Magnetic Anisotropy and Microstructure in Electrodeposited Quaternary Sn-Fe-Ni-Co Alloys with Amorphous Character
Abstract
:1. Introduction
2. Experimental Procedure
3. Results and Discussion
3.1. Electrochemical and Morphological Characterization
3.2. X-Ray Diffraction Study of the Coating’s Structure
3.3. Mössbauer Study of the Quaternary Sn-Fe-Ni-Co Alloy Coatings
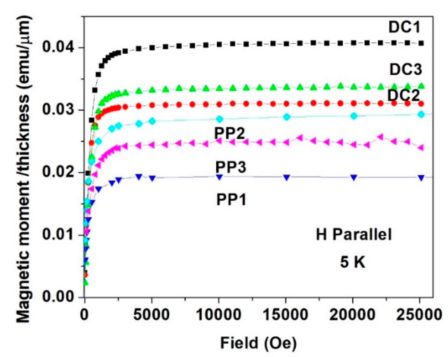
3.4. Magnetic Properties of the Quaternary Sn-Fe-Ni-Co Alloy Coatings
4. Conclusions
Author Contributions
Funding
Institutional Review Board Statement
Informed Consent Statement
Data Availability Statement
Conflicts of Interest
References
- Kuzmann, E.; Stichleutner, S.; Doyle, O.; Chisholm, C.U.; El-Sharif, M.; Homonnay, Z.; Vértes, A. Mössbauer and X-ray diffraction investigations of Sn-containing binary and ternary electrodeposited alloys from a gluconate bath. AIP Conf. Proc. 2005, 765, 99–107. [Google Scholar] [CrossRef]
- Chisholm, C.; Kuzmann, E.; Doyle, O.; El-Sharif, M.; Stichleutner, S.; Homonnay, Z.; Sólymos, K.; Vértes, A. Mössbauer and XRD investigation of electrodeposited Fe, Co and Fe-Co alloys using a gluconate plating process. J. Radioanal. Nucl. Chem. 2005, 266, 533–542. [Google Scholar] [CrossRef]
- El-Sharif, M.; Chisholm, C.U.; Kuzmann, E.; Sziráki, L.; Stichleutner, S.; Homonnay, Z.; Süvegh, K.; Vértes, A. The structure and composition of novel electrodeposited Sn-Fe and Sn-Co-Fe alloys from a flow circulation cell system. Hyperfine Interact. 2009, 192, 1–12. [Google Scholar] [CrossRef]
- Chisholm, C.U.; El-Sharif, M.; Kuzmann, E.; Stichleutner, S.; Homonnay, Z.; Vertes, A. Electrodeposition of Sn-Fe alloys using gluconate electrolytes and X-ray diffractometry and Mössbauer studies of the deposits. Mater. Chem. Phys. 2010, 120, 558–565. [Google Scholar] [CrossRef]
- Sziráki, L.; Kuzmann, E.; El-Sharif, M.; Chisholm, C.U.; Stichleutner, S.; Lak, G.B.; Süvegh, K.; Tatár, E.; Homonnay, Z.; Vértes, A. Electrodeposition of novel Sn-Ni-Fe ternary alloys with amorphous structure. Appl. Surf. Sci. 2010, 256, 7713–7716. [Google Scholar] [CrossRef]
- Sziráki, L.; Kuzmann, E.; Lak, G.B.; El-Sharif, M.; Chisholm, C.U.; Stichleutner, S.; Havancsák, K.; Zih-Perényi, K.; Homonnay, Z.; Vértes, A. Study of electrodeposition of amorphous Sn-Ni-Fe ternary alloys from a gluconate based electrolyte. Surf. Coat. Tech. 2012, 211, 184–187. [Google Scholar] [CrossRef]
- Stichleutner, S.; Lak, G.B.; Kuzmann, E.; Chisholm, C.U.; El-Sharif, M.; Homonnay, Z.; Sziráki, L. Mössbauer and XRD study of pulse plated Sn-Fe, Sn-Ni and Sn-Ni-Fe electrodeposited alloys. Hyperfine Interact. 2014, 226, 15–25. [Google Scholar] [CrossRef]
- Kuzmann, E.; Sziráki, L.; Stichleutner, S.; Homonnay, Z.; Lak, G.B.; El-Sharif, M.; Chisholm, C.U. Mössbauer and XRD study of novel quaternary Sn-Fe-Co-Ni electroplated alloy. Hyperfine Interact. 2017, 238, 97. [Google Scholar] [CrossRef] [Green Version]
- Kuzmann, E.; Sziráki, L.; Stichleutner, S.; Homonnay, Z.; Zalka, D.; Lak, G.B.; El-Sharif, M.; Chisholm, C.U. Direct current- and pulse-plated novel Sn-Fe-Co-Ni quaternary alloy electrodeposits. Curr. Top. Electrochem. 2019, 21, 41–62. Available online: http://www.researchtrends.net/tia/abstract.asp?in=0&vn=21&tid=19&aid=6402 (accessed on 10 January 2020).
- Lak, G.B.; Kuzmann, E.; El-Sharif, M.; Chisholm, C.U.; Stichleutner, S.; Homonnay, Z.; Sziráki, L. Galvanostatic charge–discharge tests, 57Fe and 119Sn Mössbauer and XRD measurements on novel Sn-Ni-Fe electrodeposits. Hyperfine Interact. 2013, 218, 145–150. [Google Scholar] [CrossRef]
- Lak, G.B.; Chisholm, C.U.; El-Sharif, M. Pulse Electrodeposition of Sn-Ni-Fe Alloys and Deposit Characterisation for Li-ion Battery Electrode Applications. Adv. Mater. 2015, 4, 15–20. [Google Scholar] [CrossRef] [Green Version]
- Jannin, C.; Lecocq, P.; Michel, A. Magnetism and Properties of Different Phases in the Fe-Sn System. C. R. Hebomadaires Seances Acad. Sci. 1963, 257, 1906. [Google Scholar]
- Trumpy, G.; Both, E.; Djega-Mariadassou, C.; Lecocq, P. Mössbauer-Effect Studies of Iron-Tin Alloys. Phys. Rev. B 1970, 2, 3477–3490. [Google Scholar] [CrossRef] [Green Version]
- Haggstrom, L.; Ericsson, T.; Wappling, R.; Chandra, K. Studies of the Magnetic Structure of FeSn Using the Mossbauer Effect. Phys. Scripta. 1975, 11, 47–54. [Google Scholar] [CrossRef]
- Rodmacq, B.; Piecuch, M.; Janot, C.; Marchal, G.; Mangin, P. Structure and magnetic properties of amorphous FexSn1−x alloys. Phys. Rev. B 1980, 21, 1911–1923. [Google Scholar] [CrossRef]
- Mangin, P.; Piecuch, M.; Marchal, G.; Janot, C. About the magnetic behaviour of FexMe1−x (Me = Si, Ge, Sn) amorphous alloys. J. Phys. F 1978, 8, 2085–2092. [Google Scholar] [CrossRef]
- Tierlinck, D.; Piecuch, M.; Geny, J.F.; Marchal, G.; Janot, C.; Mangin, P. About the onset of magnetic order in CoxSn1−x amorphous alloys. J. Appl. Phys. 1982, 53, 7734–7736. [Google Scholar] [CrossRef]
- Piecuch, M.; Janot, C.; Marchal, G.; Vergnat, M. Magnetic behavior of FexSn1−x amorphous alloys near the critical composition. Phys. Rev. B 1983, 28, 1480–1489. [Google Scholar] [CrossRef] [Green Version]
- Yelsukov, E.P.; Konygin, G.N.; Voronina, E.V.; Korolyov, A.V.; Ulyanov, A.I.; Godovikov, S.K.; Zagainov, A.V. Magnetic behaviour of high Si(Sn) concentration nanocrystalline Fe-Si and Fe-Sn alloys obtained by mechanical grinding. J. Magn. Magn. Mater. 2000, 214, 258–268. [Google Scholar] [CrossRef]
- dos Santos, C.T.; Bormio-Nunes, C.; Ghivelder, L.; Belarmino, A.R. Magnetostriction of Fe-Sn polycrystalline alloys. J. Magn. Magn. Mater. 2008, 320, 183–185. [Google Scholar] [CrossRef]
- Sales, B.C.; Saparov, B.; McGuire, M.A.; Singh, D.J.; Parker, D.S. Ferromagnetism of Fe3Sn and Alloys. Sci. Rep. 2014, 4, 7024. [Google Scholar] [CrossRef] [PubMed] [Green Version]
- Le Caer, G.; Malaman, B.; Roques, B. Mossbauer effect study of Fe3Sn2. J. Phys. F 1978, 8, 323–336. [Google Scholar] [CrossRef]
- Malaman, B.; Fruchart, D.; Le Caer, G. Magnetic properties of Fe3Sn2. II. Neutron diffraction study (and Mossbauer effect). J. Phys. F 1978, 8, 2389–2399. [Google Scholar] [CrossRef]
- Zuo, X.; Wang, E.; Han, H.; Zhang, L.; He, J. Magnetic properties of Fe-49%Sn monotectic alloys solidified under a high magnetic field. J. Alloys Compd. 2010, 492, 621–624. [Google Scholar] [CrossRef]
- Magnette, A.; Verniere, A.; Venturini, G.; Eichenberger, L.; Malaman, B.; Mazet, T. Crystal and magnetic properties of YbMn6−yFeySn6 (y ≤ 1). J. Magn. Magn. Mater. 2018, 458, 19–22. [Google Scholar] [CrossRef]
- Schneeweiss, O.; Friak, M.; Dudova, M.; Holec, D.; Sob, M.; Kriegner, D.; Holy, V.; Beran, P.; George, E.P.; Neugebauer, J.; et al. Magnetic properties of the CrMnFeCoNi high-entropy alloy. Rhys. Rev. B 2017, 96, 014437. [Google Scholar] [CrossRef] [Green Version]
- Frolova, L.; Ryba, T.; Vargova, Z.; Komanicky, V.; Kovac, J.; Gyepes, R.; Varga, R. Magnetic and Structural Characterization of Nickel and Iron Based Heusler Ribbons Ni2FeZ (Z = In, Sn, Sb). Acta Phys. Pol. A 2017, 131, 735–737. [Google Scholar] [CrossRef]
- Klencsár, Z.; Kuzmann, E.; Vértes, A. User-friendly software for Mössbauer spectrum analysis. J. Radioanal. Nucl. Chem. 1996, 210, 105–118. Available online: http://www.mosswinn.com (accessed on 14 February 2022). [CrossRef]
- Ibl, N. Some theoretical aspects of pulse electrolysis. Surf. Technol. 1980, 10, 81–104. [Google Scholar] [CrossRef]
- Kuzmann, E.; Sziráki, L.; Lak, G.B.; Stichleutner, S.; Havancsák, K.; Süvegh, K.; El-Sharif, M.; Chisholm, C.U.; Homonnay, Z.; Vértes, A. Mössbauer, X-Ray Diffraction, and Microscopy Investigations of Novel Electrodeposited Amorphous Alloys. AIP Conf. Proc. 2012, 1489, 3–12. [Google Scholar] [CrossRef]
- Nagy, S.I.; Addison, A.W.; Rosenthal, C.M.; Kuzmann, E.; Süvegh, K.; Vértes, A. Multinomial distribution as the most likely distribution of the stoichiometric composition of stochastically formednmers. J. Radioanal. Nucl. Chem. 1990, 141, 373–391. [Google Scholar] [CrossRef]
- Chisholm, C.; Kuzmann, E.; El-Sharif, M.; Doyle, O.; Stichleutner, S.; Solymos, K.; Homonnay, Z.; Vértes, A. Preparation and characterisation of electrodeposited amorphous Sn-Co-Fe ternary alloys. Appl. Surf. Sci. 2007, 253, 4348–4355. [Google Scholar] [CrossRef]
- Kuzmann, E.; Homonnay, Z.; Nagy, S.; Nomura, K. Mössbauer Spectroscopy. In Handbook of Nuclear Chemistry, 2nd ed.; Vértes, A., Nagy, S., Klencsár, Z., Lovas, G., Rösch, F., Eds.; Springer: Boston, MA, USA, 2011; pp. 1379–1446. [Google Scholar] [CrossRef]
- Hehn, M.; Padovani, S.; Ounadjela, K.; Bucher, J.P. Nanoscale magnetic domain structures in epitaxial cobalt films. Phys. Rev. B 1996, 54, 3428–3433. [Google Scholar] [CrossRef] [PubMed]
- Bögre, B.; Mészáros, I. Problems of Ferrite Content Determination. Period. Polytech. Mech. Eng. 2020, 64, 150–158. [Google Scholar] [CrossRef]
- Kockar, H.; Alper, M.; Karaagac, O.; Nakiboglu, N.; Celalettin Baykul, M. Contribution of electrolyte pH and deposition potentials to the magnetic anisotropy of electrodeposited nickel films. J. Magn. Magn. Mater. 2010, 322, 1088–1091. [Google Scholar] [CrossRef]
- Feng, E.; Wang, Z.; Du, H.; Wei, J.; Cao, D.; Liu, Q.; Wang, J. Electrodeposition of FeCoCd films with in-plane uniaxial magnetic anisotropy for microwave applications. J. Appl. Phys. 2014, 115, 17A307. [Google Scholar] [CrossRef]
- Gloanec, M.; Dubourg, S.; Acher, O.; Duverger, F.; Plessis, D.; Bonneau-Brault, A. Magnetic dispersion in a soft amorphous layer with a helical anisotropy profile. EPJ Web Conf. 2013, 40, 13003. [Google Scholar] [CrossRef] [Green Version]
- Fujita, N.; Inoue, M.; Arai, K.; Izaki, M.; Fujii, T. Uniaxial magnetic anisotropy of amorphous Fe-B films deposited electrochemically in a magnetic field. J. Appl. Phys. 1999, 85, 4503–4505. [Google Scholar] [CrossRef]
- De La Torre Medina, J.; Hamoir, G.; Velazquez-Galvan, Y.; Pouget, S.; Okuno, H.; Vila, L.; Encinas, A.; Piraux, L. Large magnetic anisotropy enhancement in size controlled Ni nanowires electrodeposited into nanoporous alumina templates. Nanotechnology 2016, 27, 145702. [Google Scholar] [CrossRef]
- Zemcík, T.; Kuzmann, E.; Vitkova, S.; Raichewskii, G. Mössbauer study of magnetic anisotropy in electrochemically deposited Fe-Ni-P amorphous alloys. Hyperfine Interact. 1990, 55, 1107–1112. [Google Scholar] [CrossRef]
- Echevarria-Bonet, C.; Iglesias, N.; Garitaonandia, J.S.; Salazar, D.; Hadjipanayis, G.C.; Barandiaran, J.M. Structural and magnetic properties of hexagonal Fe3Sn prepared by non-equilibrium techniques. J. Alloys Compd. 2018, 769, 843–847. [Google Scholar] [CrossRef]
- Tanahashi, K.; Maeda, M. Field-induced uniaxial magnetic anisotropy of electrodeposited Fe-Co films. J. Appl. Phys. 1984, 56, 581–582. [Google Scholar] [CrossRef]
- Henry, Y.; Ounadjela, K.; Piraux, L.; Dubois, S.; George, J.-M.; Duvail, J.-L. Magnetic anisotropy and domain patterns in electrodeposited cobalt nanowires. Eur. Phys. J. B 2001, 20, 35–54. [Google Scholar] [CrossRef]
- Chudnovsky, E.M. Magnetic properties of amorphous ferromagnets. J. Appl. Phys. 1988, 64, 5770–5775. [Google Scholar] [CrossRef]
- Sato, M.; Tokuda, M.; Maeda, M. Effect of Average Stress in Films on Uniaxial Magnetic Anisotropy in Electrodeposited Nickel-Iron Thin Films. Jpn. J. Appl. Phys. 1970, 9, 491–496. [Google Scholar] [CrossRef]
- Hindmarch, A.T.; Rushforth, A.W.; Campion, R.P.; Marrows, C.H.; Gallagher, B.L. Origin of in-plane uniaxial magnetic anisotropy in CoFeB amorphous ferromagnetic thin films. Phys. Rev. B 2011, 83, 212404. [Google Scholar] [CrossRef] [Green Version]
- Watanabe, T. Nano-Plating, 1st ed.; Elsevier: Amsterdam, The Netherlands, 2004. [Google Scholar]

















| SnSO4 mol/dm3 | FeSO4 mol/dm3 | CoSO4 mol/dm3 | NiSO4 mol/dm3 | Sodium Gluconate mol/dm3 | NaCl mol/dm3 | H3BO3 mol/dm3 | Ascorbic Acid mol/dm3 | Peptone g/dm3 | 
|---|---|---|---|---|---|---|---|---|
| 0.03 | 0.02 | 0.01 | 0.05 | 0.3 | 0.3 | 0.45 | 0.01 | 0.1 | 
| Sample/ Parameter | DC1 | DC2 | DC3 | PP1 | PP2 | PP3 | 
|---|---|---|---|---|---|---|
| Jdep (mA/cm2) (±1 μA/cm2) | −16.0 | −21.6 | −23.5 | |||
| Eav (V vs. SCE) (±1 mV) | −1.63 | −1.73 | −1.70 | |||
| Jpulse ΣM (mA/cm2) ** | −75.68 | −47.16 | −40.24 | |||
| Eon (V vs. SCE) (±1 mV) | −1.76 | −2.19 | −2.33 | |||
| Current efficiency H (±0.001) | 0.396 | 0.395 | 0.409 | 0.890 | 0.547 | 0.446 | 
| ton (s) | 0.01 | 0.02 | 0.03 | |||
| toff (s) | 0.19 | 0.18 | 0.17 | |||
| Sn (at%) | 37.0 | 37.8 | 42.0 | 43.6 | 41.2 | 41.8 | 
| Fe (at%) | 38.8 | 37.8 | 35.9 | 37.1 | 38.4 | 37.9 | 
| Ni (at%) | 7.4 | 8.0 | 7.6 | 6.0 | 6.7 | 6.6 | 
| Co (at%) | 16.8 | 16.4 | 14.6 | 13.3 | 13.7 | 13.7 | 
| d (μm) (±0.001) | 2.99 | 4.05 | 4.73 | 1.26 | 1.54 | 1.98 | 
| m (mg) (±0.001) | 1.71 | 1.89 | 2.47 | 0.638 | 0.823 | 1.001 | 
| 57Fe | δsextet (mm/s) | B (T) | Asextet (%) | δdoublet (mm/s) | Δdoublet (mm/s) | Adoublet (%) | A2,5/A1,6 | Angle of M (°) | 
|---|---|---|---|---|---|---|---|---|
| DC1 | 0.13 | 28.99 | 96.98 | 0.25 | 0.57 | 3.02 | 1.12 | 72.9 | 
| ±0.02 | ±0.21 | ±1.34 | ±0.02 | ±0.04 | ±0.60 | ±0.02 | ±0.63 | |
| DC2 | 0.13 | 27.6 | 91.34 | 0.25 | 0.62 | 8.66 | 1.01 | 71.2 | 
| ±0.02 | ±0.19 | ±1.22 | ±0.02 | ±0.04 | ±0.78 | ±0.02 | ±0.61 | |
| DC3 | 0.13 | 27.03 | 86.3 | 0.24 | 0.58 | 13.7 | 0.97 | 66.8 | 
| ±0.02 | ±0.20 | ±0.96 | ±0.02 | ±0.04 | ±0.95 | ±0.02 | ±0.65 | |
| PP1 | 0.15 | 20.99 | 86.64 | 0.29 | 0.58 | 13.36 | 0.96 | 66.6 | 
| ±0.03 | ±0.30 | ±0.99 | ±0.04 | ±0.07 | ±0.89 | ±0.02 | ±0.60 | |
| PP2 | 0.13 | 22.12 | 91.32 | 0.24 | 0.55 | 8.68 | 1 | 67.9 | 
| ±0.03 | ±0.31 | ±1.17 | ±0.04 | ±0.08 | ±0.87 | ±0.02 | ±0.67 | |
| PP3 | 0.19 | 24.02 | 89.08 | 0.24 | 0.55 | 10.92 | 1.08 | 71.4 | 
| ±0.03 | ±0.29 | ±1.31 | ±0.04 | ±0.07 | ±0.71 | ±0.02 | ±0.62 | 
| 119Sn | δsextet (mm/s) | B (T) | Asextet (%) | δdoublet (mm/s) | Δdoublet (mm/s) | Adoublet (%) | 
|---|---|---|---|---|---|---|
| DC1 | 2.11 ± 0.03 | 2.30 ± 0.03 | 96.57 ± 0.76 | 2.28 ± 0.04 | 1.03 ± 0.07 | 3.42 ± 0.25 | 
| DC2 | 2.15 ± 0.03 | 2.27 ± 0.09 | 91.14 ± 0.72 | 2.31 ± 0.04 | 1.03 ± 0.07 | 8.85 ± 0.39 | 
| DC3 | 2.17 ± 0.04 | 2.21 ± 0.11 | 84.12 ± 0.74 | 2.35 ± 0.04 | 1.08 ± 0.07 | 15.87 ± 0.43 | 
| PP1 | 2.02 ± 0.04 | 1.79 ± 0.03 | 77.14 ± 0.85 | 2.31 ± 0.04 | 1.07 ± 0.07 | 22.86 ± 0.55 | 
| PP2 | 2.09 ± 0.04 | 1.84 ± 0.08 | 81.03 ± 0.88 | 2.3 ± 0.04 | 1.03 ± 0.07 | 18.97 ± 0.51 | 
| PP3 | 2.10 ± 0.03 | 2.10 ± 0.10 | 85.24 ± 0.83 | 2.3 ± 0.04 | 1.01 ± 0.07 | 14.75 ± 0.41 | 
| Publisher’s Note: MDPI stays neutral with regard to jurisdictional claims in published maps and institutional affiliations. | 
© 2022 by the authors. Licensee MDPI, Basel, Switzerland. This article is an open access article distributed under the terms and conditions of the Creative Commons Attribution (CC BY) license (https://creativecommons.org/licenses/by/4.0/).
Share and Cite
Kuzmann, E.; Felner, I.; Sziráki, L.; Stichleutner, S.; Homonnay, Z.; El-Sharif, M.R.; Chisholm, C.U. Magnetic Anisotropy and Microstructure in Electrodeposited Quaternary Sn-Fe-Ni-Co Alloys with Amorphous Character. Materials 2022, 15, 3015. https://doi.org/10.3390/ma15093015
Kuzmann E, Felner I, Sziráki L, Stichleutner S, Homonnay Z, El-Sharif MR, Chisholm CU. Magnetic Anisotropy and Microstructure in Electrodeposited Quaternary Sn-Fe-Ni-Co Alloys with Amorphous Character. Materials. 2022; 15(9):3015. https://doi.org/10.3390/ma15093015
Chicago/Turabian StyleKuzmann, Ernő, Israel Felner, Laura Sziráki, Sándor Stichleutner, Zoltán Homonnay, Mahmoud R. El-Sharif, and Colin U. Chisholm. 2022. "Magnetic Anisotropy and Microstructure in Electrodeposited Quaternary Sn-Fe-Ni-Co Alloys with Amorphous Character" Materials 15, no. 9: 3015. https://doi.org/10.3390/ma15093015
APA StyleKuzmann, E., Felner, I., Sziráki, L., Stichleutner, S., Homonnay, Z., El-Sharif, M. R., & Chisholm, C. U. (2022). Magnetic Anisotropy and Microstructure in Electrodeposited Quaternary Sn-Fe-Ni-Co Alloys with Amorphous Character. Materials, 15(9), 3015. https://doi.org/10.3390/ma15093015
 
         
                                                



 
       