Effect of Residual Stress and Microstructure on the Fatigue Crack Growth Behavior of Aluminum Friction Stir Welded Joints
Abstract
1. Introduction
2. Experimental Section
3. Residual Stress Measurement
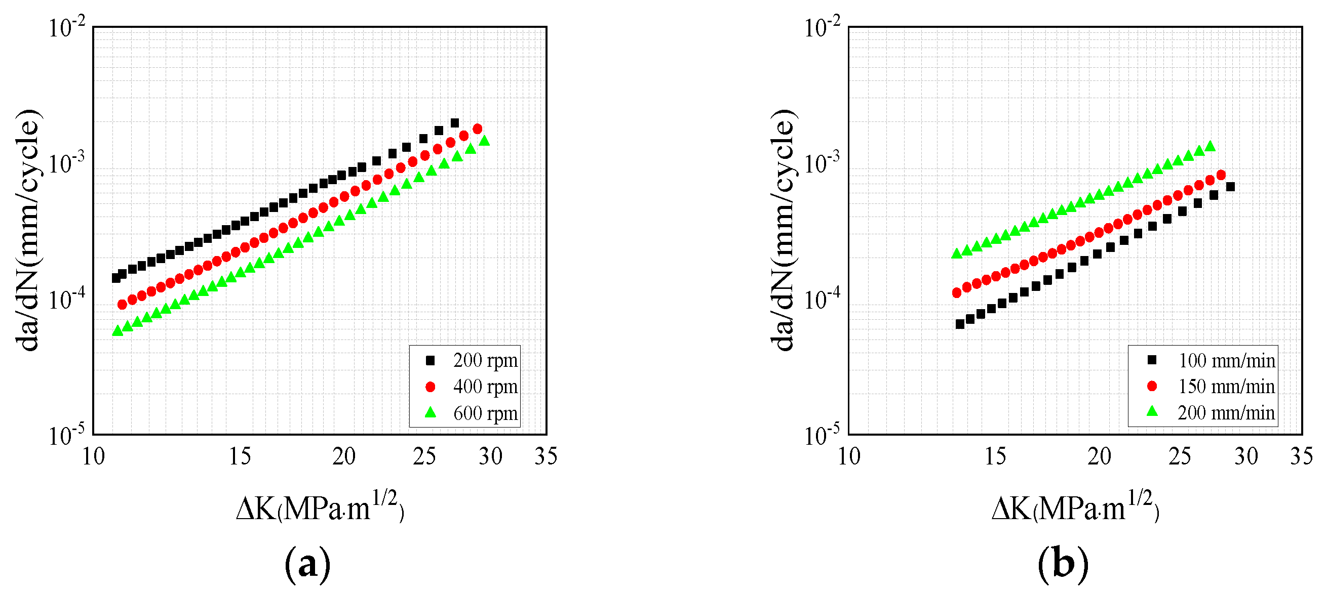
4. Fatigue Crack Growth Experiment
5. Numerical Analysis of Fatigue Crack Growth
5.1. Residual Stress Distribution of the Fatigue Specimen
5.2. Calculation Results of Fatigue Crack Growth
6. Microstructure Analysis
7. Conclusions
- (1)
- The welding parameters significantly influenced the fatigue crack growth rate. For the 2024 specimens, the fatigue crack growth rate increased with the higher rotational speed, while for the 7075 specimens, it decreased with the higher welding speed.
- (2)
- The longitudinal residual stress had the most significant impact on crack deflection. Additionally, the tensile residual stress in the welded joints accelerated crack growth, partially counteracting the reduction in the fatigue crack growth rate due to grain refinement. Conversely, the compressive residual stress reduced the stress intensity factor, thereby resulting in a diminished crack driving force.
- (3)
- The microstructural characteristic of the welded joints aligns with the distribution of residual stress. It was revealed that the precipitated phase both pinned dislocations and induced the generation of additional dislocations, thereby resulting in dislocation plugging. Consequently, as the rotational speed decreased, the dislocation density and sliding resistance increased, which thus led to a decreased rate of fatigue crack propagation. Furthermore, the TMAZ and HAZ contained coarser precipitates compared to the WZ, causing the crack to deflect towards the TMAZ.
Author Contributions
Funding
Data Availability Statement
Conflicts of Interest
References
- Rajendran, C.; Kumar, M.V.; Sonar, T.; Mallieswaran, K. Investigating the Effect of PWHT on microstructural features and fatigue crack growth behavior of friction stir welded AA2024-T6 aluminum alloy joints. Forces Mech. 2022, 8, 100107. [Google Scholar] [CrossRef]
- Thomas, W.M.; Nicholas, E.D.; Needham, J.C.; Murch, M.G.; Temple-Smith, P.; Dawes, C.J. Friction Stir Butt Welding. International Patent Application No. PCT/GB92102203; Great Britain Patent Application No. 9125978.8, 6 December 1991. [Google Scholar]
- Oliveira, J.P.; Duarte, J.F.; Inácio, P.; Schell, N.; Miranda, R.M.; Santos, T.G. Production of Al/NiTi composites by friction stir welding assisted by electrical current. Mater. Des. 2017, 113, 311–318. [Google Scholar] [CrossRef]
- Ke, W.C.; Oliveira, J.P.; Ao, S.S.; Teshome, F.B.; Chen, L.; Peng, B.; Zeng, Z. Thermal process and material flow during dissimilar double-sided friction stir spot welding of AZ31/ZK60 magnesium alloys. J. Mater. Res. Technol. 2022, 17, 1942–1954. [Google Scholar] [CrossRef]
- Zhang, X.; Ma, Y.E.; Wang, Z.; Guo, Y. The effect of residual stress on mixed-mode crack propagation behaviour in friction stir welded 7075-T6 aluminium alloy panel under biaxial loading. Fatigue Fract. Eng. Mater. Struct. 2021, 44, 805–821. [Google Scholar] [CrossRef]
- Das, J.; Banik, S.R.; Reddy, S.R.S.K.; Sankar, M.R.; Robi, P.S. Review on process parameters effect on fatigue crack growth rate in friction stir welding. Mater. Today Proc. 2019, 18, 3061–3070. [Google Scholar] [CrossRef]
- Luan, G.H.; North, T.H.; Guo, D.L. Characterizations of frictions stir welding on aluminum alloy. Trans. China Weld. Inst. 2002, 23, 62–66. [Google Scholar]
- Milan, M.T.; Bose Filho, W.W.; Tarpani, J.R.; Malafaia, A.M.D.S.; Silva, C.P.O.; Pellizer, B.C.; Pereira, L.E. Residual stress evaluation of AA2024-T3 friction stir welded joints. J. Mater. Eng. Perform. 2007, 16, 86–92. [Google Scholar] [CrossRef]
- Dattoma, V.; Giorgi, M.D.; Nobile, R. An experimental study on residual stress relaxation in low-cycle fatigue of Inconel 718 Plus. Fatigue Fract. Eng. Mater. Struct. 2022, 46, 310–324. [Google Scholar] [CrossRef]
- Liu, R.F.; Young, M.C. Influence on structure and fracture mechanics evaluation of a BWR feedwater nozzle following weld overlay repair. J. Mech. 2023, 39, 113–134. [Google Scholar] [CrossRef]
- He, X.C.; Gu, F.S.; Ball, A. A review of numerical analysis of friction stir welding. Prog. Mater. Sci. 2014, 65, 1–66. [Google Scholar] [CrossRef]
- Mishra, R.S.; Ma, Z.Y. Friction stir welding and processing. Mater. Sci. Eng. R Rep. 2005, 50, 1–78. [Google Scholar] [CrossRef]
- Guo, Y.N.; Ma, Y.E.; Zhang, X.S.; Li, J. Study on residual stress distribution of 2024-T3 and 7075-T6 aluminum dissimilar friction stir welded joints. Eng. Fail. Anal. 2020, 118, 104911. [Google Scholar] [CrossRef]
- Cai, B.; Zheng, Z.Q.; He, D.Q.; Li, S.C.; Li, H.P. Friction stir weld of 2060 Al-Cu-Li alloy: Microstructure and mechanical properties. J. Alloys Compd. 2015, 649, 19–27. [Google Scholar] [CrossRef]
- Liu, M.; Tao, X.; Di, Z.; Qin, M.; Liu, Z.; Bai, S. Effect of Pre-Rolling on Microstructure and Fatigue Crack Propagation Resistance of a Third-Generation Al-Li Alloy. Materials 2023, 16, 7540. [Google Scholar] [CrossRef]
- Wang, F.F.; Li, W.Y.; Shen, J.; Hu, S.Y.; dos Santos, J.F. Effect of tool rotational speed on the microstructure and mechanical properties of bobbin tool friction stir welding of Al-Li alloy. Mater. Des. 2015, 86, 933–940. [Google Scholar] [CrossRef]
- Prangnell, P.B.; Heason, C.P. Grain structure formation during friction stir welding observed by the stop action technique. Acta Mater. 2005, 53, 3179–3192. [Google Scholar] [CrossRef]
- Threadgill, P.L.; Leonard, A.J.; Shercliff, H.R.; Withers, P.J. Friction stir welding of aluminium alloys. Int. Mater. Rev. 2009, 54, 49–93. [Google Scholar] [CrossRef]
- Vuherer, T.; Milčić, M.; Glodež, S.; Milčić, D.; Radović, L.; Kramberger, J. Fatigue and fracture behavior of Friction Stir Welded AA-2024-T351 joints. Theor. Appl. Fract. Mech. 2021, 114, 103027. [Google Scholar] [CrossRef]
- Lan, Z.; Zhong, H.L.; Li, S.C.; Zhao, H.; Chen, J.; Qi, L. Microstructure, mechanical properties and fatigue crack growth behavior of friction stir welded joint of 6061-T6 aluminum alloy. Int. J. Fatigue 2020, 135, 105556. [Google Scholar]
- Pasta, S.; Reynolds, A.P. Residual stress effects on fatigue crack growth in a Ti-6Al-4V friction stir weld. Fatigue Fract. Eng. Mater. Struct. 2008, 31, 569–580. [Google Scholar] [CrossRef]
- Bussu, G.; Irving, P.E. The role of residual stress and heat affected zone properties on fatigue crack propagation in friction stir welded 2024-T351 aluminium joints. Int. J. Fatigue 2003, 25, 77–88. [Google Scholar] [CrossRef]
- Fratini, L.; Zuccarello, B. An analysis of through-thickness residual stresses in aluminium FSW butt joints. Int. J. Mach. Tools Manuf. 2006, 46, 611–619. [Google Scholar] [CrossRef]
- Fratini, L.; Pasta, S.; Reynolds, A.P. Fatigue crack growth in 2024-T351 friction stir welded joints: Longitudinal residual stress and microstructural effects. Int. J. Fatigue 2009, 31, 495–500. [Google Scholar] [CrossRef]
- Ilman, M.N.; Kusmono, P.; Iswanto, T. Fatigue crack growth rate behaviour of friction-stir aluminium alloy AA2024-T3 welds under transient thermal tensioning. Mater. Des. 2013, 50, 235–243. [Google Scholar] [CrossRef]
- Anderson-Wedge, K.; Stubblefield, G.; Zhu, N.; Long, B.; Daniewicz, S.R.; Allison, P.; Sowards, J.; Rodriguez, O.; Amaro, R. Characterization of the evolution of 2219-T87 aluminum as a function of the friction stir welding process. Int. J. Fatigue 2021, 142, 105954. [Google Scholar] [CrossRef]
- ASTM-647-2011; Standard Test Method for Measurement of Fatigue Crack Growth Rates 1 [S]. ASTM International: West Conshohocken, PA, USA, 2008.
- Buglioni, L.; Tufaro, L.N.; Svoboda, H.G. Thermal cycles and residual stresses in FSW of aluminum alloys: Experimental measurements and numerical models. Procedia Mater. Sci. 2015, 9, 87–96. [Google Scholar] [CrossRef]
- Guo, Y.N.; Ma, Y.E.; Wang, F. Dynamic fracture properties of 2024-T3 and 7075-T6 aluminum friction stir welded joints with different welding parameters. Theor. Appl. Fract. Mech. 2019, 104, 102372. [Google Scholar] [CrossRef]
- Chen, C.M.; Kovacevic, R. Finite element modeling of friction stir welding-thermal and thermo mechanical analysis. Int. J. Mach. Tools Manuf. 2003, 43, 1319–1326. [Google Scholar] [CrossRef]
- Niu, P.; Li, W.; Yang, C.; Chen, Y.; Chen, D. Low cycle fatigue properties of friction stir welded dissimilar 2024-to-7075 aluminum alloy joints. Mater. Sci. Eng. A 2022, 832, 142423. [Google Scholar] [CrossRef]
- Genevois, C.; Deschamps, A.; Denquin, A.; Doisneau-Cottignies, B. Quantitative investigation of precipitation and mechanical behaviour for AA2024 friction stir welds. Acta Mater. 2005, 53, 2447–2458. [Google Scholar] [CrossRef]
- Zhang, Z.; Xiao, B.L.; Ma, Z.Y. Hardness recovery mechanism in the heat-affected zone during long-term natural aging and its influence on the mechanical properties and fracture behavior of friction stir welded 2024Al-T351 joints. Acta Mater. 2014, 73, 227–239. [Google Scholar] [CrossRef]
















| Material | Chemical Composition (%) | ||||||||
|---|---|---|---|---|---|---|---|---|---|
| 2024-T3 | Cu | Si | Fe | Mn | Mg | Zn | Cr | Ti | Al |
| 3.8–4.9 | 0.5 | 0.5 | 0.3–0.9 | 1.2–1.8 | 0.25 | 0.1 | 0.15 | Base | |
| 7075-T6 | Si | Fe | Mn | Cu | Mg | Cr | Zn | Ti | Al |
| 0.4 | 0.5 | 0.3 | 1.2–2.0 | 2.1–2.9 | 0.18–0.28 | 5.1–6.1 | 0.2 | Base | |
| Specimen | Material | Rotational Speed (rpm) | Welding Speed (mm/min) |
|---|---|---|---|
| 1 | 2024 homogeneous | 400 | 150 |
| 2 | 2024 homogeneous | 200 | 150 |
| 3 | 7075 homogeneous | 400 | 150 |
| 4 | 7075 homogeneous | 400 | 100 |
| 5 | 2024/7075 dissimilar | 400 | 150 |
| Temperature (°C) | 25 | 100 | 200 | 300 | 400 | 500 | |
|---|---|---|---|---|---|---|---|
| 2024 | Specific heat (J/(kg·K)) | 900 | 910 | 950 | 1020 | 1100 | 1100 |
| Density (kg/m3) | 2770 | 2760 | 2730 | 2710 | 2690 | 2670 | |
| Thermal conductivity (W/(m·K)) | 126 | 129 | 153 | 178 | 187 | 194 | |
| Poisson’s ratio | 0.33 | 0.33 | 0.33 | 0.33 | 0.33 | 0.33 | |
| Young’s modulus (MPa) | 7.2 × 104 | 7.1 × 104 | 6.3 × 104 | 5.3 × 104 | 4.5 × 104 | 4.3 × 104 | |
| Coefficient of thermal expansion (×10−5/K) | 2.11 | 2.29 | 2.38 | 2.47 | 2.65 | 2.87 | |
| 7075 | Specific heat (J/(kg·K)) | 835.4 | 897 | 974 | 1012.5 | 1128 | 1205 |
| Density (kg/m3) | 2800 | 2800 | 2800 | 2800 | 2800 | 2800 | |
| Thermal conductivity (W/(m·K)) | 114.8 | 128.4 | 142.2 | 152.7 | 160.8 | 166.7 | |
| Poisson’s ratio | 0.33 | 0.33 | 0.33 | 0.33 | 0.33 | 0.33 | |
| Young’s modulus (MPa) | 7.3 × 104 | 7.2 × 104 | 6.4 × 104 | 5.6 × 104 | 4.8 × 104 | 4.8 × 104 | |
| Coefficient of thermal expansion (×10−5/K) | 2.3 | 2.44 | 2.66 | 2.87 | 3.09 | 3.2 |
| Temperature (°C) | 25 | 100 | 200 | 300 | 400 | 500 | |
|---|---|---|---|---|---|---|---|
| 2024 base metal | Yield stress (MPa) | 306 | 261 | 152 | 57 | 13 | 5 |
| Plastic modulus (MPa) | 530 | 400 | 330 | 233 | 95 | 65 | |
| 2024 advancing HAZ | Yield stress (MPa) | 326 | 278 | 162 | 60 | 13 | 5 |
| Plastic modulus (MPa) | 424 | 289 | 103 | 63 | 35 | 15 | |
| 2024 advancing TMAZ | Yield stress (MPa) | 205 | 174 | 101 | 38 | 9 | 3 |
| Plastic modulus (MPa) | 820 | 750 | 600 | 370 | 210 | 90 | |
| WZ | Yield stress (MPa) | 229 | 198 | 113 | 42 | 9 | 3 |
| Plastic modulus (MPa) | 960 | 870 | 720 | 270 | 105 | 70 | |
| 2024 retreating TMAZ | Yield stress (MPa) | 211 | 180 | 105 | 39 | 9 | 3 |
| Yield stress (MPa) | 820 | 750 | 600 | 370 | 210 | 90 | |
| 7075 retreating HAZ | Yield stress (MPa) | 313 | 267 | 155 | 58 | 13 | 5 |
| Plastic modulus (MPa) | 424 | 289 | 103 | 63 | 35 | 15 |
| Temperature (°C) | 25 | 100 | 200 | 300 | 400 | 500 | |
|---|---|---|---|---|---|---|---|
| 7075 base metal | Yield stress (MPa) | 455 | 389 | 278 | 47 | 33 | 20 |
| Plastic modulus (MPa) | 250 | 210 | 150 | 50 | 15 | 10 | |
| 7075 advancing HAZ | Yield stress (MPa) | 381 | 326 | 233 | 39 | 27 | 16 |
| Plastic modulus (MPa) | 300 | 260 | 190 | 90 | 45 | 25 | |
| 7075 advancing TMAZ | Yield stress (MPa) | 252 | 215 | 154 | 26 | 18 | 11 |
| Plastic modulus (MPa) | 990 | 870 | 775 | 300 | 145 | 90 | |
| WZ | Yield stress (MPa) | 259 | 221 | 158 | 26 | 18 | 11 |
| Plastic modulus (MPa) | 940 | 830 | 680 | 230 | 75 | 50 | |
| 7075 retreating TMAZ | Yield stress (MPa) | 264 | 226 | 161 | 79 | 18 | 11 |
| Plastic modulus (MPa) | 990 | 870 | 775 | 300 | 145 | 90 | |
| 7075 retreating HAZ | Yield stress (MPa) | 371 | 317 | 226 | 38 | 26 | 16 |
| Plastic modulus (MPa) | 300 | 260 | 190 | 90 | 45 | 25 |
| Material | C | m | n |
|---|---|---|---|
| 2024 | 2.71 × 10−10 | 4.360 | 3.375 |
| 7075 | 6.79 × 10−10 | 3.957 | 3.108 |
| 2024/7075 | 4.75 × 10−10 | 4.159 | 3.242 |
Disclaimer/Publisher’s Note: The statements, opinions and data contained in all publications are solely those of the individual author(s) and contributor(s) and not of MDPI and/or the editor(s). MDPI and/or the editor(s) disclaim responsibility for any injury to people or property resulting from any ideas, methods, instructions or products referred to in the content. |
© 2024 by the authors. Licensee MDPI, Basel, Switzerland. This article is an open access article distributed under the terms and conditions of the Creative Commons Attribution (CC BY) license (https://creativecommons.org/licenses/by/4.0/).
Share and Cite
Guo, Y.; Li, P. Effect of Residual Stress and Microstructure on the Fatigue Crack Growth Behavior of Aluminum Friction Stir Welded Joints. Materials 2024, 17, 385. https://doi.org/10.3390/ma17020385
Guo Y, Li P. Effect of Residual Stress and Microstructure on the Fatigue Crack Growth Behavior of Aluminum Friction Stir Welded Joints. Materials. 2024; 17(2):385. https://doi.org/10.3390/ma17020385
Chicago/Turabian StyleGuo, Yanning, and Peiyao Li. 2024. "Effect of Residual Stress and Microstructure on the Fatigue Crack Growth Behavior of Aluminum Friction Stir Welded Joints" Materials 17, no. 2: 385. https://doi.org/10.3390/ma17020385
APA StyleGuo, Y., & Li, P. (2024). Effect of Residual Stress and Microstructure on the Fatigue Crack Growth Behavior of Aluminum Friction Stir Welded Joints. Materials, 17(2), 385. https://doi.org/10.3390/ma17020385

