Computational Modelling of VIG Plates Using FEM: Static and Dynamic Analysis
Abstract
:1. Introduction
1.1. Research Significance
1.2. Motivation
1.3. Purpose and Scope of Work
2. Materials and Methods
2.1. Finite Element Modelling—Introduction
2.2. Mesh Density Assumptions
2.3. Python as a Workflow Optimizer for the ABAQUS Program
2.4. Subject of the Study
3. Summary and Results
3.1. Static Analysis
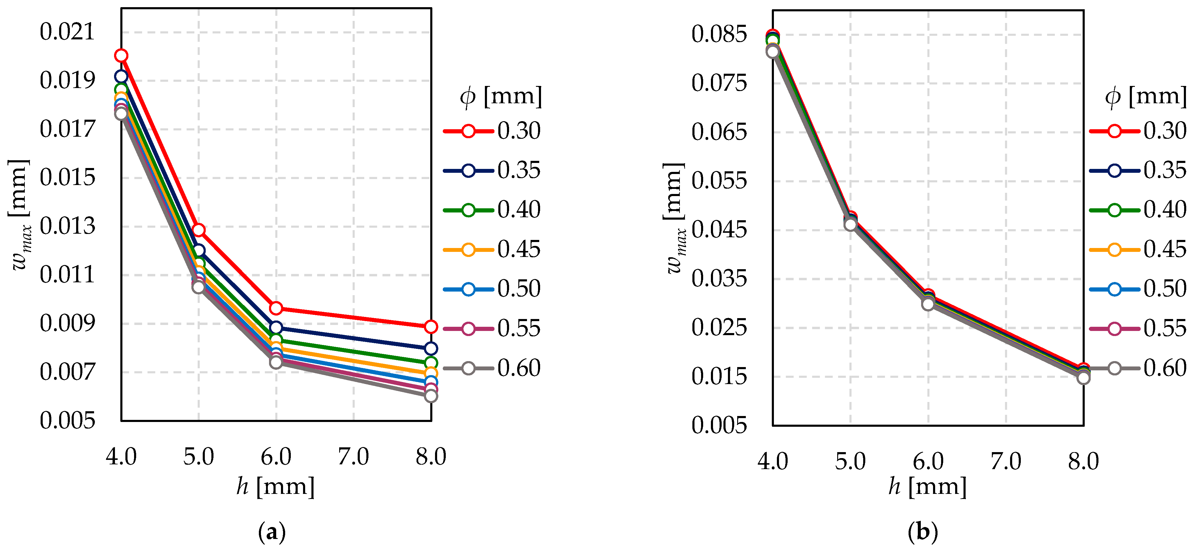
3.1.1. SA—Analysis of Geometrical Parameters
3.1.2. SA—Analysis of Material Parameters
3.2. Dynamic Analysis
3.2.1. DA—Analysis of Geometrical Parameters
3.2.2. DA—Analysis of Material Parameters
4. Conclusions and Future Research
Author Contributions
Funding
Institutional Review Board Statement
Informed Consent Statement
Data Availability Statement
Conflicts of Interest
References
- Ürge-Vorsatz, D.; Cabeza, L.F.; Serrano, S.; Barreneche, C.; Petrichenko, K. Heating and Cooling Energy Trends and Drivers in Buildings. Renew. Sustain. Energy Rev. 2015, 41, 85–98. [Google Scholar] [CrossRef] [Green Version]
- 2021 Global Status Report for Buildings and Construction towards a Zero-Emissions, Efficient and Resilient Buildings and Construction Sector. Available online: https://globalabc.org/sites/default/files/2021-10/GABC_Buildings-GSR-2021_BOOK.pdf (accessed on 8 February 2022).
- Al-Yasiri, Q.; Szabó, M. Incorporation of Phase Change Materials into Building Envelope for Thermal Comfort and Energy Saving: A Comprehensive Analysis. J. Build. Eng. 2021, 36, 102122. [Google Scholar] [CrossRef]
- Müller, H.S.; Haist, M.; Vogel, M. Assessment of the Sustainability Potential of Concrete and Concrete Structures Considering Their Environmental Impact, Performance and Lifetime. Constr. Build. Mater. 2014, 67, 321–337. [Google Scholar] [CrossRef]
- Higuchi, T.; Morioka, M.; Yoshioka, I.; Yokozeki, K. Development of a New Ecological Concrete with CO2 Emissions below Zero. Constr. Build. Mater. 2014, 67, 338–343. [Google Scholar] [CrossRef]
- Ferrari, G.; Miyamoto, M.; Ferrari, A. New Sustainable Technology for Recycling Returned Concrete. Constr. Build. Mater. 2014, 67, 353–359. [Google Scholar] [CrossRef]
- Bourdeau, M.; Qiang Zhai, X.; Nefzaoui, E.; Guo, X.; Chatellier, P. Modeling and Forecasting Building Energy Consumption: A Review of Data-driven Techniques. Sustain. Cities Soc. 2019, 48, 101533. [Google Scholar] [CrossRef]
- Anand, P.; Deb, C.; Yan, K.; Yang, J.; Cheong, D.; Sekhar, C. Occupancy-based Energy Consumption Modelling Using Machine Learning Algorithms for Institutional Buildings. Energy Build. 2021, 252, 111478. [Google Scholar] [CrossRef]
- Lu, C.; Li, S.; Lu, Z. Building Energy Prediction Using Artificial Neural Networks: A Literature Survey. Energy Build. 2021, 111718. [Google Scholar] [CrossRef]
- Jezierski, W.; Sadowska, B.; Pawłowski, K. Impact of Changes in the Required Thermal Insulation of Building Envelope on Energy Demand, Heating Costs, Emissions, and Temperature in Buildings. Energies 2021, 14, 56. [Google Scholar] [CrossRef]
- Ali, H.; Hayat, N.; Farukh, F.; Imran, S.; Kamran, M.S.; Ali, H.M. Key Design Features of Multi Vacuum Glazing for Windows: A Review. Therm. Sci. 2017, 21, 2673–2687. [Google Scholar] [CrossRef]
- Simko, T.M. Heat Transfer Processes and Stresses in Vacuum Glazing. Ph.D. Thesis, Department of Mechanical Engineering, The University of Sydney, Sydney, Australia, 2006. [Google Scholar]
- Arya, F.; Hyde, T. Theoretical Study of Flexible Edge Seals for Vacuum Glazing. Int. J. Struct. Constr. Eng. 2017, 11, 1133–1137. [Google Scholar]
- Kocer, C. The Past, Present, and Future of the Vacuum Insulated Glazing Technology. Proc. Glass Perform. Days 2019. Available online: https://www.glassonweb.com/article/past-present-and-future-vacuum-insulated-glazing-technology (accessed on 10 December 2021).
- Vogel-Martin, M.M.; Wolk, M.B.; Free, M.B.; Benson, O.; Schwartz, E.L.; Kamrath, R.F.; Kolb, B.U.; Humpal, K.M.; Hendrickson, M.J. Appliaction Number: 14/025958, United States Patent Application 20150079313; Vacuum Glazing Pillars for Insulated Glass Units: Saint Paul, MN, USA, 2015. [Google Scholar]
- Teotia, M.; Soni, R.K. Applications of Finite Element Modelling in Failure Analysis of Laminated Glass Composites: A Review. Eng. Fail. Anal. 2018, 94, 412–437. [Google Scholar] [CrossRef]
- Centelles, X.; Pelayo, F.; Aenlle López, M.; Castro, J.R.; Cabeza, L.F. Long-term Loading and Recovery of a Laminated Glass Slab with Three Different Interlayers. Constr. Build. Mater. 2021, 287, 122991. [Google Scholar] [CrossRef]
- Bedon, C. Diagnostic Analysis and Dynamic Identification of a Glass Suspension Footbridge via on-site Vibration Experiments and FE Numerical Modelling. Compos. Struct. 2019, 216, 366–378. [Google Scholar] [CrossRef]
- Wenyuan, Z.; Suhong, Z.; Seungha, S.; Sarma, G.; Shah, B.; Pooran, J.; Mahabir, B. Effects of Pillar Design on the Thermal Performance of Vacuum-insulated Glazing. Constr. Build. Mater. 2022, 316, 125724. [Google Scholar]
- Balankin, S.A. Toward the Mechanics of Fractal Materials: Mechanics of Continuum with Fractal Metric. arXiv 2014, arXiv:1409.5829. Available online: https://arxiv.org/abs/1409.5829 (accessed on 8 February 2022).
- Liang, M.; Fu, C.; Xiao, B.; Luo, L.; Wang, Z. A Fractal Study for the Effective Electrolyte Diffusion through Charged Porous Media. Int. J. Heat Mass Transf. 2019, 137, 365–371. [Google Scholar] [CrossRef]
- Rossales, I.; Luppe, M. Architecture for fractal dimension estimation based on Minkowski-Bouligand method using integer distances. In Proceedings of the 2016 IEEE 27th International Conference on Application-Specific Systems, Architectures and Processors (ASAP), Institute of Electrical and Electronics Engineers (IEEE). London, UK, 6–8 July 2016; pp. 231–232. [Google Scholar]
- Morency, C.; Chapleau, R. Fractal Geometry for the Characterisation of Urban-related States: Greater Montreal Case. Harmon. Fractal Image Anal. 2003, 30–34. Available online: http://imagesci.fch.vut.cz/download_ejournal/harfaejournal.pdf (accessed on 8 February 2022).
- Boqi, X.; Wei, W.; Xian, Z.; Gongbo, L.; Jintu, F.; Hanxin, C.; Lin, D. A Novel Fractal Solution for Permeability and Kozeny-Carman Constant of Fibrous Porous Media Made up of Solid Particles and Porous Fibers. Powder Technol 2019, 349, 92–98. [Google Scholar]
- Cho, S.; Kim, S.-H. Analysis of the Performance of Vacuum Glazing in Office Buildings in Korea: Simulation and Experimental Studies. Sustainability 2017, 9, 936. [Google Scholar] [CrossRef] [Green Version]
- Ashmore, N.; Cabrera, D.; Kocer, C. Acoustic Properties of Vacuum Insulating Glazing. Available online: https://dspace.nal.gov.au/xmlui/bitstream/handle/123456789/402/p74.pdf?sequence=1 (accessed on 13 December 2021).
- Zhu, W. Effects of Pillar and Sealing Design on thermal and Mechanical Performance of Vacuum Insulated Glazing. Master’s Thesis, University of Tennessee, Knoxville, TN, USA, August 2021. [Google Scholar]
- Han, Z.M.; Bao, Y.W.; Wu, W.D.; Liu, Z.Q.; Liu, X.G.; Tian, Y. Evaluation of Thermal Performance for Vacuum Glazing by Using Three-Dimensional Finite Element Model. Key Eng. Mater. 2011, 492, 328–332. [Google Scholar] [CrossRef]
- Abaqus Version 6.6. Documentation, 3DS Dessault System. Available online: https://classes.engineering.wustl.edu/2009/spring/mase5513/abaqus/docs/v6.6/index.html (accessed on 20 November 2021).
- Eight-node Brick Element with Reduced Integration (C3D8R and F3D8R). Available online: https://web.mit.edu/calculix_v2.7/CalculiX/ccx_2.7/doc/ccx/node27.html (accessed on 20 November 2021).
- Sutter, T.R.; Camarda, C.J.; Walsh, J.L.; Adelman, H.M. Comparison of Several Methods for Calculating Vibration Mode Shape Derivatives. AIAA J. 1988, 26, 1506–1511. [Google Scholar] [CrossRef]
- Schäfer, B.; Dörr, D.; Kärger, L. Reduced-integrated 8-node Hexahedral Solid-shell Element for the Macroscopic Forming Simulation of Continuous Fibre-reinforced Polymers. Procedia Manuf. 2020, 47, 134–139. [Google Scholar] [CrossRef]



















| No | h (mm) | x0, y0 (mm) | nx (-) | ny (-) | Φ (mm) | No | h (mm) | x0, y0 (mm) | nx (-) | ny (-) | Φ (mm) | 
|---|---|---|---|---|---|---|---|---|---|---|---|
| 1 | 4 | 50 | 11 | 23 | 0.30 | 29 | 6 | 50 | 11 | 23 | 0.30 | 
| 2 | 4 | 50 | 11 | 23 | 0.35 | 30 | 6 | 50 | 11 | 23 | 0.35 | 
| 3 | 4 | 50 | 11 | 23 | 0.40 | 31 | 6 | 50 | 11 | 23 | 0.40 | 
| 4 | 4 | 50 | 11 | 23 | 0.45 | 32 | 6 | 50 | 11 | 23 | 0.45 | 
| 5 | 4 | 50 | 11 | 23 | 0.50 | 33 | 6 | 50 | 11 | 23 | 0.50 | 
| 6 | 4 | 50 | 11 | 23 | 0.55 | 34 | 6 | 50 | 11 | 23 | 0.55 | 
| 7 | 4 | 50 | 11 | 23 | 0.60 | 35 | 6 | 50 | 11 | 23 | 0.60 | 
| 8 | 4 | 100 | 9 | 21 | 0.30 | 36 | 6 | 100 | 9 | 21 | 0.30 | 
| 9 | 4 | 100 | 9 | 21 | 0.35 | 37 | 6 | 100 | 9 | 21 | 0.35 | 
| 10 | 4 | 100 | 9 | 21 | 0.40 | 38 | 6 | 100 | 9 | 21 | 0.40 | 
| 11 | 4 | 100 | 9 | 21 | 0.45 | 39 | 6 | 100 | 9 | 21 | 0.45 | 
| 12 | 4 | 100 | 9 | 21 | 0.50 | 40 | 6 | 100 | 9 | 21 | 0.50 | 
| 13 | 4 | 100 | 9 | 21 | 0.55 | 41 | 6 | 100 | 9 | 21 | 0.55 | 
| 14 | 4 | 100 | 9 | 21 | 0.60 | 42 | 6 | 100 | 9 | 21 | 0.60 | 
| 15 | 5 | 50 | 11 | 23 | 0.30 | 43 | 8 | 50 | 11 | 23 | 0.30 | 
| 16 | 5 | 50 | 11 | 23 | 0.35 | 44 | 8 | 50 | 11 | 23 | 0.35 | 
| 17 | 5 | 50 | 11 | 23 | 0.40 | 45 | 8 | 50 | 11 | 23 | 0.40 | 
| 18 | 5 | 50 | 11 | 23 | 0.45 | 46 | 8 | 50 | 11 | 23 | 0.45 | 
| 19 | 5 | 50 | 11 | 23 | 0.50 | 47 | 8 | 50 | 11 | 23 | 0.50 | 
| 20 | 5 | 50 | 11 | 23 | 0.55 | 48 | 8 | 50 | 11 | 23 | 0.55 | 
| 21 | 5 | 50 | 11 | 23 | 0.60 | 49 | 8 | 50 | 11 | 23 | 0.60 | 
| 22 | 5 | 100 | 9 | 21 | 0.30 | 50 | 8 | 100 | 9 | 21 | 0.30 | 
| 23 | 5 | 100 | 9 | 21 | 0.35 | 51 | 8 | 100 | 9 | 21 | 0.35 | 
| 24 | 5 | 100 | 9 | 21 | 0.40 | 52 | 8 | 100 | 9 | 21 | 0.40 | 
| 25 | 5 | 100 | 9 | 21 | 0.45 | 53 | 8 | 100 | 9 | 21 | 0.45 | 
| 26 | 5 | 100 | 9 | 21 | 0.50 | 54 | 8 | 100 | 9 | 21 | 0.50 | 
| 27 | 5 | 100 | 9 | 21 | 0.55 | 55 | 8 | 100 | 9 | 21 | 0.55 | 
| 28 | 5 | 100 | 9 | 21 | 0.60 | 56 | 8 | 100 | 9 | 21 | 0.60 | 
| No | Ep (GPa) | Es (GPa) | No | Ep (GPa) | Es (GPa) | No | Ep (GPa) | Es (GPa) | 
|---|---|---|---|---|---|---|---|---|
| 1 | 160 | 0.01 | 16 | 170 | 150 | 31 | 190 | 75 | 
| 2 | 160 | 25 | 17 | 170 | 175 | 32 | 190 | 100 | 
| 3 | 160 | 50 | 18 | 170 | 200 | 33 | 190 | 125 | 
| 4 | 160 | 75 | 19 | 180 | 0.01 | 34 | 190 | 150 | 
| 5 | 160 | 100 | 20 | 180 | 25 | 35 | 190 | 175 | 
| 6 | 160 | 125 | 21 | 180 | 50 | 36 | 190 | 200 | 
| 7 | 160 | 150 | 22 | 180 | 75 | 37 | 200 | 0.01 | 
| 8 | 160 | 175 | 23 | 180 | 100 | 38 | 200 | 25 | 
| 9 | 160 | 200 | 24 | 180 | 125 | 39 | 200 | 50 | 
| 10 | 170 | 0.01 | 25 | 180 | 150 | 40 | 200 | 75 | 
| 11 | 170 | 25 | 26 | 180 | 175 | 41 | 200 | 100 | 
| 12 | 170 | 50 | 27 | 180 | 200 | 42 | 200 | 125 | 
| 13 | 170 | 75 | 28 | 190 | 0.01 | 43 | 200 | 150 | 
| 14 | 170 | 100 | 29 | 190 | 25 | 44 | 200 | 175 | 
| 15 | 170 | 125 | 30 | 190 | 50 | 45 | 200 | 200 | 
| Publisher’s Note: MDPI stays neutral with regard to jurisdictional claims in published maps and institutional affiliations. | 
© 2022 by the authors. Licensee MDPI, Basel, Switzerland. This article is an open access article distributed under the terms and conditions of the Creative Commons Attribution (CC BY) license (https://creativecommons.org/licenses/by/4.0/).
Share and Cite
Kowalczyk, I.; Kozanecki, D.; Krasoń, S.; Rabenda, M. Computational Modelling of VIG Plates Using FEM: Static and Dynamic Analysis. Materials 2022, 15, 1467. https://doi.org/10.3390/ma15041467
Kowalczyk I, Kozanecki D, Krasoń S, Rabenda M. Computational Modelling of VIG Plates Using FEM: Static and Dynamic Analysis. Materials. 2022; 15(4):1467. https://doi.org/10.3390/ma15041467
Chicago/Turabian StyleKowalczyk, Izabela, Damian Kozanecki, Sylwia Krasoń, and Martyna Rabenda. 2022. "Computational Modelling of VIG Plates Using FEM: Static and Dynamic Analysis" Materials 15, no. 4: 1467. https://doi.org/10.3390/ma15041467
APA StyleKowalczyk, I., Kozanecki, D., Krasoń, S., & Rabenda, M. (2022). Computational Modelling of VIG Plates Using FEM: Static and Dynamic Analysis. Materials, 15(4), 1467. https://doi.org/10.3390/ma15041467
 
         
                                                

 
       