dipyrazino[2,3-f:2′,3′-h]quinoxaline-2,3,6,7,10,11hexacarbonitrile)/NPB/TCTA/E3 or E4/TPBi/LiF/Al. The material E4, with a much balanced molecular conjugation and a twisted molecular conformation, exhibited much better performance in non-doped OLEDs with maximum photometric efficiency, power efficiency, and EQE values of 7.38 cd/A, 6.81 lm/W, and 3.0%, respectively. The simple-structured ITO/E8/TPBi/Mg:Al demonstrated a power efficiency of 2.55 lm/W and a current efficiency of 4.75 cd/A. OLEDs with the structure ITO/PEDOT:PSS/E9 or E10/NPB/CPB/LiF/Al were characterized by a power efficiency of 1.68 or 2.67 lm/W and a current efficiency of 3.55 or 5.89 cd/A, respectively. Feng et al. studied the properties of the device ITO/MoO3/TAPC/TCTA/E11/TPBi/LiF/Al. The designed emitter showed a bright violet light at a wavelength of 400 nm, with a current efficiency of 0.65 cd/A and an EQE of about 2%. To examine the electroluminescent properties of the emitters E12 and E13, researchers fabricated a device by solution processing with the following configuration: ITO/PEDOT:PSS/ NPB/E12 or E13/BCP/Alq3/LiF/Al. The white light emission from the device was stable in the range from 5 V up to 20 V. The maximal luminance values were found to be 20 cd/m2 and 110 cd/m2, respectively, for the E12 and E13-based devices. Multilayer, non-doped OLEDs, with a configuration of ITO/HATCN/ NPB/E14, E15 or E16/TPBi/LiF/Al, were fabricated. They exhibited good performance with low turn-on voltages of 4.2 V, 6.2 V, and 6.0 V, high maximal luminance values of 13,930 cd/m2, 21,054 cd/m2, and 4376 cd/m2, and maximum current efficiency values of 4.74 cd/A, 3.34 cd/A, and 2.34 cd/A, respectively. A three-layer PhOLED ITO/PEDOT:PSS/E17:(pbi)2Ir(acac)/TPBi/LiF/Al was fabricated by Hung and co-authors. The maximum value for energetic efficiency of 62 lm/W and 62 cd/A for current efficiency were achieved from the system at a brightness of 120 cd/m2. The structure PEDOT:PSS/TCTA/E18 Ir(ppy)3:PQ2Ir(acac)/TPBI/CsF/Al was also fabricated. Hybrid white emitting devices with E18 showed the peak external quantum efficiency exceeding 10% and a power efficiency of 14.8 lm/W, at a luminance of 500 cd/m2. Skorka et al. investigated two devices: ITO/PEDOT:PSS/PVK: PBD: E19/Ca/Ag and ITO/PEDOT:PSS/PVK: PBD E19/LiF/Al. The current efficiency measured at ca. 9 V was about 0.55 cd/A for the device with the Ca/Ag cathode, and about 0.70 cd/A for that with the LiF/Al cathode.
The 2,7-di(arylamino)- or 3,6-di(arylamino) carbazoles, which were used as fluorescent emitters (Ex) in the OLED devices, are shown in Scheme 8. The compounds 27DBrCr, 36DBr9ArCr, or 36DI9ArCr were firstly obtained as starting materials for the synthesis, as shown in Scheme 1. The target compounds E21 [100,101] and E23 [102] were obtained during the Buchwald–Hartwig amination reaction, and the materials E22 [79], E24 [103], and E25 [104] were obtained during the Ullmann reaction of the starting derivatives.
Scheme 8.
Structure of diarylamino-substituted carbazoles as fluorescent emitters for OLED devices.
It was reported that the compounds E21–E25 have high thermal stability, with temperatures of decomposition at 436, 440, 387, 285, and 413 °C, respectively. The derivatives E21, E24, and E25 are also suitable for glass formation, with Tg values at 88, 110, and 119 °C. HOMO and LUMO energy levels were described for all the molecules of E21–E25. The HOMO/LUMO values of the molecules were −5.49/−2.13 eV, −5.29/−1.89 eV, −5.25/−2.21 eV, −5.57/−3.26 eV, and −4.94/−2.13 eV, respectively. The electric field dependencies on positive charge drift mobility were characterized in the layers of the material E21. The derivative E21 containing two carbazolyl fragments connected to a central carbazole core demonstrated the hole mobility of 2 × 10−3 cm2·V−1·s−1 at a high electric field.
Luka et al. investigated the properties of a UV OLED structure containing an indium-free transparent anode (ZnMgO:Al) and 2,7-di(9-carbazolyl)-9-(2-ethylhexyl)carbazole E21 as a light-emitting layer. The obtained device was characterized by a high turn-on voltage of ca. 9 V. The driving voltage required for the device to operate at a current of 20 mA/cm2 was 10.5 V [105]. Li and co-authors studied the properties of E22 and E23, and suggested that the new compounds have potential applications as blue light emitters in the field of OLEDs. With the emitter E24, the device ITO/HAT-CN/NPB/TAPC/PPT:E24/PPT/TPBi/LiF/Al was described. The OLED displayed excellent device performance, with a power current efficiency of 15.26 cd/A, a power efficiency of 8.14 lm/W, a maximum external quantum efficiency of 13.33%, and a maximal brightness of 1526 cd/m2. A single-layer OLED with the structure ITO/CuI/E25/Ca:Al and the bilayer device ITO/CuI/E25/Bphen/Ca:Al were investigated by Deksnys and co-authors. The bilayer structure had a high photometric efficiency of 10.5 cd/A, a maximum luminance of 27,000 cd/m2 (at 15 V), and an EQE of ca. 3.3%.
6. Diary(arylamino)-substituted Carbazoles as TADF Emitters for OLEDs
It should be mentioned that only 3,6-diaryl-substituted carbazoles are still reported as the TADF compounds suitable for emitting layers (Tx in Scheme 9). The starting materials (36DBrCr and 36DBr9ArCr) for the synthesis of the emitters as objective derivatives were prepared, as shown in Scheme 1. The target compound T1 was obtained during the Suzuki reaction [106]. The compounds T2–T3 were obtained by nucleophilic substitution [107,108]. Other compounds, T4–T5, were obtained during the Buchwald–Hartwig reaction [109].
Scheme 9.
Structure of 3,6-diarylcarbazoles as TADF emitters for OLED devices.
The Td of compounds T1–T3 were very high and reached 178 °C, 242 °C, and 287 °C, respectively. These destruction temperatures were lower than those of compounds T4–T5, where they exceeded 500 °C. The Ip of the studied derivative T2 in solid-state was reported as 5.89 eV. The values of HOMO/LUMO for compounds T1, T4, and T5 were −5.77/−2.40 eV, −5.63/−2.64 eV and −5.62/−2.67 eV. Only the charge transporting properties for layers of compounds T2 were described. They exhibited a bipolar charge transport with balanced hole and electron mobility exceeding 10−4 cm2·V−1·s−1 at higher than 3 × 105 V/cm electric fields.
The literature reported the TADF-based device ITO/HATCN/NPB/ T1/TPBi/LiF/Al, which showed green-bluish light with a 5 V turn-on voltage, a maximum luminance of 8264 cd/m2, and a maximum photometric efficiency of 3.96 cd/A. While the blue device ITO/MoO3/TCTA/mCP/T2/TSPO1/TPBi/Ca/Al demonstrated a turn-on voltage of 4.4 V, a maximum brightness of 3100 cd/m2, and a photometric efficiency of 5.4 cd/A. Multilayer blue TADF OLEDs with a configuration of ITO/HATCN/TAPC/DCDPA/DBFPO:T4 or T5/DBFPO /TPBi/LiF/Al were fabricated by Karthik et al. These blue devices showed maximal EQE/photometric efficiency/luminance values of 30.7%/46.7cd/A/18,160 cd/m2, and 29.1%/36.4 cd/A/11,690 cd/m2 for the T4 and T5-based emitters, respectively.
The 3,6-Di(arylamino)carbazoles, which were used as the TADF emitters for OLEDs, are shown in Scheme 10. The target compounds T6–T12 were obtained during the Ullmann amination reaction of the corresponding diiodo or dibromo derivatives shown in Scheme 1 [110,111,112]. The compounds T13–T14 were synthesized during the Buchwald–Hartwig reactions of the starting materials [113].
Scheme 10.
Structures of 3,6-di(arylamino)-substituted carbazoles as TADF emitters for OLED devices.
Thermal stability was presented for the conjugates T6–T9 and T11–T14. These derivatives have rather high stability, with Td values from 291 °C to 530 °C. The highest Td value, which exceeded 530 °C, was mentioned for derivative T12. DSC measurements showed that the conjugates T11–T14 formed amorphous films, with the Tg ranging from 86 °C to 155 °C. The derivatives T13–T14 containing carbazolyl or diphenylamino fragments had the highest Tg values, reaching 155 °C. The HOMO and LUMO energies of T11–T14 were presented to be −5.60/−2.63 eV, −5.53/−2.58, −5.06/−2.31 eV, and −5.17/−2.24 eV, respectively.
In order to evaluate the potential of the mentioned TADF emitters for OLEDs, authors fabricated devices by using the synthesized TADF materials. Compounds T6–T9 were tested in TADF-based devices of the following structures: ITO/MoO3/one of T6–T9/TCz1:FIrpic/TSPO1/TPBi/Ca:Al. The most promising OLED reached a current efficiency of 46.3 cd/A, a power efficiency of 33.2 lm/W, a maximum external quantum efficiency of 20.5%, and a brightness exceeding 3300 cd/m2. Devices with T11–T12 were fabricated by using the following configuration: ITO/NPB/TAPC/mCBP/T11 or T12/PPT/TmPyPb/LiF/Al. The OLEDs using T11 and T12 showed very different maximum EQEs of 9.4 and 23.9%, respectively. Meanwhile, current efficiencies and power efficiencies of the devices were 16.3 and 56.5 cd/A with T11, and 14.6 and 50.6 lm/W with T12, respectively. In order to study the light-emitting performance of compounds T13–T14, several devices were designed and fabricated by Zhao et al. with the TADF emitters. Device A was ITO/TAPC:T14/TmPyP/LiF/Al and device B was ITO/TAPC:T13/TmPyPB/LiF/Al; both were fabricated using different concentrations of doping ranging from 3 to 30 wt % of the emitters. The OLED B with 15 wt % of the dopant T13 displayed excellent device performance, with a current efficiency of 72.1 cd/A, a power efficiency of 61.5 lm/W, a maximum external quantum efficiency of 22.5%, and a brightness exceeding 42,700 cd/m2.
7. Concluding Remarks
Recent developments on 2,7(3,6)-diaryl(arylamino)-substituted carbazole-based electroactive derivatives are presented here with a short description of their preparation, physical properties, and the characteristics of organic light emitting diodes using the materials. The reviewed derivatives had different functions in the OLED devices, including hole transport in the thin layers of the materials, electroluminescence or thermally activated delayed fluorescence in emitting layers as well as host functions for phosphorescent dopants. Some of the derivatives function very effectively as positive charge-transporting layer compounds, enhancing quantum efficiencies, lowering driving voltages, and increasing the life time of the OLEDs. Positive charge drift mobility in the thin films of the most effective derivatives can exceed 2 × 10−3 cm2·V−1·s−1 at high electrical fields.
Among various carbazole-based host derivatives, the diaryl-substituted conjugates are very effective as hosts for the blue (EQE > 27%), green (EQE > 210%), and red (EQE > 20%) phosphorescent organic light emitting diodes. As derivatives for the light emitting layer, the diaryl(arylamino)-substituted carbazoles cover the broad range of emitted lights, from the color blue to green, through the substitution and introduction of different aromatic fragments into the carbazole core at the 2,7(3,6) positions. For example, by using the thermally activated delayed fluorescence (TADF) function of the carbazole-based emitters, blue devices showed a maximum EQE efficiency that exceeded 30%.
Therefore, the low molar mass 2,7(3,6)-diaryl(arylamino)-substituted carbazoles are promising as charge-transporting layer derivatives, emitters, and hosts for various configurations of OLED devices, and further research in the field of new carbazole-based electroactive materials is actively ongoing to improve the characteristics of future OLED devices.
Author Contributions
Writing—review and editing, G.K.; writing—review and editing, S.G. All authors have read and agreed to the published version of the manuscript.
Funding
This research was funded by Kaunas University of Technology, Vytautas Magnus University and Lithuanian Academy of Sciences.
Conflicts of Interest
The authors declare no conflict of interest.
Abbreviations
| NBC | N-bromosuccinimide |
| 36DICr | 3,6-diiodo-9-alkylcarbazoles |
| 36DI9ArCr | 3,6-diiodo-9-arylcarbazoles |
| 36DBrCr | 3,6-dibromo-9-alkylcarbazoles |
| 36DBr9ArCr | 3,6-dibromo-9-arylcarbazoles |
| 27DBrCr | 2,7-dibromo-9-alkylcarbazoles |
| 27DBr9ArCr | 2,7-dibromo-9-arylcarbazoles |
| 27DNCr | 2,7-diarylamino-9-alkylcarbazoles |
| 27DNArCr | 2,7-diarylamino-9-arylcarbazoles |
| 36DNCr | 3,6-diarylamino-9-alkylarylcarbazoles |
| 36DNArCr | 3,6-diarylamino-9-arylcarbazoles |
| 27DCr | 2,7-diaryl-9-alkylcarbazoles |
| 27DArCr | 2,7-diaryl-9-arylcarbazoles |
| 36DCr | 3,6-diaryl-9-alkylcarbazoles |
| 36DArCr | 3,6-diaryl-9-arylcarbazoles |
| Cx | charge transporting compound |
| HTL | hole transporting layer |
| Td | thermal decomposition temperature |
| Tg | glass transition temperature |
| Ip | ionization potential |
| HOMO | the highest occupied molecular orbital |
| LUMO | the lowest unoccupied molecular orbital |
| µh | hole drift mobility |
| ITO | indium tin oxide |
| PEDOT:PSS | poly(3,4-ethylene-dioxythiophene): poly(styrene-sulfonate) |
| F4TCNQ | 2,3,5,6-tetrafluoro-7,7′,8,8′-tetracyano-p-quinodimethane |
| TPD | N,N′-bis(3-methylphenyl)-1,1′-biphenyl-4,4′-diamine |
| CBP | N,N′-dicarbazolyl-4,4′-biphenyl |
| BCP | 4,7-diphenyl-1,10-phenanthroline |
| Ir(ppy)3 | tris(2-phenylpyrydine(iridium(III) |
| TPBi | 2,2′,2″-(1,3,5-benzinetriyl)-tris(1-phenyl-1-H-benzimidazole) |
| Alq3 | tris(8-hydroxyquinolinato)aluminum |
| CuPc | copper(II)phthalocyanine |
| 2-TNATA | 4,4′,4’′-tris{N-(2-naphthyl)-N-phenylamino}-triphenylamine |
| DNTPD | 4,4′-bis[N-[4-{N,N-bis(3-methylphenyl)amino}phenyl]-N-phenylamino]biphenyl |
| Bebq2 | bis(10-hydroxybenzo[h]quinolinato)beryllium) |
| Ir(mphmq)2(tmd) | bis[2,4-dimethyl-6-(4-methyl-2-quinolinyl)phenyl](2,2,6,6-tetramethyl-3,5-heptanedionate |
| PC-Z | bisphenol Z polycarbonate |
| HATCN | 1,4,5,8,9,11-hexaazatriphenylenehexacarbonitrile |
| DCDPA | 3,5-di(carbazol-9-yl)-N,N-diphenylaniline |
| TSPO1 | diphenyl-4-triphenylsilylphenyl-phosphine oxide |
| PhOLED | Phosphorescent organic light-emitting diodes |
| TAZ | 3-(4-biphenylyl)-4-phenyl-5-(4-tert-butylphenyl)-1,2,4-triazole |
| TGA | thermogravimetric analysis |
| DSC | differential scanning calorimetry |
| Bphen | 4,7-diphenyl-1,10-phenanthroline |
| Ir(2-phq)3 | tris(2-phenylquinoline)iridium(III) |
| HATCN | dipyrazino[2,3-f:2′,3′-h]quinoxaline-2,3,6,7,10,11hexacarbonitrile |
| EQE | external quantum efficiency |
| TADF | thermally activated delayed fluorescence |
References
- Chang, J. Review—Application of Photoluminescent and Electroluminescent Metal-Organic Frameworks in White Light-Emitting Diodes. ECS J. Solid State Sci. Technol. 2021, 8, 086009. [Google Scholar] [CrossRef]
- Chitnis, D.; Kalyani, N.T.; Swart, H.; Dhoble, S. Escalating opportunities in the field of lighting. Renew. Sustain. Energy Rev. 2016, 64, 727–748. [Google Scholar] [CrossRef]
- Xu, Y.; Xu, P.; Hu, D.; Ma, Y. Recent progress in hot exciton materials for organic light-emitting diodes. Chem. Soc. Rev. 2020, 50, 1030–1069. [Google Scholar] [CrossRef] [PubMed]
- Xiao, P.; Huang, J.; Yu, Y.; Liu, B. Recent Developments in Tandem White Organic Light-Emitting Diodes. Molecules 2019, 24, 151. [Google Scholar] [CrossRef] [Green Version]
- Earmme, T. Solution-Processed Efficient Blue Phosphorescent Organic Light-Emitting Diodes (PHOLEDs) Enabled by Hole-Transport Material Incorporated Single Emission Layer. Materials 2021, 14, 554. [Google Scholar] [CrossRef] [PubMed]
- Yamashita, Y.; Fujii, N.; Murkata, C.; Ashizawa, T.; Okabe, M.; Nakano, H. Induction of mammalian DNA topoisomerase I mediated DNA cleavage by anti-tumor indolocarbazole derivatives. Biochemistry 1992, 31, 12069–12075. [Google Scholar] [CrossRef]
- Chakraborty, D.P.; Heiz, W.; Grisebach, H.; Kirby, G.W. (Eds.) Progress in the Chemistry of Organic Natural Products; Springer: Vienna, Austria, 1977; Volume 34, pp. 1–299. [Google Scholar]
- Bashir, M.; Bano, A.; Ijaz, A.S.; Chaudhary, B.A. Recent Developments and Biological Activities of N-Substituted Carbazole Derivatives: A Review. Molecules 2015, 20, 13496–13517. [Google Scholar] [CrossRef] [Green Version]
- Yu, P.; Xiao, Y. Non-Doped Deep-Blue OLEDs Based on Carbazole-π-Imidazole Derivatives. Materials 2021, 14, 2349. [Google Scholar] [CrossRef]
- Huang, C.C.; Xue, M.M.; Wu, F.P.; Yuan, Y.; Liao, L.S.; Fung, M.K. Deep-Blue and Hybrid-White Organic Light Emitting Diodes Based on a Twisting Carbazole-Benzofuro[2,3-b]Pyrazine Fluorescent Emitter. Molecules 2019, 24, 353. [Google Scholar] [CrossRef] [Green Version]
- Dumur, F. Carbazole-based polymers as hosts for solution-processed organic light-emitting diodes: Simplicity, efficacy. Org. Electron. 2015, 25, 345–361. [Google Scholar] [CrossRef]
- Krucaite, G.; Grigalevicius, S. A review on low-molar-mass carbazole- based derivatives for organic light emitting diodes. Synth. Met. 2019, 247, 90–108. [Google Scholar]
- Shahnawaz, K.; Swayamprabha, S.S.; Nagar, M.R.; Yadav, K.R.A.; Gull, S.; Dubey, A.K.; Jou, J.H. Hole-transporting materials for organic light-emitting diodes: An overview. J. Mater. Chem. C 2019, 7, 7144–7158. [Google Scholar] [CrossRef]
- Korshunov, V.M.; Mikhailov, M.S.; Chmovzh, T.N.; Vashchenko, A.A.; Gudim, N.S.; Mikhalchenko, L.V.; Taydakov, I.V.; Rakitin, O.A. Novel D-A-D Fluorescent Dyes Based on 9-(p-Tolyl)-2,3,4,4a,9,9a-hexahydro-1H-carbazole as a Donor Unit for Solution-Processed Organic Light-Emitting-Diodes. Molecules 2021, 26, 2872. [Google Scholar] [CrossRef] [PubMed]
- Li, X.; Li, J.; Liu, D.; Li, D.; Dong, R. A donor design strategy for triazine-carbazole blue thermally activated delayed fluo-rescence materials. New J. Chem. 2020, 44, 9743–9754. [Google Scholar]
- Su, Y.; Lin, H.; Li, W. The Applications of Carbazole and Carbazole-Related Compounds in Blue Emitting Organic Light-Emitting Diodes. Prog. Chem. 2015, 27, 1384–1399. [Google Scholar]
- Jiang, H. Hosts for High-Performance Phosphorescent Organic Light-Emitting Diodes Based on Carbazole Derivatives. Asian J. Org. Chem. 2014, 3, 102–112. [Google Scholar] [CrossRef]
- Vaitkeviciene, V.; Kruzinauskiene, A.; Grigalevicius, S.; Grazulevicius, J.V. Well-defined [3,3′]bicarbazolyl-based electroactive compounds for optoelectronics. Electroactivity 2008, 158, 383–390. [Google Scholar] [CrossRef]
- Griniene, R.; Grazulevicius, J.V.; Tseng, K.Y.; Wang, W.B.; Jou, J.H.; Grigalevicius, S. Aryl substituted 9-(2,2-diphenylvinyl)carbazoles as efficient materials for hole transporting layers of OLEDs. Synth. Met. 2011, 161, 2466–2470. [Google Scholar] [CrossRef]
- Grigalevicius, S.; Ma, L.; Qian, G.; Xie, Z.; Forster, M.; Scherf, U. New Carbazole-Based Copolymers as Amorphous Hole-Transporting Materials for Multilayer Light-Emitting Diodes. Macro-Mol. Chem. Phys. 2007, 208, 349–355. [Google Scholar] [CrossRef]
- Tavgeniene, D.; Krucaite, G.; Baranauskyte, U.; Wu, J.; Su, H.; Huang, C.W.; Chang, C.H.; Grigalevicius, S. Phenanthro[9,10-d]imidazole based new host materials for efficient red phosphorescent OLEDs. Dye. Pigment. 2017, 137, 615–621. [Google Scholar]
- Ledwon, P. Recent advances of donor-acceptor type carbazole-based molecules for light emitting applications. Org. Electron. 2019, 75, 105422–105437. [Google Scholar] [CrossRef]
- Wex, B.; Kaafarani, B.R. Perspective on carbazole-based organic compounds as emitters and hosts in TADF applications. J. Mater. Chem. C 2017, 5, 8622–8653. [Google Scholar] [CrossRef] [Green Version]
- Smith, K.; James, D.M.; Mistry, A.G.; Bye, M.R.; Faulkner, D.J. A new method for bromination of carbazoles, β-carbolines and iminodibenzyls by use of N-bromosuccinimide and silica gel. Tetrahedron 1922, 36, 7479–7488. [Google Scholar] [CrossRef]
- Tucker, S.H. Iodination in the carbazole series. J. Chem. Soc. (Resumed) 1926, 1, 546–553. [Google Scholar] [CrossRef]
- Dierschke, F.; Grimsdale, A.C.; Mullen, K. Efficient Synthesis of 2,7-Dibromocarbazoles as Components for Electroactive Materials. Synthesis 2003, 16, 2470–2472. [Google Scholar] [CrossRef]
- Beginn, C.; Grazulevicius, J.V.; Strohriel, P.; Simmerer, J.; Haarer, D. Synthesis of poly(9-hexyl-3,6-carbazolyleneethynylene) and its model compounds. Macromol. Chem. Phys. 1944, 195, 2353–2370. [Google Scholar] [CrossRef]
- Rodriguez-Parada, J.M.; Percec, K. Interchain electron donor-acceptor complexes: A model to study polymer-polymer misci-bility? Macromolecules 1986, 19, 55–64. [Google Scholar] [CrossRef]
- Dierschke, F.; Grimsdale, A.C.; Muullen, K. A Virosome-Mimotope Approach to Synthetic Vaccine Design and Optimization: Synthesis, Conformation, and Immune Recognition of a Potential Malaria-Vaccine Candidate. Angew. Chem. Int. Ed. 2003, 115, 2470–2473. [Google Scholar]
- Wong, K.T.; Chen, Y.M.; Lin, Y.T.; Su, H.C.; Wu, C.C. Nonconjugated Hybrid of Carbazole and Fluorene: A Novel Host Material for Highly Efficient Green and Red Phosphorescent OLEDs. Org. Lett. 2005, 7, 5361–5364. [Google Scholar] [CrossRef]
- Reddy, M.A.; Thomas, A.; Mallesham, G.; Sridhar, B.; Rao, V.J.; Bhanuprakash, K. Synthesis of novel twisted carbazole–quinoxaline derivatives with 1,3,5-benzene core: Bipolar molecules as hosts for phosphorescent OLEDs. Tetrahedron Lett. 2011, 52, 6942–6947. [Google Scholar] [CrossRef]
- Gauthier, S.; Frechet, J.M.J. Phase-Transfer Catalysis in the Ullmann Synthesis of Substituted Triphenylamines. Synthesis 1987, 1987, 383–385. [Google Scholar] [CrossRef]
- Hassan, J.; Sevignon, M.; Gozzi, C.; Schulz, E.; Lemaire, M. Aryl−Aryl Bond Formation One Century after the Discovery of the Ullmann Reac-tion. Chem. Rev. 2002, 102, 1359–1470. [Google Scholar] [CrossRef] [PubMed]
- Nelson, T.D.; Crouch, R.D. Cu, Ni, and Pd Mediated Homocoupling Reactions in Biaryl Syntheses: The Ullmann Reaction. Org. React. 2004, 63, 265. [Google Scholar]
- Fihri, A.; Bouhrara, M.; Nekoueishahraki, B.; Basset, J.M.; Polshettiwar, V. Nanocatalysts for Suzuki cross-coupling reactions. Chem. Soc. Rev. 2011, 40, 5181–5203. [Google Scholar] [CrossRef]
- Suzuki, A. Recent advances in the cross-coupling reactions of organoboron derivatives with organic electrophiles, 1995–1998. J. Organomet. Chem. 1999, 576, 147–168. [Google Scholar] [CrossRef]
- Forero-Corte, P.A.; Hayd, A.M. The 25th Anniversary of the Buchwald–Hartwig Amination: Development, Applications, and Outlook. Org. Process Res. Dev. 2019, 23, 1478–1483. [Google Scholar] [CrossRef]
- Stille, J.K. The Palladium-Catalyzed Cross-Coupling Reactions of Organotin Reagents with Organic Electrophiles [New Syn-thetic Methods. Wiley Online Libr. 1986, 25, 508–524. [Google Scholar]
- Farina, V.; Krishnamurthy, V.; Scott, W.J. The Stille reactions. J. Scott. Org. React. 1998, 50, 1–565. [Google Scholar]
- Whiting, A.; Windsor, C.M. What makes a neutral imino dieneophile undergo a thermal, non-catalysed, Diels-Alder reac-tion? Tetrahedron 1998, 54, 6035–6050. [Google Scholar] [CrossRef]
- Tasdelen, M. A Diels–Alder “click” reactions: Recent applications in polymer and material science. Polym. Chem. 2011, 2, 2133–2145. [Google Scholar] [CrossRef]
- Nicolaou, K.C.; Snyder, S.A.; Montagnon, T.; Vassilikogiannakis, G. The Diels–Alder Reaction in Total Synthesis. Angew. Chem. Int. Ed. 2002, 41, 1668–1698. [Google Scholar] [CrossRef]
- Groves, J.K. The Friedel–Crafts acylation of alkenes. Chem. Soc. Rev. 1972, 1, 73. [Google Scholar] [CrossRef]
- Agarwal, N.; Nayak, P.K.; Ali, F.; Patankar, M.P.; Narasimhan, K.L.; Periasamy, N. Tuning of HOMO levels of carbazole derivatives: New molecules for blue OLED. Synth. Met. 2011, 161, 466–473. [Google Scholar] [CrossRef]
- Krucaite, G.; Tavgeniene, D.; Grazulevicius, J.V.; Wang, Y.C.; Hsieh, C.Y.; Jou, J.H.; Gasva, G.; Grigalevicius, S. 3,6-Diaryl substituted 9-alkylcarbazoles as hole transporting materials for various organic light emitting devices. Dye. Pigmens 2014, 106, 1–6. [Google Scholar] [CrossRef]
- Jou, J.H.; Li, T.H.; Kumar, S.; An, C.C.; Agrawal, A.; Chen, S.Z.; Fang, P.H.; Kručaitė, G.; Grigalevičius, S.; Gražulevičius, J.V.; et al. Enabling high-efficiency organic light-emitting diodes with a cross-linkable electron confin-ing hole transporting materials. Org. Electron. 2015, 24, 254–262. [Google Scholar] [CrossRef]
- Kochapradist, P.; Prachumrak, N.; Tarsang, R.; Keawin, T.; Jungsuttiwong, S.; Sudyoadsuk, T.; Promarak, V. Multi-triphenylamine-substituted carbazoles: Synthesis, characterization, properties, and applications as hole-transporting materials. Tetrahedron Lett. 2013, 54, 3683–3687. [Google Scholar] [CrossRef]
- Lee, Y.M.; Kim, S.K.; Lee, C.J.; Lee, J.H.; Park, J.W. Synthesis and Hole-Transporting Properties of Ethyl-Carbazyl Derivatives. Mol. Cryst. Liq. Cryst. 2009, 499, 100–111. [Google Scholar] [CrossRef]
- Reig, M.; Gozalvez, C.; Bujaldon, R.; Bagdziunas, G.; Ivaniuk, K.; Kostiv, N.; Volyniuk, D.; Grazulevicius, J.V.; Velasco, D. Easy accessible blue luminescent carbazole-based materials for organic light-emitting diodes. Dye. Pigmens 2017, 137, 24–35. [Google Scholar] [CrossRef]
- Kim, S.K.; Lee, Y.M.; Lee, C.J.; Lee, J.H.; Oh, S.Y.; Park, J.W. Synthesis and Hole-Transporting Properties of Phenyl-Carbazyl Deriva-tives. Mol. Cryst. Liq. Cryst. 2008, 491, 133–144. [Google Scholar] [CrossRef]
- Braveenth, R.; Bae, H.W.; Ko, I.J.; Qiong, W.; Nguyen, Q.P.B.; Jayashantha, P.G.S.; Kwon, J.H.; Chai, K.Y. Thermally stable efficient hole transporting materials based on carbazole and tri-phenylamine core for red phosphorescent OLEDs. Org. Electron. 2017, 51, 463–470. [Google Scholar] [CrossRef]
- Kim, K.S.; Jeong, S.; Kim, C.; Kwon, Y.; Choi, B.D.; Han, Y.S. Synthesis and electro-optical properties of carbazole derivatives with high band gap energy. Thin Solid Film. 2009, 518, 284–289. [Google Scholar] [CrossRef]
- Lai, S.L.; Tong, Q.X.; Chan, T.W.; Ng, T.W.; Lo, M.F.; Ko, C.C.; Lee, S.T.; Lee, C.S. Carbazole–pyrene derivatives for undoped organic light-emitting devices. Org. Electron. 2011, 12, 541–546. [Google Scholar] [CrossRef]
- Kumar, S.; An, C.C.; Sahoo, S.; Griniene, R.; Volyniuk, D.; Grazulevicius, J.V.; Grigalevicius, S.; Jou, J.H. Solution-processable naphthalene and phenyl substituted carbazole core based hole transporting materi-als for efficient organic light-emitting diodes. J. Mater. Chem. C 2017, 5, 9854–9864. [Google Scholar] [CrossRef]
- Park, Y.I.; Lee, S.E.; Park, J.W.; Oh, S.Y. New Multi-Phenylated Carbazole Derivatives for OLED through Diels-Alder Reaction. Mol. Cryst. Ans Liq. Cryst. 2007, 470, 223–230. [Google Scholar] [CrossRef]
- Shen, J.Y.; Yang, X.L.; Huang, T.H.; Lin, J.T.; Ke, T.H.; Chen, L.Y.; Wu, C.C.; Yeh, M.C.P. Ambipolar Conductive 2,7-Carbazole Derivatives for Electroluminescent Devices. Adv. Funct. Mater. 2007, 17, 983–995. [Google Scholar] [CrossRef]
- Grigalevicius, S.; Grazulevicius, J.; Gaidelis, V.; Jankauskas, V.; Jankauskas, V. Synthesis and properties of poly(3,9-carbazole) and low-molar-mass glass-forming carbazole compounds. Polymers 2002, 43, 2603–2608. [Google Scholar] [CrossRef]
- Grigalevicius, S.; Getautis, V.; Gražulevicius, J.V.; Gaidelis, V.; Jankauskas, V.; Montrimas, E. Hole-transporting molecular glasses based on carbazole and diphe-nylamine moieties. Mater. Chem. Phys. 2001, 72, 395–400. [Google Scholar] [CrossRef]
- Grigalevicius, S.; Buika, G.; Grazulevicius, J.V.; Gaidelis, V.; Jankauskas, V.; Montrimas, E. 3,6-Di(diphenylamino)-9-alkylcarbazoles: Novel hole-transporting molec-ular glasses. Synth. Met. 2001, 122, 311–314. [Google Scholar] [CrossRef]
- Blazys, G.; Grigalevicius, S.; Grazulevicius, J.V.; Gaidelis, V.; Jankauskas, V.; Kampars, V. Phenothiazinyl-containing aromatic amines as novel amorphous molecu-lar materials for optoelectronics. J. Photochem. Photobiol. A Chem. 2005, 174, 1–6. [Google Scholar] [CrossRef]
- Lengvinaite, S.; Grazulevicius, J.V.; Jankauskas, V.; Grigalevicius, S. Carbazole-based aromatic amines having oxetanyl groups as materials for hole transporting layers. Synth. Met. 2007, 157, 529–533. [Google Scholar] [CrossRef]
- Grigalevicius, S.; Blažys, G.; Ostrauskaitė, J.; Grazulevicius, J.V.; Gaidelis, V.; Jankauskas, V.; Montrimas, E. 3,6-Di(N-diphenylamino)-9-phenylcarbazole and its methyl-substituted de-rivative as novel hole-transporting amorphous molecular materials. Synth. Met. 2002, 128, 127–131. [Google Scholar] [CrossRef]
- Lee, W.; Kang, Y.; Lee, P.H. Synthesis and Characterization of Polyaromatic Compounds Using Tri(naphthyl)indium. J. Org. Chem. 2008, 73, 4326–4329. [Google Scholar] [CrossRef]
- Jou, J.H.; Sahoo, S.; Kumar, S.; Yu, H.H.; Fang, P.H.; Singh, M.; Krucaite, G.; Volyniuk, D.; Grazulevicius, J.V.; Grigalevicius, S. A wet- and dry-process feasible carbazole type host for highly efficient phosphorescent OLEDs. J. Mater. Chem. C 2015, 3, 12297–12307. [Google Scholar] [CrossRef]
- Gong, W.L.; Zhong, F.; Aldred, M.P.; Fu, Q.; Chen, T.; Huang, D.K.; Shen, Y.; Qiao, X.F.; Ma, D.; Zhu, M.Q. Carbazole oligomers revisited: New additions at the carbazole 1- and 8-positions. RSC Adv. 2012, 2, 10821–10828. [Google Scholar] [CrossRef]
- Deng, L.; Li, J.; Wang, G.X.; Wu, L.Z. Simple bipolar host materials incorporating CN group for highly efficient blue electrophosphorescence with slow efficiency roll-off. J. Mater. Chem. C 2013, 1, 8140–8145. [Google Scholar] [CrossRef]
- Jiang, W.; Duan, L.; Qiao, J.; Dong, G.; Zhang, D.; Wang, L.; Qiu, Y. Novel carbazole/pyridine-based host material for solution-processed blue phosphorescent organic light-emitting devices. Dye. Pigment. 2012, 92, 891–896. [Google Scholar] [CrossRef]
- Song, J.E.; Lee, S.E.; Song, Y.R.; Kim, T.W.; Lim, C.W.; Kim, Y.K. Bipolar Host Materials Based on 1,3,5-Triazine Derivative for Green Phosphorescent Organic Light-emitting Diode. Bull. Korean Chem. Soc. 2017, 38, 1003–1009. [Google Scholar] [CrossRef]
- Ye, H.; Zhou, K.; Wu, H.; Chen, K.; Xie, G.; Hu, J.; Yan, G.; Ma, S.; Su, S.J.; Cao, Y. Novel molecular host materials based on carbazole/PO hybrids with wide bandgap via unique linkages for solution-processed blue phosphorescent OLEDs. Opt. Mater. 2016, 60, 244–251. [Google Scholar] [CrossRef]
- Sapochak, L.; Padmaperuma, A.; Vecchi, P.; Cai, X.; Burrows, P. Designing organic pfoshine oxide host materials using het-eroarmatic building blocks:inductive effects on electroluminescence. Light Emit. Mater. Devices XI 2007, 6655, 665506–665517. [Google Scholar]
- Chen, H.F.; Chi, L.C.; Hung, W.Y.; Chen, W.J.; Hwa, T.Y.; Chen, Y.H.; Chou, S.H.; Mondal, E.; Liu, Y.H.; Wong, K.T. Carbazole and benzimidazole/oxadiazole hybrids as bipolar host materials for sky blue, green, and red PhOLEDs. Org. Electron. 2012, 13, 2671–2681. [Google Scholar] [CrossRef]
- Soon, J.O.; Kyoung, S.Y.; Soo, W.J.; Lee, Y.Y. Phenylcarbazole-Based Phosphine Oxide Host Materials for High Efficiency in Deep Blue Phosphorescent Organic Light-Emitting Diodes. Adv. Funct. Mater. 2019, 19, 3644–3649. [Google Scholar]
- Tsai, M.H.; Ke, T.H.; Lin, H.W.; Wu, C.C.; Chiu, S.F.; Fang, F.C.; Liao, Y.L.; Wong, K.T.; Chen, Y.H.; Wu, C.I. Triphenylsilyl- and Trityl-Substituted Carbazole-Based Host Materials for Blue Electrophosphorescence. ASC Appl. Mater. Interfaces 2009, 3, 567–574. [Google Scholar] [CrossRef]
- Kim, D.H.; Hong, C.K.; Lee, P.H.; Kang, Y. New Host Materials Containing Carbazole and Naphthyl Moieties for Green Dopant in Phosphorescence Organic Light-Emitting Diodes (OLEDs). Bull. Korean Chem. Soc. 2008, 29, 2270–2272. [Google Scholar]
- Sapochak, L.S.; Padmaperuma, A.B.; Cai, X.; Male, J.L.; Burrows, P.E. Inductive Effects of Diphenylphosphoryl Moieties on Carba-zole Host Materials: Design Rules for Blue Electrophosphorescent Organic Light-Emitting Devices. J. Phys. Chem. C 2008, 112, 7989–7996. [Google Scholar] [CrossRef]
- Ahn, D.H.; Moon, J.S.; Kim, S.W.; Lee, S.Y.; Karthik, D.; Lee, J.Y.; Kwon, J.H. Effect of various host characteristics on blue thermally activated de-layed fluorescent devices. Org. Electron. 2018, 59, 39–44. [Google Scholar] [CrossRef]
- Bagdziunas, G.; Grybauskaite, G.; Kostiv, N.; Ivaniuk, K.; Volyniuk, D.; Lazauskas, A. Green and red phosphorescent organic light-emitting diodes with am-bipolar hosts based on phenothiazine and carbazole moieties: Photoelectrical properties, morphology and efficiency. RSC. Adv. 2016, 6, 61544–61554. [Google Scholar] [CrossRef]
- Tsai, M.H.; Hong, Y.H.; Chang, C.H.; Su, H.C.; Wu, C.C.; Matoliukstyte, A.; Simokaitiene, J.; Grigalevicius, S.; Grazulevicius, J.V.; Hsu, C.P. 3-(9-Carbazolyl)carbazoles and 3,6-Di(9-carbazolyl)carbazoles as Effective Host Materials for Efficient Blue Organic Electrophosphorescence. Adv. Mater. 2007, 19, 862–866. [Google Scholar] [CrossRef]
- Zhang, Q.; Hu, Y.F.; Cheng, Y.X.; Su, G.I.; Ma, D.G.; Wang, L.X.; Jing, X.B.; Wang, F.S. Carbazole-based hole-transporting materials for electroluminescent de-vices. Synth. Met. 2003, 137, 1111–1112. [Google Scholar] [CrossRef]
- Park, M.S.; Lee, J.Y. 9-(Pyridin-3-yl)-9H-carbazole derivatives as host materials for green phosphorescent organic light-emitting diodes. Org. Electron. 2013, 14, 1291–1296. [Google Scholar] [CrossRef]
- Jiang, W.; Duan, L.; Qiao, J.; Dong, G.; Zhang, D.; Wang, L.; Qiu, Y. High-triplet-energy tri-carbazole derivatives as host materials for efficient solution-processed blue phospho-rescent devices. J. Mater. Chem. 2011, 21, 4918–4926. [Google Scholar] [CrossRef]
- Pudzs, K.; Vembris, A.; Muzikante, I.; Grzibovskis, R.; Turovska, B.; Simokaitiene, J.; Grigalevicius, S.; Grazulevicius, J.V. Energy structure and electro-optical properties of organic layers with carbazole derivative. Thin Solid Film 2014, 556, 405–409. [Google Scholar] [CrossRef]
- Xiang, C.; Fu, X.; Wei, W.; Liu, R.; Zhang, Y.; Balema, V.; Nelson, B.; So, F. Efficiency Roll-Off in Blue Emitting Phosphorescent Organic Light Emitting Diodes with Car-bazole Host Materials. Adv. Funct. Mater. 2016, 26, 1463–1469. [Google Scholar] [CrossRef]
- Orselli, E.; Maunoury, J.; Bascour, D.; Catinat, J.P. Orange phosphorescent organic light-emitting diodes with high operational stabil-ity. Org. Electron. 2012, 13, 1506–1510. [Google Scholar] [CrossRef]
- Krotkus, S.; Kazlauskas, K.; Miasojedovas, A.; Gruodis, A.; Tomkeviciene, A.; Grazulevicius, J.V.; Jursenas, S. Pyrenyl-Functionalized Fluorene and Carbazole Derivatives as Blue Light Emitters. J. Phys. Chem. C 2012, 116, 7561–7572. [Google Scholar] [CrossRef]
- Konidena, R.K.; Thomas, K.R.J.; Sahoo, S.; Dubeyb, D.K.; Jou, J.H. Multi-substituted deep-blue emitting carbazoles: A comparative study on photophysical and electroluminescence characteristics. J. Mater. Chem. C 2017, 5, 709–726. [Google Scholar] [CrossRef]
- Gong, W.L.; Wang, B.; Aldred, M.P.; Li, C.; Zhang, G.F.; Chen, T.; Wang, L.; Zhu, M.Q. Tetraphenylethene-decorated carbazoles: Synthesis, aggregation-induced emission, pho-to-oxidation and electroluminescence. J. Mater. Chem. C 2014, 2, 7001–7012. [Google Scholar] [CrossRef]
- Dang, D.; Wang, Z.; Liu, K.; Liu, Y.; Sung, H.H.Y.; Ian, D. Manipulating the Molecular Backbone to Achieve Highly Emissive Sky-Blue AIEgens and Their Applications in Nondoped Organic Light-Emitting Diodes. Adv. Electron. Mater. 2018, 4, 1800354. [Google Scholar] [CrossRef]
- Zhang, T.; Dai, H.; Li, J. Novel carbazole/anthracene hybrids for efficient blue organic light-emitting diodes. Displays 2013, 34, 447–451. [Google Scholar] [CrossRef]
- Tong, Q.X.; Lai, S.L.; Lo, M.F.; Chan, M.Y.; Ng, T.W.; Lee, S.H.; Tao, S.L.; Lee, C.S. An efficient hole-transporting blue fluorophore 3,6-dipyrenyl-9-ethylcarbazole for un-doped organic light-emitting devices. Synth. Met. 2012, 162, 415–418. [Google Scholar] [CrossRef]
- Keawin, T.; Prachumrak, N.; Namuangruk, S.; Pansay, S.; Kungwan, N.; Maensiri, S.; Jungsuttiwong, S.; Sudyoadsuk, T.; Promarak, V. Efficient bifunctional materials based on pyrene- and triphenylamine-functionalized dendrimers for electroluminescent devices. Synth. Met. 2015, 5, 73481–73489. [Google Scholar] [CrossRef]
- Feng, X.; Wei, X.; Yin, M.; Pansay, S.; Kungwan, N.; Maensiri, S.; Jungsuttiwong, S.; Promark, V. Violet/deep-blue fluorescent organic light-emitting diode based on high-efficiency novel carbazole derivative with large torsion angle. RSC Adv. 2019, 60, 151340–151344. [Google Scholar] [CrossRef]
- Krishnaa, A.; Darshana, V.; Suresha, C.H.; Miao, Y.; Tao, P. Solution processable carbazole derivatives for dopant free single molecule white electroluminescence by room temperature phosphorescence. Tetrahedron Lett. 2018, 360, 249–254. [Google Scholar] [CrossRef]
- Shi, H.; Zhang, X.; Gui, C.; Wang, S.; Fang, L.; Zhao, Z.; Chen, S.; Tang, B.Z. Synthesis, aggregation-induced emission and electroluminescence properties of three new phenylethylene derivatives comprising carbazole and (dimesitylboranyl)phenyl groups. J. Mater. Chem. C 2017, 5, 11741–11750. [Google Scholar] [CrossRef]
- Hung, W.Y.; Chi, L.C.; Chen, W.J.; Chen, Y.M.; Chou, S.H.; Wong, K.T. A new benzimidazole/carbazole hybrid bipolar material for highly efficient deep-blue electrofluo-rescence, yellow–green electrophosphorescence, and two-color-based white OLEDs. J. Mater. Chem. 2010, 20, 10113–10119. [Google Scholar] [CrossRef]
- Yang, X.; Zheng, S.; Bottger, R.; Chae, H.S.; Tanaka, T.; Li, S.; Mochizuki, A.; Jabbour, G.E. Efficient Fluorescent Deep-Blue and Hybrid White Emitting Devices Based on Carba-zole/Benzimidazole Compound. J. Phys. Chem. C 2011, 115, 14347–14352. [Google Scholar] [CrossRef]
- Skorka, L.; Kurzepa, P.; Salyga, G.W.; Luszczynska, B.; Wielgusa, I.; Wrobel, Z.; Ulanski, J.; Kulszewicz-Bajera, I. New diarylaminophenyl derivatives of carbazole: Effect of substituent position on their redox, spectroscopic and electroluminescent properties. Synth. Met. 2017, 228, 1–8. [Google Scholar] [CrossRef]
- Shi, H.; Li, M.; Xin, D.; Fang, L.; Roose, J.; Peng, H.; Chen, S.; Tang, B.Z. Two novel phenylethene-carbazole derivatives containing dimesitylboron groups: Aggrega-tion-induced emission and electroluminescence properties. Dye. Pigment. 2016, 128, 304–313. [Google Scholar] [CrossRef] [Green Version]
- Tomkeviciene, A.; Grazulevicius, J.V.; Jankauskas, V. Hole-Transporting Pyrenyl-Substituted Derivatives of Fluorene and Carbazole. Mol. Cryst. Liq. Cryst. 2014, 590, 29–34. [Google Scholar] [CrossRef]
- Tomkeviciene, A.; Grazulevicius, J.V.; Kazlauskas, K.; Gruodis, A.; Jursenas, S.; Ke, T.-H.; Wu, C.-C. Impact of Linking Topology on the Properties of Carbazole Trimers and Dimers. J. Phys. Chem. C 2011, 115, 4887–4897. [Google Scholar] [CrossRef]
- Tomkeviciene, A.; Grazulevicius, J.V.; Jankauskas, V. High Hole Mobilities in the Amorphous Films of 2,7-Di(9-carbazolyl)-9-(2-ethylhexyl)carbazole. Chem. Lett. 2008, 37, 344–345. [Google Scholar] [CrossRef]
- Li, J.; Liu, R.; Zhao, Z.; Zhou, Z. Synthesis and characterization of novel 2,7-carbazole derivatives for blue light –emitting diodes. J. Mater. Sci. Mater. Electron. 2014, 25, 1970–1975. [Google Scholar] [CrossRef]
- Park, W.J.; Leea, Y.; Kim, J.Y.; Yoon, D.W.; Kim, J.; Chae, S.H.; Kim, H.; Lee, G.; Shimc, S.; Yang, J.H.; et al. Effective thermally activated delayed fluorescence emitter and its performance in OLED device. Synth. Met. 2015, 209, 99–104. [Google Scholar] [CrossRef]
- Deksnys, T.; Simokaitiene, J.; Keruckas, J.; Volyniuk, D.; Bezvikonnyi, O.; Cherpak, V.; Stakhira, P.; Ivaniuk, K.; Helzhynskyy, I.; Baryshnikov, G. Synthesis and characterisation of a carbazole-based bipolar exciplex-forming compound for efficient and color-tunable OLEDs. J. Chem. 2017, 41, 559–568. [Google Scholar] [CrossRef]
- Luka, G.; Volyniuk, D.; Tomkeviciene, A.; Simokaitiene, J.; Grazulevicius, J.V.; Stakhira, P.; Cherpak, V.; Sybilski, P.; Witkowski, B.S.; Godlewski, M.; et al. Carbazole Derivative Based Near Ultraviolet Organic Light Emitting Diode with ZnMgO:Al Anode Layer. Solid State Phenom. 2013, 200, 45–49. [Google Scholar] [CrossRef]
- Shia, Z.; Zhangb, X.; Wang, H.; Huo, J.; Zhao, H.; Shib, H.; Tang, B.Z. The synthesis, photoluminescence and electroluminescence properties of a new emitter based on diphenylethene, carbazole and 9,9,10,10-tetraoxidethianthrene. Org. Electron. 2019, 70, 7–13. [Google Scholar] [CrossRef]
- Grybauskaite-Kaminskiene, G.; Volyniuk, D.; Mimaite, V.; Bezvikonnyi, O.; Bucinskas, A.; Bagdziunas, G.; Grazulevicius, J.V. Aggregation Enhanced Emission and Thermally Activated De-layed Fluorescence of Derivatives of 9-Phenyl-9H-Carbazole: Effects of Methoxy and tert-Butyl Substituents. Chem.-A Eur. J. 2018, 24, 9581–9591. [Google Scholar] [CrossRef]
- Liu, C.; Chen, J.; Xu, C.; Hao, H.; Xu, B.; Hu, D.; Shi, G.; Chi, Z. AIEgens with bright mechanoluminescence and thermally activated delayed fluo-rescence derived from (9H-carbazol-9-yl)(phenyl)methanone. Dye. Pigment. 2020, 174, 108093–108099. [Google Scholar] [CrossRef]
- Karthik, D.; Ahn, D.H.; Ryu, J.H.; Lee, H.; Maeng, J.H.; Lee, J.Y.; Kwon, J.H. Highly efficient blue thermally activated delayed fluorescence organic light emitting diodes based on tercarbazole donor and boron acceptor dyads. J. Mater. Chem. 2020, 8, 2272–2279. [Google Scholar] [CrossRef]
- Sallenave, X.; Bucinskas, A.; Salman, S.; Volyniuk, D.; Bezvikonnyi, O.; Mimaite, V.; Grazulevicius, J.V.; Sini, G. Sensitivity of Redox and Optical Properties of Electroactive Carbazole Deriva-tives to the Molecular Architecture and Methoxy Substitutions. J. Phys. Chem. C 2018, 122, 10138–10152. [Google Scholar] [CrossRef]
- Lin, T.C.; Sarma, M.; Chen, Y.T.; Liu, S.H.; Lin, K.T.; Chiang, P.Y.; Chuang, W.T.; Liu, Y.C.; Hsu, H.F.; Hung, W.Y.; et al. Probe exciplex structure of highly efficient thermally activated delayed fluorescence organic light emitting diodes. Nat. Commun. 2018, 9, 3111–3119. [Google Scholar] [CrossRef] [Green Version]
- Rajamalli, P.; Senthilkumar, N.; Gandeepan, P.; Ren-Wu, C.C.; Lin, H.W.; Cheng, C.H. A Method for Reducing the Singlet–Triplet Energy Gaps of TADF Materials for Improving the Blue OLED Efficiency. ACS Appl. Mater. Interfaces 2016, 8, 27026–27034. [Google Scholar] [CrossRef] [PubMed]
- Zhao, H.; Wang, Z.; Cai, X.; He, Z.; Liu, X.; Cao, Y.; Su, S.J. Highly efficient thermally activated delayed fluorescence materials with reduced efficiency roll-off and low on-set voltages. Mater. Chem. Front. 2017, 1, 2039–2046. [Google Scholar] [CrossRef]
Publisher’s Note: MDPI stays neutral with regard to jurisdictional claims in published maps and institutional affiliations. |
© 2021 by the authors. Licensee MDPI, Basel, Switzerland. This article is an open access article distributed under the terms and conditions of the Creative Commons Attribution (CC BY) license (https://creativecommons.org/licenses/by/4.0/).









