Abstract
Azo-polyimide films with supramolecular structure were obtained by casting onto glass plates a mixture based on polyamidic acid and different quantities of azochromophore, followed by thermal treatment to realize the final azo-polyimide structure. The dielectric characteristics of the supramolecular structure of polymer films were investigated by broad-band dielectric spectroscopy measurements at different temperatures and frequencies. The free-standing films proved to be flexible and tough and maintained their integrity after repeated bending. The work of adhesion at the polymer/platinum interface was calculated after the evaluation of the surface energy parameters before and after plasma treatment. Atomic force microscopy was used to image the surface morphology, the evolution of the roughness parameters, and the adhesion force between the platinum-covered tip and the polymer surface, registered at the nanoscale with the quantity of the azo dye introduced in the system. The simulation of the columnar growth of a platinum layer was made to provide information about the deposition parameters that should be used for optimal results in the deposition of platinum electrodes for sensors.
1. Introduction
Azopolymers are compounds that consist of azobenzene molecules linked or scattered in a polymer. Their properties are due to the behavior of the azobenzene molecules when exposed to UV and visible light. It is well known that the azobenzene units can be in a thermodynamically stable trans and a less stable cis isomer. In the process of irradiation with linearly polarized light of adequate wavelength, the azobenzene groups undergo many reversible trans-to-cis photoisomerization processes and produce photoinduced optical anisotropy as a result of the interaction of azobenzene molecules with the actinic electric field vector [1,2,3,4]. Various methods are used for the introduction of azobenzene into polymers. The host–guest system, which can be obtained by mixing a guest chromophore (azobenzene compound) in a host polymer matrix, is the most simple. This process is suitable from the point of view of preparation but can present inconveniences regarding the low solubility of the chromophore in the host polymer, the aggregation of the dye molecules, the separation of two components, and even the evaporation of active molecules from the films [5,6,7,8,9]. The other way to obtain azopolymers is by adding chromophores covalently to the chain of the polymer. Thus, it will be realized that photoinduced anisotropy is stable and produces efficient surface relief grating (SRG) formation [10,11,12,13,14]. This method encountered difficulties regarding synthetic procedures to obtain the polymers, which are eliminated by using the host–guest system. At the same time, the noncovalent intermolecular interactions are certified to be suitable for operative SRGs [15,16,17,18,19]. Azo-polyimides, which are represented by polyimides containing azobenzene units, are of special interest due to their use as materials for a lot of applications, such as dielectric films for the electronic industry, orientation layers in liquid crystal materials, heat-resistant composites, adhesives for aerospace domains, and gas separation membranes [20,21,22,23,24]. The polyimides were selected due to their high glass transition temperature, which is indispensable for the improved temporal and thermal stability of the photoinduced chromophore alignment in the dark. Consequently, they are assessed as being very good hosts for supramolecular azo systems devoted to the inscription of stable optical anisotropy. Ten years ago, the scientific group of E. Schab-Balcerzak reported for the first time the obtaining of hydrogen-bonded supramolecular azo-polyimides [25,26,27,28,29].
Recently, we reported supramolecular azo-polyimides with high thermal stability and good behavior for the formation of high SRG by using an innovative method [30,31]. This method consists of adding the azo compound to the polyamidic acid, followed by thermal treatment to realize the final imide structure. Such supramolecular architectures could be the key element in the production of modern sensor devices. They have the advantage of being capable of adapting their bulk and surface characteristics through the incorporation of azo moieties. In a previous study, we showed that phase mask laser exposure of other polyimide structures leads to important surface morphology and wettability changes as a function of the material composition [32]. To our knowledge, there are no other reports on azo-polyimides characterization for use as substrates for sensors. During the device fabrication, the polymer layer must withstand a certain level of deformation, so the mechanical resistance should be analyzed. Moreover, the dielectric response under the electric field should be suitable for minimizing the resistance-capacitance delay and allowing a faster propagation of the signal in the metallic conductor lines. This is why it is recommended that the polymer substrate have a low dielectric constant (below 3) [33]. Another essential point that dictates the reliability of the device is the compatibility of the polymer and metal parts. To ensure this, it is mandatory to evaluate the surface properties of the flexible substrate in terms of morphology, wettability, and how they impact the polymer adhesion with the metal electrode. The study of these correlated bulk and surface properties of azo-polyimides for sensor applications has not yet been developed in the literature.
The current article continues the previous idea of testing azo-polyimides for sensors made of another type of metal, namely platinum. The research strategy was focused not only on the azo-polyimide surface properties but also on bulk mechanical and dielectric testing. The surface analysis involves wettability experiments to assess the interfacial work of adhesion. The surface morphology was visualized via atomic force microscopy (AFM). The local mechanical properties were evaluated from the scanning probe spectroscopy measurements performed at the nanoscale at the interface of the platinum and the polymer surfaces. The simulation of the columnar growth of a platinum layer was made to provide information about the deposition parameters that should be used for optimal results. This has not been reported in the literature. All obtained data were correlated with the amount of azo monomer incorporated, which helped to design new materials with an appropriate balance of properties as demanded for sensors.
2. Materials and Methods
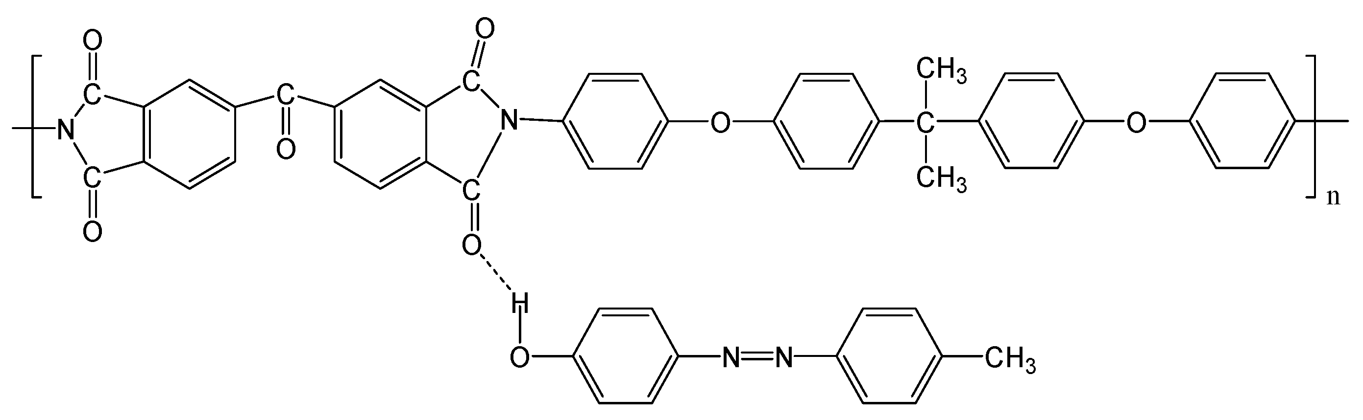
Supramolecular structures (SP) were obtained by mixing 4-[(4-methylphenyl)diazenyl]phenol (Az(CH3)) with an aromatic polyamidic acid solution [30]. Polyamidic acid (PAA) was synthesized by the polycondensation reaction between 4,4′-(4,4′-isopropylidenediphenyl-1,1′-diyldioxy)dianiline (6HDA) and benzophenonetetracarboxylic dianhydride (BTDA) in dimethylacetamide at a concentration of 15%. The molar ratio between polyamidic acid and azo monomer was 1:0.125 (SP41), 1:0.25 (SP42), 1:0.5 (SP43), and 1:1 (SP44). The abridgement SP40 was utilized for primary polyimide film based on BTDA and 6HDA. By casting guest–host PAA solution on a glass plate, flexible films were obtained, leading to the final imide structure after thermal treatment (Scheme 1). In Figure 1, the photographs of the thus obtained SP40–SP44 azo-polyimide films are presented and placed on a sheet of white paper on which the name of each sample is printed in black. It can be easily observed that the pristine polyimide film SP40, based only on BTDA and 6HDA, has a bright yellow hue. As the molar ratio between polyamidic acid and azo monomer increases from 1:0.125 (SP41) to 1:1 (SP44), the color of the films evolves from a dark yellow tone to an orange shade. In addition, it can be noticed that all the films retain their transparency even after adding a considerable amount of azochromophore.
Scheme 1.
The structural formula of the guest–host polyimide films.
Figure 1.
The photographs of the SP40–SP44 azo-polyimide films placed on a sheet of white paper on which the name of each sample was printed in black.
Dielectric properties were investigated with a Novocontrol Concept 40 Broadband Dielectric Spectrometer (Novocontrol Technologies GmbH & Co. KG, Montabaur, Germany). The electrical field oscillations were generated by an Alpha-A high-performance frequency analyzer. The dielectric spectra were recorded at room temperature in a frequency window between 1 Hz and 1 MHz. The measurements were provided at temperatures between −120 and 250 °C. Circular samples of 2 cm in diameter cut out of previously obtained free-standing films were placed between two gold-plated flat electrodes and then placed in the active BDS sample cell system. To prevent moisture absorption, measurements were conducted in a dry nitrogen environment. Stress-strain measurements were performed on dumbbell-shaped samples cut at a dimension of 20 mm × 5 mm from the thin films, on a TIRA test 2161 apparatus (Maschinenbau GmbH, Ravenstein, Germany). All the measurements were accomplished at an extension rate of 50 mm/min at room temperature. The final value obtained was the average of three measurements. The wetting features of the compound surface films were evidenced by means of water and formamide contact angle experiments. The measurements were performed on rectangular specimens of 1 cm × 3 cm using a device designed in our laboratories and were repeated five times by employing liquid drops of 5 µL volume. The measuring error of the contact angle on the samples was ±1°, leading to a relatively low statistical error (standard deviation). Plasma treatment of the polymer layers was undertaken on an RPS40 system (ROPLASS) for 2.5 min. Atomic force microscopy (AFM) measurements were performed on an NTEGRA multifunctional scanning probe microscope (NT-MDT Spectrum Instruments, Zelenograd, Moscow, Russia), using Nova 1.1.1.19891 software for data acquisition and analysis. The morphology was registered on a square area of 1 cm × 1 cm in tapping mode using an NSG10 cantilever (with the following characteristics: length—95 ± 5 µm, width—30 ± 3 µm, thickness—2.0 ± 0.5 µm, tip curvature radius—6–10 nm, resonant frequency—236 kHz) from NT-MDT Spectrum Instruments, Zelenograd, Moscow, Russia. The DFL–height curves (the plots of the cantilever’s deflection (DFL signal) vs. the tip–sample distance during the approach-retraction movement) were acquired through the AFM force curve spectroscopy (FCS), in contact mode, using a CSG30/Pt cantilever (with the characteristics: length—190 ± 5 µm, width—30 ± 3 µm, thickness—0.5 ± 1.5 µm, typical tip curvature radius—35 nm, resonant frequency—54 kHz, force constant—1.6 N/m) from NT-MDT Spectrum Instruments, Zelenograd, Moscow, Russia. The value of the adhesion force was calculated from the retraction DFL–height curve, according to Hooke’s law: Fadh = −k·Δx, taking into account that k is the force constant of the cantilever and Δx is the deviation of the cantilever at the final contact state before the jump of the tip from contact. The Gwyddion 2.56 software was used to simulate the columnar surface deposition of the platinum nanoparticles.
3. Results and Discussion
The utilization of the analyzed systems for implementation in electronic products, such as flexible supports for sensors, imposes deep knowledge of the key bulk and surface properties. The response of the polyimide-based films under electrical field influence must be examined to probe the insulation characteristics and polarization mechanisms that are affecting the level of the signal passing through the deposited metal electrode. Moreover, the mechanical resistance of the polymer substrate must be demonstrated to check this applicative criterion. Another essential aspect resides in the surface characteristics (morphology and wettability), which in turn influence the polymer layer’s interaction with the metallic electrode. All mentioned properties are discussed in the next sections of the paper.
3.1. Dielectric Properties
The effect of AzoCH3 on dielectric characteristics such as dielectric constant, dielectric loss, and relaxation properties of SP polymers was studied at frequencies ranging from 1 Hz to 1 MHz and temperatures ranging from −150 °C to +270 °C. The dielectric relaxation measurement at different frequencies of SP with varied AzoCH3 concentrations provides information regarding polar group dynamics and molecular mobility.
The behavior of the dielectric constant, ε′, as a function of frequency and temperature, is shown in Figure 2a and Figure 2b, respectively. As can be seen in Figure 2a, the dielectric constant had a modest decrease with increasing frequency, as generally observed for polyimide-based materials [34,35]. The incorporation of the azo monomer increased the value of the dielectric constant, depending on the ratio between the two components. By using a molar ratio of 1:0.125, 1:0.25, and 1:0.5, the dielectric constant slightly increased at 2.7, 2.8, and 2.85, respectively, compared with the polymer reference SP40, which has the smallest value (e.g., f = 1 Hz, ε′ = 2.5). Following the increase in the molar ratio to 1:1, however, ε′ of the SP44 polymer is moderately enhanced up to 2.65. At this point, we may notice that the optimal molar ratio within the highest enhancement of the dielectric constant is 1:0.5. We believe that the increase in dipolar activity in the bulk of final products is mostly due to the existence of polar molecules induced by hydrogen bonds. The latter were assessed when the azo monomer and polyimide components were mixed in various ratios. A slightly increased dielectric constant can be evidence of the existence of polar molecules due to hydrogen bonds compared to pristine polyimide film.
Figure 2.
The behavior of dielectric constant with frequency at room temperature (a) and with temperature at 10 Hz (b) for the pristine polyimide and supramolecular films.
The behavior of the dielectric constant with temperature at a frequency of 10 Hz is shown in Figure 1b for all investigated samples. The dielectric constant of supramolecular structures is relatively low and almost unchanged at temperatures between −120 and 100 °C. With further increases in temperature, the cooperative motions of chain segments from the polymer backbone were thermally activated, and consequently, the magnitude of ε′ increased rapidly, being correlated with the molar ratio of the guest–host components. Therefore, if the increase in the dielectric constant is moderate at lower ratios (1:0.125 and 1:0.25) and at higher temperatures is close to the pristine polyimide film (above 225 °C), by increasing the AzoCH3 content to 1:0.5 and 1:1 molar ratios, the increase in the dielectric constant is sharp and starts at temperatures of 150 °C and 130 °C, respectively. This is very important for proving that the azo monomer influences in great measure the behavior of the dielectric constant by increasing the temperature.
The dielectric loss of polymers, ε″, was low, below 0.015 (Table 1), and slowly decreased with increasing frequency, irrespective of the ratio used, attaining lower values around 103 Hz and then increasing again (Figure 3a).
Table 1.
Numerical values of dielectric constant, dielectric loss, and conductivity selected at 10 Hz and various temperatures for all investigated samples.
Figure 3.
The behavior of dielectric loss with the applied field frequency at room temperature (a) and temperature at 10 Hz (b) for the studied materials.
The temperature dependences of dielectric loss selected at 10 Hz reveal the presence of secondary-type relaxation dipolar processes: (i) The γ-relaxation is observed at temperatures between −120 °C and −20 °C, and (ii) the β-relaxation at temperatures between 40 and 100 °C. In addition, at temperatures higher than 150 °C, the dielectric loss of polyimide films based on supramolecular structures is higher, mostly probably due to the presence of charge carriers (Figure 3b). Coming back to the findings from Figure 3a, we may assume that the low-frequency dispersion occurring below 103 Hz is the head part of the β-relaxation signal, while the dielectric signal between 103 Hz and 106 Hz is attributed to γ-relaxation.
The behavior of the electrical modulus, M″, with frequency and temperature is presented in Figure 4a and Figure 4b, respectively. At room temperature, the frequency dependences of the electrical modulus, M″, show the same behavior as in the case of dielectric loss (Figure 4a). At low temperatures, M″ exhibits two distinct regions corresponding to secondary γ- and β-relaxations. With further increases in temperature, conductivity relaxation (σ) is detected for all investigated samples (Figure 4b). The dominant dielectric peak of σ-relaxation depicted at temperatures higher than that of 125 °C correlates well with the continuous increase in ε″ detected previously in Figure 3. Noticeably, the σ-relaxation peak is promoted to lower temperatures with the introduction of the azochromophore component. Thus, considering the frequency of 10 Hz as a representative example, the maximum σ-relaxation peak is observed at 235 °C for SP42, 201 °C for SP43, and 178 °C for SP44 films. A similar tendency in the results was observed by measuring Tg by DSC, as was reported early [30].
Figure 4.
The behavior of modulus (M″) with the applied field frequency at room temperature (a) and with temperature at 10 Hz (b) for the polyimide films.
Figure 5 presents the evolution of the measured conductivity as a function of frequency at room temperature (a) and at 150 °C (b), respectively. At room temperature, a linear increase in conductivity with increasing frequency was observed for all samples in the entire frequency range. This regime is specific to bound-charge carriers. On the other hand, at a temperature of 150 °C, the conductivity reveals a deviation from a linear increase with frequency. The behavior is specific to the existence of free charges in the material [36]. Following Table 1, the conductivity of supramolecular structures increased by two orders of magnitude, especially for the higher content of azo monomer (SP44).
Figure 5.
The behavior of conductivity with the applied field frequency at room temperature (a) and at 150 °C (b) for the polymer films.
On the other hand, an increase in the contact angle was observed by increasing the content of the azo compound in spite of the increasing polarity of the macromolecular chain, based on the hydrogen linkages that were realized between the OH group from the azo monomer and the imide cycle. As can be seen in Table 2, there is a good correlation between the dielectric constant and the quantity of azo monomer for SP41, SP42, and SP43, which has an increasing tendency, but by introducing much more azochromophore, the dielectric constant decreased but was higher than that of the dielectric constant of the pristine polyimide film, SP40.
Table 2.
Mechanical properties of the polymer films.
The Argand plots (M′ versus M″) of the investigated samples were used to see the nature of the relaxation process. As can be seen in Figure 6, all the polymer samples showed semicircular curves, indicating that the relaxation processes follow the Debye model (single relaxation time) [37]. This model presumes that all the dipoles must be identical. For this reason, Debye relaxation is the response of the dielectric relaxation of ideal dipoles to an alternating external electric field. At the same time, by increasing the quantity of azochromophore, the plot maxima increased [38].
Figure 6.
The evolution of Argand curve of SP41–SP44 films at different temperatures.
The Argand plot of the supramolecular structure SP44 at different temperatures shows that by increasing the temperature, the semicircle becomes more extensive. This means that by increasing temperature over 175 °C, the relaxation processes follow the Debye model (single relaxation time). This behavior was observed for all the supramolecular structures at a very high temperature, 250 °C (Figure 7) [38].
Figure 7.
The evolution of Argand curve of SP41–SP44 films at 250 °C.
The relationship between the azo monomer quantity and the electrical and mechanical properties can be different due to the connections made between the host (matrix) and the guest (azo monomer). For the dielectric properties, the optimum ratio was 1:0.5. By increasing the quantity of the used azo dye, the value of the dielectric constant slightly decreases. This behavior can be explained by the fact that not all monomer molecules can form hydrogen bonds [6] at high ratios. It seems that some of them remain unlinked in the system. This can influence bulk properties.
3.2. Mechanical Properties
The free-standing films demonstrated flexibility, endurance, and integrity despite repeated bending. Their tensile properties have been determined as the averages of three drawing experiments. These supramolecular polyimide films showed similar types of behavior with respect to the elastic deformation range at small strains. By adding the azochromophore, AzoCH3, to the polyimide matrix, the mechanical parameters of the supramolecular structures are slightly lower. Thus, the supramolecular structures present values of tensile strength at the break between 95.94 and 121.49 MPa compared to pristine polyimide film, which has a value of 125.31 MPa. The same tendency was observed for the behavior of the elasticity modulus, which has slightly lower values (1.37–1.46 GPa) compared to pristine polyimide film (1.55 GPa). By using a very low quantity of AzoCH3, in the case of SP41, the value of elongation to break is almost the same as that of pristine polyimide film, around 12.5%. By increasing the quantity of AzoCH3, the values of the elongation to break slightly decreased in the range of 9.82–10.65%. The obtained tensile data demonstrated that films with satisfactory mechanical properties (toughness and modulus) can be obtained from all supramolecular structures of polymers that can be further used in various advanced applications.
Based on the stress–strain plots from Figure 8, the data from Table 2 were obtained. The results reveal a good correlation between the dielectric constant and the quantity of azo monomer for SP41, SP42, and SP43, which has an increasing tendency, but with the introduction of much more azochromophore, the dielectric constant decreased but is still higher than that of the dielectric constant of the pristine polyimide film, SP40.
Figure 8.
The mechanical properties of the supramolecular structures.
3.3. Surface Wettability and Metal Adhesion
The application of these polymer layers as supports for electrode deposition, as demanded in sensor devices, involved good knowledge of their surface tension properties. These aspects were determined in this work by assessing the interfacial adhesion characteristics of polyimides to platinum. For this scope, the Young–Dupre Equation (1) was utilized:
where W is the work of adhesion, and are the sample disperse and polar surface tension, while and are the platinum disperse and polar surface tension, respectively.
In order to estimate the work of adhesion at the polymer/Pt interface, it was necessary to evaluate the sample surface energy parameters. This was performed by measuring the contact angles on all films, and the data are introduced in Table 3. Then, the contact angle results were introduced in the Fowkes relation (2) [39] to extract information on the sample’s wettability:
where θ is the contact angle, the index “l” means the surface tension of the liquid test.
Table 3.
The average values of water (θW) and formamide (θF) contact angle, disperse (γd) and polar (γp) surface tension, and work of adhesion (W) for untreated and plasma-treated SP40–SP44 films.
After solving the mathematical system of two equations written for the water and formamide liquid tests, the polar and dispersive properties were obtained for each sample, and the results are listed in Table 3. It was noted that with the incorporation of AzoCH3 in the system, the dispersed component of the surface tension decreases for the SP40–SP43 samples, while their surface polar character slightly increases. An exception was observed for the value of γd of SP44 film, which increases upon insertion of AzoCH3. The introduction of the γd and γp in the Young–Dupre Equation (1) allowed determining the work of adhesion with platinum, for which dispersive and polar surface tension values were found to be 22.14 mN/m and 25.29 mN/m, respectively. The magnitude of the W parameter decreased for the SP41–SP44 samples compared to the structure without the azo component, SP40. This was probably caused by the tiny increase in the surface polar properties and the concomitant decrease in the dispersive part of γ. In this context, the effects of plasma exposure were also explored to see how the adhesion properties were evolving for each sample. The surface-modified films displayed a reduction of the dispersion feature, whereas the polar components were significantly augmented by about 1.79 times for SP44 in regard to SP40. This is reflected in an enhancement of the work of adhesion with Pt in comparison to the pristine films. Moreover, the films with an increasing AzoCH3 content appeared to exhibit, after plasma exposure, more polar groups at the surface, which led to an improvement of the interfacial adhesion with the metal electrode. This will have a positive impact when using these polymers as supports for sensor manufacturing.
3.4. Surface Morphology and Metal Adhesion at Nanoscale
Atomic force microscopy through the height images obtained on the scanning areas of 5 × 5 μm2 (Figure 9a–e) and 1 × 1 μm2 (Figure 9(a1–e1)) was used to evaluate the surface morphology dependency on the composition of the polymer, namely the amount of added azochromophore. First, the AFM data collected on 5 × 5 μm2 indicates that the peak-to-valley distance (Sy) for the starting polyimide SP40 was 44.8 nm, inducing a root mean square roughness (Sq) of 2.5 nm. The incorporation of even a small amount of azo monomer (1:0.125 molar ratio between polyamidic acid and azo monomer) produced a considerable smoothing of the surface of the SP41 supramolecular compound film, with Sy diminishing to 8.6 nm and leading to a 5-fold decrease in Sq, to 0.5 nm, compared to the pristine polyimide. It was also found that, with the increase in the amount of azodye in the structure of azo-polyimide supramolecular systems, Sy gradually increases from 12.6 nm for SP42 to 20.3 nm for SP43, reaching the case where the molar ratio is 1:1 (SP44) even at 25.3 nm. Moreover, the roughness somehow follows a similar path to Sy, although in this case, the variations are much smaller from one system to another (0.6 nm for SP42, 1.1 nm for SP43, and 1.2 nm for SP44). The lower roughness obtained for the azo-polyimide supramolecular systems can be explained based on the structural organization. The azo group, being in the trans configuration, has the tendency to squat. Moreover, the way the dipoles are arranged offers a tightening disposition. All this leads to a flattening and uniformization of the polymer film during the imidization process.
Figure 9.
AFM topography images obtained on the surface of the SP40 (a series), SP41 (b series), SP42 (c series), SP43 (d series), and SP44 (e series), collected on 5 × 5 μm2 (a–e) and on 1 × 1 μm2 (a1–e1), and the local equalization images obtained by applying the local equalization method on the height images collected on 1 × 1 μm2 (a2–e2).
Apparently, on the 5 × 5 μm2 scanning area, no special morphological aspects appear, with the surfaces proving to be smooth and uniform. Moving from the microscale analysis to the one at the nanoscale, namely on the 1 × 1 μm2 scanning area, the characteristics of the morphological formations are better highlighted, especially in the local equalization images (Figure 9(a2–e2)). The local equalization method involves the processing of an image constituted by a narrow range of intensity values by adjusting the intensities to be better spread on the histogram, employing the full range of intensities equally [40]. This method increases the global contrast, helping the areas of lower local contrast to gain a higher contrast [41,42]. In this way, it is possible to detect different supramolecular organizations at the surface induced by the inclusion of the azo component, depending on its amount.
Since the desired application of these azo-polyimide supramolecular systems is as supports for platinum electrode deposition, as required in sensor devices, the local nanoscale adhesion force between a platinum-covered cantilever’s tip and the studied surfaces was evaluated from the retract DFL–height curves (blue curves from Figure 10) in the contact point. The unmodified control polyimide (SP40) showed an adhesion force of 23 nN. When adding a small amount of azo monomer (SP41), it initially tends to decrease to around 16 nN, then, with the increase in the molar ratio, an enhancement of the adhesion force at the supramolecular system/platinum interface is observed, even reaching almost 60 nN in the case of the SP44 sample. This trend can be explained by the intensification of hydrogen bonds with the increase in the molar ratio between polyamide acid and azo dye. The evolution seems to be different compared to the measurements made at the macro level because the physical property is different (work of adhesion in the case of surface wettability measurements and adhesion force in the case of AFM measurements), the determination method is different (calculating the work of adhesion from the evaluation of the sample surface energy parameters and calculating the adhesion force from the DFL–height curve), and the surface on which it is evaluated is different (few mm versus nm). In conclusion, there is an improvement in the ability of platinum to adhere to the studied surface as the amount of the azo component increases. Moreover, it was found that light plasma treatment of the surfaces that are intended to be used as flexible supports for sensors, before the deposition of the electrode, considerably improves the adhesion of the platinum and thus the stability of the deposition [43].
Figure 10.
DFL–height curves (approach curve colored in red, retract curve colored in blue) collected for SP40 (a), SP41 (b), SP42 (c), SP43 (d), and SP44 (e), before plasma exposure (a–e), and after plasma exposure (a1–e1). Details of the DFL–height curve at the contact point where the adhesion force was measured are presented for each sample.
Next, starting from the 2D topographical images obtained on the surface of 5 × 5 μm2 for each sample, a simulation of the deposition of platinum nanoparticles was realized. This simulation was made using the Gwyddion 2.56 software using the columnar deposition type. The simulation of columnar film growth employs a Monte Carlo deposition algorithm [44,45]. Thus, small particles of 3 nm in diameter (this dimension was chosen to simulate the dimension of the platinum nanoparticles used in general in electrode deposition) were directed incidentally to the surface by using certain parameters. The particles hit the surface randomly and stick to it, and due to the shading effect, fewer particles will stick to the lower parts of the surface and more particles will grow on the higher parts of the surface, leading to the development of columns, the distribution being isotropic in the horizontal plane [46]. The evolution of the root mean square value of the heights (RMS) with the mean deposited thickness and the aspect of the surfaces during the platinum particle deposition stages is presented in Figure 11. It can be observed that the nanoparticles were uniformly distributed all over the surface, their dispensation depending on the initial surface morphology of the polyimide or azo-polyimide supramolecular systems. It seems that the optimal thickness of the deposition, in which we find a very good coverage of the substrate surface and a monotonous spreading of platinum nanoparticles without the formation of agglomerations, is 30 nm. After this value, the RMS increases suddenly due to the increased crowding tendency. This simulation experiment of the platinum layer growth proves to be very useful in identifying the settings that should be made before the effective deposition of the platinum layer as an electrode for optimal results.
Figure 11.
Simulation data of the platinum nanoparticle deposition on the AFM images collected 5 × 5 μm2 areas for SP40 (a), SP41 (b), SP42 (c), SP43 (d), and SP44 (e): the evolution of the RMS with respect to the mean deposition thickness, and the aspect of the surface during the deposition stages.
4. Conclusions
Materials designed by the host–guest approach, which involved a polyimide precursor and an azochromophore (followed by thermal treatment), resulting in supramolecular systems, were obtained and tested as substrates for sensors based on platinum electrodes.
Dielectric spectroscopy was used to study the characteristics of the supramolecular structures of azo-polyimide films at different temperatures and frequencies. By increasing the quantity of azochromophore, the dielectric constant increased when the ratio between polyamidic acid and chromophore increased from 1:0.125 to 1:0.5. By using a 1:1 ratio, the dielectric constant decreased compared with the one mentioned above but remained at a higher value compared to pristine polyimide film.
The incorporation of the azo monomer with a molar ratio of 1:0.5 increased the dielectric constant of the polyimide by 14% (at room temperature) and the conductivity of charge carriers by two orders of magnitude (at 150 °C, where the conductivity signal of free charge carriers is observed).
The free-standing films were flexible, tough, and remained intact after repeated bending. The obtained tensile data demonstrated that the films with satisfactory mechanical properties realized from all supramolecular structures can be further used in various advanced applications.
The introduction of an azo component was found to reduce the dispersive character while enhancing in a less significant manner the surface polarity of the analyzed films, so the adhesion with Pt was not enhanced. This was solved by plasma exposure of the polymers, which augmented the surface polarity, especially upon AzoCH3 addition, and this produced a relevant improvement in the interfacial adhesion. Such results recommend the use of these samples as support for sensor manufacturing.
The AFM measurements reveal that the surface morphology was influenced by the amount of azo compound. The roughness and adhesion force registered at the nanoscale increase as the quantity of the azo dye increases, proving that platinum will adhere better to a surface when the molar ratio between polyamidic acid and azo monomer is 1:1, especially after a short prior plasma treatment. The simulation of the platinum layer growth provided us with information about the deposition parameters that should be used for optimal results.
Author Contributions
Conceptualization, I.S. (Ion Sava) and M.A.; methodology, M.A, R.M.A., A.I.B. and I.S. (Iuliana Stoica); software, I.S. (Iuliana Stoica) and M.A.; validation, M.A., I.S. (Ion Sava) and I.S. (Iuliana Stoica); formal analysis, I.S. (Iuliana Stoica); investigation, M.A, R.M.A., A.I.B., I.S. (Iuliana Stoica) and I.S. (Ion Sava); resources, M.A., I.S. (Iuliana Stoica) and I.S. (Ion Sava); data curation, M.A., I.S. (Iuliana Stoica) and I.S. (Ion Sava); writing—original draft preparation, M.A., I.S. (Ion Sava), I.S. (Iuliana Stoica), R.M.A. and A.I.B.; writing—review and editing, M.A., I.S. (Iuliana Stoica) and I.S. (Ion Sava); visualization, I.S. (Iuliana Stoica); supervision, I.S. (Iuliana Stoica) and I.S. (Ion Sava); project administration, I.S. (Iuliana Stoica); funding acquisition, I.S. (Iuliana Stoica). All authors have read and agreed to the published version of the manuscript.
Funding
This work was supported by a grant of the Ministry of Research, Innovation and Digitization, CNCS-UEFISCDI, project number PN-III-P1-1.1-TE-2021-1044, within PNCDI III.
Institutional Review Board Statement
Not applicable.
Informed Consent Statement
Not applicable.
Data Availability Statement
All data that support the findings of this study are incorporated in the main manuscript of this article. No additional data are available for sharing.
Acknowledgments
We would like to thank Violeta Melinte, from “Petru Poni” Institute of Macromolecular Chemistry, for the measurement of the mechanical properties.
Conflicts of Interest
The authors declare no conflict of interest.
References
- Wang, D.; Wang, X. Amphiphilic azo polymers: Molecular engineering, self-assembly, and photoresponsive properties. Prog. Polym. Sci. 2013, 38, 271–301. [Google Scholar] [CrossRef]
- Wang, X. Azo Polymers Synthesis, Functions and Applications, Soft and Biological Matter; Springer: Berlin/Heidelberg, Germany, 2017; ISBN 978-3-662-53422-9. ISBN 978-3-662-53424-3 (eBook). [Google Scholar]
- Oscurato, S.L.; Salvatore, M.; Maddalena, P.; Ambrosio, A. From nanoscopic to macroscopic photo-driven motion in azobenzene-containing materials. Nanophotonics 2018, 7, 1387–1422. [Google Scholar] [CrossRef]
- Stumpe, J.; Kulikovska, O.; Goldenberg, L.M.; Zakrevskyy, Y. Smart Light-Responsive Materials; Zhao, Y., Ikeda, T., Eds.; John Wiley & Sons Ltd.: Hoboken, NJ, USA, 2009; pp. 47–94. [Google Scholar]
- Vapaavuori, J.; Geraldine Bazuin, C.; Priimagi, A. Supramolecular design principles for efficient photoresponsive polymer–azobenzene complexes. J. Mater. Chem. C 2018, 6, 2168. [Google Scholar] [CrossRef]
- Konieczkowska, J.; Janeczek, H.; Małecki, J.; Trzebicka, B.; Szmigiel, D.; Kozanecka-Szmigiel, A.; Schab-Balcerzak, E. Noncovalent azopoly(ester imide)s: Experimental study on structure-property relations and theoretical approach for prediction of glass transition temperature and hydrogen bond formation. Polymer 2017, 113, 53–66. [Google Scholar] [CrossRef]
- Stumpel, J.E.; Saccone, M.; Dichiarante, V.; Lehtonen, O.; Virkki, M.; Metrangolo, P.; Priimagi, A. Surface-Relief Gratings in Halogen-Bonded Polymer–Azobenzene Complexes: A Concentration-Dependence Study. Molecules 2017, 22, 1844. [Google Scholar] [CrossRef] [PubMed]
- Priimagi, A.; Kaivola, M.; Rodriguez, F.J.; Kauranen, M. Enhanced photoinduced birefringence in polymer-dye complexes: Hydrogen bonding makes a difference. Appl. Phys. Lett. 2007, 90, 121103. [Google Scholar] [CrossRef]
- Priimagi, A.; Vapaavuori, J.; Rodriguez, F.J.; Faul, C.F.J.; Heino, M.T.; Ikkala, O.; Kauranen, M.; Kaivola, M. Hydrogen-Bonded Polymer-Azobenzene Complexes: Enhanced Photoinduced Birefringence with High Temporal Stability through Interplay of Intermolecular Interactions. Chem. Mater. 2008, 20, 6358–6363. [Google Scholar] [CrossRef]
- Yu, H. Photoresponsive liquid crystalline block copolymers: From photonics to nanotechnology. Prog. Polym. Sci. 2014, 39, 781–815. [Google Scholar] [CrossRef]
- Wang, K.; Yin, L.; Miu, T.; Liu, M.; Zhao, Y.; Chen, Y.; Zhou, N.; Zhang, W.; Zhu, X. Design and synthesis of a novel azobenzene containing polymer both in the main- and side-chain toward unique photocontrolled isomerization properties. Mater. Chem. Front. 2018, 2, 1112–1118. [Google Scholar] [CrossRef]
- Al-Bataineh, Q.M.; Ahmad, A.A.; Alsaad, A.M.; Qattan, I.A.; Bani-Salameh, A.A.; Telfah, A.D. Kinematics of Photoisomerization Processes of PMMA-BDK-MR Polymer Composite Thin Films. Polymers 2020, 12, 1275. [Google Scholar] [CrossRef]
- Lagugne-Labarthet, F.; Bruneel, J.L.; Rodriguez, V.; Courisseau, C. Chromophore orientations in surface relief gratings with second-order nonlinearity as studied by confocal polarized Raman microspectrometry. J. Phys. Chem. B 2004, 108, 1267. [Google Scholar] [CrossRef]
- Liu, B.; Wang, M.; He, Y.; Wang, X. Duplication of photoinduced azo polymer surface-relief gratings through a soft lithographic approach. Langmuir 2006, 22, 7405–7410. [Google Scholar] [CrossRef]
- Kulikovska, O.; Goldenberg, L.M.; Stumpe, J. Supramolecular Azobenzene-Based Materials for Optical Generation of Microstructures. Chem. Mater. 2007, 19, 3343–3348. [Google Scholar] [CrossRef]
- Gao, J.; He, Y.; Liu, F.; Zhang, X.; Wang, Z.; Wang, X. Azobenzene-Containing Supramolecular Side-Chain Polymer Films for Laser-Induced Surface Relief Gratings. Chem. Mater. 2007, 19, 3877–3881. [Google Scholar] [CrossRef]
- Priimagi, A.; Lindfors, K.; Kaivola, M.; Rochon, P. Efficient Surface-Relief Gratings in Hydrogen-Bonded Polymer-Azobenzene Complexes. Appl. Mater. Interfaces 2009, 1, 1183–1189. [Google Scholar] [CrossRef]
- Vapaavuori, J.; Priimagi, A.; Kaivola, M. Photoinduced surface-relief gratings in films of supramolecular polymer–bisazobenzene complexes. J. Mater. Chem. 2010, 20, 5260–5264. [Google Scholar] [CrossRef]
- Wang, X.; Vapaavuori, J.; Wang, X.; Georges Sabat, R.; Pellerin, C.; Geraldine Bazuin, C. Influence of Supramolecular Interaction Type on Photoresponsive Azopolymer Complexes: A Surface Relief Grating Formation Study. Macromolecules 2016, 49, 4923–4934. [Google Scholar] [CrossRef]
- Konieczkowska, J.; Kozanecka-Szmigiel, A.; Piecek, W.; Węgłowski, R.; Schab-Balcerzak, E. Azopolyimides—Influence of chemical structure on azochromophore photo-orientation efficiency. Polimery 2018, 63, 481–487. [Google Scholar] [CrossRef]
- Schab-Balcerzak, E.; Skorus, B.; MariolaSiwy, M.; Janeczek, H.; Sobolewska, A.; Konieczkowska, J.; Wiacek, M. Characterization of poly(amicacid)s and resulting polyimides bearing azobenzene moieties including investigations of thermal imidization kinetics and photoinduced anisotropy. Polym. Int. 2015, 64, 76–84. [Google Scholar] [CrossRef]
- Kozanecka-Szmigiel, A.; Hernik, A.; Rutkowska, K.; Konieczkowska, J.; Schab-Balcerzak, E.; Szmigiel, D. Surface Relief Modulated Grating in Azo Polymer—From the Tailoring of Diffraction Order to Reshaping of a Laser Beam. Materials 2022, 15, 8088. [Google Scholar] [CrossRef]
- Kozanecka-Szmigiel, A.; Antonowicz, J.; Szmigiel, D.; Makowski, M.; Siemion, A.; Konieczkowska, J.; Trzebicka, B.; Schab-Balcerzak, E. On stress strain responses and photoinduced properties of some azo polymers. Polymer 2018, 140, 117–121. [Google Scholar] [CrossRef]
- Bujak, K.; Nocoń, K.; Jankowski, A.; Wolińska-Grabczyk, A.; Schab-Balcerzak, E.; Janeczek, H.; Konieczkowska, J. Azopolymers with imide structures as light-switchable membranes in controlled gas separation. Eur. Polym. J. 2019, 118, 186–194. [Google Scholar] [CrossRef]
- Schab-Balcerzak, E.; Sobolewska, A.; Stumpe, J.; Hamryszak, L.; Bujak, P. Surface relief gratings in azobenzene supramolecular systems based on polyimides. Opt. Mater. 2012, 35, 155. [Google Scholar] [CrossRef]
- Schab-Balcerzak, E.; Konieczkowska, J.; Siwy, M.; Sobolewska, A.; Wojtowicz, M.; Wiacek, M. Comparative studies of polyimides with covalently bonded azo-dyes with their supramolecular analoges: Thermo-optical and photoinduced properties. Opt. Mater. 2014, 36, 892–902. [Google Scholar] [CrossRef]
- Schab-Balcerzak, E.; Flakus, H.; Jarczyk-Jedryka, A.; Konieczkowska, J.; Siwy, M.; Bujak, K.; Sobolewska, A.; Stumpe, J. Photochromic supramolecular azopolyimides based on hydrogen bonds. Opt. Mater. 2015, 47, 501–511. [Google Scholar] [CrossRef]
- Konieczkowska, J.; Bujak, K.; Nocoń, K.; Schab-Balcerzak, E. The large and stable photomechanical effect in the glassy guest-host azopolymers. Dyes Pigm. 2019, 171, 107659. [Google Scholar] [CrossRef]
- Bujak, K.; Orlikowska, H.; Sobolewska, A.; Schab-Balcerzak, E.; Janeczek, H.; Bartkiewicz, S.; Konieczkowska, J. Azobenzene vs. azopyridine and matrix molar masses effect on photoinduced phenomena. Eur. Polym. J. 2019, 115, 173–184. [Google Scholar] [CrossRef]
- Sava, I.; Stoica, I.; Topala, I.; Mihaila, I.; Barzic, A.I. Photodesign and fabrication of surface relief gratings on films of polyimide-based supramolecular systems obtained using host-guest strategy. Polymer 2022, 249, 124829. [Google Scholar] [CrossRef]
- Stoica, I.; Epure, E.L.; Barzic, A.I.; Mihaila, I.; Constantin, C.P.; Sava, I. The impact of the azo-chromophore sort on the features of the supramolecular azopolyimide films used as substrates for flexible electronic devices. Int. J. Mol. Sci. 2022, 23, 15223. [Google Scholar] [CrossRef]
- Stoica, I.; Barzic, A.I.; Ursu, C.; Stoian, G.; Hitruc, E.G.; Sava, I. Atomic force microscopy probing and analysis of polyimide supramolecular systems for sensor devices. Sensors 2023, 23, 4489. [Google Scholar] [CrossRef]
- Lin, J.; Su, J.; Weng, M.; Xu, W.; Huang, J.; Fan, T.; Liu, Y.; Min, Y. Applications of flexible polyimide: Barrier material, sensor material, and functional material. Soft Sci. 2023, 3, 2–53. [Google Scholar] [CrossRef]
- Liu, Y.; Zhou, Z.; Qu, L.; Zou, B.; Chen, Z.; Zhang, Y.; Liu, S.; Chi, Z.; Chen, X.; Xu, J. Exceptionally thermostable and soluble aromatic polyimides with special characteristics: Intrinsic ultralow dielectric constant, static random access memory behaviors, transparency and fluorescence. Mater. Chem. Front. 2017, 1, 326–337. [Google Scholar] [CrossRef]
- Tafreshi, O.A.; Ghaffari-Mosanenzadeh, S.; Karamikamkar, S.; Saadatnia, Z.; Kiddell, S.; Park, C.B.; Naguib, H.E. Novel, flexible, and transparent thin film polyimide aerogels with enhanced thermal insulation and high service temperature. J. Mater. Chem. C 2022, 10, 5088–5108. [Google Scholar] [CrossRef]
- Butnaru, I.; Constantin, C.P.; Asandulesa, M.; Wolińska-Grabczyk, A.; Jankowski, A.; Szeluga, U.; Damaceanu, M.D. Insights into molecular engineering of membranes based on fluorinated polyimide-polyamide miscible blends which do not obey the trade-off rule. Sep. Purif. Technol. 2020, 233, 116031. [Google Scholar] [CrossRef]
- Rajeh, A.; Morsi, M.; Elashmawi, I. Enhancement of spectroscopic, thermal, electrical and morphological properties of polyethylene oxide/carboxymethyl cellulose blends: Combined FT-IR/DFT. Vacuum 2019, 159, 430–440. [Google Scholar] [CrossRef]
- Morsia, M.A.; Rajehb, A.; Al-Muntaserc, A.A. Reinforcement of the optical, thermal and electrical properties of PEO based on MWCNTs/Au hybrid fillers: Nanodielectric materials for organoelectronic devices. Compos. Part B 2019, 173, 106957. [Google Scholar] [CrossRef]
- Fowkes, F.M. Attractive forces at interfaces. Ind. Eng. Chem. 1964, 56, 40–52. [Google Scholar] [CrossRef]
- Nixon, M.S.; Aguado, A.S. (Eds.) Chapter 3—Image processing. In Feature Extraction and Image Processing for Computer Vision, 4th ed.; Academic Press: Cambridge, MA, USA, 2020; pp. 83–139. ISBN 9780128149768. [Google Scholar] [CrossRef]
- Marukatat, S. Image enhancement using local intensity distribution equalization. EURASIP J. Image Video Process. 2015, 2015, 31. [Google Scholar] [CrossRef]
- Lisani, J.-L. An analysis and implementation of the shape preserving local histogram modification algorithm. Image Process. Line 2018, 8, 408–434. [Google Scholar] [CrossRef]
- Wang, B.; Eberhardt, W.; Kück, H. Plasma pre-treatment of liquid crystal polymer and subsequent metallization by PVD. Vacuum 2006, 81, 325–328. [Google Scholar] [CrossRef]
- Nečas, D.; Klapetek, P. Gwyddion: An open-source software for SPM data analysis. Cent. Eur. J. Phys. 2012, 10, 181–188. [Google Scholar] [CrossRef]
- Klapetek, P. Quantitative Data Processing in Scanning Probe Microscopy, SPM Applications for Nanometrology; Elsevier Inc.: Amsterdam, The Netherlands, 2013; ISBN 978-1-4557-3058-2. [Google Scholar] [CrossRef]
- Klapetek, P.; Valtr, M.; Nečas, D.; Salyk, O.; Dzik, P. Atomic force microscopy analysis of nanoparticles in non-ideal conditions. Nanoscale Res. Lett. 2011, 6, 514. [Google Scholar] [CrossRef] [PubMed]
Disclaimer/Publisher’s Note: The statements, opinions and data contained in all publications are solely those of the individual author(s) and contributor(s) and not of MDPI and/or the editor(s). MDPI and/or the editor(s) disclaim responsibility for any injury to people or property resulting from any ideas, methods, instructions or products referred to in the content. |
© 2023 by the authors. Licensee MDPI, Basel, Switzerland. This article is an open access article distributed under the terms and conditions of the Creative Commons Attribution (CC BY) license (https://creativecommons.org/licenses/by/4.0/).











