Temperature-Driven Structural Evolution during Preparation of MCM−41 Mesoporous Silica
Abstract
1. Introduction
2. Materials and Methods
2.1. Materials
2.2. Preparation and Characterization Methods
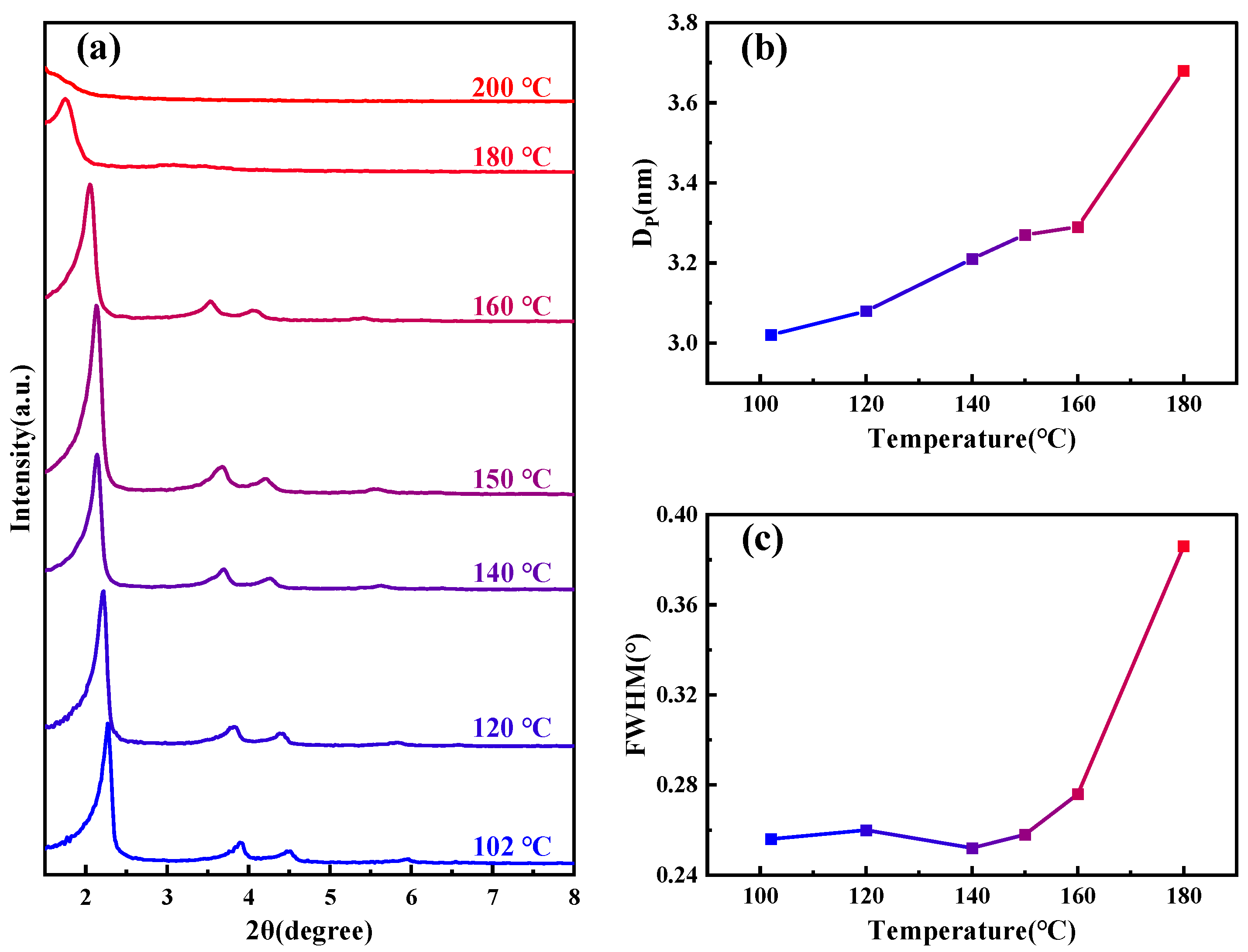
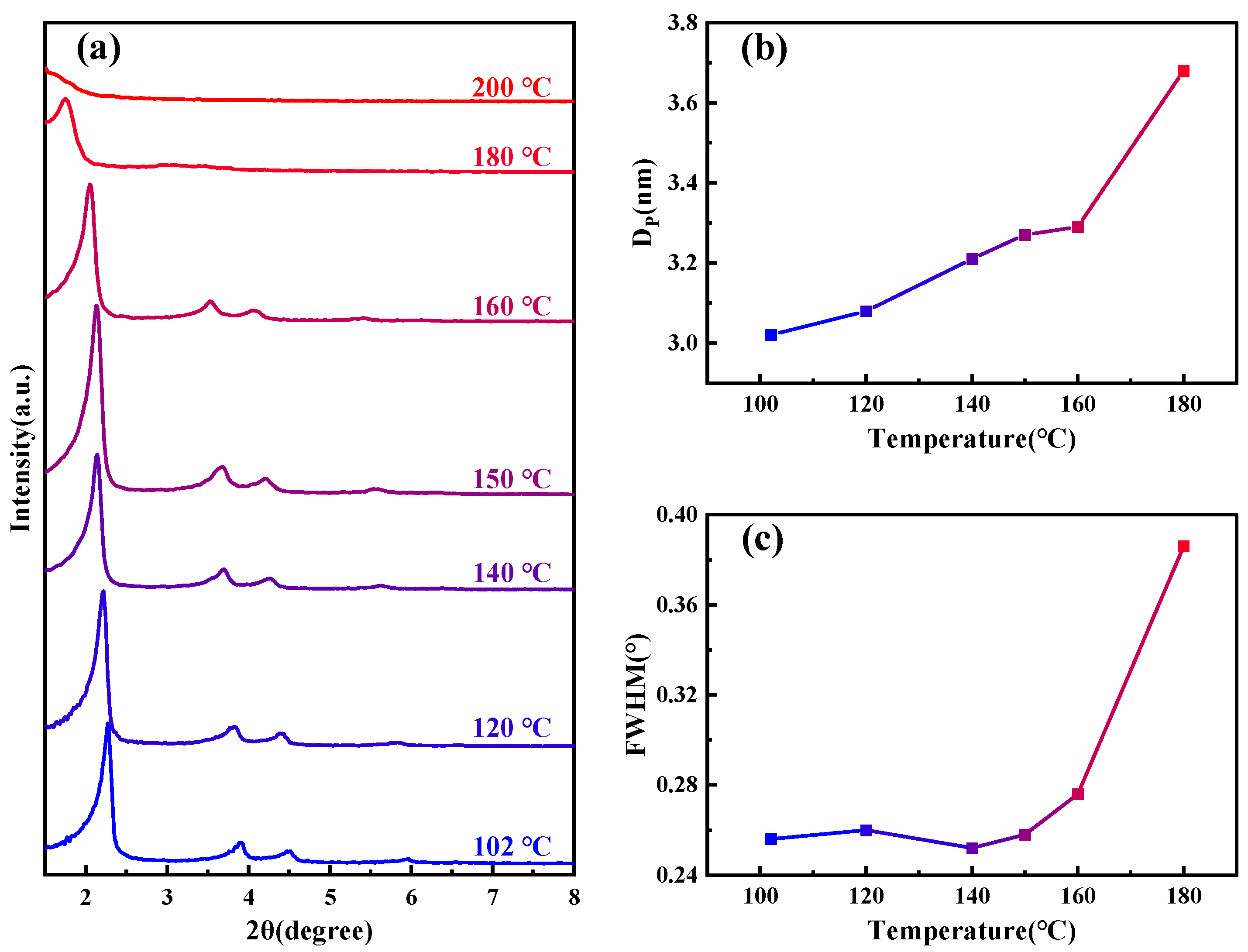
3. Results and Discussion
4. Conclusions
Supplementary Materials
Author Contributions
Funding
Institutional Review Board Statement
Informed Consent Statement
Data Availability Statement
Conflicts of Interest
References
- Kresge, C.T.; Leonowicz, M.E.; Roth, W.J.; Vartuli, J.C.; Beck, J.S. Ordered Mesoporous Molecular Sieves Synthesized by a Liquid-Crystal Template Mechanism. Nature 1992, 359, 710–712. [Google Scholar] [CrossRef]
- Salamah, S.; Trisunaryanti, W.; Kartini, I.; Purwono, S. Synthesis of Mesoporous Silica from Beach Sand by Sol-Gel Method as a Ni Supported Catalyst for Hydrocracking of Waste Cooking Oil. Indones. J. Chem. 2022, 22, 726. [Google Scholar] [CrossRef]
- Li, Y.; Tiwari, A.K.; Ng, J.S.; Seah, G.L.; Lim, H.K.; Suteewong, T.; Tay, C.Y.; Lam, Y.M.; Tan, K.W. One-Pot Synthesis of Aminated Bimodal Mesoporous Silica Nanoparticles as Silver-Embedded Antibacterial Nanocarriers and CO2 Capture Sorbents. ACS Appl. Mater. Interfaces 2022, 14, 52279–52288. [Google Scholar] [CrossRef] [PubMed]
- Yuan, N.; Xu, H.; Liu, Y.; Tan, K.; Bao, Y. Synthesis and Environmental Applications of Nanoporous Materials Derived from Coal Fly Ash. Sustainability 2023, 15, 16851. [Google Scholar] [CrossRef]
- Kumar, H.; Kumar, P.; Singh, V.; Pandey, S.S.; Pani, B. Synthesis and Surface Modification of Biocompatible Mesoporous Silica Nanoparticles (MSNs) and Its Biomedical Applications: A Review. Res. J. Chem. Environ. 2023, 27, 135–146. [Google Scholar] [CrossRef]
- Bernal, Y.P.; Alvarado, J.; Juárez, R.L.; Méndez Rojas, M.Á.; De Vasconcelos, E.A.; De Azevedo, W.M.; Iniesta, S.A.; Cab, J.V. Synthesis and Characterization of MCM-41 Powder and Its Deposition by Spin-Coating. Optik 2019, 185, 429–440. [Google Scholar] [CrossRef]
- Saladino, M.L.; Kraleva, E.; Todorova, S.; Spinella, A.; Nasillo, G.; Caponetti, E. Synthesis and Characterization of Mesoporous Mn-MCM-41 Materials. J. Alloys Compd. 2011, 509, 8798–8803. [Google Scholar] [CrossRef]
- Shkolnikov, E.I.; Sidorova, E.V.; Malakhov, A.O.; Volkov, V.V.; Julbe, A.; Ayral, A. Estimation of Pore Size Distribution in MCM-41-Type Silica Using a Simple Desorption Technique. Adsorption 2011, 17, 911–918. [Google Scholar] [CrossRef]
- Xu, Y.; Cao, Y.; Xia, Z. Microwave Radiation One-Pot Synthesis of Chloropropyl-Functionalized Mesoporous MCM-41. J. Cent. South Univ. 2012, 19, 2130–2135. [Google Scholar] [CrossRef]
- Panek, R.; Szeląg, M.; Franus, W. Effect of the MCM-41 Mesoporous Silica on the Microstructure and Performance of Cement Matrix. J. Build. Eng. 2021, 44, 103421. [Google Scholar] [CrossRef]
- Brezoiu, A.M.; Deaconu, M.; Nicu, I.; Vasile, E.; Mitran, R.A.; Matei, C.; Berger, D. Heteroatom Modified MCM-41-Silica Carriers for Lomefloxacin Delivery Systems. Microporous Mesoporous Mater. 2019, 275, 214–222. [Google Scholar] [CrossRef]
- Ma, M.; Ma, X.; Cui, S.; Liu, T.; Tian, Y.; Wang, Y. Low Temperature NH3-SCR over Mn-Ce Oxides Supported on MCM-41 from Diatomite. Materials 2019, 12, 3654. [Google Scholar] [CrossRef] [PubMed]
- Martínez-Edo, G.; Balmori, A.; Pontón, I.; Martí Del Rio, A.; Sánchez-García, D. Functionalized Ordered Mesoporous Silicas (MCM-41): Synthesis and Applications in Catalysis. Catalysts 2018, 8, 617. [Google Scholar] [CrossRef]
- Fan, X.; Liu, H.; Song, W.; Chang, C.-Y. Enhanced Photodegradation of P-Nitrobenzoic Acid by Binary Mixtures with Ba2+/TiO2 and MCM-41. Materials 2021, 14, 2404. [Google Scholar] [CrossRef] [PubMed]
- Wang, Q.-S.; Zhai, Q.-Z.; Zhang, X.-Y.; Feng, X.-R. Evaluating Immobilization of Hemoglobin onto Nanomesoporous MCM-41. Nanosci. Nanotechnol. Asia 2023, 13, e210323214820. [Google Scholar] [CrossRef]
- Narayan, R.; Gadag, S.; Garg, S.; Nayak, U.Y. Understanding the Effect of Functionalization on Loading Capacity and Release of Drug from Mesoporous Silica Nanoparticles: A Computationally Driven Study. ACS Omega 2022, 7, 8229–8245. [Google Scholar] [CrossRef] [PubMed]
- Putz, A.-M.; Ivankov, O.I.; Kuklin, A.I.; Ryukhtin, V.; Ianăşi, C.; Ciopec, M.; Negrea, A.; Trif, L.; Horváth, Z.E.; Almásy, L. Ordered Mesoporous Silica Prepared in Different Solvent Conditions: Application for Cu(II) and Pb(II) Adsorption. Gels 2022, 8, 443. [Google Scholar] [CrossRef] [PubMed]
- Huo, Q.; Margolese, D.I.; Ciesla, U.; Demuth, D.G.; Feng, P.; Gier, T.E.; Sieger, P.; Firouzi, A.; Chmelka, B.F. Organization of Organic Molecules with Inorganic Molecular Species into Nanocomposite Biphase Arrays. Chem. Mater. 1994, 6, 1176–1191. [Google Scholar] [CrossRef]
- Monnier, A.; Schüth, F.; Huo, Q.; Kumar, D.; Margolese, D.; Maxwell, R.S.; Stucky, G.D.; Krishnamurty, M.; Petroff, P.; Firouzi, A.; et al. Cooperative Formation of Inorganic-Organic Interfaces in the Synthesis of Silicate Mesostructures. Science 1993, 261, 1299–1303. [Google Scholar] [CrossRef]
- Beck, J.S.; Vartuli, J.C.; Roth, W.J.; Leonowicz, M.E.; Kresge, C.T.; Schmitt, K.D.; Chu, C.T.W.; Olson, D.H.; Sheppard, E.W.; McCullen, S.B.; et al. A New Family of Mesoporous Molecular Sieves Prepared with Liquid Crystal Templates. J. Am. Chem. Soc. 1992, 114, 10834–10843. [Google Scholar] [CrossRef]
- Chien, S.-C.; Pérez-Sánchez, G.; Gomes, J.R.B.; Cordeiro, M.N.D.S.; Jorge, M.; Auerbach, S.M.; Monson, P.A. Molecular Simulations of the Synthesis of Periodic Mesoporous Silica Phases at High Surfactant Concentrations. J. Phys. Chem. C 2017, 121, 4564–4575. [Google Scholar] [CrossRef]
- Kleestorfer, K.; Vinek, H.; Jentys, A. Structure Simulation of MCM-41 Type Materials. J. Mol. Catal. Chem. 2001, 166, 53–57. [Google Scholar] [CrossRef]
- Mitran, R.-A.; Deaconu, M.; Matei, C.; Berger, D. Mesoporous Silica as Carrier for Drug-Delivery Systems. In Nanocarriers for Drug Delivery; Elsevier: Amsterdam, The Netherlands, 2019; pp. 351–374. [Google Scholar] [CrossRef]
- Petrișor, G.; Motelica, L.; Ficai, D.; Ilie, C.-I.; Trușcǎ, R.D.; Surdu, V.-A.; Oprea, O.-C.; Mȋrț, A.-L.; Vasilievici, G.; Semenescu, A.; et al. Increasing Bioavailability of Trans-Ferulic Acid by Encapsulation in Functionalized Mesoporous Silica. Pharmaceutics 2023, 15, 660. [Google Scholar] [CrossRef] [PubMed]
- Kruk, M.; Jaroniec, M.; Sayari, A. A Unified Interpretation of High-Temperature Pore Size Expansion Processes in MCM-41 Mesoporous Silicas. J. Phys. Chem. B 1999, 103, 4590–4598. [Google Scholar] [CrossRef]
- Khushalani, D.; Kuperman, A.; Ozin, G.A.; Tanaka, K.; Coombs, N.; Olken, M.M.; Garcés, J. Metamorphic Materials: Restructuring Siliceous Mesoporous Materials. Adv. Mater. 1995, 7, 842–846. [Google Scholar] [CrossRef]
- Cheng, C.-F.; Zhou, W.; Ho Park, D.; Klinowski, J.; Hargreaves, M.; Gladden, L.F. Controlling the Channel Diameter of the Mesoporous Molecular Sieve MCM-41. J. Chem. Soc. Faraday Trans. 1997, 93, 359–363. [Google Scholar] [CrossRef]
- Sangchoom, W.; Mokaya, R. High Temperature Synthesis of Exceptionally Stable Pure Silica MCM-41 and Stabilisation of Calcined Mesoporous Silicas via Refluxing in Water. J. Mater. Chem. 2012, 22, 18872. [Google Scholar] [CrossRef]
- Zhang, K.; Chen, H.; Albela, B.; Jiang, J.; Wang, Y.; He, M.; Bonneviot, L. High-Temperature Synthesis and Formation Mechanism of Stable, Ordered MCM-41 Silicas by Using Surfactant Cetyltrimethylammonium Tosylate as Template. Eur. J. Inorg. Chem. 2011, 2011, 59–67. [Google Scholar] [CrossRef]
- Sing, K.S.W. Reporting Physisorption Data for Gas/Solid Systems with Special Reference to the Determination of Surface Area and Porosity (Recommendations 1984). Pure Appl. Chem. 1985, 57, 603–619. [Google Scholar] [CrossRef]
- Lin, H.-P.; Wong, S.-T.; Liu, S.-B.; Mou, C.-Y.; Tang, C.-Y. The Synthesis and Characterization of Mesoporous Molecular Sieves MCM-41 with Interconnected Channels. In Studies in Surface Science and Catalysis; Elsevier: Amsterdam, The Netherlands, 2000; Volume 129, pp. 15–22. ISBN 978-0-444-50321-3. [Google Scholar]
- Lin, H.-P.; Wong, S.-T.; Mou, C.-Y.; Tang, C.-Y. Extensive Void Defects in Mesoporous Aluminosilicate MCM-41. J. Phys. Chem. B 2000, 104, 8967–8975. [Google Scholar] [CrossRef]
- Galarneau, A.; Iapichella, J.; Bonhomme, K.; Di Renzo, F.; Kooyman, P.; Terasaki, O.; Fajula, F. Controlling the Morphology of Mesostructured Silicas by Pseudomorphic Transformation: A Route Towards Applications. Adv. Funct. Mater. 2006, 16, 1657–1667. [Google Scholar] [CrossRef]
- Liu, S.; Lebedev, O.I.; Mertens, M.; Meynen, V.; Cool, P.; Tendeloo, G.V.; Vansant, E.F. The Merging of Silica-Surfactant Microspheres under Hydrothermal Conditions. Microporous Mesoporous Mater. 2008, 116, 141–146. [Google Scholar] [CrossRef]
- Lin, H.-P.; Mou, C.-Y. Structural and Morphological Control of Cationic Surfactant-Templated Mesoporous Silica. Acc. Chem. Res. 2002, 35, 927–935. [Google Scholar] [CrossRef] [PubMed]
- Krimm, S. The Hydrophobic Effect: Formation of Micelles and Biological Membranes, Charles Tanford, Wiley-Interscience, New York, 1980, 233 Pp. Price: $18.50. J. Polym. Sci. Polym. Lett. Ed. 1980, 18, 687. [Google Scholar] [CrossRef]
- Lin, H.-P.; Cheng, Y.-R.; Liu, S.-B.; Mou, C.-Y. The Effect of Alkan-1-ols Addition on the Structural Ordering and Morphology of Mesoporous Silicate MCM-41. J. Mater. Chem. 1999, 9, 1197–1201. [Google Scholar] [CrossRef]
- Oliveira, M.R.; Cecilia, J.A.; De Conto, J.F.; Egues, S.M.; Rodríguez-Castellón, E. Rapid Synthesis of MCM-41 and SBA-15 by Microwave Irradiation: Promising Adsorbents for CO2 Adsorption. J. Sol-Gel Sci. Technol. 2023, 105, 370–387. [Google Scholar] [CrossRef]
- Shah, S.K.; Bhattarai, A. Interfacial and Micellization Behavior of Cetyltrimethylammonium Bromide (CTAB) in Water and Methanol-Water Mixture at 298.15 to 323.15 K. J. Chem. 2020, 2020, 4653092. [Google Scholar] [CrossRef]
- Shah, S.K.; Chatterjee, S.K.; Bhattarai, A. Micellization of Cationic Surfactants in Alcohol—Water Mixed Solvent Media. J. Mol. Liq. 2016, 222, 906–914. [Google Scholar] [CrossRef]
- Meng, J.; Lu, Y.; Li, L.; Wu, H.; Zhang, X. Effect of Catechol on the Size and Shape of CTAB Micelles in Aqueous Solutions. Z. Für Phys. Chem. 2009, 223, 689–699. [Google Scholar] [CrossRef]
- Lutz, W.; Toufar, H.; Kurzhals, R.; Suckow, M. Investigation and Modeling of the Hydrothermal Stability of Technically Relevant Zeolites. Adsorption 2005, 11, 405–413. [Google Scholar] [CrossRef]
- Pollock, R.A.; Gor, G.Y.; Walsh, B.R.; Fry, J.; Ghampson, I.T.; Melnichenko, Y.B.; Kaiser, H.; DeSisto, W.J.; Wheeler, M.C.; Frederick, B.G. Role of Liquid vs Vapor Water in the Hydrothermal Degradation of SBA-15. J. Phys. Chem. C 2012, 116, 22802–22814. [Google Scholar] [CrossRef]
- Cheng, C.-F.; Chou, S.-H.; Cheng, P.-W.; Cheng, H.-H.; Yak, H.-K. Control of Wall Thickness and Extraordinarily High Hydrothermal Stability of Nanoporous MCM-41 Silica. J. Chin. Chem. Soc. 2007, 54, 35–40. [Google Scholar] [CrossRef]
- Shah, S.K.; Chatterjee, S.K.; Bhattarai, A. The Effect of Methanol on the Micellar Properties of Dodecyltrimethylammonium Bromide (DTAB) in Aqueous Medium at Different Temperatures. J. Surfactants Deterg. 2016, 19, 201–207. [Google Scholar] [CrossRef]
- Alami, E.; Beinert, G.; Marie, P.; Zana, R. Alkanediyl-.Alpha.,.Omega.-Bis(Dimethylalkylammonium Bromide) Surfactants. 3. Behavior at the Air-Water Interface. Langmuir 1993, 9, 1465–1467. [Google Scholar] [CrossRef]
- Israelachvili, J.N.; Mitchell, D.J.; Ninham, B.W. Theory of Self-Assembly of Hydrocarbon Amphiphiles into Micelles and Bilayers. J. Chem. Soc. Faraday Trans. 2 1976, 72, 1525. [Google Scholar] [CrossRef]
- Sugihara, G.; Miyazono, A.; Nagadome, S.; Oida, T.; Hayashi, Y.; Ko, J.-S. Adsorption and Micelle Formation of Mixed Surfactant Systems in Water Ⅱ: A Combination of Cationic Gemini-Type Surfactant with MEGA-10. J. Oleo Sci. 2003, 52, 449–461. [Google Scholar] [CrossRef]
- Toernblom, M.; Henriksson, U.; Ginley, M. A Field Dependent 2H Nuclear Magnetic Relaxation Study of the Aggregation Behavior in Micellar Solutions of CTAB and SDS. J. Phys. Chem. 1994, 98, 7041–7051. [Google Scholar] [CrossRef]
- Magnus Bergström, L. Second CMC in Surfactant Micellar Systems. Curr. Opin. Colloid Interface Sci. 2016, 22, 46–50. [Google Scholar] [CrossRef]







| T | (m2·g−1) | (nm) | (cm3·g−1) | (nm) | (nm) | (nm) | (nm) |
|---|---|---|---|---|---|---|---|
| 102 °C | 1011 | 3.17 | 1.11 | 3.02 | 3.89 | 4.50 | 1.48 |
| 120 °C | 980 | 3.23 | 1.01 | 3.08 | 3.93 | 4.54 | 1.52 |
| 140 °C | 945 | 3.37 | 0.97 | 3.21 | 4.12 | 4.76 | 1.55 |
| 150 °C | 936 | 3.43 | 0.92 | 3.27 | 4.15 | 4.79 | 1.52 |
| 160 °C | 890 | 3.45 | 0.91 | 3.29 | 4.3 | 4.96 | 1.67 |
| 180 °C | 657 | 3.86 | 0.82 | 3.68 | 5.05 | 5.83 | 2.15 |
| 200 °C | 307 | — | — | — |
| Sample Designation | Primary Hydrothermal | Secondary Hydrothermal |
|---|---|---|
| MCM−J | 120 °C | — |
| MCM−K | 120 °C | 180 °C |
| MCM−L | 150 °C | — |
| MCM−M | 150 °C | 102 °C |
| MCM−N | 150 °C | 102 °C, 4 mL water glass |
Disclaimer/Publisher’s Note: The statements, opinions and data contained in all publications are solely those of the individual author(s) and contributor(s) and not of MDPI and/or the editor(s). MDPI and/or the editor(s) disclaim responsibility for any injury to people or property resulting from any ideas, methods, instructions or products referred to in the content. |
© 2024 by the authors. Licensee MDPI, Basel, Switzerland. This article is an open access article distributed under the terms and conditions of the Creative Commons Attribution (CC BY) license (https://creativecommons.org/licenses/by/4.0/).
Share and Cite
Xu, T.; Cui, K.; Jin, S. Temperature-Driven Structural Evolution during Preparation of MCM−41 Mesoporous Silica. Materials 2024, 17, 1711. https://doi.org/10.3390/ma17081711
Xu T, Cui K, Jin S. Temperature-Driven Structural Evolution during Preparation of MCM−41 Mesoporous Silica. Materials. 2024; 17(8):1711. https://doi.org/10.3390/ma17081711
Chicago/Turabian StyleXu, Tao, Kuixin Cui, and Shengming Jin. 2024. "Temperature-Driven Structural Evolution during Preparation of MCM−41 Mesoporous Silica" Materials 17, no. 8: 1711. https://doi.org/10.3390/ma17081711
APA StyleXu, T., Cui, K., & Jin, S. (2024). Temperature-Driven Structural Evolution during Preparation of MCM−41 Mesoporous Silica. Materials, 17(8), 1711. https://doi.org/10.3390/ma17081711
