Prediction of Strength Properties of Concrete Containing Waste Marble Aggregate and Stone Dust—Modeling and Optimization Using RSM
Abstract
1. Introduction
2. Materials and Methods
2.1. Materials
2.2. Mix Design and Preparation of Specimens
2.3. Workability and Absorption Tests
2.4. Concrete Strength Tests: Compressive Strength, Flexural Strength, and Split Tensile Strength Test
2.5. Durability Test: Acid Attack Resistance
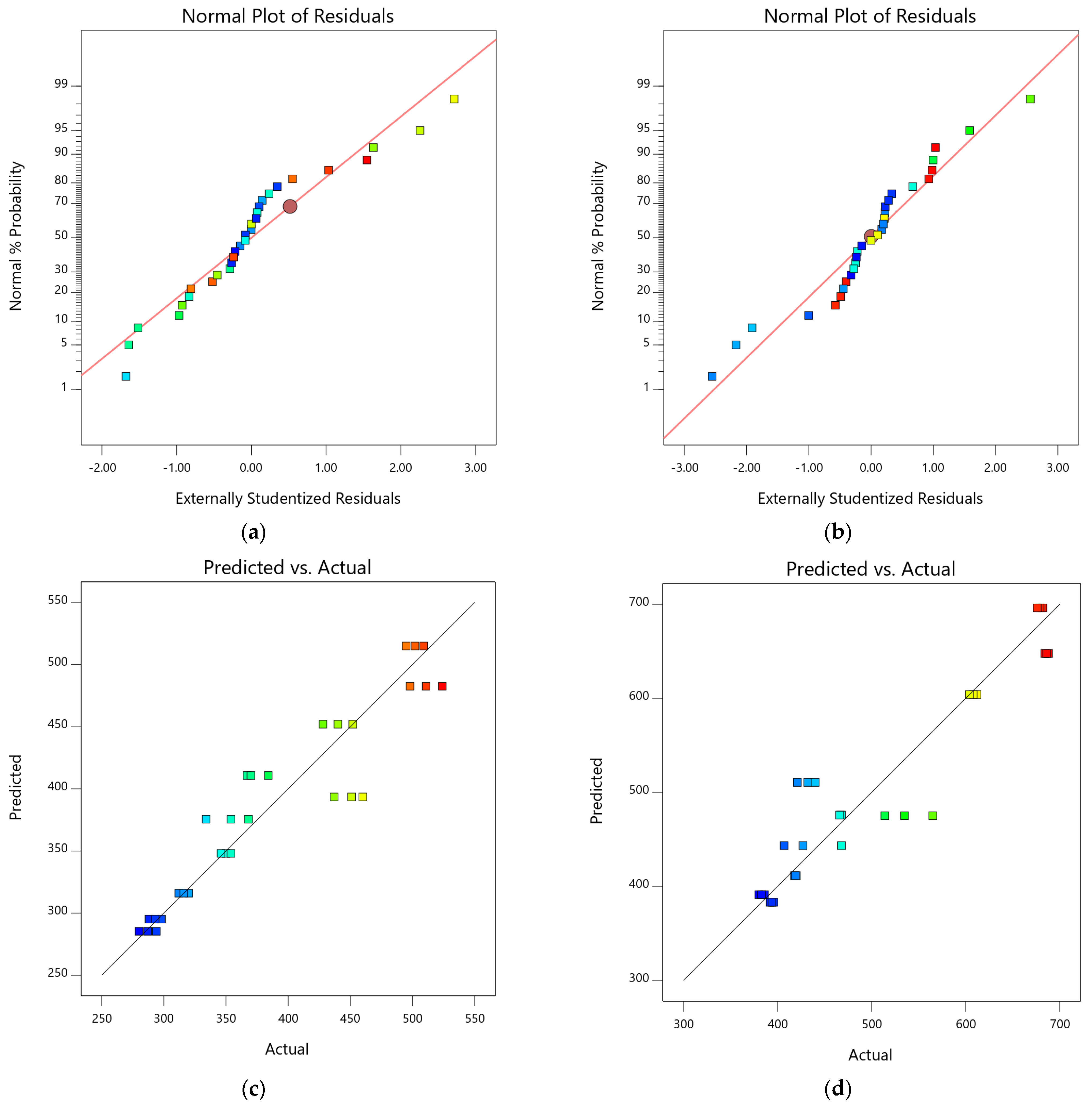
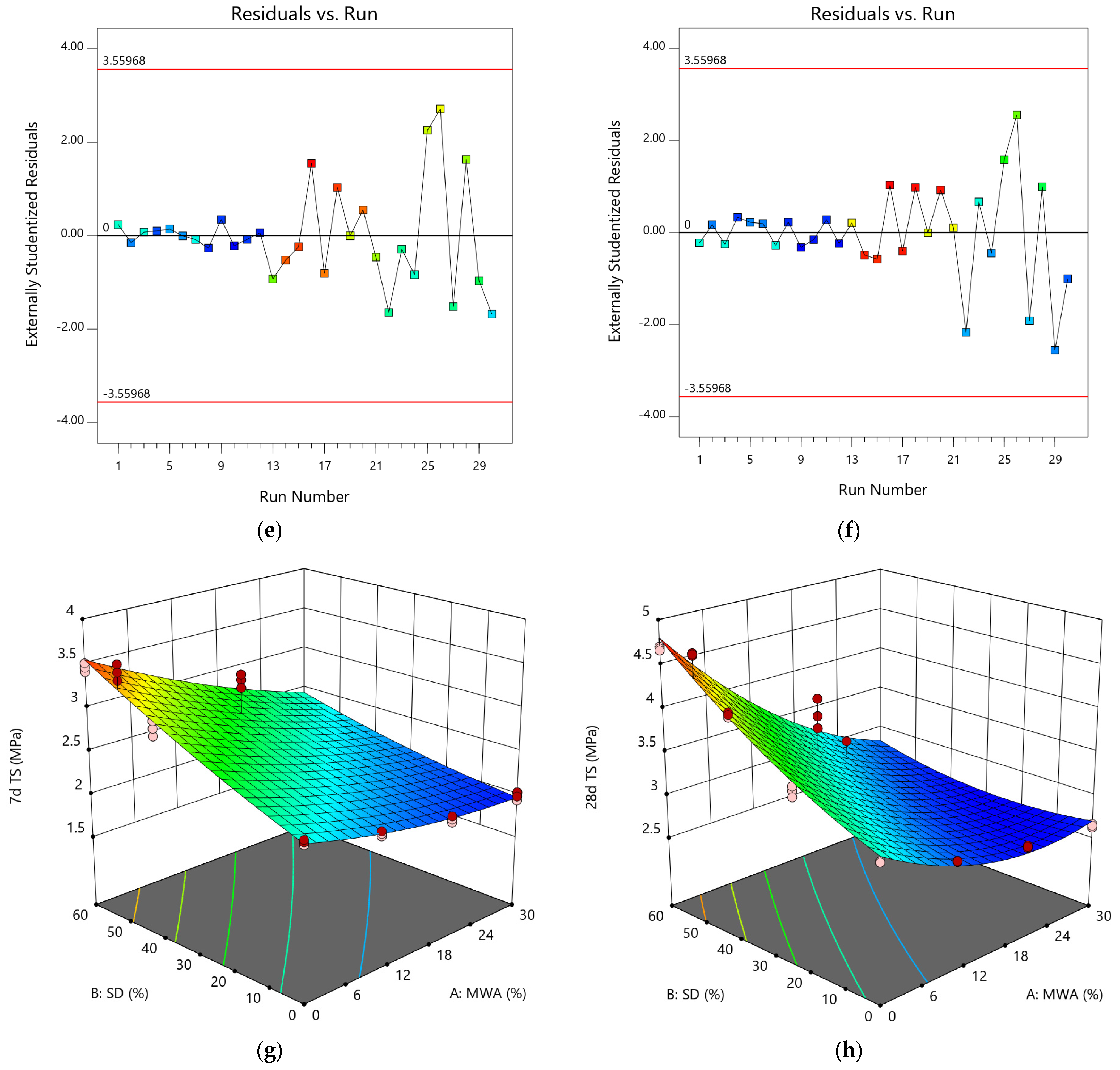
2.6. Application of RSM
3. Results and Discussion
3.1. Effect of MWA and SD Substitution on Physical and Durability Properties
3.1.1. Workability
3.1.2. Absorption Test
3.1.3. Acid Attack Resistance
3.2. Effect of MWA and SD on Strength Properties and Statistical Modeling
3.2.1. Effect on Compressive Strength and Statistical Analysis
3.2.2. Effect on Flexural Strength and Statistical Analysis
3.2.3. Effect on Tensile Strength and Statistical Analysis
3.3. Prediction of Strength Properties
3.4. Optimization and Validation of Results
3.5. Cost Effect of Utilizing the MWA and SD
4. Conclusions
- With the addition of MWA, workability increases (up to slump +12% and compaction factor −2%) attributed to the smooth surface and less absorption of MWA than normally used coarse aggregate. On the other hand, substation of SD causes decreases in workability (up to slump −4% and compaction factor +2%), which is attributed to the finer particles of SD as compared to sand. Similarly, up to 8.4% less absorption in the MWA specimen and 9.8% more absorption than the control specimen were noted.
- Resistance to chemicals (acid attack) was less prominent in MWA (22% loss of material) and SD (8.5% loss of material) as compared to the standard control specimen.
- With a lower crushing value of MWA of 19.98%, as opposed to 16.98% of standard coarse aggregate, a relatively smoother surface of MWA than standard coarse aggregate, and less water absorption (paste adhesion), the bond of MWA was weaker than standard coarse aggregate, as obviously visible in the fractured samples.
- Due to better packing of a wide range of particle sizes of SD, i.e., a wider range of particle gradation, and relatively higher specific gravity improved the density of concrete to some extent. In general, the density relates to the durability of concrete in later stages of service life. However, due to the likely increase of more uniform-sized particles beyond optimum content, there was no clear increase observed in strength parameters.
- Compressive strength was observed to be slightly lower (14% at 7 days and 12% at 28 days) with 30% MWA substitution but significantly enhanced with 50% SD substitutions (39% at 7 days and 31% at 28 days) individually, as compared to the control sample. However, the strength enhancement declines again with additional SD content.
- Flexural strength was observed to be slightly lower (15% at 7 days and 17% at 28 days) up to 30% MWA substitution but significantly enhanced (42% at 7 days and 39% at 28 days) up to 50% SD substitutions individually, as compared to the control sample.
- Split tensile strength was observed to be slightly lower (18% at 7 days and 18% at 28 days) up to 30% MWA substitution but significantly enhanced (46% at 7 days and 47% at 28 days) up to 50% SD substitutions individually, as compared to the control sample.
- For establishing the combined effect of MWA and SD, RSM was applied, and based on contour plots, three sets of MWA and SD substitutions were obtained for comparing compressive strength with the target compressive strength of 3400 psi and 4200 psi at 7 days and 28 days, respectively. The ensuing compressive strength was 3440 psi (7-day) and 4129 psi (28-day) with the 10MWA-45SD combination, 3832 psi (7-day) and 4421 psi (28-day) with the 15MWA-50SD combination, and 3350 psi (7-day) and 4071 psi (28-day) with the 20MWA-50SD combination.
- A significant relationship between RSM predicted data and experimental results was achieved for compressive strength, flexural strength, and tensile strength. The proposed quadratic models are well fitted due to a higher R2 (>0.80) and a lower p-value (<0.05), and hence the derived equations can be used to predict compressive strength, flexural strength, and tensile strength.
- MWA of 15% and SD of 50% replacements were obtained as optimized dosages to replace coarse aggregates and fine aggregates, respectively. The predicted optimized data was validated by additional experiments with an error of less than 5%.
- An encouraging aspect of the research showed that at an early age, the strength development of the optimized mix is significant. It may be attributed to the rougher texture of SD particles and less absorption of MWA, thus leaving water available for hydration as the combined effect of both substitutes created the opportunity for a stronger bond at the initial phases of hydration. It was observed that approximately 70% of the ultimate strength was achieved in the initial 7 days when cured at a curing temperature of 27 °C ± 5 °C.
- Re-utilization of waste materials and byproducts (such as marble waste aggregate and stone dust), while reducing the consumption of natural aggregates, will lead to achieving sustainability and producing green concrete.
Author Contributions
Funding
Acknowledgments
Conflicts of Interest
References
- Kumar Mehta, P. Reducing the Environmental Impact of Concrete—Concrete Can Be Durable and Environmentally Friendly. Farmington Hills. October 2001. Available online: http://ecosmartconcrete.com/docs/trmehta01.pdf (accessed on 20 August 2022).
- Sverdrup, H.U.; Koca, D.; Schlyter, P. A Simple System Dynamics Model for the Global Production Rate of Sand, Gravel, Crushed Rock and Stone, Market Prices and Long-Term Supply Embedded into the WORLD6 Model. BioPhys. Econ. Resour. Qual. 2017, 2, 8. [Google Scholar] [CrossRef]
- Naveen Saviour, M. Environmental Impact of Soil and Sand Mining: A Review. 2012. Available online: https://citeseerx.ist.psu.edu/viewdoc/download?doi=10.1.1.301.3636&rep=rep1&type=pdf (accessed on 20 August 2022).
- Ray, S.; Haque, M.; Auni, M.M.; Islam, S. Analysing properties of concrete made with stone dust and jute fibre using response surface methodology. Int. J. Sustain. Mater. Struct. Syst. 2021, 5, 206. [Google Scholar] [CrossRef]
- Shyam Prakash, K.; Rao, C.H. Study on Compressive Strength of Quarry Dust as Fine Aggregate in Concrete. Adv. Civ. Eng. 2016, 2016, 1742769. [Google Scholar] [CrossRef]
- Balamurugan, G.; Perumal, P. Use of Quarry Dust to Replace Sand in Concrete—An Experimental Study. Int. J. Sci. Res. Publ. 2013, 3, 1. [Google Scholar]
- Aleem, A.; Kannan, A.; Subramanian, K.; Aleem, M.I.A. Optimum Mix of Quarry Dust as Partial Replacement of Fine Aggregate in Concrete. Int. J. Res. Eng. Technol. Manag. 2014, 2, 1–5. [Google Scholar]
- Mohammed, B.S.; Achara, B.E.; Nuruddin, M.F.; Yaw, M.; Zulkefli, M.Z. Properties of nano-silica-modified self-compacting engineered cementitious composites. J. Clean. Prod. 2017, 162, 1225–1238. [Google Scholar] [CrossRef]
- Rossen, J.E.; Lothenbach, B.; Scrivener, K.L. Composition of C–S–H in pastes with increasing levels of silica fume addition. Cem. Concr. Res. 2015, 75, 14–22. [Google Scholar] [CrossRef]
- Zaid, O.; Ahmad, J.; Shahid Siddique, M.; Aslam, F.; Alabduljabbar, H.; Mohamed Khedher, K. A step towards sustainable glass fiber reinforced concrete utilizing silica fume and waste coconut shell aggregate. Sci. Rep. 2021, 11, 12822. [Google Scholar] [CrossRef] [PubMed]
- Zaid, O.; Ahmad, J.; Siddique, M.S.; Aslam, F. Effect of Incorporation of Rice Husk Ash Instead of Cement on the Performance of Steel Fibers Reinforced Concrete. Front. Mater. 2021, 8, 665625. [Google Scholar] [CrossRef]
- Hebhoub, H.; Aoun, H.; Belachia, M.; Houari, H.; Ghorbel, E. Use of waste marble aggregates in concrete. Constr. Build. Mater. 2011, 25, 1167–1171. [Google Scholar] [CrossRef]
- Rana, A.; Kalla, P.; Csetenyi, L.J. Sustainable use of marble slurry in concrete. J. Clean. Prod. 2015, 94, 304–311. [Google Scholar] [CrossRef]
- Ulubeyli, G.C.; Artir, R. Properties of Hardened Concrete Produced by Waste Marble Powder. Procedia Soc. Behav. Sci. 2015, 195, 2181–2190. [Google Scholar] [CrossRef]
- Bacarji, E.; Toledo Filho, R.D.; Koenders, E.A.B.; Figueiredo, E.P.; Lopes, J.L.M.P. Sustainability perspective of marble and granite residues as concrete fillers. Constr. Build. Mater. 2013, 45, 1–10. [Google Scholar] [CrossRef]
- Binici, H.; Shah, T.; Aksogan, O.; Kaplan, H. Durability of concrete made with granite and marble as recycle aggregates. J. Mater. Process. Technol. 2008, 208, 299–308. [Google Scholar] [CrossRef]
- André, A.; de Brito, J.; Rosa, A.; Pedro, D. Durability performance of concrete incorporating coarse aggregates from marble industry waste. J. Clean. Prod. 2014, 65, 389–396. [Google Scholar] [CrossRef]
- Kore, S.D.; Vyas, A.K. Impact of marble waste as coarse aggregate on properties of lean cement concrete. Case Stud. Constr. Mater. 2016, 4, 85–92. [Google Scholar] [CrossRef]
- Al-Zboon, K.; Al-Zou’by, J. Recycling of stone cutting slurry in concrete mixes. J. Mater. Cycl. Waste Manag. 2015, 17, 324–335. [Google Scholar] [CrossRef]
- Marvila, M.; de Matos, P.; Rodríguez, E.; Monteiro, S.N.; de Azevedo, A.R.G. Recycled Aggregate: A Viable Solution for Sustainable Concrete Production. Materials 2022, 15, 5276. [Google Scholar] [CrossRef]
- Rao, G.P.; Sunil, N.; Murty, D.S.R. Shear critical Reinforced Concrete beams with Recycled Coarse Aggregate. IOP Conf. Ser. Mater. Sci. Eng. 2021, 1025, 012015. [Google Scholar] [CrossRef]
- Zaid, O.; Zamir Hashmi, S.R.; Aslam, F.; Alabduljabbar, H. Experimental Study on Mechanical Performance of Recycled Fine Aggregate Concrete Reinforced with Discarded Carbon Fibers. Front. Mater. 2021, 8, 481. [Google Scholar] [CrossRef]
- Uygunoʇlu, T.; Topçu, I.B.; Çelik, A.G. Use of waste marble and recycled aggregates in self-compacting concrete for environmental sustainability. J. Clean. Prod. 2014, 84, 691–700. [Google Scholar] [CrossRef]
- Ruviaro, A.S.; Silvestro, L.; Pelisser, F.; de Azevedo, A.R.G.; de Matos, P.R.; Gastaldini, A.L.G. Long-term effect of recycled aggregate on microstructure, mechanical properties, and CO2 sequestration of rendering mortars. Constr. Build. Mater. 2022, 321, 126357. [Google Scholar] [CrossRef]
- Moreira, P.I.; de Oliveira Dias, J.; de Castro Xavier, G.; Vieira, C.M.; Alexandre, J.; Monteiro, S.N.; Ribeiro, R.P.; de Azevedo, A.R.G. Ornamental Stone Processing Waste Incorporated in the Production of Mortars: Technological Influence and Environmental Performance Analysis. Sustainability 2022, 14, 5904. [Google Scholar] [CrossRef]
- Ghafari, E.; Costa, H.; Júlio, E. RSM-based model to predict the performance of self-compacting UHPC reinforced with hybrid steel micro-fibers. Constr. Build. Mater. 2014, 66, 375–383. [Google Scholar] [CrossRef]
- Agwa, I.S.; Zeyad, A.M.; Tayeh, B.A.; Adesina, A.; de Azevedo, A.R.; Amin, M.; Hadzima-Nyarko, M. A comprehensive review on the use of sugarcane bagasse ash as a supplementary cementitious material to produce eco-friendly concretes. Mater. Today Proc. 2022, 65, 688–696. [Google Scholar] [CrossRef]
- Konsta-Gdoutos, M.S.; Metaxa, Z.S.; Shah, S.P. Highly dispersed carbon nanotube reinforced cement based materials. Cem. Concr. Res. 2010, 40, 1052–1059. [Google Scholar] [CrossRef]
- Zaid, O.; Hashmi, S.R.Z.; Aslam, F.; Abedin, Z.U.; Ullah, A. Experimental study on the properties improvement of hybrid graphene oxide fiber-reinforced composite concrete. Diam. Relat. Mater. 2022, 124, 108883. [Google Scholar] [CrossRef]
- Dasgupta, K.; Sajith, A.S.; Unni Kartha, G.; Joseph, A.; Kavitha, P.E.; Praseeda, K.I. (Eds.) Proceedings of the SECON: International Conference on Structural Engineering and Construction Management; Springer International Publishing: Angamaly, India, 2020. [Google Scholar] [CrossRef]
- Rana, A.; Kalla, P.; Verma, H.K.; Mohnot, J.K. Recycling of dimensional stone waste in concrete: A review. J. Clean. Prod. 2016, 135, 312–331. [Google Scholar] [CrossRef]
- Ramakrishna Balaji, C.; de Azevedo, A.R.G.; Madurwar, M. Sustainable perspective of ancillary construction materials in infrastructure industry: An overview. J. Clean. Prod. 2022, 365, 132864. [Google Scholar] [CrossRef]
- Dash, M.K.; Patro, S.K.; Rath, A.K. Sustainable use of industrial-waste as partial replacement of fine aggregate for preparation of concrete—A review. Int. J. Sustain. Built Environ. 2016, 5, 484–516. [Google Scholar] [CrossRef]
- Siddique, R.; Singh, G.; Singh, M. Recycle option for metallurgical by-product (Spent Foundry Sand) in green concrete for sustainable construction. J. Clean. Prod. 2018, 172, 1111–1120. [Google Scholar] [CrossRef]
- De Azevedo, A.R.G.; Costa, A.M.; Cecchin, D.; Pereira, C.R.; Marvila, M.T.; Adesina, A. Economic potential comparative of reusing different industrial solid wastes in cementitious composites: A case study in Brazil. Environ. Dev. Sustain. 2022, 24, 5938–5961. [Google Scholar] [CrossRef]
- Paes, A.L.; Alexandre, J.; de Xavier, G.C.; Monteiro, S.N.; de Azevedo, A.R.G. Feasibility Analysis of Mortar Development with Ornamental Rock Waste for Coating Application by Mechanized Projection. Sustainability 2022, 14, 5101. [Google Scholar] [CrossRef]
- Binici, H.; Kaplan, H.; Yilmaz, S. Influence of marble and limestone dusts as additives on some mechanical properties of concrete. Sci. Res. Essay 2007, 2, 372–379. [Google Scholar]
- Srivastava, V. Stone Dust in Concrete: Effect on Compressive Strength Utilization of waste materials in concrete View project Blending of concrete with innovative materials View project. Int. J. Eng. Tech. Res. 2015, 3, 2454–4698. [Google Scholar]
- Haque, M.; Ray, S.; Mahzuz, H.M.A. ARPN Journal of Science and Technology: Use of Stone Powder with Sand in Concrete and Mortar: A Waste Utilization Approach. ARPN J. Sci. Technol. 2012, 2, 100. [Google Scholar]
- Malkani, M.S.; Mahmood, Z. Mineral Resources of Pakistan: Provinces and Basins Wise; Geological Survey of Pakistan: Islamabad, Pakistan, 2017. [Google Scholar]
- Korai, M.A.; Hussain, S.; Abro, A.J. A Report on Marble & Granite; Trade Development Authority of Pakistan: Islamabad, Pakistan, 2010. [Google Scholar]
- Standard Test Methods for Time of Setting of Hydraulic Cement by Vicat Needle. Available online: https://www.astm.org/c0191-13.html (accessed on 20 August 2022).
- ASTM C430-08—Standard Test Method for Fineness of Hydraulic Cement by the 45-μm (No. 325) Sieve. Available online: https://webstore.ansi.org/Standards/ASTM/astmc43008 (accessed on 20 August 2022).
- Standard Test Method for Normal Consistency of Hydraulic Cement. Available online: https://www.astm.org/c0187-11.html (accessed on 20 August 2022).
- Standard Specification for Concrete Aggregates. Available online: https://www.astm.org/c0033_c0033m-18.html (accessed on 20 August 2022).
- ACI 211.1-91; Standard Practice for Selecting Proportions for Normal, Heavyweight, and Mass Concrete. ACI Committee 211: Farmington Hills, MI, USA, 2002.
- Standard Practice for Making and Curing Concrete Test Specimens in the Laboratory. Available online: https://www.astm.org/c0192_c0192m-14.html (accessed on 20 August 2022).
- Standard Test Method for Slump of Portland Cement Concrete. Available online: https://www.astm.org/c0143-78.html (accessed on 20 August 2022).
- Compacting Factor Test (BS 1881: Part 103). Available online: https://www.concrete.org.uk/fingertips-nuggets.asp?cmd=display&id=980 (accessed on 20 August 2022).
- Standard Test Method for Density (Unit Weight), Yield, and Air Content (Gravimetric) of Concrete. Available online: https://www.astm.org/c0138_c0138m-17a.html (accessed on 20 August 2022).
- Standard Test Method for Density, Absorption, and Voids in Hardened Concrete. Available online: https://www.astm.org/standards/c642 (accessed on 20 August 2022).
- Standard Test Method for Compressive Strength of Cylindrical Concrete Specimens. Available online: https://www.astm.org/c0039_c0039m-21.html (accessed on 20 August 2022).
- Standard Test Method for Flexural Strength of Concrete (Using Simple Beam with Third-Point Loading). Available online: https://www.astm.org/c0078_c0078m-22.html (accessed on 20 August 2022).
- Standard Test Method for Splitting Tensile Strength of Cylindrical Concrete Specimens. Available online: https://www.astm.org/standards/c496 (accessed on 20 August 2022).
- Standard Test Methods for Determining the Chemical Resistance of Concrete Products to Acid Attack. Available online: https://www.astm.org/c1898-20.html (accessed on 20 August 2022).
- Zahid, M.; Shafiq, N.; Isa, M.H.; Gil, L. Statistical modeling and mix design optimization of fly ash based engineered geopolymer composite using response surface methodology. J. Clean. Prod. 2018, 194, 483–498. [Google Scholar] [CrossRef]
- Upasani, R.S.; Banga, A.K. Response Surface Methodology to Investigate the Iontophoretic Delivery of Tacrine Hydrochloride. Pharm. Res. 2004, 21, 2293–2299. [Google Scholar] [CrossRef]
- Aldahdooh, M.A.A.; Muhamad Bunnori, N.; Megat Johari, M.A. Evaluation of ultra-high-performance-fiber reinforced concrete binder content using the response surface method. Mater. Des. 2013, 52, 957–965. [Google Scholar] [CrossRef]
- Feng, X.; Tufail, R.F.; Zahid, M. Experimental Investigation and Statistical Modeling of FRP Confined RuC Using Response Surface Methodology. Civ. Eng. J. 2019, 5, 268–283. [Google Scholar] [CrossRef]
- Memon, A.M.; Hartadi Sutanto, M.; Napiah, M.; Khan, M.I.; Rafiq, W. Modeling and optimization of mixing conditions for petroleum sludge modified bitumen using response surface methodology. Constr. Build. Mater. 2020, 264, 120701. [Google Scholar] [CrossRef]
- Khan, M.I.; Sutanto, M.H.; bin Napiah, M.; Khan, K.; Rafiq, W. Design optimization and statistical modeling of cementitious grout containing irradiated plastic waste and silica fume using response surface methodology. Constr. Build. Mater. 2021, 271, 121504. [Google Scholar] [CrossRef]
- Khan, M.I.; Sutanto, M.H.; Napiah, M.B.; Zoorob, S.E.; Yusoff, N.I.M.; Usman, A.; Memon, A.M. Irradiated polyethylene terephthalate and fly ash based grouts for semi-flexible pavement: Design and optimisation using response surface methodology. Int. J. Pavement Eng. 2020, 23, 2515–2530. [Google Scholar] [CrossRef]
- Del Coz Diaz, J.J.; Garcia-Nieto, P.J.; Alvarez-Rabanall, F.P.; Alonso-Martínez, M.; Dominguez-Hernandez, J.; Perez-Bella, J.M. The use of response surface methodology to improve the thermal transmittance of lightweight concrete hollow bricks by FEM. Constr. Build. Mater. 2014, 52, 331–344. [Google Scholar] [CrossRef]
- Vardhan, K.; Siddique, R.; Goyal, S. Strength, permeation and micro-structural characteristics of concrete incorporating waste marble. Constr. Build. Mater. 2019, 203, 45–55. [Google Scholar] [CrossRef]
- Ozcelik, Y.; Ozguven, A. Water absorption and drying features of different natural building stones. Constr. Build. Mater. 2014, 63, 257–270. [Google Scholar] [CrossRef]
- Vining, G. Technical Advice: Quantile Plots to Check Assumptions. Qual. Eng. 2010, 22, 364–367. [Google Scholar] [CrossRef]
- Ashraf, M.S.; Hassan Shah, M.U.; Bokhari, A.; Hasan, M. Less is more: Optimising the biocementation of coastal sands by reducing influent urea through response surface method. J. Clean. Prod. 2021, 315, 128208. [Google Scholar] [CrossRef]













| Cement Properties | Values Obtained | 
|---|---|
| Normal Consistency | 32% | 
| Initial Setting Time | 47 min | 
| Final Setting Time | 287 min | 
| Fineness | 4.5% | 
| Specific Gravity | 3.15 | 
| Physical Properties | Fine Aggregates | Coarse Aggregates | 
|---|---|---|
| Specific Gravity | 2.6 | 2.83 | 
| Water Absorption (%) | 1.28 | 3.4 | 
| Fineness Modulus | 2.5 | - | 
| Bulk Density | - | 1570 kg/m3 (98 lb/ft3) | 
| Crushing Value (%) | - | 16.98 | 
| Physical Properties | MWA | Coarse Aggregate | 
|---|---|---|
| Specific Gravity | 2.72 | 2.83 | 
| Water Absorption (%) | 3.15 | 3.4 | 
| Bulk Density (kg/m3) | 1520 kg/m3 (95 lb/ft3) | 1570 kg/m3 (98 lb/ft3) | 
| Crushing Value | 19.98 | 16.98 | 
| Input Parameters | By-Weight Values FPS (SI) Units | 
|---|---|
| Required Cylinder Compressive Strength | 4500 psi (31 MPa) | 
| Required Slump | 2 inch (50 mm) | 
| Nominal maximum aggregate size | 3/4 inch (20 mm) | 
| w/c ratio of mix | 0.5 | 
| Water quantity | 270 lb/yd3 (160 kg/m3) | 
| Quantity of Cement | 540 lb/yd3 (320 kg/m3) | 
| Plastic Density | 4096 lb/yd3 (2430 kg/m3) | 
| Aggregate Contents [Coarse + Fine] | 3288 lb/yd3 (1950 kg/m3) | 
| Fineness modulus of sand | 2.5 | 
| Bulk volume of | 0.67 | 
| Quantity of Coarse Aggregate | 2192 lb/yd3 (1300 kg/m3) | 
| Quantity of Fine Aggregate | 1096 lb/yd3 (650 kg/m3) | 
| Sample | Min Load | Max Load | Min Strain Rate | Max Strain Rate | 
|---|---|---|---|---|
| For 6″ (150 mm) × 6″ (150 mm) cube | 63 Kips (280 KN) | 108 Kips (480 KN) | 8.1 Kips/min (36 KN/min) | 13.5 Kips/min (60 KN/min) | 
| For 6″ (150 mm) × 12″ (300 mm) Cylinder | 50 Kips (220 KN) | 83 Kips (370 KN) | 6.8 Kips/min (30 KN/min) | 14.6 Kips/min (65 KN/min) | 
| Responses | 7-Day CS MPa (psi) | 28-Day CS MPa (psi) | 
|---|---|---|
| Standard Deviation | 1.41 (204.90) | 1.21 (175.92) | 
| Mean | 21.98 (3187.43) | 30.32 (4397.60) | 
| R2 | 0.90 | 0.94 | 
| Adjusted R2 | 0.88 | 0.93 | 
| Predicted R2 | 0.85 | 0.92 | 
| Adequate Precision | 16.39 | 23.66 | 
| Model F-value | 42.37 | 77.58 | 
| Model p-value | <0.0001 | <0.0001 | 
| Model Remarks | Significant | Significant | 
| Proposed Model | Quadratic | Quadratic | 
| Responses | 7-Day FS MPa (psi) | 28-Day FS MPa (psi) | 
|---|---|---|
| Standard Deviation | 0.17 (24.72) | 0.18 (26.78) | 
| Mean | 3.39 (492.37) | 4.87 (705.80) | 
| R2 | 0.94 | 0.96 | 
| Adjusted R2 | 0.93 | 0.96 | 
| Predicted R2 | 0.92 | 0.95 | 
| Adequate Precision | 23.01 | 29.12 | 
| Model F-value | 79.20 | 132.23 | 
| Model p-value | <0.0001 | <0.0001 | 
| Model Remarks | Significant | Significant | 
| Proposed Model | Quadratic | Quadratic | 
| Responses | 7-Day TS MPa (psi) | 28-Day TS MPa (psi) | 
|---|---|---|
| Standard Deviation | 0.20 (29.21) | 0.28 (41.29) | 
| Mean | 2.67 (387.40) | 3.47 (503.90) | 
| R2 | 0.89 | 0.89 | 
| Adjusted R2 | 0.87 | 0.87 | 
| Predicted R2 | 0.85 | 0.85 | 
| Adequate Precision | 17.57 | 16.95 | 
| Model F-value | 41.22 | 41.29 | 
| Model p-value | <0.0001 | <0.0001 | 
| Model Remarks | Significant | Significant | 
| Proposed Model | Quadratic | Quadratic | 
| Coefficients of Equation | Responses | ||||||
|---|---|---|---|---|---|---|---|
| Compressive Strength at 7-Day MPa (psi) | Compressive Strength at 28-Day | Flexural Strength at 7-Day | Flexural Strength at 28-Day | Tensile Strength at 7-Day | Tensile Strength at 28-Day | ||
| Constant | C | 18.61 (+2699.1) | 29.04 (+4212.6) | 2.91 (+421.9) | 4.21 (+610.4) | 2.4 (+348.1) | 3.28 (+475.8) | 
| MWA | A1 | −0.08 (−12.3) | −0.36 (−52.9) | −0.02 (−3.3) | −0.027 (−3.9) | −0.026 (−3.8) | −0.06 (−8.2) | 
| SD | A2 | 0.15 (+21.7) | 0.14 (+20.5) | 0.02 (+3.4) | 0.05 (+6.6) | 0.015 (+2.3) | 0.015 (+2.3) | 
| MWA × SD | A3 | +0.0346 | −0.6585 | +0.0041 | −0.0055 | −0.0541 | −0.1117 | 
| MWA2 | A4 | +0.0700 | +1.2150 | +0.0402 | +0.0187 | +0.0555 | +0.1811 | 
| SD2 | A5 | −0.0297 | +0.0170 | −0.0032 | −0.0412 | +0.0091 | +0.0233 | 
| MWA (%) | SD (%) | 7-Day CS MPa (psi) | 28-Day CS MPa (psi) | 7-Day FS MPa (psi) | 28-Day FS MPa (psi) | 7-Day TS MPa (psi) | 28-Day TS MPa (psi) | |
|---|---|---|---|---|---|---|---|---|
| RSM results | 15 | 50 | 24.62 (3571.01) | 29.41 (4265.65) | 3.78 (547.65) | 5.37 (779.07) | 2.75 (398.13) | 3.32 (480.92) | 
| Additional Experimental data | 15 | 50 | 25.37 (3679.2) | 30.58 (4435.42) | 3.91 (567.36) | 5.14 (745.14) | 2.67 (387.98) | 3.26 (473.24) | 
| Error (%) | -- | -- | 3 | 4 | 4 | 4 | 3 | 2 | 
| Publisher’s Note: MDPI stays neutral with regard to jurisdictional claims in published maps and institutional affiliations. | 
© 2022 by the authors. Licensee MDPI, Basel, Switzerland. This article is an open access article distributed under the terms and conditions of the Creative Commons Attribution (CC BY) license (https://creativecommons.org/licenses/by/4.0/).
Share and Cite
Zamir Hashmi, S.R.; Khan, M.I.; Khahro, S.H.; Zaid, O.; Shahid Siddique, M.; Md Yusoff, N.I. Prediction of Strength Properties of Concrete Containing Waste Marble Aggregate and Stone Dust—Modeling and Optimization Using RSM. Materials 2022, 15, 8024. https://doi.org/10.3390/ma15228024
Zamir Hashmi SR, Khan MI, Khahro SH, Zaid O, Shahid Siddique M, Md Yusoff NI. Prediction of Strength Properties of Concrete Containing Waste Marble Aggregate and Stone Dust—Modeling and Optimization Using RSM. Materials. 2022; 15(22):8024. https://doi.org/10.3390/ma15228024
Chicago/Turabian StyleZamir Hashmi, Syed Roshan, Muhammad Imran Khan, Shabir Hussain Khahro, Osama Zaid, Muhammad Shahid Siddique, and Nur Izzi Md Yusoff. 2022. "Prediction of Strength Properties of Concrete Containing Waste Marble Aggregate and Stone Dust—Modeling and Optimization Using RSM" Materials 15, no. 22: 8024. https://doi.org/10.3390/ma15228024
APA StyleZamir Hashmi, S. R., Khan, M. I., Khahro, S. H., Zaid, O., Shahid Siddique, M., & Md Yusoff, N. I. (2022). Prediction of Strength Properties of Concrete Containing Waste Marble Aggregate and Stone Dust—Modeling and Optimization Using RSM. Materials, 15(22), 8024. https://doi.org/10.3390/ma15228024
 
        





 
       