Numerical Parametric Study of Coda Wave Interferometry Sensitivity to Microcrack Change in a Multiple Scattering Medium
Abstract
:1. Introduction
2. Theoretical Background
2.1. The CWI Theory
2.2. Applying CWI to Monitoring Changes in Scattering Media
2.3. Stress Wave Simulation Based on Finite Element Method
3. Modeling and Numerical Simulation
4. Results and Discussion
4.1. Dependence of CWI Observations on the Variation of Crack Length
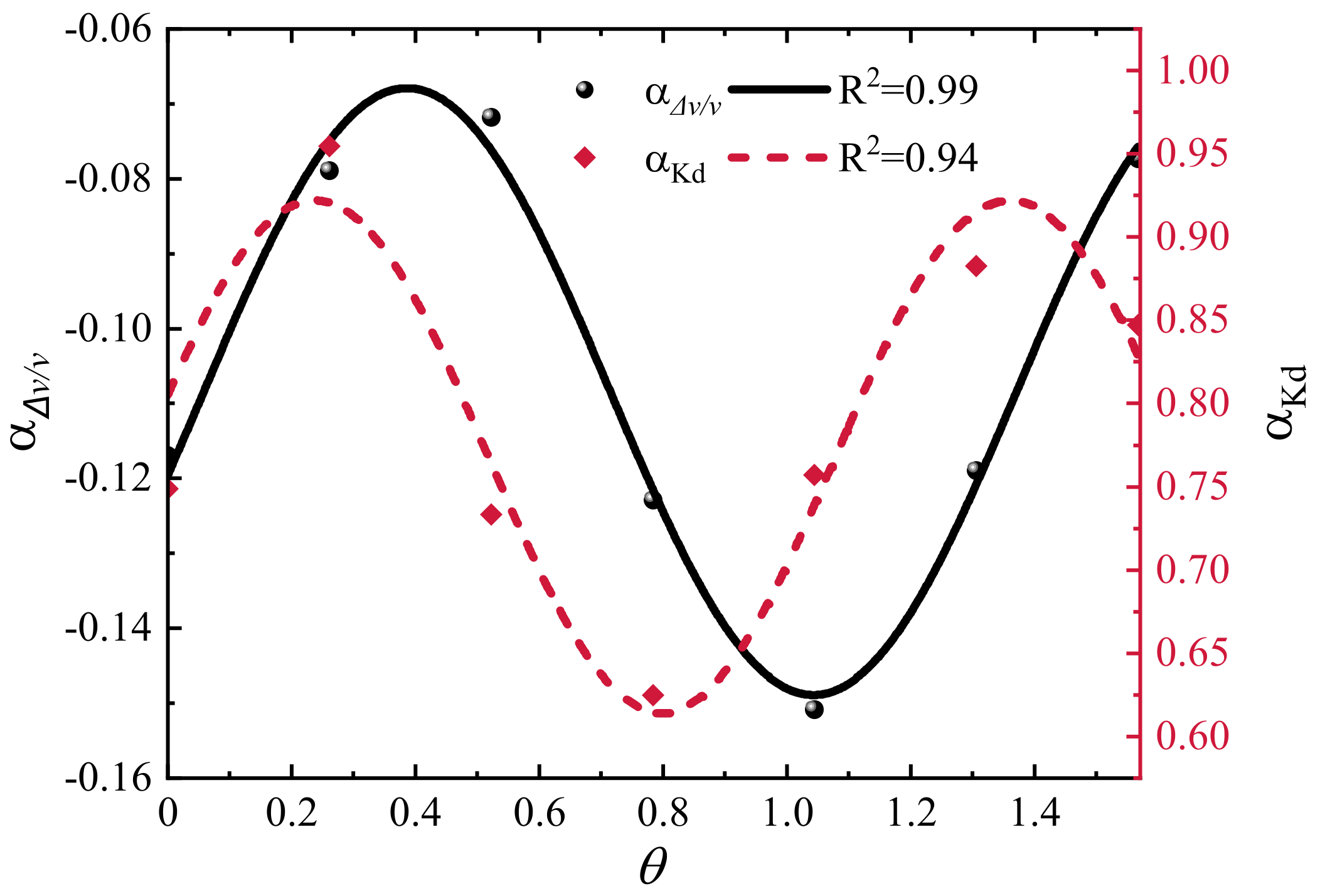
4.2. Influence of Relative Position of Source/Receiver and Cracks on CWI Observations
5. Conclusions
Author Contributions
Funding
Institutional Review Board Statement
Informed Consent Statement
Data Availability Statement
Conflicts of Interest
References
- Liu, G.; Bai, E.; Xu, J.; Wang, T.; Chang, S. Research Status and Development Prospect of 3D Printing Concrete Materials. IOP Conf. Ser. Earth Environ. Sci. 2019, 267, 032014. [Google Scholar] [CrossRef] [Green Version]
- Sun, J.; Aslani, F.; Lu, J.; Wang, L.; Huang, Y.; Ma, G. Fibre-Reinforced Lightweight Engineered Cementitious Composites for 3D Concrete Printing. Ceram. Int. 2021, 47, 27107–27121. [Google Scholar] [CrossRef]
- Sun, J.; Huang, Y.; Aslani, F.; Wang, X.; Ma, G. Mechanical Enhancement for EMW-Absorbing Cementitious Material Using 3D Concrete Printing. J. Build. Eng. 2021, 41, 102763. [Google Scholar] [CrossRef]
- Sun, J.; Aslani, F.; Wei, J.; Wang, X. Electromagnetic Absorption of Copper Fiber Oriented Composite Using 3D Printing. Constr. Build. Mater. 2021, 300, 124026. [Google Scholar] [CrossRef]
- Planès, T.; Larose, E. A Review of Ultrasonic Coda Wave Interferometry in Concrete. Cem. Concr. Res. 2013, 53, 248–255. [Google Scholar] [CrossRef]
- Chen, G.; Pageot, D.; Legland, J.B.; Abraham, O.; Chekroun, M.; Tournat, V. Numerical Modeling of Ultrasonic Coda Wave Interferometry in a Multiple Scattering Medium with a Localized Nonlinear Defect. Wave Motion 2017, 72, 228–243. [Google Scholar] [CrossRef]
- Schurr, D.P.; Kim, J.Y.; Sabra, K.G.; Jacobs, L.J. Damage Detection in Concrete Using Coda Wave Interferometry. NDT E Int. 2011, 44, 728–735. [Google Scholar] [CrossRef]
- Hilloulin, B.; Zhang, Y.; Abraham, O.; Loukili, A.; Grondin, F.; Durand, O.; Tournat, V. Small Crack Detection in Cementitious Materials Using Nonlinear Coda Wave Modulation. NDT E Int. 2014, 68, 98–104. [Google Scholar] [CrossRef] [Green Version]
- Grabke, S.; Clauß, F.; Bletzinger, K.U.; Ahrens, M.A.; Mark, P.; Wüchner, R. Damage Detection at a Reinforced Concrete Specimen with Coda Wave Interferometry. Materials 2021, 14, 5013. [Google Scholar] [CrossRef] [PubMed]
- Lim, H.J.; Lee, H.; Skinner, T.; Chattopadhyay, A.; Hall, A. Fatigue Damage Detection and Growth Monitoring for Composite Structure Using Coda Wave Interferometry. Struct. Control Heal. Monit. 2021, 28, e2689. [Google Scholar] [CrossRef]
- Lillamand, I.; Ploix, M.; Garnier, V. NDT & E International Acoustoelastic Effect in Concrete Material under Uni-Axial Compressive Loading. NDT E Int. 2010, 43, 655–660. [Google Scholar] [CrossRef]
- Snieder, R.; Grêt, A.; Douma, H.; Scales, J. Coda Wave Interferometry for Estimating Nonlinear Behavior in Seismic Velocity. Science 2002, 295, 2253–2255. [Google Scholar] [CrossRef] [PubMed] [Green Version]
- Chen, G.; Zhang, Y.; Abraham, O.; Pageot, D.; Chekroun, M.; Tournat, V. Numerical Parametric Study of Nonlinear Coda Wave Interferometry Sensitivity to Microcrack Size in a Multiple Scattering Medium. Ultrasonics 2021, 116, 106483. [Google Scholar] [CrossRef] [PubMed]
- Larose, E.; Planes, T.; Rossetto, V.; Margerin, L. Locating a Small Change in a Multiple Scattering Environment. Appl. Phys. Lett. 2010, 96, 204101. [Google Scholar] [CrossRef] [Green Version]
- Zhou, D.; Huo, L.; Chen, D.; Song, G. A Feasibility Study on Monitoring of Weld Fatigue Crack Growth Based on Coda Wave Interferometry (CWI). Smart Mater. Struct. 2021, 30, 095013. [Google Scholar] [CrossRef]
- Ghoshal, G.; Turner, J.A. Numerical Model of Longitudinal Wave Scattering in Polycrystals. IEEE Trans. Ultrason. Ferroelectr. Freq. Control 2009, 56, 1419–1428. [Google Scholar] [CrossRef] [PubMed]
- Van Pamel, A.; Brett, C.R.; Huthwaite, P.; Lowe, M.J.S. Finite Element Modelling of Elastic Wave Scattering within a Polycrystalline Material in Two and Three Dimensions. J. Acoust. Soc. Am. 2015, 138, 2326–2336. [Google Scholar] [CrossRef] [PubMed] [Green Version]
- Shahjahan, S.; Rupin, F.; Aubry, A.; Chassignole, B.; Fouquet, T.; Derode, A. Comparison between Experimental and 2-D Numerical Studies of Multiple Scattering in Inconel600® by Means of Array Probes. Ultrasonics 2014, 54, 358–367. [Google Scholar] [CrossRef] [PubMed]
- Kelly, K.R.; Ward, R.W.; Treitel, S.; Alford, R.M. Synthetic Seismograms: A Finite -Difference Approach. Geophysics 1976, 41, 2–27. [Google Scholar] [CrossRef]
- Carcione, J.M.; Herman, G.C.; ten Kroode, A.P.E. Seismic Modeling. Geophysics 2002, 67, 1304–1325. [Google Scholar] [CrossRef]
- Ihlenburg, F.; Babuška, I. Finite Element Solution of the Helmholtz Equation with High Wave Number Part II: The h-p Version of the Fem. SIAM J. Numer. Anal. 1997, 34, 315–358. [Google Scholar] [CrossRef]
- Xiong, Y.; Zhang, S.; Chen, C.; Zhang, Y. Experiments and Finite Element Analysis for Detecting the Embedded Defects in Concrete Using PZT Transducers. Constr. Build. Mater. 2021, 292, 123318. [Google Scholar] [CrossRef]
- Kocherla, A.; Duddi, M.; Subramaniam, K.V.L. Embedded PZT Sensors for Monitoring Formation and Crack Opening in Concrete Structures. Meas. J. Int. Meas. Confed. 2021, 182, 109698. [Google Scholar] [CrossRef]
- Chen, G.; Pageot, D.; Legland, J.B.; Abraham, O.; Chekroun, M.; Tournat, V. Numerical Modeling of Nonlinear Modulation of Coda Wave Interferometry in a Multiple Scattering Medium with the Presence of a Localized Micro-Cracked Zone. AIP Conf. Proc. 2018, 1949, 210002. [Google Scholar] [CrossRef] [Green Version]
- Larose, E.; De Rosny, J.; Margerin, L.; Anache, D.; Gouedard, P.; Campillo, M.; Van Tiggelen, B. Observation of Multiple Scattering of KHz Vibrations in a Concrete Structure and Application to Monitoring Weak Changes. Phys. Rev. E—Stat. Nonlinear Soft Matter. Phys. 2006, 73, 016609. [Google Scholar] [CrossRef]
- Zhang, Y.; Tournat, V.; Abraham, O.; Durand, O.; Letourneur, S.; Le Duff, A.; Lascoup, B. Nonlinear Coda Wave Interferometry for the Global Evaluation of Damage Levels in Complex Solids. Ultrasonics 2017, 73, 245–252. [Google Scholar] [CrossRef]
- Liu, S.; Bundur, Z.B.; Zhu, J.; Ferron, R.D. Evaluation of Self-Healing of Internal Cracks in Biomimetic Mortar Using Coda Wave Interferometry. Cem. Concr. Res. 2016, 83, 70–78. [Google Scholar] [CrossRef]
- Snieder, R. The Theory of Coda Wave Interferometry. Pure Appl. Geophys. 2006, 163, 455–473. [Google Scholar] [CrossRef]
- Snieder, R. Coda Wave Interferometry and the Equilibration of Energy in Elastic Media. Phys. Rev. E—Stat. Phys. Plasmas Fluids Relat. Interdiscip. Top. 2002, 66, 8. [Google Scholar] [CrossRef] [Green Version]
- Planès, T.; Larose, E.; Rossetto, V.; Margerin, L. Imaging Multiple Local Changes in Heterogeneous Media with Diffuse Waves. J. Acoust. Soc. Am. 2015, 137, 660–667. [Google Scholar] [CrossRef]
- Aki, K.; Chouet, B. Origin of Coda Waves: Source, Attenuation, and Scattering Effects. J. Geophys. Res. 1975, 80, 3322–3342. [Google Scholar] [CrossRef]
- Rossetto, V.; Margerin, L.; Plaǹs, T.; Larose, É. Locating a Weak Change Using Diffuse Waves: Theoretical Approach and Inversion Procedure. J. Appl. Phys. 2011, 109, 034903. [Google Scholar] [CrossRef] [Green Version]
- Paasschens, J.C.J. Solution of the Time-Dependent Boltzmann Equation. Phys. Rev. E—Stat. Phys. Plasmas Fluids Relat. Interdiscip. Top. 1997, 56, 1135–1141. [Google Scholar] [CrossRef]
- Pacheco, C.; Snieder, R. Time-Lapse Travel Time Change of Multiply Scattered Acoustic Waves. J. Acoust. Soc. Am. 2005, 118, 1300–1310. [Google Scholar] [CrossRef] [Green Version]
- Song, K.; Cho, G. International Journal of Rock Mechanics & Mining Sciences Numerical Study on the Evaluation of Tunnel Shotcrete Using the Impact-Echo Method Coupled with Fourier Transform and Short-Time Fourier Transform. Int. J. Rock Mech. Min. Sci. 2010, 47, 1274–1288. [Google Scholar] [CrossRef]
- Walraven, J.C.; Reinhardt, H.W. Theory and Experiments on the Mechanical Behavior of Cracks in Plain and Reinforced Concrete Subjected to Shear Loading. Nasa Sti/recon Tech. Rep. N 1981, 82, 25417. [Google Scholar]
- Markovic, N.; Stojic, D.; Cvetkovic, R.; Radojicic, V.; Conic, S. Numerical Modeling of Ultrasonic Wave Propagation—By Using of Explicit FEM in ABAQUS. Facta Univ.—Ser. Archit. Civ. Eng. 2018, 16, 135–147. [Google Scholar] [CrossRef]
- Markovic, N.; Nestorovic, T.; Stojic, D. Numerical Modeling of Damage Detection in Concrete Beams Using Piezoelectric Patches. Mech. Res. Commun. 2015, 64, 15–22. [Google Scholar] [CrossRef]
- Drozdz, M.B. Efficient Finite Element Modelling of Ultrasound Waves in Elastic Media. Ph.D. Thesis, Imperial College London, London, UK, 2008. [Google Scholar]
- Ariannejad, H. Numerical Simulation of Diffuse Ultrasonic Waves in Concrete. J. Abbr. 2019, 1–72. [Google Scholar]
- Mora, P.; Chekroun, M.; Raetz, S.; Tournat, V. Nonlinear Generation of a Zero Group Velocity Mode in an Elastic Plate by Non-Collinear Mixing. Ultrasonics 2022, 119, 106589. [Google Scholar] [CrossRef]
- Xue, Q.; Larose, E.; Moreau, L. Locating Structural Changes in a Multiple Scattering Domain with an Irregular Shape. J. Acoust. Soc. Am. 2019, 146, 595–602. [Google Scholar] [CrossRef] [PubMed] [Green Version]
- Chiu, C.-K.; Liao, W.-I.; Hartono, A. Study on the Application of Post-Embedded Piezoceramic Transducers for Crack Detection on Earthquake-Damaged RC Columns. Smart Mater. Struct. 2019, 28, 055039. [Google Scholar] [CrossRef]
- Smagin, N.; Trifonov, A.; Bou Matar, O.; Aleshin, V.V. Local Damage Detection by Nonlinear Coda Wave Interferometry Combined with Time Reversal. Ultrasonics 2020, 108, 106226. [Google Scholar] [CrossRef] [PubMed]
- Fröjd, P.; Ulriksen, P. Frequency Selection for Coda Wave Interferometry in Concrete Structures. Ultrasonics 2017, 80, 1–8. [Google Scholar] [CrossRef] [PubMed]
- In, C.; Holland, R.B.; Kim, J.; Kurtis, K.E.; Kahn, L.F.; Jacobs, L.J. NDT & E International Monitoring and Evaluation of Self-Healing in Concrete Using Diffuse Ultrasound. NDT E Int. 2013, 57, 36–44. [Google Scholar] [CrossRef]
- Zhang, Y.; Larose, E.; Moreau, L.; d’Ozouville, G. Three-Dimensional in-Situ Imaging of Cracks in Concrete Using Diffuse Ultrasound. Struct. Heal. Monit. 2018, 17, 279–284. [Google Scholar] [CrossRef] [Green Version]
- Aslani, F.; Hou, L.; Nejadi, S.; Sun, J.; Abbasi, S. Experimental Analysis of Fiber-reinforced Recycled Aggregate Self-compacting Concrete Using Waste Recycled Concrete Aggregates, Polypropylene, and Steel Fibers. Struct. Concr. 2019, 20, 1670–1683. [Google Scholar] [CrossRef]









| Material | Mass Dencity | Young’s Modulus | Poison’s Ratio | P-Wave Velocity | S-Wave Velocity |
|---|---|---|---|---|---|
| Mortar | 2000 | 30 | 0.2 | 4082 | 2500 |
| Aggregate | 2400 | 60 | 0.2 | 5270 | 3227 |
| The Shortest Wavelength | 14 mm |
|---|---|
| Element size | 2 mm |
| Number of elements per wavelength | 7 |
| 1 × 10−8 s |
Publisher’s Note: MDPI stays neutral with regard to jurisdictional claims in published maps and institutional affiliations. |
© 2022 by the authors. Licensee MDPI, Basel, Switzerland. This article is an open access article distributed under the terms and conditions of the Creative Commons Attribution (CC BY) license (https://creativecommons.org/licenses/by/4.0/).
Share and Cite
Ma, B.; Liu, S.; Ma, Z.; Wang, Q.-A.; Yu, Z. Numerical Parametric Study of Coda Wave Interferometry Sensitivity to Microcrack Change in a Multiple Scattering Medium. Materials 2022, 15, 4455. https://doi.org/10.3390/ma15134455
Ma B, Liu S, Ma Z, Wang Q-A, Yu Z. Numerical Parametric Study of Coda Wave Interferometry Sensitivity to Microcrack Change in a Multiple Scattering Medium. Materials. 2022; 15(13):4455. https://doi.org/10.3390/ma15134455
Chicago/Turabian StyleMa, Bin, Shukui Liu, Zhanguo Ma, Qi-Ang Wang, and Zibo Yu. 2022. "Numerical Parametric Study of Coda Wave Interferometry Sensitivity to Microcrack Change in a Multiple Scattering Medium" Materials 15, no. 13: 4455. https://doi.org/10.3390/ma15134455
APA StyleMa, B., Liu, S., Ma, Z., Wang, Q.-A., & Yu, Z. (2022). Numerical Parametric Study of Coda Wave Interferometry Sensitivity to Microcrack Change in a Multiple Scattering Medium. Materials, 15(13), 4455. https://doi.org/10.3390/ma15134455

