Abstract
In this study, the X-ray and gamma attenuation characteristics and optical properties of a synthesized tellurite–phosphate–sodium oxide glass system with a composition of (85 − x)TeO2–10P2O5–xNa2O mol% (where x = 15, 20, and 25) were evaluated. The glass systems we re fabricated by our research group using quenching melt fabrication. The shielding parameters of as-synthesized systems, such as the mass attenuation coefficient (MAC), linear attenuation coefficient (LAC), effective atomic number (Zeff), half-value layer (HVL), tenth value layer (TVL), mean free path (MFP), and effective electron density (Neff) in a wide energy range between 15 keV and 15 MeV, were estimated using well-known PHY-X/PSD software and recently developed MIKE software. Herein, the optical parameters of prepared glasses, such as molar volume (VM), oxygen molar volume (VO), oxygen packing density (OPD), molar polarizability (), molar refractivity (Rm), reflection loss (RL), and metallization (M), were estimated using MIKE software. Furthermore, the shielding performance of the prepared glasses was compared with that of commonly used standard glass shielding materials. The results show that the incorporation of sodium oxide into the matrix TeO2/P2O5 with an optimum concentration can yield a glass system with good shielding performance as well as good optical and physical properties, especially at low photon energy.
1. Introduction
The possible threats to live biological cells due to the harmful effects of ionizing radiation should be properly addressed. Radiation shielding has grown increasingly crucial in recent years as we have learned more about the biological effects of ionizing radiation. Ionizing radiation, such as gamma rays and X-rays, has been used for a variety of applications, including diagnostic imaging, radiotherapy, nuclear medicine, nuclear reactors, industrial operations, and food safety. The goal of radiation shielding is to eliminate (or reduce) human and environmental exposure to radiation. The considerably more prevalent gamma shielding material in ionizing radiation facilities is lead (Pb). Lead has a number of disadvantages, including toxicity, a lack of transparency, and poor substance properties. Transparent radiation shielding materials, as opposed to opaque radiation shielding materials, serve an essential role in nuclear engineering research because they provide substantial radiation protection while still being visible [1]. Recently, glasses have been considered as an alternative radiation shielding material due to properties such as their transparency, ease of manufacturing, nontoxicity, and high density [1,2,3,4,5,6,7,8]. Glass must be uniform in density and composition when used as a radiation shielding material. The addition of specific types of oxides to a glass matrix may increase glass formation and the structural, optical, thermal, and shielding properties. Phosphate-based glasses have aroused the interest of researchers due to their distinctive properties, such as their good thermal expansion coefficients, low melting temperatures, transparency, good optical properties, and chemical stability, which allow them to be easily prepared as hosts for metal doping in various applications [9,10].
Tellurium oxide (TeO2) is also an essential oxide for glass synthesis, which requires rapid quenching to produce glass structures. Because of their high dielectric constants, high glass-forming capacity, low melting point, chemical stability, and highly nonlinear optical properties, tellurite glass systems have received a lot of interest in recent decades [11,12,13,14]. Tellurite-based glasses are used in a variety of applications, including thermal electrical equipment, optical amplifiers, gas sensors, and radiation shielding glasses [15,16,17,18]. Several studies and investigations have recently been conducted to better understand the chemical, optical, physical, and structural properties of TeO2-based glasses modified with alkaline, rare-earth oxides, or transition-metal oxides [19,20,21,22,23], which have been improved in terms of their high refractive indices and high thermal expansion stability.
Yousef [23] studied the incorporation of sodium oxide into a TeO2/P2O5 matrix. His findings revealed a modified glass with superior thermal stability, transparency, glass transition temperature, and crystallization stability. In addition to these features, various investigations have found that TeO2-based glasses are a good choice for ionizing radiation shielding. To put it another way, TeO2-based glasses have outstanding radiation shielding properties due to their high molecular weight [11,12]. It is possible to significantly improve the optical properties of glasses by adding modifiers such as alkali ions.
The purpose of this study is to examine the gamma shielding effectiveness, optical properties, and thermal stability of a new composition glass system developed by our research group [23] with the composition of (85 − x)TeO2–10P2O5–xNa2O mol% (where x = 15, 20, and 25). The radiation and optical parameters were calculated using PHY-X/PSD software [24] and recently developed MIKE software [25]. The prepared glasses were compared with some commercial standard radiation shielding materials [26].
2. Materials and Methods
Our research group [25] utilized quenching melt fabrication to synthesize glasses with the composition of (85 − x)TeO2–10P2O5–xNa2O mol% (where x = 15, 20, and 25) [23]. The density values of the prepared glasses were taken from [23]. The glass systems were synthesized using the melt quench technique. Specific weights of raw metal oxides (TeO2, P2O5, and Na2O of purity ≥ 99%) were mixed and placed in a platinum crucible and heated in a melting furnace to temperatures ranging from 850 to 900 °C for 30 min. The furnace was switched off, and the sample was allowed to cool to room temperature. Thermal analysis and thermal stability were also carried out according to [23]. Using the cadmium lamp spectrum, a prism spectrometer (a V-block Pulfrich refractometer PR2, Carl Zeiss, Jena, Germany) was used to measure the refractive index of the studied samples at a wavelength of 479.98 nm. A UV–VIS–NIR spectrophotometer was used to measure the optical absorption spectra at wavelengths ranging from 200 to 2500 nm (JASCO V-570, Tokyo, Japan). The radiation parameters were calculated using PHY-X/PSD and MIKE software [24,25]. The shielding parameters were compared with commonly used standard radiation shielding materials such as RS-253-G18, RS 360, and RS 520 [26]. RS-360 and RS-520 are considered the more effective radiation shielding glasses because of their high PbO contents of 45% and 71%, respectively.
2.1. Optical Properties
The molar volume is the volume occupied by one mole of any material at a given temperature and pressure. The following formula is used to compute the molar volume (VM) of a material for a given composition and density [27]:
where Mw is defined as the total molar weight of the sample, and is the density of the sample.
The parameter VO, which can be derived using the following equation [27], measures the volume of glass in 1 mole of oxygen:
where is the number of oxygen atoms in each oxide. The oxygen packing density (OPD) of any glass material can be computed using the following equation [27], which represents the density and VM characteristics according to the chemical bond approach:
The molar refractivity (Rm) can be used to determine the overall polarizability of a mole of a material, which is used to investigate the role of ionic packing in influencing the refractive indices of glass materials.
The following equation [27] can be used to calculate Rm:
The reflection loss (RL) can be calculated using Fresnel’s formula [28]:
The molar polarizability of the glass () is proportional to Rm, and it can be calculated using the following formula [28]:
where NA is Avogadro’s number.
The metallization (M), which can be used to assess whether a substance is metallic or nonmetallic, is given by the following formula [28]:
If Rm/Vm < 1 (i.e., M > 0), the materials demonstrate an insulating nature, but if Rm/Vm > 1 (i.e., M < 0), the materials show a metallic nature.
The dielectric constant (ε) and optical dielectric constant (εO), as functions of the refractive index, can be given by the following equation [28]:
where n is the refractive index.
ε = n2
εO = n2 − 1
2.2. Radiation Shielding Parameters
A gamma photon is attenuated when it passes through a specific material thickness. For a given thickness, a better shielding material will have a higher attenuation. The degree of attenuation depends on various photon interaction processes. The attenuation coefficient can be estimated using the Lambert–Beer law [29,30]:
where I0, Ix, µ, and x denote the intensity of incident radiation, the transmitted radiation intensity, the linear attenuation coefficient, and the absorber thickness, respectively.
The mass attenuation coefficient (MAC) and linear attenuation coefficient (LAC) can be theoretically estimated using the mass attenuation of elemental compositions of the prepared glass sample. The following equations can be used to calculate the MAC and the LAC for a given energy [31,32]:
where is the fraction by weight of the ith atomic element, is the mass attenuation of the ith atomic element, and is the density of prepared glasses.
The half-value layer (HVL) and tenth value layer (TVL) are defined as the desired thicknesses at which the attenuated intensities are 50% and 90% of the narrow photon beam intensity, respectively. The HVL and TVL shielding characteristics are inversely proportional to the linear attenuation of the shielding material. As a result, the following equations can be used [31,32]:
The mean free path (MFP) is the measure of the distance traveled between two successive gamma-ray collisions and can be calculated as follows [33]:
The effective atomic number (Zeff) is the term used to describe the attenuation of gamma rays that happens as a result of partial photon interactions with matter, and it is represented by the following equation [34,35]:
where is the fractional abundance and the atomic weight, respectively.
The effective electron density () is determined by the relation [36]:
3. Results and Discussion
3.1. Physical and Optical Parameters
Thermal analysis and thermal stabilization of the tested glass materials were performed according to [23]. Table 1 shows the composition, density, and refractive index of the samples under investigation. The density and refractive index decreased when the concentration of Na2O increased from 15 to 25 mol%. The refractive index decreased from 2.128 to 2.068, and the density decreased from 4.602 to 4.149 gm.cm−3. These results are consistent with previous results [37] and were due to the increased Na2O concentration and the decreased concentration of TeO2. On the other hand, the inclusion of alkaline oxides in the glass network resulted in high thermal stability due to changes in the structure of the glass network as the concentration of Na2O increased, which resulted in a high glass transition temperature and improved crystallization stability.
Table 1.
The composition, density (), and refractive index (n) of TPN glass system.
The samples’ molar volume (VM), oxygen molar volume (VO), and oxygen packing density (OPD) are shown in Table 2. The VM and VO increased as the concentration of Na2O increased; however, the OPD decreased, meaning that the glass structure became tighter with fewer connections in the matrix, in contrast to the density. Both VM and VO were proportional to the spatial distributions of oxygen in the glass matrix, increasing from 30.923 to 31.950 cm3 and 13.445 to 14.521 cm3·mol−1, respectively. As the Na2O concentration increased from 15 to 25 mol%, the OPD value dropped from 74.37 to 68.86 mol·dm−3.
Table 2.
The molar volume (VM), oxygen molar volume (VO), oxygen packing density (OPD), energy gap (Eopt), and Urbach energy (ΔE) of the fabricated glasses.
The TPN glasses were evaluated for optical absorption throughout a wavelength range of 250 to 2500 nm, as shown in Figure 1. As can be seen, the absence of a strong absorption edge in the spectra confirms the amorphous nature of the TPN samples and indicates the non-crystallization of the studied materials. Furthermore, as illustrated in Figure 1, increasing the concentration of sodium oxide (Na2O) increased the absorbance. TPN3 had the greatest absorbance values in the visible spectrum of light, while TPN2 had the lowest absorbance and lowest Urbach energy with the highest molar refractivity and electronic polarizability, implying that it is suitable for optical applications such as nonlinear waveguides and gain media doped with rare earth for producing laser sources and fiber optics.
Figure 1.
Absorbance spectroscopy for different compositions of TPN.
The molar refractivity (Rm), reflection loss (RL), molar electronic polarizability (αm), metallization, dielectric constant (ε), and optical dielectric constant (εO) for the investigated glasses were estimated using the measured refractive index. Table 3 illustrates these values. As the refractive index decreased with the increase in Na2O from 15 to 25 Mol%, the molar refraction, reflection loss, and molar electronic polarizability decreased from 16.714 to 16.678, 0.130 to 0.121, and 6.633 to 6.618, respectively. Furthermore, the modifier Na2O at 20 mol% concentration in the glass matrix created a fraction of the distorted TeO4 tbp phase, which had non-oxygen bridges (NBOs) with different bond lengths and also TeO3 tp with two NBOs, which resulted in high values for molar refractivity and consequently high electronic polarizability values [38]. The dielectric and optical dielectric constants decreased with increases in the Na2O concentration from 4.529 to 4.277 and 3.529 to 3.277, respectively. As shown in Table 3, the dielectric and optical dielectric constants are affected by Na+ ion concentration and strongly depend on the value of the refractive index. However, with increasing amounts of sodium oxide, the metallization values of the current glass samples were found to be less than unity, confirming their nonmetallic characteristics and proving that these samples can be used as nonlinear optical materials [39].
Table 3.
The molar refractivity (Rm), reflection loss (RL), electronic polarizability (αm), metallization (M), dielectric constant (ε), and optical dielectric constant (εO) values of the studied glasses.
Several parameters, including the optical band gap (Eopt) and Urbach energy (ΔE), were considered essential optical parameters to characterize the glass material. The Davis–Mott relation was used to calculate the optical energy gaps for all samples [40,41].
where α, B, Eg, h and v are the absorption coefficient, a constant depending on the glass composition, the optical energy band gap, h is the Planck constant, and ν is the photon’s frequency, respectively. n = 2 for the indirect transition mechanism of electrons.
The optical energy gap (Eopt) for the glass samples was obtained by extrapolating the linear region of (α(h)1/2 vs. (h) to (α(h)1/2 = 0, as shown in Figure 2. As the Na2O content was increased, the energy gap was shown to reduce from 3.006 to 2.659 eV. This effect could be explained by an increase in the nonbridging oxygen in the glass, which causes it to weaken [42].
Figure 2.
Plot of (αhv)1/2 as a function of the photon energy (hv) of prepared glasses.
The Urbach energy (ΔE), or the width of localized states, is used to calculate the atomic structure’s disorder degree, which is represented by the following formula [43,44]:
where () is constant.
The reciprocal of the linear part’s slopes from the plot of ln(α) against (hv), as shown in Figure 3, was used to estimate these values. Table 2 shows the values of ΔE. As shown in Table 2, the values of ΔE were 0.3726 and 0.4804 eV for the samples TPN1 and TPN3, respectively. The sample TPN2 had the lowest value of ΔE among all samples. At a Na2O concentration of 20 mol%, this leads to a distortion in the TeO4 tbp units [38] and a decrease the atomic structure’s disorder degree. Otherwise, the sample TPN3 had the highest ΔE, referring to increases in the structure’s disorder degree.
Figure 3.
Plot of ln(α) as a function of the photon energy (hv) of prepared glasses.
3.2. Radiation Shielding Properties
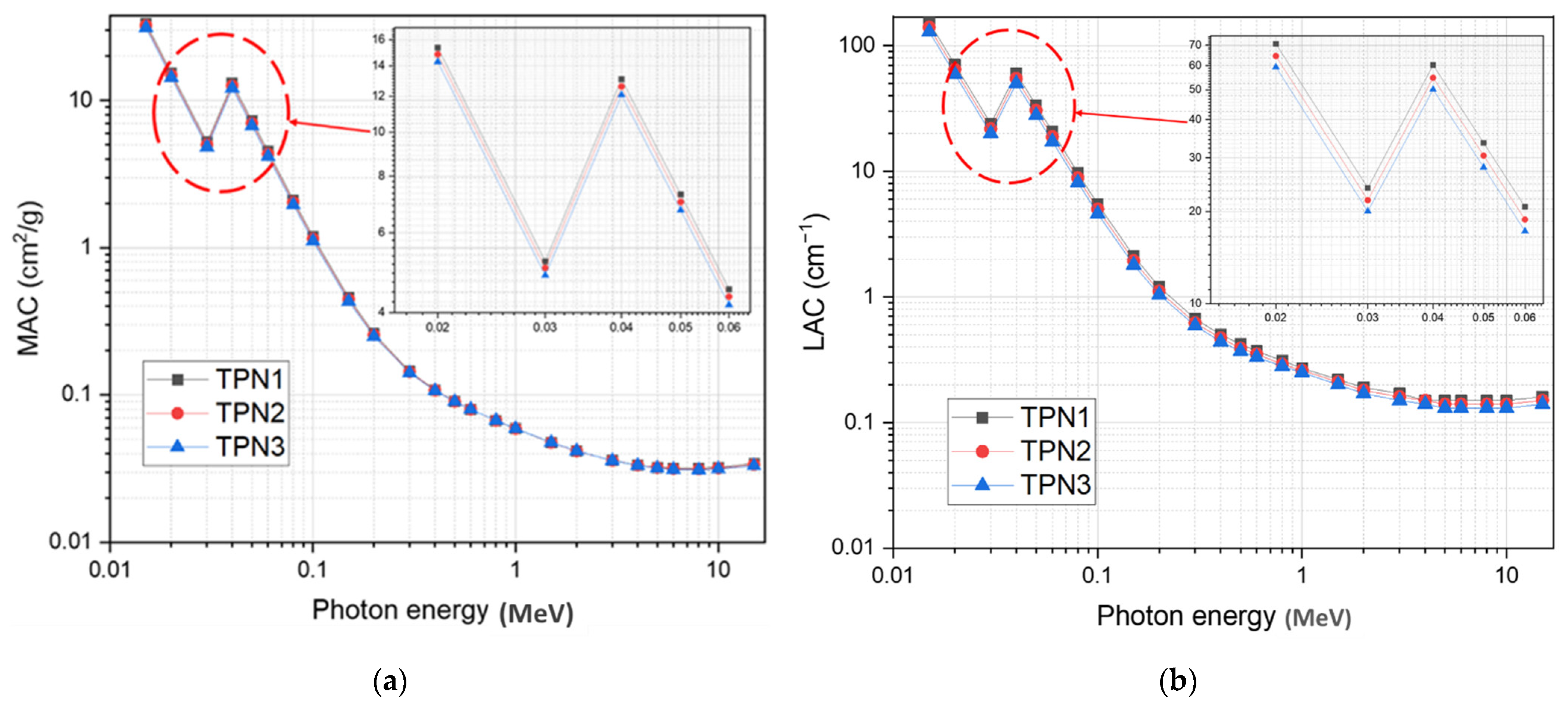
Figure 4a shows the variation in mass attenuation coefficient (MAC) values for the glass samples investigated. Table 4 shows the MAC estimated using Phy-x and MIKE software for the samples under investigation. Linear attenuation coefficients (LACs) were estimated using Equation (11). As demonstrated in Table 4, there was good agreement between the calculated values. Figure 4 depicts the MAC behavior of the TPN glass system at energies ranging from 0.015 MeV to 15 MeV. As seen in Figure 4, the attenuation factor, MAC, had the highest values at lower energies and rapidly decreased as the photon energy increased. The TPN1, TPN2, and TPN3 glasses had MAC values of 33.383, 32.279, and 31.094 cm2/g, respectively, at an energy of 15 keV. The highest recorded values at lower energies were mainly due to the photoelectric interaction process. The MAC was highly dependent on the atomic number (i.e., Zα, where α = 4–5). This indicates the rationale for decreasing the attenuation coefficient as the Te concentration decreased. At lower energies, the effect of the K-absorption edge can be seen at a photon energy of 40 keV, which caused the discontinuity of the attenuation curve, which had a great effect on the attenuation efficiency in the lower energy range. The graphic illustration indicates that replacing TeO2 with Na2O generated a decrease in the attenuation factor. The calculated linear attenuation coefficients (LACs) for the TPN glass system using the MAC and the measured density are shown in Figure 4b. The maximum recorded LAC values for the TPN, TPN2, and TPN3 glasses were 153.63, 140.22, and 129.01 cm−1, respectively. Along with the reduction in the MAC and LAC due to the replacement of TeO2, as illustrated in Table 4, which can result in decreases in the shielding efficiency, the enhancement of optical properties and thermal stability is also of equal importance in obtaining optimum performance for shielding materials. It is therefore possible to enhance thermal stability and optical properties while maintaining acceptable shielding performance by selecting the optimum concentration of the modifier.
Figure 4.
(a) The mass attenuation coefficient of prepared glasses; (b) The linear attenuation coefficient of prepared glasses.
Table 4.
The calculated mass attenuation coefficient (MAC) and linear attenuation coefficient (LAC) values for TPN glass systems.
Figure 5a–c show the HVL, TVL, and MFP values of the prepared glasses. At low energy photons, these values were extremely small, and they became even smaller as the concentration of TeO2 increased. The HVL and TVL values for all glass samples were nearly constant up to 0.1 MeV before rapidly increasing and reaching a peak value of 7 MeV. The variations in these values for the existing glass samples can be expressed in terms of photon interactions in this energy range. The denser the sample was, the lower the values of MFP, HVL, and TVL. As shown in Figure 5, the photoelectric absorption had a great effect on these radiation shielding parameters in the lower energy range. The Compton and pair production processes were responsible for the plateau and the decrease in these values at higher energies. As shown in Figure 5, the sample TPN1 showed the lowest HVL, TVL, and MFP values and the highest densities and mass attenuation coefficients among the samples. Furthermore, the prepared glass system was compared with some common standard materials available commercially and widely used in medical applications [26]. TPN1 showed better performance than the commercial glasses RS253-G18 and RS360, while its performance was worse than that of RS520, as shown in Figure 6a,b. This was obviously due to the high content of lead oxide (71%), which made it more efficient than the others. Considering the toxicity of lead oxide, the prepared glasses have the superior ability to be used as an alternative shielding material in medical applications such as shielding glass windows as well as shielding materials directly used on patients undergoing X-ray procedures for diagnostic and interventional purposes. These findings are consistent with other findings in the literature [6,7].
Figure 5.
The shielding parameters of TPN systems: (a) HVL; (b) TVL; (c) MFP.
Figure 6.
The shielding parameters for TPN and standard materials: (a) HVL; (b) MFP.
The calculated values of the effective atomic number (Zeff) and the effective electron number (Neff) of TPN glass systems are shown in Figure 7a,b and Table 5. These values show that Zeff and Neff both had a significant dependence on photon energy and the glass material composition. The recorded values of Zeff were in the range of 17 to 50, while those of Neff ranged from 2.7 to 8.11 × 1023 electrons per gram. The discontinuity that appeared in both curves was mainly due to the influence of the K-shell absorption of tellurium (atomic number 52) in the energy range between 0.02 and 0.2 MeV. At these energies, both parameters reached their maximum values. There was a clear dependence on the elemental atomic number and photon energy in the region where the photoelectric interaction was the dominant effect. The lowest values were recorded in this region. The gradual increase in Zeff and Neff was due to the effect of Compton and pair formation interactions. The TPN1 glass had the highest Zeff values, while TPN3 showed the lowest values. Because Neff is directly proportional to the effective atomic number and inversely proportional to the mean atomic mass of the proposed shielding material, TPN3 had the highest Neff values compared to the other samples.
Figure 7.
The radiation shielding parameters: (a) Effective atomic number (Zeff); (b) Effective electron number (Neff).
Table 5.
Effective atomic number and effective electron density values for TNP glasses.
The shielding effectiveness of the prepared glasses can also be investigated by using a term called radiation protection efficiency (RPE) [21].
Figure 8a shows the RPE percentages of the prepared glasses with a thickness of 1 cm at gamma-ray energies ranging from 0.015 to 0.2 MeV. With increasing photon energy, the RPE percentages decreased from 100 to 56.9% for TPN1, 100 to 54.06% for TPN2, and 100 to 51.63% for TPN3. As shown in Figure 8b, increasing Na2O concentrations and increasing oxygen molar volumes led to a decrease in RPE. As shown in Figure 8a, 1 cm of prepared glass had high shielding efficiency for energies up to 100 keV. For higher-energy applications, the effective thickness must be increased.
Figure 8.
(a) RPE% with photon energy (in MeV) of fabricated glasses; (b) RPE% with oxygen molar volume of fabricated glasses.
4. Conclusions
Increases in Na2O concentration resulted in a decrease in the density, optical energy gap, and refractive index of the TPN glass system, while the thermal stability was increased. There was a significant increase in nonbridging oxygen with the TeO3 phase and effective electron number (Neff) as a result of Na2O incorporation into TeO2/P2O5. The HVL, TVL, and MFP values decreased as the TeO2 increased. The energy gap, oxygen packing density (OPD), and linear refractive index (n) values decreased as the Na+ ion concentrations increased due to the increase in the concentration of nonbridging oxygen. On the other hand, the Urbach energy (Eu), molar volume (VM), and oxygen molar volume (VO) increased as the concentration of sodium oxide increased. The metallization (M) values indicated the non-crystallized nature of the prepared glasses. TPN3 had the greatest absorbance values in the visible spectrum of light, while TPN2 had the lowest absorbance and lowest Urbach energy with the highest molar refractivity and electronic polarizability, implying that it is suitable for optical applications. When comparing the shielding performance of the prepared glasses to commonly used standard shielding materials, the results were satisfactory. With a high concentration of TeO2 and the right amount of Na2O in large bulk glasses, we were able to maintain the glass’s promising shielding effectiveness while also maintaining good thermal stability and good optical properties, which makes it a good choice for both shielding and optical use.
Author Contributions
K.I.H.: Conceptualization, methodology, investigation, formal analysis, writing—original draft, and writing—review and editing; M.S.A.: Conceptualization, formal analysis, methodology, writing—review and editing, and visualization; A.A.M.: Methodology, formal analysis, investigation, and writing—original draft; K.J.A.: Methodology, formal analysis, investigation, and writing—original draft; H.Y.Z.: Formal analysis, writing—original draft, and visualization; A.M.A.: Methodology, formal analysis, investigation, writing—original draft, writing—review and editing, and visualization; I.S.Y.: writing—review and editing, visualization; M.R.: Methodology, formal analysis, writing—review and editing, and visualization; E.S.Y.: Conceptualization, methodology, investigation, funding acquisition, writing—review and editing, and visualization. All authors have read and agreed to the published version of the manuscript.
Funding
This research was funded by the Deputyship for Research & Innovation, Ministry of Education, Saudi Arabia, for funding this research work through project number IFP-KKU-2020/7.
Institutional Review Board Statement
Not applicable.
Informed Consent Statement
The authors declare that they have no known competing financial interests or personal relationships that could have appeared to influence the work reported in this paper.
Data Availability Statement
Not applicable.
Acknowledgments
The authors extend their appreciation to the Deputyship for Research & Innovation, Ministry of Education, Saudi Arabia, for funding this research work through project number IFP-KKU-2020/7.
Conflicts of Interest
The authors declare no conflict of interest.
References
- Aboudeif, Y.M.; Alqahtani, M.S.; Massoud, E.E.; Yaha, I.S.; Yousef, E. An evaluation of the radiation protection characteristics of prototyped oxide glasses utilising Phy-X/PSD software. J. Instrum. 2020, 15, P08005. [Google Scholar] [CrossRef]
- Alqahtani, M.S.; Almarhaby, A.M.; Hussein, K.I.; Aboudeif, Y.M.; Afifi, H.; Zahran, H.; Yaha, I.S.; Grelowska, I.; Yousef, E.S. Radiation attenuation and photoluminescence properties of host tellurite glasses doped with Er3+ ions. J. Instrum. 2021, 16, P01002. [Google Scholar] [CrossRef]
- Al-Buriahi, M.S.; Rammah, Y.S. Electronic polarizability, dielectric, and gamma-ray shielding properties of some tellurite-based glasses. Appl. Phys. A 2019, 125, 678. [Google Scholar] [CrossRef]
- Al-Buriahi, M.S.; Mann, K.S. Radiation shielding investigations for selected tellurite-based glasses belonging to the TNW system. Mater. Res. Express 2019, 6, 105206. [Google Scholar] [CrossRef]
- Rammah, Y.S.; Al-Buriahi, M.S.; Abouhaswa, A.S. B2O3–BaCO3–Li2O3 glass system doped with Co3O4: Structure, optical, and radiation shielding properties. Phys. B Condens. Matter 2020, 576, 411717. [Google Scholar] [CrossRef]
- Mohammed, S.B.; Baris, T.T. Study on gamma-ray buildup factors of bismuth borate glasses. Appl. Phys. 2019, 125, 482. [Google Scholar]
- Susoy, G.; Altunsoy Guclu, E.E.; Ozge, K.; Kamislioglu, M.; Al-Buriahi, M.S.; Abuzaid, M.M.; Tekin, H.O. The impact of Cr2O3 additive on nuclear radiation shielding properties of LiF-SrO-B2O3 glass system. Mater. Chem. Phys. 2019, 242, 122481. [Google Scholar] [CrossRef]
- Tekin, H.O.; Kassab, L.R.P.; Issa Shams, A.M.; Martins, M.M.; Bontempo, L.; da Silva Mattos, G.R. Newly developed BGO glasses: Synthesis, optical and nuclear radiation shielding properties. Ceram. Int. 2020, 46, 11861–11873. [Google Scholar] [CrossRef]
- Agar, O.; Khattari, Z.Y.; Sayyed, M.I.; Tekin, H.O.; Al-Omari, S.; Maghrabi, M.; Zaid, M.H.M.; Kityk, I.V. Evaluation of the shielding parameters of alkaline earth based phosphate glasses using MCNPX code. Results Phys. 2019, 12, 101–106. [Google Scholar] [CrossRef]
- Metwalli, E.; Karabulut, M.; Sidebottom, D.L.; Morsi, M.M.; Brow, R.K. Properties and structure of copper ultraphosphate glasses. J. Non-Cryst. Solids 2004, 344, 128–134. [Google Scholar] [CrossRef]
- Salehizadeh, S.A.; Melo, B.M.G.; Freire, F.N.A.; Valente, M.A.; Graça, M.P.F. Structural and electrical properties of TeO2–V2O5–K2O glassy systems. J. NonCryst. Solids 2016, 443, 65–74. [Google Scholar] [CrossRef]
- Souri, D.; Zaliani, H.; Mirdawoodi, E.; Zendehzaban, M. Thermal stability of Sb–V2O5–TeO2 semiconducting oxide glasses using thermal analysis. Measurement 2016, 82, 19–25. [Google Scholar] [CrossRef]
- Elkhoshkhany, N.; El-Mallawany, R.; Eslam, S. Mechanical and thermal properties of TeO2–Bi2O3–V2O5–Na2O–TiO2 glass system. Ceram. Int. 2016, 42, 19218–19224. [Google Scholar] [CrossRef]
- Sayyed, M.; Elhouichet, H. Variation of energy absorption and exposure buildup factors with incident photon energy and penetration depth for boro-tellurite (B2O3-TeO2) glasses. Radiat. Phys. Chem. 2017, 130, 335–342. [Google Scholar] [CrossRef]
- Azlan, M.N.; Halimah, M.K.; Suriani, A.B.; Azlina, Y.; El-Mallawany, R. Electronic polarizability and third-order nonlinearity of Nd3þ doped borotellurite glass for potential optical fiber. Mater. Chem. Phys. 2019, 236, 121812. [Google Scholar] [CrossRef]
- Aşkın, M.I.; Sayyed, M.I.; Amandeep, S.; Dal, M.; El-Mallawany, R.; Kaçal, M.R. Investigation ofthe gamma ray shielding parameters of (100 − x)[0.5Li2O–0.1B2O3–0.4P2O5]-xTeO2 glasses using Geant4 and FLUKA codes. J. Non-Cryst. Solids 2019, 521, 119489. [Google Scholar] [CrossRef]
- Bilir, G.; Ayfer, K.; Hatun, C.; Gönül, E. Spectroscopic investigation of zinc tellurite glasses doped with Yb3+ and Er3+ ions. Spectrochim. Acta Part A Mol. Biomol. Spectrosc. 2016, 165, 183–190. [Google Scholar] [CrossRef]
- Upender, G.; Prasad, M. Raman, FTIR, thermal and optical properties of TeO2-Nb2O5-B2O3-V2O5 quaternary glass system. J. Taibah Univ. Sci. 2016, 11, 583–592. [Google Scholar]
- Elkhoshkhany, N.; Rafik Abbas, R.; El-Mallawany, R.; Hathot, S.F. Optical properties and crystallization of bismuth boro-tellurite glasses. J. Non-Cryst. Solids 2017, 476, 15–24. [Google Scholar] [CrossRef]
- Sayyed, M.I.; Albarzan, B.; Almuqrin, A.H.; El-Khatib, A.M.; Kumar, A.; Tishkevich, D.I.; Trukhanov, A.V.; Elsafi, M. Experimental and Theoretical Study of Radiation Shielding Features of CaO-K2O-Na2O-P2O5 Glass Systems. Materials 2021, 14, 3772. [Google Scholar] [CrossRef]
- Kumar, A. Gamma ray shielding properties of PbO-Li2O-B2O3 glasses. Radiat. Phys. Chem. 2017, 136, 50–53. [Google Scholar] [CrossRef]
- Zamyatin, O.A.; Churbanov, M.F.; Plotnichenko, V.G.; Zamyatina, E.V. Optical properties of the MoO3-TeO2 glasses doped with Ni2+-ions. J. NonCryst. Solids 2018, 480, 74–80. [Google Scholar] [CrossRef]
- Yousef, E.S. Deduction of kinetics parameters in composition: Tellurite–phosphate–sodium oxide. Solid State Sci. 2013, 19, 136–143. [Google Scholar] [CrossRef]
- Şakar, E.; Özgür, Ö.F.; Alım, B.; Sayyed, M.; Kurudirek, M. Phy-X/PSD: Development of a user friendly online software for calculation of parameters relevant to radiation shielding and dosimetry. Radiat. Phys. Chem. 2020, 166, 108496. [Google Scholar] [CrossRef]
- Hussein, K.I.; Alqahtani, M.S.; Algarni, H.; Zahran, H.Y.; Yaha, I.S.; Grelowska, I.; Reben, M.; Yousef, E.S. MIKE: A new computational tool for investigating radiation, optical and physical properties of prototyped shielding materials. J. Instrum. 2021, 16, T07004. [Google Scholar] [CrossRef]
- Schott, Co. Available online: https://www.schott.com/advanced_optics/english/products/optical-materials/special-materials/radiation-shielding-glasses/index.html (accessed on 15 March 2022).
- Mochida, N.K.; Takahashi, K.; Nakata, K.; Shibusawa, S. Properties and structure of the binary tellurite glasses containing mono-and di-valent cations. J. Ceram. Assoc. Jpn. 1978, 86, 317–326. [Google Scholar] [CrossRef]
- Maheshvaran, K.; Linganna, K.; Marimuthu, K. Composition dependent structural and optical properties of Sm3+ doped boro-tellurite glasses. J. Lumin. 2011, 131, 2746–2753. [Google Scholar] [CrossRef]
- Hubbell, J.H.; Seltzer, S.M. Tables of X-ray Mass Attenuation Coefficients and Mass Energy-Absorption Coefficients 1 keV to 20 MeV for Elements Z = 1 to 92 and 48 Additional Substances of Dosimetric Interest; 1995-PL.; National Institute of Standards and Technology: Gaithersburg, MD, USA, 1995.
- Hubbell, J.H. Review of photon interaction cross section data in the medical and biological context. Phys. Med. Biol. 1999, 44, R1–R22. [Google Scholar] [CrossRef]
- Singh, V.P.; Medhat, M.; Shirmardi, S. Comparative studies on shielding properties of some steel alloys using Geant4, MCNP, WinXCOM and experimental results. Radiat. Phys. Chem. 2015, 106, 255–260. [Google Scholar] [CrossRef]
- Sayyed, M.I.; Kumar, A.; Tekin, H.O.; Kaur, R.; Singh, M.; Agar, O.; Khandaker, M.U. Evaluation of gamma-ray and neutron shielding features of heavy metals doped Bi2O3-BaO-Na2O-MgO-B2O3 glass systems. Prog. Nucl. Energy 2020, 118, 103118. [Google Scholar] [CrossRef]
- Mahmoud, I.; Issa, S.A.; Saddeek, Y.B.; Tekin, H.; Kilicoglu, O.; Alharbi, T.; Sayyed, M.; Erguzel, T.; Elsaman, R. Gamma, neutron shielding and mechanical parameters for lead vanadate glasses. Ceram. Int. 2019, 45, 14058–14072. [Google Scholar] [CrossRef]
- Kurudirek, M. Effective atomic numbers and electron densities of some human tissues and dosimetric materials for mean energies of various radiation sources relevant to radiotherapy and medical applications. Radiat. Phys. Chem. 2014, 102, 139–146. [Google Scholar] [CrossRef]
- Al-Buriahi, M.S.; Arslan, H.; Toguc, B.T. Investigation of photon energy absorption properties for some biomolecules. Nucl. Sci. Tech. 2019, 30, 103. [Google Scholar] [CrossRef]
- Manohara, S.; Hanagodimath, S.; Gerward, L.; Subhranshu, S. Energy-absorption buildup factors of some fluorides and sulfates: Thermoluminescent dosimetric materials. Mater. Today Proc. 2019, 10, 20–24. [Google Scholar] [CrossRef]
- Halimah, M.K.; Hasnimulyati, L.; Zakaria, A.; Halim, S.A.; Ishak, M.; Azuraida, A.; Al-Hada, N.M. Influence of gamma radiation on the structural and optical properties of thulium-doped glass. Mater. Sci. Eng. B 2017, 226, 158–163. [Google Scholar] [CrossRef]
- Sakida, S.; Hayakawa, S.; Yoko, T. Part 2. T125 NMR study of M2O-TeO2 (M=Li, Na, K, Pb and Cs) glasses. J. Non-Cryst. Soilds. 1999, 243, 13–25. [Google Scholar] [CrossRef]
- Mhareb, M.H.A.; Hashim, S.; Sharbirin, A.S.; Alajerami, Y.S.M.; Dawaud, R.S.E.S.; Tamchek, N. Physical and optical properties of Li2O-MgO-B2O3 doped with Dy3+. Opt. Spectrosc. 2014, 117, 552–559. [Google Scholar] [CrossRef]
- Davis, E.A.; Mott, N.F. Conduction in non-crystalline systems V. Conductivity, optical absorption and photoconductivity in amorphous semiconductors. Philos. Mag. 1970, 22, 903–922. [Google Scholar] [CrossRef]
- Abouhaswa, A.S.; Rammah, Y.S.; Ibrahim, S.E.; El-Hamalawy, A.A. Optical Structural, and electrical characterization of borate glasses doped with SnO2. J. Non-Cryst. Solids 2018, 494, 59–65. [Google Scholar] [CrossRef]
- Laariedh, F.; Sayyed, M.I.; Kumar, A.; Tekin, H.O.; Kaur, R.; Badeche, T.B. Studies on the structural, optical and radiation shielding properties of (50 − x)PbO–10WO3–10Na2O–10MgO–(20 + x)B2O3 glasses. J. Non Cryst. Solids 2019, 512, 159–166. [Google Scholar] [CrossRef]
- Urbach, F. The Long-Wavelength Edge of Photographic Sensitivity and of the Electronic Absorption of Solids. Phys. Rev. Ser. I 1953, 92, 1324. [Google Scholar] [CrossRef]
- Rammah, Y.S.; Awad, E.M. Modifications of the optical properties for DAM-ADC nuclear track detector exposed to alpha particles. Radiat. Phys. Chem. 2018, 146, 42–46. [Google Scholar] [CrossRef]
Publisher’s Note: MDPI stays neutral with regard to jurisdictional claims in published maps and institutional affiliations. |
© 2022 by the authors. Licensee MDPI, Basel, Switzerland. This article is an open access article distributed under the terms and conditions of the Creative Commons Attribution (CC BY) license (https://creativecommons.org/licenses/by/4.0/).







