Impact of Electromagnetic Stirring Roller Arrangement Pattern on Magnetic Field Simulation and Solidification Structure of PW800 Steel in the Second Cooling Zone
Abstract
1. Introduction
2. Model Descriptions
2.1. Assumptions
- Given the ample space surrounding the electromagnetic stirring device, there is assurance that the magnetic field lines can form a closed loop and are not significantly affected by the external magnetic field. Therefore, it is assumed that the magnetic field in the proximity of the magnetic pole is uniformly distributed, with the magnetic field lines passing through the pole oriented at a right angle to the surface of the pole;
- The physical parameters are time-invariant constants due to the small variation in the physical parameters of the molten steel during the continuous casting process;
- Considering the magnetic Reynolds number being less than 1 during electromagnetic stirring in the continuous casting process, it is assumed that the electromagnetic field is barely affected by the slow flow of molten steel (0.9 m/min) [16];
- The electromagnetic field generated by electromagnetic stirring can be considered a quasistatic field due to the low frequency of the alternating current (5–9 Hz).
2.2. Governing Equations
2.3. Electromagnetic Stirring Device
- Coil: the coil produces an alternating magnetic field when an alternating current is applied to it;
- Iron core: the iron core is the carrier of magnetic lines of force, which can enhance and concentrate magnetic fields;
- Slab: the slab is composed of an externally solidified shell and internal molten steel, with the flow field of the internal molten steel to changes in the electromagnetic force.
3. Results and Discussion
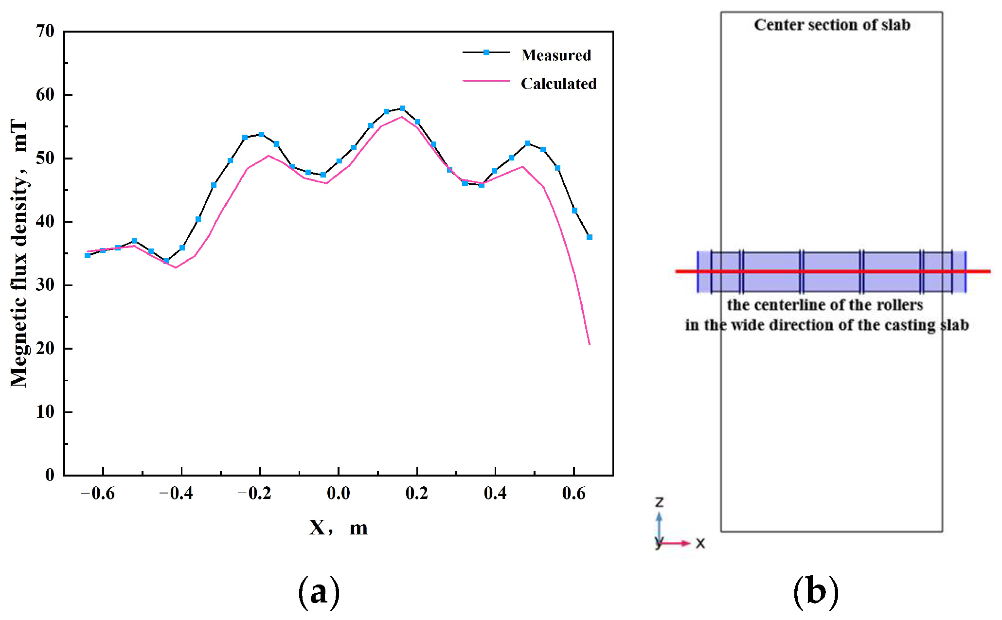
3.1. Model Validation
3.2. Selection of Optimal Stirring Current and Frequency
3.3. Distribution of Electromagnetic Force and Magnetic Flux Density When Two Pairs of Electromagnetic Stirring Rollers Are Arranged Face-to-Face
3.4. Distribution of Electromagnetic Force and Magnetic Flux Density When Two Pairs of Electromagnetic Stirring Rollers Are Arranged Side-to-Side
3.5. Distribution of Electromagnetic Force and Magnetic Flux Density When Four Electromagnetic Stirring Rollers Are Arranged in an Up-Down Misalignment
3.6. The Impact of Electromagnetic Field on PW800 Steel’s Solidification Structure
4. Conclusions
- The distribution of magnetic flux density in the casting slab is determined by the arrangement pattern of the electromagnetic stirring roller. In face-to-face, side-to-side and up-down misalignment arrangements, peak magnetic flux density occurs at the coil position. Furthermore, the flux density adjacent to the electromagnetic stirring roller in the side-to-side and up-down misalignment arrangements is observed to be higher than in the face-to-face arrangement.
- The electromagnetic force of the face-to-face arrangement generated by the largest and most concentrated produces almost no upward and downward components of electromagnetic force. Therefore, the face-to-face arrangement is superior to the remaining two types of arrangement patterns. The arrangement of side-to-side and up-down misalignment will produce large upward or downward components of electromagnetic force. These component forces lead to a reduction in the force applied to the stirring process and could potentially disturb the vortex, thereby compromising the effectiveness of the stirring.
- Using S-EMS significantly enhances the equiaxed grain ratio of casting slabs. Before and after the use of S-EMS, the equiaxial grain thickness of casting slabs increased from 16 mm, 21 mm and 18 mm to 78 mm, 81 mm, and 69 mm and the equiaxed grain ratio of casting slabs increased from 7%, 9% and 8% to 34%, 35% and 30%, respectively. The average equiaxed grain ratio of the casting slabs increased from 8% to 33%. Additionally, in actual production, the presence of curvature in the casting slabs leads to nonuniform heat transfer, causing the growth of columnar grains to be promoted on the loose side while hindering their growth on the fixed side.
Author Contributions
Funding
Institutional Review Board Statement
Informed Consent Statement
Data Availability Statement
Conflicts of Interest
References
- Cho, S.-M.; Thomas, B.G. Electromagnetic Effects on Solidification Defect Formation in Continuous Steel Casting. JOM 2020, 72, 3610–3627. [Google Scholar] [CrossRef]
- Liu, T.Y. Numerical Simulation of Electromagnetic Stirring of Rolls in Sub-Section of Ultra-Wide Slab Second Cooling Zone. Master’s Thesis, Northeastern University, Boston, MA, USA, 2019. [Google Scholar]
- de León, B.M.; Castillejos, E.A.H. Physical and Mathematical Modeling of Thin Steel Slab Continuous Casting Secondary Cooling Zone Air-Mist Impingement. Metall. Mater. Trans. B 2015, 46, 2028–2048. [Google Scholar] [CrossRef]
- Zappulla, M.L.S.; Cho, S.-M.; Koric, S.; Lee, H.-J.; Kim, S.-H.; Thomas, B.G. Multiphysics Modeling of Continuous Casting of Stainless Steel. J. Mater. Process. Technol. 2020, 278, 116469. [Google Scholar] [CrossRef]
- Liang, M.; Cho, S.-M.; Ruan, X.; Thomas, B.G. Modeling of Multiphase Flow, Superheat Dissipation, Particle Transport, and Capture in a Vertical and Bending Continuous Caster. Processes 2022, 10, 1429. [Google Scholar] [CrossRef]
- Thomas, B.G. Review on Modeling and Simulation of Continuous Casting. Steel Res. Int. 2018, 89, 1700312. [Google Scholar] [CrossRef]
- Thomas, B.G.; Zhang, L. Mathematical Modeling of Fluid Flow in Continuous Casting. ISIJ Int. 2001, 41, 1181–1193. [Google Scholar] [CrossRef]
- Yoon, J.-K. Applications of Numerical Simulation to Continuous Casting Technology. ISIJ Int. 2008, 48, 879–884. [Google Scholar] [CrossRef][Green Version]
- Zhang, K.; Chen, S.F.; Yang, B.; Liu, T.Y.; Zhao, Y.; Lei, H. Electromagnetic stirring roller arrangement in the second cooling zone of slab. J. Liaoning Univ. Sci. Technol. 2018, 41, 335–340+350. [Google Scholar]
- Li, J.C.; Yin, Y.C.; Wang, B.F. Numerical Simulation of Stirring Modes for Roll-type Electromagnetic Stirring in the Secondary Cooling Zone of the Continuous Casting Slab. Spec. Cast. Nonferrous Alloys 2013, 33, 302–305. [Google Scholar]
- Xiao, H.; Wang, P.; Zheng, Q.; Liu, S.; Chen, X.Q.; Zhang, Q. Influence of roll electromagnetic stirring coil position on solidification behavior of slabs. Steel 2023, 58, 79–88. [Google Scholar]
- Xiao, H.; Wang, P.; Yi, B.; Chen, X.; Li, A.; Tang, H.; Li, W.; Zhang, J. A Numerical and Experimental Study on the Solidification Structure of Fe–Cr–Ni Steel Slab Casting by Roller Electromagnetic Stirring. Metals 2020, 11, 6. [Google Scholar] [CrossRef]
- Fang, L.; Liu, T.; Huang, Y.; Wu, W.; Feng, W.; Lei, H. Numerical Simulation for Magnetohydrodynamic Flow and Solidification in an Ultra-Wide Slab Continuous Caster with Electromagnetic Stirring Roller. ISIJ Int. 2022, 62, 2294–2300. [Google Scholar] [CrossRef]
- Gong, J.; Liu, H.; Wang, X.; Bad, Y. Numerical Simulation of Electromagnetic Field and Flow Pattern in a Continuous Slab Caster with In-Roll Type Strand Electromagnetic Stirring. J. Iron Steel Res. Int. 2015, 22, 414–422. [Google Scholar] [CrossRef]
- Yu, Y.; Li, B.K. Calculation of electromagnetic force in electromagnetic stirring process for continuous casting of steel. J. Metals. 2006, 42, 540–544. [Google Scholar]
- Barna, M.; Javurek, M.; Wimmer, P. Numeric Simulation of the Steel Flow in a Slab Caster with a Box-Type Electromagnetic Stirrer. Steel Res. Int. 2020, 91, 9. [Google Scholar] [CrossRef]
- Wang, Y.; Chen, W.; Jiang, D.; Zhang, L. Effect of the Gap Between Copper Mold and Solidified Shell on the Fluid Flow in the Continuous Casting Strand with Mold Electromagnetic Stirring. Steel Res. Int. 2020, 91, 1900470. [Google Scholar] [CrossRef]
- Kunstreich, S. Electromagnetic Stirring for Continuous Casting-Part 1. Rev. Met. Paris 2003, 100, 395–408. [Google Scholar] [CrossRef]
- Goman, V.; Sokolov, I.; Fedoreev, S. Modeling Electromagnetic Stirring Processes during Continuous Casting of Large-Format Slabs. In Proceedings of the 2019 International Conference on Industrial Engineering, Applications and Manufacturing (ICIEAM), Sochi, Russia, 25–29 March 2019; pp. 1–5. [Google Scholar]
- Jiang, D.B.; Zhu, M.Y.; Zhang, L.F. Numerical Simulation of Solidification Behavior and Solute Transport in Slab Continuous Casting with S-EMS. Metals 2019, 9, 452. [Google Scholar] [CrossRef]
- Kunstreich, S. Electromagnetic Stirring for Continuous Casting-Part 2. Rev. Met. Paris 2003, 100, 1043–1061. [Google Scholar] [CrossRef]
- Drożdż, P. The Influence of the Superheat Temperature on the Slab Structure in the Continuous Steel Casting Process. Arch. Metall. Mater. 2019, 64, 1287–1293. [Google Scholar] [CrossRef]
- Ayçiçek, İ.; Solak, N. Optimization of Macro Segregation and Equiaxed Zone in High-Carbon Steel Use in Prestressed Concrete Wire and Cord Wire Application. Metals 2023, 13, 1435. [Google Scholar] [CrossRef]
- Choudhary, S.K.; Ganguly, S.; Sengupta, A.; Sharma, V. Solidification Morphology and Segregation in Continuously Cast Steel Slab. J. Mater. Process. Technol. 2017, 243, 312–321. [Google Scholar] [CrossRef]
- Yao, C.; Wang, M.; Ni, Y.; Gong, J.; Xing, L.; Zhang, H.; Bao, Y. Effects of Secondary Cooling Segment Electromagnetic Stirring on Solidification Behavior and Composition Distribution in High-Strength Steel 22MnB5. JOM 2022, 74, 4823–4830. [Google Scholar] [CrossRef]
- Cho, S.-M.; Thomas, B.G. Electromagnetic Forces in Continuous Casting of Steel Slabs. Metals 2019, 9, 471. [Google Scholar] [CrossRef]
- Shibata, H.; Itoyama, S.; Kishimoto, Y.; Takeuchi, S.; Sekiguchi, H. Prediction of Equiaxed Crystal Ratio in Continuously Cast Steel Slab by Simplified Columnar-to-Equiaxed Transition Model. ISIJ Int. 2006, 46, 921–930. [Google Scholar] [CrossRef][Green Version]
- Li, J.; Deng, B.; Yang, X.; Liang, L.; Wang, H.; Wu, T. Microstructure Control of Continuous Casting Slab of Grain Oriented Silicon Steel. Mater. Trans. 2022, 63, 112–117. [Google Scholar] [CrossRef]








| C | Si | Mn | P | S | Al | Cr | Cu | Ni |
|---|---|---|---|---|---|---|---|---|
| 0.003 | 1.05 | 0.32 | 0.012 | 0.005 | 0.31 | 0.0285 | 0.041 | 0.033 |
Disclaimer/Publisher’s Note: The statements, opinions and data contained in all publications are solely those of the individual author(s) and contributor(s) and not of MDPI and/or the editor(s). MDPI and/or the editor(s) disclaim responsibility for any injury to people or property resulting from any ideas, methods, instructions or products referred to in the content. |
© 2024 by the authors. Licensee MDPI, Basel, Switzerland. This article is an open access article distributed under the terms and conditions of the Creative Commons Attribution (CC BY) license (https://creativecommons.org/licenses/by/4.0/).
Share and Cite
Xiao, Z.; Zhang, G.; Liu, D.; Wu, C. Impact of Electromagnetic Stirring Roller Arrangement Pattern on Magnetic Field Simulation and Solidification Structure of PW800 Steel in the Second Cooling Zone. Materials 2024, 17, 1038. https://doi.org/10.3390/ma17051038
Xiao Z, Zhang G, Liu D, Wu C. Impact of Electromagnetic Stirring Roller Arrangement Pattern on Magnetic Field Simulation and Solidification Structure of PW800 Steel in the Second Cooling Zone. Materials. 2024; 17(5):1038. https://doi.org/10.3390/ma17051038
Chicago/Turabian StyleXiao, Zhixiang, Guifang Zhang, Daiwei Liu, and Chenhui Wu. 2024. "Impact of Electromagnetic Stirring Roller Arrangement Pattern on Magnetic Field Simulation and Solidification Structure of PW800 Steel in the Second Cooling Zone" Materials 17, no. 5: 1038. https://doi.org/10.3390/ma17051038
APA StyleXiao, Z., Zhang, G., Liu, D., & Wu, C. (2024). Impact of Electromagnetic Stirring Roller Arrangement Pattern on Magnetic Field Simulation and Solidification Structure of PW800 Steel in the Second Cooling Zone. Materials, 17(5), 1038. https://doi.org/10.3390/ma17051038
