Abstract
Results of studying the properties of composite fluoropolymer-containing coatings formed by the cold spray (CS) method on the surface of constructional steel are presented. Different ways of protective coating formation are proposed. The composition of coatings was studied using SEM/EDX analysis. The incorporation of super-dispersed polytetrafluoroethylene (SPTFE) into the coating increases the corrosion resistance of the copper-zinc-based cold-sprayed coating. Analysis of the electrochemical properties obtained using EIS (electrochemical impedance spectroscopy) and PDP (potentiodynamic polarization) indicates that samples treated with SPTFE on a base copper-zinc coating showed lower corrosion current density and higher impedance modulus (jc = 8.5 × 10−7 A cm−2, |Z|f=0.1 Hz = 5.3 × 104 Ω∙cm2) than the specimen with cold-sprayed SPTFE (jc = 6.1 × 10−6 A cm−2, |Z|f=0.1 Hz = 8.1 × 103 Ω∙cm2). The best anticorrosion properties were revealed for the sample with a cold-sprayed base Cu-Zn layer annealed at 500 °C for 1 h, followed by SPTFE friction treatment and re-annealed at 350 °C for 1 h. The corrosion current density jc of such a coating is 25 times lower than that for the base Cu-Zn coating. The antifriction properties and hydrophobicity of the formed layers are described. Obtained results indicate that cold-sprayed polymer-containing coatings effectively improve the corrosion and wear resistivity of the treated material.
1. Introduction
The good mechanical properties of mild steel have promoted its widespread use over the past few decades. The application of this type of steel has greatly contributed to the development of society due to its combination of good mechanical properties and low cost [1,2]. It is well known that the scope of low-alloy steel as one of the main structural materials largely depends on its mechanical properties [3].
However, the problem of corrosion failure of steel structures is still relevant. The industry constantly suffers significant losses as a result of corrosion, including degradation processes in reinforced concrete products [4]. The corrosion process affects the strength of the material and, accordingly, structures made from it, and products of degradation can cause failure of electrical equipment, plumbing, and heating systems [5]. In addition, there are indirect losses associated with the negative impact of corrosion products on the environment and a threat to safety [6].
Steel structures are actively used in all areas: railway communication, construction of buildings and structures, water supply, heat supply, and so on. A distinctive feature of steel is that it is often used in aggressive operating conditions (acid gases, aerosols of solutions of inorganic salts, dirt particles, temperature drops, UV radiation, static and dynamic loads [7,8,9]).
Currently, there are several ways to protect steel against corrosion, including the following: metal alloying with elements that are more resistant to participation in redox reactions (chromium, vanadium, nickel, manganese, and others); applying a protective coating; and change in the chemical composition of the environment. There are a number of works [10,11,12] related to the use of corrosion inhibitors in aggressive environments. For example, in [10] it was shown that the use of a “green” corrosion inhibitor made from the leaves of Mangifera indica L. in small quantities promotes the formation of a stable protective layer on the surface of steel, preventing the further process of metal degradation. In the work [12], the authors have shown a high efficiency of inhibitors (thiocarbohydrazide functionalized glucose derivatives) for carbon steel protection in simulated oilfield water.
However, the most rational, effective, and inexpensive method of protection is the application of coatings [13,14,15,16,17,18,19,20,21,22,23,24,25,26,27,28,29]. It is possible to use a paintwork material [13,19,30] (including those with additives of nanoparticles [25,31,32,33,34,35,36,37,38] and inhibitors [13,14,20,39,40,41,42,43,44,45,46,47]) and zinc coating to protect the material against its intensive destruction [48]. There is also a plasma electrolytic oxidation (PEO) method that allows one to create dense heterooxide coatings on valve metals (for example, Al, Mg, Ti, Nb, etc.) [49,50,51,52,53,54,55,56,57]. Unfortunately, this method is not practically applicable to steel due to the feature of the PEO process and the particulars of iron oxides. In this regard, another promising method proposed for applying a protective coating to steel is the cold spray (CS) [58,59,60].
Cold spray is a technology used to form, on the material surface, functional coatings with different thicknesses (10–100 μm) of various substances, mainly metals or composites [15,61]. This is a solid-state processing method in which micron-sized particles are accelerated (up to supersonic speeds) towards the substrate at relatively low temperatures (up to 600 K) [62]. When accelerating to supersonic speeds, the particles acquire high kinetic energy, and upon collision with the treated surface, both the particles and the substrate are deformed with the formation of a strong chemical and mechanical bond between the sprayed particles and the substrate [59]. Powder melting does not occur in this method. In contrast to the thermal spray method [63] and beam (laser or electronic) deposition methods, in the CS, the particles remain in a solid state (at least for the vast majority of metallic materials) throughout the entire process [64]. Due to the application of low temperatures, the coating obtained by the CS method has unique properties [15,61,65,66]. The microstructure and properties of the original powders are preserved, which avoids the formation of oxides or any other unfavorable structural changes, which increases the durability and effectiveness of the coatings. The adhesion of the substrate to the coating and the integrity of the protective layer are related to the plastic deformation of the particles upon impact. Coating adhesion can occur in the solid state of the deposited components without significant damage to the substrate, even for heat-sensitive materials. Although CS was originally used to deposit metals, it is also currently used to deposit polymers or ceramics [15,67]. Another way to enhance the mechanical and corrosion behavior of a wide range of steels is application of the cold spray technique with friction stir processing technology. The combination of these methods helps to improve the microstructure of the material by decreasing its porosity and number of voids [68,69,70].
The application of fluoropolymer materials as a coating component is found in [71,72,73]. In the work [71], fluoropolymer was incorporated into the pores of PEO coating on aluminum alloy. The formed layer effectively protected the material against corrosion. The use of super-dispersed polytetrafluoroethylene (SPTFE) is justified by the uniqueness of this material, which has a greater adhesion to the surface as compared to PTFE. SPTFE is characterized by a high content of the low molecular weight fraction of the fluoropolymer. This fluoropolymer was chosen because it provides hydrophobicity to the surface, which helps to reduce the intensity of the corrosion processes. In our previous work related to the formation of a composite PEO coating with fluoropolymer, the bonding strength of SPTFE to the substrate was studied [73]. It was revealed that for composite coatings, values of LC2 (the load at which the coating adhesion strength alteration began) are close to those of LC3 (the load at which scratching the coating down to the substrate occurred (plastic abrasion of the film to the metal)), which indicates a sufficient bonding strength of SPTFE to the substrate. In this work, SPTFE was applied to the metal surface using the cold spray technique for the first time.
In this article, the new composite polymer-containing coating consisting of metal matrix that was treated with polymer material was formed. A comparative analysis of the obtained copper-zinc and fluoropolymer protective coatings, formed by the cold spray technique, is carried out to protect mild steel St3. The morphological, electrochemical, and tribological characteristics of the coatings were studied. The effect of the application method (friction method or cold spray) of super-dispersed polytetrafluoroethylene (SPTFE) on the properties of the resulting protective coatings was also investigated. To the best of our knowledge, in the other studies that have dealt with the formation of cold-sprayed coatings, one can find only the results of mechanical tests [74,75,76,77]. Therefore, the data presented in the manuscript should help in improving the process of formation, the protective properties, and the efficiency of the CS composite layers.
Moreover, the problem of effective anticorrosion and antifriction protection of structural steel has not been completely solved yet in the world. The information presented in this work helps to improve the performance characteristics of the material, as well as to increase the efficiency of its application.
2. Materials and Methods
2.1. Preparing Samples
To study the morphological and electrochemical characteristics of the coatings, samples of St3 structural carbon steel (elemental composition in Table 1) with dimensions of 50 mm × 50 mm × 3 mm were prepared. Corundum powder grade K-00-04-02 (DIMET®) (powder particle size 200–250 µm) was used for cleaning and jet-abrasive preparation of the sample surface for metal coating. Powder grade C-01-11 (DIMET®) (powder particle size 5–50 µm) was used to apply a copper-zinc coating. The composition of the powder was as follows (wt. %): copper—38.3, zinc—28.6, corundum—33.1. The polymer layer was applied using a super-dispersed polytetrafluoroethylene powder (SPTFE, trademark FORUM®).
Table 1.
Elemental composition of St3 steel.
The procedure for obtaining coatings is presented in Figure 1, where S is a sample of bare St3 steel without coating; S-FCS—sample S with SPTFE applied by cold spray; SC—St3 steel sample with cold-sprayed base copper-zinc coating; SC-FF—friction-treated with SPTFE sample SC; SC-FCS—sample SC with SPTFE applied by cold spray; SC-500—SC sample annealed at 500 °C for 1 h; SC-500-FF—friction treated with SPTFE sample SC-500; SC-500-FF-350—sample SC-500-FF re-annealed at 350 °C for 1 h. Information about the types of sample treatment is summarized in Table 2.
Figure 1.
Scheme of sample preparation: CS—cold spray; FM—friction treatment; C-01-11—copper and zinc powder (DIMET®); SPTFE—super-dispersed polytetrafluoroethylene (FORUM®). Designation of samples is given in the text and Table 2.
Table 2.
Designation of the sample with different coatings formed on St3 steel.
The deposition of materials by the CS method was carried out using DIMET® equipment, as shown in Figure 2, using compressed air at a pressure of 5 bar, without preheating. Round nozzle with a diameter of 5 mm was used. The distance from the nozzle to the substrate surface was equal to ~4 cm. The nozzle was moved relative to the substrate at a speed of ~1 cm/s. To apply SPTFE by the friction method, a plastic brush with PVC bristles ~200 µm in diameter was used. Thermal treatment of the samples was carried out in a muffle furnace L 9/13/B180 (Nabertherm, Lilienthal, Germany).
Figure 2.
Scheme of the cold spray DIMET® equipment.
The thickness of the formed coatings was controlled using a model 908.750 micrometer (Schut Geometrical Metrology, Groningen, Germany). Weight control of the samples was performed using an analytical balance AUW120D (Shimadzu, Kyoto, Japan).
2.2. Analysis of Coatings
The surface morphology of the samples was studied using an EVO 40 scanning electron microscope (Carl Zeiss, Jena, Germany) equipped with an INCA X-act instrument module (Oxford Instruments, Oxford, UK) for elemental analysis by means of energy-dispersive X-ray spectroscopy (EDX).
Electrochemical studies were carried out using potentiodynamic polarization and electrochemical impedance spectroscopy using a Modulab XM MTS electrochemical system (Solartron Analytical, Oak Ridge, TN, USA). The tests were carried out at room temperature in a three-electrode cell in a 3.5 wt. % NaCl solution. The area of the investigated surface was 1 cm2. The platinized niobium mesh served as a counter electrode, and the silver chloride (Ag/AgCl) electrode (potential versus a normal hydrogen electrode is equal to 0.197 V) served as a reference electrode. Before electrochemical measurements, the samples were kept in the electrolyte for 15 min to stabilize the electrode potential. The frequency value during electrochemical impedance spectroscopy varied in the range from 100 kHz to 10 mHz with a logarithmic sweep of 10 points per decade. Potentiodynamic measurements were carried out at a sweep rate of 1 mV/s. The sample was polarized in the anodic direction in the potential range from Ec − 0.2 V up to Ec + 0.7 V. The corrosion potential, Ec, and the corrosion current density, jc, were determined from the intersection of the extrapolated anodic and cathodic Tafel segments of the polarization curve. The polarization resistance (Rp) was calculated in a separate experiment using a linear polarization resistance test in accordance with Equation (1) [78]. The specimens were polarized from (Ec − 0.02) V to (Ec + 0.02) V. The scan rate was equal to 0.167 mV s−1.
Rp = ∆E/∆I
The tribological properties of composite coatings were studied on a Tribometer TRB-S-DE (CSM Instruments, Peseux, Switzerland) (rotation mode with a sliding speed of 50 mm/s and a normal load of 15 N). The 10 mm corundum ball (α-Al2O3) was used as a counterbody. The wear track diameter was equal to 10 mm. To estimate the wear, the profiles were studied after the tests, using a Surtronic 25 profilometer (Taylor Hobson, Leicester, UK). The wear (P, mm3/(N × m)) was estimated using Equation (2):
where ∆V is the sample volume loss during the test, N is the distance, and F is the applied normal load. The sample volume loss was calculated according to ∆V = S∙l, where l is the length of the track, and S is the area of the cross-section.
P = ∆V/NF,
The wettability of the formed coatings was studied by the sessile drop method on a DSA100 drop shape analyzer (KRÜSS, Hamburg, Germany). The latter comprises an optical contact angle (CA) technique. This technique is used to estimate the wetting properties of the localized area on a solid surface. According to this method, the angle between the baseline of the drop and the tangent at the three-phase boundary was measured. The test liquid was distilled water. The volume of the drop was 10 μL. For calculations of CA, the Young–Laplace method, taking into account the gravitational distortions of liquid drop form, was used. At least five measurements were carried out to obtain contact angle values.
The scheme of the performed tests is shown in Figure 3.
Figure 3.
Scheme of the used analysis of samples.
3. Results and Discussion
3.1. Morphology Analysis
The appearance of the test samples is shown in Figure 4. The morphologies of the various coatings formed using the CS method are depicted in Figure 5. The coating with a rough surface was formed by applying a copper-zinc powder by cold spray on a steel substrate (Figure 5, SC). EDX maps of the element distribution of the SC sample showed a uniform distribution of copper and zinc (as the main components of the cold-sprayed material) in the coating structure. Oxygen is also present on the surface, which is associated with partial oxidation of the powder. In some regions, the presence of iron (the main component of steel) is visible. This is related to a feature of the cold spray process where partial erosion of the substrate surface occurs to fix the powder particles, and not to the incomplete filling of the sample surface with copper and zinc powder. Inclusions of aluminum oxide were determined (this component is present in powder C-01-11). The coating thickness was about 30–40 µm.
Figure 4.
Images of the samples under study.
Figure 5.
SEM images of the surfaces of coatings formed on St3 steel samples and element distribution maps of SC and SC-FCS samples.
After heat treatment at 500 °C for 1 h, the oxide microstructure in the form of needle-shaped crystallites is formed on the coating (Figure 5, SC-500). The formation of such a structure significantly increases the surface roughness compared to the base SC coating. This morphological feature indicates the possibility of further functionalization of the coating, which will change the properties of the surface layer.
SEM images of the surface of SC-FF and SC-500-FF samples obtained after SPTFE friction treatment of SC and SC-500, respectively, are shown in Figure 4. Dark areas of the specimen correspond to the zones containing SPTFE, and light areas to the base copper-zinc coating. An analysis of the results indicates a higher continuity of the SPTFE layer on the surface of the SC-500-FF sample compared to SC-FF, which is a consequence of the positive effect of the temperature treatment of the SC sample on the surface modification with the polymer.
Further heat treatment of the SC-500-FF sample at 350 °C results in the removal of the volatile SPTFE fraction, which can cause a change in the protective properties of the formed layer.
It should be noted that the cold spray of SPTFE (Figure 5, SC-FCS, S-FCS) significantly covers the metal surface compared to the friction method of applying the polymer (Figure 5, SC-FF). Maps of the element distribution of the SC-FCS sample (Figure 5, SC-FCS) showed a copper-zinc site and SPTFE site on the surface. This indicates the functionalization of the copper-zinc base coating with fluoropolymer powder.
The SEM image of the cross-section and maps of the element distribution of the sample SC-500 are presented in Figure 6. The SEM image shows that the surface layer is represented by needle-shaped crystallites. The coating is dense, and the particles of copper and zinc are evenly distributed in the coating. There are also particles of corundum in the coating composition. An oxide layer was formed on the surface of the coating, as evidenced by the distribution of oxygen.
Figure 6.
SEM image of the cross-section and EDX element distribution maps of SC-500 sample.
3.2. Electrochemical Properties
3.2.1. Electrochemical Impedance Spectroscopy Studies
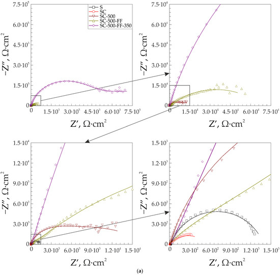
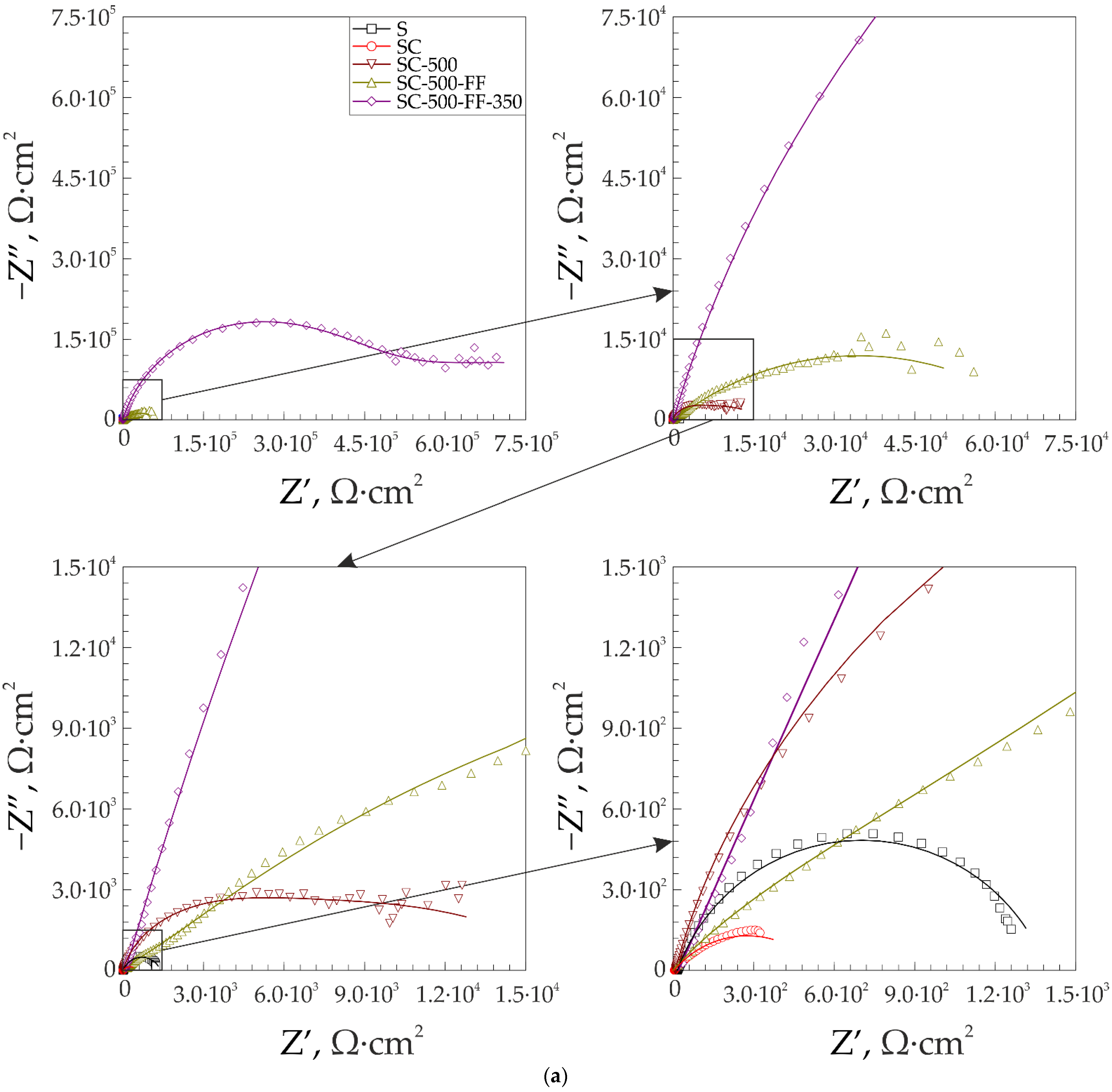
The results of the impedance spectroscopy are shown in Figure 7 and Figure 8. The spectra of samples S and SC are described by an equivalent electrical circuit (EEC) using a single R-CPE element (Figure 9a). The spectra of samples SC-500, SC-500-FF, SC-500-FF-350, SC-FCS, SC-FF, and S-FCS are described by an equivalent electrical circuit using two series-parallel connected R-CPE chains (Figure 9b). The calculated parameters of all EEC elements are presented in Table 3. Samples S and SC (R1-CPE1) correspond to a layer of natural oxide film on the steel surface (sample S) and a layer of copper-zinc coating (sample SC). After annealing the SC sample at 500 °C for 1 h, an oxide layer is formed on the surface of the coating (Figure 5, SEM image of SC-500). To describe the impedance spectrum of this sample, two series-parallel connected R-CPE elements were used, where R1-CPE1 corresponds to the oxide layer of the copper-zinc coating, and R2-CPE2 describes the base Cu-Zn coating.

Figure 7.
Nyquist (a) and Bode plots (b,c) for the samples at various stages of processing.

Figure 8.
Nyquist (a) and Bode plots (b,c) for the samples with the different means of SPTFE deposition.
Figure 9.
Equivalent electrical circuits used to fit the experimental impedance spectra of coatings S and SC (a) and SC-500, SC-500-FF, SC-500-FF-350, SC-FCS, SC-FF, and S-FCS (b).
Table 3.
Calculated EEC element parameters for samples with different coatings.
It should be noted that all spectra of samples with different SPTFE deposition can be described by an EEC consisting of two series-parallel connected R-CPE chains, where R1-CPE1 corresponds to the part of the coating containing SPTFE layer, and R2-CPE2 describes the other part of the coating without polymer. For example, to describe the spectrum of sample SC-500-FF, two series-parallel connected R-CPE chains were used, where R1-CPE1 corresponds to the outer part of the coating that is mostly covered with SPTFE, and R2-CPE2 describes the inner part of the protective layer. A similar description of the spectrum is proposed for SC-500-FF-350, since the difference from the previous sample lies in the partial evaporation and melting of SPTFE and, accordingly, its deep impregnation due to heat treatment. Table 3 includes R1, R2 and CPE1, CPE2 (n and Q are the exponential coefficient and CPE constant, respectively), which describe the resistive and capacitive character of the abovementioned layer, respectively. Rs is the solution resistance, and χ2 is chi-square value.
According to electrochemical impedance spectroscopy data, thermal treatment of the sample at 500 °C (SC-500 sample) forms an additional barrier layer on the surface. The impedance modulus at a frequency of 0.1 Hz increased nine times compared to the SC sample (|Z|f=0.1 Hz = 1.17 × 103 Ω∙cm2 for the SC sample and |Z|f=0.1 Hz = 1.05 × 104 Ω∙cm2 for the SC-500 sample).
Further modification of the coating using SPTFE treatment increases its protective properties without changes in the equivalent electrical circuit. This is due to the fixation of SPTFE at the microdefect sites in the coating (Figure 5, SC-500 and SC-500-FF). Samples with SC-500-FF and SC-FF coating have comparable values of the impedance modulus at the lowest frequency, |Z|f=0.1 Hz, namely 5.33 × 104 Ω∙cm2 and 4.25 × 104 Ω∙cm2, respectively, which indicates similar characteristics of the protective properties of these layers and a higher corrosion resistance of the SC-FF coating as compared to the SC-500 (|Z|f=0.1 Hz = 1.05 × 104 Ω∙cm2). Further heat treatment of the sample SC-500-FF at 350 °C (SC-500-FF-350) improves the protective properties of the resulting coating, due to the SPTFE partial melting and penetration to the inner part of surface layer that provides the closing defects with polymer (|Z|f=0.1 Hz = 8.49 × 104 Ω∙cm2). Deposition of SPTFE on bare steel by cold spray showed lower impedance modulus at a frequency of 0.1 Hz than on steel with copper-zinc coating (|Z|f=0.1 Hz = 3.41 × 103 Ω∙cm2 for the S-FCS sample and |Z|f=0.1 Hz =8.14 × 103 Ω∙cm2 for the SC-FCS sample). The impedance modulus measured at 0.1 Hz for all coatings, depending on the St3 surface treatment, is shown in Figure 10. The analysis of the calculated parameters of the EEC elements showed the changes in the surface morphology (changing the thickness and integrity of the protective layer according to Q1 and Q2 evolution) and the resistance of the formed coatings due to the cold spray, oxide layer formation, and polymer treatment (Table 3).
Figure 10.
Evolution of impedance modulus measured at a frequency of 0.1 Hz for sample with different coatings.
3.2.2. Potentiodynamic Polarization Measurements
The shift of the corrosion potential to the more negative value for the sample SC as compared to sample S from −436.8 mV to −946.1 mV (Table 4) was established. This is due to the presence of zinc in the composition of the coating. Zn, as a more electrochemically active metal, will play the role of protector and the first of the coating components to corrode, protecting the substrate material and structure as a whole. Therefore, there is also a slight decrease in the corrosion current density from 14.2 µA∙cm−2 for sample S to 11.5 µA∙cm−2 for sample SC (Figure 11). Further surface treatment (thermal action and formation of a SPTFE layer) contributes to an increase in the corrosion potential value to –203.5 mV and a decrease in the corrosion current density down to 0.85 µA∙cm−2 (Figure 11a, SC-500-FF). Thermal treatment of SC-500-FF at 350 °C improved the corrosion resistance of the coating: the corrosion current decreased down to 0.52 µA∙cm−2.
Table 4.
Calculated Tafel parameters for samples with different coatings.
Figure 11.
Polarization curves for the samples at various stages of processing (a) and for the samples at different types of SPTFE deposition (b).
Cold spray treatment using SPTFE of the base copper-zinc coating and bare steel changes the corrosion potential to the more noble value and reduces the corrosion current by an order of magnitude (Figure 11b).
3.3. Tribological Properties
Tribological tests of the investigated samples (Figure 12, Table 5) revealed some differences in the behavior of coatings obtained by various methods. The moment of the coating abrasion to the metal is marked with an arrow. Sample S withstood 2.0∙102 cycles until the maximum value of the coefficient of friction was reached (μ = 0.77); the surface was protected by a natural oxide film. Copper-zinc coating (SC sample) withstood 1.2 × 103 rotation cycles until μ = 0.72. However, after heat treatment, this coating could only withstand 6.6 × 102 cycles, which was associated with diffusion and chemical processes occurring in the coating during heat treatment. Treatment using the SPTFE friction method increased abrasion resistance up to 1.2 × 104 cycles. Post heat treatment decreased the amount of SPTFE in the coating and, therefore, the number of cycles also decreased down to 8.7 × 103.
Figure 12.
The results of tribological tests (dependence of friction coefficient on number of cycles) for the samples at various stages of processing (a,b) and at different types of SPTFE deposition (c). Samples S and SC are shown for comparison.
Table 5.
Tribological tests of the specimens with different types of coatings.
Samples with the SPTFE layer coated on the surface of copper-zinc using both the friction method and cold spray method show approximately the same number of cycles up to coating wear: 4.4 × 103 and 5.4 × 103, respectively. The maximum number of rotation cycles withstood by a sample was that of bare steel with SPTFE coated by the cold spray method.
3.4. Wettability of Coatings
Analysis of the wettability data indicates that all coatings are hydrophobic (Table 6). However, the hydrophobicity of the specimens is not only a result of the chemical nature of SPTFE. Comparing the contact angles for the SC-FF and SC-FCS samples enables one to conclude that the developed relief of the surface is a very important factor for hydrophobicity, since SPTFE coated by friction deposition forms a smooth layer on the surface, while polymer particles deposited by cold spray remain on the surface in their original form and provide more convoluted relief. Perhaps, the higher contact angle for SC-FCS caused the multimodal roughness of this sample (this specimen has the highest measured value of Ra—arithmetical mean deviation of the profile). The contact angle of SC-500 is similar to that of S-FCS. However, the microlevel roughness described by the parameter of Ra cannot completely reveal the reason for the wettability change (Table 6). The multimodal roughness includes the microscale and nanoscale morphology features of the surface. Therefore, the evolution of the contact angle is a result of the nanoscale roughness effect of the investigated surface.
Table 6.
Wettability and roughness parameters of the specimens with different types of coatings.
3.5. Mechanism of the Protective Effect of the Composite Coating
Protective layer formation using the cold spray technique makes it possible to preserve the original qualitative composition of the sprayed powder in the coating. The formed CS coating showed good wear resistance (sample SC, 1.2 × 103 cycles), which was 10 times higher than unprotected steel (sample S, 2.0 × 102 cycles). Undoubtedly, SPTFE plays a significant role in the formation of more stable and corrosion-resistant coating (impedance modulus at a frequency of 0.1 Hz for SC-500-FF-350 |Z|f=0.1 Hz = 8.49 × 104 Ω∙cm2, increased by 73 times as compared to SC sample |Z|f=0.1 Hz = 1.17 × 103 Ω∙cm2). It was established that base copper-zinc coating, due to the developed surface, makes it easier for SPTFE particles to attach to the surface. SPTFE also increases the wear resistance of protective coating (sample SC-500-FF, 1.2 × 104 cycles).
Despite the good electrochemical properties of some coatings, their wear resistance indicates the limited application of such coatings. Summarized information regarding the corrosion properties and wear resistance of the formed coatings is presented in Table 7. Two of the best coatings are: SC-500-FF-350 (S with cold-sprayed base copper-zinc coating annealed at 500 °C for 1 h with friction treated with SPTFE re-annealed at 350 °C for 1 h) and S-FCS (S with SPTFE applied by cold spray).
Table 7.
Results of various coating tests (where 1—the best, 7—the worst; the smaller the number, the better protective properties). Estimated parameter for columns: EIS—the impedance modulus at a frequency of 0.1 Hz, PDP—the corrosion current density, wear—the number of cycles to the coating wear, wettability—the contact angle, total—summarized score (the smaller the score, the better protective properties). The samples with the best protective coatings are marked with green color.
In accordance with the obtained data, the following scheme (Figure 13) was proposed for the description of the protective effect of the coating containing SPTFE applied by cold spray. SPTFE creates a barrier layer that prevents the penetration of water with aggressive ions to the deeper layers of the coating and to the substrate. In the event of defect formation on the surface of the coating, zinc will play the role of protector, dissolving first. After the dissolution of all the zinc, the iron substrate will begin to corrode.
Figure 13.
The proposed mechanism of the protective action of the composite coating obtained using the cold spray method.
The obtained data promote more efficient use of mild steel by means of the composite coatings with a new composition formed using the cold spray technique. Moreover, this study provides information additional to the other works, where only the mechanical properties of CS coatings were investigated [74,75,76,77]. Therefore, the significance of this work regarding expansion of the practical applications of this structural material in corrosive media was highlighted.
4. Conclusions
The results obtained in this study enable one to conclude the following:
- −
- The composite fluoropolymer-containing protective coatings were formed on the surface of St3 low carbon steel using the cold spray method;
- −
- The treatment of the base copper-zinc CS-layer with super-dispersed polytetrafluoroethylene increases the corrosion and wear resistance of the material (according to electrochemical and tribological tests);
- −
- According to the performed analysis, the best protective properties were registered for the SC-500-FF-350 sample with cold-sprayed base copper-zinc coating annealed at 500 °C for 1 h, friction-treated with SPTFE, and re-annealed at 350 °C for 1 h, and the S-FCS sample with SPTFE applied by cold spray;
- −
- The multi-stage treated coating is not inferior to the one with cold-sprayed SPTFE in terms of the combination of protective properties;
- −
- The obtained data promote more efficient use of mild steel by means of the composite coatings with a new composition intended to expand the practical applications of this structural material in corrosive media.
Author Contributions
Conceptualization, methodology, validation, formal analysis, investigation, visualization, writing—original draft preparation, A.S.G., A.D.N. and A.K.T.; resources, writing—review and editing, supervision, project administration, A.S.G., S.L.S. and S.V.G. All authors have read and agreed to the published version of the manuscript.
Funding
Electrochemical measurements and coating formation were supported by a grant from the Russian Science Foundation, Russia (project no. 21-73-10148, https://rscf.ru/en/project/21-73-10148/; accessed on 13 January 2023). The study of the material’s morphology, composition, and wettability was supported by a grant from the Russian Science Foundation, Russia (project no. 20-13-00130, https://rscf.ru/en/project/20-13-00130/; accessed on 13 January 2023). Tribological tests were performed under the government assignments from the Ministry of Science and Higher Education of the Russian Federation, Russia (project no. FWFN(0205)-2022-0003).
Institutional Review Board Statement
Not applicable.
Informed Consent Statement
Not applicable.
Data Availability Statement
Not applicable.
Conflicts of Interest
The authors declare no conflict of interest.
References
- Zhang, Y.; Yang, J.; Xiao, D.; Luo, D.; Tuo, C.; Wu, H. Effect of Quenching and Tempering on Mechanical Properties and Impact Fracture Behavior of Low-Carbon Low-Alloy Steel. Metals 2022, 12, 1087. [Google Scholar] [CrossRef]
- Wu, W.; Hao, W.K.; Liu, Z.Y.; Li, X.G.; Du, C.W.; Liao, W.J. Corrosion Behavior of E690 High-Strength Steel in Alternating Wet-Dry Marine Environment with Different PH Values. J. Mater. Eng. Perform. 2015, 24, 4636–4646. [Google Scholar] [CrossRef]
- Xu, Y.; Huang, Y.; Cai, F.; Lu, D.; Wang, X. Study on Corrosion Behavior and Mechanism of AISI 4135 Steel in Marine Environments Based on Field Exposure Experiment. Sci. Total Environ. 2022, 830, 154864. [Google Scholar] [CrossRef] [PubMed]
- Tahri, W.; Hu, X.; Shi, C.; Zhang, Z. Review on Corrosion of Steel Reinforcement in Alkali-Activated Concretes in Chloride-Containing Environments. Constr. Build. Mater. 2021, 293, 123484. [Google Scholar] [CrossRef]
- Zhang, Y.; Yuan, R.; Yang, J.; Xiao, D.; Luo, D.; Zhou, W.; Tuo, C.; Wu, H.; Niu, G. Effect of Tempering on Corrosion Behavior and Mechanism of Low Alloy Steel in Wet Atmosphere. J. Mater. Res. Technol. 2022, 20, 4077–4096. [Google Scholar] [CrossRef]
- Lazorenko, G.; Kasprzhitskii, A.; Nazdracheva, T. Anti-Corrosion Coatings for Protection of Steel Railway Structures Exposed to Atmospheric Environments: A Review. Constr. Build. Mater. 2021, 288, 123115. [Google Scholar] [CrossRef]
- Adasooriya, N.D.; Hemmingsen, T.; Pavlou, D. Environment-Assisted Corrosion Damage of Steel Bridges: A Conceptual Framework for Structural Integrity. Corros. Rev. 2020, 38, 49–65. [Google Scholar] [CrossRef]
- Li, P.; Du, M. Effect of Chloride Ion Content on Pitting Corrosion of Dispersion-Strengthened-High-Strength Steel. Corros. Commun. 2022, 7, 23–34. [Google Scholar] [CrossRef]
- Zhang, W.; Yang, S.; Geng, W.-T.; Hu, Q.; Zhou, L. Corrosion Behavior of the Low Alloy Weathering Steels Coupled with Stainless Steel in Simulated Open Atmosphere. Mater. Chem. Phys. 2022, 288, 126409. [Google Scholar] [CrossRef]
- Karattu Veedu, K.; Peringattu Kalarikkal, T.; Jayakumar, N.; Gopalan, N.K. Anticorrosive Performance of Mangifera Indica L. Leaf Extract-Based Hybrid Coating on Steel. ACS Omega 2019, 4, 10176–10184. [Google Scholar] [CrossRef] [PubMed]
- Liao, B.; Luo, Z.; Wan, S.; Chen, L. Insight into the Anti-Corrosion Performance of Acanthopanax Senticosus Leaf Extract as Eco-Friendly Corrosion Inhibitor for Carbon Steel in Acidic Medium. J. Ind. Eng. Chem. 2022, 117, 238–246. [Google Scholar] [CrossRef]
- Wang, X.; Lei, Y.; Jiang, Z.N.; Zhang, Q.H.; Li, Y.Y.; Liu, H.F.; Zhang, G.A. Developing Two Thiocarbohydrazide Modified Glucose Derivatives as High-Efficiency Green Corrosion Inhibitors for Carbon Steel. Ind. Crops Prod. 2022, 188, 115680. [Google Scholar] [CrossRef]
- Tabish, M.; Zhao, J.; Wang, J.; Anjum, M.J.; Qiang, Y.; Yang, Q.; Mushtaq, M.A.; Yasin, G. Improving the Corrosion Protection Ability of Epoxy Coating Using CaAl LDH Intercalated with 2-Mercaptobenzothiazole as a Pigment on Steel Substrate. Prog. Org. Coatings 2022, 165, 106765. [Google Scholar] [CrossRef]
- Kamran, M.; Shah, A.u.H.A.; Rahman, G.; Bilal, S.; Röse, P. Investigation of Alumina-Doped Prunus Domestica Gum Grafted Polyaniline Epoxy Resin for Corrosion Protection Coatings for Mild Steel and Stainless Steel. Polymers 2022, 14, 5128. [Google Scholar] [CrossRef] [PubMed]
- Heimann, R.B.; Kleiman, J.I.; Litovsky, E.; Marx, S.; Ng, R.; Petrov, S.; Shagalov, M.; Sodhi, R.N.S.; Tang, A. High-Pressure Cold Gas Dynamic (CGD)-Sprayed Alumina-Reinforced Aluminum Coatings for Potential Application as Space Construction Material. Surf. Coatings Technol. 2014, 252, 113–119. [Google Scholar] [CrossRef]
- Gnedenkov, A.S.; Lamaka, S.V.; Sinebryukhov, S.L.; Mashtalyar, D.V.; Egorkin, V.S.; Imshinetskiy, I.M.; Zheludkevich, M.L.; Gnedenkov, S.V. Control of the Mg Alloy Biodegradation via PEO and Polymer-Containing Coatings. Corros. Sci. 2021, 182, 109254. [Google Scholar] [CrossRef]
- Gnedenkov, A.S.; Mei, D.; Lamaka, S.V.; Sinebryukhov, S.L.; Mashtalyar, D.V.; Vyaliy, I.E.; Zheludkevich, M.L.; Gnedenkov, S.V. Localized Currents and PH Distribution Studied during Corrosion of MA8 Mg Alloy in the Cell Culture Medium. Corros. Sci. 2020, 170, 108689. [Google Scholar] [CrossRef]
- Tajabadipour, H.; Mohammadi-Manesh, H.; Shahidi-Zandi, M. Experimental and Theoretical Studies of Carbon Steel Corrosion Protection in Phosphoric Acid Solution by Expired Lansoprazole and Rabeprazole Drugs. J. Indian Chem. Soc. 2022, 99, 100285. [Google Scholar] [CrossRef]
- Attaei, M.; Taryba, M.G.; Shakoor, R.A.; Kahraman, R.; Marques, A.C.; Montemor, M.F. Highly Protective Polyolefin Coating Modified with Ceria Nano Particles Treated with N,N,N′,N′-Tetrakis(2-Hydroxyethyl)Ethylenediamine for Corrosion Protection of Carbon Steel. Corros. Sci. 2022, 198, 110162. [Google Scholar] [CrossRef]
- Gnedenkov, A.S.; Sinebryukhov, S.L.; Filonina, V.S.; Plekhova, N.G.; Gnedenkov, S.V. Smart Composite Antibacterial Coatings with Active Corrosion Protection of Magnesium Alloys. J. Magnes. Alloy. 2022, 10, 3589–3611. [Google Scholar] [CrossRef]
- Ferkous, H.; Delimi, A.; Kahlouche, A.; Boulechfar, C.; Djellali, S.; Belakhdar, A.; Yadav, K.K.; Ali, I.H.; Ahmad, A.; Ahn, H.-J.; et al. Electrochemical and Computational Approaches of Polymer Coating on Carbon Steel X52 in Different Soil Extracts. Polymers 2022, 14, 3288. [Google Scholar] [CrossRef] [PubMed]
- Uvida, M.C.; Almeida, A.d.A.; Pulcinelli, S.H.; Santilli, C.V.; Hammer, P. Structural Properties of Epoxy–Silica Barrier Coatings for Corrosion Protection of Reinforcing Steel. Polymers 2022, 14, 3474. [Google Scholar] [CrossRef] [PubMed]
- Bauyrzhan, R.; Alexander, P.; Zhuldyz, S.; Dastan, B.; Vyacheslav, B.; Mukhamedova, A. Effect of Bilayer Thickness and Bias Potential on the Structure and Properties of (TiZr/Nb)N Multilayer Coatings as a Result of Arc-PVD Deposition. Materials 2022, 15, 7696. [Google Scholar] [CrossRef] [PubMed]
- Dai, X.; Qian, J.; Qin, J.; Yue, Y.; Zhao, Y.; Jia, X. Preparation and Properties of Magnesium Phosphate Cement-Based Fire Retardant Coating for Steel. Materials 2022, 15, 4134. [Google Scholar] [CrossRef] [PubMed]
- Mohamed, A.M.A.; Hasan, H.; Seleman, M.M.E.-S.; Ahmed, E.; Saleh, S.M.; El-Maghraby, R.M. Performance of Sprayed PVDF-Al2O3 Composite Coating for Industrial and Civil Applications. Materials 2021, 14, 6358. [Google Scholar] [CrossRef]
- Parchovianská, I.; Parchovianský, M.; Kaňková, H.; Nowicka, A.; Galusek, D. Hydrothermal Corrosion of Double Layer Glass/Ceramic Coatings Obtained from Preceramic Polymers. Materials 2021, 14, 7777. [Google Scholar] [CrossRef]
- Tuszyński, W.; Michalczewski, R.; Osuch-Słomka, E.; Snarski-Adamski, A.; Kalbarczyk, M.; Wieczorek, A.N.; Nędza, J. Abrasive Wear, Scuffing and Rolling Contact Fatigue of DLC-Coated 18CrNiMo7-6 Steel Lubricated by a Pure and Contaminated Gear Oil. Materials 2021, 14, 7086. [Google Scholar] [CrossRef]
- Li, L.; Huang, Y.; Tang, W.; Zhang, Y.; Qian, L. Synergistic Effect between Piperazine Pyrophosphate and Melamine Polyphosphate in Flame Retardant Coatings for Structural Steel. Polymers 2022, 14, 3722. [Google Scholar] [CrossRef] [PubMed]
- Makarychev, Y.B.; Gladkikh, N.A.; Redkina, G.V.; Grafov, O.Y.; Aliev, A.D.; Kuznetsov, Y.I. Formation of Composite Coatings on Galvanized Steel from Organosilane Solutions Using Electrophoresis and Sol–Gel Technology. Materials 2022, 15, 2418. [Google Scholar] [CrossRef]
- Seré, P.R.; Deyá, C.; Elsner, C.I.; Di Sarli, A.R. Corrosion of Painted Galvanneal Steel. Procedia Mater. Sci. 2015, 8, 1–10. [Google Scholar] [CrossRef]
- Saleh, S.M.; Alminderej, F.M.; Mohamed, A.M.A. Superhydrophobic and Corrosion Behaviour of PVDF-CeO2 Composite Coatings. Materials 2022, 15, 8674. [Google Scholar] [CrossRef] [PubMed]
- Hao, L.; Lv, G.; Zhou, Y.; Zhu, K.; Dong, M.; Liu, Y.; Yu, D. High Performance Anti-Corrosion Coatings of Poly (Vinyl Butyral) Composites with Poly N-(Vinyl)Pyrrole and Carbon Black Nanoparticles. Materials 2018, 11, 2307. [Google Scholar] [CrossRef] [PubMed]
- El-Lateef, H.M.A.; Gouda, M.; Khalaf, M.M.; Al-Shuaibi, M.A.A.; Mohamed, I.M.A.; Shalabi, K.; El-Shishtawy, R.M. Experimental and In-Silico Computational Modeling of Cerium Oxide Nanoparticles Functionalized by Gelatin as an Eco-Friendly Anti-Corrosion Barrier on X60 Steel Alloys in Acidic Environments. Polymers 2022, 14, 2544. [Google Scholar] [CrossRef] [PubMed]
- Gouda, M.; Khalaf, M.M.; Al-Shuaibi, M.A.A.; Mohamed, I.M.A.; Shalabi, K.; El-Shishtawy, R.M.; El-Lateef, H.M.A. Facile Synthesis and Characterization of CeO2-Nanoparticle-Loaded Carboxymethyl Cellulose as Efficient Protective Films for Mild Steel: A Comparative Study of Experiential and Computational Findings. Polymers 2022, 14, 3078. [Google Scholar] [CrossRef]
- Zanca, C.; Carbone, S.; Patella, B.; Lopresti, F.; Aiello, G.; Brucato, V.; Carfì Pavia, F.; La Carrubba, V.; Inguanta, R. Composite Coatings of Chitosan and Silver Nanoparticles Obtained by Galvanic Deposition for Orthopedic Implants. Polymers 2022, 14, 3915. [Google Scholar] [CrossRef]
- Mardare, L.; Benea, L. Effects of TiO2 Nanoparticles on the Corrosion Protection Ability of Polymeric Primer Coating System. Polymers 2021, 13, 614. [Google Scholar] [CrossRef]
- Fernández-Álvarez, M.; Velasco, F.; Bautista, A.; Lobo, F.C.M.; Fernandes, E.M.; Reis, R.L. Manufacturing and Characterization of Coatings from Polyamide Powders Functionalized with Nanosilica. Polymers 2020, 12, 2298. [Google Scholar] [CrossRef] [PubMed]
- Ferrel-Álvarez, A.; Domínguez-Crespo, M.; Torres-Huerta, A.; Cong, H.; Brachetti-Sibaja, S.; López-Oyama, A. Intensification of Electrochemical Performance of AA7075 Aluminum Alloys Using Rare Earth Functionalized Water-Based Polymer Coatings. Polymers 2017, 9, 178. [Google Scholar] [CrossRef] [PubMed]
- Sun, C.; Sun, M.; Liu, J.; Dong, Z.; Fan, L.; Duan, J. Anti-Corrosion Performance of Migratory Corrosion Inhibitors on Reinforced Concrete Exposed to Varying Degrees of Chloride Erosion. Materials 2022, 15, 5138. [Google Scholar] [CrossRef]
- Pineda Hernández, D.A.; Restrepo Parra, E.; Arango Arango, P.J.; Segura Giraldo, B.; Acosta Medina, C.D. Innovative Method for Coating of Natural Corrosion Inhibitor Based on Artemisia Vulgaris. Materials 2021, 14, 2234. [Google Scholar] [CrossRef]
- Al-Maadeed, P. Self-Repairing Composites for Corrosion Protection: A Review on Recent Strategies and Evaluation Methods. Materials 2019, 12, 2754. [Google Scholar] [CrossRef]
- Kamran, M.; Shah, A.u.H.A.; Rahman, G.; Bilal, S. Potential Impacts of Prunus Domestica Based Natural Gum on Physicochemical Properties of Polyaniline for Corrosion Inhibition of Mild and Stainless Steel. Polymers 2022, 14, 3116. [Google Scholar] [CrossRef] [PubMed]
- Gouda, M.; Khalaf, M.M.; Shalabi, K.; Al-Omair, M.A.; El-Lateef, H.M.A. Synthesis and Characterization of Zn–Organic Frameworks Containing Chitosan as a Low-Cost Inhibitor for Sulfuric-Acid-Induced Steel Corrosion: Practical and Computational Exploration. Polymers 2022, 14, 228. [Google Scholar] [CrossRef]
- Al-Masoud, M.A.; Khalaf, M.M.; Heakal, F.E.-T.; Gouda, M.; Mohamed, I.M.A.; Shalabi, K.; El-Lateef, H.M.A. Advanced Protective Films Based on Binary ZnO-NiO@polyaniline Nanocomposite for Acidic Chloride Steel Corrosion: An Integrated Study of Theoretical and Practical Investigations. Polymers 2022, 14, 4734. [Google Scholar] [CrossRef] [PubMed]
- Li, J.; Tao, Z.; Cui, J.; Shen, S.; Qiu, H. Facile Fabrication of Dual Functional Graphene Oxide Microcapsules Carrying Corrosion Inhibitor and Encapsulating Self-Healing Agent. Polymers 2022, 14, 4067. [Google Scholar] [CrossRef]
- Hsissou, R.; Lachhab, R.; El Magri, A.; Echihi, S.; Vanaei, H.R.; Galai, M.; Ebn Touhami, M.; Rafik, M. Synthesis Characterization and Highly Protective Efficiency of Tetraglycidyloxy Pentanal Epoxy Prepolymer as a Potential Corrosion Inhibitor for Mild Steel in 1 M HCl Medium. Polymers 2022, 14, 3100. [Google Scholar] [CrossRef] [PubMed]
- Hynes, N.R.J.; Vignesh, N.J.; Barile, C.; Velu, P.S.; Baskaran, T.; Jappes, J.T.W.; Al-Khashman, O.A.; Brykov, M.; Ene, A. Green Corrosion Inhibition on Carbon-Fibre-Reinforced Aluminium Laminate in NaCl Using Aerva Lanata Flower Extract. Polymers 2022, 14, 1700. [Google Scholar] [CrossRef] [PubMed]
- Saarimaa, V.; Kaleva, A.; Ismailov, A.; Laihinen, T.; Virtanen, M.; Levänen, E.; Väisänen, P. Corrosion Product Formation on Zinc-Coated Steel in Wet Supercritical Carbon Dioxide. Arab. J. Chem. 2022, 15, 103636. [Google Scholar] [CrossRef]
- Gnedenkov, A.S.; Sinebryukhov, S.L.; Mashtalyar, D.V.; Imshinetskiy, I.M.; Vyaliy, I.E.; Gnedenkov, S.V. Effect of Microstructure on the Corrosion Resistance of TIG Welded 1579 Alloy. Materials 2019, 12, 2615. [Google Scholar] [CrossRef] [PubMed]
- Gnedenkov, A.; Sinebryukhov, S.; Mashtalyar, D.; Vyaliy, I.; Egorkin, V.; Gnedenkov, S. Corrosion of the Welded Aluminium Alloy in 0.5 M NaCl Solution. Part 2: Coating Protection. Materials 2018, 11, 2177. [Google Scholar] [CrossRef]
- Gnedenkov, A.S.; Sinebryukhov, S.L.; Mashtalyar, D.V.; Gnedenkov, S.V. Inhibitor-Containing Composite Coatings on Mg Alloys: Corrosion Mechanism and Self-Healing Protection. Solid State Phenom. 2015, 245, 89–96. [Google Scholar] [CrossRef]
- Gnedenkov, A.S.; Sinebryukhov, S.L.; Mashtalyar, D.V.; Gnedenkov, S.V. Features of the Magnesium Alloys Corrosion in the Chloride-Containing Media. Solid State Phenom. 2014, 213, 143–148. [Google Scholar] [CrossRef]
- Sinebryukhov, S.L.; Gnedenkov, A.S.; Khrisanfova, O.A.; Gnedenkov, S.V. Influence of Plasma Electrolytic Oxidation on Mechanical Characteristics of NiTi Alloy. Surf. Eng. 2009, 25, 565–569. [Google Scholar] [CrossRef]
- Mohedano, M.; Lopez, E.; Mingo, B.; Moon, S.; Matykina, E.; Arrabal, R. Energy Consumption, Wear and Corrosion of PEO Coatings on Preanodized Al Alloy: The Influence of Current and Frequency. J. Mater. Res. Technol. 2022, 21, 2061–2075. [Google Scholar] [CrossRef]
- Moreno, L.; Mohedano, M.; Arrabal, R.; Matykina, E. Development and Screening of (Ca-P-Si-F)-PEO Coatings for Biodegradability Control of Mg-Zn-Ca Alloys. J. Magnes. Alloy. 2022, 10, 2220–2237. [Google Scholar] [CrossRef]
- Wierzbicka, E.; Vaghefinazari, B.; Lamaka, S.V.; Zheludkevich, M.L.; Mohedano, M.; Moreno, L.; Visser, P.; Rodriguez, A.; Velasco, J.; Arrabal, R.; et al. Flash-PEO as an Alternative to Chromate Conversion Coatings for Corrosion Protection of Mg Alloy. Corros. Sci. 2021, 180, 109189. [Google Scholar] [CrossRef]
- Matykina, E.; Arrabal, R.; Mingo, B.; Mohedano, M.; Pardo, A.; Merino, M.C. In Vitro Corrosion Performance of PEO Coated Ti and Ti6Al4V Used for Dental and Orthopaedic Implants. Surf. Coatings Technol. 2016, 307, 1255–1264. [Google Scholar] [CrossRef]
- Poza, P.; Garrido-Maneiro, M.Á. Cold-Sprayed Coatings: Microstructure, Mechanical Properties, and Wear Behaviour. Prog. Mater. Sci. 2022, 123, 100839. [Google Scholar] [CrossRef]
- Assadi, H.; Gärtner, F.; Stoltenhoff, T.; Kreye, H. Bonding Mechanism in Cold Gas Spraying. Acta Mater. 2003, 51, 4379–4394. [Google Scholar] [CrossRef]
- Wang, N.; Liu, C.; Wang, Y.; Chen, H.; Chu, X.; Gao, J. Effect of Process Parameters on Properties of Cold-Sprayed Zn–Al Composite Coatings. Materials 2022, 15, 7007. [Google Scholar] [CrossRef]
- Wu, K.; Sun, W.; Tan, A.W.-Y.; Marinescu, I.; Liu, E.; Zhou, W. An Investigation into Microstructure, Tribological and Mechanical Properties of Cold Sprayed Inconel 625 Coatings. Surf. Coatings Technol. 2021, 424, 127660. [Google Scholar] [CrossRef]
- Wang, Q.; Han, P.; Yin, S.; Niu, W.-J.; Zhai, L.; Li, X.; Mao, X.; Han, Y. Current Research Status on Cold Sprayed Amorphous Alloy Coatings: A Review. Coatings 2021, 11, 206. [Google Scholar] [CrossRef]
- Popescu, C.; Alain, S.; Courant, M.; Vardelle, A.; Denoirjean, A.; Cavarroc, M. Thermal Spray Copper-Based Coatings against Contamination of Thermoplastic Surfaces: A Systematic Review. Eng. Sci. Technol. an Int. J. 2022, 35, 101194. [Google Scholar] [CrossRef]
- Zou, Y. Cold Spray Additive Manufacturing: Microstructure Evolution and Bonding Features. Accounts Mater. Res. 2021, 2, 1071–1081. [Google Scholar] [CrossRef]
- Karthikeyan, J. The Advantages and Disadvantages of the Cold Spray Coating Process. In The Cold Spray Materials Deposition Process; Elsevier: Amsterdam, The Netherlands, 2007; pp. 62–71. [Google Scholar]
- Witharamage, C.S.; Alrizqi, M.A.; Chirstudasjustus, J.; Darwish, A.A.; Ansell, T.; Nieto, A.; Gupta, R.K. Corrosion-Resistant Metallic Coatings for Aluminum Alloys by Cold Spray. Corros. Sci. 2022, 209, 110720. [Google Scholar] [CrossRef]
- Huang, C.; List, A.; Wiehler, L.; Schulze, M.; Gärtner, F.; Klassen, T. Cold Spray Deposition of Graded Al-SiC Composites. Addit. Manuf. 2022, 59, 103116. [Google Scholar] [CrossRef]
- Ralls, A.M.; Daroonparvar, M.; Kasar, A.K.; Misra, M.; Menezes, P.L. Influence of Friction Stir Processing on the Friction, Wear and Corrosion Mechanisms of Solid-State Additively Manufactured 316L Duplex Stainless Steel. Tribol. Int. 2023, 178, 108033. [Google Scholar] [CrossRef]
- Daroonparvar, M.; Kay, C.M.; Mat Yajid, M.A.; Bakhsheshi-Rad, H.R.; Razzaghi, M. Fundamentals of Additive Manufacturing of Metallic Components by Cold Spray Technology. In Tribology of Additively Manufactured Materials; Elsevier: Amsterdam, The Netherlands, 2022; pp. 39–85. [Google Scholar]
- Merah, N.; Abdul Azeem, M.; Abubaker, H.M.; Al-Badour, F.; Albinmousa, J.; Sorour, A.A. Friction Stir Processing Influence on Microstructure, Mechanical, and Corrosion Behavior of Steels: A Review. Materials 2021, 14, 5023. [Google Scholar] [CrossRef]
- Egorkin, V.S.; Medvedev, I.M.; Sinebryukhov, S.L.; Vyaliy, I.E.; Gnedenkov, A.S.; Nadaraia, K.V.; Izotov, N.V.; Mashtalyar, D.V.; Gnedenkov, S.V. Atmospheric and Marine Corrosion of PEO and Composite Coatings Obtained on Al-Cu-Mg Aluminum Alloy. Materials 2020, 13, 2739. [Google Scholar] [CrossRef]
- Gnedenkov, S.V.; Khrisanfova, O.A.; Sinebryukhov, S.L.; Puz’, A.V.; Gnedenkov, A.S. Composite Protective Coatings on Nitinol Surface. Mater. Manuf. Process. 2008, 23, 879–883. [Google Scholar] [CrossRef]
- Mashtalyar, D.V.; Gnedenkov, S.V.; Sinebryukhov, S.L.; Imshinetskiy, I.M.; Gnedenkov, A.S.; Bouznik, V.M. Composite Coatings Formed Using Plasma Electrolytic Oxidation and Fluoroparaffin Materials. J. Alloys Compd. 2018, 767, 353–360. [Google Scholar] [CrossRef]
- Diao, P.; Wang, F.; Chu, X.; Long, Y.; Xie, Y.; Deng, C.; Huang, G.; Liu, M.; Yu, Z. Microstructure, Mechanical Properties, and Cavitation Erosion Performances of Cold Sprayed CuZn35 Coatings. Surf. Coatings Technol. 2022, 451, 129074. [Google Scholar] [CrossRef]
- Agiwal, H.; Yeom, H.; Pocquette, N.; Sridharan, K.; Pfefferkorn, F.E. Friction Surfacing and Cold Spray Deposition for Surface Crack Repair in Austenitic Stainless Steels. Mater. Today Commun. 2022, 33, 104692. [Google Scholar] [CrossRef]
- Jasthi, B.K.; Kuca, T.S.; Ellingsen, M.D.; Ellis, D.L.; Kandadai, V.A.S.; Curtis, T.R. Microstructure and Mechanical Properties of Cold Spray Additive Manufactured Cu-Cr-Nb and Fe-Ni-Cr Alloys. Addit. Manuf. 2023, 61, 103354. [Google Scholar] [CrossRef]
- Mao, X.; Duan, F.; Wang, F.; Hang, C.; Chen, H.; Li, M. Interfacial Microstructure Characterization and Solderability of the Low Pressure Cold Sprayed Cu-Al2O3 Coating on Al Substrate. Surf. Coatings Technol. 2023, 452, 129093. [Google Scholar] [CrossRef]
- Song, G.L.; Atrens, A. Corrosion Mechanisms of Magnesium Alloys. Adv. Eng. Mater. 1999, 1, 11–33. [Google Scholar] [CrossRef]
Disclaimer/Publisher’s Note: The statements, opinions and data contained in all publications are solely those of the individual author(s) and contributor(s) and not of MDPI and/or the editor(s). MDPI and/or the editor(s) disclaim responsibility for any injury to people or property resulting from any ideas, methods, instructions or products referred to in the content. |
© 2023 by the authors. Licensee MDPI, Basel, Switzerland. This article is an open access article distributed under the terms and conditions of the Creative Commons Attribution (CC BY) license (https://creativecommons.org/licenses/by/4.0/).














