Abstract
The physical properties of ZnO can be tuned efficiently and controllably by doping with the proper element. Doping of ZnO thin films with 3D transition metals that have unpaired electron spins (e.g., Fe, Co, Ni, etc.) is of particular interest as it may enable magnetic phenomena in the layers. Atomic layer deposition (ALD) is the most advanced technique, which ensures high accuracy throughout the deposition process, producing uniform films with controllable composition and thickness, forming smooth and sharp interfaces. In this work, ALD was used to prepare Ni- or Fe-doped ZnO thin films. The dielectric and electrical properties of the films were studied by measuring the standard current–voltage (I–V), capacitance–voltage (C–V), and capacitance–frequency (C–f) characteristics at different temperatures. Spectral ellipsometry was used to assess the optical bandgap of the layers. We established that the dopant strongly affects the electric and dielectric behavior of the layers. The results provide evidence that different polarization mechanisms dominate the dielectric response of Ni- and Fe-doped films.
1. Introduction
Zinc oxide (ZnO) is wide band-gap n-type semiconductor, which has been intensively investigated over the years because of its favorable chemical, optical, mechanical, and electrical properties, enabling its application in a broad range of opto-electronic, micro-electronic, nano-electronic, and acousto-electronic applications [1]. ZnO can be obtained with a wide variety of morphologies, which constitute the wide diversity of its properties. The structure and morphology of ZnO layers, as well as their properties, are strongly dependent on the deposition technique and conditions. It should be noted that ZnO can be obtained using almost all deposition methods, e.g., chemical vapor deposition, sputtering, atomic layer deposition, pulsed laser deposition, sol-gel spin coating, spray pyrolysis, etc. [2,3,4,5,6,7]. In addition, efficient control over its morphology, structural, optical, electrical, and magnetic properties can be established through doping with different elements [8,9,10,11,12]. Atomic layer deposition (ALD) is the most advanced technique, which enables high accuracy in the deposition process, excellent film uniformity, control over the thickness (down to several nm), and smooth and sharp interfaces. In ALD, monolayer growth is achieved via a self-limiting surface reaction between precursors, which are sequentially pulsed in the chamber. This technique is also intensively used to deposit thin ZnO films [13,14,15,16,17], including their doped counterparts [18,19,20]. In other words, by using the proper deposition method and deposition conditions and by doping with the proper element, it is possible to realize ZnO films with flexible and versatile properties, satisfying particular requirements and enabling a wide range of possible devices and applications, such as optical waveguides, photodetectors, thin-film transistors, piezoelectric transducers, light-emitting diodes, different types of sensors, photovoltaic cells, surface acoustic wave devices, transparent conductive oxides, etc.
From this point of view, doping with transition metal (TM) atoms, which have partially filled d-states (e.g., Fe, Co, and Ni) is of particular interest. This doping can enhance the magnetic properties of the films and facilitates the creation of diluted magnetic semiconductors, capable of exhibiting ferromagnetism at room temperature. Hence, they hold great promise for applications in spintronics [21,22,23]. However, it should be noted that despite the increased interest and research in doped ZnO films deposited by ALD, there have been relatively few investigations on transition metal-doped ZnO films [24,25]. Recently, in a number of works [26,27,28,29], we have reported results on the structural, optical, magneto-optical, dielectric, etc., properties of TM-doped ZnO layers deposited by ALD. A very strong magneto-optical Kerr effect (MOKE) has been observed in all TM-doped (Fe, Co, and Ni) ZnO films. It has been demonstrated that this effect is induced by the magnetic nature of the dopants and increases with the number of free 3D electron spins [27]. In addition, ferroelectric-like behavior has been observed in Fe-doped ZnO layers [27], providing promise for the realization of multiferroic functionalities in this material.
In this work, atomic layer deposition (ALD) was used to prepare transition metal-doped (Ni or Fe) ZnO thin films, and their electric and dielectric properties were studied depending on the doping element. Spectral ellipsometry was used to assess the optical bandgap of the layers. We leveraged the distinctive electric and dielectric behaviours of the doped ZnO layers to draw conclusions on the dominating polarization mechanisms and to relate them to structural changes in the layers induced by doping.
2. Materials and Methods
Transition metal (TM) (Ni or Fe)-doped ZnO films were prepared using a standard thermal ALD process (Beneq TFS-200 reactor system). Diethylzinc (DEZ), as a Zn precursor, and deionized (DI) water, as an oxidant, were used to deposit the ZnO matrix. The doping was performed using a metallocene (MCp2 = NiCp2 or FeCp2) precursor and ozone O3. The solid metallocene precursors were supplied by HS-300 hot source containers. The metallocene precursor was heated up to 80 °C in order to enhance the sublimation process and its vapor pressure. The deposition was performed at 180 °C and consisted of 24 ZnO/TM supercycles. Each ZnO/TM supercycle consisted of 16 cycles of DEZ/DI H2O, followed by 5 cycles of MCp2/O3. Pure nitrogen was used for purging after each precursor and oxidant pulse. The pulse duration and purging times (p) for both subcycles were as follows: DEZ/p/DI H2O/p = 0.2/2/0.2/2 s and MCp2/p/O3/p = 2/4/1/5 s. More details on the deposition of doped ZnO layers can be found in [27]. The doped ZnO films were deposited on TiN/SiO2/p-Si (100) substrates. The TiN layers were deposited via rf sputtering and served as the bottom electrodes. The top Pt electrodes (circles with a diameter d = 500 µm, i.e., area A = 1.96 × 10−3 cm−2) were deposited through a shadow mask.
A Woollam M2000D spectroscopic ellipsometer was used to perform spectral ellipsometry investigations of the ZnO layers in the wavelength range from 193 to 1000 nm. The thickness of the layers was also measured and was about 75 nm. Electrical measurements were performed on the fabricated metal-doped ZnO metal (MOM) structures with a bottom electrode of TiN and a top electrode of Pt (Figure 1). To assess the dielectric properties of doped ZnO films, capacitance–requency (C–f) and capacitance–voltage (C–V) curves were measured (LCR meter Agilent E4980A) in frequencies ranging from 103 to 106 Hz at different temperatures. Temperature-dependent current–voltage (I–V) characteristics were also measured to evaluate electrical conduction in the films.
Figure 1.
A schematic representation of the MOM structures with doped ZnO and Pt (top) and TiN (bottom) metal electrodes.
3. Results and Discussion
Spectral ellipsometry measurements were used to determine the optical bandgap Eg of Ni- and Fe-doped ZnO layers deposited on three different substrates (Si, Si/SiO2, and Si/SiO2/TiN) using a Tauc plot (Figure 2). Bearing in mind that ZnO is a direct band-gap semiconductor, the following equation, which relates Eg and the absorption coefficient α, was used:
where A is a constant and hν is the energy of the incident light. Eg was determined from the intercept of (αhν)2 with the x-axis. In Table 1, the obtained values of Eg on the three substrates are given.
Figure 2.
Tauc plots of (a) Fe-doped and (b) Ni-doped ZnO layers deposited on various substrates.
Table 1.
The band-gap values of Ni- and Fe-doped ZnO layers deposited on different substrates.
As observed, the ZnO:Ni layers deposited on Si or SiO2 exhibited a slightly larger bandgap of −3.30 eV compared to ZnO/Fe layers, with a bandgap estimated around 3.26–3.27 eV. A similar bandgap was obtained for ZnO when deposited on TiN. However, the Eg of ZnO/Ni decreased significantly for the layers deposited on TiN, implying an increase in defect-induced near-band-edge transitions. This indicates that the deposition of ZnO/Ni is affected by the TiN surface and proceeds in a different manner compared to Si or SiO2 surfaces. It is very likely that the composition and/or microstructure of the ZnO/Ni films close to the interface with TiN exhibit some variations compared to the bulk of the film. For pure ZnO deposited on Si, the Eg value determined using ellipsometry is 3.33 eV [26], i.e., for both Ni- and Fe-doped films, the obtained Eg is smaller than that of pure ZnO. The shrinkage in the optical bandgap of the doped ZnO layers is related to strong exchange interactions between the s and p electrons of the host ZnO matrix and the d electrons of the dopant, indicating the incorporation of the dopant into the ZnO lattice. This conclusion is also supported by comparisons with bandgap values of about 3.29 eV obtained for similar, more lightly doped layers deposited on Si [26]. Therefore, for Fe-doping, as the doping level increases, the value of Eg decreases. A similar decrease in bandgap with increasing doping has been obtained in other works and is attributed to sp–d hybridization [30,31,32]. For Ni-doped layers, the Eg values are nearly the same for the two levels of doping, which is most likely due to the two competing processes: the sp–d exchange interaction, which causes a red shift, and the Burstein–Moss effect, which is due to an increase in the free carrier concentration [33] and results in a blue shift.
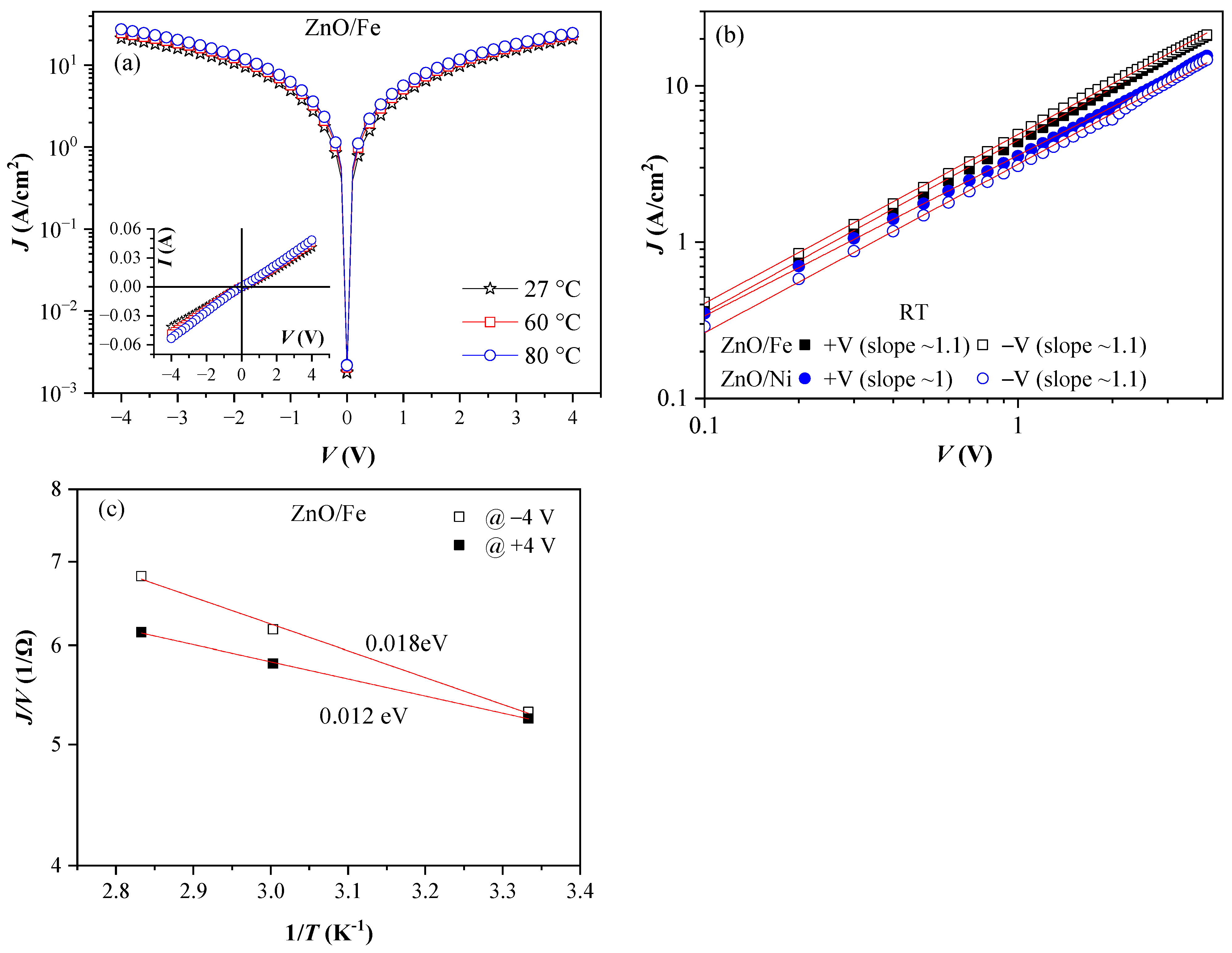
Measurement of the I–V characteristics were performed across temperatures ranging from room temperature to 80 °C. Weak temperature dependence across the studied temperature range was observed. This was better expressed for the Fe-doped ZnO layers, where the current exhibited a slight monotonic increase with temperature (Figure 3a). The resistivity of the layers decreased with increasing temperature, indicating that the electrical transport followed typical semiconductor behavior. As is seen in the inset graphs and from the representation of the characteristics in the logI-logV coordinates (Figure 3b), demonstrating a slope close to 1, the current–voltage dependence is almost linear, i.e., , revealing dominating ohmic conduction.
Figure 3.
(a) J–V characteristics of Fe-doped ZnO layers measured at different temperatures; (b) J–V characteristics of doped ZnO layers at room temperature on a log-log scale; and (c) an Arrhenius plot for the ZnO/Fe layers.
The thermally activated conductivity σ(T) in semiconductors is usually assigned to the electrons hopping from the donor levels to the conduction band or from the valence band to the acceptor levels, and obeys the Arrhenius equation [34], i.e.,
where Ea is the activation energy and can be obtained from the Arrhenius plot of I–V characteristics (i.e., ln(J/V) vs. (1/T)) (Figure 3c). For the Fe-doped ZnO layers, the determined values of Ea at a voltage of ±4 V were 18 meV and 12 meV at negative and positive bias, respectively. The interpretation of Ea depends on the type and concentration of impurity elements. In general, this is the difference between the bottom of the conduction band and the Fermi level. In the case of doping with one type of element and the temperature at which the condition is satisfied (which is fulfilled here as ni ≈ 106 cm−3 for ZnO at 300 K), Ea = ϕd/2, where ϕd is the depth of the impurity level measured from the bottom of the conduction band. In the case of compensation (i.e., the presence of both donor and acceptor impurities Nd < Na), Ea = ϕd. Therefore, the obtained low activation energy indicates an impurity level located very close to the conduction band, facilitating easy ionization of this level, which explains the observed high conductivity.
The capacitance–voltage (C–V) characteristics of ZnO-doped capacitors were measured at three different temperatures and at different frequencies. Figure 4 shows the results obtained at room temperature for three frequencies (10 kHz, 100 kHz, and 1 MHz). It can be seen that capacitance (C) depends strongly on both the value of the applied voltage (V) and the frequency of the measurement signal. The noise in the characteristics measured at 10 kHz is related to the capture and emission processes of current carriers in defect states within the layers. At high frequencies, these processes are not detected as they cannot follow the voltage changes. In addition, the type of dopant strongly affects the C–V characteristics. Generally, the C–V characteristics for both ZnO/Fe and ZnO/Ni exhibit strong frequency dependence and a distinct peak at low positive voltage (0.3–0.5 V). As ZnO is a wide bandgap semiconductor, such behavior could be interpreted with a different type of conductivity (electronic or hole) depending on the dopant [35]. The effect of Schottky barriers at both metal electrodes is considered responsible for the presence of a peak in the C–V curves. The nearly constant values of capacitance observed for ZnO/Fe layers at voltages higher than about 2 V are associated with the full depletion-like state of the semiconductor. The increase in capacitance at negative applied voltages observed for the ZnO/Ni sample could be attributed to the presence of defects and/or the influence of parasitic contact resistance. The following equations describe the C–V characteristics of structures with a Schottky transition at the metal–semiconductor interface [35]:
where Φb is the barrier height, ND is the concentration of current carriers, A is the area of the electrode, Vbi is the built-in potential, and NC is the density of states in the conduction band at 300 K. Representation of the C–V curves in C−2 vs. V coordinates should give a straight line, which is indeed the case (see the insets in Figure 4a,b). From the obtained straight lines, the following values have been determined: for Fe-doped ZnO, ND = 6.83 × 1017 cm−3, Vbi = 1.29 V, and Φb = 1.24 eV; and for Ni-doped ZnO, ND = 3.63 × 1018 cm−3, Vbi = 3.43 V, and Φb = 3.4 eV. As is seen, a higher dopant concentration was obtained for the ZnO/Ni layers, which is in agreement with our previous studies [26], indicating that at equal deposition conditions, higher concentrations of Ni are incorporated in ZnO films compared to Fe. Generally, the barrier height can be calculated as the difference between the work function of the metal electrode (Pt) and the electron affinity of ZnO. The electron affinity of ZnO is about 4.2 eV and the work function of Pt is 5.65 eV. Hence, the barrier height should be Φb = 5.65 eV − 4.2 eV = 1.45 eV [36]. Therefore, the obtained barrier height for the ZnO/Fe layers agrees with this value, which proves the formation of Schottky contact at the Pt/ZnO/Fe interface. An unrealistically high value for Φb was obtained for ZnO/Ni films, which can be attributed to various barrier inhomogeneities and/or surface defects.
Figure 4.
C–V characteristics of: (a) Fe-doped and (b) Ni-doped ZnO MOM structures measured at three different frequencies. In the insets, representations of the C–V curves in C−2 vs. V coordinates are shown.
Strong dependence on the dopant is unambiguously revealed by the temperature dependence of the C–V curves measured at 1 MHz. With increasing temperature, the shape of the C–V curve in the case of Fe doping was preserved, and for the layers doped with Ni, the shape changed significantly (Figure 5). Moreover, in the case of ZnO/Fe the capacitance decreased with increasing temperature, whereas for ZnO/Ni it decreased at 60 °C, but at 80 °C, a strong increase (about one order of magnitude) was observed. It should be noted (Figure 4 and Figure 5) that negative capacitance values were observed under certain measurement conditions (e.g., for Fe-doped ZnO at 30 °C for voltages |V| > 2 V, whereas at 80 °C, negative capacitance was observed in the whole voltage range; and for ZnO:Ni, this region was observed only for V < −1 V at T = 60 °C). This will be commented on later.
Figure 5.
C–V (1 MHz) characteristics of MOM capacitors with (a) Fe-doped and (b) Ni-doped ZnO layers measured at various temperatures.
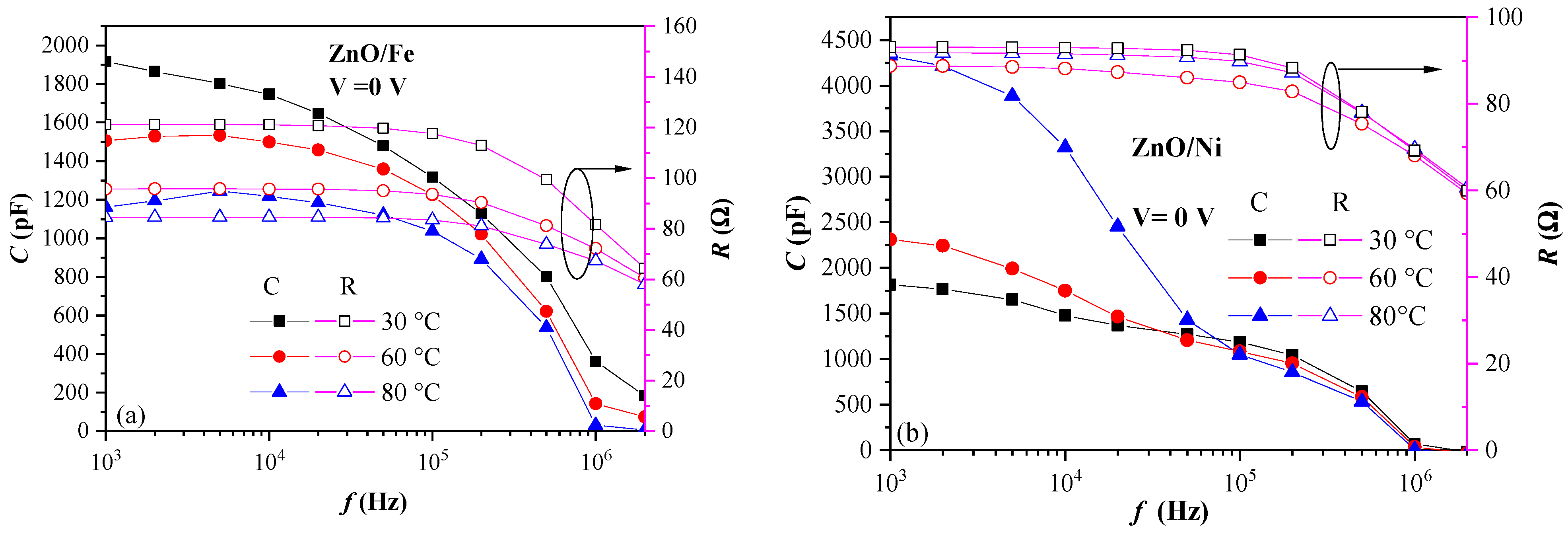
The dielectric properties of the layers were examined by measuring the change in capacitance with frequency (C–f curves). The increase in capacitance (dielectric constant) with decreasing frequency, f, is referred to as “dielectric relaxation” and is attributed to the operation of various polarization mechanisms dependent on f. Several polarization mechanisms (ionic polarization, dipole/orientation polarization, and space charge polarization) give rise to increased capacitance when frequency is decreased [37]. The results reveal the existence of very complex dielectric phenomena in the ZnO layers, which are strongly affected by the dopant, as well as by the measurement conditions (e.g., frequency, temperature, and applied voltage). To obtain more in-depth insights into these phenomena, the dispersion of dielectric properties were measured in a frequency range of 1 kHz–1 MHz at three temperatures (Figure 6) and at different applied voltages (0, +3, and −3 V) (Figure 7). It should be noted that according to simulations performed in [38], the edge effects that may arise from asymmetry of the electrodes should not result in significant error in the measured capacitance of structures with a thickness and an area similar to ours (e.g., t = 75 nm and d = 500 µm).
Figure 6.
Capacitance dispersion of metal/ZnO/metal structures at different temperatures for (a) Fe-doped ZnO and (b) Ni-doped ZnO. The change in resistance with frequency is also presented (hollow symbols, right-hand y-axis).
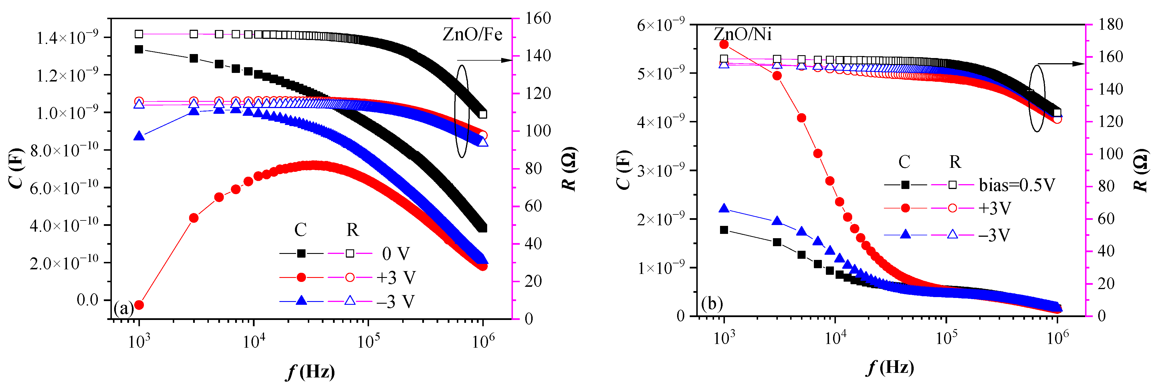
Figure 7.
Capacitance dispersion of metal/ZnO/metal structures at different applied voltages for (a) Fe-doped ZnO and (b) Ni-doped ZnO. The change in resistance with frequency is also presented (hollow symbols, right-hand y-axis).
The dielectric response of the studied doped ZnO layers depends very strongly on the doping element. First, the dielectric behavior of the curves measured at different temperatures and V = 0 V were considered (Figure 6). Very strong dependence was observed on the doping element. Furthermore, the capacitance decreased with temperature for Fe-doped ZnO (Figure 6a) and increased with temperature for the Ni-doped layers (Figure 6b).
For ZnO/Fe (Figure 6a), with increasing frequency in the range of 103–105 Hz, capacitance only slightly changed. Dipolar polarization is usually considered the dominant polarization mechanism in this frequency range [37]. At high frequencies (f > 105 Hz), the dipole rotation and their alignment with the applied AC field does not follow the field changes, leading to the observed rapid decrease in capacitance. As discussed above, the Eg of the ZnO/Fe layers decreased with increasing doping levels, which signifies the incorporation of Fe into the ZnO lattice. Therefore, we suggest that Fe-O bonds are formed when Fe is substituted at Zn sites and the rotation of these bonds is at the origin of the enhanced dielectric response of the layer [39]. The domination of orientation polarization at 103–105 Hz was confirmed via the temperature dependence of capacitance, which decreased with increasing temperature (Figure 6a). This is easily explained as the increase in the thermal energy of the dipoles counteracts their alignment with the applied field. The Ni-doped layers demonstrated substantially different dependence in their dielectric behavior on frequency and temperature. Unlike the ZnO/Fe layers, ZnO/Ni reveals increased capacitance in the frequency range of 103–104 Hz, as compared to capacitance at f = 104–105 Hz (Figure 6b). This is a clear indication that an additional polarization mechanism exists at lower frequencies and is associated with polarization at nanocrystalline grain boundaries and/or heterogeneous interfaces. This mechanism is also known as Maxwell–Wagner (MW) polarization and occurs at the interfaces between two media with distinctly different conductivity, e.g., highly conducting grains and relatively lower conducting grain boundaries or heterointerfaces. The difference in conductivity results in an accumulation of electrons at the boundaries between the two media, producing a charge buildup at the internal interfaces. Consequently, an increase in capacitance was observed. The increase in capacitance of the Ni-doped layers in the frequency range of f = 103–104 Hz was observed at all temperatures and confirmed the presence of an additional polarization mechanism in these layers, as mentioned above. Moreover, strong temperature dependence of the C–f curves of the ZnO/Ni layers at f = 103–104 Hz was observed and this was opposite to that of the ZnO/Fe films, i.e., capacitance increases with increasing temperature, which further supports the suggestion of the dominance of MW polarization in the ZnO/Ni layers. At f = 104–105 Hz, the dependence on temperature becomes weaker, and at frequencies around 105 Hz, it reverses, i.e., capacitance slightly decreases as temperature increases, indicating a shift in the dominating polarization mechanism from MW to dipole polarization. MW polarization, due to charge accumulation at grain boundaries, is well justified, bearing in mind that our previous studies revealed that the doped ZnO films have polycrystalline hexagonal wurtzite structures [26,27]. However, the two doped films have similar grain sizes (23 nm for Fe-doped and 28 nm for Ni-doped ZnO), whereas the increase in capacitance at frequencies of f = 103–104 Hz was observed only for the later. Therefore, an additional reason for increased MW polarization in the Ni-doped layers should exist.
The dependence of dielectric relaxation on the applied voltage (Figure 7) was examined to obtain greater insight into the influence of both metal/ZnO interfaces. It is seen that the two types of doping had distinctly different effects on the C–f curves measured at positive or negative applied voltages. In the case of Ni doping, the capacitance increased when the voltage (irrespective of polarity) was applied (Figure 7b), whereas for Fe-doped ZnO, the capacitance decreased (Figure 7a). Generally, the shape of the C–f curves did not change (except for Fe-doped ZnO at low frequencies) and was similar to the respective curves measured at 0 V, which implies that the dominating polarization mechanisms do not change upon the application of voltage. For both types of doping, the change in capacitance was always stronger for positive applied voltage, especially at lower frequencies. At positive voltage, the electrons are injected from the bottom TiN electrode. Therefore, the electrical quality of the bottom electrode interface with ZnO, e.g., the existence of inhomogeneities, defects, traps, etc., substantially affects dielectric relaxation. For Ni-doped ZnO layers, this result is in very good agreement with the observed decrease in bandgap when deposited on TiN. This gives us a reason to conclude that the MW space charge relaxation in ZnO/Ni layers is mostly due to structural changes/inhomogeneities and/or defects near the ZnO/TiN interface. This may arise from the formation of NiO clusters in the ZnO matrix. In our previous study on more lightly Ni-doped ZnO, the formation of NiO clusters was observed [26]. Deposition on TiN could result in increased formation of NiO clusters close to the TiN interface, which affects both the bandgap and the polarization processes.
Finally, the observed negative capacitance (i.e., negative permittivity) in some cases, as revealed in Figure 5, Figure 6 and Figure 7, should be addressed. Negative permittivity in different materials measured at radio frequencies is often reported, including cases where Ni or Fe are incorporated into a particular host matrix [40,41]. Usually, the appearance of negative permittivity at high frequencies is explained within the Drude model, which considers the combined contributions of delocalized free electrons, as well as charges localized by oxygen vacancies and other defects [42]. Negative capacitance has also been reported in ZnO-based materials and Schottky structures [43], and is usually observed at low frequencies for forward biased structures. The loss of interface charge states, together with the presence of oxygen vacancies, as well as piezoelectric and electrostriction effects, are believed to be the basis of the observed negative capacitance phenomena [44]. The negative capacitance values are also linked to processes initiated by injected hot electrons at the metal-semiconductor junction [43]. The reasons for the appearance of negative capacitance regions in the C–V and C–f curves of our Ni- and Fe-doped ZnO structures are not clear at the moment and require more dedicated measurements and analysis to clarify their origin and dependence on the doping. This is beyond of the scope of this study. Nevertheless, the more pronounced negative capacitance behavior of Fe-doped ZnO suggests that it might be related to their stronger ferromagnetic behavior, as revealed by MOKE [27].
4. Conclusions
Ni- or Fe-doped ZnO layers were prepared using ALD, and their electric and dielectric properties were studied depending on the doping element. The results reveal the complex nature of the polarization processes that take place in the layers, depending on their composition and the measurement parameters (temperature, frequency, and applied voltage polarity). In Fe-doped ZnO, dipolar polarization is the dominant polarization mechanism, whereas Maxwell–Wagner space-charge polarization contributes substantially to dielectric polarization in ZnO/Ni films. The decrease in optical bandgap with increasing Fe doping indicates effective incorporation of Fe into the ZnO lattice. Ni-doped ZnO films demonstrate some peculiarities compared to Fe-doped films, e.g., decreased bandgap when deposited on TiN, unrealistically high barrier heights at the Pt/ZnO/Ni interface, and increased interfacial MW polarization. These are attributed to the existence of defects and inhomogeneities close to the metal/ZnO interfaces, likely involving the formation of NiO clusters within the layers.
The obtained results provide insights into the electrical and dielectric behavior of doped ZnO layers and, in combination with our previous studies, reveal the very promising properties of Fe-doped ZnO layers. In particular, the evidence for better incorporation of Fe into the ZnO matrix and the dominant dipolar polarization explains the stronger ferromagnetic response and ferroelectric-like behavior of Fe-doped films compared to Ni-doped films. For Ni-doped films, the ALD scheme should be optimized to avoid inhomogeneities and interfacial defects. In addition, more precise measurements and analyses are required to clarify the origin of the observed negative capacitance in some cases and whether it is a real phenomenon or a measurement artefact. This could expand the diverse application areas of these layers.
Author Contributions
Conceptualization, A.P.; methodology, B.B., D.S. and P.T.; formal analysis, A.P. and D.S., investigation, D.S, B.B. and P.T.; writing—original draft preparation, A.P.; writing—review and editing, D.S. and B.B.; visualization, D.S.; funding acquisition, A.P; project administration, A.P. All authors have read and agreed to the published version of the manuscript.
Funding
This work was financially supported by the Bulgarian National Scientific Fund, Project KP-06-H28/9.
Institutional Review Board Statement
Not applicable.
Informed Consent Statement
Not applicable.
Data Availability Statement
The datasets that support the findings in this study are available from the corresponding author upon reasonable request.
Conflicts of Interest
The authors declare no conflicts of interest.
References
- Ozgur, U.; Alivov, Y.I.; Liu, C.; Teke, A.; Reshchikov, M.A.; Dogan, S.; Avrutin, V.; Cho, S.J.; Morko, H. A Comprehensive Review of ZnO Materials and Devices. J. Appl. Phys. 2005, 98, 041301. [Google Scholar] [CrossRef]
- Carcia, P.F.; McLean, R.S.; Reilly, M.H.; Nunes, G. Transparent ZnO thin-film transistor fabricated by rf magnetron sputtering. Appl. Phys. Lett. 2003, 82, 1117–1119. [Google Scholar] [CrossRef]
- Wisz, G.; Virt, I.; Sagan, P.; Potera, P.; Yavorskyi, R. Structural, optical and electrical properties of zinc oxide layers produced by pulsed laser deposition method. Nanoscale Res. Lett. 2017, 12, 253. [Google Scholar] [CrossRef]
- Znaidi, L. Sol–gel-deposited ZnO thin films: A review. Mater. Sci. Eng. B 2010, 174, 18–30. [Google Scholar] [CrossRef]
- Farrag, A.A.-G.; Balboul, M.R. Nano ZnO thin films synthesis by sol–gel spin coating method as a transparent layer for solar cell applications. J. Sol-Gel. Sci. Technol. 2016, 1, 269–279. [Google Scholar] [CrossRef]
- Phan, T.-L.; Yu, S.C.; Vincent, R.; Dan, N.H.; Shi, W.S. Photoluminescence properties of various CVD-grown ZnO nanostructures. J. Lumin. 2010, 130, 1142–1146. [Google Scholar] [CrossRef]
- Habibi, A.; Vatandoust, L.; Aref, S.M.; Naghshara, H. Formation of high performance nanostructured ZnO thin films as a function of annealing temperature: Structural and optical properties. Surf. Interfaces 2020, 21, 100723. [Google Scholar] [CrossRef]
- Saha, J.K.; Bukke, R.N.; Jang, J. Extremely Stable, High Performance Gd and Li Alloyed ZnO Thin Film Transistor by Spray Pyrolysis. Adv. Electron. Mater. 2020, 6, 2000594. [Google Scholar] [CrossRef]
- Leroux, C.; Guillaume, C.; Labbé, C.; Portier, X.; Zhuchenko, Z.; Zolotovsky, A.; Boullay, P.; Pelloquin, D. Structural Evolution in an Annealed (Eu, Tb)-Doped ZnO/Si Nanoscale Junction: Implication for Red LED Development. ACS Appl. Nano Mater. 2022, 5, 18545–18552. [Google Scholar] [CrossRef]
- Fu, S.; Xi, W.; Ren, J.; Wei, H.; Sun, W. Study on the Photocatalytic Properties of Metal–Organic Framework-Derived C-, N-Co-Doped ZnO. Materials 2024, 17, 855. [Google Scholar] [CrossRef]
- Wang, L.-W.; Chu, S.-Y. Effects of Post-Annealing on the Properties of ZnO:Ga Films with High Transparency (94%) and Low Sheet Resistance (29 Ω/square). Materials 2023, 16, 6463. [Google Scholar] [CrossRef] [PubMed]
- Blažeka, D.; Radičić, R.; Maletić, D.; Živković, S.; Momčilović, M.; Krstulović, N. Enhancement of Methylene Blue Photodegradation Rate Using Laser Synthesized Ag-Doped ZnO Nanoparticles. Nanomaterials 2022, 12, 2677. [Google Scholar] [CrossRef] [PubMed]
- Guziewicz, E.; Godlewski, M.; Krajewski, T.; Wachnicki, Ł.; Szczepanik, A.; Kopalko, K.; Wójcik-Godowska, A.; Przeździecka, E.; Paszkowicz, W.; Łusakowska, E.; et al. ZnO grown by atomic layer deposition: A material for transparent electronics and organic heterojunctions. J. Appl. Phys. 2009, 105, 122413. [Google Scholar] [CrossRef]
- Tynell, T.; Karppinen, M. Atomic layer deposition of ZnO: A review. Semicond. Sci. Technol. 2014, 29, 043001. [Google Scholar] [CrossRef]
- Nguyen, T.; Adjeroud, N.; Guennou, M.; Guillot, J.; Fleming, Y.; Papon, A.-M.; Arl, D.; Menguelti, K.; Joly, R.; Gambacorti, N.; et al. Controlling electrical and optical properties of zinc oxide thin films grown by thermal atomic layer deposition with oxygen gas. Results Mater. 2020, 6, 100088. [Google Scholar] [CrossRef]
- Huang, R.; Ye, S.; Sun, K.; Kiang, K.S.; de Groot, C.H.K. Fermi level tuning of ZnO films through supercycled atomic layer deposition. Nanoscale Res. Lett. 2017, 12, 541. [Google Scholar] [CrossRef] [PubMed]
- Pilz, J.; Perrotta, A.; Christian, P.; Tazreiter, M.; Resel, R.; Leising, G.; Griesser, T.; Coclite, A.M. Tuning of material prop erties of ZnO thin films grown by plasma-enhanced atomic layer deposition at room temperature. J. Vac. Sci. Technol. A 2017, 36, 01A109. [Google Scholar] [CrossRef]
- Gao, Z.; Banerjee, P. Review Article: Atomic layer deposition of doped ZnO films. J. Vac. Sci. Technol. A 2019, 37, 050802. [Google Scholar] [CrossRef]
- Ringleb, A.; Klement, P.; Schörmann, J.; Chatterjee, S.; Schlettwein, D. Harnessing the Potential of Porous ZnO Photoanodes in Dye-Sensitized Solar Cells by Atomic Layer Deposition of Mg-Doped ZnO. ACS Appl. Energy Mater. 2022, 5, 14825–14835. [Google Scholar] [CrossRef]
- Zhu, Y.; Wu, Y.; Cao, F.; Ji, X. Ga-concentration-dependent optical and electrical properties of Ga-doped ZnO thin films prepared by low-temperature atomic layer deposition. J. Mater. Sci. Mater. Electron. 2022, 33, 5696–5706. [Google Scholar] [CrossRef]
- Dietl, T.; Ohno, H.; Matsukura, F.; Cibert, J.; Ferrand, D. Zener Model Description of Ferromagnetism in Zinc-Blende Magnetic Semiconductors. Science 2000, 287, 1019–1022. [Google Scholar] [CrossRef] [PubMed]
- Quan, Z.; Zhang, X.; Liu, W.; Li, X.; Addison, K.; Gehring, G.A.; Xu, X. Enhanced room temperature magnetoresistance and spin injection from metallic cobalt in Co/ZnO and Co/ZnAlO films. ACS Appl. Mater. Interfaces 2013, 5, 3607–3613. [Google Scholar] [CrossRef] [PubMed]
- Liu, C.; Yun, F.; Morkoc, H. Ferromagnetism of ZnO and GaN: A Review. J. Mater. Sci. Mater. Electron. 2005, 9, 555–597. [Google Scholar] [CrossRef]
- Sawicki, M.; Guziewicz, E.; Łukasiewicz, M.I.; Proselkov, O.; Kowalik, I.A.; Lisowski, W.; Dluzewski, P.; Wittlin, A.; Jaworski, M.; Wolska, A.; et al. Homogeneous and heterogeneous magnetism in (Zn,Co)O: From a random antiferromagnet to a dipolar superferromagnet by changing the growth temperature. Phys. Rev. B 2013, 88, 085204. [Google Scholar] [CrossRef]
- Łukasiewicz, M.I.; Witkowski, B.; Godlewski, M.; Guziewicz, E.; Sawicki, M.; Paszkowicz, W.; Jakieła, R.; Krajewski, T.A.; Łuka, G. Effects related to deposition temperature of ZnCoO films grown by atomic layer deposition–uniformity of Co distribution, structural, optical, electrical and magnetic properties. Phys. Status Solidi B 2010, 247, 1666–1670. [Google Scholar] [CrossRef][Green Version]
- Paskaleva, A.; Blagoev, B.S.; Terziyska, P.T.; Mehandzhiev, V.; Tzvetkov, P.; Kovacheva, D.; Avramova, I.; Spassov, D.; Ivanova, T.; Gesheva, K. Structural, morphological and optical properties of atomic layer deposited transition metal (Co, Ni or Fe)-doped ZnO layers. J. Mater. Sci. Mater. Electron. 2021, 32, 7162–7175. [Google Scholar] [CrossRef]
- Paskaleva, A.; Buchkov, K.; Galluzzi, A.; Spassov, D.; Blagoev, B.; Ivanov, T.; Mehandzhiev, V.; Avramova, I.A.; Terzyiska, P.; Tzvetkov, P.; et al. Magneto-Optical and Multiferroic Properties of Transition-Metal (Fe, Co, or Ni)-Doped ZnO Layers Deposited by ALD. ACS Omega 2022, 7, 43306–43315. [Google Scholar] [CrossRef] [PubMed]
- Spassov, D.; Paskaleva, A.; Blagoev, B.; Mehandzhiev, V. Electric characterization of transition metal (Co, Ni, Fe) doped ZnO thin layers prepared by atomic layer deposition. J. Phys. Conf. Ser. 2023, 2436, 012014. [Google Scholar] [CrossRef]
- Galluzzi, A.; Buchkov, K.; Blagoev, B.S.; Paskaleva, A.; Avramova, I.; Mehandhziev, V.; Tzvetkov, P.; Terziyska, P.; Kovacheva, D.; Polichetti, M. Strong Magneto-Optical Kerr Effects in Ni-Doped ZnO Nanolaminate Structures Obtained by Atomic Layer Deposition. Materials 2023, 16, 6547. [Google Scholar] [CrossRef]
- Ali, M.Y.; Khan, M.K.R.; Karim, A.T.; Rahman, M.M.; Kamruzzaman, M. Effect of Ni doping on structure, morphology and opto-transport properties of spray pyrolised ZnO nano-fiber. Heliyon 2020, 6, e03588. [Google Scholar] [CrossRef]
- Iskenderoglu, D.; Güney, H. Synthesis and characterization of ZnO:Ni thin films grown by spray-deposition. Ceram. Int. 2017, 43, 16593–16599. [Google Scholar] [CrossRef]
- Hassan, M.M.; Khan, W.; Azam, A.; Naqvi, A.H. Effect of size reduction on structural and optical properties of ZnO matrix due to successive doping of Fe ions. J. Lumin. 2014, 145, 160–166. [Google Scholar] [CrossRef]
- Bu, I.Y.Y. Sol–gel production of ZnO:Co: Effect of postannealing temperature on its optoelectronic properties. Mater. Sci. Semicond. Proc. 2016, 41, 240–245. [Google Scholar] [CrossRef]
- Lin, T.T.; Young, S.L.; Kung, C.Y.; Chen, H.Z.; Kao, M.C.; Chang, M.C.; Ou, C.R. Variable-Range Hopping and Thermal Activation Conduction of Y-Doped ZnO Nanocrystalline Films. IEEE Trans. Nanotechnol. 2014, 13, 425–430. [Google Scholar] [CrossRef]
- Hussain, I.; Soomro, M.Y.; Bano, N.; Nur, O.; Willander, M. Interface trap characterization and electrical properties of Au-ZnO nanorod Schottky diodes by conductance and capacitance methods. J. Appl. Phys. 2012, 112, 064506. [Google Scholar] [CrossRef]
- Brillson, L.J.; Lu, Y. ZnO Schottky barriers and Ohmic contacts. J. Appl. Phys. 2011, 109, 121301. [Google Scholar] [CrossRef]
- Kasap, S.O. Principles of Electrical Engineering Materials and Devices; McGraw Hill: New York, NY, USA, 1997; Chapter 7. [Google Scholar]
- Jin, Y.; Kumar, S.; Gerhardt, R.A. Simulation of the Impedance Response of Thin Films as a Function of Film Conductivity and Thickness. In Proceedings of the 2015 COMSOL Conference, Boston, MA, USA, 7–9 October 2015; Available online: https://www.comsol.com/paper/simulation-of-the-impedance-response-of-thin-films-as-a-function-of-film-conduct-25532 (accessed on 8 July 2024).
- Lehru, R.; Radhanpura, J.; Kumar, R.; Zala, D.; Vadgama, V.S.; Dadhich, H.; Rathod, V.R.; Trivedi, R.K.; Pandya, D.D.; Shah, N.A.; et al. Studies on electrical properties of Fe doped ZnO nanostructured oxides synthesized by sol–gel method. Solid State Commun. 2021, 336, 114415. [Google Scholar] [CrossRef]
- Shi, Z.C.; Fan, R.F.; Yan, K.L.; Sun, K.; Zhang, M.; Wang, C.; Liu, X.; Zhang, X. Preparation of Iron Networks Hosted in Porous Alumina with Tunable Negative Permittivity and Permeability. Adv. Funct. Mater. 2013, 23, 4123–4132. [Google Scholar] [CrossRef]
- Fan, G.; Wang, Z.; Wei, Z.; Liu, Y.; Fan, R. Negative dielectric permittivity and high-frequency diamagnetic responses of percolated nickel/rutile cermets. Compos. Part A 2020, 139, 106132. [Google Scholar] [CrossRef]
- Fan, G.; Wang, Z.; Sun, K.; Liu, Y.; Fan, R. Doped ceramics of indium oxides for negative permittivity materials in MHz-kHz frequency regions. J. Mater. Sci. Technol. 2021, 61, 125–131. [Google Scholar] [CrossRef]
- Joly, R.; Girod, S.; Adjeroud, N.; Grysan, P.; Polesel-Maris, J. Evidence of Negative Capacitance and Capacitance Modulation by Light and Mechanical Stimuli in Pt/ZnO/Pt Schottky Junctions. Sensors 2021, 21, 2253. [Google Scholar] [CrossRef] [PubMed]
- Laurenti, M.; Verna, A.; Chiolerio, A. Evidence of Negative Capacitance in Piezoelectric ZnO Thin Films Sputtered on Interdigital Electrodes. ACS Appl. Mater. Interfaces 2015, 7, 24470–24479. [Google Scholar] [CrossRef] [PubMed]
Disclaimer/Publisher’s Note: The statements, opinions and data contained in all publications are solely those of the individual author(s) and contributor(s) and not of MDPI and/or the editor(s). MDPI and/or the editor(s) disclaim responsibility for any injury to people or property resulting from any ideas, methods, instructions or products referred to in the content. |
© 2024 by the authors. Licensee MDPI, Basel, Switzerland. This article is an open access article distributed under the terms and conditions of the Creative Commons Attribution (CC BY) license (https://creativecommons.org/licenses/by/4.0/).






