Next Article in Journal
Maleic Anhydride Polylactic Acid Coupling Agent Prepared from Solvent Reaction: Synthesis, Characterization and Composite Performance
Next Article in Special Issue
Preparation of Aluminum–Molybdenum Alloy Thin Film Oxide and Study of Molecular CO + NO Conversion on Its Surface
Previous Article in Journal
Smart Materials Prediction: Applying Machine Learning to Lithium Solid-State Electrolyte
Previous Article in Special Issue
An Accessible Integrated Nanoparticle in a Metallic Hole Structure for Efficient Plasmonic Applications
 
 
Font Type:
Arial Georgia Verdana
Font Size:
Aa Aa Aa
Line Spacing:
Column Width:
Background:
Article

Theoretical Mechanism on the Cellulose Regeneration from a Cellulose/EmimOAc Mixture in Anti-Solvents

1
College of Chemical and Material Engineering, Quzhou University, Quzhou 324000, China
2
Institute of Coal Chemistry, Chinese Academy of Sciences, Taiyuan 030001, China
*
Authors to whom correspondence should be addressed.
Materials 2022, 15(3), 1158; https://doi.org/10.3390/ma15031158
Submission received: 27 December 2021 / Revised: 18 January 2022 / Accepted: 24 January 2022 / Published: 2 February 2022
(This article belongs to the Special Issue Metal‐Nanoparticle‐Based Catalysts)

Abstract

:
The experiments on cellulose dissolution/regeneration have made some achievements to some extent, but the mechanism of cellulose regeneration in ionic liquids (ILs) and anti-solvent mixtures remains elusive. In this work, the cellulose regeneration mechanism in different anti-solvents, and at different temperatures and concentrations, has been studied with molecular dynamics (MD) simulations. The IL considered is 1-ethyl-3-methylimidazolium acetate (EmimOAc). In addition, to investigate the microcosmic effects of ILs and anti-solvents, EmimOAc-nH2O (n = 0–6) clusters have been optimized by Density Functional Theory (DFT) calculations. It can be found that water is beneficial to the regeneration of cellulose due to its strong polarity. The interactions between ILs and cellulose will become strong with the increase in temperature. The H-bonds of cellulose chains would increase with the rising concentrations of anti-solvents. The interaction energies between cellulose and the anions of ILs are stronger than that of cations. Furthermore, the anti-solvents possess a strong affinity for ILs, cation–anion pairs are dissociated to form H-bonds with anti-solvents, and the H-bonds between cellulose and ILs are destroyed to promote cellulose regeneration.

1. Introduction

Plants and plant-based biomass are abundant sources of renewable feedstocks found across the Earth which contain three dominant components: cellulose, hemicellulose, and lignin [1]. Cellulose can be derived from cellulose-rich starting materials, such as trees, cotton, and crop wastes, with an annual yield of over 1012 tons [2]. Apart from its broad applications as a raw material to produce paints, tissues, paper, new structural–functional membranes, and pharmaceutical compounds, cellulose can be also used as an appropriate feedstock for biofuel and bioproducts [3,4]. Due to the global challenge of the environment and energy crisis, there is an intensive growth in demands for green and renewable energy sources. Thus, the utilization of renewable lignocellulose has shown great promise for the future.
Cellulose is a linear condensation polymer with degrees of polymerization (DP) from 100 to 20,000, consisting of repeated glucopyranose units linked by β-1,4-glucosidic bonds [5,6]. The hydroxyl groups along the chains are connected via hydrogen bonds (H-bonds), in both parallel and anti-parallel fashion, as a result of its structural robustness with strong mechanical strength. Therefore, cellulose usually cannot be dissolved in common solvents, such as alcohol or water [7]. Ionic liquids (ILs) are composed of ions with a melting point around or below 373 K [8]. There are many unique physicochemical properties for ILs, such as low vapor pressure, high chemical stability, a wide electrochemical window, a wide liquid range, and high solvation ability to dissolve various substances which are difficult to dissolve in conventional solvents, and this has led to numerous proposed applications in various fields, including catalysis, extraction, electrochemistry, organic synthesis, etc. [9,10]. In 2002, Rogers and co-workers reported the use of ILs as cellulose solvents for both physical cellulose dissolution and regeneration, opening up a new class of solvents to the cellulose research community [11]. Up to now, approximately 300 kinds of ILs have been tested experimentally for dissolving lignocellulosic biomass [12,13,14]. Generally, strong H-bonds can be formed between cellulose and anions, and the dissolution ability of cellulose depends on the strength of the H-bonds formed with anions [15]. Besides, cellulose can be regenerated from the dissolved cellulose–ILs mixtures when adding anti-solvents, such as water or alcohol [16,17,18]. Cellulose regeneration is one of the most important parts of the utilization of cellulose and its transformation into new functional materials.
The regeneration of cellulose by coagulation with anti-solvents is an important pathway for the industrialization of cellulose materials. The regenerated cellulose has exhibited good mechanical properties, and can be used in fiber manufacture, films/membranes, hydrogels/aerogels, etc. [19,20]. Yousefi et al. reported that an all-cellulose nanocomposite was directly fabricated using the nano-welding of cellulose microfibers as a starting material in a BmimCl solvent [21]. In addition, Gupta and co-workers studied cellulose regeneration from a cellulose/BmimOAc mixture through the addition of anti-solvents by using molecular dynamics (MD) simulations, and concluded that water is identified as one of the best potential candidates for cellulose regeneration [22]. Shamsuri et al. summarized the properties and applications of cellulose regenerated from cellulose/imidazolium-based ILs/co-solvent solutions, and provided a good understanding of the changes in the properties of regenerated cellulose blends [23]. Most of the studies are focused on the yield and properties of cellulose regeneration. However, the microcosmic mechanism of cellulose regeneration, the roles of anti-solvents, and the interactions between ILs and anti-solvents have not been revealed yet.
With the rapid development of computer science, computational modeling methods, including MD and Density Functional Theory (DFT) calculations, have been successfully used in the dissolution of lignocellulose and the conversion mechanism of biofuels [24,25]. Miyamoto et al. investigated the structural reorganization of two different molecular sheets derived from cellulose II crystal using MD simulations, and proposed that the van der Waals-associated molecular sheet will be stable because of its hydrophobic inside and hydrophilic periphery [26]. Some studies also recognized that insolubility is often attributed to the strong inter- and intramolecular H-bonds between cellulose molecules through a computational perspective [7,27]. The mechanism of regeneration from the cellulose–ILs mixtures to their aggregation state is essential for the successful preparation of the regenerated cellulose materials, which dominates their morphology and properties. The physical, chemical, and electrochemical properties will be changed when added to water, or organic solvents in pure ILs. Chaban et al. had summarized the fundamental research and prospective application of ILs in combination with molecular liquids, concentrating on the viscosity of ILs, micelle formation, and the adsorption of pollutant gases [28]. Additionally, they investigated the conductivity of imidazolium-based ILs and the acetonitrile binary system through MD simulation, and they found that acetonitrile can boost the conductivity and diffusion of the ILs/acetonitrile mixture [29]. As one kind of efficient IL for cellulose dissolution and regeneration, 1-ethyl-3-methylimidazolium acetate (EmimOAc) has been widely studied in the dissolution and regeneration of lignocellulose [30,31], but the corresponding mechanism of cellulose regeneration in EmimOAc/anti-solvent mixtures remain ambiguous.
In this work, the role of anti-solvents, such as water, methanol, and ethanol, in cellulose regeneration has been considered for cellulose regeneration from cellulose/EmimOAc mixtures through a large-scale MD simulation. Besides, we have also investigated the temperature and concentrations of anti-solvents, which can affect the cellulose regeneration. H-bonds, the interaction energies of cellulose–ILs, and radial distribution functions have been analyzed to reveal the mechanism of cellulose regeneration. To further study the microcosmic interactions between ILs and anti-solvents, DFT calculations have been made for the EmimOAc-nH2O clusters. A preliminary study about the regenerated mechanism of cellulose in an EmimOAc/anti-solvent mixture has been conducted and the microcosmic mechanism of the regeneration of cellulose was revealed, and it provides some theoretical foundations for the utilization of cellulose.

2. Computational Methods

2.1. Molecular Dynamics Simulations

MD simulations for a cellulose/EmimOAc system, with 16 × 8 (16 glucan chains and each with 8 residues) cellulose bunches (Figure 1) and 320 pairs of EmimOAc filled in a cuboid box using Packmol [32], were performed with the Gromacs 5.1.1 software package. The force field parameters for EmimOAc are obtained from Liu’s work [33] with the spirit of AMBER framework. The Glycam06 force field [34] was used for cellulose bunches, and the SPC/E model [35] is used for water. The solvated cellulose was regenerated in a cuboid box filled with equilibrated ILs and solvents. Periodic boundary conditions (PBC) were used, with an initial box size of 7 nm × 7 nm × 7 nm in the x, y, z directions. All the covalent bonds were constrained using the LINCS algorithm [36]. The particle mesh Ewald summation was used in the calculation of long-range electrostatic interactions, with a cutoff radius of 1.2 nm. Firstly, the initial configurations were minimized by the steepest descent method until reaching the 100 kJ/mol·nm minimum force needed to remove the atomic collision. Then, the systems were equilibrated under an NVT ensemble for 500 ps, with a V-rescale thermostat at room temperature. Another 5 ns of annealing was used to increase the temperature from 298 to 400 K, consistent with the experimental dissolution condition [37]. In the above equilibrations, a harmonic restraint potential (a force constant of 1000 kJ/mol·nm2) was set on all carbon atoms to keep the cellulose’s initial position. Finally, a production run of 100 ns was performed with restraints removed in the NPT ensemble with a 1 fs timestep. Every 100 ps was used to collect the atomic coordinates, velocities, and energies.

2.2. Quantum Chemistry Calculations

The interactions of the EmimOAc-nH2O (n = 0–6) clusters were calculated with the Gaussian 16 package [38]. The structural optimizations were carried out at the M06-2X/def2SVP theoretical level, which was preferred to be a general DFT method for describing nonbonded interactions [39,40]. Vibrational frequencies were also calculated to verify the stationary structure for all the configurations. The binding energies for the clusters of EmimOAc-nH2O (n = 0–6) are defined as follows:
Δ E b = E c l u s t e r s E a n i o n E c a t i o n n E H 2 O + Δ E B S S E
To further understand the bond properties of the EmimOAc-nH2O (n = 0–6) clusters, a natural bond orbital (NBO) analysis was performed by the NBO program. Depending on the results of the NBO analysis, the second-order perturbation stabilization energy E(2) with the delocalization of ij is estimated as:
E 2 = q i F i , j 2 ε i ϵ j

3. Results and Discussion

3.1. The Cellulose Regeneration in Different Anti-Solvents

To characterize the structural properties of the anti-solvents, a quantitative molecular surface analysis of the electronic potential (ESP) has been widely used, based on the electrochemical structure [41,42]. In a molecular system, the ESP can be defined as:
V t o t r = V n u c r + V e l e r = A Z A r R A ρ r r r d r
where Z and R are the nuclear charge and nuclear position, respectively. Additionally, ρ(r) is the electronic density function of the molecule. The ESP, mapped along with surface extrema of the anions and cations of EmimOAc and anti-solvents, are shown in Figure 2, and the graph of the surface area, plotted against different ESP ranges, is listed in Figure S1. The largest positive value of Emim can be found in the C2-H (0.207 a.u.) of the imidazole ring. The most negative value of OAc is around the oxygen (−0.285 a.u.). The electronegativity of the oxygen of the anions is strong, and easily attacks the electropositive region of cations. The highest electronegativity values of H2O, CH3OH, and CH3CH2OH are −0.075, −0.071, and −0.071 a.u., respectively. The polarity of H2O is stronger than that of alcohols. From Figure S1, there is a large portion of the molecular surface with a small ESP value in OAc, namely from −160 to −140 kcal/mol. H-bonds can be formed between cellulose and ILs that are beneficial for cellulose dissolution. However, H-bonds can be also formed between ILs and anti-solvents. Therefore, the H-bonds formed between cellulose and ILs will be weakened to promote cellulose regeneration.
There are plenty of hydroxyls in the glucose unit of cellulose, and the inter- and intra-chain H-bonds could be formed as with the cellulose regeneration, which is shown in Figure S2. Two geometrical criteria were defined for the H-bonds: (1) the distance of the donor–acceptor is ≤3.5 Å, and (2) the angle of the hydrogen donor–acceptor is less than 30° (the deviation of the OH from the O--O internuclear axis) [43,44]. The H-bonds’ networks of cellulose are important standards against which to measure its regeneration [45]. To investigate the role of anti-solvents, the number of H-bonds between cellulose chains over 50–100 ns are collected in Figure 3. The number of H-bonds between the cellulose chains in the EmimOAc/water, EmimOAc/CH3OH, and EmimOAc/CH3CH2OH mixtures are around 120, 60, and 30, respectively. It means that the sequence of cellulose regeneration in the anti-solvent is H2O > CH3OH > CH3CH2OH.

3.2. The Effects of Temperature on Cellulose Regeneration

There are many factors affecting the regeneration of cellulose, such as the anti-solvents’ concentration, temperature, and times [46,47,48]. To investigate the effects of temperature on cellulose regeneration, the (50–100 ns) average number of H-bonds between cellulose chains and ILs in 80 wt% water at different temperatures are shown in Figure 4. The distance between any two atoms of cellulose chains (<0.35 nm) was adopted as a geometrical criterion. The number of intra-chain H-bonds is one order of magnitude larger than that of the inter-chain, and the primary contribution to the cellulose bunches is from intra-chain interactions. The average numbers of H-bonds between the cellulose and ILs at 253 K, 273 K, and 333 K are 82, 103, and 155, respectively. The number of intra-chain H-bonds is one order of magnitude larger than that of the inter-chain, and the primary contribution to the cellulose bunches is from intra-chain interactions [22,49]. As shown in Figure S3, the H-bonds are relatively stable from 50 to 100 ns in the equilibrium system. The numbers of H-bonds at 253 K and 273 K are around 80 and 100, respectively. As the temperature is raised, the number of bonds to the ILs increases, which means the number of inter- and intramolecular H-bonds of cellulose decreases. It will not be beneficial for the regeneration of cellulose.
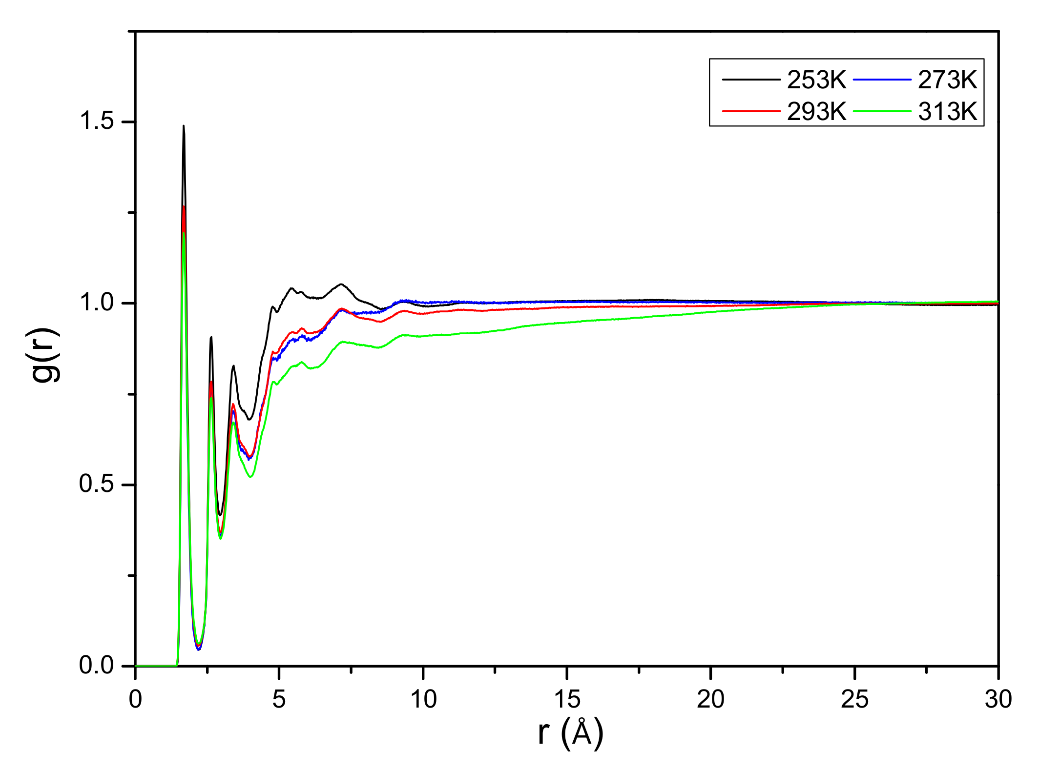
To characterize the structural features of the effect of temperature on cellulose regeneration, radial distribution functions g(r) were calculated from the MD simulations using Equation (4):
g i j r = N i j r , r + r V 4 π r 2 r N i N j
where r represents the distance between i and j atoms, Ni and Nj represent the numbers of i and j atoms, Nij(r, rr) represents the number of j atoms around i within a shell from r to rr, and V is the volume of the system. The graph in Figure 5 plots the g(r) for cellulose around the oxygen of OAc in the cellulose/EmimOAc/H2O mixtures. As shown in Figure 5, we find that OAc is mainly located around 1.5 Å to the hydroxyl group of cellulose, reflecting a strong interaction between cellulose and OAc. Besides, the interaction energies between cellulose and OAc are around −4360.37 kJ/mol at 253 K, −3933.06 kJ/mol at 273 K, −3711.84 kJ/mol at 293 K, and −3683.78 kJ/mol at 313 K, respectively. Upon increasing the temperature, the peak height drops, which implies the weakening of cellulose–OAc interaction strength based on the interaction analysis. It also confirmed that it will be not beneficial for cellulose regeneration with the increasing temperature.

3.3. The Effect of Water Concentration on Cellulose Regeneration

The different concentrations of anti-solvents play a critical role in the regeneration of cellulose [49]. To investigate the effects of water concentration on cellulose regeneration, we have summarized the number of cellulose H-bonds in 50–100 ns, which is shown in Figure 6. The weight percentage of solvents are defined as:
wt %   solvent   = weight   of   solvent   weight   of   solvent + weight   of   ILs × 100 %
As shown in Figure 6A, the H-bonds are relatively stable from 50 to 100 ns in the equilibrium system. The numbers of H-bonds in 60 and 80 wt% are around 90 and 120, respectively. In addition, we have calculated the average numbers of H-bonds in cellulose, which is shown in Figure 6B. The average numbers of H-bonds in 0, 20, 40, 60, 80, and 100 wt% are 38.3, 54.19, 68.12, 90.05, 117.48, and 144.60, respectively. Therefore, the numbers of H-bonds in cellulose will be increased with the rising of the water concentration. The cellulose will be reunited in the anti-solvents, and this will be beneficial for cellulose regeneration.
As the anions and cations of ILs play critical roles in the regeneration of cellulose, the interaction energy values help us to understand the regeneration process in the EmimOAc–water mixture. To investigate the interactions between cellulose and ILs, the interaction energies between the cellulose chains and the anion/cation of EmimOAc are listed in Table 1. Taking the interaction energies between the cellulose chains and ILs in 20 wt% water, for example, the interaction energy between the cellulose chains and Emim is −9764.80 kJ/mol and −17,511.8 kJ/mol for the OAc. The Lennard–Jones (LJ) of cellulose–Emim is −6302.39 kJ/mol, which is stronger than that of the coulombic interaction (−3462.37 kJ/mol). We found that the interaction energies of anions are stronger than that of the cations. Besides, the energy for the cations mainly comes from the LJ potential, while the energy for OAc mainly comes from coulombic interactions due to the small molecular volume of the anions. The contact area between the cellulose and cations is larger than that of the anions because of the bigger molecular dimension. Besides, the charge on the cations is more delocalized than that of the anions, based on the ESP analysis discussed above. Moreover, taking the interaction energies in 20 and 40 wt% water, for example, the interaction energy between the cellulose and anions are −17,511.8 kJ/mol and −14,104.60 kJ/mol, respectively. The interaction energy between the cellulose and cations are −9764.80 kJ/mol and −8514.32 kJ/mol, respectively. Therefore, as the water concentration increases, the number of interactions between the cellulose and both the anions and cations decreases. This contributes to the regeneration of cellulose with the increasing addition of water. Furthermore, the decrease in interactions between cellulose and the ILs is compensated by the increasing interactions between the ILs and water.

3.4. DFT Study on the Interaction between ILs and Anti-Solvents

The H-bonds formed between the hydroxyls and both the anions and cations are the driving force for cellulose dissolution, and play a critical role in the regeneration of cellulose in ILs–anti-solvents [30,50,51]. To further investigate the interactions between ILs and anti-solvents, we had calculated the microstructures of EmimOAc-nH2O (n = 0–6) through DFT calculations. There are two kinds of dominant structures in ILs–anti-solvents, which are contact ion pairs (CIPs), with strong anion–cation interactions, and solvent-separated ion pairs (SIPs), with strong ion–solvent interactions [52,53]. The optimized structures of EmimOAc-nH2O (n = 0–6) are shown in Figure 7. Initially, CIPs are the dominant structures due to the strong electrostatic interaction between Emim and OAc. With the increasing numbers of water molecules, SIPs are the prevailing structures when n ≥ 5. Besides, the corresponding structural and energetic properties of these configurations are presented in Figure 8. For the CIP structure, strong H-bonds can be formed between Emim and OAc, with rCH…O about 1.50 Å (Figure 8A). When n = 1, 2, and 3 in the EmimOAc-nH2O (n = 0–6) clusters, the rCH…O are 1.66, 1.77, and 1.98 Å, respectively. Therefore, it can be found that the H-bonds between anions and cations will be decreased by adding the water molecules. For the intramolecular bond rC…H of Emim in the EmimOAc-nH2O (n = 0–6) clusters (Figure 8B), the rC…H of Emim when n = 1, 2, and 3 are 1.18, 1.13, and 1.12 Å, respectively. The C2-H bond length of the imidazole ring will be decreased with the rising number of H2O. Furthermore, the calculated binding energies for all of the configurations are shown in Figure 8C. The binding energies of EmimOAc-nH2O (n = 0–6) are corrected by the BSSE (basis set superposition error), which is listed in Table S1. The binding energy of EmimOAc is −440.8 kJ/mol. When n = 1, 2, and 3 in the EmimOAc-nH2O (n = 0–6) clusters, the binding energies are −528.7, −570.2, and −622.3 kJ/mol, respectively. From the analysis of the binding energies of the EmimOAc-nH2O (n = 0–6) clusters, the EmimOAc tended to be a more stable structure, with high hydration in an aqueous solution. For the configurations with four or more water molecules, the SIPs are more favorable in EmimOAc–anti-solvents. Besides, the SIP structures can provide better H-bond possibilities, and more OH proton donors of H2O can be involved in H-bonded structural motifs.
To study the bonding properties in the EmimOAc-nH2O clusters, the natural bond orbital (NBO) method [54] has been used to characterize H-bonds in terms of hyper-conjugative donor–acceptor interactions. Table 2 shows the main donor–acceptor interactions between Emim and OAc, as well as their second-order perturbation stabilization energies (E(2)). The strength of the donor–acceptor interaction can be denoted by E(2), and the larger E(2), the stronger interaction will be. From Table 2, the obvious and efficient overlaps can be found between the lone-pair orbitals of OAc and the anti-bonding orbital of Emim. The anion and cation can form a strong interaction, since the E(2) values of LP O26→σ* C3-H6 is 54.43 kcal/mol. With the increase in the number of water molecules, the interactions between anions and cations would decrease. Taking the CIP+1W as an example, the E(2) values of LP O26→σ* C3-H6 is 18.63 kcal/mol. The E(2) values show that the H-bonds between Emim and OAc become weak when adding water molecules. Taking the CIP+2W as an example, the E(2) value of LP O26→σ* O30-H31 is 18.47 kcal/mol. It is indicated that strong H-bonds can be formed between OAc and H2O. Therefore, it has been confirmed that it will be beneficial for cellulose regeneration due to the strong H-bonds formed between OAc and H2O when adding the water anti-solvent.

4. Conclusions

The regeneration of the cellulose bunches of 16 glucan chains, each with eight glucose residues (16 × 8), in EmimOAc/anti-solvents mixture was investigated using molecular dynamics (MD) simulations. We have considered the influence of different kinds of anti-solvents, temperatures, and concentrations on cellulose regeneration. To further investigate the microscopic interactions between EmimOAc and water solvents, a series of EmimOAc-nH2O (n = 0–6) clusters has been studied using Density Function Theory (DFT) calculations. Compared to the alcohol solvents, the effect of cellulose regeneration in water is better than that of other alcohols because of the strong polarity of H2O. Upon increasing the temperature from 253 to 333 K, the interaction energies between cellulose and ILs will increase with the rise in temperature, and it is not beneficial for cellulose regeneration. Furthermore, the number of H-bonds in cellulose chains will increase with the rising concentration of anti-solvents. The interaction energy of cellulose–OAc is stronger than that of cellulose–Emim, and the energy for OAc mainly comes from coulombic interactions due to the small molecular volume of the anion. EmimOAc tended to be a more stable structure with high hydration in an aqueous solution. Besides, the SIP structures can provide better H-bonds possibilities, and more OH proton donors of H2O can be involved in H-bonded structural motifs. It hindered the interactions between cellulose and ILs due to the H-bonds formed between the ILs and anti-solvents.
Overall, insightful structural and dynamic properties for cellulose regeneration in EmimOAc/anti-solvent mixtures at a microscopic level are provided in this work. These would provide some help to understand the mechanism of cellulose in ILs and anti-solvents.

Supplementary Materials

The following supporting information can be downloaded at: https://www.mdpi.com/article/10.3390/ma15031158/s1, Figure S1: ESP mapped molecular vdW surface and area percent of Emim, OAc, H2O, CH3OH and CH3CH2OH; Figure S2: Intrachain (black dotted) and interchain (red dotted) H-bonds and H-bond criteria; Figure S3: The number of H-bonds between cellulose chains from 50 to 100 in different temperature. (80 wt% anti-solvents); Table S1: The binding energies (ΔEb) corrected by BSSE(ΔEBSSE) of EmimOAc-nH2O (n = 0–6).

Author Contributions

Conceptualization, Z.J.; methodology, Z.J.; software, T.L.; validation, M.Y., Y.Y. and L.D.; formal analysis, L.D.; investigation, S.F.; resources, L.D.; data curation, Y.Y. and M.Z.; writing—original draft preparation, Z.J.; writing—review and editing, L.D. and T.L.; visualization, Z.J.; supervision, M.Y.; project administration, Z.J. and L.D.; funding acquisition, L.D. and Z.J. All authors have read and agreed to the published version of the manuscript.

Funding

This research was funded by the National Natural Science Foundation of China grant number (22106087), the Joint Funds of the Zhejiang Provincial Natural Science Foundation of China grant number (LZY22B070001), the Research Fund for the Quzhou University grant number (BSYJ202101), and the National College Student Innovation and Entrepreneurship Training Program grant number (202111488046).

Institutional Review Board Statement

Not applicable.

Informed Consent Statement

Not applicable.

Data Availability Statement

Data is contained within the article or Supplementary Materials.

Conflicts of Interest

The authors have declared that there are no competing interests in their work.

References

  1. Zhang, Z.; Song, J.; Han, B. Catalytic Transformation of Lignocellulose into Chemicals and Fuel Products in Ionic Liquids. Chem. Rev. 2017, 117, 6834–6880. [Google Scholar] [CrossRef] [PubMed]
  2. Klemm, D.; Heublein, B.; Fink, H.P.; Bohn, A. Cellulose: Fascinating Biopolymer and Sustainable Raw Material. Angew. Chem. Int. Ed. 2005, 44, 3358–3393. [Google Scholar] [CrossRef]
  3. Focher, B.; Palma, M.T.; Canetti, M.; Torri, G.; Cosentino, C.; Gastaldi, G. Structural differences between non-wood plant celluloses: Evidence from solid state NMR, vibrational spectroscopy and X-ray diffractometry. Ind. Crops Prod. 2001, 13, 193–208. [Google Scholar] [CrossRef]
  4. Muhammad, N.; Man, Z.; Bustam, M. Ionic liquid—A future solvent for the enhanced uses of wood biomass. Eur. J. Wood Wood Prod. 2011, 70, 125–133. [Google Scholar] [CrossRef]
  5. O’Sullivan, A.C. Cellulose: The structure slowly unravels. Cellulose 1997, 4, 173–207. [Google Scholar] [CrossRef]
  6. Zhu, C.; Xin, H.; Hong, J.; Wang, H.; Wang, C.; Ma, L.; Liu, Q. Hydrocarbon Distribution of Cellulose Hydrogenolysis over Ru–MoOx/C Combined with HZSM-5. ACS Sustain. Chem. Eng. 2021, 9, 14704–14721. [Google Scholar] [CrossRef]
  7. Gupta, K.M.; Jiang, J. Cellulose dissolution and regeneration in ionic liquids: A computational perspective. Chem. Eng. Sci. 2015, 121, 180–189. [Google Scholar] [CrossRef]
  8. Rogers, R.D.; Seddon, K.R. Ionic Liquids—Solvents of the Future? Science 2003, 302, 792–793. [Google Scholar] [CrossRef]
  9. Freudenmann, D.; Wolf, S.; Wolff, M.; Feldmann, C. Ionic Liquids: New Perspectives for Inorganic Synthesis? Angew. Chem. Int. Ed. 2011, 50, 11050–11060. [Google Scholar] [CrossRef]
  10. Zakrzewska, M.E.; Bogel-Łukasik, E.; Bogel-Łukasik, R. Solubility of Carbohydrates in Ionic Liquids. Energy Fuels 2010, 24, 737–745. [Google Scholar] [CrossRef]
  11. Swatloski, R.P.; Spear, S.K.; Holbrey, J.D.; Rogers, R.D. Dissolution of Cellose with Ionic Liquids. J. Am. Chem. Soc. 2002, 124, 4974–4975. [Google Scholar] [CrossRef]
  12. Wang, H.; Gurau, G.; Rogers, R.D. Ionic liquid processing of cellulose. Chem. Soc. Rev. 2012, 41, 1519–1537. [Google Scholar] [CrossRef]
  13. Zhang, J.; Wu, J.; Yu, J.; Zhang, X.; He, J.; Zhang, J. Application of ionic liquids for dissolving cellulose and fabricating cellulose-based materials: State of the art and future trends. Mater. Chem. Front. 2017, 1, 1273–1290. [Google Scholar] [CrossRef]
  14. Badgujar, K.C.; Bhanage, B.M. Factors governing dissolution process of lignocellulosic biomass in ionic liquid: Current status, overview and challenges. Bioresour. Technol. 2015, 178, 2–18. [Google Scholar] [CrossRef]
  15. Guo, J.; Zhang, D.; Duan, C.; Liu, C. Probing anion–cellulose interactions in imidazolium-based room temperature ionic liquids: A density functional study. Carbohydr. Res. 2010, 345, 2201–2205. [Google Scholar] [CrossRef]
  16. Wu, J.; Zhang, J.; Zhang, H.; He, J.; Ren, Q.; Guo, M. Homogeneous Acetylation of Cellulose in a New Ionic Liquid. Biomacromolecules 2004, 5, 266–268. [Google Scholar] [CrossRef]
  17. Zhang, H.; Wu, J.; Zhang, J.; He, J. 1-Allyl-3-methylimidazolium Chloride Room Temperature Ionic Liquid:  A New and Powerful Nonderivatizing Solvent for Cellulose. Macromolecules 2005, 38, 8272–8277. [Google Scholar] [CrossRef]
  18. Hauru, L.K.J.; Hummel, M.; King, A.W.T.; Kilpeläinen, I.; Sixta, H. Role of Solvent Parameters in the Regeneration of Cellulose from Ionic Liquid Solutions. Biomacromolecules 2012, 13, 2896–2905. [Google Scholar] [CrossRef]
  19. Sayyed, A.J.; Deshmukh, N.A.; Pinjari, D.V. A critical review of manufacturing processes used in regenerated cellulosic fibres: Viscose, cellulose acetate, cuprammonium, LiCl/DMAc, ionic liquids, and NMMO based lyocell. Cellulose 2019, 26, 2913–2940. [Google Scholar] [CrossRef]
  20. Wang, S.; Lu, A.; Zhang, L. Recent advances in regenerated cellulose materials. Prog. Polym. Sci. 2016, 53, 169–206. [Google Scholar] [CrossRef]
  21. Yousefi, H.; Nishino, T.; Faezipour, M.; Ebrahimi, G.; Shakeri, A. Direct Fabrication of all-Cellulose Nanocomposite from Cellulose Microfibers Using Ionic Liquid-Based Nanowelding. Biomacromolecules 2011, 12, 4080–4085. [Google Scholar] [CrossRef]
  22. Gupta, K.M.; Hu, Z.; Jiang, J. Cellulose regeneration from a cellulose/ionic liquid mixture: The role of anti-solvents. RSC Adv. 2013, 3, 12794–12801. [Google Scholar] [CrossRef]
  23. Shamsuri, A.A.; Abdan, K.; Jamil, S.N.A.M. Properties and applications of cellulose regenerated from cellulose/imidazolium-based ionic liquid/co-solvent solutions: A short review. e-Polymers 2021, 21, 869–880. [Google Scholar] [CrossRef]
  24. Ju, Z.; Xiao, W.; Yao, X.; Tan, X.; Simmons, B.A.; Sale, K.L.; Sun, N. Theoretical study on the microscopic mechanism of lignin solubilization in Keggin-type polyoxometalate ionic liquids. Phys. Chem. Chem. Phys. 2020, 22, 2878–2886. [Google Scholar] [CrossRef]
  25. Ju, Z.; Zhang, Y.; Zhao, T.; Xiao, W.; Yao, X. Mechanism of Glucose–Fructose Isomerization over Aluminum-Based Catalysts in Methanol Media. ACS Sustain. Chem. Eng. 2019, 7, 14962–14972. [Google Scholar] [CrossRef]
  26. Miyamoto, H.; Umemura, M.; Aoyagi, T.; Yamane, C.; Ueda, K.; Takahashi, K. Structural reorganization of molecular sheets derived from cellulose II by molecular dynamics simulations. Carbohydr. Res. 2009, 344, 1085–1094. [Google Scholar] [CrossRef] [PubMed]
  27. Medronho, B.; Lindman, B. Brief overview on cellulose dissolution/regeneration interactions and mechanisms. Adv. Colloid Interface Sci. 2015, 222, 502–508. [Google Scholar] [CrossRef] [PubMed]
  28. Chaban, V.V.; Prezhdo, O.V. Ionic and Molecular Liquids: Working Together for Robust Engineering. J. Phys. Chem. Lett. 2013, 4, 1423–1431. [Google Scholar] [CrossRef] [PubMed]
  29. Chaban, V.V.; Voroshylova, I.V.; Kalugin, O.N.; Prezhdo, O.V. Acetonitrile Boosts Conductivity of Imidazolium Ionic Liquids. J. Phys. Chem. B 2012, 116, 7719–7727. [Google Scholar] [CrossRef] [PubMed]
  30. Li, Y.; Liu, X.; Zhang, S.; Yao, Y.; Yao, X.; Xu, J.; Lu, X. Dissolving process of a cellulose bunch in ionic liquids: A molecular dynamics study. Phys. Chem. Chem. Phys. 2015, 17, 17894–17905. [Google Scholar] [CrossRef] [PubMed]
  31. Zhang, J.; Zhang, H.; Wu, J.; Zhang, J.; He, J.; Xiang, J. NMR spectroscopic studies of cellobiose solvation in EmimAc aimed to understand the dissolution mechanism of cellulose in ionic liquids. Phys. Chem. Chem. Phys. 2010, 12, 1941–1947. [Google Scholar] [CrossRef]
  32. Martínez, J.M.; Martínez, L. Packing optimization for automated generation of complex system’s initial configurations for molecular dynamics and docking. J. Comput. Chem. 2003, 24, 819–825. [Google Scholar] [CrossRef]
  33. Liu, Z.; Huang, S.; Wang, W. A Refined Force Field for Molecular Simulation of Imidazolium-Based Ionic Liquids. J. Phys. Chem. B 2004, 108, 12978–12989. [Google Scholar] [CrossRef]
  34. Kirschner, K.N.; Yongye, A.B.; Tschampel, S.M.; González-Outeiriño, J.; Daniels, C.R.; Foley, B.L.; Woods, R.J. GLYCAM06: A generalizable biomolecular force field. Carbohydrates. J. Comput. Chem. 2008, 29, 622–655. [Google Scholar] [CrossRef] [Green Version]
  35. Berendsen, H.J.C.; Grigera, J.R.; Straatsma, T.P. The missing term in effective pair potentials. J. Phys. Chem. 1987, 91, 6269–6271. [Google Scholar] [CrossRef]
  36. Hess, B.; Bekker, H.; Berendsen, H.J.; Fraaije, J.G. LINCS: A linear constraint solver for molecular simulations. J. Comput. Chem. 1997, 18, 1463–1472. [Google Scholar] [CrossRef]
  37. Diez, V.; DeWeese, A.; Kalb, R.S.; Blauch, D.N.; Socha, A.M. Cellulose Dissolution and Biomass Pretreatment Using Quaternary Ammonium Ionic Liquids Prepared from H-, G-, and S-Type Lignin-Derived Benzaldehydes and Dimethyl Carbonate. Ind. Eng. Chem. Res. 2019, 58, 16009–16017. [Google Scholar] [CrossRef]
  38. Frisch, M.J.; Trucks, G.W.; Schlegel, H.B.; Scuseria, G.E.; Robb, M.A.; Cheeseman, J.R.; Scalmani, G.; Barone, V.; Petersson, G.A.; Nakatsuji, H.; et al. Gaussian 16; Gaussian, Inc.: Wallingford, CT, USA, 2016. [Google Scholar]
  39. Mao, Q.; Ren, Y.; Luo, K.H.; van Duin, A.C.T. Dynamics and kinetics of reversible homo-molecular dimerization of polycyclic aromatic hydrocarbons. J. Chem. Phys. 2017, 147, 244305. [Google Scholar] [CrossRef] [Green Version]
  40. Simeon, T.M.; Ratner, M.A.; Schatz, G.C. Nature of Noncovalent Interactions in Catenane Supramolecular Complexes: Calibrating the MM3 Force Field with ab Initio, DFT, and SAPT Methods. J. Phys. Chem. A 2013, 117, 7918–7927. [Google Scholar] [CrossRef] [Green Version]
  41. Fu, R.; Lu, T.; Chen, F.-W. Comparing Methods for Predicting the Reactive Site of Electrophilic Substitution. Acta Phys. Chim. Sin. 2014, 30, 628–639. [Google Scholar]
  42. Wang, Z.; Liu, Y.; Zheng, B.; Zhou, F.; Jiao, Y.; Liu, Y.; Ding, X.; Lu, T. A theoretical investigation on Cu/Ag/Au bonding in XH2P⋯MY(X = H, CH3, F, CN, NO2; M = Cu, Ag, Au; Y = F, Cl, Br, I) complexes. J. Chem. Phys. 2018, 148, 194106. [Google Scholar] [CrossRef]
  43. Luzar, A.; Chandler, D. Hydrogen-bond kinetics in liquid water. Nature 1996, 379, 55–57. [Google Scholar] [CrossRef]
  44. Dong, K.; Liu, X.; Dong, H.; Zhang, X.; Zhang, S. Multiscale Studies on Ionic Liquids. Chem. Rev. 2017, 117, 6636–6695. [Google Scholar] [CrossRef]
  45. Fan, Z.; Chen, J.; Guo, W.; Ma, F.; Sun, S.; Zhou, Q. Anti-solvents tuning cellulose nanoparticles through two competitive regeneration routes. Cellulose 2018, 25, 4513–4523. [Google Scholar] [CrossRef]
  46. Shibata, M.; Teramoto, N.; Nakamura, T.; Saitoh, Y. All-cellulose and all-wood composites by partial dissolution of cotton fabric and wood in ionic liquid. Carbohydr. Polym. 2013, 98, 1532–1539. [Google Scholar] [CrossRef] [PubMed]
  47. Cai, J.; Wang, L.; Zhang, L. Influence of coagulation temperature on pore size and properties of cellulose membranes prepared from NaOH–urea aqueous solution. Cellulose 2007, 14, 205–215. [Google Scholar] [CrossRef]
  48. Liu, S.; Zhang, L.; Sun, Y.; Lin, Y.; Zhang, X.; Nishiyama, Y. Supramolecular Structure and Properties of High Strength Regenerated Cellulose Films. Macromol. Biosci. 2009, 9, 29–35. [Google Scholar] [CrossRef] [PubMed]
  49. Gupta, K.M.; Hu, Z.; Jiang, J. Molecular insight into cellulose regeneration from a cellulose/ionic liquid mixture: Effects of water concentration and temperature. RSC Adv. 2013, 3, 4425–4433. [Google Scholar] [CrossRef]
  50. Parthasarathi, R.; Balamurugan, K.; Shi, J.; Subramanian, V.; Simmons, B.A.; Singh, S. Theoretical Insights into the Role of Water in the Dissolution of Cellulose Using IL/Water Mixed Solvent Systems. J. Phys. Chem. B 2015, 119, 14339–14349. [Google Scholar] [CrossRef]
  51. Li, Y.; Liu, X.; Zhang, Y.; Jiang, K.; Wang, J.; Zhang, S. Why Only Ionic Liquids with Unsaturated Heterocyclic Cations Can Dissolve Cellulose: A Simulation Study. ACS Sustain. Chem. Eng. 2017, 5, 3417–3428. [Google Scholar] [CrossRef]
  52. Stange, P.; Fumino, K.; Ludwig, R. Ion Speciation of Protic Ionic Liquids in Water: Transition from Contact to Solvent-Separated Ion Pairs. Angew. Chem. Int. Ed. 2013, 52, 2990–2994. [Google Scholar] [CrossRef]
  53. Marcus, Y.; Hefter, G. Ion Pairing. Chem. Rev. 2006, 106, 4585–4621. [Google Scholar] [CrossRef]
  54. Glendening, E.D.; Landis, C.R.; Weinhold, F. NBO 6.0: Natural bond orbital analysis program. J. Comput. Chem. 2013, 34, 1429–1437. [Google Scholar] [CrossRef]
Figure 1. The initial configuration of cellulose (16 × 8) with 16 glucan chain system and a degree of polymerization (DP) = 8.
Figure 1. The initial configuration of cellulose (16 × 8) with 16 glucan chain system and a degree of polymerization (DP) = 8.
Materials 15 01158 g001
Figure 2. The electrostatic potential on the van der Waals surfaces of (A) Emim, (B) OAc, (C) H2O, (D) CH3OH, and (E) CH3CH2OH.
Figure 2. The electrostatic potential on the van der Waals surfaces of (A) Emim, (B) OAc, (C) H2O, (D) CH3OH, and (E) CH3CH2OH.
Materials 15 01158 g002
Figure 3. The number of H-bonds between cellulose chains in different 80 wt% anti-solvents in 293 K.
Figure 3. The number of H-bonds between cellulose chains in different 80 wt% anti-solvents in 293 K.
Materials 15 01158 g003
Figure 4. The (50–100 ns) average number of H-bonds between cellulose chains and ILs in different temperatures (80 wt% water).
Figure 4. The (50–100 ns) average number of H-bonds between cellulose chains and ILs in different temperatures (80 wt% water).
Materials 15 01158 g004
Figure 5. Radial distribution functions for cellulose around O atoms of OAc in different temperatures (80 wt% water).
Figure 5. Radial distribution functions for cellulose around O atoms of OAc in different temperatures (80 wt% water).
Materials 15 01158 g005
Figure 6. (A) The number of H-bonds and (B) average (50–100 ns) number of H-bonds between cellulose chains in the cellulose/EmimOAc/water mixtures at 20, 40, 60, 80, and 100 wt% water.
Figure 6. (A) The number of H-bonds and (B) average (50–100 ns) number of H-bonds between cellulose chains in the cellulose/EmimOAc/water mixtures at 20, 40, 60, 80, and 100 wt% water.
Materials 15 01158 g006
Figure 7. Density functional calculated structures of the solvent-separated ion pairs (SIPs) and contact ion pairs (CIPs) for EmimOAc-nH2O (n = 0–6) clusters.
Figure 7. Density functional calculated structures of the solvent-separated ion pairs (SIPs) and contact ion pairs (CIPs) for EmimOAc-nH2O (n = 0–6) clusters.
Materials 15 01158 g007
Figure 8. DFT calculated (A) intermolecular bond rCH…O(anion) and rCH…O(water); (B) intramolecular bond rC…H of cation; (C) total binding energies for EmimOAc-nH2O (n = 0–6) clusters.
Figure 8. DFT calculated (A) intermolecular bond rCH…O(anion) and rCH…O(water); (B) intramolecular bond rC…H of cation; (C) total binding energies for EmimOAc-nH2O (n = 0–6) clusters.
Materials 15 01158 g008
Table 1. Interaction energies (kJ/mol) between cellulose chains and anion/cation of EmimOAc in different water concentrations.
Table 1. Interaction energies (kJ/mol) between cellulose chains and anion/cation of EmimOAc in different water concentrations.
EntryEmimOAc
EcoulEL–JEtotalEcoulEL–JEtotal
0%−3796.20−7644.57−11,440.70−23,310.90−136.08−23,446.98
20%−3462.37−6302.39−9764.80−17,095.40−416.39−17,511.8
40%−3150.73−5363.59−8514.32−13,431.40−673.23−14,104.60
60%−1840.56−3099.88−4940.40−7357.76−669.81−8027.57
80%−899.75−1378.85−2278.60−3532.38−400.68−3933.06
Table 2. The main electron donor–acceptor interactions in the EmimOAc-nH2O conformers and their second-order perturbation stabilization energies (E(2)) at M06-2X/def2SVP level.
Table 2. The main electron donor–acceptor interactions in the EmimOAc-nH2O conformers and their second-order perturbation stabilization energies (E(2)) at M06-2X/def2SVP level.
StructureDonor (i)Acceptor (j)E(2) kcal/molε(i)-ε(j)F(i,j)
CIPLP O26σ* C3-H654.430.850.194
CIP + 1WLP O26σ* C3-H618.630.800.111
LP O26σ* O27-H2916.711.250.129
CIP + 2WLP O26σ* C3-H616.070.840.105
LP O26σ* O30-H3118.471.280.138
LP O25σ* O27-H2913.251.280.117
CIP + 3WLP O26σ* C3-H67.420.860.057
LP O26σ* O33-H3416.420.790.110
LP O26σ* O30-H311.950.870.038
LP O25σ* O30-H325.860.880.066
CIP + 4WLP O26σ* C3-H66.240.880.067
LP O26σ* O27-H294.811.270.070
LP O26σ* O36-H371.291.270.036
LP O25σ* O33-H3410.851.210.103
LP O25σ* O30-H3230.990.890.150
Publisher’s Note: MDPI stays neutral with regard to jurisdictional claims in published maps and institutional affiliations.

Share and Cite

MDPI and ACS Style

Ju, Z.; Yu, Y.; Feng, S.; Lei, T.; Zheng, M.; Ding, L.; Yu, M. Theoretical Mechanism on the Cellulose Regeneration from a Cellulose/EmimOAc Mixture in Anti-Solvents. Materials 2022, 15, 1158. https://doi.org/10.3390/ma15031158

AMA Style

Ju Z, Yu Y, Feng S, Lei T, Zheng M, Ding L, Yu M. Theoretical Mechanism on the Cellulose Regeneration from a Cellulose/EmimOAc Mixture in Anti-Solvents. Materials. 2022; 15(3):1158. https://doi.org/10.3390/ma15031158

Chicago/Turabian Style

Ju, Zhaoyang, Yihang Yu, Shaokeng Feng, Tingyu Lei, Minjia Zheng, Liyong Ding, and Mengting Yu. 2022. "Theoretical Mechanism on the Cellulose Regeneration from a Cellulose/EmimOAc Mixture in Anti-Solvents" Materials 15, no. 3: 1158. https://doi.org/10.3390/ma15031158

APA Style

Ju, Z., Yu, Y., Feng, S., Lei, T., Zheng, M., Ding, L., & Yu, M. (2022). Theoretical Mechanism on the Cellulose Regeneration from a Cellulose/EmimOAc Mixture in Anti-Solvents. Materials, 15(3), 1158. https://doi.org/10.3390/ma15031158

Note that from the first issue of 2016, this journal uses article numbers instead of page numbers. See further details here.

Article Metrics

Back to TopTop