Chasing the Critical Wetting Transition. An Effective Interface Potential Method
Abstract
1. Introduction
2. Materials and Methods
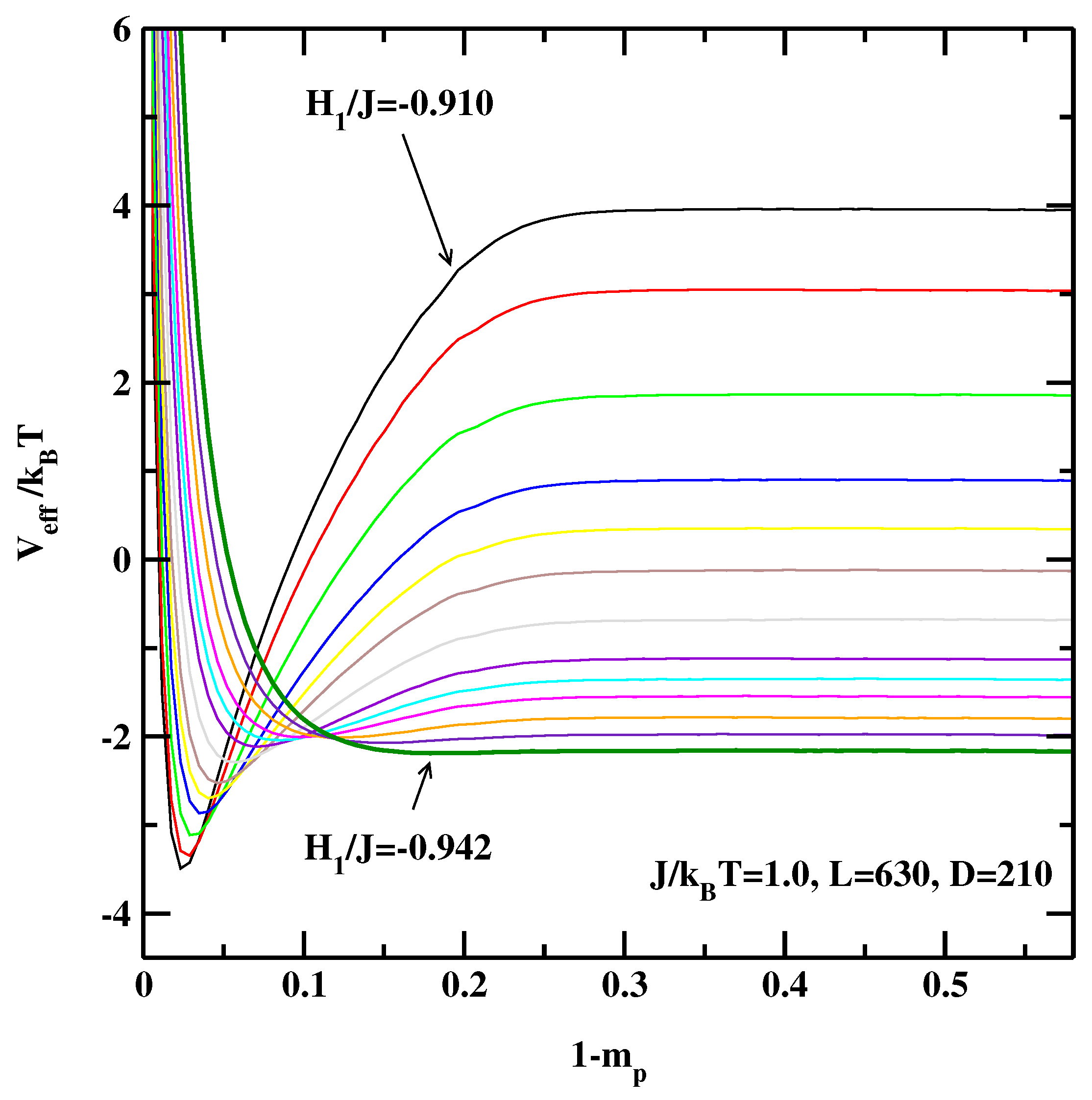
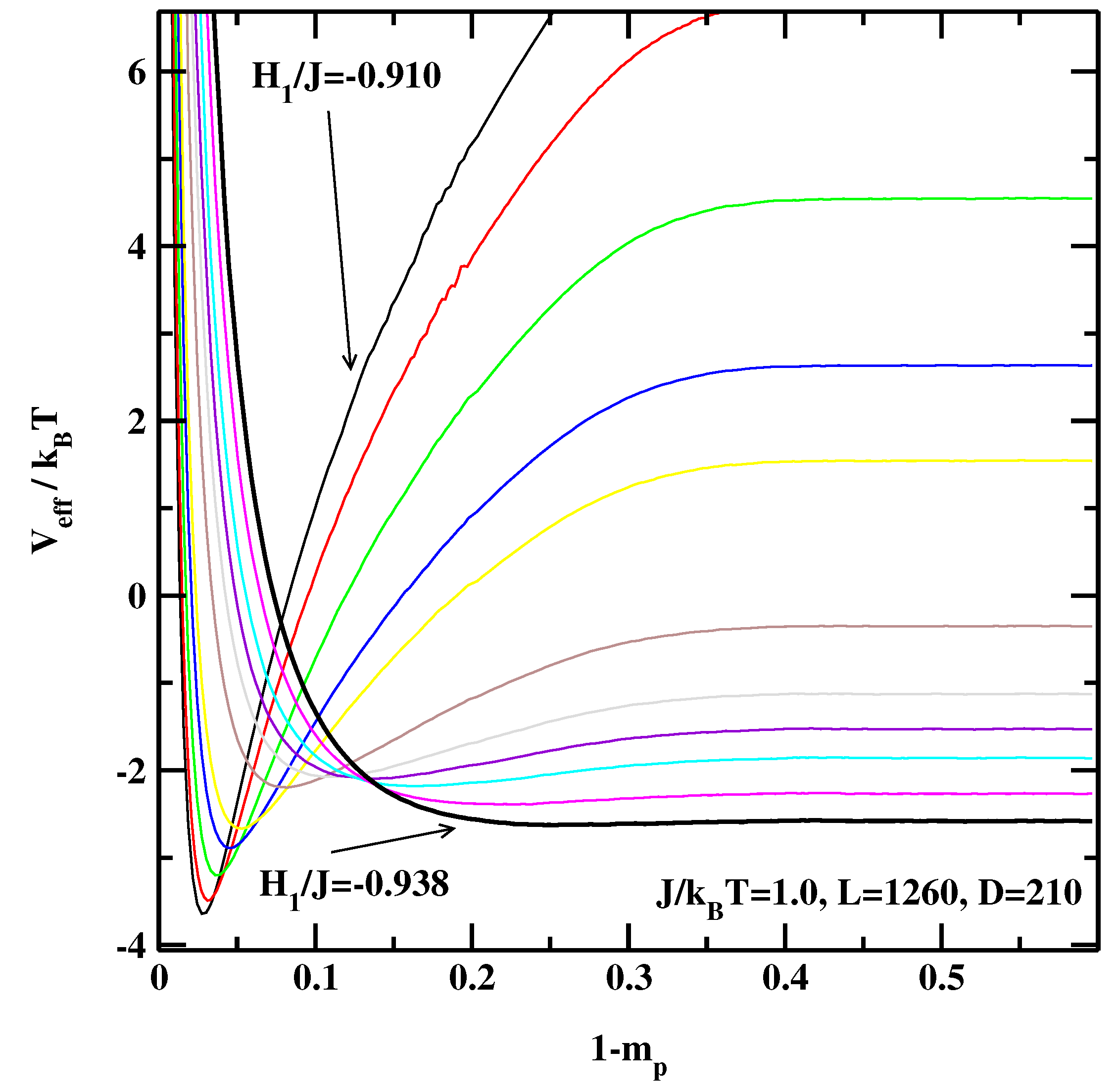
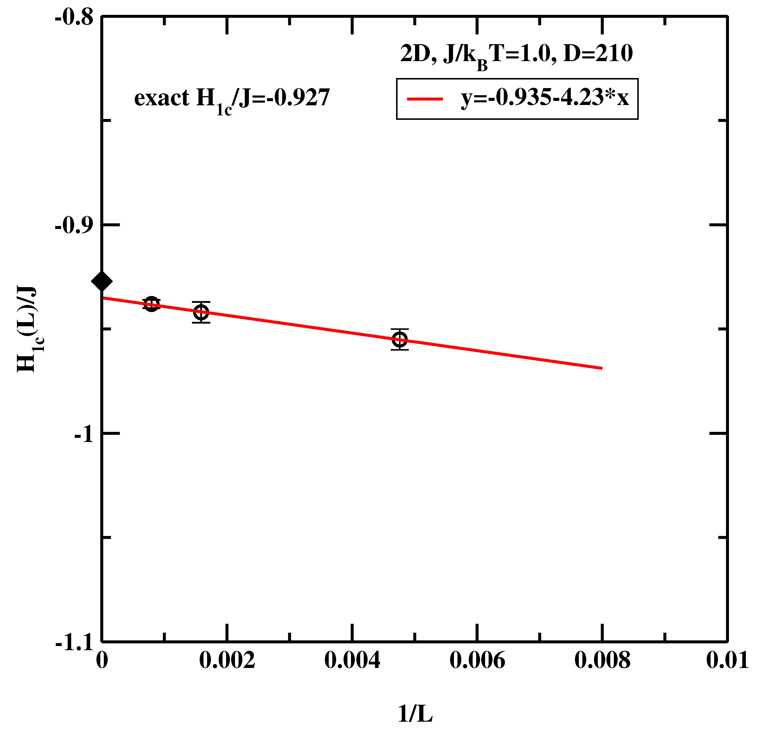
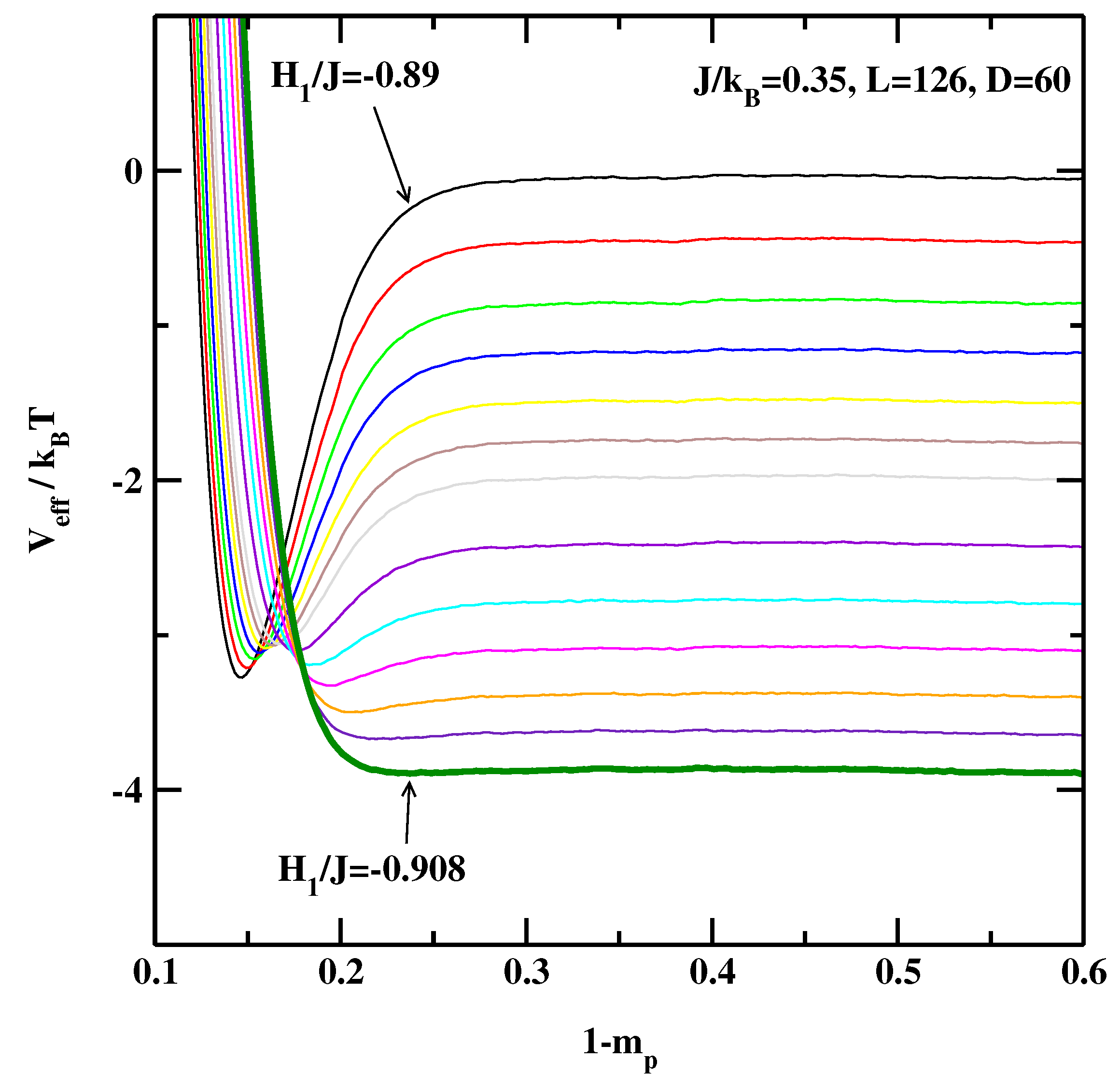
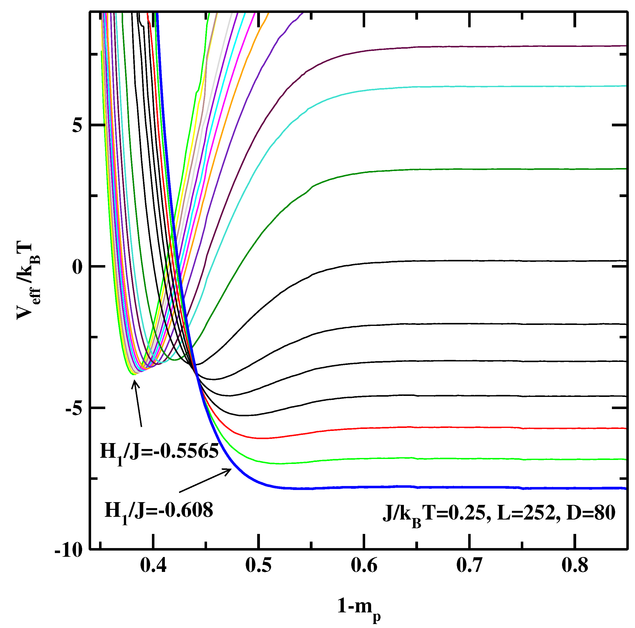
3. The Effective Interface Potential Method
4. Other Methods of Determination of the Critical Surface Field
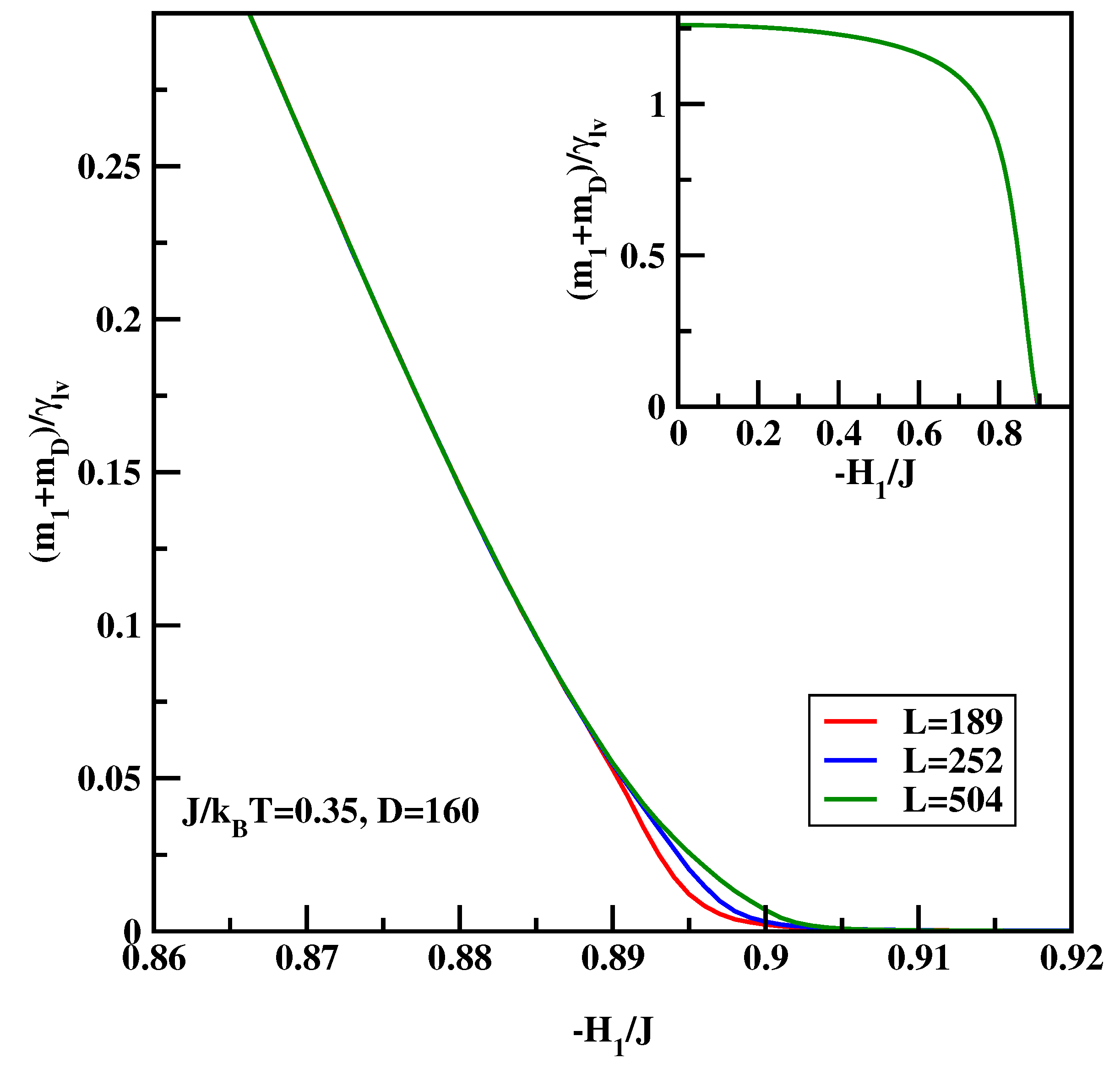
4.1. Determination of the Critical Surface Field by Thermodynamic Integration
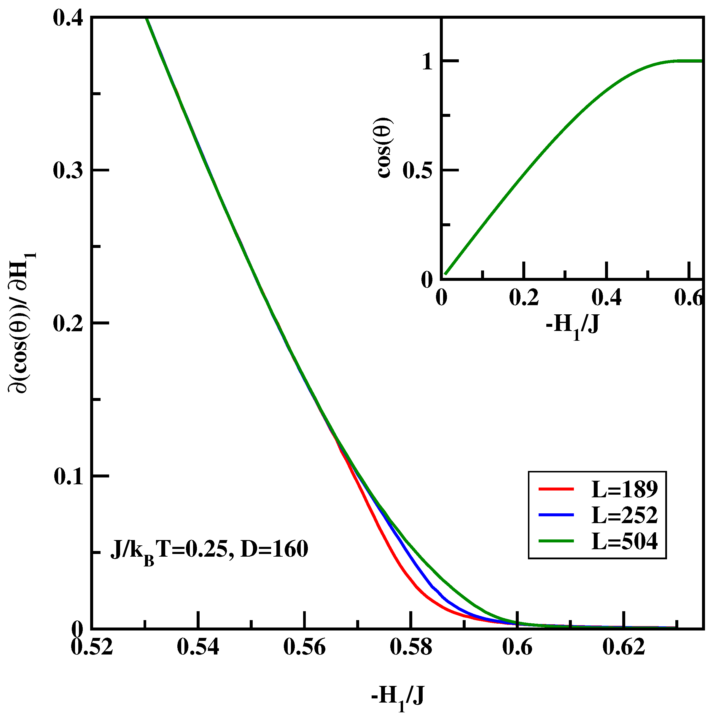
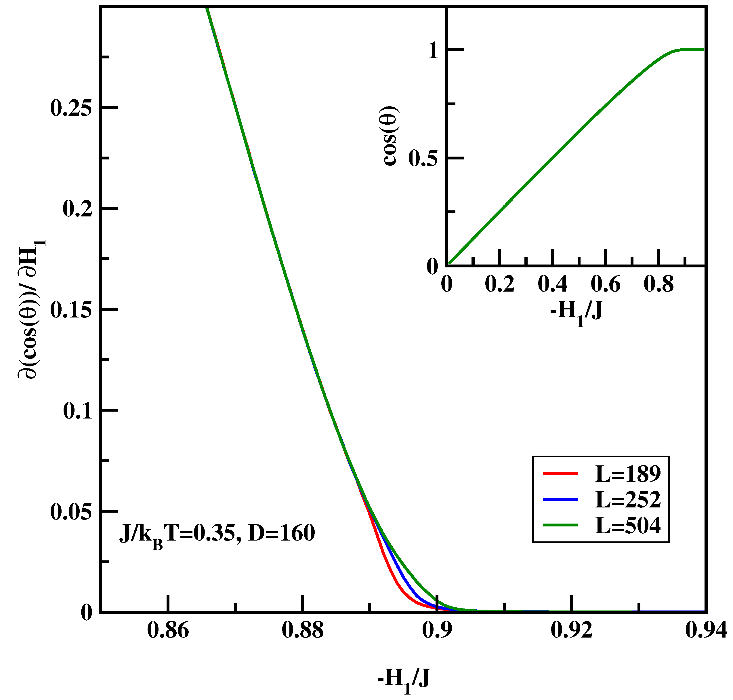
4.2. BLK Method for Symmetric Surface Fields Revisited
5. Discussion
6. Conclusions
- The effective interface potential method can be used to determine the location of the critical wetting transition. The limitation of this method is that its accuracy decreases if the bulk fluctuations become important.
- The thermodynamic integration method can be used to estimate the location of the critical wetting transition. Extrapolation to the thermodynamic limit is non-trivial.
- The Binder–Landau–Kroll method of determination of the critical wetting transition also leads to reasonable results if sufficiently big system sizes are considered.
Author Contributions
Funding
Institutional Review Board Statement
Informed Consent Statement
Data Availability Statement
Acknowledgments
Conflicts of Interest
References
- Saha, R.; Uppaluri, R.V.S.; Tiwari, P. Effects of interfacial tension, oil layer break time, emulsification and wettability alteration on oil recovery for carbonate reservoirs. Colloid Surf. A 2018, 559, 92–103. [Google Scholar] [CrossRef]
- Rudolph, M.; Hartmann, R. Specific surface free energy component distributions and flotabilities of mineral microparticles in flotation—An inverse gas chromatography study. Colloid Surf. A 2017, 513, 380–388. [Google Scholar] [CrossRef]
- Chu, Z.; Seeger, S. Superamphiphobic surfaces. Chem. Soc. Rev. 2014, 43, 2784–2798. [Google Scholar] [CrossRef] [PubMed]
- Dietrich, S. Wetting Phenomena. In Phase Transitions and Critical Phenomena; Domb, C., Lebowitz, J.L., Eds.; Academic: London, UK, 1988; Volume 12, pp. 1–54. [Google Scholar]
- Fisher, D.S.; Huse, D.A. Wetting transitions: A functional renormalization-group approach. Phys. Rev. B 1986, 32, 247–256. [Google Scholar] [CrossRef] [PubMed]
- Dietrich, S.; Napiórkowski, M. Analytic results for wetting transitions in the presence of van der Waals tails. Phys. Rev. A 1991, 43, 1861–1885. [Google Scholar] [CrossRef]
- Abraham, D.B. Solvable Model with a Roughening Transition for a Planar Ising Ferromagnet. Phys. Rev. Lett. 1980, 44, 1165–1168. [Google Scholar] [CrossRef]
- Brezin, E.; Halperin, B.I.; Leibler, S. Critical Wetting in Three Dimensions. Phys. Rev. Lett. 1983, 50, 1387–1390. [Google Scholar] [CrossRef]
- Nakanishi, H. Fisher, M.E. Multicriticality of Wetting, Prewetting, and Surface Transitions. Phys. Rev. Lett. 1982, 49, 1565–1568. [Google Scholar] [CrossRef]
- Taborek, P.; Rutledge, J.E. Novel wetting behavior of 4He on cesium. Phys. Rev. Lett. 1992, 68, 2184–2187. [Google Scholar] [CrossRef]
- Friedman, S.R.; Khalil, M.; Taborek, P. Wetting Transition in Water. Phys. Rev. Lett. 2013, 111, 226101. [Google Scholar] [CrossRef]
- Napiórkowski, M.; Dietrich, S. Wetting Transitions in Terms of Effective Potentials. Phys. Rev. Lett. 2015, 114, 039601. [Google Scholar] [CrossRef]
- Binder, K.; Landau, D.P.; Kroll, D.M. Critical Wetting with Short-Range Forces: Is Mean-Field Theory Valid? Phys. Rev. Lett. 1986, 56, 2272–2275. [Google Scholar] [CrossRef]
- Binder, K.; Landau, D.P. Wetting and layering in the nearest-neighbor simple-cubic Ising lattice: A Monte Carlo investigation. Phys. Rev. B 1988, 37, 1745–1765. [Google Scholar] [CrossRef]
- Binder, K.; Landau, D.P.; Wansleben, S. Wetting transitions near the bulk critical point: Monte Carlo simulations for the Ising model. Phys. Rev. B 1989, 40, 6971–6979. [Google Scholar] [CrossRef] [PubMed]
- Parry, A.O.; Rascon, C.; Bernardino, N.R.; Romero-Enrique, J.M. 3D Short-Range Wetting and Nonlocality. Phys. Rev. Lett. 2008, 100, 136105. [Google Scholar] [CrossRef] [PubMed]
- Albano, E.V.; Binder, K. Finite-Size Scaling Approach for Critical Wetting: Rationalization in Terms of a Bulk Transition with an Order Parameter Exponent Equal to Zero. Phys. Rev. Lett. 2012, 109, 036101. [Google Scholar] [CrossRef]
- Bryk, P.; Binder, K. Non-mean-field behavior of critical wetting transition for short-range forces. Phys. Rev. E 2013, 88, 030401. [Google Scholar] [CrossRef] [PubMed]
- Wansleben, S. Ultrafast vectorized multispin coding algorithm for the Monte Carlo simulation of the 3D Ising model. Comput. Phys. Commun. 1987, 43, 315–323. [Google Scholar] [CrossRef]
- Yan, Q.; de Pablo, J.J. Hyper-parallel tempering Monte Carlo: Application to the Lennard-Jones fluid and the restricted primitive model. J. Chem. Phys. 1999, 111, 9505–9516. [Google Scholar] [CrossRef]
- MacDowell, L.G.; Müller, M. Observation of autophobic dewetting on polymer brushes from computer simulation. J. Phys. Condens. Matter 2005, 17, S3523–S3528. [Google Scholar] [CrossRef]
- MacDowell, L.G.; Müller, M. Adsorption of polymers on a brush: Tuning the order of the wetting phase transition. J. Chem. Phys. 2006, 124, 084907. [Google Scholar] [CrossRef] [PubMed]
- Benet, J.; Palanco, J.G.; Sanz, E.; MacDowell, L.G. Disjoining Pressure, Healing Distance, and Film Height Dependent Surface Tension of Thin Wetting Films. J. Phys. Chem. C 2014, 118, 22079–22089. [Google Scholar] [CrossRef]
- Evans, R.; Wilding, N.B. Quantifying Density Fluctuations in Water at a Hydrophobic Surface: Evidence for Critical Drying. Phys. Rev. Lett. 2015, 115, 016103. [Google Scholar] [CrossRef]
- Rane, K.S.; Kumar, V.; Errington, J.R. Monte Carlo simulation methods for computing the wetting and drying properties of model systems. J. Chem. Phys. 2011, 135, 234102. [Google Scholar] [CrossRef] [PubMed]
- Jain, K.; Schultz, A.J.; Errington, J.R. Application of the interface potential approach for studying wetting behavior within a molecular dynamics framework. J. Chem. Phys. 2019, 150, 204118. [Google Scholar] [CrossRef] [PubMed]
- Jain, K.; Schultz, A.J.; Errington, J.R. Construction of the interface potential froma series of canonical ensemble simulations. J. Chem. Phys. 2019, 151, 044103. [Google Scholar] [CrossRef] [PubMed]
- Jain, K.; Rane, K.S.; Errington, J.R. Using isothermal-isobaric Monte Carlo simulation to study the wetting behavior of model systems. J. Chem. Phys. 2019, 150, 084110. [Google Scholar] [CrossRef]
- Hughes, A.P.; Thiele, U.; Archer, A.J. Liquid drops on a surface: Using density functional theory to calculate the binding potential and drop profiles and comparing with results from mesoscopic modelling. J. Chem. Phys. 2015, 142, 074702. [Google Scholar] [CrossRef]
- Hughes, A.P.; Thiele, U.; Archer, A.J. Influence of the fluid structure on the binding potential: Comparing liquid drop profiles from density functional theory with results from mesoscopic theory. J. Chem. Phys. 2017, 146, 064705. [Google Scholar] [CrossRef]
- Winter, D.; Virnau, P.; Binder, K. Monte Carlo Test of the Classical Theory for Heterogeneous Nucleation Barriers. Phys. Rev. Lett. 2009, 103, 225703. [Google Scholar] [CrossRef]
- Winter, D.; Virnau, P.; Binder, K. Heterogeneous nucleation at a wall near a wetting transition: A Monte Carlo test of the classical theory. J. Phys. Condens. Matter 2009, 21, 464118. [Google Scholar] [CrossRef]
- Hasenbusch, M.; Pinn, K. Surface tension, surface stiffness, and surface width of the 3-dimensional Ising model on a cubic lattice. Physica A 1993, 192, 342–374. [Google Scholar] [CrossRef]
- Hasenbusch, M.; Pinn, K. Comparison of Monte Carlo results for the 3D Ising interface tension and interface energy with (extrapolated) series expansions. Physica A 1994, 203, 189–213. [Google Scholar] [CrossRef][Green Version]
- Binder, K.; Landau, D.P. Finite-size scaling at first-order phase transitions. Phys. Rev. B 1984, 30, 1477–1485. [Google Scholar] [CrossRef]
- Binder, K. (Institut für Physik, Johannes Gutenberg Universität, Mainz, Germany). Private Communication, 2011.
- Evans, R.; Stewart, M.C.; Wilding, N.B. A unified description of hydrophilic and superhydrophobic surfaces in terms of the wetting and drying transitions of liquids. Proc. Natl. Acad. Sci. USA 2019, 116, 23901–23908. [Google Scholar] [CrossRef] [PubMed]


















Publisher’s Note: MDPI stays neutral with regard to jurisdictional claims in published maps and institutional affiliations. |
© 2021 by the authors. Licensee MDPI, Basel, Switzerland. This article is an open access article distributed under the terms and conditions of the Creative Commons Attribution (CC BY) license (https://creativecommons.org/licenses/by/4.0/).
Share and Cite
Bryk, P.; Terzyk, A.P. Chasing the Critical Wetting Transition. An Effective Interface Potential Method. Materials 2021, 14, 7138. https://doi.org/10.3390/ma14237138
Bryk P, Terzyk AP. Chasing the Critical Wetting Transition. An Effective Interface Potential Method. Materials. 2021; 14(23):7138. https://doi.org/10.3390/ma14237138
Chicago/Turabian StyleBryk, Paweł, and Artur P. Terzyk. 2021. "Chasing the Critical Wetting Transition. An Effective Interface Potential Method" Materials 14, no. 23: 7138. https://doi.org/10.3390/ma14237138
APA StyleBryk, P., & Terzyk, A. P. (2021). Chasing the Critical Wetting Transition. An Effective Interface Potential Method. Materials, 14(23), 7138. https://doi.org/10.3390/ma14237138

