Advances in Organic Rheology-Modifiers (Chemical Admixtures) and Their Effects on the Rheological Properties of Cement-Based Materials
Abstract
1. Introduction
2. Rheological Properties of Cement-Based Materials
3. Superplasticizers
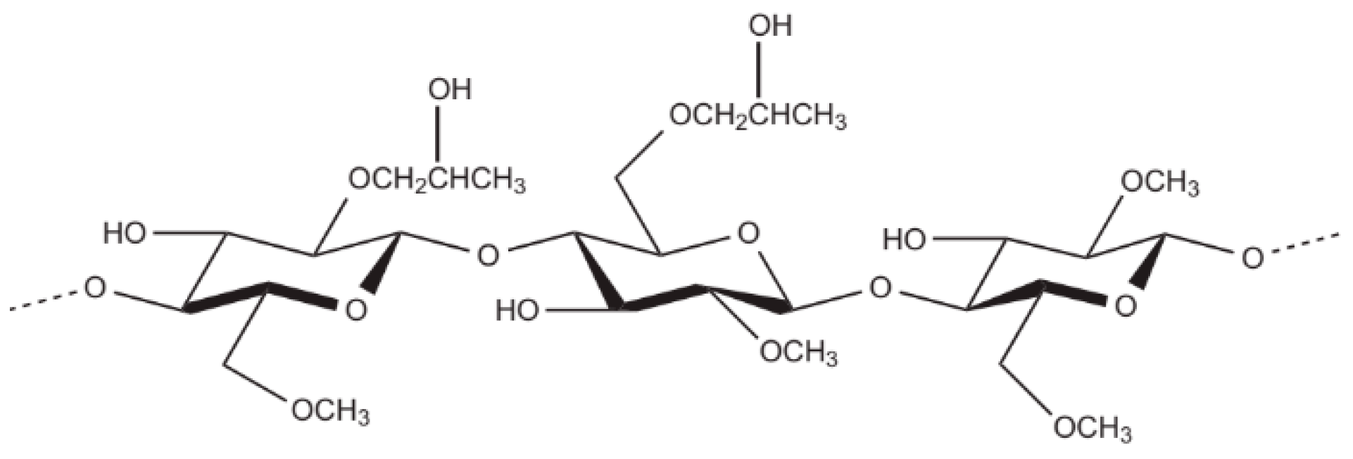
3.1. PCE Conformation and Adsorption
3.1.1. Solution and Adsorption Conformation
3.1.2. Adsorption Behavior
3.2. Effect of Chemical Structure on Yield Stress and Apparent Viscosity of Cement Paste


3.3. Other Effects
3.4. Effect on Thixotropy
3.5. Structure Design and Performance Improvement
3.5.1. Modification of Adsorption Behavior
3.5.2. Topological Structure and Polymer Molecular Frame
3.6. Commercial Superplasticizer Products
4. Viscosity-Modifying Admixture
4.1. Classification
4.2. Working Mechanism
4.3. Recent Advances in VMAs
5. Concluding Remarks
Author Contributions
Funding
Institutional Review Board Statement
Informed Consent Statement
Data Availability Statement
Acknowledgments
Conflicts of Interest
References
- Khayat, K.H.; Meng, W.; Vallurupalli, K.; Teng, L. Rheological properties of ultra-high performance concrete—An overview. Cem. Concr. Res. 2019, 124, 105828. [Google Scholar] [CrossRef]
- Du, J.; Meng, W.; Khayat, K.H.; Bao, Y.; Guo, P.; Lyu, Z.; Abu-obeidah, A.; Nassif, H.; Wang, H. New development of ultra-high-performance concrete (UHPC). Compos. Part B Eng. 2021, 224, 109220. [Google Scholar] [CrossRef]
- Wangler, T.; Roussel, N.; Bos, F.P.; Salet, T.A.M.; Flatt, R.J. Digital Concrete: A Review. Cem. Concr. Res. 2019, 123, 105780. [Google Scholar] [CrossRef]
- Roussel, N. Rheological requirements for printable concretes. Cem. Concr. Res. 2018, 112, 76–85. [Google Scholar] [CrossRef]
- Cheung, J.; Roberts, L.; Liu, J. Admixtures and sustainability. Cem. Concr. Res. 2018, 114, 79–89. [Google Scholar] [CrossRef]
- Liu, J.; Yu, C.; Shu, X.; Ran, Q.; Yang, Y. Recent advance of chemical admixtures in concrete. Cem. Concr. Res. 2019, 124, 105834. [Google Scholar] [CrossRef]
- Lei, L.; Hirata, T.; Plank, J. 40 years of PCE superplasticizers–History, current state-of-the-art and an outlook. Cem. Concr. Res. 2022, 157, 106826. [Google Scholar] [CrossRef]
- Sha, S.; Wang, M.; Shi, C.; Xiao, Y. Influence of the structures of polycarboxylate superplasticizer on its performance in cement-based materials—A review. Constr. Build. Mater. 2020, 233, 117257. [Google Scholar] [CrossRef]
- Bessaies-Bey, H.; Khayat, K.H. Marta Palacios, Wolfram Schmidt, Nicolas Roussel, Viscosity modifying agents: Key components of advanced cement-based materials with adapted rheology. Cem. Concr. Res. 2022, 152, 106646. [Google Scholar] [CrossRef]
- Karakuzu, K.; Kobya, V.; Mardani-Aghabaglou, A.; Felekoğlu, B.; Ramyar, K. Adsorption properties of polycarboxylate ether-based high range water reducing admixture on cementitious systems: A review. Constr. Build. Mater. 2021, 312, 125366. [Google Scholar] [CrossRef]
- Ma, Y.; Sha, S.; Zhou, B.; Lei, F.; Liu, Y.; Xiao, Y.; Shi, C. Adsorption and dispersion capability of polycarboxylate-based superplasticizers: A review. J. Sustain. Cem. Based Mater. 2022, 11, 319–344. [Google Scholar] [CrossRef]
- Gizem Şahin, H.; Biricik, Ö.; Mardani-Aghabaglou, A. Polycarboxylate-based water reducing admixture–clay compatibility; literature review. J. Polym. Res. 2022, 29, 33. [Google Scholar] [CrossRef]
- Alonso, M.; Palacios, M.; Puertas, F. Compatibility between polycarboxylate based admixtures and blended-cement pastes. Cem. Concr. Compos. 2013, 35, 151–162. [Google Scholar] [CrossRef]
- Burgos-Montes, O.; Palacios, M.; Rivilla, P.; Puertas, F. Compatibility between superplasticizer admixtures and cements with mineral additions. Constr. Build. Mater. 2012, 31, 300–309. [Google Scholar] [CrossRef]
- Felekoglu, B.; Tosun, K.; Baradan, B. Compatibility of a polycarboxylate-based superplasticiser with different set-controlling admixtures. Constr. Build. Mater. 2011, 25, 1466–1473. [Google Scholar] [CrossRef]
- Hot, J.; Bessaies-Bey, H.; Brumaud, C.; Duc, M.; Castella, C.; Roussel, N. Adsorbing polymers and viscosity of cement pastes. Cem. Concr. Res. 2014, 63, 12–19. [Google Scholar] [CrossRef]
- Roussel, N.; Lemaître, A.; Flatt, R.J.; Coussot, P. Steady state flow of cement suspensions: A micromechanical state of the art. Cem. Concr. Res. 2010, 40, 77–84. [Google Scholar] [CrossRef]
- Roussel, N. Correlation between yield stress and slump: Comparison between numerical simulations and concrete rheometers results. Mater. Struct. 2006, 39, 501–509. [Google Scholar] [CrossRef]
- Roussel, N.; Stefani, C.; Leroy, R. From mini-cone test to Abrams cone test: Measurement of cement-based materials yield stress using slump tests. Cem. Concr. Res. 2005, 35, 817–822. [Google Scholar] [CrossRef]
- Roussel, N.; Coussot, P. “Fifty-cent rheometer” for yield stress measurements: From slump to spreading flow. J. Rheol. 2005, 49, 705–718. [Google Scholar] [CrossRef]
- Flatt, R.J.; Bowen, P. Yodel: A yield stress model for suspensions. J. Am. Ceram. Soc. 2006, 89, 1244–1256. [Google Scholar] [CrossRef]
- Flatt, R.J.; Bowen, P. Yield stress of multimodal powder suspensions: An extension of the YODEL (Yield Stress mODEL). J. Am. Ceram. Soc. 2007, 90, 1038–1044. [Google Scholar] [CrossRef]
- Zhu, J.; Liu, J.; Khayat, K.H.; Shu, X.; Ran, Q.; Li, Z. Mechanisms affecting viscosity of cement paste made with microfines of manufactured sand. Cem. Concr. Res. 2022, 156, 106757. [Google Scholar] [CrossRef]
- Brown, E.; Jaeger, H.M. Shear thickening in concentrated suspensions: Phenomenology, mechanisms and relations to jamming. Rep. Prog. Phys. 2014, 77, 046602. [Google Scholar] [CrossRef]
- Roussel, N.; Ovarlez, G.; Garrault, S.; Brumaud, C. The origins of thixotropy of fresh cement pastes. Cem. Concr. Res. 2012, 42, 148–157. [Google Scholar] [CrossRef]
- Jiao, D.; Schryver, R.D.; Shi, C.; De Schutter, G.D. Thixotropic structural build-up of cement-based materials: A state-of-the-art review. Cem. Concr. Compos. 2021, 122, 104152. [Google Scholar] [CrossRef]
- Roussel, N. A thixotropy model for fresh fluid concretes: Theory, validation and applications. Cem. Concr. Res. 2006, 36, 1797–1806. [Google Scholar] [CrossRef]
- Perrot, A.; Rangeard, D.; Pierre, A. Structural built-up of cement-based materials used for 3D-printing extrusion techniques. Mater. Struct. 2015, 49, 1213–1220. [Google Scholar] [CrossRef]
- Flatt, R.J.; Houst, Y.F. A simplified view on chemical effects perturbing the action of superplasticizers. Cem. Concr. Res. 2001, 31, 1169–1176. [Google Scholar] [CrossRef]
- Habbaba, A.; Dai, Z.; Plank, J. Formation of organo-mineral phases at early addition of superplasticizers: The role of alkali sulfates and C3A content. Cem. Concr. Res. 2014, 59, 112–117. [Google Scholar] [CrossRef]
- Matsuzawa, K.; Shimazaki, D.; Kawakami, H.; Sakai, E. Effect of non-adsorbed superplasticizer molecules on fluidity of cement paste at low water-powder ratio. Cem. Concr. Compos. 2019, 97, 218–225. [Google Scholar] [CrossRef]
- Perrot, A.; Lecompte, T.; Khelifi, H.; Brumaud, C.; Hot, J.; Roussel, N. Yield stress and bleeding of fresh cement pastes. Cem. Concr. Res. 2012, 42, 937–944. [Google Scholar] [CrossRef]
- Gelardi, G.; Sanson, N.; Nagy, G.; Flatt, R.J. Characterization of comb-shaped copolymers by multidetection SEC, DLS and SANS. Polymers 2017, 9, 61. [Google Scholar] [CrossRef] [PubMed]
- Zhang, Q.; Ran, Q.; Shu, X.; Yang, Y.; Yu, C. Effect of counter-ions on the solution conformation and adsorption behaviors of comblike polycarboxylates on calcium carbonate. J. Dispers. Sci. Technol. 2019, 40, 1804–1812. [Google Scholar] [CrossRef]
- Zhang, Q.; Ran, Q.; Zhao, H.; Shu, X.; Yang, Y. Effect of counterions on comb-like polycarboxylate conformation in aqueous solutions. J. Dispers. Sci. Technol. 2017, 38, 721–728. [Google Scholar] [CrossRef]
- Zhang, Q.; Yang, B.; Ran, Q.; Yu, C.; Zhao, H. Effect of side chain on conformational properties of comb-like polycarboxylate in salt solutions. J. Dispers. Sci. Technol. 2021, 42, 641–652. [Google Scholar] [CrossRef]
- Zhang, Q.; Ran, Q.; Zhao, H.; Shu, X.; Yang, Y.; Zhou, H.; Liu, J. pH-induced conformational changes of comb-like polycarboxylate investigated by experiment and simulation. Colloid Polym. Sci. 2016, 294, 1705–1715. [Google Scholar] [CrossRef]
- Mohamed, A.K.; Weckwerth, S.A.; Mishra, R.K.; Heinz, H.; Flatt, R.J. Molecular modeling of chemical admixtures; opportunities and challenges. Cem. Concr. Res. 2022, 156, 106783. [Google Scholar] [CrossRef]
- Bahraqa, A.A.; Al-Osta, M.A.; Al-Amoudi, O.S.B.; Salehcd, T.A.; Obot, I.B. Atomistic simulation of polymer-cement interactions: Progress and research challenges. Constr. Build. Mater. 2022, 327, 126881. [Google Scholar] [CrossRef]
- Tiemeyer, C.; Lange, A.; Plank, J. Determination of the adsorbed layer thickness of functional anionic polymers utilizing chemically modified polystyrene nanoparticles. Colloids Surf. A 2014, 456, 139–145. [Google Scholar] [CrossRef]
- Stecher, J.; Plank, J. Adsorbed layer thickness of polycarboxylate and polyphosphate superplasticizers on polystyrene nanoparticles measured via dynamic light scattering. J. Colloid Interface Sci. 2020, 562, 204–212. [Google Scholar] [CrossRef] [PubMed]
- Horr, T.J.; Arora, P.S.; Smart, R.S.C. XPS film thickness and adsorption studies of alkyltrimethylammonium bromides and organosilanes on silica surfaces. Colloids Surf. A 1995, 102, 181–190. [Google Scholar] [CrossRef]
- Flatt, R.J.; Schober, I.; Raphael, E.; Plassard, C.; Lesniewska, E. Conformation of adsorbed comb copolymer dispersants. Langmuir 2009, 25, 845–855. [Google Scholar] [CrossRef]
- Gay, C.; Raphaël, E. Comb-like polymers inside nanoscale pores. Adv. Colloid Interface Sci. 2001, 94, 229–236. [Google Scholar] [CrossRef]
- Wang, Y.; Zhao, H.; Shu, X.; Yang, Y.; Ran, Q. Radius of gyration of comb-shaped copolymers by the wormlike chain model: Theory and its applications to MPEG-type polycarboxylate-type superplasticizers. Acta Polym. Sin. 2017, 11, 1816–1831. [Google Scholar]
- Wang, Y.; Zhao, H.; Shu, X.; Yang, Y.; Ran, Q. Modelling the equilibrium sizes of comb-shaped MPEG-type polycarboxylate-type superplasticizers in dilute solution and their apparent molecular weight in conventional size exclusion chromatography. Acta Polym. Sin. 2017, 6, 1008–1018. [Google Scholar]
- Wang, Y.; Shu, X.; Yang, Y. Polymer physics and PCE superplasticizers revisited. In Proceedings of the 12th International Conference on Superplasticizers and Other Chemical Admixtures in Concrete, Beijing, China, 28–31 October 2018; pp. 305–318. [Google Scholar]
- Wang, Y.; Shu, X.; Ran, Q.; Liu, J. Progress in Research and Application of Concrete Admixtures in China; Kelong Cup Paper Collection: Xiamen, China, 2018; pp. 20–32. [Google Scholar]
- Reese, J.; Plank, J. Adsorption of Polyelectrolytes on Calcium Carbonate–Which Thermodynamic Parameters are Driving This Process? J. Am. Ceram. Soc. 2011, 94, 3515–3522. [Google Scholar] [CrossRef]
- Plank, J.; Sachsenhauser, B.; Reese, J. Experimental determination of the thermodynamic parameters affecting the adsorption behavior and dispersion effectiveness of PCE superplasticizers. Cem. Concr. Res. 2010, 40, 699–709. [Google Scholar] [CrossRef]
- Shu, X.; Ran, Q.; Liu, J.; Zhao, H.; Zhang, Q.; Wang, X.; Yang, Y.; Liu, J. Tailoring the solution conformation of polycarboxylate superplasticizer toward the improvement of dispersing performance in cement paste. Constr. Build. Mater. 2016, 116, 289–298. [Google Scholar] [CrossRef]
- Marchon, D.; Mantellato, S.; Flatt, R. Adsorption of chemical admixtures. In Science and Technology of Concrete Admixtures; Aïtcin, P., Flatt, R., Eds.; Woodhead Publishing: Cambridge, UK, 2016; pp. 219–256. [Google Scholar]
- Zhang, C.; Yu, J.; Kong, X.; Cai, Y. Effect of chemical admixtures on rheological properties of mortars. J. Chin. Ceram. Soc. 2020, 48, 622–631. [Google Scholar]
- Wallevik, O.; Wallevik, J. Rheology as a tool in concrete science: The use of rheographs and workability boxes. Cem. Concr. Res. 2011, 41, 1279–1288. [Google Scholar] [CrossRef]
- Shu, X.; Wang, Y.; Yang, Y.; Wang, X.; Zhang, Q.; Zhao, H. Rheological properties of cement pastes with polycarboxylate superplasticizers of varied backbone stiffness. J. Mater. Civ. Eng. 2019, 31, 04019092. [Google Scholar] [CrossRef]
- Shu, X.; Wang, Y.; Yang, Y.; Wang, X.; Zhang, Q.; Zhao, H.; Ran, Q.; Liu, J. Rheological properties of cement pastes incorporating polycarboxylate superplasticizers containing different hydrophobic groups. In Proceedings of the 12th International Conference on Superplasticizers and Other Chemical Admixtures in Concrete, Beijing, China, 28–31 October 2018; pp. 333–347. [Google Scholar]
- Liu, J.; Wang, K.; Zhang, Q.; Han, F.; Sha, J.; Liu, J. Influence of superplasticizer dosage on the viscosity of cement paste with low water-binder ratio. Constr. Build. Mater. 2017, 149, 359–366. [Google Scholar] [CrossRef]
- Lowke, D. Thixotropy of SCC—A model describing the effect of particle packing and superplasticizer adsorption on thixotropic structural build-up of the mortar phase based on interparticle interactions. Cem. Concr. Res. 2018, 104, 94–104. [Google Scholar] [CrossRef]
- Bessaies-Bey, H.; Palacios, M.; Pustovgar, E.; Hanafi, M.; Baumann, R.; Flatt, R.J.; Roussel, N. Non-adsorbing polymers and yield stress of cement paste: Effect of depletion forces. Cem. Concr. Res. 2018, 111, 209–217. [Google Scholar] [CrossRef]
- Kashani, A.; Provis, J.L.; Xu, J.; Kilcullen, A.; Qiao, G.; van Deventer, J.S.J. Effect of molecular architecture of polycarboxylate ethers on plasticizing performance in alkali-activated slag paste. J. Mater. Sci. 2014, 49, 2761–2772. [Google Scholar] [CrossRef]
- Tian, H.; Kong, X.; Su, T.; Wang, D. Comparative study of two PCE superplasticizers with varied charge density in Portland cement and sulfoaluminate cement systems. Cem. Concr. Res. 2019, 115, 43–58. [Google Scholar] [CrossRef]
- Zhang, Q.; Shu, X.; Yu, X.; Yang, Y.; Ran, Q. Toward the viscosity reducing of cement paste: Optimization of the molecular weight of polycarboxylate superplasticizers. Constr. Build. Mater. 2020, 242, 117984. [Google Scholar] [CrossRef]
- Dalas, F.; Pourchet, S.; Nona, A.; Rinaldi, D.; Sabio, S.; Mosquet, M. Fluidizing efficiency of comb-like superplasticizers: The effect of the anionic function, the side chain length and the grafting degree. Cem. Concr. Res. 2015, 67, 115–123. [Google Scholar] [CrossRef]
- Winnefeld, F.; Becker, S.; Pakusch, J.; Götz, T. Effects of the molecular architecture of comb-shaped superplasticizers on their performance in cementitious systems. Cem. Concr. Compos. 2007, 29, 251–262. [Google Scholar] [CrossRef]
- Zingg, A.; Winnefeld, F.; Holzer, L.; Pakusch, J.; Becker, S.; Gauckler, L. Adsorption of polyelectrolytes and its influence on the rheology, zeta potential, and micrsostructure of various cement and hydrate phases. J. Colloid Interface Sci. 2008, 323, 301–312. [Google Scholar] [CrossRef] [PubMed]
- Peng, X.Y.; Yi, C.H.; Deng, Y.H.; Qiu, X.Q. Synthesis and evaluation of polycarboxylate-type superplasticizers with different carboxylic contents used in a cement system. Inter. J. Polym. Mater. Polym. Biomater. 2011, 60, 923–938. [Google Scholar] [CrossRef]
- Shu, X.; Zhao, H.; Wang, X.; Zhang, Q.; Yang, Y.; Ran, Q.; Liu, J. Effect of hydrophobic units of polycarboxylate superplasticizer on the flow behavior of cement paste. J. Dispers. Sci. Technol. 2017, 38, 256–264. [Google Scholar] [CrossRef]
- Bessaies-Bey, H.; Baumann, R.; Schmitz, M.; Radler, M.; Roussel, N. Effect of polyacrylamide on rheology of fresh cement pastes. Cem. Concr. Res. 2015, 76, 98–106. [Google Scholar] [CrossRef]
- Ilg, M.; Plank, J. Effect of non-ionic auxiliary dispersants on the rheological properties of mortars and concretes of low water-to-cement ratio. Constr. Build. Mater. 2020, 259, 119780. [Google Scholar] [CrossRef]
- Ilg, M.; Plank, J. Non-adsorbing small molecules as auxiliary dispersants for polycarboxylate superplasticizers. J. Colloid. Surf. A 2020, 587, 124307. [Google Scholar] [CrossRef]
- Lange, A.; Plank, J. Contribution of non-adsorbing polymers to cement dispersion. Cem. Concr. Res. 2016, 79, 131–136. [Google Scholar] [CrossRef]
- Lange, A.; Plank, J. Formation of nano-sized ettringite crystals identified as root cause for cement incompatibility of PCE superplasticizers. In Nanotechnology in Construction, Proceedings of the NICOM5, Chicago, IL, USA, 24–26 May 2015; Sobolev, K., Shah, S.P., Eds.; Springer International Publishing: Cham, Switzerland, 2015; pp. 55–63. [Google Scholar]
- Dalas, F.; Pourchet, S.; Rinaldi, D.; Nonat, A.; Sabio, S.; Mosquet, M. Modification of the rate of formation and surface area of ettringite by polycarboxylate ether superplasticizers during early C3A–CaSO4 hydration. Cem. Concr. Res. 2015, 69, 105–113. [Google Scholar] [CrossRef]
- Schönlein, M.; Plank, J. Influence of PCE kind and dosage on ettringite crystallization performed under terrestrial and microgravity conditions. J. Am. Ceram. Soc. 2018, 101, 3575–3584. [Google Scholar] [CrossRef]
- Meier, M.R.; Rinkenburger, A.; Plank, J. Impact of different types of polycarboxylate superplasticisers on spontaneous crystallisation of ettringite. Adv. Cem. Res. 2016, 28, 310–319. [Google Scholar] [CrossRef]
- Chomyn, C.; Plank, J. Impact of different pH-values of polycarboxylate (PCE) superplasticizer solutions on their dispersing effectiveness. Constr. Build. Mater. 2020, 246, 118440. [Google Scholar] [CrossRef]
- Mantellato, S.; Flatt, R. Shifting factor—A new paradigm for studying the rheology of cementitious suspensions. J. Am. Ceram. Soc. 2020, 103, 3562–3574. [Google Scholar] [CrossRef]
- Marchon, D.; Juilland, P.; Gallucci, E.; Frunz, L.; Flatt, R.J. Molecular and submolecular scale effects of comb-copolymers on tri-calcium silicate reactivity: Toward molecular design. J. Am. Ceram. Soc. 2017, 100, 817–841. [Google Scholar] [CrossRef]
- Yoshioka, K.; Tazawa, E.; Kawai, K.; Enohata, T. Adsorption characteristics of superplasticizers on cement component minerals. Cem. Concr. Res. 2002, 32, 1507–1513. [Google Scholar] [CrossRef]
- Plank, J.; Hirsch, C. Impact of zeta potential of early cement hydration phases on superplasticizer adsorption. Cem. Concr. Res. 2007, 37, 537–542. [Google Scholar] [CrossRef]
- Tian, H.; Kong, X.; Miao, X.; Jiang, L.; Pang, X. A new insight into the working mechanism of PCE emphasizing the interaction between PCE and Ca2+ in fresh cement paste. Constr. Build. Mater. 2021, 275, 122133. [Google Scholar] [CrossRef]
- Zhang, L.; Du, W.; Wang, D.; Wang, F.; Fang, K.; Yu, J.; Sheng, B. Syntheses of polycarboxylate superplasticizers: Microwave induction versus conventional thermal induction. Compos. Part B Eng. 2021, 207, 108560. [Google Scholar] [CrossRef]
- Zhang, L.R.; Miao, X.; Kong, X.M. Retardation effect of PCE superplasticizers with different architectures and their impacts on early strength of cement mortar. Cem. Concr. Compos. 2019, 104, 103369. [Google Scholar] [CrossRef]
- Qi, S.; Wang, T.; Fan, S.; Ma, J.; Yang, Y.; Han, Z.; Qiao, M.; Ran, Q. Dispersion, adsorption and retardation effects of phosphonated small molecule superplasticisers in cement hydration. Adv. Cem. Res. 2018, 31, 399–410. [Google Scholar] [CrossRef]
- Lei, L.; Chan, H.-K. Investigation into the molecular design and plasticizing effectiveness of HPEG-based polycarboxylate superplasticizers in alkali-activated slag. Cem. Concr. Res. 2020, 136, 106150. [Google Scholar] [CrossRef]
- Qian, Y.; Lesage, K.; Cheikh, K.E.; De Schutter, G. Effect of polycarboxylate ether superplasticizer (PCE) on dynamic yield stress, thixotropy and flocculation state of fresh cement pastes in consideration of the Critical Micelle Concentration (CMC). Cem. Concr. Res. 2018, 107, 75–84. [Google Scholar] [CrossRef]
- Wallevik, J.E. Thixotropic investigation on cement paste: Experimental and numerical approach. J. Non-Newton. Fluid Mech. 2005, 132, 86–99. [Google Scholar] [CrossRef]
- Qian, Y. Effect of polycarboxylate ether (PCE) superplasticizer on thixotropic structural build-up of fresh cement pastes over time. Constr. Build. Mater. 2021, 291, 123241. [Google Scholar] [CrossRef]
- Zhu, W.; Feng, Q.; Luo, Q.; Bai, X.; Chen, K.; Lin, X. Effect of a specific PCE superplasticizer on the initial dissolution and early hydration of Portland cement. J. Build. Eng. 2022, 46, 103786. [Google Scholar] [CrossRef]
- Nicia, D.; Lowke, D. Effect of the Side Chain Density and Length of Polycarboxylate Ether Superplasticizers on the Thixotropic Structural Build-Up of Cement Paste. In Rheology and Processing of Construction Materials; Mechtcherine, V., Ed.; Springer: Berlin/Heidelberg, Germany, 2020; pp. 125–133. [Google Scholar]
- Ma, Y.; Shi, C.; Lei, L.; Sha, S.; Zhou, B.; Liu, Y.; Xiao, Y. Research progress on polycarboxylate based superplasticizers with tolerance to clays—A review. Constr. Build. Mater. 2020, 255, 119386. [Google Scholar] [CrossRef]
- Nehdi, M.L. Clay in cement-based materials: Critical overview of state-of-the-art. Constr. Build. Mater. 2013, 51, 372–382. [Google Scholar] [CrossRef]
- Dalas, F.; Nonat, A.; Pourchet, S.; Mosquet, M.; Rinaldi, D.; Sabio, S. Tailoring the anionic function and the side chains of comb-like superplasticizers to improve their adsorption. Cem. Concr. Res. 2015, 67, 21–30. [Google Scholar] [CrossRef]
- Li, Y.; Yang, C.; Zhang, Y.; Zheng, J.; Guo, H.; Lu, M. Study on dispersion, adsorption and flow retaining behaviors of cement mortars with TPEG-type polyether kind polycarboxylate superplasticizers. Constr. Build. Mater. 2014, 64, 324–332. [Google Scholar] [CrossRef]
- Li, M.; Zheng, D.-D.; Zhu, Y. Effect of carboxylate content in comb-like AA–IPEG copolymer as a dispersant for cement-based systems. Adv. Cem. Res. 2017, 29, 387–396. [Google Scholar] [CrossRef]
- Sha, S.; Zhang, Y.; Ma, Y.; Liu, Y.; Shi, C. Effect of molecular structure of maleic anhydride, fumaric acid–Isopentenyl polyoxyethylene ether based polycarboxylate superplasticizer on its properties in cement pastes. Constr. Build. Mater. 2021, 308, 125143. [Google Scholar] [CrossRef]
- Sha, S.; Ma, Y.; Xiao, Y.; Xiao, Z.; Hui, W.; Li, X.; Shi, C. Comparative study of PCE superplasticizers with different anchoring groups in low water-to-binder ratio cementitious material. Constr. Build. Mater. 2021, 312, 125344. [Google Scholar] [CrossRef]
- Qian, S.; Yao, Y.; Wang, Z.; Cui, S.; Liu, X.; Jiang, H.; Guo, Z.; Lai, G.; Xu, Q.; Guan, J. Synthesis, characterization and working mechanism of a novel polycarboxylate superplasticizer for concrete possessing reduced viscosity. Constr. Build. Mater. 2018, 169, 452–461. [Google Scholar] [CrossRef]
- Lin, X.; Pang, H.; Wei, D.; Lu, M.; Liao, B. Effect of superplasticizers with different anchor groups on the properties of cementitious systems. Colloids Surf. A 2021, 630, 127207. [Google Scholar] [CrossRef]
- Qi, H.; Ma, B.; Tan, H.; Su, Y.; Jin, Z.; Li, C.; Liu, X.; Yang, Q.; Luo, Z. Polycarboxylate superplasticizer modified by phosphate ester in side chain and its basic properties in gypsum plaster. Constr. Build. Mater. 2021, 271, 121566. [Google Scholar] [CrossRef]
- Vo, M.L.; Plank, J. Dispersing effectiveness of a phosphated polycarboxylate in α- and β-calcium sulfate hemihydrate systems. Constr. Build. Mater. 2020, 237, 117731. [Google Scholar] [CrossRef]
- Stecher, J.; Plank, J. Novel concrete superplasticizers based on phosphate esters. Cem. Concr. Res. 2019, 119, 36–43. [Google Scholar] [CrossRef]
- He, Y.; Shu, X.; Wang, X.; Yang, Y.; Liu, J.; Ran, Q. Effects of polycarboxylates with different adsorption groups on the rheological properties of cement paste. J. Dispers. Sci. Technol. 2020, 41, 873–883. [Google Scholar] [CrossRef]
- Ma, J.; Wang, T.; Qi, S.; Fan, S.; Zheng, S.; Ran, Q. Effects of structure on the properties of low-molecular-weight superplasticizer using phosphonate as the adsorption group. Colloid Polym. Sci. 2018, 296, 503–514. [Google Scholar] [CrossRef]
- Vo, M.L.; Plank, J. Evaluation of phosphated superplasticizers in high-performance α-calcium sulfate hemihydrate-based floor screeds. J. Build. Eng. 2021, 41, 102787. [Google Scholar] [CrossRef]
- Tramaux, A.; Azéma, N.; David, G.; Negrell, C.; Poulesquen, A.; Haas, J.; Remond, S. Synthesis of phosphonated comb-like copolymers and evaluation of their dispersion efficiency on CaCO3 suspensions, Part I: Effect of an increasing phosphonic acid content. Powder Technol. 2018, 333, 19–29. [Google Scholar] [CrossRef]
- Tramaux, A.; Azéma, N.; David, G.; Negrell, C.; Poulesquen, A.; Haas, J.; Remond, S. Synthesis of phosphonated comb-like copolymers and evaluation of their dispersion efficiency on CaCO3 suspensions, part II: Effect of macromolecular structure and ionic strength. Powder Technol. 2018, 334, 163–172. [Google Scholar] [CrossRef]
- Tramaux, A.; Azéma, N.; David, G.; Negrell, C.; Poulesquen, A.; Haas, J.; Remond, S. Diphosphonated comb-like copolymers synthesis as suspensions dispersants and their resistance to ionic competition phenomenon. Powder Technol. 2018, 335, 334–343. [Google Scholar] [CrossRef]
- Stecher, J.; Plank, J. Phosphated comb polymers—A new generation of highly effective superplasticizers. In Proceedings of the International Concrete Sustainability Conference, Washington, DC, USA, 12–14 September 2016; pp. 61–71. [Google Scholar]
- Zhang, Q.; Shu, X.; Yang, Y.; Ran, Q. Adsorption of Superplasticizer and its Effect on Viscosity of Cement-Silica Fume Paste. J. Chin. Ceram. Soc. 2020, 48, 1716–1721. [Google Scholar]
- Zhang, Q.; Shu, X.; Yang, Y.; Wang, X.; Liu, J.; Ran, Q. Preferential adsorption of superplasticizer on cement/silica fume and its effect on rheological properties of UHPC. Constr. Build. Mater. 2022, 359, 129519. [Google Scholar] [CrossRef]
- Shu, X.; Zhang, Q.; Yang, Y.; Wang, X.; Wang, Y.; Ran, Q.; Liu, J. Toward the performance improvement of polycarboxylate superplasticizer by incorporation of phosphate groups: Preferential adsorption and rheological property of cement paste. submitted.
- He, Y.; Zhang, X.; Hooton, R.D. Effects of organosilane-modified polycarboxylate superplasticizer on the fluidity and hydration properties of cement paste. Constr. Build. Mater. 2017, 132, 112–123. [Google Scholar] [CrossRef]
- Lu, Z.; Kong, X.; Liu, H.; Wang, Z.; Zhang, Y.; Dong, B.; Xing, F. Interaction of silylated superplasticizers with cementitious materials. J. Appl. Polym. Sci. 2016, 133, 44161. [Google Scholar] [CrossRef]
- Wang, R.; Han, K.; Li, Y.; Jin, C. A novel anti-clay silane-modified polycarboxylate superplasticizer: Preparation, performance and mechanism. Constr. Build. Mater. 2022, 331, 127311. [Google Scholar] [CrossRef]
- Fan, W.; Stoffelbach, F.; Rieger, J.; Regnaud, L.; Vichot, A.; Bresson, B.; Lequeux, N. A new class of organosilane-modified polycarboxylate superplasticizers with low sulfate sensitivity. Cem. Concr. Res. 2012, 42, 166–172. [Google Scholar] [CrossRef]
- Habbaba, A.; Lange, A.; Plank, J. Synthesis and Performance of a Modified Polycarboxylate Dispersant for Concrete Possessing Enhanced Cement Compatibility. J. Appl. Polym. Sci. 2013, 130, 346–353. [Google Scholar] [CrossRef]
- Lei, L.; Plank, J. A study on the impact of different clayminerals on the dispersing force of conventional and modified vinyl ether based polycarboxylate superplasticizers. Cem. Concr. Res. 2014, 60, 1–10. [Google Scholar] [CrossRef]
- Lei, L.; Plank, J. Synthesis and Properties of a Vinyl Ether-Based Polycarboxylate Superplasticizer for Concrete Possessing Clay Tolerance. Ind. Eng. Chem. Res. 2014, 53, 1048–1055. [Google Scholar] [CrossRef]
- Werani, M.; Lei, L. Influence of side chain length of MPEG–based polycarboxylate superplasticizers on their resistance towards intercalation into clay structures. Constr. Build. Mater. 2021, 281, 122621. [Google Scholar] [CrossRef]
- Xu, H.; Sun, S.; Wang, J. b-Cyclodextrin as pendant groups of a polycarboxylate superplasticizer for enhancing clay tolerance. Ind. Eng. Chem. Res. 2015, 54, 9081–9088. [Google Scholar] [CrossRef]
- Li, Y.; Guo, H.; Zhang, Y. Synthesis of copolymers with cyclodextrin as pendants and its end group effect as superplasticizer. Carbohydr. Polym. 2014, 102, 278–287. [Google Scholar] [CrossRef]
- Chen, J.; Zhang, S.; Zhang, S. Design and performance test of snowflake antifouling polycarboxylate water reducer. J. Build. Mater. 2019, 22, 54–59. (In Chinese) [Google Scholar]
- Yao, F.; Li, M.; Pan, L.; Li, J.; Xu, N. Synthesis of sodium alginate-polycarboxylate superplasticizer and its tolerance mechanism on montmorillonite. Cem. Concr. Res. 2022, 133, 104638. [Google Scholar] [CrossRef]
- Chen, G.; Lei, J.; Du, Y.; Du, X.; Chen, X. A polycarboxylate as a superplasticizer for montmorillonite clay in cement: Adsorption and tolerance studies. Arab. J. Chem. 2018, 11, 747–755. [Google Scholar] [CrossRef]
- Chen, G.; Lei, J.; Du, Y.; Chen, X. Synthesis of a novel polycarboxylate superplasticizer with carboxyl group as side chain terminal group to enhance its clay tolerance. J. Wuhan Univ. Technol.-Mater. Sci. Ed. 2018, 33, 226–232. [Google Scholar] [CrossRef]
- Zhang, L.; Kong, X.; Xing, F.; Dong, B.; Wang, F. Working mechanism of post-acting polycarboxylate superplasticizers containing acrylate segments. J. Appl. Polym. Sci. 2018, 135, 45753. [Google Scholar] [CrossRef]
- Liu, J.; Yang, Y.; Zhang, Q.; Shu, X.; Ran, Q.; Liu, J. Effect of molecular weight of slow-release Polycarboxylate Superplasticizer on the properties of cementitious system. Adv. Cem. Res. 2018, 30, 285–292. [Google Scholar] [CrossRef]
- Chen, S.; Sun, S.; Chen, X.; Zhong, K.; Shao, Q.; Xua, H.; Wei, J. Effects of core-shell polycarboxylate superplasticizer on the fluidity and hydration behavior of cement paste. Colloids Surf. A 2020, 590, 124464. [Google Scholar] [CrossRef]
- Chen, S.; Zhang, J.; Sun, S.; Zhong, K.; Shao, Q.; Xu, H.; Huang, H.; Wei, J. Dispersion, fluidity retention and retardation effect of polyacrylatebased ether superplasticizer nanomicelles in Portland cement. Constr. Build. Mater. 2021, 290, 123149. [Google Scholar] [CrossRef]
- Cao, L.; Guo, J.; Tian, J.; Xu, Y.; Hu, M.; Guo, C.; Wang, M.; Fan, J. Synthesis, characterization and working mechanism of a novel sustained-release-type fluid loss additive for seawater cement slurry. J. Colloid Interface Sci. 2018, 524, 434–444. [Google Scholar] [CrossRef] [PubMed]
- Ezzat, M.; Xu, X.; El Cheikh, K.; Lesage, K.; Hoogenboom, R.; De Schutter, G. Structure-property relationships for polycarboxylate ether superplasticizers by means of RAFT polymerization. J. Colloid Interface Sci. 2019, 553, 788–797. [Google Scholar] [CrossRef] [PubMed]
- Ran, Q.; Wang, X.; Jiang, J.; Yang, Y. Synthesis of block polycarboxylate copolymer and its application in a cement system. Adv. Cem. Res. 2016, 28, 202–208. [Google Scholar] [CrossRef]
- Wang, X.; Yang, Y.; Lin, W.; Shu, X.; Ran, Q.; Liu, J. Tailoring the sequence structure of polycarboxylate superplasticisers to improve the sulfate ion sensitivity. Adv. Cem. Res. 2016, 28, 544–554. [Google Scholar] [CrossRef]
- Ran, Q.; Wang, X.; Shu, X.; Zhang, Q.; Yang, Y.; Liu, J. Effects of sequence structure of polycarboxylate superplasticizers on the dispersion behavior of cement paste. J. Dispers. Sci. Technol. 2015, 37, 431–441. [Google Scholar] [CrossRef]
- Yu, B.; Zeng, Z.; Ren, Q.; Chen, Y.; Liang, M.; Zou, H. Study on the performance of polycarboxylate-based superplasticizers synthesized by reversible additionefragmentation chain transfer (RAFT) polymerization. J. Mol. Struct. 2016, 1120, 171–179. [Google Scholar] [CrossRef]
- Pourchet, S.; Liautaud, S.; Rinaldi, D.; Pochard, I. Effect of the repartition of the PEG side chains on the adsorption and dispersion behaviors of PCP in presence of sulfate. Cem. Concr. Res. 2012, 42, 431–439. [Google Scholar] [CrossRef]
- Wang, X.; Yang, Y.; Shu, X.; Wang, Y.; Ran, Q.; Liu, J. Tailoring polycarboxylate architecture to improve the rheological properties of cement paste. J. Dispers. Sci. Technol. 2019, 40, 1567–1574. [Google Scholar] [CrossRef]
- Liu, X.; Guan, J.; Lai, G.; Wang, Z.; Zhu, J.; Cui, S.; Lan, M.; Li, H. Performances and working mechanism of a novel polycarboxylate superplasticizer synthesized through changing molecular topological structure. J. Colloid Interface Sci. 2017, 504, 12–24. [Google Scholar] [CrossRef] [PubMed]
- Zhao, Y.; Nian, F.; Pang, H.; Huang, J.; Zhao, H.; Wang, K.; Liao, B. Regulating the arm structure of star-shaped polycarboxylate superplasticizers as a means to enhance cement paste workability. J. Appl. Polym. Sci. 2018, 135, 46312. [Google Scholar] [CrossRef]
- Li, S.; Yang, Y.; Shu, X.; Liu, J.; Qi, S.; Wang, Y.; Ran, Q. Synthesis of star-comb PCE superplasticiser towards an understanding of its properties in cement pastes. Adv. Cem. Res. 2019, 3, 58–68. [Google Scholar] [CrossRef]
- Lin, X.; Pang, H.; Wei, D.; Lu, M.; Liao, B. Effect of the cross-linker structure of cross-linked polycarboxylate superplasticizers on the behavior of cementitious mixtures. Colloids Surf. A 2021, 608, 125437. [Google Scholar] [CrossRef]
- Lin, X.; Liao, B.; Zhang, J.; Li, S.; Huang, J.; Pang, H. Synthesis and characterization of high-performance cross-linked polycarboxylate superplasticizers. Constr. Build. Mater. 2019, 210, 162–171. [Google Scholar] [CrossRef]
- Erzengin, S.G.; Guzey, G.S. Properties of Cement Systems Possessing Cross-Linked Superplasticizers. ACI Mater. J. 2021, 118, 83–91. [Google Scholar]
- Lin, X.; Liao, B.; Li, J.; Huang, J.; Lu, M.; Pang, H. Effect of crosslinked polycarboxylate superplasticizers with varied structures on cement dispersion performance. J. Appl. Polym. Sci. 2021, 138, e50012. [Google Scholar] [CrossRef]
- Wang, K.; Pang, H.; Huang, H.; Song, L.; Huang, J.; Zhao, Y. Study on the dispersion, adsorption and early hydration behavior of cement pastes containing multi-armed polycarboxylate superplasticizers. J. Dispers. Sci. Technol. 2020, 41, 277–288. [Google Scholar] [CrossRef]
- Cai, Y.; Yang, T.; Ren, Q.; Liang, M.; Zhou, S. Enhanced slump retention using polycarboxylate superplasticizers obtained by micro-crosslinking reaction. Mater. Express 2019, 9, 587–595. [Google Scholar] [CrossRef]
- Huang, Z.; Yang, Y.; Ran, Q.; Liu, J. Preparing hyperbranched polycarboxylate superplasticizers possessing excellent viscosity-reducing performance through in situ redox initialized polymerization method. Cem. Concr. Compos. 2018, 93, 323–330. [Google Scholar] [CrossRef]
- Ilg, M.; Plank, J. Synthesis and Properties of a Polycarboxylate Superplasticizer with Jellyfish-like Structure Comprising Hyperbranched Polyglycerols. Ind. Eng. Chem. Res. 2019, 58, 12913–12926. [Google Scholar] [CrossRef]
- Ilg, M.; Plank, J. A novel kind of concrete superplasticizer based on lignite graft copolymers. Cem. Concr. Res. 2016, 79, 123–130. [Google Scholar] [CrossRef]
- Zheng, T.; Zheng, D.; Qiu, X.; Yang, D.; Fan, L.; Zheng, J. A novel branched claw-shape lignin-based polycarboxylate superplasticizer: Preparation, performance and mechanism. Cem. Concr. Res. 2019, 119, 89–101. [Google Scholar] [CrossRef]
- Zhong, D.; Liu, Q.; Zheng, D. Synthesis of lignin-grafted polycarboxylate superplasticizer and the dispersion performance in the cement paste. Colloids Surf. A 2022, 642, 128689. [Google Scholar] [CrossRef]
- Gupta, C.; Sverdlove, M.J.; Washburn, N.R. Molecular architecture requirements for polymer grafted lignin superplasticizers. Soft Matter 2015, 11, 2691. [Google Scholar] [CrossRef]
- Lin, X.; Zhou, M.; Wang, S.; Lou, H.; Yang, D.; Qiu, X. Synthesis, Structure, and Dispersion Property of a Novel Lignin-Based Polyoxyethylene Ether from Kraft Lignin and Poly(ethylene glycol). ACS Sustain. Chem. Eng. 2014, 2, 1902–1909. [Google Scholar] [CrossRef]
- Gupta, C.; Nadelman, E.; Washburn, N.R.; Kurtis, K.E. Lignopolymer Superplasticizers for Low-CO2 Cements. ACS Sustain. Chem. Eng. 2017, 5, 4041–4049. [Google Scholar] [CrossRef]
- Zhao, H.; Liao, B.; Nian, F.; Zhao, Y.; Wang, K.; Pang, H. Synthesis and characterization of a PAMAM dendrimer-based superplasticizer and its effect on the properties in cementitious system. J. Appl. Polym. Sci. 2018, 135, 46550. [Google Scholar] [CrossRef]
- Guan, J.; Liu, X.; Lai, G.; Luo, Q.; Qian, S.; Zhan, J.; Wang, Z.; Cui, S. Effect of sulfonation modification of polycarboxylate superplasticizer on tolerance enhancement in sulfate. Constr. Build. Mater. 2021, 273, 122095. [Google Scholar] [CrossRef]
- Chomyn, C.; Plank, J. Impact of different synthesis methods on the dispersing effectiveness of isoprenol ether-based zwitterionic and anionic polycarboxylate (PCE) superplasticizers. Cem. Concr. Res. 2019, 119, 113–125. [Google Scholar] [CrossRef]
- Plank, J.; Li, H.; Ilg, M.; Pickelmann, J.; Eisenreich, W.; Yao, Y.; Wang, Z. Amicrostructural analysis of isoprenol ether-based polycarboxylates and the impact of structural motifs on the dispersing effectiveness. Cem. Concr. Res. 2016, 84, 20–29. [Google Scholar] [CrossRef]
- Li, H.; Yao, Y.; Wang, Z.; Cui, S.; Wang, Y. Influence of Monomer Ratios on Molecular Weight Properties and Dispersing Effectiveness in Polycarboxylate Superplasticizers. Materials 2020, 13, 1022. [Google Scholar] [CrossRef]
- Bessaies-Bey, H.; Massoussi, N.; Mulik, S.; Baumann, R.; Schmitz, M.; Radler, M.; Gelardi, G.; Flatt, R.J.; Roussel, N. Polycarboxylate ester adsorption on cement grains: Influence of polydispersity. Cem. Concr. Res. 2021, 143, 106383. [Google Scholar] [CrossRef]
- Weckwerth, S.A.; Temme, R.L.; Flatt, R.J. Experimental method and thermodynamic model for competitive adsorption between polycarboxylate comb copolymers. Cem. Concr. Res. 2022, 151, 106523. [Google Scholar] [CrossRef]
- Khayat, K.H.; Guizani, Z. Use of viscosity-modifying admixtures to enhance stability of fluid concrete. ACI Mater. J. 1997, 94, 332–340. [Google Scholar]
- Lachemi, M.; Hossain, K.M.A.; Lambros, V.; Nkinamubanzi, P.-C.; Bouzoubaâ, N. Performance of new viscosity modifying admixtures in enhancing the rheological properties of cement paste. Cem. Concr. Res. 2004, 34, 185–193. [Google Scholar] [CrossRef]
- Lachemi, M.; Hossain, K.M.A.; Lambros, V.; Nkinamubanzi, P.-C.; Bouzoubaâ, N. Self-consolidating concrete incorporating new viscosity modifying admixtures. Cem. Concr. Res. 2004, 34, 917–926. [Google Scholar] [CrossRef]
- Leemann, A.; Winnefeld, F. The effect of viscosity modifying agents on mortar and concrete. Cem. Concr. Compos. 2007, 39, 341–349. [Google Scholar] [CrossRef]
- Khayat, K.H. Viscosity-enhancing admixtures for cement-based materials—An overview. Cem. Concr. Compos. 1998, 20, 171–188. [Google Scholar] [CrossRef]
- Lachemi, M.; Hossain, K.M.A.; Lambros, V.; Bouzoubaâ, N. Development of cost-effective self-consolidating concrete incorporating fly ash, slag cement, or viscosity-modifying admixtures. ACI Mater. J. 2003, 100, 419–425. [Google Scholar]
- Memon, S.A.; Shaikh, M.A.; Akbar, H. Utilization of Rice Husk Ash as viscosity modifying agent in Self Compacting Concrete. Constr. Build. Mater. 2011, 25, 1044–1048. [Google Scholar] [CrossRef]
- Valcuende, M.; Parra, C.; Marco, E.; Garrido, A.; Martínez, E.; Cánoves, J. Influence of limestone filler and viscosity-modifying admixture on the porous structure of self-compacting concrete. Constr. Build. Mater. 2012, 25, 122–128. [Google Scholar] [CrossRef]
- Benaicha, M.; Roguiez, X.; Jalbaud, O.; Burtschell, Y.; Alaoui, A.H. Influence of silica fume and viscosity modifying agent on the mechanical and rheological behavior of self-compacting concrete. Constr. Build. Mater. 2015, 84, 103–110. [Google Scholar] [CrossRef]
- Sonebi, M. Rheological properties of grouts with viscosity modifying agents as diutan gum and welan gum incorporating pulverised fly ash. Cem. Concr. Res. 2006, 36, 1609–1618. [Google Scholar] [CrossRef]
- Kawai, V. Non-dispersible underwater concrete using polymers, Marine concrete. In International Congress on Polymers in Concrete; Springer: Brighton, UK, 1987; Chapter 11.5. [Google Scholar]
- Pera, J.; Ambroise, J.; Rols, S.; Chabannet, M. Influence of starch on the engineering properties of mortars and concretes. In Proceedings of the 20th International Conference on Cement Microscopy, Lyon, France, 19–23 April 1998; pp. 120–128. [Google Scholar]
- Plank, J. Applications of biopolymers and other biotechnological products in building materials. Appl. Microbiol. Biot. 2004, 66, 1–9. [Google Scholar] [CrossRef] [PubMed]
- Bülichen, D.; Kainz, J.; Plank, J. Working mechanism of methyl hydroxyethyl cellulose (MHEC) as water retention agent. Cem. Concr. Res. 2012, 42, 953–959. [Google Scholar] [CrossRef]
- Brumaud, C.; Bessaies-Bey, H.; Mohler, C.; Baumann, R.; Schmitz, M.; Radler, M.; Roussel, N. Cellulose ethers and water retention. Cem. Concr. Res. 2013, 53, 176–184. [Google Scholar] [CrossRef]
- Brumaud, C.; Baumann, R.; Schmitz, M.; Radler, M.; Roussel, N. Cellulose ethers and yield stress of cement pastes. Cem. Concr. Res. 2014, 55, 14–21. [Google Scholar] [CrossRef]
- Boukhatem, A.; Bouarab, K.; Yahia, A. Kappa (κ)-carrageenan as a novel viscosity-modifying admixture for cement-based materials–Effect on rheology, stability, and strength development. Cem. Concr. Compos. 2021, 124, 104221. [Google Scholar] [CrossRef]
- Ortiz-Álvarez, N.; Lizarazo-Marriaga, J.; Brandão, P.F.B.; Santos-Panqueva, Y.; Carrillo, J. Rheological properties of cement-based materials using a biopolymer viscosity modifying admixture (BVMA) under different dispersion conditions. Cem. Concr. Compos. 2021, 124, 104224. [Google Scholar] [CrossRef]
- Poinot, T.; Govi, A.; Grosseau, P. Importance of coil-overlapping for the effectiveness of hydroxypropylguars as water retention agent in cement-based mortars. Cem. Concr. Res. 2014, 56, 61–68. [Google Scholar] [CrossRef]
- Poinot, T.; Govin, A.; Grosseau, P. Influence of hydroxypropylguars on rheological behavior of cement-based mortars. Cem. Concr. Res. 2014, 58, 161–168. [Google Scholar] [CrossRef]
- Poinot, T.; Bartholin, M.-C.; Govin, A.; Grosseau, P. Influence of the polysaccharide addition method on the properties of fresh mortars. Cem. Concr. Res. 2015, 70, 50–59. [Google Scholar] [CrossRef]
- Patural, L.; Marchal, P.; Govin, A.; Grosseau, P.; Ruot, B.; Devès, O. Cellulose ethers influence on water retention and consistency in cement-based mortars. Cem. Concr. Res. 2011, 41, 46–55. [Google Scholar] [CrossRef]
- Pierre, A.; Perrot, A.; Picandet, V.; Guevel, Y. Cellulose ethers and cement paste permeability. Cem. Concr. Res. 2015, 72, 117–127. [Google Scholar] [CrossRef]
- Flatt, T.R.J. Chap. 7–Superplasticizers and the rheology of concrete. In Understanding the Rheology of Concrete; Roussel, N., Ed.; Woodhead Publishing: Cambridge, UK, 2012; pp. 144–208. [Google Scholar]
- Plank, J.; Lummer, N.R.; Dugonjić-Bilić, F. Competitive adsorption between an AMPS-based fluid loss polymer and welan gum biopolymer in oil well cement. J. Appl. Polym. Sci. 2010, 116, 2913–2919. [Google Scholar] [CrossRef]
- Zhang, J.Y.; Gao, X.J.; Yu, L.C. Improvement of viscosity-modifying agents on air-void system of vibrated concrete. Constr. Build. Mater. 2020, 239, 117843. [Google Scholar] [CrossRef]
- Zhao, L.X.; Feng, P.; Shao, L.J.; Ye, S.X.; Liu, X. Using viscosity modifying admixture to reduce diffusion in cement-based materials: Effect of molecular mass. Constr. Build. Mater. 2021, 290, 123207. [Google Scholar] [CrossRef]
- Qian, Y.; Schutter, G.D. Enhancing thixotropy of fresh cement pastes with nanoclay in presence of polycarboxylate ether superplasticizer (PCE). Cem. Concr. Res. 2018, 111, 15–22. [Google Scholar] [CrossRef]
- Kawashima, S.; Hou, P.K.; Corr, D.J.; Shah, S.P. Modification of cement-based materials with nanoparticles. Cem. Concr. Compos. 2013, 36, 8–15. [Google Scholar] [CrossRef]
- Yammamuro, H.; Izumi, T.; Mizunuma, T. Study of non-adsorptive viscosity agents applied to self-compacting concrete. In Proceedings of the 5th CANMET/ACI International Conference on Superplasticizers and Other Chemical Admixtures in Concrete, Rome, Italy, 1997; Malhotra, V.M., Ed.; ACI SP-173. pp. 427–444. [Google Scholar]
- Nawa, T.; Izumi, T.; Edamatsu, Y. State-of-the-art report on materials and design of self-compacting concrete. In Proceedings of the International Workshop on Self-Compacting Concrete, Tokyo, Japan, 1998; pp. 160–190. [Google Scholar]
- Mikanovic, N.; Sharman, J.; Jolicoeur, C.; Khayat, K.; Pagé, M. Compatibility of viscosity-enhancing agents and superplasticizers in cementitious and model systems: Rheology, bleeding and segregation. In Proceedings of the 9th CANMET/ACI International Conference on Superplasticizers and Other Chemical Admixtures in Concrete, Seville, Spain, 2009; Malhotra, V.M., Ed.; ACI SP262-5. pp. 67–84. [Google Scholar]
- Zhang, Y.R.; Kong, X.M.; Lu, Z.B.; Lu, Z.C.; Hou, S.S. Effects of the charge characteristics of polycarboxylate superplasticizers on the adsorption and the retardation in cement pastes. Cem. Concr. Res. 2015, 67, 184–196. [Google Scholar] [CrossRef]
- Zhang, Y.R.; Kong, X.M. Correlations of the dispersing capability of NSF and PCE types of superplasticizer and their impacts on cement hydration with the adsorption in fresh cement pastes. Cem. Concr. Res. 2015, 69, 1–9. [Google Scholar] [CrossRef]
- Su, T.; Kong, X.M.; Tian, H.W.; Wang, D.M. Effects of comb-like PCE and linear copolymers on workability and early hydration of a calcium sulfoaluminate belite cement. Cem. Concr. Res. 2019, 123, 105801. [Google Scholar] [CrossRef]
- Lewis, J.A.; Matsuyama, H.; Kirby, G.; Morissette, S.; Young, J.F. Polyelectrolyte Effects on the Rheological Properties of Concentrated Cement Suspensions. J. Am. Ceram. Soc. 2000, 83, 1905–1913. [Google Scholar] [CrossRef]
- Khayat, K.H. Effects of antiwashout admixtures on fresh concrete properties. AC1 Mater. J. 1995, 92, 164–171. [Google Scholar]
- Prakash, N.; Santhanam, M. A study of the interaction between viscosity modifying agent and high range water reducer in self-compacting concrete. In Measuring, Monitoring and Modeling Concrete Properties Part 5; Springer: Berlin/Heidelberg, Germany, 2006; pp. 449–454. [Google Scholar]
- Łaźniewska-Piekarczyk, B. The type of air-entraining and viscosity modifying admixtures and porosity and frost durability of high performance self-compacting concrete. Constr. Build. Mater. 2013, 40, 659–671. [Google Scholar] [CrossRef]
- Üzer, E.; Plank, J. Impact of welan gum stabilizer on the dispersing performance of polycarboxylate superplasticizers. Cem. Concr. Res. 2016, 82, 100–106. [Google Scholar] [CrossRef]
- Rols, S.; Ambroise, J.; Péra, J. Effects of different viscosity agents on the properties of self-leveling concrete. Cem. Concr. Res. 1999, 29, 261–266. [Google Scholar] [CrossRef]
- Gołaszewski, J. Influence of viscosity enhancing agent on rheology and compressive strength of superplasticized mortars. J. Civ. Eng. Manag. 2009, 15, 181–188. [Google Scholar] [CrossRef]
- Grabiec, A.M. Influence of viscosity modifying agent on some rheological properties, segregation resistance and compressive strength of self-compacting concrete. J. Civ. Eng. Manag. 2013, 19, 1–8. [Google Scholar] [CrossRef]
- Palacios, M.; Flatt, R.J.; Puertas, F.; Sanchez-Herencia, A. Compatibility between polycarboxylate and viscosity-modifying admixtures in cement pastes. In Proceedings of the 10th International Conference on Superplasticizers and Other Chemical Admixtures in Concrete, Prague, Czech Republic, 28–31 October 2012; pp. 29–42. [Google Scholar]
- Chen, J.; Gao, N.X.; Wu, J.Z.; Shan, G.C.; Qiao, M.; Ran, Q.P.; Liu, J.P. Effects of the charge density of anionic copolymers on the properties of fresh cement pastes. Constr. Build. Mater. 2020, 263, 120207. [Google Scholar] [CrossRef]
- Qiao, M.; Chen, J.; Gao, N.X.; Shan, G.C.; Wu, J.Z.; Zhu, B.S.; Ran, Q.P. Effects of adsorption group and molecular weight of viscosity modifying admixtures on the properties of cement paste. J. Mater. Civ. Eng. 2022, 34, 04022148. [Google Scholar] [CrossRef]
- Chen, J.; Qiao, M.; Gao, N.X.; Wu, J.Z.; Shan, G.C.; Zhu, B.S.; Ran, Q.P. Acrylate based post-acting polymers as novel viscosity modifying admixtures for concrete. Constr. Build. Mater. 2021, 312, 125414. [Google Scholar] [CrossRef]














Publisher’s Note: MDPI stays neutral with regard to jurisdictional claims in published maps and institutional affiliations. |
© 2022 by the authors. Licensee MDPI, Basel, Switzerland. This article is an open access article distributed under the terms and conditions of the Creative Commons Attribution (CC BY) license (https://creativecommons.org/licenses/by/4.0/).
Share and Cite
Zhang, Q.; Chen, J.; Zhu, J.; Yang, Y.; Zhou, D.; Wang, T.; Shu, X.; Qiao, M. Advances in Organic Rheology-Modifiers (Chemical Admixtures) and Their Effects on the Rheological Properties of Cement-Based Materials. Materials 2022, 15, 8730. https://doi.org/10.3390/ma15248730
Zhang Q, Chen J, Zhu J, Yang Y, Zhou D, Wang T, Shu X, Qiao M. Advances in Organic Rheology-Modifiers (Chemical Admixtures) and Their Effects on the Rheological Properties of Cement-Based Materials. Materials. 2022; 15(24):8730. https://doi.org/10.3390/ma15248730
Chicago/Turabian StyleZhang, Qianqian, Jian Chen, Jiang Zhu, Yong Yang, Dongliang Zhou, Tao Wang, Xin Shu, and Min Qiao. 2022. "Advances in Organic Rheology-Modifiers (Chemical Admixtures) and Their Effects on the Rheological Properties of Cement-Based Materials" Materials 15, no. 24: 8730. https://doi.org/10.3390/ma15248730
APA StyleZhang, Q., Chen, J., Zhu, J., Yang, Y., Zhou, D., Wang, T., Shu, X., & Qiao, M. (2022). Advances in Organic Rheology-Modifiers (Chemical Admixtures) and Their Effects on the Rheological Properties of Cement-Based Materials. Materials, 15(24), 8730. https://doi.org/10.3390/ma15248730
