Antibacterial and Biodegradable Polysaccharide-Based Films for Food Packaging Applications: Comparative Study
Abstract
:1. Introduction
2. Materials and Methods
2.1. Materials
2.2. Film Preparation
2.2.1. Modified Starch-Based Films
Preparation of Oxidized Sucrose
Preparation of Modified Starch-Based Films
2.2.2. Modified Chitosan-Based Films
2.2.3. Modified Alginate-Based Films
2.2.4. Modified Starch and Chitosan-Based Films
2.2.5. Modified Starch and Alginate-Based Films
2.3. Measurement of Film Thickness
2.4. Measurement of Moisture Content, Swelling Degree and Total Soluble Matter
2.5. Measurement of Contact Angle
2.6. Measurement of Oxygen and Carbon Dioxide Permeability
2.7. Measurement of Mechanical Properties
2.8. Measurement of Antimicrobial Properties
2.9. Scanning Electron Microscopy
2.10. Fourier-Transform Infrared Spectroscopy
3. Results and Discussion
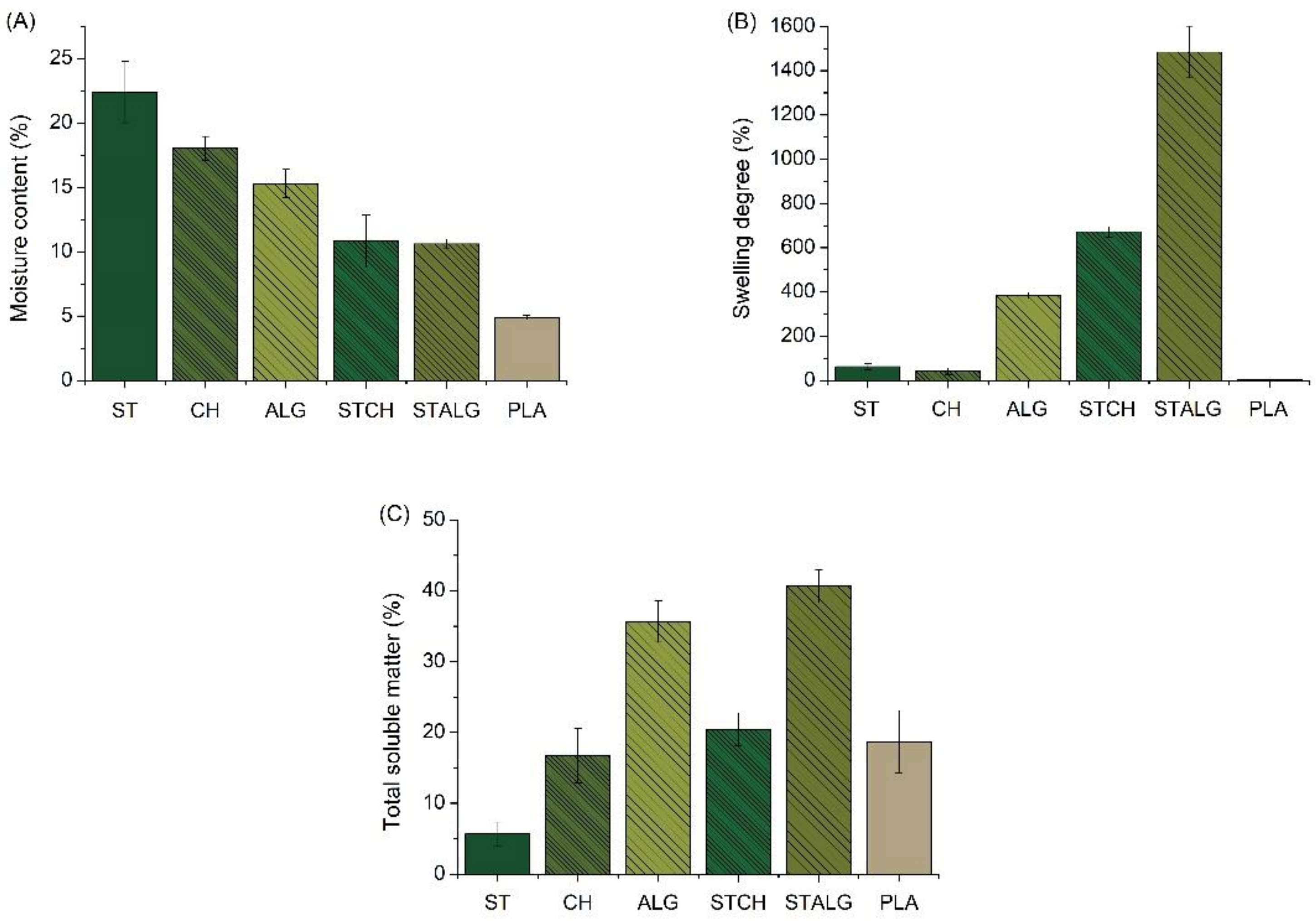
3.1. Moisture Content, Swelling Degree and Total Soluble Matter
3.2. Contact Angle
3.3. Oxygen and Carbon Dioxide Permeability
3.4. Mechanical Properties
3.5. Antimicrobial Properties
3.6. Scanning Electron Microscopy
3.7. Fourier-Transform Infrared Spectroscopy
4. Conclusions
Supplementary Materials
Author Contributions
Funding
Institutional Review Board Statement
Informed Consent Statement
Data Availability Statement
Conflicts of Interest
References
- Thakur, R.; Pristijono, P.; Scarlett, C.J.; Bowyer, M.; Singh, S.P.; Vuong, Q.V. Starch-Based Films: Major Factors Affecting Their Properties. Int. J. Biol. Macromol. 2019, 132, 1079–1089. [Google Scholar] [CrossRef] [PubMed]
- Azeredo, H.M.C.; Waldron, K.W. Crosslinking in Polysaccharide and Protein Films and Coatings for Food Contact–A Review. Trends Food Sci. Technol. 2016, 52, 109–122. [Google Scholar] [CrossRef]
- Bhattacharya, A.; Ray, P. Basic Features and Techniques. In Polymer Grafting and Crosslinking; John Wiley & Sons: Hoboken, NJ, USA, 2008; pp. 7–64. ISBN 978-0-470-41481-1. [Google Scholar]
- Yong, S.K.; Shrivastava, M.; Srivastava, P.; Kunhikrishnan, A.; Bolan, N. Environmental Applications of Chitosan and Its Derivatives. In Reviews of Environmental Contamination and Toxicology; Springer: Cham, Switzerland, 2015; Volume 233, pp. 1–43. [Google Scholar] [CrossRef]
- Wang, B.; Yu, B.; Yuan, C.; Guo, L.; Liu, P.; Gao, W.; Li, D.; Cui, B.; Abd El-Aty, A.M. An Overview on Plasticized Biodegradable Corn Starch-Based Films: The Physicochemical Properties and Gelatinization Process. Crit. Rev. Food Sci. Nutr. 2021, 62, 1–11. [Google Scholar] [CrossRef]
- Domene-López, D.; García-Quesada, J.C.; Martin-Gullon, I.; Montalbán, M.G. Influence of Starch Composition and Molecular Weight on Physicochemical Properties of Biodegradable Films. Polymers 2019, 11, 1084. [Google Scholar] [CrossRef] [PubMed] [Green Version]
- Özeren, H.D.; Olsson, R.T.; Nilsson, F.; Hedenqvist, M.S. Prediction of Plasticization in a Real Biopolymer System (Starch) Using Molecular Dynamics Simulations. Mater. Des. 2020, 187, 108387. [Google Scholar] [CrossRef]
- Esmaeili, M.; Pircheraghi, G.; Bagheri, R. Optimizing the Mechanical and Physical Properties of Thermoplastic Starch via Tuning the Molecular Microstructure through Co-Plasticization by Sorbitol and Glycerol. Polym. Int. 2017, 66, 809–819. [Google Scholar] [CrossRef]
- Khan, B.; Bilal Khan Niazi, M.; Samin, G.; Jahan, Z. Thermoplastic Starch: A Possible Biodegradable Food Packaging Material—A Review. J. Food Process Eng. 2017, 40, e12447. [Google Scholar] [CrossRef]
- Ibrahim, M.I.J.; Sapuan, S.M.; Zainudin, E.S.; Zuhri, M.Y.M. Physical, Thermal, Morphological, and Tensile Properties of Cornstarch-Based Films as Affected by Different Plasticizers. Int. J. Food Prop. 2019, 22, 925–941. [Google Scholar] [CrossRef]
- Basiak, E.; Lenart, A.; Debeaufort, F. How Glycerol and Water Contents Affect the Structural and Functional Properties of Starch-Based Edible Films. Polymers 2018, 10, 412. [Google Scholar] [CrossRef] [Green Version]
- Prachayawarakorn, J.; Tamseekhram, J. Chemical Modification of Biodegradable Cassava Starch Films by Natural Mono-, Di- and Tri-Carboxylic Acids. Songklanakarin J. Sci. Technol. 2019, 41, 8. [Google Scholar]
- Utomo, P.; Nizardo, N.M.; Saepudin, E. Crosslink Modification of Tapioca Starch with Citric Acid as a Functional Food; AIP Publishing: Depok, Indonesia, 2020; p. 040055. [Google Scholar]
- Olsson, E. Effects of Citric Acid on Starch-Based Barrier Coatings. Ph.D. Thesis, Karlstads Universitet, Karlstads, Sweden, 2013. [Google Scholar]
- Reddy, N.; Yang, Y. Citric Acid Cross-Linking of Starch Films. Food Chem. 2010, 118, 702–711. [Google Scholar] [CrossRef] [Green Version]
- Shen, L.; Xu, H.; Kong, L.; Yang, Y. Non-Toxic Crosslinking of Starch Using Polycarboxylic Acids: Kinetic Study and Quantitative Correlation of Mechanical Properties and Crosslinking Degrees. J. Polym. Environ. 2015, 23, 588–594. [Google Scholar] [CrossRef]
- Tanetrungroj, Y.; Prachayawarakorn, J. Effect of Dual Modification on Properties of Biodegradable Crosslinked-Oxidized Starch and Oxidized-Crosslinked Starch Films. Int. J. Biol. Macromol. 2018, 120, 1240–1246. [Google Scholar] [CrossRef]
- Canisag, H. Bio-Crosslinking of Starch Films with Oxidized Sucrose; University of Nebraska-Lincoln: Lincoln, NE, USA, 2015. [Google Scholar]
- Xu, H.; Canisag, H.; Mu, B.; Yang, Y. Robust and Flexible Films from 100% Starch Cross-Linked by Biobased Disaccharide Derivative. ACS Sustain. Chem. Eng. 2015, 3, 2631–2639. [Google Scholar] [CrossRef]
- Guerrero, P.; Muxika, A.; Zarandona, I.; de la Caba, K. Crosslinking of Chitosan Films Processed by Compression Molding. Carbohydr. Polym. 2019, 206, 820–826. [Google Scholar] [CrossRef] [PubMed]
- Ponnusamy, P.G.; Sundaram, J.; Mani, S. Preparation and Characterization of Citric Acid Crosslinked Chitosan-Cellulose Nanofibrils Composite Films for Packaging Applications. J. Appl. Polym. Sci. 2021, 139, 52017. [Google Scholar] [CrossRef]
- Khouri, J.; Penlidis, A.; Moresoli, C. Viscoelastic Properties of Crosslinked Chitosan Films. Processes 2019, 7, 157. [Google Scholar] [CrossRef] [Green Version]
- Epure, V.; Griffon, M.; Pollet, E.; Avérous, L. Structure and Properties of Glycerol-Plasticized Chitosan Obtained by Mechanical Kneading. Carbohydr. Polym. 2011, 83, 947–952. [Google Scholar] [CrossRef]
- Ma, X.; Qiao, C.; Wang, X.; Yao, J.; Xu, J. Structural Characterization and Properties of Polyols Plasticized Chitosan Films. Int. J. Biol. Macromol. 2019, 135, 240–245. [Google Scholar] [CrossRef]
- Sun, Y.; Liu, Z.; Zhang, L.; Wang, X.; Li, L. Effects of Plasticizer Type and Concentration on Rheological, Physico-Mechanical and Structural Properties of Chitosan/Zein Film. Int. J. Biol. Macromol. 2020, 143, 334–340. [Google Scholar] [CrossRef]
- Sinaga, M.Z.E.; Gea, S.; Zuhra, C.F.; Sihombing, Y.A.; Zaidar, E.; Sebayang, F.; Ningsih, T.U. The Effect of Plasticizers and Chitosan Concentration on the Structure and Properties of Gracilaria sp.-Based Thin Films for Food Packaging Purpose. Polimery 2021, 66, 119–126. [Google Scholar] [CrossRef]
- Sun, L.; Sun, J.; Chen, L.; Niu, P.; Yang, X.; Guo, Y. Preparation and Characterization of Chitosan Film Incorporated with Thinned Young Apple Polyphenols as an Active Packaging Material. Carbohydr. Polym. 2017, 163, 81–91. [Google Scholar] [CrossRef] [PubMed] [Green Version]
- Dudek, G.; Turczyn, R. New Type of Alginate/Chitosan Microparticle Membranes for Highly Efficient Pervaporative Dehydration of Ethanol. RSC Adv. 2018, 8, 39567–39578. [Google Scholar] [CrossRef] [Green Version]
- Araújo Carneiro, E.; Pessoa Bastos, A.; Oliveira, U.; Matos, L.; Sabino Adriano, W.; Monteiro, R.; dos Santos, J.; Gonçalves, L. Improving the catalytic features of the lipase from rhizomucor miehei immobilized on chitosan-based hybrid matrices by altering the chemical activation conditions. Quím. Nova 2020, 43, 1234–1239. [Google Scholar] [CrossRef]
- Aranaz, I.; Harris, R.; Heras, A. Chitosan Amphiphilic Derivatives. Chemistry and Applications. Curr. Org. Chem. 2010, 14, 308–330. [Google Scholar] [CrossRef]
- Madera-Santana, T.J.; Mendez, C.; Rodríguez, J. An Overview of the Chemical Modifications of Chitosan and Its Advantages. Green Mater. 2018, 6, 131–142. [Google Scholar] [CrossRef] [Green Version]
- Castro-Yobal, M.A.; Contreras-Oliva, A.; Saucedo-Rivalcoba, V.; Rivera-Armenta, J.L.; Hernández-Ramírez, G.; Salinas-Ruiz, J.; Herrera-Corredor, A. Evaluation of Physicochemical Properties of Film-Based Alginate for Food Packing Applications. E-Polym. 2021, 21, 82–95. [Google Scholar] [CrossRef]
- Ibrahim, S.F.; Mohd Azam, N.A.N.; Mat Amin, K.A. Sodium Alginate Film: The Effect of Crosslinker on Physical and Mechanical Properties. IOP Conf. Ser. Mater. Sci. Eng. 2019, 509, 12063. [Google Scholar] [CrossRef]
- Giz, A.S.; Berberoglu, M.; Bener, S.; Aydelik-Ayazoglu, S.; Bayraktar, H.; Alaca, B.E.; Catalgil-Giz, H. A Detailed Investigation of the Effect of Calcium Crosslinking and Glycerol Plasticizing on the Physical Properties of Alginate Films. Int. J. Biol. Macromol. 2020, 148, 49–55. [Google Scholar] [CrossRef]
- Szekalska, M.; Sosnowska, K.; Czajkowska-Kośnik, A.; Winnicka, K. Calcium Chloride Modified Alginate Microparticles Formulated by the Spray Drying Process: A Strategy to Prolong the Release of Freely Soluble Drugs. Materials 2018, 11, 1522. [Google Scholar] [CrossRef] [Green Version]
- Russo, R.; Malinconico, M.; Santagata, G. Effect of Cross-Linking with Calcium Ions on the Physical Properties of Alginate Films. Biomacromolecules 2007, 8, 3193–3197. [Google Scholar] [CrossRef] [PubMed]
- Djalila, A.; Aicha, S. Development and Characterization of Biodegradables Packaging Obtained from Biopolymers Mixture. J. Macromol. Sci. Part A 2018, 55, 11–16. [Google Scholar] [CrossRef]
- Li, H.; Gao, X.; Wang, Y.; Zhang, X.; Tong, Z. Comparison of Chitosan/Starch Composite Film Properties before and after Cross-Linking. Int. J. Biol. Macromol. 2013, 52, 275–279. [Google Scholar] [CrossRef] [PubMed]
- Wu, J.; Zhong, F.; Li, Y.; Shoemaker, C.F.; Xia, W. Preparation and Characterization of Pullulan–Chitosan and Pullulan–Carboxymethyl Chitosan Blended Films. Food Hydrocoll. 2013, 30, 82–91. [Google Scholar] [CrossRef]
- Wu, H.; Lei, Y.; Lu, J.; Zhu, R.; Xiao, D.; Jiao, C.; Xia, R.; Zhang, Z.; Shen, G.; Liu, Y.; et al. Effect of Citric Acid Induced Crosslinking on the Structure and Properties of Potato Starch/Chitosan Composite Films. Food Hydrocoll. 2019, 97, 105208. [Google Scholar] [CrossRef]
- da Silva Raposo, A.K.; Paixão, L.C.; Rocha, A.A.; Lopes, I.A.; Santos, G.A.S.; Ribeiro, G.A.C.; de Menezes, A.S.; Barros Filho, A.K.D.; Santana, A.A. Characterization of Biodegradable Films Produced from Mixtures of Alginate, Starch and Babassu Fibers. J. Polym. Environ. 2021, 29, 1212–1226. [Google Scholar] [CrossRef]
- Sivaselvi, K.; Ghosh, P. Characterization of Modified Chitosan Thin Film. Mater. Today Proc. 2017, 4, 442–451. [Google Scholar] [CrossRef]
- Ismail, H.; Zaaba, N. Effect of Unmodified and Modified Sago Starch on Properties of (Sago Starch)/Silica/PVA Plastic Films. J. Vinyl Addit. Technol. 2014, 20, 185–192. [Google Scholar] [CrossRef]
- Shrestha, B.; Dhungana, P.K.; Dhital, S.; Adhikari, B. Evaluation of Modified Sorghum Starches and Biodegradable Films. J. Food Sci. Technol. Nepal 2018, 10, 11–17. [Google Scholar] [CrossRef] [Green Version]
- Kaczmarek, B. Improving Sodium Alginate Films Properties by Phenolic Acid Addition. Materials 2020, 13, 2895. [Google Scholar] [CrossRef]
- Elzamly, R.A.; Mohamed, H.M.; Mohamed, M.I.; Zaky, H.T.; Harding, D.R.K.; Kandile, N.G. New Sustainable Chemically Modified Chitosan Derivatives for Different Applications: Synthesis and Characterization. Arab. J. Chem. 2021, 14, 103255. [Google Scholar] [CrossRef]
- Razvy, M.A.; Faruk, M.O.; Hoque, M.A. Environment Friendly Antibacterial Activity of Water Chestnut Fruits. J. Biodivers. Environ. Sci. 2011, 1, 26–34. [Google Scholar]
- Wang, P.; Sheng, F.; Tang, S.; Din, Z.; Chen, L.; Nawaz, A.; Hu, C.; Xiong, H. Synthesis and Characterization of Corn Starch Crosslinked with Oxidized Sucrose. Starch-Starke 2018, 71, 1800152. [Google Scholar] [CrossRef]
- Martí, M.; Frígols, B.; Serrano-Aroca, A. Antimicrobial Characterization of Advanced Materials for Bioengineering Applications. JoVE J. Vis. Exp. 2018, 138, e57710. [Google Scholar] [CrossRef] [PubMed] [Green Version]
- Wang, J.; Shang, J.; Ren, F.; Leng, X. Study of the Physical Properties of Whey Protein: Sericin Protein-Blended Edible Films. Eur. Food Res. Technol. 2010, 231, 109–116. [Google Scholar] [CrossRef]
- Cervera, M.F.; Karjalainen, M.; Airaksinen, S.; Rantanen, J.; Krogars, K.; Heinämäki, J.; Colarte, A.I.; Yliruusi, J. Physical Stability and Moisture Sorption of Aqueous Chitosan–Amylose Starch Films Plasticized with Polyols. Eur. J. Pharm. Biopharm. 2004, 58, 69–76. [Google Scholar] [CrossRef]
- Mujtaba, M.; Morsi, R.E.; Kerch, G.; Elsabee, M.Z.; Kaya, M.; Labidi, J.; Khawar, K.M. Current Advancements in Chitosan-Based Film Production for Food Technology; A Review. Int. J. Biol. Macromol. 2019, 121, 889–904. [Google Scholar] [CrossRef]
- Leceta, I.; Guerrero, P.; de la Caba, K. Functional Properties of Chitosan-Based Films. Carbohydr. Polym. 2013, 93, 339–346. [Google Scholar] [CrossRef]
- Olivas, G.I.; Barbosa-Cánovas, G.V. Alginate–Calcium Films: Water Vapor Permeability and Mechanical Properties as Affected by Plasticizer and Relative Humidity. LWT–Food Sci. Technol. 2008, 41, 359–366. [Google Scholar] [CrossRef]
- Coupland, J.N.; Shaw, N.B.; Monahan, F.J.; Dolores O’Riordan, E.; O’Sullivan, M. Modeling the Effect of Glycerol on the Moisture Sorption Behavior of Whey Protein Edible Films. J. Food Eng. 2000, 43, 25–30. [Google Scholar] [CrossRef]
- Hiremani, V.D.; Gasti, T.; Masti, S.P.; Malabadi, R.B.; Chougale, R.B. Polysaccharide-Based Blend Films as a Promising Material for Food Packaging Applications: Physicochemical Properties. Iran. Polym. J. 2022, 31, 503–518. [Google Scholar] [CrossRef]
- Thawien, B. Plasticizer Effect on the Properties of Biodegradable Blend from Rice Starch-Chitosan. Songklanakarin J. Sci. Technol. 2008, 30, 149–165. [Google Scholar]
- Suput, D.; Lazic, V.; Popović, S.; Hromis, N.; Bulut, S. Biopolymer Films Synthesis and Characterisation. J. Process. Energy Agric. 2017, 21, 9–12. [Google Scholar] [CrossRef] [Green Version]
- Balakrishnan, P.; Sreekala, M.S.; Geethamma, V.G.; Kalarikkal, N.; Kokol, V.; Volova, T.; Thomas, S. Physicochemical, Mechanical, Barrier and Antibacterial Properties of Starch Nanocomposites Crosslinked with Pre-Oxidised Sucrose. Ind. Crops Prod. 2019, 130, 398–408. [Google Scholar] [CrossRef] [Green Version]
- Rodríguez, J.; Madera-Santana, T.J.; Sánchez-Machado, D.; Lopez-Cervantes, J.; Valdez, H. Chitosan/Hydrophilic Plasticizer-Based Films: Preparation, Physicochemical and Antimicrobial Properties. J. Polym. Environ. 2014, 22, 41–51. [Google Scholar] [CrossRef]
- Li, J.; Wu, Y.; He, J.; Huang, Y. A New Insight to the Effect of Calcium Concentration on Gelation Process and Physical Properties of Alginate Films. J. Mater. Sci. 2016, 51, 5791–5801. [Google Scholar] [CrossRef]
- Guo, M.Q.; Hu, X.; Wang, C.; Ai, L. Polysaccharides: Structure and Solubility; IntechOpen: London, UK, 2017; ISBN 978-953-51-3650-7. [Google Scholar]
- Gontard, N.; Guilbert, S.; Cuq, J.-L. Edible Wheat Gluten Films: Influence of the Main Process Variables on Film Properties Using Response Surface Methodology. J. Food Sci. 1992, 57, 190–195. [Google Scholar] [CrossRef]
- Vogler, E.A. Structure and Reactivity of Water at Biomaterial Surfaces. Adv. Colloid Interface Sci. 1998, 74, 69–117. [Google Scholar] [CrossRef]
- Bastos, D.C.; Santos, A.E.F.; da Fonseca, M.D.; Simão, R.A. Inducing Surface Hydrophobization on Cornstarch Film by SF6 and HMDSO Plasma Treatment. Carbohydr. Polym. 2013, 91, 675–681. [Google Scholar] [CrossRef] [Green Version]
- Pongjanyakul, T.; Puttipipatkhachorn, S. Alginate-Magnesium Aluminum Silicate Films: Effect of Plasticizers on Film Properties, Drug Permeation and Drug Release from Coated Tablets. Int. J. Pharm. 2007, 333, 34–44. [Google Scholar] [CrossRef]
- Jouki, M.; Khazaei, N.; Ghasemlou, M.; HadiNezhad, M. Effect of Glycerol Concentration on Edible Film Production from Cress Seed Carbohydrate Gum. Carbohydr. Polym. 2013, 96, 39–46. [Google Scholar] [CrossRef] [PubMed]
- Britto, D.; Assis, O. A Novel Method for Obtaining a Quaternary Salt of Chitosan. Carbohydr. Polym. 2007, 69, 305–310. [Google Scholar] [CrossRef]
- Hsieh, C.-Y.; Tsai, S.-P.; Wang, D.-M.; Chang, Y.-N.; Hsieh, H.-J. Preparation of -PGA/Chitosan Composite Tissue Engineering Matrices. Biomaterials 2005, 26, 5617–5623. [Google Scholar] [CrossRef] [PubMed]
- Taverna, M.E.; Busatto, C.A.; Saires, P.J.; Bertero, M.P.; Sedran, U.A.; Estenoz, D.A. Bio-Composite Films Based on Alginate and Rice Husk Tar Microparticles Loaded with Eugenol for Active Packaging. Waste Biomass Valorization 2022, 13, 1–10. [Google Scholar] [CrossRef]
- Siracusa, V. Food Packaging Permeability Behaviour: A Report. Int. J. Polym. Sci. 2012, 2012, e302029. [Google Scholar] [CrossRef]
- Siracusa, V.; Rocculi, P.; Romani, S.; Rosa, M.D. Biodegradable Polymers for Food Packaging: A Review. Trends Food Sci. Technol. 2008, 12, 634–643. [Google Scholar] [CrossRef]
- Lee, D.S.; Wang, H.J.; Jaisan, C.; An, D.S. Active Food Packaging to Control Carbon Dioxide. Packag. Technol. Sci. 2022, 35, 213–227. [Google Scholar] [CrossRef]
- Siracusa, V.; Romani, S.; Gigli, M.; Mannozzi, C.; Cecchini, J.P.; Tylewicz, U.; Lotti, N. Characterization of Active Edible Films Based on Citral Essential Oil, Alginate and Pectin. Materials 2018, 11, 1980. [Google Scholar] [CrossRef] [Green Version]
- Robertson, G.L. Optical, Mechanical and Barrier Properties of Thermoplastic Polymers. In Food Packaging; CRC Press: Boca Raton, FL, USA, 2012; ISBN 978-0-429-10540-1. [Google Scholar]
- Garcia, M.; Martino, M.; Zaritzky, N. Lipid Addition to Improve Barrier Properties of Edible Starch-Based Films and Coatings. J. Food Sci. 2000, 65, 941–944. [Google Scholar] [CrossRef]
- Butnaru, E.; Stoleru, E.; Brebu, M.A.; Darie-Nita, R.N.; Bargan, A.; Vasile, C. Chitosan-Based Bionanocomposite Films Prepared by Emulsion Technique for Food Preservation. Materials 2019, 12, 373. [Google Scholar] [CrossRef] [Green Version]
- Caner, C.; Vergano, P.J.; Wiles, J.L. Chitosan Film Mechanical and Permeation Properties as Affected by Acid, Plasticizer, and Storage. J. Food Sci. 2006, 63, 1049–1053. [Google Scholar] [CrossRef]
- Aguirre-Loredo, R.Y.; Rodríguez-Hernández, A.I.; Chavarría-Hernández, N. Physical Properties of Emulsified Films Based on Chitosan and Oleic Acid. CyTA–J. Food 2014, 12, 305–312. [Google Scholar] [CrossRef] [Green Version]
- Miller, K.S.; Krochta, J.M. Oxygen and Aroma Barrier Properties of Edible Films: A Review. Trends Food Sci. Technol. 1997, 8, 228–237. [Google Scholar] [CrossRef]
- Tan, S.X.; Ong, H.C.; Andriyana, A.; Lim, S.; Pang, Y.L.; Kusumo, F.; Ngoh, G.C. Characterization and Parametric Study on Mechanical Properties Enhancement in Biodegradable Chitosan-Reinforced Starch-Based Bioplastic Film. Polymers 2022, 14, 278. [Google Scholar] [CrossRef] [PubMed]
- Xu, Y.X.; Kim, K.M.; Hanna, M.A.; Nag, D. Chitosan–Starch Composite Film: Preparation and Characterization. Ind. Crops Prod. 2005, 21, 185–192. [Google Scholar] [CrossRef]
- Rhim, J.-W. Physical and Mechanical Properties of Water Resistant Sodium Alginate Films. LWT–Food Sci. Technol. 2004, 37, 323–330. [Google Scholar] [CrossRef]
- Pavlath, A.E.; Gossett, C.; Camirand, W.; Robertson, G.H. Ionomeric Films of Alginic Acid. J. Food Sci. 1999, 64, 61–63. [Google Scholar] [CrossRef]
- Pinto, G.; De Pascale, S.; Aponte, M.; Scaloni, A.; Addeo, F.; Caira, S. Polyphenol Profiling of Chestnut Pericarp, Integument and Curing Water Extracts to Qualify These Food By-Products as a Source of Antioxidants. Molecules 2021, 26, 2335. [Google Scholar] [CrossRef]
- Silva, V.; Falco, V.; Dias, M.I.; Barros, L.; Silva, A.; Capita, R.; Alonso-Calleja, C.; Amaral, J.S.; Igrejas, G.; Ferreira, I.C.F.R.; et al. Evaluation of the Phenolic Profile of Castanea sativa Mill. By-Products and Their Antioxidant and Antimicrobial Activity against Multiresistant Bacteria. Antioxid. Basel Switz. 2020, 9, 87. [Google Scholar] [CrossRef] [Green Version]
- Priya, B.; Gupta, V.K.; Pathania, D.; Singha, A.S. Synthesis, Characterization and Antibacterial Activity of Biodegradable Starch/PVA Composite Films Reinforced with Cellulosic Fibre. Carbohydr. Polym. 2014, 109, 171–179. [Google Scholar] [CrossRef]
- Nicosia, A.; Gieparda, W.; Foksowicz-Flaczyk, J.; Walentowska, J.; Wesołek, D.; Vazquez, B.; Prodi, F.; Belosi, F. Air Filtration and Antimicrobial Capabilities of Electrospun PLA/PHB Containing Ionic Liquid. Sep. Purif. Technol. 2015, 154, 154–160. [Google Scholar] [CrossRef]
- Zhang, S.D.; Zhang, Y.R.; Wang, Y.Z.; Wang, X.L. Effect of Crosslink on Properties of Thermoplastics Dialdehyde Sweet Potato Starch. Adv. Mater. Res. 2013, 629, 391–395. [Google Scholar] [CrossRef]
- Atay, H.Y. Antibacterial Activity of Chitosan-Based Systems. In Functional Chitosan; Springer: Singapore, 2019; pp. 457–489. [Google Scholar] [CrossRef]
- Peña, A.; Sánchez, N.S.; Calahorra, M. Effects of Chitosan on Candida Albicans: Conditions for Its Antifungal Activity. BioMed Res. Int. 2013, 2013, 527549. [Google Scholar] [CrossRef] [PubMed] [Green Version]
- Li, J.; Zhuang, S. Antibacterial Activity of Chitosan and Its Derivatives and Their Interaction Mechanism with Bacteria: Current State and Perspectives. Eur. Polym. J. 2020, 138, 109984. [Google Scholar] [CrossRef]
- Alahakoon, A.U.; Jayasena, D.D.; Jung, S.; Kim, H.J.; Kim, S.H.; Jo, C. Antimicrobial Effect of Calcium Chloride Alone and Combined with Lactic Acid Injected into Chicken Breast Meat. Korean J. Food Sci. Anim. Resour. 2014, 34, 221–229. [Google Scholar] [CrossRef] [Green Version]
- Rajamma, S.B.; Raj, A.; Kalampalath, V.; Eapen, S.J. Elucidation of Antibacterial Effect of Calcium Chloride against Ralstonia Pseudosolanacearum Race 4 Biovar 3 Infecting Ginger (Zingiber Officinale Rosc.). Arch. Microbiol. 2021, 203, 663–671. [Google Scholar] [CrossRef] [PubMed]
- Turalija, M.; Bischof, S.; Budimir, A.; Gaan, S. Antimicrobial PLA Films from Environment Friendly Additives. Compos. Part B Eng. 2016, 102, 94–99. [Google Scholar] [CrossRef]
- Kõrge, K.; Bajić, M.; Likozar, B.; Novak, U. Active Chitosan–Chestnut Extract Films Used for Packaging and Storage of Fresh Pasta. Int. J. Food Sci. Technol. 2020, 55, 3043–3052. [Google Scholar] [CrossRef]
- Kõrge, K.; Šeme, H.; Bajić, M.; Likozar, B.; Novak, U. Reduction in Spoilage Microbiota and Cyclopiazonic Acid Mycotoxin with Chestnut Extract Enriched Chitosan Packaging: Stability of Inoculated Gouda Cheese. Foods 2020, 9, 1645. [Google Scholar] [CrossRef]
- Mei, J.; Yuan, Y.; Guo, Q.; Wu, Y.; Li, Y.; Yu, H. Characterization and Antimicrobial Properties of Water Chestnut Starch-Chitosan Edible Films. Int. J. Biol. Macromol. 2013, 61, 169–174. [Google Scholar] [CrossRef]
- Alirezalu, K.; Yaghoubi, M.; Poorsharif, L.; Aminnia, S.; Kahve, H.I.; Pateiro, M.; Lorenzo, J.M.; Munekata, P.E.S. Antimicrobial Polyamide-Alginate Casing Incorporated with Nisin and ε-Polylysine Nanoparticles Combined with Plant Extract for Inactivation of Selected Bacteria in Nitrite-Free Frankfurter-Type Sausage. Foods 2021, 10, 1003. [Google Scholar] [CrossRef] [PubMed]
- Kumar, L.; Brice, J.; Toberer, L.; Klein-Seetharaman, J.; Knauss, D.; Sarkar, S.K. Antimicrobial Biopolymer Formation from Sodium Alginate and Algae Extract Using Aminoglycosides. PLoS ONE 2019, 14, e0214411. [Google Scholar] [CrossRef] [PubMed]
- Azeredo, H.M.C.; Mattoso, L.H.C.; Avena-Bustillos, R.J.; Filho, G.C.; Munford, M.L.; Wood, D.; McHugh, T.H. Nanocellulose Reinforced Chitosan Composite Films as Affected by Nanofiller Loading and Plasticizer Content. J. Food Sci. 2010, 75, N1–N7. [Google Scholar] [CrossRef]
- Chen, Q.; Liu, Y.; Chen, G. A Comparative Study on the Starch-Based Biocomposite Films Reinforced by Nanocellulose Prepared from Different Non-Wood Fibers. Cellulose 2019, 26, 2425–2435. [Google Scholar] [CrossRef]
- Zhao, Y.; Troedsson, C.; Bouquet, J.-M.; Thompson, E.M.; Zheng, B.; Wang, M. Mechanically Reinforced, Flexible, Hydrophobic and UV Impermeable Starch-Cellulose Nanofibers (CNF)-Lignin Composites with Good Barrier and Thermal Properties. Polymers 2021, 13, 4346. [Google Scholar] [CrossRef]
- Colussi, R.; Pinto, V.Z.; El Halal, S.L.M.; Vanier, N.L.; Villanova, F.A.; Marques e Silva, R.; da Rosa Zavareze, E.; Dias, A.R.G. Structural, Morphological, and Physicochemical Properties of Acetylated High-, Medium-, and Low-Amylose Rice Starches. Carbohydr. Polym. 2014, 103, 405–413. [Google Scholar] [CrossRef] [PubMed] [Green Version]
- Zhang, Y.; Han, J.H. Plasticization of Pea Starch Films with Monosaccharides and Polyols. J. Food Sci. 2006, 71, E253–E261. [Google Scholar] [CrossRef]
- Gao, C.; Stading, M.; Wellner, N.; Parker, M.; Noel, T.; Mills, E.; Belton, P. Plasticization of a Protein-Based Film by Glycerol: A Spectroscopic, Mechanical, and Thermal Study. J. Agric. Food Chem. 2006, 54, 4611–4616. [Google Scholar] [CrossRef]
- Fundo, J.F.; Galvis-Sanchez, A.C.; Delgadillo, I.; Silva, C.L.M.; Quintas, M.A.C. The Effect of Polymer/ Plasticiser Ratio in Film Forming Solutions on the Properties of Chitosan Films. Food Biophys. 2015, 10, 324–333. [Google Scholar] [CrossRef] [Green Version]
- Liu, H.; Adhikari, R.; Guo, Q.; Adhikari, B. Preparation and Characterization of Glycerol Plasticized (High-Amylose) Starch–Chitosan Films. J. Food Eng. 2013, 116, 588–597. [Google Scholar] [CrossRef]
- Sartori, C.; Finch, D.S.; Ralph, B.; Gilding, K. Determination of the Cation Content of Alginate Thin Films by FTi.r. Spectroscopy. Polymer 1997, 38, 43–51. [Google Scholar] [CrossRef]
- Salmieri, S.; Lacroix, M. Physicochemical Properties of Alginate/Polycaprolactone-Based Films Containing Essential Oils. J. Agric. Food Chem. 2006, 54, 10205–10214. [Google Scholar] [CrossRef] [PubMed]
- Atangana, E.; Chiweshe, T.T.; Roberts, H. Modification of Novel Chitosan-Starch Cross-Linked Derivatives Polymers: Synthesis and Characterization. J. Polym. Environ. 2019, 27, 979–995. [Google Scholar] [CrossRef]
- Xi, X.; Pizzi, A.; Lei, H.; Zhang, B.; Chen, X.; Du, G. Environmentally Friendly Chitosan Adhesives for Plywood Bonding. Int. J. Adhes. Adhes. 2022, 112, 103027. [Google Scholar] [CrossRef]
- Queiroz, M.; Melo, K.; Sabry, D.; Sassaki, G.; Rocha, H. Does the Use of Chitosan Contribute to Oxalate Kidney Stone Formation? Mar. Drugs 2014, 13, 141. [Google Scholar] [CrossRef]
- Nobrega, M.; Olivato, J.; Müller, C.; Yamashita, F. Biodegradable Starch-Based Films Containing Saturated Fatty Acids: Thermal, Infrared and Raman Spectroscopic Characterization. Polim.-Cienc. E Tecnol. 2012, 22, 475–480. [Google Scholar] [CrossRef]
- Siddaramaiah; Swamy, T.M.M.; Ramaraj, B.; Lee, J.H. Sodium Alginate and Its Blends with Starch: Thermal and Morphological Properties. J. Appl. Polym. Sci. 2008, 109, 4075–4081. [Google Scholar] [CrossRef]
- Sáenz-Santos, C.; Oyedara, O.; García Tejeda, Y.; Romero Bastida, C.; García-Oropesa, E.; Villalobo, E.; Rodriguez-Perez, M. Active Biopolymeric Films Inoculated with Bdellovibrio Bacteriovorus, a Predatory Bacterium. Coatings 2021, 11, 605. [Google Scholar] [CrossRef]









| Abbreviations | ST | CH | ALG | STCH | STALG |
|---|---|---|---|---|---|
| Sample | Modified starch-based film | Modified chitosan-based film | Modified alginate-based film | Modified starch and chitosan-based film | Modified starch and alginate-based film |
| Biopolymer | Antimicrobial Agent | Microorganisms | Ref. |
|---|---|---|---|
| Chitosan | Chestnut extract | E. coli, B. subtilis | [96] |
| Chitosan | Chestnut extract | P. fluorescens, E. coli, P. commune | [97] |
| Chitosan | Chestnut extract | E. coli, S. epidermidis | This study |
| Chestnut starch-chitosan | Cornus officinalis fruit extract, glycerol monolaurate, nisin, pine needle essential oil | E. coli, S. aureus, L. monocytogenes | [98] |
| Starch | Chestnut extract | E. coli, S. epidermidis | This study |
| Alginate | Nisin, ε-polylysine, olive extract, nettle extract, green tea extract | E. coli, S. aureus | [99] |
| Alginate | Algae extract, aminoglycosides | E. coli | [100] |
| Alginate | Chestnut extract, CaCl2 | E. coli, S. epidermidis, C. albicans | This study |
Publisher’s Note: MDPI stays neutral with regard to jurisdictional claims in published maps and institutional affiliations. |
© 2022 by the authors. Licensee MDPI, Basel, Switzerland. This article is an open access article distributed under the terms and conditions of the Creative Commons Attribution (CC BY) license (https://creativecommons.org/licenses/by/4.0/).
Share and Cite
Janik, W.; Nowotarski, M.; Shyntum, D.Y.; Banaś, A.; Krukiewicz, K.; Kudła, S.; Dudek, G. Antibacterial and Biodegradable Polysaccharide-Based Films for Food Packaging Applications: Comparative Study. Materials 2022, 15, 3236. https://doi.org/10.3390/ma15093236
Janik W, Nowotarski M, Shyntum DY, Banaś A, Krukiewicz K, Kudła S, Dudek G. Antibacterial and Biodegradable Polysaccharide-Based Films for Food Packaging Applications: Comparative Study. Materials. 2022; 15(9):3236. https://doi.org/10.3390/ma15093236
Chicago/Turabian StyleJanik, Weronika, Michał Nowotarski, Divine Yutefar Shyntum, Angelika Banaś, Katarzyna Krukiewicz, Stanisław Kudła, and Gabriela Dudek. 2022. "Antibacterial and Biodegradable Polysaccharide-Based Films for Food Packaging Applications: Comparative Study" Materials 15, no. 9: 3236. https://doi.org/10.3390/ma15093236
APA StyleJanik, W., Nowotarski, M., Shyntum, D. Y., Banaś, A., Krukiewicz, K., Kudła, S., & Dudek, G. (2022). Antibacterial and Biodegradable Polysaccharide-Based Films for Food Packaging Applications: Comparative Study. Materials, 15(9), 3236. https://doi.org/10.3390/ma15093236

