Abstract
In this study, the response of Pu2Zr2O7 and La2Zr2O7 to electronic radiation is simulated, employing an ab initio molecular dynamics method. It is shown that Pu2Zr2O7 undergoes a crystalline-to-amorphous structural transition with 0.3% electronic excitation, while for La2Zr2O7, the structural amorphization occurs with 1.2% electronic excitation. During the microstructural evolution, the anion disorder further drives cation disorder and eventually results in the structural amorphization of Pu2Zr2O7 and La2Zr2O7. The difference in responses to electron radiation between Pu2Zr2O7 and La2Zr2O7 mainly results from the strong correlation effects between Pu 5f electrons and the smaller band gap of Pu2Zr2O7. These results suggest that Pu2Zr2O7 is less resistant to amorphization under local ionization rates that produce a low level of electronic excitation, since the level of the concentration of excited electrons is relatively low in Pu2Zr2O7. The presented results will advance the understanding of the radiation damage effects of zirconate pyrochlores.
1. Introduction
With the growing demand for nuclear power, the problem of how to treat nuclear waste safely, especially long-lived transuranic (TRU) elements such as plutonium (Pu) and minor actinides (Np, Am) that are generated through spent fuel, has become extremely important [1,2,3]. Pyrochlore-structured oxides with the general formula A2B2O7 (A = Y or another rare earth element; B = Ti, Zr, Sn, or Hf) [4] exhibit a wide range of physical, chemical, and electrical properties, including high ionic conductivity, superconductivity, luminescence, and ferromagnetism [3]. A2B2O7 pyrochlores, thus, are taken as attractive candidates for a variety of applications, including hosts for oxidation catalysts, solid electrolytes, oxygen gas sensors, as well as ceramic thermal barrier coatings [5,6,7]. Particularly great efforts have been devoted to evaluating the potential of pyrochlores as host matrices for immobilization of TRU elements [4,8,9].
Zirconate pyrochlores possess high thermal stability, high chemical durability, and remarkable resistance to radiation-induced amorphization, therefore being of special interest [10,11,12,13]. Wang et al. reported that Gd2(ZrxTi1−x)2O7 systems (x = 0, 0.25, 0.5, 0.75, 1) become increasingly radiation resistant with increasing zirconium content under 1 MeV Kr+ irradiation [14]. Lian et al. found that among a series of A2Zr2O7 pyrochlores (A = La, Nd, Sm, and Gd), only La2Zr2O7 can be amorphized under ion-beam irradiation [15]. Sickafus and coworkers studied the irradiation response of Er2Zr2O7 at a dose as high as 140 dpa by 350 KeV Xe+ at room temperature and found that Er2Zr2O7 cannot be amorphized [16]. Therefore, zirconate pyrochlores would be excellent candidate host matrices for the immobilization of plutonium (Pu) and minor actinides.
In the literature [17,18,19,20,21,22], atomic collision, electronic excitation, and ionization arising from the electronic energy loss of energetic ions have been used to explain the mechanisms of irradiation-induced amorphization. Sattonnay et al. investigated how the composition affects the behavior of pyrochlores under swift heavy ions irradiation and proposed that the susceptibility to amorphization by high electronic excitation is proportional to the cation radii ratio rA/rB [23]. Theoretically, the influence of low electronic excitation on microstructural evolution in titanate pyrochlores was explored by Xiao et al., who, using an ab initio molecular dynamics (AIMD) method, predicted that structural amorphization occurs under 2% electronic excitation at room temperature [24]. Sassi et al. investigated the interplay between electronic excitation, structure, and composition in lanthanum-based ceramics employing a similar method. They found that when monoclinic-layered perovskite La2Ti2O7 is exposed to a lower degree of electronic excitation, the amorphous transition occurs, whereas a similar phenomenon does not occur in cubic pyrochlore La2Zr2O7 [25]. Furthermore, their results show that La2Zr2O7 can be amorphized at 200 K under 1.6% electronic excitation. These studies demonstrate that electronic excitation may have substantial effects on the microstructural evolution and physical properties of materials.
Thus far, it is not clear how Pu2Zr2O7 pyrochlore, which is a product for immobilization of Pu in zirconate pyrochlores [26,27,28,29], responds to electronic excitation. In this study, a comparative study of the responses of Pu2Zr2O7 and La2Zr2O7 to electronic excitation is made to explore the behaviors of Pu2Zr2O7 under electronic radiation. It is noted that discrepancies exist in microstructural evolution under electronic excitation between Pu2Zr2O7 and La2Zr2O7. The possible reasons have also been explored. The presented results thus gain fundamental insights into the radiation damage effects of Pu2Zr2O7 and may promote related experimental investigations.
2. Computational Details
Our calculations are carried out by the ab initio molecular dynamics (AIMD) method, as implemented in the Vienna Ab Initio Simulation Package (It was developed by the University of Vienna) (VASP) code [30,31]. In order to describe the exchange-correlation effects between electrons, the generalized gradient approximation (GGA) as parametrized by Perdew and Wang is used [32]. Because AIMD simulation is computationally very expensive, a 1 × 1 × 1 Monkhorst-Pack grid was generally employed in the AIMD simulation [24,33,34]. Hence, a 1 × 1 × 1 Monkhorst-Pack grid is employed in this study as a compromise between computational efficiency and computational accuracy. Computations are performed with a cutoff energy of 300 eV for the plane wave basis set. In our calculations, we employ a 2 × 2 × 2 supercell containing 88 atoms. The Hubbard U correction [35] is considered to modify the strongly correlated Pu 5f electrons, and a Ueff value of 4 eV is employed [36].
To study the effect of electronic excitation, we remove several electrons from high-lying valence band states. A jellium background is used to compensate for the loss of charge due to electron removal. Within this approximation, one assumes that electrons move in the presence of a neutralizing background consisting of uniformly spread positive charge [37]. After the system reaches equilibrium states, the removed electrons are placed back to mimic the recombination of electrons and holes. This method has made it possible to simulate the role of electronic excitation and has been applied to simulate the structural amorphization of Ge–Sb–Te alloys [38] and pyrochlores [24,25]. For La2Zr2O7 and Pu2Zr2O7, the considered electronic excitation concentrations are 0.3%, 0.6%, and 1.2%. Here, the percentage of electronic excitation concentration corresponds to the number of excited valence electrons to the number of total electrons. The intensity of the e–h pairs that are generated can be estimated by Ne-h = [39], where F and are the laser fluence and frequency, and R and are the reflectivity and effective absorption coefficient for the sample [40,41,42,43]. Under laser beam irradiation, the laser fluence at 400 nm for 1% excitation in La2Zr2O7 is about 8.6 × 102–4.9 × 103 mJ/cm2. The AIMD simulation is conducted employing an isothermal–isochoric ensemble, and the temperature is controlled by the Nosé–Hoover thermostat. The simulation time is 6 ps, and the time step is 3 fs.
3. Results and Discussions
3.1. Ground State Properties of Pu2Zr2O7 and La2Zr2O7
Structural optimization is first performed on Pu2Zr2O7 and La2Zr2O7. The Schematic view of the geometrical structures of La2Zr2O7 is shown in Figure 1. The calculated lattice constants, oxygen positional parameter xO8f, as well as bonding distances for Pu2Zr2O7 and La2Zr2O7, are summarized in Table 1, along with the available theoretical and experimental results for comparison. For Pu2Zr2O7, the obtained lattice constant of 10.802 Å is slightly larger than the experimental value of 10.70 Å [44], whereas it is consistent with the theoretical result of 10.802 Å [36]. The lattice constant of La2Zr2O7 is determined to be 10.879 Å, which is in reasonable agreement with the experimental value of 10.805 Å [45] and comparable to the calculated value of 10.696 Å [2]. The relatively larger lattice constant for La2Zr2O7 is mainly due to its larger ionic radius, i.e., ~1.16 Å for La3+ and ~1.1 Å for Pu3+ [46]. With regard to oxygen positional parameter xO48f, the calculated value of 0.335 for Pu2Zr2O7 is the same as other calculations of 0.335 [36]. For La2Zr2O7, the calculated value of 0.333 agrees well with the experimental and other calculated values [2,45]. Generally, the pyrochlores with the xO48f value being closer to 0.375 are more resistant to structural amorphization under ion irradiation [26,47]. It is noted that the xO48f value for Pu2Zr2O7 is slightly larger than that of La2Zr2O7, suggesting that Pu2Zr2O7 and La2Zr2O7 may have different responses to ion irradiation.
Figure 1.
Schematic view of the geometrical structures of La2Zr2O7. The dark green, yellow-green, and red spheres represent La, Zr, and O atoms, respectively.
Table 1.
The calculated lattice constants a0 (Å), O48f position parameter x (xO48f), and bonding distances (Å) for La2Zr2O7 and Pu2Zr2O7. Eg represents the band gap; d<A-B>: bonding distances between A and B atoms (A = La, Pu, or Zr; B = O48f or O8b).
3.2. Microstructural Evolution in La2Zr2O7 under Electronic Excitation
In order to explore the response of La2Zr2O7 to electronic radiation, AIMD simulations are first carried out with an electronic excitation concentration of 0.3%. Figure 2 shows a variation of temperature and total energy with time for La2Zr2O7 with 0.3% electronic excitation at 300 K. It is obvious that the simulation time of 6 ps is long enough so that the system can reach equilibrium states.
Figure 2.
Variation of (a) temperature and (b) total energy with time for La2Zr2O7 with 0.3% electron excitation.
To investigate how the electronic excitation concentration affects microstructural evolution in La2Zr2O7 at 300 K, electronic excitation concentration of 0.3%, 0.6%, 1.2%, and 1.6% are considered. Based on each equilibrium state, the radial distribution function (RDF) analysis is then carried out. Figure 3 shows the RDF for La2Zr2O7 with 0.3%, 0.6%, 1.2%, and 1.6% electronic excitations. For electronic excitations of 0.3%, 0.6%, and 1.2%, it is noted that the structure is ordered at both short-range and long-range distances, meaning that La2Zr2O7 still remains a pyrochlore structure. Here, the short-range correlation means the bonding interaction, and the long-range correlation corresponds to a nonbonding interaction. In the case of 1.6% electronic excitation, the structure retains a short-range order but has lost its long-range order, suggesting that 1.6% electronic excitation can induce a crystalline-to-amorphous transition in La2Zr2O7 at room temperature. In the literature, a similar phenomenon was observed by Sassi et al. [25]. Variation of RDF with time for La2Zr2O7 with 1.6% electronic excitation is displayed in Figure 4a. It is shown that the structural amorphization starts at t = 0.075 ps and the structure is completely amorphized at t = 0.3 ps, i.e., under 1.6% electronic excitation the crystalline-to-amorphous transition occurs very fast.
Figure 3.
Radial distribution function (RDF) for La2Zr2O7 with 0.3%, 0.6%, 1.2%, and 1.6% electron excitations.
Figure 4.
(a) Variation of radial distribution function (RDF) with time, (b) schematic view of the geometrical structure, and (c) variation of mean square displacement (MSD) with time for La2Zr2O7 with 1.6% electron excitation.
Figure 4b shows a schematic view of the geometrical structure for La2Zr2O7 with 1.6% electronic excitation. Compared with the pyrochlore structure presented in Figure 1, it can be seen that the structure is disordered after 1.6% electronic excitation. Furthermore, the degree of anion disorder is much larger than that of cation disorder. We also explore the variation of mean square displacement (MSD) with time for La2Zr2O7 with 1.6% electronic excitation, and the results are presented in Figure 4c. It is found that the mean square displacement of oxygen is considerably larger than that of La and Zr. These results indicate that the displacement of oxygen drives the pyrochlore of La2Zr2O7 to undergo a crystalline-to-amorphous transition under 1.6% electronic excitation. Theoretically, Xiao et al. also suggested that the amorphization of titanate pyrochlores is mainly contributed by the displacement of oxygens [24]. Experimentally, Lian et al. found that under ion irradiation, anion disorder precedes cation disorder in Gd2Ti2O7, Er2Ti2O7, and La2Ti2O7 [48]. In this study, it is noted that the MSD increases with the increasing time rather than vibrates slightly after the system reaches equilibrium states. A similar phenomenon has been found in the literature [49], where the La/Zr/O atoms in the amorphous structure also diffuse rather than vibrate at their equilibrium sites.
3.3. Microstructural Evolution in Pu2Zr2O7 under Electronic Excitation
To explore how the Pu2Zr2O7 pyrochlore responds to electronic excitation, AIMD simulation is also carried out on Pu2Zr2O7, in which 0.3% electrons are excited at 300 K. The corresponding variation of RDF with time for Pu2Zr2O7 with 0.3% electronic excitation is illustrated in Figure 5a. We found that at t = 0.3 ps the structure becomes disordered at a long-range distance, and with time evolution, the structure is eventually completely amorphized. Compared with the case of La2Zr2O7, the crystalline-to-amorphous transition occurs more easily in Pu2Zr2O7, since the threshold electronic concentration of 0.3% is much lower than that of 1.6% for La2Zr2O7. These results suggest that the Pu2Zr2O7 should be readily amorphized under local ionization rates that produce a low level of electronic excitation. Theoretically, Shen et al. suggested that the influences of different types of point defects on the thermomechanical properties of Pu2Zr2O7 and Gd2Zr2O7 show somewhat different character, and Pu2Zr2O7 has been suggested to be more susceptible to radiation-induced amorphization than other zirconate pyrochlores like Gd2Zr2O7 [50].
Figure 5.
(a) Variation of radial distribution function (RDF) with time, (b) schematic view of the geometrical structure, and (c) variation of mean square displacement (MSD) with time for Pu2Zr2O7 with 0.3% electron excitation.
To explore the origin of the structural amorphization induced by electronic excitation in Pu2Zr2O7, we plot the variation of mean square displacement with time for Pu2Zr2O7 with 0.3% electron excitation in Figure 5c. It is shown that the mean square displacement of anions is considerably larger than that of cations. Figure 5b also shows that the disorder of anions is more significant than that of cations. These results suggest that the structural amorphization is also driven by anion disordering, similar to the case of La2Zr2O7 discussed above and the cases of titanate pyrochlores reported by Xiao et al. [24].
3.4. Origin of the Different Electronic Radiation Responses between La2Zr2O7 and Pu2Zr2O7
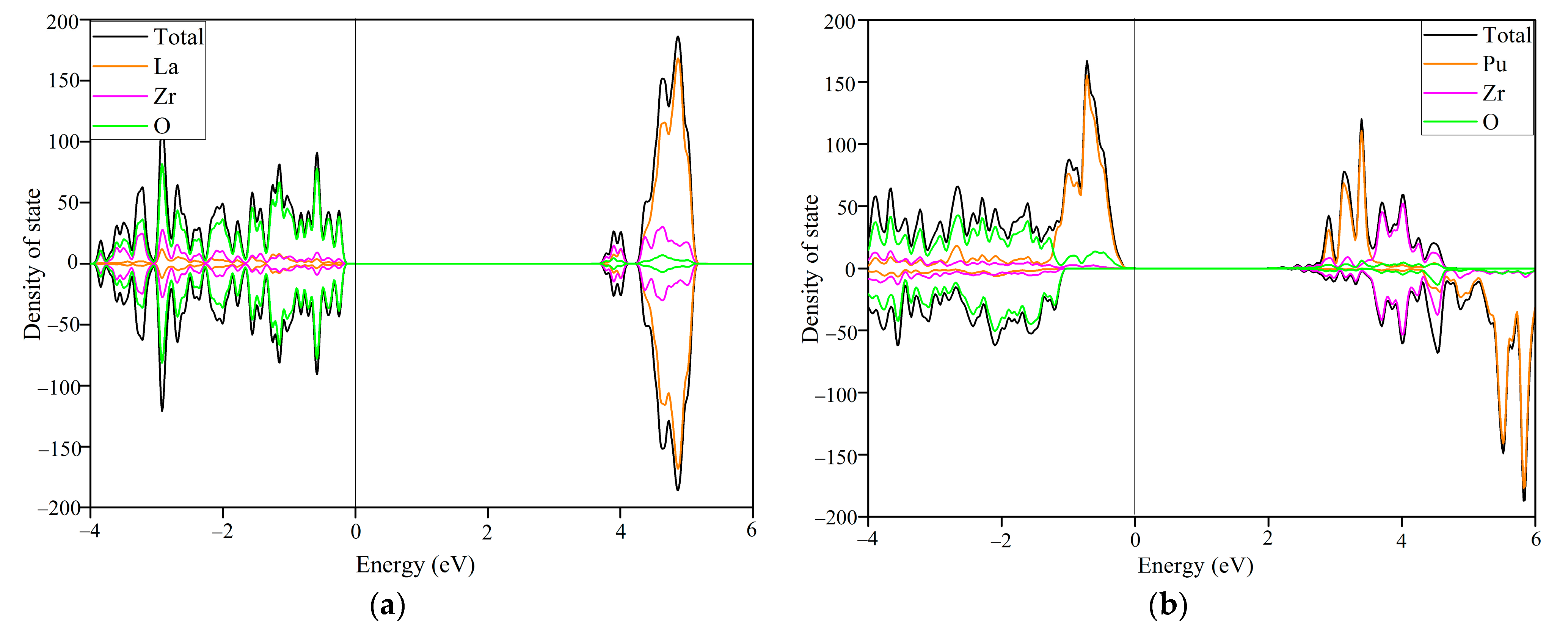
In order to explain the different electronic radiation responses between Pu2Zr2O7 and La2Zr2O7, we further analyze their geometrical and electronic structures. Comparing the bonding distances in Pu2Zr2O7 and La2Zr2O7 (see Table 1), we find that the values of ~2.587 Å for <Pu-O48f>, ~2.317 Å for <Pu-O8b>m and ~2.099 Å for <Zr-O48f> are slightly smaller than the values of ~2.635 Å for <La-O48f>, ~2.339 Å for <La-O8b>, and 2.106 Å for <Zr-O48f>, respectively. These results mean that stronger bonding interactions exist in Pu2Zr2O7 than in La2Zr2O7. However, the band gap of 2.12 eV for Pu2Zr2O7 is smaller than the value of 3.52 eV for La2Zr2O7, i.e., the valence electrons in Pu2Zr2O7 are more easily to be excited to the conduction bands if enough energy is provided.
Figure 6 presents the total and projected density of state (DOS) distributions for idealLa2Zr2O7 and Pu2Zr2O7. For La2Zr2O7 (see Figure 6a), O 2p orbital dominates and hybridizes with very few La 5d and Zr 4d orbitals at the valence band maximum (VBM), and few Zr 4d and O 2p orbitals contribute to the conduction band minimum (CBM). For Pu2Zr2O7 (see Figure 6b), it is shown that the Pu 5f orbital dominates and hybridizes with very few O 2p and Zr 4d orbitals at the VBM, and the CBM are contributed by Pu 5f orbital and very few Zr 4d and O 2p orbitals. On the one hand, because of the strong correlation effects between Pu 5f electrons, the O 2p electrons in Pu2Zr2O7 are more readily to be excited than Pu 5f electrons. On the other hand, in spite of the stronger <Pu-O> bonding interaction in Pu2Zr2O7 than the <Zr-O> bonding interaction in La2Zr2O7 at valence bands, the O 2p electrons in Pu2Zr2O7 are more easily to be excited to the conduction bands due to the much smaller band gap. Consequently, anion disorder drives cation disorder and eventually results in structural amorphization.
Figure 6.
A comparison of the atomic projected density of state (DOS) distribution for ideal (a) La2Zr2O7 and (b) Pu2Zr2O7.
4. Conclusions
In summary, the microstructural evolution in Pu2Zr2O7 and La2Zr2O7 under electron radiation has been investigated by ab initio molecular dynamics simulations. It is shown that Pu2Zr2O7 is more susceptible to electron radiation than La2Zr2O7, since the crystalline-to-amorphous structural transition at 300 K occurs at 0.3% electronic excitation for Pu2Zr2O7 and 1.6% for La2Zr2O7. In both compounds, the degree of anion disorder is much larger than the degree of cation, i.e., the structural amorphization is driven by anion disorder. In Pu2Zr2O7, there are strong correlation effects between Pu 5f electrons, resulting in O 2p electrons being more readily excited. Furthermore, the band gap of Pu2Zr2O7 is much smaller than that of La2Zr2O7. Consequently, the O 2p electrons in Pu2Zr2O7 are more easily to be excited to the conduction bands, and Pu2Zr2O7 is less resistant to electron radiation than La2Zr2O7.
Author Contributions
Investigation, S.Z.; methodology, S.Z.; writing—original draft, S.Z.; writing—review & editing, M.L., H.X., Z.L. and X.Z.; formal analysis, M.L. and X.Z.; validation, M.L.; conceptualization, H.X.; supervision, H.X.; funding acquisition, Z.L.; resources, Z.L.; project administration, X.Z. All authors have read and agreed to the published version of the manuscript.
Funding
NSAF Joint Foundation of China (Grant No. U1930120); acknowledges the Key Natural Science Foundation of Gansu Province (Grant No. 20JR5RA211).
Institutional Review Board Statement
Not applicable.
Informed Consent Statement
Not applicable.
Data Availability Statement
The raw/processed data required to reproduce these findings cannot be shared at this time as the data also form part of an ongoing study.
Acknowledgments
Haiyan Xiao is supported by the NSAF Joint Foundation of China (Grant No. U1930120). Zijiang Liu acknowledges the Key Natural Science Foundation of Gansu Province (Grant No. 20JR5RA211). The theoretical calculations are performed using the supercomputer resources at TianHe-1 located at National Supercomputer Center in Tianjin.
Conflicts of Interest
The authors declare no conflict of interest.
References
- Ewing, R.C. Nuclear waste forms for actinides. Proc. Natl. Acad. Sci. USA 1999, 96, 3432. [Google Scholar] [CrossRef] [PubMed]
- Xiao, H.Y.; Jiang, M.; Zhao, F.A.; Liu, Z.J.; Zu, X.T. Thermal and mechanical stability, electronic structure and energetic properties of Pu-containing pyrochlores: La2−yPuyZr2O7 and La2Zr2−yPuyO7 (0 <= y <= 2) . J. Nucl. Mater. 2015, 466, 162–171. [Google Scholar] [CrossRef]
- Ewing, R.C.; Weber, W.J.; Lian, J. Nuclear waste disposal—Pyrochlore (A2B2O7): Nuclear waste form for the immobilization of plutonium and “minor” actinides. J. Appl. Phys. 2004, 95, 5949–5971. [Google Scholar] [CrossRef]
- Xiao, H.Y.; Gao, F.; Weber, W.J. Ab initio investigation of phase stability of Y2Ti2O7 and Y2Zr2O7 under high pressure. Phys. Rev. B 2009, 80, 4. [Google Scholar] [CrossRef]
- Moon, P.K.; Tuller, H.L. Evaluation of the Gd2(ZrxTi1−x)2O7 pyrochlore system as an oxygen gas sensor. Sens. Actuators B: Chem. 1990, 1, 199–202. [Google Scholar] [CrossRef]
- Zhang, Z.L.; Xiao, H.Y.; Zu, X.T.; Gao, F.; Weber, W.J. First-principles calculation of structural and energetic properties for A2Ti2O7 (A = Lu, Er, Y, Gd, Sm, Nd, La). J. Mater. Res. 2009, 24, 1335–1341. [Google Scholar] [CrossRef]
- Xiao, H.Y.; Zu, X.T.; Gao, F.; Weber, W.J. First-principles study of energetic and electronic properties of A2Ti2O7 (A=Sm, Gd, Er) pyrochlore. J. Appl. Phys. 2008, 104, 073503. [Google Scholar] [CrossRef]
- Weber, W.J.; Ewing, R.C. Plutonium immobilization and radiation effects. Science 2000, 289, 2051–2052. [Google Scholar] [CrossRef]
- Weber, W.J.; Wald, J.W.; Matzke, H. Self-radiation damage in Gd2Ti2O7. Mater. Lett. 1985, 3, 173–180. [Google Scholar] [CrossRef]
- Hayakawa, I.; Kamizono, H. Durability of an La2Zr2O7 waste form in water. J. Mater. Sci. 1993, 28, 513–517. [Google Scholar] [CrossRef]
- Kamizono, H.; Hayakawa, I.; Muraoka, S. Durability of Zirconium-Containing Ceramic Waste Forms in Water. J. Am. Ceram. Soc. 1991, 74, 863–864. [Google Scholar] [CrossRef]
- Hayakawa, I.; Kamizono, H. Durability of an La2Zr2O7 waste form containing various amounts of simulated HLW elements. J. Nucl. Mater. 1993, 202, 163–168. [Google Scholar] [CrossRef]
- Sickafus, K.E.; Minervini, L.; Grimes, R.W.; Valdez, J.A.; Ishimaru, M.; Li, F.; McClellan, K.J.; Hartmann, T. Radiation tolerance of complex oxides. Science 2000, 289, 748–751. [Google Scholar] [CrossRef]
- Wang, S.X.; Begg, B.D.; Wang, L.M.; Ewing, R.C.; Weber, W.J.; Kutty, K.V.G. Radiation stability of gadolinium zirconate: A waste form for plutonium disposition. J. Mater. Res. 1999, 14, 4470–4473. [Google Scholar] [CrossRef]
- Lian, J.; Zu, X.T.; Kutty, K.V.G.; Chen, J.; Wang, L.M.; Ewing, R.C. Ion-irradiation-induced amorphization of La2Zr2O7 pyrochlore. Phys. Rev. B 2002, 66, 5. [Google Scholar] [CrossRef]
- Sickafus, K.E.; Minervini, L.; Grimes, R.W.; Valdez, J.A.; Hartmann, T. A comparison between radiation damage accumulation in oxides with pyrochlore and florite structures. Radiat. Eff. Defects Solids 2001, 155, 133–137. [Google Scholar] [CrossRef]
- Mafi, E.; Soudi, A.; Gu, Y. Electronically Driven Amorphization in Phase-Change In2Se3 Nanowires. J. Phys. Chem. C 2012, 116, 22539–22544. [Google Scholar] [CrossRef]
- Kolobov, A.V.; Krbal, M.; Fons, P.; Tominaga, J.; Uruga, T. Distortion-triggered loss of long-range order in solids with bonding energy hierarchy. Nat. Chem. 2011, 3, 311–316. [Google Scholar] [CrossRef] [PubMed]
- Weber, W.J. Models and mechanisms of irradiation-induced amorphization in ceramics. Nucl. Instrum. Methods Phys. Res. Sect. B-Beam Interact. Mater. At. 2000, 166, 98–106. [Google Scholar] [CrossRef]
- Zhang, Y.; Weber, W.J.; Shutthanandan, V.; Devanathan, R.; Thevuthasan, S.; Balakrishnan, G.; Paul, D.M. Damage evolution on Sm and O sublattices in Au-implanted samarium titanate pyrochlore. J. Appl. Phys. 2004, 95, 2866–2872. [Google Scholar] [CrossRef]
- Jiang, C.; Stanek, C.R.; Sickafus, K.E.; Uberuaga, B.P. First-principles prediction of disordering tendencies in pyrochlore oxides. Phys. Rev. B 2009, 79, 5. [Google Scholar] [CrossRef]
- Zhang, Y.; Bae, I.-T.; Weber, W.J. Atomic collision and ionization effects in oxides. Nucl. Instrum. Methods Phys. Res. Sect. B Beam Interact. Mater. At. 2008, 266, 2828–2833. [Google Scholar] [CrossRef]
- Sattonnay, G.; Moll, S.; Thomé, L.; Legros, C.; Calvo, A.; Herbst-Ghysel, M.; Decorse, C.; Monnet, I. Effect of composition on the behavior of pyrochlores irradiated with swift heavy ions. Nucl. Instrum. Methods Phys. Res. Sect. B Beam Interact. Mater. At. 2012, 272, 261–265. [Google Scholar] [CrossRef]
- Xiao, H.Y.; Weber, W.J.; Zhang, Y.; Zu, X.T.; Li, S. Electronic excitation induced amorphization in titanate pyrochlores: An ab initio molecular dynamics study. Sci. Rep. 2015, 5, 8. [Google Scholar] [CrossRef]
- Sassi, M.; Kaspar, T.; Rosso, K.M.; Spurgeon, S.R. Effect of structure and composition on the electronic excitation induced amorphization of La2Ti2-xZrxO7 ceramics. Sci. Rep. 2019, 9, 10. [Google Scholar] [CrossRef] [PubMed]
- Zhao, F.A.; Xiao, H.Y.; Jiang, M.; Liu, Z.J.; Zu, X.T. A DFT plus U study of Pu immobilization in Gd2Zr2O7. J. Nucl. Mater. 2015, 467, 937–948. [Google Scholar] [CrossRef]
- Williford, R.E.; Weber, W.J. Computer simulation of Pu3+ and Pu4+ substitutions in gadolinium zirconate. J. Nucl. Mater. 2001, 299, 140–147. [Google Scholar] [CrossRef]
- Cleave, A.; Grimes, R.W.; Sickafus, K. Plutonium and uranium accommodation in pyrochlore oxides. Philos. Mag. 2005, 85, 967–980. [Google Scholar] [CrossRef]
- Kulkarni, N.K.; Sampath, S.; Venugopal, V. Preparation and characterisation of Pu-pyrochlore: [La1−xPux]2 Zr2O7 (x=0–1). J. Nucl. Mater. 2000, 281, 248–250. [Google Scholar] [CrossRef]
- Kresse, G.; Furthmuller, J. Efficient iterative schemes for ab initio total-energy calculations using a plane-wave basis set. Phys. Rev. B 1996, 54, 11169–11186. [Google Scholar] [CrossRef]
- Kresse, G.; Furthmuller, J. Efficiency of ab-initio total energy calculations for metals and semiconductors using a plane-wave basis set. Comput. Mater. Sci. 1996, 6, 15–50. [Google Scholar] [CrossRef]
- Wang, Y.; Perdew, J.P. Correlation hole of the spin-polarized electron-gas, with exact small-wave-vector and high-density scaling. Phys. Rev. B 1991, 44, 13298–13307. [Google Scholar] [CrossRef] [PubMed]
- Jiang, M.; Gong, H.; Zhou, B.; Xiao, H.; Zhang, H.; Liu, Z.; Zu, X. An AIMD+U simulation of low-energy displacement events in UO2. J. Nucl. Mater. 2020, 540, 152379. [Google Scholar] [CrossRef]
- Jiang, M.; Xiao, H.; Peng, S.; Yang, G.; Gong, H.; Liu, Z.; Qiao, L.; Zu, X. Ab initio molecular dynamics simulation of the radiation damage effects of GaAs/AlGaAs superlattice. J. Nucl. Mater. 2019, 516, 228–237. [Google Scholar] [CrossRef]
- Dudarev, S.L.; Botton, G.A.; Savrasov, S.Y.; Humphreys, C.J.; Sutton, A.P. Electron-energy-loss spectra and the structural stability of nickel oxide: An LSDA+U study. Phys. Rev. B 1998, 57, 1505–1509. [Google Scholar] [CrossRef]
- Li, P.C.; Zhao, F.G.; Xiao, H.Y.; Zhang, H.B.; Gong, H.F.; Zhang, S.; Liu, Z.J.; Zu, X.T. First-Principles Study of Thermo-Physical Properties of Pu-Containing Gd2Zr2O7. Nanomaterials 2019, 9, 196. [Google Scholar] [CrossRef] [PubMed]
- Ciftja, O.; Escamilla, L.; Mills, R. Shape-Dependent Energy of an Elliptical Jellium Background. Adv. Condens. Matter Phys. 2015, 2015, 851356. [Google Scholar] [CrossRef]
- Li, X.B.; Liu, X.Q.; Liu, X.; Han, D.; Zhang, Z.; Han, X.D.; Sun, H.B.; Zhang, S.B. Role of Electronic Excitation in the Amorphization of Ge-Sb-Te Alloys. Phys. Rev. Lett. 2011, 107, 4. [Google Scholar] [CrossRef] [PubMed]
- Sokolowskitinten, K.; Bialkowski, J.; Vonderlinde, D. Ultrafast laser-induced order-disorder transitions in semiconductors. Phys. Rev. B 1995, 51, 14186–14198. [Google Scholar] [CrossRef] [PubMed]
- Weller, M.T.; Hughes, R.W.; Rooke, J.; Knee, C.S.; Reading, J. The pyrochlore family—A potential panacea for the frustrated perovskite chemist. Dalton Trans. 2004, 3032–3041. [Google Scholar] [CrossRef]
- Malkin, B.Z.; Zakirov, A.R.; Popova, M.N.; Klimin, S.A.; Chukalina, E.P.; Antic-Fidancev, E.; Goldner, P.; Aschehoug, P.; Dhalenne, G. Optical spectroscopy of Yb2Ti2O7 and Y2Ti2O7: Yb3+ and crystal-field parameters in rare-earth titanate pyrochlores. Phys. Rev. B 2004, 70, 9. [Google Scholar] [CrossRef]
- Raj, A.K.V.; Rao, P.P.; Sreena, T.S.; Sameera, S.; James, V.; Renju, U.A. Remarkable changes in the photoluminescent properties of Y2Ce2O7: Eu3+ red phosphors through modification of the cerium oxidation states and oxygen vacancy ordering. Phys. Chem. Chem. Phys. 2014, 16, 23699–23710. [Google Scholar] [CrossRef] [PubMed]
- Pavlov, R.S.; Marza, V.B.; Carda, J.B. Electronic absorption spectroscopy and colour of chromium-doped solids. J. Mater. Chem. 2002, 12, 2825–2832. [Google Scholar] [CrossRef]
- Yamazaki, S.; Yamashita, T.; Matsui, T.; Nagasaki, T. Thermal expansion and solubility limits of plutonium-doped lanthanum zirconates. J. Nucl. Mater. 2001, 294, 183–187. [Google Scholar] [CrossRef]
- Subramanian, M.A.; Aravamudan, G.; Subba Rao, G.V. Oxide pyrochlores—A review. Prog. Solid State Chem. 1983, 15, 55–143. [Google Scholar] [CrossRef]
- Shannon, R.D. Revised effective ionic radii and systematic studies of interatomic distances in halides and chalcogenides. Acta Crystallogr. Sect. A 1976, 32, 751–767. [Google Scholar] [CrossRef]
- Chartier, A.; Meis, C.; Weber, W.J.; Corrales, L.R. Theoretical study of disorder in Ti-substituted La2Zr2O7. Phys. Rev. B 2002, 65, 11. [Google Scholar] [CrossRef]
- Lian, J.; Wang, L.; Chen, J.; Sun, K.; Ewing, R.C.; Matt Farmer, J.; Boatner, L.A. The order–disorder transition in ion-irradiated pyrochlore. Acta Mater. 2003, 51, 1493–1502. [Google Scholar] [CrossRef]
- Flores-Ruiz, H.M.; Naumis, G.G. Mean-square-displacement distribution in crystals and glasses: An analysis of the intrabasin dynamics. Phys. Rev. E 2012, 85, 041503. [Google Scholar] [CrossRef]
- Shen, H.; Li, M.; Li, P.; Xiao, H.; Zhang, H.; Zu, X. Defect formation and its effect on the thermodynamic properties of Pu2Zr2O7 pyrochlore: A first-principles study. J. Am. Ceram. Soc. 2020. [Google Scholar] [CrossRef]
Publisher’s Note: MDPI stays neutral with regard to jurisdictional claims in published maps and institutional affiliations. |
© 2021 by the authors. Licensee MDPI, Basel, Switzerland. This article is an open access article distributed under the terms and conditions of the Creative Commons Attribution (CC BY) license (http://creativecommons.org/licenses/by/4.0/).





