Investigation of the Cutting Fluid Incidence Angle Direction in Turning Grade 5 ELI Titanium Alloy under High-Pressure Cooling Conditions
Abstract
1. Introduction
2. Materials and Methods
3. Results and Discussion
4. Conclusions
- -
- The values of the components of the total cutting force depended linearly on the feed and did not significantly depend on the direction of feeding of the cutting fluid. The lowest cutting force values Fc were obtained for the feed f = 0.08 mm/rev. The angular direction of the cutting fluid feed caused a slight change in the cutting force Fc value, i.e., on average, of several percent.
- -
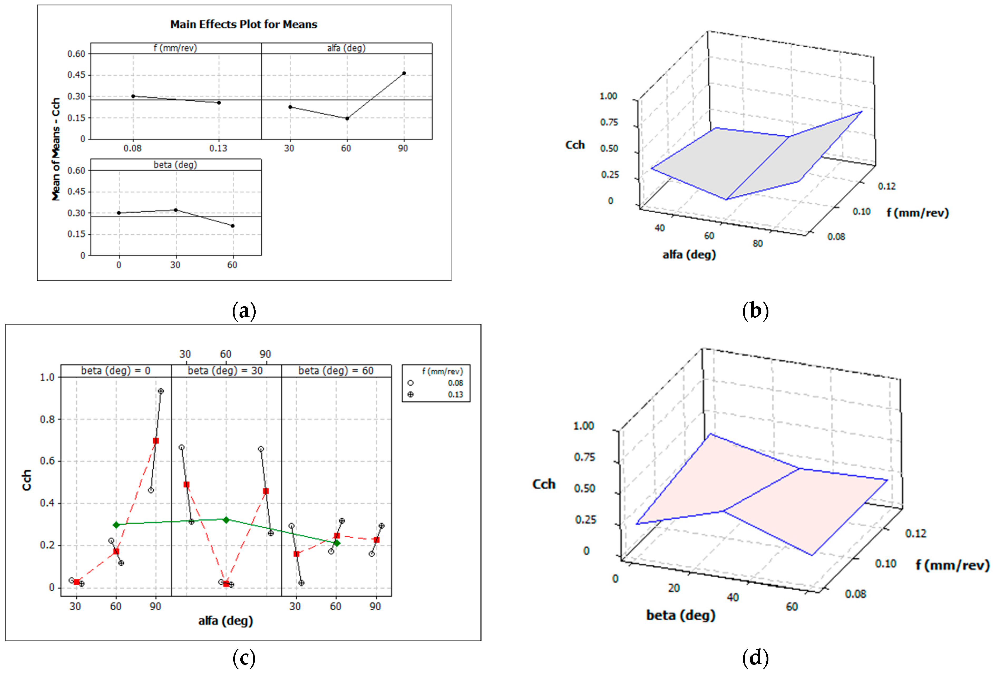
- The form of chips obtained (correct, acceptable, and unacceptable) depend on the range of feed values used and the angle of feeding of the cutting fluid to the cutting zone. The results indicate that the liquid feed angle does not have a significant effect on the value of the chip breaking coefficient and the low usefulness of the Taguchi method in finding the optimal nozzle setting. In practice, it seems to be a better solution to determine the working area of the chip breaker. Due to the form of the chips under the conditions assumed in the test, the optimal angular settings of the nozzle that fed the cutting liquid were α = 60° and β = 30°.
- -
- Under HPC machining conditions, the process of forming and breaking chips depends mainly on the feed value. The chip breaker mechanism can also be influenced by the shape and degree of filling of the chip breaker on the rake face. The direction and method of feeding of the cutting fluid support both the winding and the breaking of the chips. Cutting fluid fed with an elevated strait on the outside of the formed chip can initiate the cracking and breaking process of the formed chip. There is synergistic action among the factors affecting the obtained form of chips, i.e., the assumed values of the cutting parameters (in particular, the feed), the degree of filling of the shape of the chip groove, and the direction and pressure of the cutting fluid. The direction of the liquid can support the cracking process of the chip. The set liquid pressure supports the chip breaking process by changing the direction of the chip flow. This results in the correct chip breaking cycle. Determining the correct angular position of the cutting fluid nozzle can be important for designers and tool holder manufacturers. Users of the currently used solutions can only slightly adjust (position) the nozzle dosing the cutting liquid (e.g., Iscar holders).
Funding
Institutional Review Board Statement
Informed Consent Statement
Data Availability Statement
Conflicts of Interest
References
- Pramanik, A.; Littlefair, G. Machining of Titanium Alloy (Ti-6Al-4V)—Theory to Application. Mach. Sci. Technol. 2015, 19, 1–49. [Google Scholar] [CrossRef]
- Saini, A.; Pabla, B.S.; Dhami, S.S. Developments in cutting tool technology in improving machinability of Ti6Al4V alloy: A review. Proc. Inst. Mech. Eng. J. Eng. Manuf. 2016, 230, 1977–1989. [Google Scholar] [CrossRef]
- Arrazola, P.J.; Garaya, A.; Iriarte, L.M.; Armendia, M.; Marya, S.; Le Maître, F. Machinability of titanium alloys (Ti6Al4V and Ti555.3). J. Mater. Process. Technol. 2009, 209, 2223–2230. [Google Scholar] [CrossRef]
- Zębala, W.; Struzikiewicz, G.; Rumian, K. Cutting Forces and Tool Wear Investigation during Turning of Sintered Nickel-Cobalt Alloy with CBN Tools. Materials 2021, 14, 1623. [Google Scholar] [CrossRef]
- Liu, L.; Thangaraj, M.; Karmiris-Obratański, P.; Zhou, Y.; Annamalai, R.; Machnik, R.; Elsheikh, A.; Markopoulos, A.P. Optimization of Wire EDM Process Parameters on Cutting Inconel 718 Alloy with Zinc-Diffused Coating Brass Wire Electrode Using Taguchi-DEAR Technique. Coatings 2021, 12, 1612. [Google Scholar] [CrossRef]
- Froes, F.H.; Qian, M. Titanium in Medical and Dental Applications, 1st ed.; Woodhead Publishing: Sawston Cambridge, UK, 2018. [Google Scholar] [CrossRef]
- Kent, D.; Rashid, R.R.; Bermingham, M.; Attar, H.; Sun, S.; Dargusch, M. Insights into Machining of a Titanium Biomedical Alloy from Chip Microstructures. Metals 2018, 8, 710. [Google Scholar] [CrossRef]
- Festas, A.; Ramos, A.; Davim, J.P. Machining of titanium alloys for medical application—A review. Proc. Inst. Mech. Eng. J. Eng. Manuf. 2021, 236, 309–318. [Google Scholar] [CrossRef]
- Moaz, H.A.; Ansari, M.N.M.; Khidhir, B.A.; Bashir, M.; Oshkour, A.A. Simulation machining of titanium alloy (Ti-6Al-4V) based on the finite element modeling. J. Braz. Soc. Mech. Sci. Eng. 2014, 36, 315–324. [Google Scholar]
- Hosokawa, A.; Kosugi, K.; Ueda, T. Turning characteristics of titanium alloy Ti-6Al-4V with high-pressure cutting fluid. CIRP Ann. 2022, 71, 81–84. [Google Scholar] [CrossRef]
- Pimenov, D.Y.; Mia, M.; Gupta, M.K.; Machado, A.R.; Tomaz, I.V.; Sarikaya, M.; Wojciechowski, S.; Mikołajczyk, T.; Kapłonek, W. Improvement of machinability of Ti and its alloys using cooling-lubrication techniques: A review and future prospect. J. Mater. Res. Technol. 2021, 11, 719–753. [Google Scholar] [CrossRef]
- Kumari, S.; Shah, M.; Modi, Y.; Bandhu, D.; Zadafiya, K.; Abhishek, K.; Saxena, K.K.; Msomi, V.; Mohammed, K.A. Effect of Various Lubricating Strategies on Machining of Titanium Alloys: A State-of-the-Art Review. Coatings 2022, 12, 1178. [Google Scholar] [CrossRef]
- Liu, W.; Liu, Z. High-pressure coolant effect on the surface integrity of machining titanium alloy Ti-6Al-4V: A review. Mater. Res. Express 2018, 5, 032001. [Google Scholar] [CrossRef]
- Singh, J.; Gill, S.S.; Dogra, M.; Singh, R. A review on cutting fluids used in machining processes. Eng. Res. Express 2021, 3, 012002. [Google Scholar] [CrossRef]
- Khanna, N.; Agrawal, C.; Pimenov, D.Y.; Singla, A.K.; Machado, A.R.; da Silva, L.R.R.; Gupta, M.K.; Sarikaya, M.; Krolczyk, G.M. Review on design and development of cryogenic machining setups for heat resistant alloys and composites. J. Manuf. Process. 2021, 61, 398–422. [Google Scholar] [CrossRef]
- Shi, L.; Wang, T.; Liu, E.; Wang, R. Lubrication Mechanism of scCO2-MQL in the Assisted Machining of Titanium Alloys. Machines 2023, 11, 291. [Google Scholar] [CrossRef]
- Gao, Y.; Wang, G.; Liu, B. Chip formation characteristics in the machining of titanium alloys: A review. Int. J. Mach. Mach. Mater. 2016, 18, 155–184. [Google Scholar] [CrossRef]
- Palanisamy, S.; McDonald, S.D.; Dargush, M.S. Effects of coolant pressure on chip formation while turning Ti6AlV alloy. Int. J. Mach. Tools Manuf. 2009, 49, 739–743. [Google Scholar] [CrossRef]
- Ezugwu, E.O.; Bonney, J.; Da Silva, R.B.; Machado, A.R.; Ugwoha, E. High productivity rough turning of Ti-6Al-4V alloy with flood and high-pressure cooling. Soc. Tribol. Lubr. Eng. Tribol. Trans. 2009, 52, 95–400. [Google Scholar] [CrossRef]
- Stolf, P.; Paiva, J.M.; Ahmed, Y.S.; Endrino, J.L.; Goel, S.; Veldhuis, S.C. The role of high-pressure coolant in the wear characteristics of WC-Co tools during the cutting of Ti-6Al-4V. Wear 2019, 440–441, 203090. [Google Scholar] [CrossRef]
- Da Silva, R.B.; Machado, Á.R.; Ezugwu, E.O.; Bonney, J.; Sales, W.F. Tool life and wear mechanisms in high speed machining of Ti-6Al-4V alloy with PCD tools under various coolant pressures. J. Mater. Process. Technol. 2013, 213, 1459–1464. [Google Scholar] [CrossRef]
- Liang, X.; Liu, Z.; Liu, W.; Wang, B.; Yao, G. Surface integrity analysis for high-pressure jet assisted machined Ti-6Al-4V considering cooling pressures and injection positions. J. Manuf. Process. 2019, 40, 149–159. [Google Scholar] [CrossRef]
- Masek, P.; Maly, J.; Zeman, P.; Heinrich, P.; Alagan, N.T. Turning of titanium alloy with PCD tool and high-pressure cooling. J. Manuf. Process. 2022, 84, 871–885. [Google Scholar] [CrossRef]
- Grzesik, W.; Niesłony, P.; Habrat, W. Investigation of the tribological performance of AlTiN coated cutting tools in the machining of Ti6Al4V titanium alloy in terms of demanded tool life. Eksploat. I Niezawodn.—Maint. Reliab. 2019, 21, 153–158. [Google Scholar] [CrossRef]
- Çolak, O. Optimization of machining performance in high-pressure assisted turning of Ti6Al4V alloy. J. Mech. Eng. 2014, 60, 675–681. [Google Scholar] [CrossRef]
- Kluz, R.; Habrat, W.; Bucior, M.; Krupa, K.; Sęp, J. Multi-criteria optimization of the turning parameters of Ti-6Al-4V titanium alloy using the Response Surface Methodology. Eksploat. I Niezawodn.—Maint. Reliab. 2022, 24, 668–676. [Google Scholar] [CrossRef]
- Ren, Z.; Qu, S.; Zhang, Y.; Li, X.; Yang, C. Machining Performance of TiAlN-Coated Cemented Carbide Tools with Chip Groove in Machining Titanium Alloy Ti-6Al-0.6Cr-0.4Fe-0.4Si-0.01B. Metals 2018, 8, 850–866. [Google Scholar] [CrossRef]
- Wang, X.; Da, Z.J.; Balaji, A.K.; Jawahir, I.S. Performance-based predictive models and optimization methods for turning operations and applications: Part 3—Optimum cutting conditions and selection of cutting tools. J. Manuf. Process. 2007, 9, 61–74. [Google Scholar] [CrossRef]
- Mohd Hadzley, A.B.; Izamshah, R.; Siti Sarah, A.; Nurul Fatin, N. Finite Element Model of Machining with High Pressure Coolant for Ti-6Al-4V alloy. Procedia Eng. 2013, 53, 624–631. [Google Scholar] [CrossRef]
- Słodki, B.; Zębala, W.; Struzikiewicz, G. Turning titanium alloy, Grade 5 ELI, with the implementation of High Pressure Coolant. Materials 2019, 12, 768. [Google Scholar] [CrossRef]
- Sureban, R.; Kulkarni, V.N.; Gaitonde, V.N. Modern Optimization Techniques for Advanced Machining Processes—A Review. Mater. Today Proc. 2019, 18, 3034–3042. [Google Scholar] [CrossRef]
- Mitra, A. The Taguchi method. WIREs Comput. Stat. 2011, 3, 385–481. [Google Scholar] [CrossRef]
- Fei, J.; Jawahir, I.S. A new approach for chip-form characterization in metal machining. In Proceedings of the North American Manufacturing Research Conference, Evanston, IL, USA, 25–27 May 1994; pp. 11–17. [Google Scholar]
- Yılmaz, B.; Karabulut, S.; Güllü, A. A review of the chip breaking methods for continuous chips in turning. J. Manuf. Process. 2020, 49, 50–69. [Google Scholar] [CrossRef]
- Fang, X.D.; Fei, J.; Jawahir, I.S. A hybrid algorithm for predicting chip form/chip breakability in machining. Int. J. Mach. Tools Manuf. 1996, 36, 1093–1107. [Google Scholar] [CrossRef]
- Lee, Y.M.; Yang, S.H.; Chang, S.I. Assessment of chip-breaking characteristics using new chip-breaking index. J. Mater. Process. Technol. 2006, 173, 166–171. [Google Scholar] [CrossRef]







| Mechanical Properties | Chemical Composition (%) | ||
|---|---|---|---|
| Tensile Strength | 902 MPa | Al | 6.10 |
| Yield Strength 0.2% | 815 MPa | V | 4.13 |
| Elongation | 13% | Fe | 0.05 |
| Reduct. in Area | 49% | C | <0.01 |
| Hardness | 29 HRC | N | 0.01 |
| O | 0.10 | ||
| H | 0.003 | ||
| Ti | Remainder | ||
| Number | Coded Parameter | Real Parameter | Min | Value | Max |
|---|---|---|---|---|---|
| 1 | A | f (mm/rev) | 0.08 | 0.13 | |
| 2 | B | α (deg.) | 30 | 60 | 90 |
| 3 | C | β (deg.) | 0 | 30 | 60 |
| Number | A | B | C | f (mm/rev) | α (deg.) | β (deg.) |
|---|---|---|---|---|---|---|
| 1 | 1 | 1 | 1 | 0.08 | 30 | 0 |
| 2 | 1 | 1 | 2 | 0.08 | 30 | 30 |
| 3 | 1 | 1 | 3 | 0.08 | 30 | 60 |
| 4 | 1 | 2 | 1 | 0.08 | 60 | 0 |
| 5 | 1 | 2 | 2 | 0.08 | 60 | 30 |
| 6 | 1 | 2 | 3 | 0.08 | 60 | 60 |
| 7 | 1 | 3 | 1 | 0.08 | 90 | 0 |
| 8 | 1 | 3 | 2 | 0.08 | 90 | 30 |
| 9 | 1 | 3 | 3 | 0.13 | 90 | 60 |
| 10 | 2 | 1 | 1 | 0.13 | 30 | 0 |
| 11 | 2 | 1 | 2 | 0.13 | 30 | 30 |
| 12 | 2 | 1 | 3 | 0.13 | 30 | 60 |
| 13 | 2 | 2 | 1 | 0.13 | 60 | 0 |
| 14 | 2 | 2 | 2 | 0.13 | 60 | 30 |
| 15 | 2 | 2 | 3 | 0.13 | 60 | 60 |
| 16 | 2 | 3 | 1 | 0.13 | 90 | 0 |
| 17 | 2 | 3 | 2 | 0.13 | 90 | 30 |
| 18 | 2 | 3 | 3 | 0.13 | 90 | 60 |
| Group | Chip Shape | Dimension | Chip Index Characterisation |
|---|---|---|---|
| Arc/Bulky | ![]() | Wch (mm) | Cch (Wch,Hch) |
| Hch (mm) | |||
| Helical/Tubular | ![]() | Lch (mm) | Cch (Lch,Dch) |
| Dch (mm) |
| Number | A | B | C | f (mm/rev) | α (deg.) | β (deg.) | Fc_mean (N) | Fc_min (N) | Fc_max (N) | S/N_Fc | Cch_mean | Cch_min | Cch_max | S/N_Cch |
|---|---|---|---|---|---|---|---|---|---|---|---|---|---|---|
| 1 | 1 | 1 | 1 | 0.08 | 30 | 0 | 64.7 | 55 | 70 | −36.3 | 0.03 | 0.03 | 0.04 | 29.3 |
| 2 | 1 | 1 | 2 | 0.08 | 30 | 30 | 64.3 | 58 | 72 | −36.2 | 0.67 | 0.55 | 0.82 | 3.4 |
| 3 | 1 | 1 | 3 | 0.08 | 30 | 60 | 67.3 | 61 | 74 | −36.6 | 0.29 | 0.25 | 0.34 | 10.5 |
| 4 | 1 | 2 | 1 | 0.08 | 60 | 0 | 66.0 | 59 | 74 | −36.4 | 0.23 | 0.19 | 0.27 | 12.9 |
| 5 | 1 | 2 | 2 | 0.08 | 60 | 30 | 66.7 | 60 | 73 | −36.5 | 0.03 | 0.02 | 0.03 | 31.9 |
| 6 | 1 | 2 | 3 | 0.08 | 60 | 60 | 71.3 | 64 | 79 | −37.1 | 0.17 | 0.15 | 0.19 | 15.3 |
| 7 | 1 | 3 | 1 | 0.08 | 90 | 0 | 73.0 | 68 | 80 | −37.3 | 0.46 | 0.42 | 0.51 | 6.7 |
| 8 | 1 | 3 | 2 | 0.08 | 90 | 30 | 82.3 | 74 | 90 | −38.3 | 0.66 | 0.58 | 0.76 | 3.5 |
| 9 | 1 | 3 | 3 | 0.13 | 90 | 60 | 72.3 | 65 | 79 | −37.2 | 0.16 | 0.11 | 0.22 | 15.5 |
| 10 | 2 | 1 | 1 | 0.13 | 30 | 0 | 101.7 | 83 | 121 | −40.2 | 0.02 | 0.02 | 0.02 | 35.0 |
| 11 | 2 | 1 | 2 | 0.13 | 30 | 30 | 111.3 | 103 | 119 | −40.9 | 0.31 | 0.26 | 0.37 | 10.0 |
| 12 | 2 | 1 | 3 | 0.13 | 30 | 60 | 109.7 | 100 | 119 | −40.8 | 0.02 | 0.02 | 0.03 | 32.6 |
| 13 | 2 | 2 | 1 | 0.13 | 60 | 0 | 108.0 | 100 | 118 | −40.7 | 0.12 | 0.09 | 0.14 | 18.6 |
| 14 | 2 | 2 | 2 | 0.13 | 60 | 30 | 114.7 | 103 | 127 | −41.2 | 0.01 | 0.01 | 0.01 | 37.6 |
| 15 | 2 | 2 | 3 | 0.13 | 60 | 60 | 116.7 | 108 | 125 | −41.4 | 0.32 | 0.29 | 0.36 | 9.9 |
| 16 | 2 | 3 | 1 | 0.13 | 90 | 0 | 108.0 | 101 | 114 | −40.7 | 0.94 | 0.84 | 1.03 | 0.5 |
| 17 | 2 | 3 | 2 | 0.13 | 90 | 30 | 123.3 | 113 | 133 | −41.8 | 0.26 | 0.22 | 0.30 | 11.7 |
| 18 | 2 | 3 | 3 | 0.13 | 90 | 60 | 115.7 | 108 | 123 | −41.3 | 0.29 | 0.23 | 0.36 | 10.5 |
| Source | DF | Seq SS | Adj SS | Adj MS | F | P |
|---|---|---|---|---|---|---|
| f (mm/rev) | 1 | 8064.5 | 8064.5 | 8064.5 | 8064.5 | 0.000 |
| 8064.5 | 8064.5 | 8064.5 | 8064.5 | |||
| 8064.50 | 8064.50 | 8064.50 | 8064.50 | |||
| 595.19 | 595.19 | 595.19 | 595.19 | |||
| α (deg.) | 2 | 259.6 | 259.6 | 129.68 | 9.58 | 0.003 |
| 259.6 | 259.6 | 259.6 | 259.6 | 259.6 | ||
| 129.80 | 129.80 | 129.80 | 129.80 | 129.80 | ||
| 9.58 | 9.58 | 9.58 | 9.58 | 9.58 | ||
| 0.003 | 0.003 | 0.003 | 0.003 | 0.003 | ||
| β (deg.) | 3 | 155.8 | 155.8 | 77.91 | 5.75 | 0.018 |
| 155.8 | 155.8 | 155.8 | 155.8 | 155.8 | ||
| 77.91 | 77.91 | 77.91 | 77.91 | 77.91 | ||
| 5.75 | 5.75 | 5.75 | 5.75 | 5.75 | ||
| 0.018 | 0.018 | 0.018 | 0.018 | 0.018 | ||
| Residual Error | 12 | 162.6 | 162.6 | 13.55 | ||
| Total | 17 | 8642.5 | ||||
| Regression Equation | Fc(f,α,β) = −9.87 + 847·f + 0.155·α + 0.088·β; R-Sq = 97.3%, R-Sq(adj) = 96.7% | |||||
| Source | DF | Seq SS | Adj SS | Adj MS | F | P |
|---|---|---|---|---|---|---|
| Regression | 8 | 0.6309 | 0.6309 | 0.0789 | 1.36 | 0.326 |
| Linear | 3 | 0.2015 | 0.2015 | 0.0672 | 1.16 | 0.377 |
| f | 3 | 0.0095 | 0.0095 | 0.0095 | 0.16 | 0.695 |
| α | 1 | 0.1687 | 0.1687 | 0.1687 | 2.91 | 0.122 |
| β | 1 | 0.0232 | 0.0232 | 0.0232 | 0.40 | 0.542 |
| Square | 2 | 0.1769 | 0.1769 | 0.0885 | 1.53 | 0.268 |
| α | 1 | 0.1582 | 0.1582 | 0.1582 | 2.73 | 0.133 |
| β | 1 | 0.0187 | 0.0187 | 0.0187 | 0.32 | 0.584 |
| Interaction | 3 | 0.2525 | 0.2525 | 0.0842 | 1.45 | 0.291 |
| f α | 1 | 0.0603 | 0.0603 | 0.0603 | 1.04 | 0.334 |
| f β | 1 | 0.0095 | 0.0095 | 0.0095 | 0.16 | 0.695 |
| α β | 1 | 0.1827 | 0.1827 | 0.1827 | 3.16 | 0.109 |
| Residual Error | 9 | 0.5211 | 0.5211 | 0.0579 | ||
| Total | 17 | 1.1519 | ||||
| Regression Equation | Cch(f,α,β) = 0.9957 − 5461·f − 0.02745·α + 0.171·β + 0.0002·α2 − 7.6·10−5·β2 + 0.0945·f·α − 0.0375·f·β − 1.68·10−4·α·β R-Sq = 54.8%, R-Sq(adj) = 14.6% | |||||
| f = 0.08 mm/rev | f = 0.13 mm/rev | |||||
|---|---|---|---|---|---|---|
| β = 0° | β = 30° | β = 60° | β = 0° | β = 30° | β = 60° | |
| α = 30° | + | − | − | + | − | + |
| α = 60° | − | + | 0 | 0 | + | − |
| α = 90° | − | − | 0 | − | − | − |
| Material Constants | Mechanical and Thermal Coefficients | ||
|---|---|---|---|
| A | 997.9 MPa | Thermal Conductivity | 6.6 W/m·°C |
| B | 653.1 MPa | Heat Capacity | 526 J/Kg·°C |
| n | 0.45 | Density | 4430 Kg/m3 |
| C | 0.0198 | Young’s Modulus | 1.1 × 1011 Pa |
| m | 0.7 | Poisson’s Ratio | 0.31 |
| Tmelt | 1277 °C | ||
Disclaimer/Publisher’s Note: The statements, opinions and data contained in all publications are solely those of the individual author(s) and contributor(s) and not of MDPI and/or the editor(s). MDPI and/or the editor(s) disclaim responsibility for any injury to people or property resulting from any ideas, methods, instructions or products referred to in the content. |
© 2023 by the author. Licensee MDPI, Basel, Switzerland. This article is an open access article distributed under the terms and conditions of the Creative Commons Attribution (CC BY) license (https://creativecommons.org/licenses/by/4.0/).
Share and Cite
Struzikiewicz, G. Investigation of the Cutting Fluid Incidence Angle Direction in Turning Grade 5 ELI Titanium Alloy under High-Pressure Cooling Conditions. Materials 2023, 16, 5371. https://doi.org/10.3390/ma16155371
Struzikiewicz G. Investigation of the Cutting Fluid Incidence Angle Direction in Turning Grade 5 ELI Titanium Alloy under High-Pressure Cooling Conditions. Materials. 2023; 16(15):5371. https://doi.org/10.3390/ma16155371
Chicago/Turabian StyleStruzikiewicz, Grzegorz. 2023. "Investigation of the Cutting Fluid Incidence Angle Direction in Turning Grade 5 ELI Titanium Alloy under High-Pressure Cooling Conditions" Materials 16, no. 15: 5371. https://doi.org/10.3390/ma16155371
APA StyleStruzikiewicz, G. (2023). Investigation of the Cutting Fluid Incidence Angle Direction in Turning Grade 5 ELI Titanium Alloy under High-Pressure Cooling Conditions. Materials, 16(15), 5371. https://doi.org/10.3390/ma16155371


