A Hierarchical SnO2@Ni6MnO8 Composite for High-Capacity Lithium-Ion Batteries
Abstract
1. Introduction
2. Experimental
2.1. Preparation of 3D SnO2/C Precursor
2.2. Preparation of SnO2@Ni6MnO8 Composite
2.3. Characterization
2.4. Electrochemical Measurement
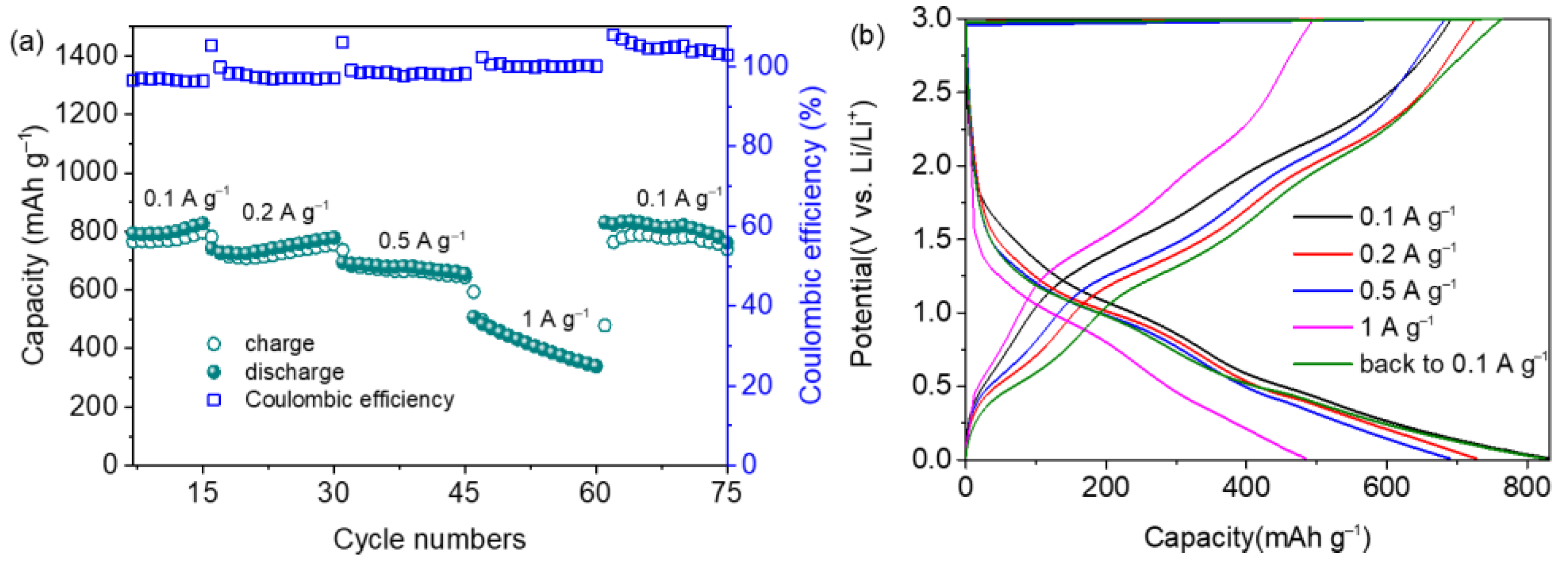
3. Results and Discussion
| Composite | Preparation Method | Cycling Rate (A g−1) | Cycle Number | Capacity (mAh g−1) | Ref. |
|---|---|---|---|---|---|
| SnO2@PANI | Electrochemical deposition | 0.1 | 50 | 440 | [44] |
| C@Sn–SnO2/CNT | Hydrothermal method and chemical vapor deposition | 0.5 | 100 | 733 | [45] |
| NiMoO4/SnO2/rGO | Hydrothermal method | 0.5 | 100 | 634 | [46] |
| SnO2@C-F | Balling method | 0.2 | 100 | 821 | [47] |
| RHPC/SnO2 | Melt–impregnation method | 0.1 | 50 | 550 | [48] |
| SnO2/EG | Solvothermal method | 0.5 | 500 | 262 | [49] |
| SnO2@C | Acid etching method | 0.1 | 150 | 745 | [50] |
| SnO2@C/MWCNTs-LiF | Spray-drying method | 0.1 | 100 | 483 | [51] |
| SnO2/GNP | Microwave irradiation | 0.1 | 100 | 745 | [52] |
| SnO2@C | Templated method | 0.2 | 100 | 786 | [53] |
| SnO2@SnS2 | Hydrothermal method | 0.1 | 50 | 328 | [54] |
| SnO2/TiO2 | Spray drying and calcination | 0.5 | 40 | 483 | [55] |
| SnO2@Ni6MnO8 | Hydrothermal method | 0.1 | 50 | 1030 | Thiswork |
| 0.5 | 50 | 800 |
4. Conclusions
Author Contributions
Funding
Institutional Review Board Statement
Informed Consent Statement
Data Availability Statement
Conflicts of Interest
References
- Hu, Z.; Wang, M.; Yang, H.; Liang, C.; Yu, K. SnO2 nanosheets grow on sunflower shell carbon sphere used as anode material for high performance lithium-ion and potassium-ion batteries. Diam. Relat. Mater. 2022, 126, 109090. [Google Scholar] [CrossRef]
- Liu, Y.; Liu, X.; Zhang, X.; Miao, X.; Wang, Y.; Wang, P. A novel carbon microspheres@SnO2/reduced graphene composite as anode for lithium-ion batteries with superior cycle stability. Ceram. Int. 2022, 48, 18625–18634. [Google Scholar] [CrossRef]
- Lee, K.; Yoon, S.; Hong, S.; Kim, H.; Oh, K.; Moon, J. Al2O3-coated Si-alloy prepared by atomic layer deposition as anodes for lithium-ion batteries. Materials 2022, 15, 4189. [Google Scholar] [CrossRef]
- Shen, Z.; Zhou, Q.; Yu, H.; Tian, J.; Shi, M.; Hu, C.; Zhang, H. CoSe2/MoS2 heterostructures to couple polysulfide adsorption and catalysis in lithium-sulfur batteries. Chin. J. Chem. 2021, 39, 1138–1144. [Google Scholar] [CrossRef]
- Hou, Y.; Ma, S.; Xu, Y.; Zhang, S.; Hao, X.; Xu, B. Electrochemical performance of graphene oxide/black arsenic phosphorus/carbon nanotubes as anode material for LIBs. Materials 2022, 15, 4576. [Google Scholar] [CrossRef] [PubMed]
- Liang, T.; Hu, R.; Zhang, H.; Zhang, H.; Wang, H.; Ouyang, Y.; Liu, J.; Yang, L.; Zhuet, M. A scalable ternary SnO2–Co–C composite as a high initial coulombic efficiency, large capacity and long lifetime anode for Lithium ion batteries. J. Mater. Chem. A 2018, 6, 7206–7220. [Google Scholar] [CrossRef]
- Ji, C.; Wang, P.; Niu, X.; Li, Y.; Li, J. Cellulosic filter paper derived MoO3/TiO2 composites with variable micromorphologies as anode materials for Lithium storage. Colloids Surf. A 2022, 651, 129731. [Google Scholar] [CrossRef]
- Guo, Z.; Wu, S.; Xiong, D.; Ke, Y.; Ke, J.; Wu, K.; Sun, Y.; He, M.; Feng, Z. Preparation of SnO2-Nb-C composite by hydrothermal and ball milling processes for high-performance lithium-ion batteries. Chem. Phys. Lett. 2022, 796, 139292. [Google Scholar] [CrossRef]
- Du, F.; Li, S.; Yan, Y.; Lu, X.; Guo, C.; Ji, Z.; Hu, P.; Shen, X. Facile fabrication of Fe0.8Mn1.2O3 with various nanostructures for high-performance lithium-ion batteries. Chem. Eng. J. 2022, 427, 131697. [Google Scholar] [CrossRef]
- Han, Y.; Zheng, G.; Xu, Y.; Zhang, D. Hollow core–shell SnO2/C fibers as highly stable anodes for lithium-ion batteries. J. Electroanal. Chem. 2021, 898, 115652. [Google Scholar]
- Liang, J.; Fan, Z.; Chen, S.; Zheng, S.; Wang, Z. A novel three-dimensional cross-linked net structure of submicron Si as high-performance anode for LIBs. J. Alloys Compd. 2021, 860, 158433. [Google Scholar] [CrossRef]
- Huang, W.; Zhao, S.; Wang, J.; Xian, X. Fabrication of Si/TiC-SiC/C composites as high-performance anode materials for Li-ion batteries. J. Phys. Chem. Solids 2022, 171, 111019. [Google Scholar] [CrossRef]
- Chen, H.; Zheng, Y.; Wu, Q.; Zhou, W.; Wei, Q.; Wei, M. Dual-carbon materials coated Ge/Si composite for high performance lithium-ion batteries. Electrochim. Acta 2022, 417, 140337. [Google Scholar] [CrossRef]
- Tian, Q.; Zhang, F.; Zhang, W.; Li, Y. Non-smooth Carbon coating porous SnO2 quasi-nanocubes towards high Lithium storage. Electrochim. Acta 2019, 307, 393–402. [Google Scholar] [CrossRef]
- Yan, L.; Liu, J.; Wang, Q.; Sun, M.; Jiang, Z.; Liang, C.; Pan, F.; Lin, Z. In situ wrapping Si nanoparticles with 2D carbon nanosheets as high-areal-capacity anode for lithium-ion batteries. ACS Appl. Mater. Interfaces 2017, 44, 38159–38164. [Google Scholar] [CrossRef] [PubMed]
- Chan, C.; Zhang, X.; Cui, Y. High capacity Li ion battery anodes using Ge nanowires. Nano Lett. 2008, 1, 307–309. [Google Scholar] [CrossRef]
- Jiang, T.; Bu, F.; Feng, X.; Shakir, I.; Hao, G.; Xu, Y. Porous Fe2O3 nano frameworks encapsulated within three-dimensional graphene as high performance flflexible anode for lithium-ion battery. ACS Nano 2017, 5, 5140–5147. [Google Scholar] [CrossRef]
- Sarkar, S.; Borah, R.; Santhosha, A.; Dhanya, R.; Narayana, C.; Bhattacharyya, A.; Peter, S. Heterostructure composites of rGO/GeO2/PANI with enhanced performance for Li ion battery anode material. J. Power Sources 2016, 306, 791–800. [Google Scholar] [CrossRef]
- Ma, Z.; Zhao, T. Reduced graphene oxide anchored with MnO2 nanorods as anode for high rate and long cycle lithium ion batteries. Electrochim. Acta 2016, 201, 165–171. [Google Scholar] [CrossRef]
- Li, Z.; Liu, Q.; Liu, Y.; Yang, F.; Xin, L.; Zhou, Y.; Zhang, H.; Stanciu, L.; Xie, J. Facile preparation of graphene/SnO2 xerogel hybrids as the anode material in Li-ion batteries. ACS Appl. Mater. Interfaces 2015, 7, 27087–27095. [Google Scholar] [CrossRef]
- Huang, G.; Xu, S.; Lu, S.; Li, L.; Sun, H. Micro-/nanostructured Co3O4 anode with enhanced rate capability for lithium-ion batteries. ACS Appl. Mater. Interfaces 2014, 6, 723–7243. [Google Scholar] [CrossRef] [PubMed]
- Tian, F.; Cheng, Y.; Zhang, Y.; Zhao, Q.; Qian, S.; Zhang, Y. SnO2@C nanowires as high-performance anodic materials for lithium-ion batteries. Mater. Lett. 2021, 284, 129019. [Google Scholar] [CrossRef]
- Idota, Y.; Kubota, T.; Matsufuji, A.; Maekawa, Y.; Miyasaka, T. Tin-Based amorphous oxide: A High-Capacity Lithium-Ion-Storage material. Science 1997, 276, 1395–1397. [Google Scholar] [CrossRef]
- Noh, Y.; Kim, Y.; Han, H.; Jung, W.; Kim, J.; Kim, Y.; Kim, H.; Kim, B.; Kim, W. Enrichment of microbial community generating electricity using a fuel-cell-type electrochemical cell. ChemElectroChem 2019, 6, 2503–2509. [Google Scholar] [CrossRef]
- Liu, Q.; Dou, Y.; Ruan, B.; Sun, Z.; Chou, S.; Dou, S. Carbon-Coated hierarchical SnO2 hollow spheres for Lithium ion batteries. Chem. Eur. J. 2016, 22, 5853–5857. [Google Scholar] [CrossRef]
- Zhou, Y.; Ming, X.; Ren, L.; Liu, H.; Yi, X. Preparation and superior electrochemical performance of hollow SnO2@C composites as anode materials for high-performance Lithium ion batteries. Ionics 2020, 26, 5319–5324. [Google Scholar] [CrossRef]
- Liu, X.; Zhong, X.; Yang, Z.; Pan, F.; Gu, L.; Yu, Y. Gram-scale synthesis of graphene-mesoporous SnO2 composite as anode for lithium-ion batteries. Electrochim. Acta 2015, 152, 178–186. [Google Scholar] [CrossRef]
- Li, L.; Yao, Q.; Liu, J.; Ye, K.; Liu, B.; Liu, Z.; Yang, H.; Chen, Z.; Duan, J.; Zhang, B. Porous hollow superlattice NiMn2O4/NiCo2O4 mesocrystals as a highly reversible anode material for Lithium-Ion batteries. Front. Chem. 2018, 6, 153. [Google Scholar] [CrossRef]
- Kang, W.; Tang, Y.; Li, W.; Xue, H.; Yang, Q.; Lee, C. High interfacial storage capability of porous NiMn2O4/C hierarchical tremellalike nanostructures as the lithium ion battery anode. Nanoscale 2015, 7, 225–231. [Google Scholar] [CrossRef]
- Zhang, L.; Wang, Y.; Jiu, H.; Zheng, W.; Chang, J.; He, G. Controllable synthesis of spinel nano-CoMn2O4 via a solvothermal carbon templating method and its application in lithium ion batteries. Electrochim. Acta 2015, 182, 550–558. [Google Scholar] [CrossRef]
- Ren, H.; Wang, W.; Joo, S.; Sun, Y.; Gu, C. Preparation of ZnCo2O4@reduced graphene oxide nanocomposite for high-capacity Li-ion battery anodes. Mater. Res. Bull. 2019, 111, 34–42. [Google Scholar] [CrossRef]
- Chen, J.; Zuo, H.; Wang, C.; Zhang, Y.; Gao, W.; Zhao, N.; Huang, Y.; Xiao, S. Synthesis and electrochemical properties of ZnMn2O4 with hollow porous panpipe-like structure as anode material for Li-ion battery. Electrochim. Acta 2022, 426, 140780. [Google Scholar] [CrossRef]
- Zhao, S.; Li, H.; Jian, Z.; Xing, Y.; Zhang, S. Self-assembled hierarchical porous NiMn2O4 microspheres as high performance Li-ion battery anodes. RSC Adv. 2018, 8, 41749–41755. [Google Scholar] [CrossRef]
- Gu, Y.; Zhang, L.; Li, D.; Sheng, R.; Li, F.; Wang, L. A rapid in situ electrochemical transformation of the biphase Zn3(OH)2V2O7·2H2O/NH4V4O10 composite for high capacity and long cycling Life aqueous rechargeable Zinc ion batteries. CrystEngComm 2022, 24, 1285–1291. [Google Scholar] [CrossRef]
- Long, J.; Han, T.; Ding, Y.; Hu, C.; Liu, J. Co-coating ZnCo2O4 and carbon on a biomimetic sea anemone-shaped SnO2 mesostructure for high-performance lithium-ion batteries and semi-solid lithium slurry batteries. Appl. Surf. Sci. 2022, 591, 153220. [Google Scholar] [CrossRef]
- Guo, W.; Yang, T.; Huang, L.; Wang, S.; Li, J. Hydrothermal preparation of MnNiO3/Ni6MnO8 nanospheres on nickel foam as a high stability electrode material for supercapacitor. J. Alloys Compd. 2022, 924, 166490. [Google Scholar] [CrossRef]
- Thomas, R.; Gurgul, M.; Xavier, B.; Thalluri, S.; Amorim, I.; Zhang, N.; Zaraska, L.; Sulka, G.; Liu, L. Lithium and sodium storage performance of tin oxyphosphate anode materials. Appl. Surf. Sci. 2022, 579, 152126. [Google Scholar] [CrossRef]
- Liu, H.; Ding, C.; Dong, Y. Self-sacrificing template synthesis of micro/nano spheres Ni6MnO8 as electrode for high-performance lithium-ion batteries. J. Electrochem. Soc. 2020, 167, 110524. [Google Scholar] [CrossRef]
- He, M.; Yuan, L.; Hu, X.; Zhang, W.; Shu, J.; Huang, Y. A SnO2@carbon nanocluster anode material with superior cyclability and rate capability for lithium-ion batteries. Nanoscale 2013, 5, 3298–3305. [Google Scholar] [CrossRef]
- Zhou, Q.; Chen, W.; Xu, L.; Kumar, R.; Gui, Y.; Zhao, Z.; Tang, C.; Zhu, S. Highly sensitive carbon monoxide (CO) gas sensors based on Ni and Zn doped SnO2 nanomaterials. Ceram. Int. 2018, 44, 4392–4399. [Google Scholar] [CrossRef]
- Kim, J.; Lee, S.; Kim, Y.; Kim, W. Fabrication of free-standing ZnMn2O4 mesoscale tubular arrays for lithium-ion anodes with highly reversible lithium storage properties. ACS Appl. Mater. Interfaces 2013, 5, 11321–11328. [Google Scholar] [CrossRef] [PubMed]
- Sun, H.; Xin, G.; Hu, T.; Yu, M.; Shao, D.; Sun, X.; Lian, J. High-rate lithiation-induced reactivation of mesoporous hollow spheres for long-lived lithium-ion batteries. Nat. Commun. 2014, 5, 4526. [Google Scholar] [CrossRef] [PubMed]
- Wang, X.; Hao, H.; Liu, J.; Huang, T.; Yu, A. A novel method for preparation of macroposous lithium nickel manganese oxygen as cathode material for lithium ion batteries. Electrochim. Acta 2011, 56, 4065–4069. [Google Scholar] [CrossRef]
- Shin, N.; Kim, M.; Ha, J.; Kim, Y.; Choi, J. Flexible anodic SnO2 nanoporous structures uniformly coated with polyaniline as a binder-free anode for Lithium ion batteries. Electroanal. Chem. 2022, 914, 116296. [Google Scholar] [CrossRef]
- Wang, M.; Tao, Z.; He, X.; Zhu, B.; Zhang, X.; Liao, T.; Tang, H.; Wei, Z.; Tang, W. In-situ synthesized carbon-coated Sn–SnO2 nanoparticles embedded in carbon nanotubes on Cu foam as anode material for lithium-ion batteries. J. Phys. Chem. Solids 2022, 165, 110693. [Google Scholar] [CrossRef]
- Naresh, N.; Jayasubramaniyuan, S.; Jena, P.; Kanimozhi, G.; Muralidharan, P.; Satyanarayana, N. Microwave hydrothermal synthesis and electrochemical characterization of NiMoO4 nanosheets/SnO2 nanospheres/rGO nanocomposite as high-performance anode for lithium-ion batteries. Inorg. Chem. Commun. 2021, 133, 108916. [Google Scholar] [CrossRef]
- Feng, Y.; Bai, C.; Wu, K.; Dong, H.; Ke, J.; Huang, X.; Xiong, D.; He, M. Fluorine-doped porous SnO2@C nanosheets as a high performance anode material for Lithium ion batteries. J. Alloys Compd. 2020, 843, 156085. [Google Scholar] [CrossRef]
- Shi, J.; Lin, N.; Liu, D.; Wang, Y.; Lin, H. Preparation of C/SnO2 composite with rice husk-based porous carbon carrier loading ultrasmall SnO2 nanoparticles for anode in lithium-ion batteries. J. Electroanal. Chem. 2020, 857, 113634. [Google Scholar] [CrossRef]
- Chen, X.; Lu, H.; Lei, Y.; Zhang, J.; Xiao, F.; Wang, R.; Xie, P.; Xu, J. Expanded graphite confined SnO2 as anode for Lithium ion batteries with low average working potential and enhanced rate capability. J. Mater. Sci. Technol. 2022, 107, 165–171. [Google Scholar] [CrossRef]
- Zhang, Y.; Wang, C. Environment-friendly synthesis of carbon-encapsulated SnO2 core-shell nanocubes as high-performance anode materials for Lithium ion batteries. Mater. Today Energy 2020, 16, 100406. [Google Scholar] [CrossRef]
- Liang, G.; Sun, X.; Lai, J.; Wei, C.; Huang, Y.; Hu, H. Adding Lithium fluoride to improve the electrochemical properties SnO2@C/MWCNTs composite anode for lithium-ion batteries. J. Electroanal. Chem. 2019, 853, 113401. [Google Scholar] [CrossRef]
- Palanisamy, M.; Jamison, C.; Sun, X.; Qi, Z.; Wang, H.; Pol, V. Ultrafast anchored SnO2 nanoparticles revealed capacity fade and hysteresis abated stable cycling performance for high-rate lithium-ion batteries. Carbon 2021, 185, 608–618. [Google Scholar] [CrossRef]
- Dai, Q.; Gu, C.; Xu, Y.; Zhang, Y.; Hong, Y.; Joo, S.; Huang, J. Self-sacrificing template method to controllable synthesize hollow SnO2@C nanoboxes for lithium-ion battery anode. J. Electroanal. Chem. 2021, 898, 115653. [Google Scholar] [CrossRef]
- Li, R.; Miao, C.; Yu, L.; Zhang, M.; Xiao, W. Novel self-assembled SnO2@SnS2 hybrid microspheres as potential anode materials for lithium-ion batteries. Mater. Lett. 2022, 272, 127851. [Google Scholar] [CrossRef]
- Li, R.; Xiao, W.; Miao, C.; Fang, R.; Wang, Z.; Zhang, M. Sphere-like SnO2/TiO2 composites as high-performance anodes for lithium ion batteries. Ceram. Int. 2019, 45, 13530–13535. [Google Scholar] [CrossRef]










Publisher’s Note: MDPI stays neutral with regard to jurisdictional claims in published maps and institutional affiliations. |
© 2022 by the authors. Licensee MDPI, Basel, Switzerland. This article is an open access article distributed under the terms and conditions of the Creative Commons Attribution (CC BY) license (https://creativecommons.org/licenses/by/4.0/).
Share and Cite
Li, J.; Long, J.; Han, T.; Lin, X.; Sun, B.; Zhu, S.; Li, J.; Liu, J. A Hierarchical SnO2@Ni6MnO8 Composite for High-Capacity Lithium-Ion Batteries. Materials 2022, 15, 8847. https://doi.org/10.3390/ma15248847
Li J, Long J, Han T, Lin X, Sun B, Zhu S, Li J, Liu J. A Hierarchical SnO2@Ni6MnO8 Composite for High-Capacity Lithium-Ion Batteries. Materials. 2022; 15(24):8847. https://doi.org/10.3390/ma15248847
Chicago/Turabian StyleLi, Jiying, Jiawei Long, Tianli Han, Xirong Lin, Bai Sun, Shuguang Zhu, Jinjin Li, and Jinyun Liu. 2022. "A Hierarchical SnO2@Ni6MnO8 Composite for High-Capacity Lithium-Ion Batteries" Materials 15, no. 24: 8847. https://doi.org/10.3390/ma15248847
APA StyleLi, J., Long, J., Han, T., Lin, X., Sun, B., Zhu, S., Li, J., & Liu, J. (2022). A Hierarchical SnO2@Ni6MnO8 Composite for High-Capacity Lithium-Ion Batteries. Materials, 15(24), 8847. https://doi.org/10.3390/ma15248847

