Abstract
Research Highlights: Limber pine (Pinus flexilis) is abundant in some alpine treeline ecotone (ATE) communities east of the Continental Divide in Rocky Mountain National Park (RMNP) and the Colorado Front Range. Limber pine may be able to colonize the ATE under changing climate aided by directed seed dispersal by Clark’s nutcrackers (Nucifraga columbiana). Cronartium ribicola, white pine blister rust, is a growing threat to limber pine and may affect its functional role within the ATE. Background and Objectives: The ATE is sensitive, worldwide, to increasing temperature. However, the predicted advance of treeline under a changing climate may be modified by tree species composition and interactions. We aimed to (1) examine the conifer species composition and relative abundances in treeline communities with limber pine; (2) assess which functional roles limber pine assumes in these communities—tree island initiator, tree island component, and/or solitary tree; and (3) determine whether limber pine’s occurrence as a tree island initiator can be predicted by its relative abundance as a solitary tree. Materials and Methods: We selected four study sites in RMNP above subalpine forest limber pine stands. We sampled the nearest tree island to each of forty random points in each study site as well as solitary tree plots. Results: Across study sites, limber pine comprised, on average, 76% of solitary trees and was significantly more abundant as a solitary tree than Engelmann spruce (Picea engelmannii) or subalpine fir (Abies lasiocarpa). Limber pine was a frequent component of multi-tree islands in three study sites, the major component in one study site, and dominated single-tree islands at two study sites. At three of four study sites, no species had significantly greater odds of being a tree island initiator. Limber pine was found less often as a tree island initiator than predicted from its relative abundance as a solitary tree, given the likely role of solitary trees in tree island formation.
1. Introduction
The alpine treeline ecotone (ATE), the transitional zone between subalpine forest and alpine tundra, is a mosaic of alpine tundra vegetation such as cushion plants and graminoids, bare substrate, rocks, and semi-upright or krummholz trees growing individually or together in tree islands on the landscape [1,2,3,4,5,6]. The term “krummholz” is German for “crooked wood” and refers to trees that have a stunted, twisted, or mat-like growth form due to harsh conditions at high elevations [7]. The ATE, extending from the timberline (the upper limit of subalpine forest) to treeline (the upper limit of tree growth) [8], is considered highly sensitive to climate change given its close correlation with isotherms, especially mean air and root zone temperatures [4,9,10]. Fluctuations in treeline position also correlate with past climate records, reflecting temperature increases and decreases over time [2,11,12,13,14]. Treelines worldwide have been predicted to advance upward as global average temperatures increase [14]. However, only 52% of treelines—examined between 1900 and 2006—had advanced in response to increases in average temperature [15], indicating that the temperature–treeline relationship is complex and impacted by other variables.
The limits and patterns of tree occurrence in the ATE are controlled by processes at the local as well as regional scales [6,12,16]. At the landscape scale, slope aspect influences solar radiation. For example, in the Northern Hemisphere, southerly aspects receive more solar radiation than northerly aspects and are therefore associated with higher temperatures and lower soil moisture [12,16,17]. The ATE is also a highly heterogeneous system at the local scale, with variations in topography, soil, moisture, and temperature [12]. Nurse objects at treeline, such as plants, rocks, deadwood, and topographic depressions, provide protective microsites that enable seed germination and establishment of new trees [5,13,18,19,20,21], particularly by providing wind shelter and shade [13], but also by reducing convective heat loss to the sky [22,23] and by re-radiating solar energy via the black-body effect [24]. Trees that are well-established in the ATE also modify microclimatic conditions downwind and build soil [25], facilitating the survival of trees and ultimately forming tree islands—that is, patches of trees on the landscape [5,21,23]. In fact, facilitation interactions between plant species or with nurse objects are now considered an important mechanism for shaping communities in harsh environments [26,27,28]. Climatically controlled treelines may be limited by the availability of favorable microsites for seedlings [13,21,23,29,30]. The taxonomic (family-level) composition of ATE communities is also known to limit treeline position, in some cases causing the treeline to be 200–300 m lower than if a different tree taxon were dominant [9], and subtle differences in physiology among tree species may influence the sensitivity of the treeline to changes in climate. Community-level studies of species composition, seedling niche requirements, site conditions, and interactions between species are thus necessary to understand or predict idiosyncratic treeline responses to changing climate.
Given that many mountain ranges of the Rocky Mountains in western Colorado, USA, have peaks above 3200–4000 m elevation, ATE communities are widely represented in the state. Treeline communities in very few of these ranges have been studied; research on the ATE in Colorado has been primarily limited to the Front Range [1,3,7,8,31,32,33,34,35,36,37,38]. The history of research at high elevations in the Front Range provides a valuable context for ongoing work, but studies of ATE communities in the Front Range and elsewhere in Colorado have so far been limited to those dominated by Engelmann spruce (Picea engelmannii) and subalpine fir (Abies lasiocarpa). ATE communities including limber pine (Pinus flexilis James) as a community component, while noted to exist [1,32,38], have not been studied.
Limber pine is a five-needle white pine in the subgenus Strobus, section Quinquefoliae, subsection Strobus [39]. It is found from northern New Mexico at the southern limit of its range to Alberta and southeastern British Columbia, and from North Dakota at its eastern extent through eastern California [40]. It has a notably broad elevational distribution, with the lowest recorded tree at around 870 m in North Dakota and the highest at 3810 m in Colorado [40]. Limber pine opportunistically colonizes areas that have been burned or otherwise disturbed [41,42]. However, it is slow-growing and moderately shade intolerant, and thus a poor competitor. Limber pine is seral to faster-growing, shade tolerant conifers [40,43] except on xeric, often steep sites where its tolerance of arid conditions and poorly developed soils provides a survival advantage [43,44,45,46]. Limber pine can establish under arid, windy conditions above timberline where less hardy conifers may not survive without protection [41,45,46]. Its colonization of post-burn areas and of the ATE is due in large part to the seed-caching behavior of Clark’s nutcrackers (Nucifraga columbiana), which is limber pine’s primary mode of seed dispersal [47,48,49,50].
Clark’s nutcrackers harvest ripe limber pine seeds beginning in late August and bury caches of one to fifteen seeds under a few centimeters of soil in both forested and open communities across the landscape [51,52,53]. The seeds are retrieved from late winter through the following summer, and unretrieved seeds may germinate and produce seedlings [51,54]. Nutcrackers provide directed seed dispersal, selecting cache sites near objects that tend to facilitate seed germination and seedling survival [54,55,56]. Nutcrackers often choose cache sites in areas where snow is likely to blow free or melt early (e.g., open areas or near tree boles), allowing for seed retrieval in the winter and early spring. These same sites may be ecologically suitable for seed germination, with extended growing seasons due to earlier snowmelt, gaps in canopy where seedlings are released from light competition, or near objects that may provide shelter from high winds [56,57]. Clark’s nutcrackers will often cache seeds in recently disturbed areas, especially after fire, leading to rapid regeneration of these sites [48,58]. Nutcrackers have also been observed to cache in the ATE [51,52,57,59].
Directed dispersal by Clark’s nutcrackers may explain the close association of limber pine regeneration with a substrate of larger particle sizes and nurse rocks in the ATE, likely providing limber pine with an advantage over wind-dispersed species such as Great Basin bristlecone pine (Pinus longaeva) [60]. In the Great Basin region, limber pine is advancing upslope, with greater densities of limber pine regeneration than Great Basin bristlecone pine regeneration above the timberline, particularly on dolomite soils, which retain water better than other soil types [60,61,62]. Although limber pine seedlings are drought-tolerant [44,60], limber pine seedlings survive better with higher moisture, as demonstrated by simulated climate warming experiments [63,64,65]. Empirical evidence suggests overall that limber pine will be able to advance into the ATE with climate warming, especially if precipitation also increases, which is in agreement with bioclimatic envelope model predictions for the species [66].
Due to its hardiness, limber pine may serve as a nurse plant for other conifers and shrubs, and through this interaction, initiate tree islands in the ATE [45,67]. The pine is drought- and wind-tolerant [40,44]. A closely related species, whitebark pine (Pinus albicaulis), also dependent on nutcrackers for seed dispersal, acts as a tree island initiator in the ATE [68,69,70], with other conifers establishing in more favorable leeward microsites. The likelihood of whitebark pine serving as a tree island initiator can be predicted by its relative abundance as a solitary tree, growing isolated from other trees on the landscape [70,71]. Directed dispersal of whitebark and limber pine seeds by Clark’s nutcrackers to nurse objects and other favorable microsites likely results in facilitative benefits for seedlings in the harsh conditions at the treeline [55,59] and thus potentially helps these species to colonize the ATE.
Limber pine is the only five-needle white pine in Rocky Mountain National Park (RMNP) and is considered a keystone species for its production of large, nutrient-rich seeds that are an important food source for wildlife [58,72,73,74]. In RMNP at treeline, limber pine may contribute to snowpack redistribution and retention, both where it grows in isolation and in tree island associations with krummholz Engelmann spruce and subalpine fir [70]. Limber pine is a species of management concern in RMNP and elsewhere in the Colorado Front Range, where it has recently experienced mortality from mountain pine beetle (Dendroctonus ponderosae) outbreaks beginning in 2003 [75,76] and now faces white pine blister rust, a disease caused by the invasive fungal pathogen Cronartium ribicola [74,77,78]. Limber pine is listed as endangered in Alberta and is being evaluated for listing more widely in Canada due to blister-rust related decline [79,80]. Proactive management and restoration of this species must consider projections of upslope shifts in limber pine’s distribution under a changing climate. The importance and functional role of limber pine in the ATE of the Colorado Front Range, however, has not yet been studied. A better understanding of limber pine’s representation and role in the ATE may inform conservation and management of this species.
Trees in the ATE are often upright, resembling smaller versions of subalpine forest growth forms but with wind-flagged branches, or they are heavily wind-sculpted in shrub-like krummholz mats growing close to the ground. The prevailing wind direction can be determined from tree morphology, or a combination of these forms within a tree island [19]. Previous researchers have assigned functional roles to trees in the ATE based on their position outside of or within tree islands: single-tree island, multi-tree island initiator, multi-tree island component, solitary tree, and satellite tree [68,70,71]. In this study, we sought to (1) characterize the species composition (and relative abundance) and structure of treeline communities with limber pine in RMNP; (2) assess the functional role of limber pine in these communities (i.e., multi-tree island initiator, multi-tree island component, single-tree island, or solitary tree); and (3) determine whether a species’ role as an initiator can be predicted by its abundance as a solitary tree. We also discuss the management implications of our results for limber pine conservation and restoration.
2. Materials and Methods
The Front Range, a segment of the U.S. Rocky Mountains that extends from Casper, WY to Pueblo, CO includes RMNP. RMNP encompasses about a 60 km length of the Continental Divide (and a total park area of approximately 1074 km2) including extensive ATE communities between ~3300 and 3500 m in elevation. The treeline communities in RMNP and along the Front Range east of the Continental Divide are often climatically limited, growing on relatively gentle, convex slopes [6]. The substrate is most commonly a combination of Precambrian granite, schist, and gneiss with eolian deposits of finer sediment [1,6]. The terrain includes glacial cirques, flat-topped ridges, sharp peaks, and moraines sloping away from the continental divide [1]. Vegetation communities observed at the treeline in the park are likely post-Pleistocene glaciation, and are classified as dry and wet meadows above the timberline, and subalpine forest [1,3].
In RMNP, the dominant conifer species at the treeline are Engelmann spruce and subalpine fir [34], with limber pine scattered or in larger numbers in some areas and occasional lodgepole pine (Pinus contorta) [3]. At some sites in the southern parts of the Front Range, Rocky Mountain bristlecone pine (Pinus aristata) also occurs at the treeline, but not in RMNP. Subalpine fir seedlings are typically found in cirques and areas of greater snow accumulation, and Engelmann spruce seedlings are abundant in snowbeds [1,34]. Limber pine, in contrast, is found on dry, exposed sites [1,34].
2.1. Study Site Selection
We used shapefiles of the 2005 RMNP vegetation survey data to find large stands of subalpine limber pine, trails from RMNP park website [81], and a 30 m × 30 m digital elevation model (DEM) raster file from park staff (Scott Esser, personal communication) to select four study sites within RMNP where limber pine was present at the treeline and accessible by trail or road: Rainbow Curve, Ute Trail, Battle Mountain, and Longs Peak. We scouted study sites before including them to confirm limber pine presence and safe access (Figure 1).
Figure 1.
Locations of the four study sites in Rocky Mountain National Park, Colorado, U.S.A., are shown with park trails and roads over a 30 m × 30 m digital elevation model (DEM) of the region.
We used a Trimble GeoXT geolocator (GeoExplorer 2008 Series) to record the vertices of each study site polygon. We designated timberline as the lower elevational boundary for each study site, and the treeline as the upper boundary of the ATE [8]. In the case of the Rainbow Curve study site, we placed the lower boundary at Trail Ridge Road, below which was subalpine forest. The boundaries for the Rainbow Curve and Ute Trail study sites were horizontally constrained by ridges, but the boundaries for the Longs Peak and Battle Mountain study sites were based on aspect; we determined these limits using a compass in the field. The study site area ranged from 2.74 ha at Rainbow Curve to 8.54 ha at Longs Peak based on the rules we used to delineate each polygon (Table 1). Forty random points were generated in ArcMap within the boundaries of each polygon.
Table 1.
Summary information for the four study sites in Rocky Mountain National Park.
2.2. Tree Island Sampling
We located the nearest tree island to each random point. We defined a tree island either as a single tree ≥1.0 m in its longest dimension (single-tree islands, Figure 2A) or as a patch of trees with overlapping canopy (multi-tree islands, Figure 2D). The longest dimension was length in the case of krummholz trees and height in the case of upright trees. The definition of single-tree islands distinguished trees large enough to act as a wind break or snow fence from smaller solitary trees on the landscape. Individual trees were assigned one of four functional roles: satellite tree, tree island initiator, tree island component, or solitary tree. Satellite trees were found close to the leeward side of tree islands, and while separate from the tree islands (with no overlapping canopy), they likely received some facilitative benefits (Figure 2B). Tree island initiators occupy the most windward position of a tree island (rightmost tree in Figure 2D) and all leeward trees in the tree island are tree island components. Solitary trees are isolated on the landscape, receiving no facilitative aid from other trees, and are defined here as <1.0 m in their longest dimension (Figure 2C). Both single-tree islands and solitary trees may be considered to be colonizing the ATE and could become pioneers if they facilitate the establishment of other conifers.
Figure 2.
Functional roles of trees in alpine treeline ecotone (ATE) communities with respect to position outside or within tree islands including single-tree islands (A), satellite trees (B), solitary trees (C), multi-tree island component, and multi-tree island initiator (D).
Where two random points indicated the same tree island, one point was eliminated by random draw. Where a tree island had an elongate form and overlapped at the leeward end with a neighboring tree island, we differentiated one tree island from the other based on partial separation by sparse vegetation and exposed soil surface. In these cases of merging tree islands (found only at the Rainbow Curve study site), the tree islands clearly were the result of separate initiators and had simply grown together over time. All distinctions were evaluated separately by at least two or three observers.
We took measurements of each tree island to the nearest 5 cm, using a retractable measuring tape or transect tape if the islands were longer than 600 cm. We measured the height of each tree island from the ground to the top of the tallest woody stem. We measured the length as the longest dimension of the tree island, which was often oriented with the prevailing wind direction, and the width perpendicular to length. We recorded each tree island as being krummholz (entirely mat-like and wind-sculpted with no upright stems), krummholz-upright (mostly krummholz, but with some upright stems), or upright (an upright tree that may exhibit flagging but is not krummholz). Trees in the ATE may have an upright growth form, though this form is often flagged and stunted compared to subalpine trees. Engelmann spruce and subalpine fir may be classed as “upright” in the ATE, but often exhibit vegetative layering and multiple clonal stems.
We recorded the number of discrete patches of each species within multi-tree islands. Limber pine will often grow in a clustered or clumped form, due either to multiple seeds from a nutcracker cache germinating and growing in close association or a multi-trunk phenotype of a single individual [82]. The two are not visually distinguishable, and where limber pine trees were identified to have multiple stems, they were counted as one individual. Subalpine fir and Engelmann spruce produce clonal upright stems through underground vegetative growth, and individual trees (genets) are impossible to differentiate from ramets in dense, krummholz tree islands without genetic analysis or destructive sampling [14]. Estimations of proportion based on patch size or counts of discrete stems are likely to over-represent Engelmann spruce and subalpine fir. However, counts of patches would likely under-represent these species. Due to the difficulties discriminating individual trees in multi-tree islands, we chose to report the proportion of multi-tree islands with at least one individual of a species rather than count or area estimates.
For multi-tree islands, we recorded the species of the tree island initiator. We determined the initiator to be the most windward individual, with prevailing wind direction estimated based on wind sculpting and flagging of trees. In a few instances, two trees were equally windward–side-by-side with respect to prevailing wind. When these were of the same species, we recorded that species as most windward. When they were of two different species, they were excluded from the analysis.
2.3. Solitary Tree Sampling
At each random point, we created a circular, 5-m-radius plot (78.54 m2) delineated with surveyor flags to count and describe solitary trees, defined as trees ≤1.0 m in their longest dimension. Where a random point fell within a tree island, the plot center was located 5.0 m downslope in an open area. If two plots overlapped in area due to the proximity of the random points, one of the two was eliminated by random draw. The center of each solitary tree plot was marked with a geolocation using the Trimble. We counted the number of trees of each species within the solitary tree plot. We excluded satellite trees, which we defined as being within a distance from the tree island equal to the height of the leeward side of the tree island. Satellite trees were too few to allow for a separate analysis of this functional role. We measured the height of each solitary tree to the nearest 1.0 cm.
2.4. Statistical Analyses
We used the R package DescTools, version 0.99.36 (Andri Signorell, Zurich, Switzerland), to calculate the median length, width, and height of single- and multi-tree islands at each study site as well as 95% confidence intervals [83]. We used base R (version 3.6.3) (R Core Team, Vienna, Austria) to calculate the number and percent of tree islands classed as each growth form (krummholz, krummholz-upright, or upright) for each study site. We also used base R to calculate the median tree density of solitary plots for each study site and to calculate the mean heights of solitary trees in each site. We used the R package Rmisc, version 1.5 (Ryan M. Hope), to calculate the 95% confidence intervals for mean densities and heights [84].
For each study site, we used Equation (1) to calculate the proportion of single-tree islands for each species,
where x is the number of single-tree islands of a given species and n is the total number of single-tree islands. We also used Equation (1) for multi-tree islands, with x being the number of multi-tree islands containing at least one individual of a given species and n being the total number of multi-tree islands. Proportions for multi-tree islands therefore did not add to one because multi-tree islands often contained more than one species. We used Equation (2) to calculate the 95% confidence intervals (CI) for proportion estimates [85],
where 1.96 is the critical value from the standard normal distribution; p is the proportion of single-tree islands for each species; and n is again the total number of single-tree islands. For each species, we used Equation (3) to calculate the mean species proportions () across solitary plots in each site,
where x is the number of individuals of a given species in the plot; n is the total number of all individuals of all species in that plot; and y is the total number of plots in the study site. We used Equation (2) to calculate the 95% confidence intervals for mean proportions of each species in solitary plots.
To determine whether any one species had significantly greater odds of being the tree island initiator at a site, we did an odds ratio analysis [86]. We used Equation (4) to calculate the odds of a species being the tree island initiator at a site,
where p is the proportion of multi-tree islands with a given species as the initiator. We used Equation (5) to calculate the odds ratios (OR), comparing the odds of one species (x) being the initiator to the odds of another species (y) being the initiator,
where odds ratios are equal to one, the odds of one species being the initiator is the same as the odds of another species being the initiator. To estimate the uncertainty around these comparisons and to determine whether any significant differences existed, we used Equation (6) to calculate 95% confidence intervals for the odds ratios [85],
where 1.96 is the critical value from a standard normal distribution; x is the count of the first species; y is the count of the second species; and n is a total count of individuals in the island. The 95% confidence interval was calculated for the log odds ratio, and then back transformed.
To determine whether the relative abundance of a species as a solitary tree could predict its occurrence as a tree island initiator, we used Equation (7) to calculate the 95% confidence intervals for differences in proportions [71,85],
where 1 is the proportion of multi-tree islands for which a species is the initiator; 2 is the mean proportion for that species across solitary plots; is the number of multi-tree islands; and is the number of solitary plots. Where the difference between 1 and 2 is greater than 0, the species is the initiator more often than would be expected from its abundance as a solitary tree, and where the difference is less than 0, it is the initiator less often than expected from its abundance as a solitary tree. If the confidence interval includes 0, then the species’ representation as an island initiator is consistent with (could be predicted from) its representation in solitary plots.
3. Results
3.1. Community Structure
Study sites differed in community structure in terms of the proportion of tree islands that were multi-tree vs. single-tree, the dimensions of tree islands, the growth form of islands (krummholz, upright, or a mix of krummholz with upright stems), and the density of solitary trees. The Rainbow Curve study site had the greatest proportion of multi-tree islands (61.5%), which also tended to be long and narrow, earning the designation “stringers” (Table 2).
Table 2.
Descriptive statistics for single- and multi-tree islands at each study site.
The stringer tree islands tended to increase in height from the windward to the leeward end, producing a wedge shape. The trees at the windward end of these tree islands were krummholz in form, and those at the leeward end were of mixed krummholz-upright growth form; at the Rainbow Curve study site, a large percentage of the growth forms in its stringer-shaped tree islands were classified as krummholz-upright (Table 3).
Table 3.
Growth form classifications for tree islands at each study site.
The Ute Trail study site also had long multi-tree islands, but these were wider and so did not have a stringer form (Table 2). The Battle Mountain study site was comprised mostly of limber pine in single-tree islands (Table 2 and Figure 3), and so the tree islands tended to be smaller overall (Table 2).
Figure 3.
Solitary tree heights are displayed for the four study sites. Mean height (cm) and 95% confidence intervals are displayed in the text boxes. Where confidence intervals do not overlap, differences are significant at the α = 0.05 threshold.
Approximately half of the tree islands at the Longs Peak and Ute Trail study sites were multi-tree (Table 2), although the dimensions of the Longs Peak study site tree islands were generally smaller.
Tree islands across all study sites were stunted to some degree because of wind-stress and winter desiccation, with very few upright trees. Tree island heights were comparable among the study sites. The Longs Peak study site had the greatest percentage of krummholz tree islands and zero upright tree islands (Table 3) as well as lower median heights (Table 2), suggesting stronger or more frequent winds at this study site than the other study sites. The Ute Trail and Battle Mountain study sites indicated a greater number of sheltered microsites with 15.4 and 15.2% of tree islands classified upright, respectively. The Rainbow Curve study site had the greatest percentage of krummholz-upright tree islands due to the upright stems of trees at the leeward end of stringer tree islands, which benefitted from facilitation by windward trees (Table 3).
Solitary trees generally occurred at low densities across all study sites, except where moister microsites or shelter occurred such as in an area of high snowmelt runoff near the road at the Rainbow Curve study site (Figure 4). Within the 5-m-radius plots (78.54 m2), counts were almost always <10 trees (Figure 4). Median density ranged between 0.000 trees/m2 at the Ute Trail study site and 0.038 trees/m2 at the Battle Mountain study site. The Ute Trail study site had significantly lower solitary tree density than the Battle Mountain, Longs Peak, or Rainbow Curve study sites. The Battle Mountain study site had a significantly greater density of solitary trees than the Longs Peak study site (Figure 4).
Figure 4.
Plots were binned according to the number of solitary trees within each. Plots were 78.54 m2 in area. The median density of solitary trees (trees/m2) for each site is shown in the text box with 95% confidence intervals. Where confidence intervals do not overlap, differences are significant at the α = 0.05 threshold.
No significant differences in solitary tree height were observed among the study sites (Figure 3).
3.2. Species Composition of Tree Islands
Limber pine was significantly more abundant as a single-tree island species than either Engelmann spruce or subalpine fir at both the Battle Mountain and Longs Peak study sites (Figure 5). At the Rainbow Curve study site, limber pine was significantly more abundant as a single-tree island than subalpine fir, and at the Ute Trail study site, Engelmann spruce was significantly more abundant as a single-tree island than limber pine.
Figure 5.
Species proportions and 95% confidence intervals are shown for single-tree islands for subalpine fir (A. lasiocarpa—ABLA), Engelmann spruce (P. engelmannii—PIEN), and limber pine (P. flexilis—PIFL) at the Battle Mountain (BM), Longs Peak (LP), Rainbow Curve (RC), and Ute Trail (UT) study sites. The number of single-tree islands at each site is in parentheses. Where confidence intervals do not overlap, differences are significant at the α = 0.05 threshold.
We represented multi-tree island species composition as a proportion of tree islands containing each conifer species, rather than attempting to discriminate individuals from clonal stems in krummholz mats. At the Longs Peak and Rainbow Curve study sites, no significant differences were observed in species representation in multi-tree islands (Figure 6). At the Ute Trail study site, Engelmann spruce was found in a significantly greater proportion of multi-tree islands than limber pine. At the Battle Mountain study site, limber pine was found in all six multi-tree islands while Engelmann spruce was not found in any, and subalpine fir was found in fewer than 25% of multi-tree islands.
Figure 6.
Proportion of multi-tree islands that included subalpine fir (A. lasiocarpa—ABLA), Engelmann spruce (P. engelmannii—PIEN), and limber pine (P. flexilis—PIFL) at the Battle Mountain (BM), Longs Peak (LP), Rainbow Curve (RC), and Ute Trail (UT) study sites. The number of multi-tree islands at each site is in parentheses. Proportions do not add to one because a multi-tree island may contain more than one species. Where confidence intervals do not overlap, differences are significant at the α = 0.05 threshold.
In sum, limber pine was a frequent component of multi-tree islands in three study sites, the major component in one study site, and dominated single-tree islands at two study sites.
3.3. Species Composition of Solitary Tree Plots
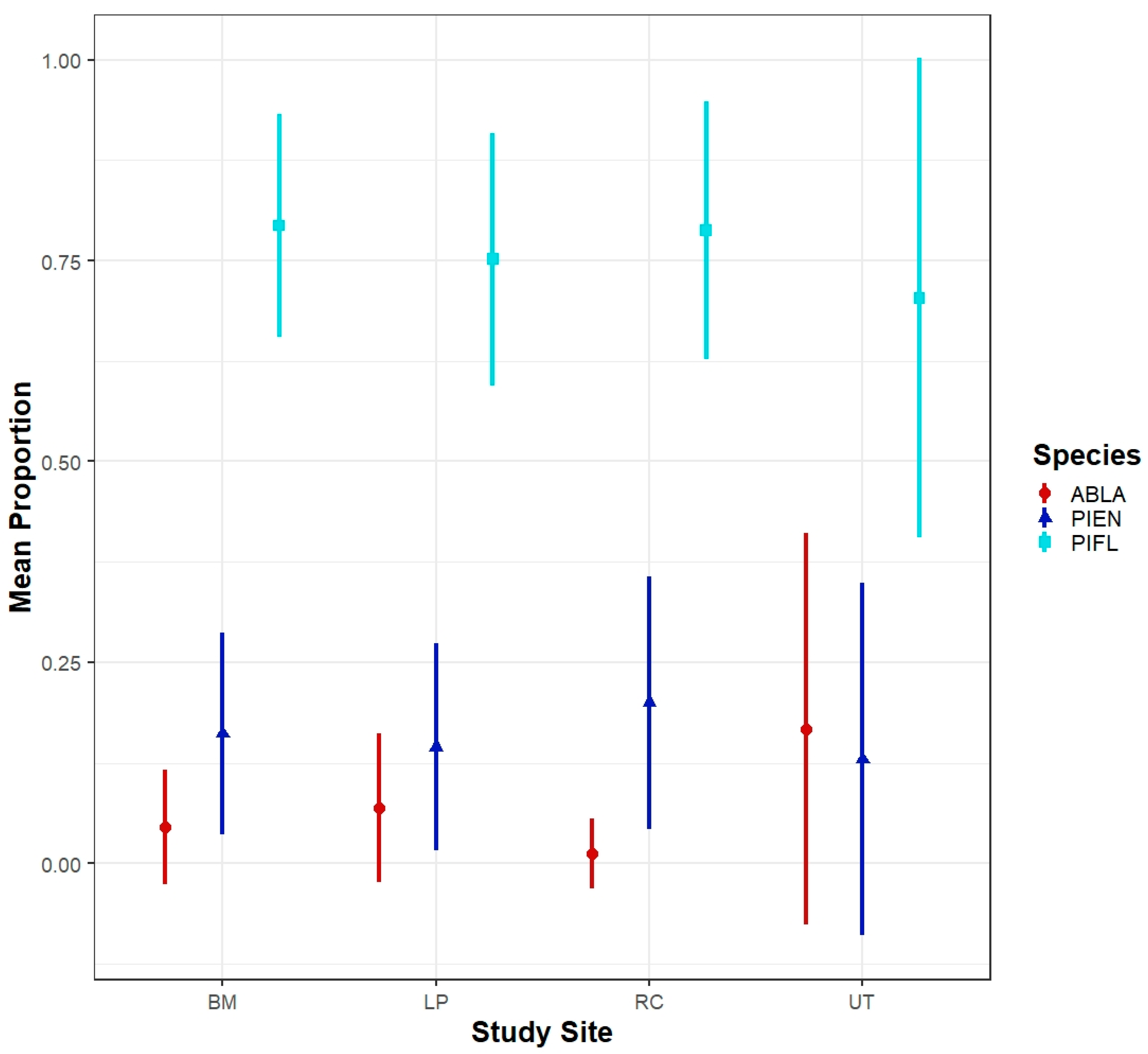
Limber pine was significantly more abundant in solitary tree plots than either Engelmann spruce or subalpine fir across all study sites (Table 4 and Figure 7).
Table 4.
Estimated differences in solitary tree proportions between tree species.
Figure 7.
Mean species proportions and 95% confidence intervals for solitary plots are shown for subalpine fir (ABLA), Engelmann spruce (PIEN), and limber pine (PIFL) at the Battle Mountain (BM), Longs Peak (LP), Rainbow Curve (RC), and Ute Trail (UT) study sites. Where confidence intervals do not overlap, differences are significant at the α = 0.05 threshold.
The differences were calculated to confirm the confidence interval assessment (Figure 7) that limber pine was significantly more abundant as a solitary tree than Engelmann spruce or subalpine fir across all study sites. We used Equation (7) to calculate 95% confidence intervals for these differences in proportions (Table 4). None of the confidence intervals included 0; the results indicate that limber pine was significantly proportionately more abundant than subalpine fir or Engelmann spruce.
3.4. Windward Species Analyses
Odds ratios were calculated to compare the probability of finding different species in the most windward position of multi-tree islands (Figure 8).
Figure 8.
Odds ratios are shown comparing the odds of finding Engelmann spruce (PIEN), subalpine fir (ABLA), or limber pine (PIFL) in the most windward position of multi-tree islands. Results are shown for the Longs Peak (LP), Rainbow Curve (RC), and Ute Trail (UT) study sites. Odds ratios could not be calculated for the Battle Mountain (BM) study site because all six multi-tree islands at this site featured limber pine in the most windward position.
The Battle Mountain study site was excluded from this analysis because limber pine was the tree island initiator for all sampled multi-tree islands. The 95% confidence intervals of all odds ratios spanned 1.0 across all study sites apart from the Ute Trail study site, indicating that no species was significantly more likely to be the initiator than any other. At the Ute Trail study site, Engelmann spruce was the tree island initiator significantly more often than limber pine.
To determine whether the probability of finding a given species in the most windward position can be predicted from (is consistent with) its proportional abundance in solitary tree plots, we calculated differences (and 95% confidence intervals) between the windward tree proportions and solitary tree proportions for each species at each study site (Table 5). We found that limber pine was found in the windward position significantly less often than would be expected from its proportional abundance as a solitary tree at three of four sites, and significantly more often than expected at the Battle Mountain study site. Engelmann spruce was found significantly more often in the windward position than expected at the Ute Trail study site, but less than expected at the Rainbow Curve and Battle Mountain study sites. Subalpine fir was found in the windward position significantly more often than would be expected from its representation in solitary plots at both the Longs Peak and Rainbow Curve study sites.
Table 5.
Estimated differences between windward proportions and solitary proportions.
In sum, limber pine in general did not differ overall from other species in its proportional occurrence as a tree island initiator of multi-tree islands, and its proportional occurrence as a tree island initiator was less than its proportional abundance as a solitary tree.
4. Discussion
4.1. Limber Pine as a Colonizer in the ATE
Across sites, limber pine consistently comprised the greatest proportion of trees in solitary plots. Limber pine’s abundance in solitary plots suggests that limber pine is well-suited to colonize treeline environments without facilitation from other conifers. Its prevalence as a solitary tree may be due to directed dispersal by Clark’s nutcrackers, which bury limber pine seeds near objects (mnemonic aids for cache retrieval) and so likely provide seeds with protected microsites [59,67]; solitary trees were often noted to be located in the lee of rocks. In contrast, Engelmann spruce and subalpine fir are wind-dispersed species, and so their ability to colonize the ATE would depend on the co-occurrence of nearby seed sources, upslope wind patterns, and the prevalence of favorable microsites [6]. Seeds of wind-dispersed species may not land in suitable microsites or may be more vulnerable to predation.
Clark’s nutcrackers also tend to cache in sites that allow for easier seed retrieval in the winter and spring, and so limber pine’s distribution as a solitary tree may be a result of caching behavior in areas of low snowpack [40,56] in combination with the pine’s tolerance of moisture stress [44]. Limber pine may therefore be dominant at sites that are less suitable for Engelmann spruce or subalpine fir establishment due to wind exposure, moisture limitations, or edaphic conditions. Limber pine seedlings are generally drought tolerant [44] and are more tolerant of moisture stress than Engelmann spruce [65] (and likely also subalpine fir). As climate warming causes earlier snowmelt in the ATE [87,88,89,90], thus increasing moisture stress during the growing season, limber pine’s relative abundance in the ATE may increase, with beneficial influences on local hydrology through snow retention and for slope stabilization.
Bioclimatic envelope models predict that limber pine will move upslope in RMNP under a changing climate [66]. While seed germination and seedling survival rates have not been estimated for limber pine at the treeline, whitebark pine germination rates at the treeline in two study areas in the northern Rockies ranged from 42.5 to 64.1% [91] and annual survival rate (estimated over five years) ranged from 0.571 to 0.992 [20]. Seed germination and seedling survival of limber pine at the treeline may also be quite high, compared to other conifers [92]. For example, in the arid White Mountains of eastern California, limber pine has advanced into the ATE above bristlecone pine (Pinus longaeva), possibly aided by mycorrhizal mutualisms as well as directed dispersal by Clark’s nutcrackers [60,61,93]. Our finding that limber pine is significantly more abundant as a solitary tree than other ATE conifer species in RMNP may result from higher seedling survival on harsh sites.
4.2. Role of Limber Pine in Tree Islands in the ATE
While Engelmann spruce, subalpine fir, and other conifers outcompete limber pine under advancing succession in subalpine and lower-elevation forests [40,41,42], the same may not be true at treeline. As a component of multi-tree islands, limber pine has a roughly even proportional abundance with Engelmann spruce and subalpine fir, suggesting that the occurrence of different species of trees within tree islands is stochastic. Furthermore, competitive interactions may not be important among these species in the ATE. In general, studies indicate that facilitative interactions tend to be more prevalent under stressful conditions [13,26,94,95]. Holtmeier (2009) found limber pine to be a component of multi-tree islands with Engelmann spruce and subalpine fir elsewhere in the Front Range [24].
With respect to facilitation, no conifer species had significantly greater odds of being found in the windward position of a tree island than any other species across study sites except at the Ute Trail study site. There, Engelmann spruce had significantly greater odds of occupying the windward position than limber pine. Thus, based on our data, no species is a more frequent tree island initiator than any other species and the species in the initiator role may be stochastically determined at these study sites.
We also found that a species’ relative abundance as a solitary tree does not predict its likelihood of becoming a tree island initiator, contrary to previous findings for whitebark pine [70,71]. There may be fundamental differences in local site characteristics where limber pine establishes as a solitary tree as opposed to local sites that support multi-tree islands. In most cases, limber pine is found less often as a tree island initiator in our study sites than we would expect, given its abundance as a solitary tree, except for the Battle Mountain study site. Based on our hypothesis that tree islands are established by individual trees, which potentially ameliorate conditions downwind for other conifers, these results may mean that limber pine may not provide a sufficiently protective leeward microsite for seed germination or seedling survival. Limber pine does not reproduce by growing clonal stems or through stem-layering [24]. The dense vegetative growth of krummholz subalpine fir and Engelmann spruce may provide better shelter for new trees; temperatures and moisture are more stable within and leeward of spruce-fir tree islands [24]. Dense spruce-fir tree islands also promote soil development, particularly inside the islands where podzolization may occur [24], but soil properties associated with limber pine tree islands have not yet been investigated. However, whitebark pine, which is similar in morphology to limber pine, was found to provide protective leeward microsites that ameliorated soil temperatures and wind [19,70,96]. We suggest that the discrepancy may be explained by the conditions where limber pine grows as a solitary tree, which may be so harsh that seeds of other tree species are unlikely to germinate, and/or that seedlings have low survival probability. In fact, few individuals of Engelmann spruce or subalpine fir were found as solitary trees; Engelmann spruce and subalpine fir tended to be found in multi-tree islands. Further work is necessary to determine which of these hypotheses is best supported; our sampling frame was limited to each of the four study sites selected.
4.3. Differences among ATE Community Structure and Abiotic Characteristics
Four ATE communities in geographic proximity are insufficient to generalize differences in the structure and species composition of krummholz ATE communities on the eastern slope of the Colorado Front Range. Our goal was to determine if and to what extent limber pine occurred in these communities, and its ecological function in these communities. The present study may be used to generate hypotheses about how differences in site conditions may yield differences in species, and thus community structure, and so guide future work.
Where limber pine was found in greater abundance as single-tree islands (the Battle Mountain and Longs Peak study sites), ATE communities are comprised of many individual limber pine trees growing solitarily at low densities across the landscape. In contrast, the Ute Trail and Rainbow Curve study sites were characterized by multi-tree islands that formed large patches (at the Ute Trail study site) or elongated “stringers” oriented with prevailing wind direction (at the Rainbow Curve study site). The proportion of multi-tree islands vs. single tree islands, the tree island metrics, and the solitary tree density may be associated with species composition; a formal analysis with a sufficient sample size could assess this.
Limber pine was most abundant at the Battle Mountain and Longs Peak study sites, which had northerly aspects. The Battle Mountain study site consisted of N/NW aspects and a SW prevailing wind, and the Longs Peak study site had N/NE aspects and a W prevailing wind (Table 1). Limber pine was not very abundant above the timberline at the Ute Trail study site, which had a SE/E aspect. In addition to a greater abundance of spruce and fir, shrubs and forbs were prevalent at the Ute Trail study site, particularly Juniperus communus, Betula glandulosa, and Salix sp., indicating higher snowpack. Fewer solitary conifers were found in general at this study site. It may be that the SE/E aspect of this study site provides more shelter from a WNW prevailing wind, allowing other plant species to predominate. The Ute Trail study site was also at the head of a gulch, and the deeper snowpack and higher moisture may be more amenable to Engelmann spruce and subalpine fir establishment [97,98]. Furthermore, limber pine seedlings are inhibited from establishing in sites with deeper average snowpack due to increased risk of snow fungus infection [24].
The relative importance of competitive and facilitative interactions may be inversely related depending on the harshness of conditions, particularly with respect to wind and snowpack [25]. The Rainbow Curve study site had a NW aspect and a WNW prevailing wind, with local peaks on either end of the study site forming a sort of saddle through which wind appears to be funneled. Longer, multi-tree krummholz islands with an even representation of species were found toward the center of this saddle, while single-tree limber pine islands tended to be found on the steeper slopes directly facing prevailing winds. It is possible that variation in topography over short distances, and especially convex as opposed to concave landforms in conjunction with prevailing winds determines the distribution of solitary trees vs. multi-tree islands.
4.4. Considerations for the Conservation and Management of Limber Pine
White pine blister rust has impacted limber pine on 88% of plots evaluated in this northernmost part of its range and limber pine is listed as endangered in Alberta [79,80]. More than 60% of limber pine trees are infected in many stands in Wyoming [99]. Since blister rust was first identified in RMNP in 2010, the infection has spread. In 2019, more than 150 trees were pruned of blister rust cankers in the Beaver Ponds area of RMNP (B. Verhulst, personal communication). While treeline areas are thought to be at lower risk of infection because of dry, windy conditions unfavorable to spore transmission [100], we found cankers on multiple trees at the Rainbow Curve and Ute Trail study sites in 2019 (Sindewald et al., unpublished data). Whitebark pine, a closely-related species that has experienced substantial decline throughout its range due to white pine blister rust, has also experienced pervasive infection in the ATE [70,71,77,79,100]. Limber pine may therefore also be vulnerable at the treeline.
A proactive conservation plan for limber pine was written for RMNP in 2015 (and expanded and updated in 2019) [74,101]. The principal management approaches are to (1) plant seedlings and sow seeds to increase limber pine populations overall, collecting seeds from across the range to preserve limber pine’s genetic diversity; (2) identify alleles that confer complete or partial resistance to white pine blister rust and balance the frequency of these alleles in limber pine populations (high frequencies of complete resistance may accelerate blister rust virulence to the major resistance allele); and (3) prune branches with sporulating cankers to reduce the spore load that could spread blister rust across the landscape [74].
To implement the proactive management plan effectively, the future of limber pine under a changing climate must be considered. Bioclimatic envelope models project that limber pine will move upslope with increasing temperature [66], and this projection is supported by our findings of a prevalence of solitary limber pine trees in all four communities examined. However, a wider study of ATE communities where limber pine is a component is needed to determine whether our findings hold across ATE communities with limber pine. The occurrence of blister rust infection in these communities raises further concerns that limber pine in the ATE may not be able to survive the spreading pathogen or advance upslope [102]. If blister rust limits limber pine’s expansion into the ATE, in combination with the upslope advance of more competitive Engelmann spruce and subalpine fir at limber pine’s lower elevational limits, limber pine may not be able to persist under novel climate scenarios at all. Our findings suggest that further study of limber pine in the ATE may be important for conservation of the species under changing climate and advancing blister rust.
5. Conclusions
Limber pine was the most abundant solitary tree within each of the four communities, indicating that this species may be a colonizer of the ATE at sites where conditions may be unsuitable for other species. Limber pine was also predominant at two sites as single-tree islands (large, single limber pine), suggesting that once established, it may persist or even thrive at the examined sites without facilitation from other species. None of the conifer species predominated as a tree island initiator. Instead, species’ occurrence in this functional role seems to be stochastic. While all three study sites were directly upslope of subalpine forest communities where limber pine is abundant, some differences were observed in limber pine’s proportional representation.
Here, we provide the first descriptive characterizations of four different limber pine ATE communities in RMNP, showing that under certain conditions, limber pine may be the only tree to establish and form a low-density community of solitary trees. Limber pine is also a component of multi-tree islands with Engelmann spruce and subalpine fir. In all likelihood, limber pine frequently occurs under similar conditions in other Front Range ATE communities and may be more widespread in occurrence and functional role in the ATE than previously known. Limber pine may increase in relative abundance in the ATE with climate warming, due to its drought tolerance and to directed seed dispersal by Clark’s nutcrackers. Further work is indicated to examine the influence of wind and microclimatic conditions in shaping the species composition of ATE krummholz communities in RMNP. Understanding limber pine’s ability to respond to changing climate may have important management considerations as white pine blister rust continues to spread within RMNP.
Understanding community-level variation in species composition in the ATE as well as interactions among tree species may help refine predictions for treeline response to changing climate. Treeline response may be dependent on the availability of suitable microsites, species-specific niche requirements for seedlings, and facilitative interactions among species. Moisture availability based on snow distribution may be an important determinant of the ability for tree species to move upslope with increasing temperature. Future research should also consider differences in seed dispersal mechanisms as an influence in the ability of trees to colonize in the ATE.
Author Contributions
Conceptualization, L.A.S. and D.F.T.; Methodology, L.A.S., D.F.T., and E.R.N.; Formal analysis, investigation, and data curation, L.A.S.; Resources, D.F.T.; Writing—original draft preparation, L.A.S.; Writing—review and editing, D.F.T. and E.R.N.; Funding acquisition, L.A.S., E.R.N., and D.F.T. All authors have read and agreed to the published version of the manuscript.
Funding
This research was funded by the Colorado Native Plant Society’s John W. Marr Grant.
Acknowledgments
The National Park Service at Rocky Mountain National Park provided logistical support and research dorm housing for this study. We thank the reviewers for constructive suggestions to improve this manuscript.
Conflicts of Interest
The authors declare no conflicts of interest. The funders had no role in the design of the study; in the collection, analyses, or interpretation of data; in the writing of the manuscript, or in the decision to publish the results.
References
- Cooper, W.S. Alpine vegetation in the vicinity of Long’s Peak. Bot. Gaz. 1908, 45, 319–337. [Google Scholar] [CrossRef]
- Rochefort, R.M.; Little, R.L.; Woodward, A.; Peterson, D.L. Changes in sub-alpine tree distribution in western North America: A review of climatic and other causal factors. Holocene 1994, 4, 89–100. [Google Scholar] [CrossRef]
- Baker, W.L.; Weisberg, P.J. Landscape analysis of the forest-tundra ecotone in Rocky Mountain National Park, Colorado. Prof. Geogr. 1995, 47, 361–374. [Google Scholar] [CrossRef]
- Körner, C. A re-assessment of high elevation treeline positions and their explanation. Oecologia 1998, 115, 445–459. [Google Scholar] [CrossRef] [PubMed]
- Resler, L.M. Geomorphic controls of spatial pattern and process at alpine treeline. Prof. Geogr. 2006, 58, 124–138. [Google Scholar] [CrossRef]
- Malanson, G.P.; Butler, D.R.; Fagre, D.B.; Walsh, S.J.; Tomback, D.F.; Daniels, L.D.; Resler, L.M.; Smith, W.K.; Weiss, D.J.; Peterson, D.L.; et al. Alpine treeline of western North America: Linking organism-to-landscape dynamics. Phys. Geogr. 2007, 28, 378–396. [Google Scholar] [CrossRef]
- Holtmeier, F.-K. What does the term “krummholz” really mean? Observations with special reference to the Alps and the Colorado Front Range. Mt. Res. Dev. 1981, 1, 253–260. [Google Scholar] [CrossRef]
- Ives, J.D.; Hansen-Bristow, K.J. Stability and instability of natural and modified upper timberline landscapes in the Colorado Rocky Mountains, USA. Mt. Res. Dev. 1983, 3, 149–155. [Google Scholar] [CrossRef]
- Körner, C.; Paulsen, J. A world-wide study of high altitude treeline temperatures. J. Biogeogr. 2004, 31, 713–732. [Google Scholar] [CrossRef]
- Körner, C. Alpine Plant. Life: Functional Plant. Ecology of High. Mountain Ecosystems, 2nd ed.; Springer: Berlin, Gemany, 2011; pp. 77–100. [Google Scholar]
- Elliott, G.P. Influences of 20th-century warming at the upper tree line contingent on local-scale interactions: Evidence from a latitudinal gradient in the Rocky Mountains, USA. Glob. Ecol. Biogeogr. 2011, 20, 46–57. [Google Scholar] [CrossRef]
- Holtmeier, F.-K.; Broll, G. Sensitivity and response of Northern Hemisphere altitudinal and polar treelines to environmental change at landscape and local scales. Glob. Ecol. Biogeogr. 2005, 14, 395–410. [Google Scholar] [CrossRef]
- McIntire, E.J.B.; Piper, F.I.; Fajardo, A. Wind exposure and light exposure, more than elevation-related temperature, limit tree line seedling abundance on three continents. J. Ecol. 2016, 104, 1379–1390. [Google Scholar] [CrossRef]
- Holtmeier, F.-K.; Broll, G. Treeline research—From the roots of the past to present time. A Review. Forests 2020, 11, 38. [Google Scholar] [CrossRef]
- Harsch, M.A.; Hulme, P.E.; McGlone, M.S.; Duncan, R.P. Are treelines advancing? A global meta-analysis of treeline response to climate warming. Ecol. Lett. 2009, 12, 1040–1049. [Google Scholar] [CrossRef]
- Elliott, G.P.; Kipfmueller, K.F. Multi-scale influences of slope aspect and spatial pattern on ecotonal dynamics at upper treeline in the Southern Rocky Mountains, U.S.A. Arct. Antarct. Alp. Res. 2010, 42, 45–56. [Google Scholar] [CrossRef]
- Hessl, A.E.; Baker, W.L. Spruce-fir growth form changes in the forest-tundra ecotone of Rocky Mountain National Park, Colorado, USA. Ecography 1997, 20, 356–367. [Google Scholar] [CrossRef]
- Resler, L.M.; Butler, D.R.; Malanson, G.P. Topographic shelter and conifer establishment and mortality in an alpine environment, Glacier National Park, Montana. Phys. Geogr. 2005, 26, 112–125. [Google Scholar] [CrossRef]
- Pyatt, J.C.; Tomback, D.F.; Blakeslee, S.C.; Wunder, M.B.; Resler, L.M.; Boggs, L.A.; Bevency, H.D. The importance of conifers for facilitation at treeline: Comparing biophysical characteristics of leeward microsites in whitebark pine communities. Arct. Antarct. Alp. Res. 2016, 48, 427–444. [Google Scholar] [CrossRef]
- Pansing, E.R.; Tomback, D.F.; Wunder, M.B.; French, J.P.; Wagner, A.C. Microsite and elevation zone effects on seed pilferage, germination, and seedling survival during early whitebark pine recruitment. Ecol. Evol. 2017, 7, 9027–9040. [Google Scholar] [CrossRef]
- Brodersen, C.R.; Germino, M.J.; Johnson, D.M.; Reinhardt, K.; Smith, W.K.; Resler, L.M.; Bader, M.Y.; Sala, A.; Keuppers, L.M.; Broll, G.; et al. Seedling survival at timberline is critical to conifer mountain forest elevation and extent. Front. For. Glob. Chang. 2019, 2. [Google Scholar] [CrossRef]
- Germino, M.J.; Smith, W.K.; Resor, A.C. Conifer seedling distribution and survival in an alpine-treeline ecotone. Plant. Ecol. 2002, 162, 157–168. [Google Scholar] [CrossRef]
- Smith, W.K.; Germino, M.J.; Hancock, T.E.; Johnson, D.M. Another perspective on altitudinal limits of alpine timberlines. Tree Phys. 2003, 23, 1101–1112. [Google Scholar] [CrossRef] [PubMed]
- Holtmeier, F.K. Mountain Timberlines: Ecology, Patchiness, and Dynamics; Springer: Amsterdam, The Netherlands, 2009. [Google Scholar]
- Holtmeier, F.-K.; Broll, G. The influence of tree islands and microtopography on pedoecological conditions in the forest-alpine tundra ecotone on Niwot Ridge, Colorado Front Range, U.S.A. Arct. Alp. Res. 1992, 24, 216–228. [Google Scholar] [CrossRef]
- Callaway, R.M.; Brooker, R.W.; Choler, P.; Kikvidze, Z.; Lorti, C.J.; Michalet, R.; Paolini, L.; Pugnaire, F.I.; Newingham, B.; Aschehoug, E.T.; et al. Positive interactions among alpine plants increase with stress. Nature 2002, 417, 844–848. [Google Scholar] [CrossRef]
- Batllori, E.; Camarero, J.J.; Ninot, J.M.; Gutiérrez, E. Seedling recruitment, survival and facilitation in alpine Pinus uncinata tree line ecotones. Implications and potential responses to climate warming. Glob. Ecol. Biogeogr. 2009, 18, 460–472. [Google Scholar] [CrossRef]
- Michelat, R.; Schöb, C.; Lortie, C.J.; Brooker, R.W.; Callaway, R.M. Partitioning net interactions among plants along altitudinal gradients to study community responses to climate change. Funct. Ecol. 2014, 28, 75–86. [Google Scholar] [CrossRef]
- Maher, E.L.; Germino, M.J.; Hasselquist, N.J. Interactive effects of tree and herb cover on survivorship, physiology, and microclimate of conifer seedlings at the alpine tree-line ecotone. Can. J. For. Res. 2005, 35, 567–574. [Google Scholar] [CrossRef]
- Barbeito, I.; Dawes, M.A.; Rixen, C.; Senn, J.; Bebi, P. Factors driving mortality and growth at treeline: A 30-year experiment of 92,000 conifers. Ecology 2012, 93, 389–401. [Google Scholar] [CrossRef]
- Marr, J.W. The development and movement of tree islands near the upper limit of tree growth in the southern Rocky Mountains. Ecology 1977, 58, 1159–1164. [Google Scholar] [CrossRef]
- Peet, R.K. Forest vegetation of the Colorado Front Range. Vegetation 1981, 45, 3–75. [Google Scholar] [CrossRef]
- Benedict, J.B. Rates of tree-island migration, Colorado Rocky Mountains, USA. Ecology 1984, 65, 820–823. [Google Scholar] [CrossRef]
- Weisberg, P.J.; Baker, W.L. Spatial variation in tree regeneration in the forest-tundra ecotone, Rocky Mountain National Park, Colorado. Can. J. For. Res. 1995, 25, 1326–1339. [Google Scholar] [CrossRef]
- Humphries, H.C.; Bourgeron, P.S.; Mujica-Crapanzano, L.R. Tree spatial patterns and environmental relationships in the forest–alpine tundra ecotone at Niwot Ridge, Colorado, USA. Ecol. Res. 2008, 23, 589–605. [Google Scholar] [CrossRef]
- Holtmeier, F.-K.; Broll, G. Layering in the Rocky Mountain treeline ecotone: Clonal conifer groups’ distribution, structure, and functional role. Trees 2017, 31, 953–965. [Google Scholar] [CrossRef]
- Sakulich, J. Reconstruction and spatial analysis of alpine treeline in the Elk Mountains, Colorado, USA. Phys. Geogr. 2015, 36, 471–488. [Google Scholar] [CrossRef]
- Knowles, P.; Grant, M.C. Age and size structure analyses of Engelmann spruce, ponderosa pine, lodgepole pine, and limber pine in Colorado. Ecology 1983, 64, 1–9. [Google Scholar] [CrossRef]
- Syring, J.; Farrell, K.; Businský, R.; Cronn, R.; Liston, A. Widespread genealogical nonmonophyly in species of Pinus subgenus Strobus. Syst. Biol. 2007, 56, 163–181. [Google Scholar] [CrossRef]
- Steele, R. Pinus flexilis James. In Silvics of North America; U.S. Department of Agriculture: Washington, DC, USA, 1990; Volume 1, pp. 348–354. [Google Scholar]
- Rebertus, A.J.; Burns, B.R.; Veblen, T.T. Stand dynamics of Pinus-flexilis-dominated sub-alpine forests in the Colorado Front Range. J. Veg. Sci. 1991, 2, 445–458. [Google Scholar] [CrossRef]
- Donnegan, J.A.; Rebertus, A.J. Rates and mechanisms of subalpine forest succession along an environmental gradient. Ecology 1999, 80, 1370. [Google Scholar] [CrossRef]
- Marr, J.W. Ecosystems of the east slope of the Front Range in Colorado. In University of Colorado Studies Series in Biology; Hulley, K.K., Ed.; University of Colorado Press: Boulder, CO, USA, 1961; Volume 8. [Google Scholar]
- Lepper, M.G. Carbon dioxide exchange in Pinus flexilis and P. strobiformis (Pinaceae). Madroño 1980, 27, 17–24. [Google Scholar]
- Schoettle, A.W.; Rochelle, S.G. Morphological variation of Pinus flexilis (Pinaceae), a bird-dispersed pine, across a range of elevations. Am. J. Bot. 2000, 87, 1797–1806. [Google Scholar] [CrossRef] [PubMed]
- Schoettle, A.W. Ecological roles of five-needle pine in Colorado: Potential consequences of their loss. In Breeding and Genetic Resources of Five-Needle Pines: Growth, Adaptability and Pest Resistance; Proceedings RMRS-P32, IUFRO Working Party, Medford, Oregon, 2.02.15; Sniezko, R.A., Samman, S., Schlarbaum, S.E., Kriebel, H.B., Eds.; Rocky Mountain Research Station, Forest Service, U.S. Department of Agriculture: Medford, OR, USA, 2004; pp. 124–135. [Google Scholar]
- Tomback, D.F.; Kramer, K.A. Limber pine seed harvest by Clark’s nutcracker in the Sierra Nevada: Timing and foraging behavior. Condor 1980, 82, 467–468. [Google Scholar] [CrossRef]
- Lanner, R.M.; Vanderwall, S.B. Dispersal of limber pine seed by Clark’s nutcracker. J. For. 1980, 78, 637–639. [Google Scholar] [CrossRef]
- Tomback, D.F.; Schoettle, A.W.; Perez, M.J.; Grompone, K.M.; Mellmann-Brown, S. Regeneration and survival of whitebark pine after the 1988 Yellowstone Fires. In The Future of High-Elevation, Five-Needle White Pines in Western North America, Proceedings of the High Five Symposium, Missoula, MT, USA, 28–30 June 2010; Keane, R.E., Tomback, D.F., Murray, M.P., Smith, C.M., Eds.; Rocky Mountain Research Station, Forest Service, U.S. Department of Agriculture: Fort Collins, CO, USA, 2011; pp. 66–68. [Google Scholar]
- Williams, T.J.; Tomback, D.F.; Grevstad, N.; Broms, K. Temporal and energetic drivers of seed resource use by Clark’s nutcracker, keystone seed disperser of coniferous forests. Ecosphere 2020, 11, e03085. [Google Scholar] [CrossRef]
- Tomback, D.F. Foraging strategies of Clark’s nutcracker. Living Bird 1978, 16, 123–161. [Google Scholar]
- Tomback, D.F.; Taylor, C.L. Tourist impact on Clark’s Nutcracker foraging activities in Rocky Mountain National Park. In Toward the Year 2000; Proceedings of the Conference on Science in the National Parks, Fort Collins, Colorado; Singer, F.J., Ed.; George Wright Society, U.S. National Park Service: Hancock, MI, USA, 1987; pp. 158–172. [Google Scholar]
- Vander Wall, S.B. Foraging of Clark’s nutcrackers on rapidly changing pine seed resources. Condor 1988, 90, 621–631. [Google Scholar] [CrossRef]
- Tomback, D.F. Dispersal of whitebark pine seeds by Clark’s nutcracker: A mutualism hypothesis. J. Anim. Ecol. 1982, 51, 451–467. [Google Scholar] [CrossRef]
- Tomback, D.F. The impact of seed dispersal by Clark’s nutcracker on whitebark pine: Multi-scale perspective on a high mountain mutualism. In Mountain Ecosystems: Studies in Treeline Ecology; Broll, G., Keplin, B., Eds.; Springer Publishing: New York, NY, USA, 2005; pp. 181–201. [Google Scholar]
- Tomback, D.F. Seed dispersal by Corvids: Birds that build forests. In Why Birds Matter; Sekercioglu, C.H., Wenny, D.G., Whelan, C.J., Eds.; University of Chicago Press: Chicago, IL, USA, 2016; p. 368. [Google Scholar]
- Tomback, D.F. Post-fire regeneration of krummholz whitebark pine: A consequence of nutcracker seed caching. Madroño 1986, 33, 100–110. [Google Scholar]
- Tomback, D.F.; Anderies, A.J.; Carsey, K.S.; Powell, M.L.; Mellmann-Brown, S. Delayed seed germination in whitebark pine and regeneration patterns following the Yellowstone fires. Ecology 2001, 82, 2587–2600. [Google Scholar] [CrossRef]
- Tomback, D.F.; Linhart, Y.B. The evolution of bird-dispersed pines. Evol. Ecol. 1990, 4, 185–219. [Google Scholar] [CrossRef]
- Smithers, B.V.; North, M.P.; Millar, C.I.; Latimer, A.M. Leap frog in slow motion: Divergent responses of tree species and life stages to climatic warming in Great Basin subalpine forests. Glob. Chang. Biol. 2018, 24, E442–E457. [Google Scholar] [CrossRef] [PubMed]
- Millar, C.I.; Westfall, R.D.; Delany, D.L.; Flint, A.L.; Flint, L.E. Recruitment patterns and growth of high-elevation pines in response to climatic variability (1883–2013), in the western Great Basin, USA. Can. J. For. Res. 2015, 45, 1299–1312. [Google Scholar] [CrossRef]
- Smithers, B.V. Soil preferences in germination and survival of limber pine in the Great Basin White Mountains. Forests 2017, 8, 423. [Google Scholar] [CrossRef]
- Moyes, A.B.; Castanha, C.; Germino, M.J.; Kueppers, L.M. Warming and the dependence of limber pine (Pinus flexilis) establishment on summer soil moisture within and above its current elevation range. Oecologia 2013, 171, 271–282. [Google Scholar] [CrossRef]
- Moyes, A.B.; Germino, M.J.; Kueppers, L.M. Moisture rivals temperature in limiting photosynthesis by trees establishing beyond their cold-edge range limit under ambient and warmed conditions. New Phytol. 2015, 207, 1005–1014. [Google Scholar] [CrossRef]
- Kueppers, L.M.; Conlisk, E.; Castanha, C.; Moyes, A.B.; Germino, M.J.; de Valpine, P.; Torn, M.S.; Mitton, J.B. Warming and provenance limit tree recruitment across and beyond the elevation range of subalpine forest. Glob. Chang. Biol. 2017, 23, 2383–2395. [Google Scholar] [CrossRef]
- Monahan, W.B.; Cook, T.; Melton, F.; Connor, J.; Bobowski, B. Forecasting distributional responses of limber pine to climate change at management-relevant scales in Rocky Mountain National Park. PLoS ONE 2013, 8. [Google Scholar] [CrossRef]
- Baumeister, D.; Callaway, R.M. Facilitation by Pinus flexilis during succession: A hierarchy of mechanisms benefits other plant species. Ecology 2006, 87, 1816–1830. [Google Scholar] [CrossRef]
- Resler, L.M.; Tomback, D.F. Blister rust prevalence in krummholz whitebark pine: Implications for treeline dynamics, Northern Rocky Mountains, Montana, U.S.A. Arct. Antarct. Alp. Res. 2008, 40, 161–170. [Google Scholar] [CrossRef]
- Tomback, D.F.; Chipman, K.G.; Resler, L.M.; Smith-McKenna, E.K.; Smith, C.M. Relative abundance and functional role of whitebark pine at treeline in the Northern Rocky Mountains. Arct. Antarct. Alp. Res. 2014, 46, 407–418. [Google Scholar] [CrossRef]
- Tomback, D.F.; Resler, L.M.; Keane, R.; Pansing, E.R.; Andrade, A.; Wagner, A.C. Community structure, biodiversity, and ecosystem services in treeline whitebark pine communities: Potential impacts from a non-native pathogen. Forests 2016, 7, 21. [Google Scholar] [CrossRef]
- Wagner, A.C.; Tomback, D.F.; Resler, L.M.; Pansing, E.R. Whitebark pine prevalence and ecological function in the treeline communities of the Greater Yellowstone Ecosystem, USA: Potential disruption by white pine blister rust. Forests 2018, 9, 635. [Google Scholar] [CrossRef]
- Benkman, C.W. The impact of tree squirrels (Tamiasciurus) on limber pine seed dispersal adaptations. Evolution 1995, 49, 585–592. [Google Scholar] [CrossRef] [PubMed]
- McCutchen, H.E. Limber pine and bears. Great Basin Nat. 1996, 56, 90–92. [Google Scholar]
- Schoettle, A.W.; Burns, K.S.; Cleaver, C.M.; Connor, J.J. Proactive Limber Pine Conservation Strategy for the Greater Rocky Mountain National Park Area; Rocky Mountain Research Station, Forest Service, U.S. Department of Agriculture: Fort Collins, CO, USA, 2019. Available online: https://www.fs.usda.gov/treesearch/pubs/57621 (accessed on 2 May 2020).
- Connor, J.J.; Schoettle, A.W.; Burns, K.S.; Borgman, E. Limber pine conservation in Rocky Mountain National Park. Nutcracker Notes 2012–2013, 23, 13–15. [Google Scholar]
- Cleaver, C.M.; Jacobi, W.R.; Burns, K.S.; Means, R.E. Limber pine in the central and southern Rocky Mountains: Stand conditions and interactions with blister rust, mistletoe, and bark beetles. For. Ecol. Manag. 2015, 358, 139–153. [Google Scholar] [CrossRef]
- Tomback, D.F.; Achuff, P.; Schoettle, A.W.; Schwandt, J.W.; Mastrogiuseppe, R.J. The magnificent high-elevation five-needle white pines: Ecological roles and future outlook. In The Future of High-Elevation, Five-Needle White Pines in Western North America: Proceedings of the High Five Symposium, Proceedings of the RMRS-P-63, Missoula, MT, USA, 28–30 June 2010; Keane, R.E., Tomback, D.F., Murray, M.P., Smith, C.M., Eds.; Rocky Mountain Research Station, Forest Service, U.S. Department of Agriculture: Fort Collins, CO, USA, 2011; pp. 2–28. Available online: https://www.fs.usda.gov/treesearch/pubs/38188 (accessed on 2 May 2020).
- Klutsch, J.G.; Goodrich, B.A.; Schoettle, A.W. Limber pine forests on the leading edge of white pine blister rust distribution in Northern Colorado. In The Future of High-Elevation, Five-Needle White Pines in Western North America: Proceedings of the High Five Symposium, Proceedings of the RMRS-P-63, Missoula, MT, USA, 28–30 June 2010; Keane, R.E., Tomback, D.F., Murray, M.P., Smith, C.M., Eds.; Rocky Mountain Research Station, Forest Service, U.S. Department of Agriculture: Fort Collins, CO, USA, 2011. Available online: https://www.fs.usda.gov/treesearch/pubs/38227 (accessed on 8 June 2020).
- Smith, C.M.; Langor, D.W.; Myrholm, C.; Weber, J.; Gillies, C.; Stuart-Smith, J. Changes in white pine blister rust infection and mortality in limber pine over time. Can. J. For. Res. 2013, 43, 919–928. [Google Scholar] [CrossRef]
- Jones, B.; Gutsell, R.; Barnhardt, L.; Gould, J.; Smith, C.; Langor, D.; Ostermann, K. Alberta Limber Pine Recovery Plan 2014–2019; Alberta Species at Risk Recovery Plan No. 35; Alberta Environment and Sustainable Resource Development: Edmonton, AB, Canada, 2014; p. 61.
- Salas, D.; Stevens, J.; Schulz, K. Rocky Mountain National Park, Colorado 2001–2005 Vegetation Classification and Mapping Project Report; U.S. Bureau of Reclamation Technical Memorandum 8260-05-02; Remote Sensing and GIS Group Technical Service Center Bureau of Reclamation: Denver, CO, USA, 2005. [Google Scholar]
- Carsey, K.S.; Tomback, D.F. Growth form distribution and genetic-relationships in tree clusters of Pinus flexilis, a bird-dispersed pine. Oecologia 1994, 98, 402–411. [Google Scholar] [CrossRef]
- Signorell, A. DescTools: Tools for Descriptive Statistics. R Package Version 0.99.36. Available online: https://cran.r-project.org/package=DescTools (accessed on 1 July 2020).
- Hope, R.M. RMisc: Ryan Miscellaneous. R Package Version 1.5. Available online: https://cran.r-project.org/package=Rmisc (accessed on 1 July 2020).
- Whitlock, M.C.; Schluter, D. The Analysis of Biological Data, 2nd ed.; W.H. Freeman and Company: New York, NY, USA, 2015; pp. 179–256. [Google Scholar]
- Rita, H.; Komonen, A. Odds ratio: An ecologically sound tool to compare proportions. Annales Zoologici Fennici 2008, 45, 66–72. [Google Scholar] [CrossRef]
- Service, R.F. As the West Goes Dry. Science 2004, 303, 1124–1127. [Google Scholar] [CrossRef]
- Mote, P.W.; Hamlet, A.F.; Clark, M.P.; Lettenmaier, D.P. Declining mountain snowpack in western North America. Bull. Am. Meteor. 2005, 86, 39–50. [Google Scholar] [CrossRef]
- Mote, P.W. Climate-driven variability and trends in mountain snowpack in western North America. J. Clim. 2006, 19, 6209–6220. [Google Scholar] [CrossRef]
- Charles, L.H. Effects of Climate Change on Snowpack, Glaciers, and Water Resources in the Northern Rockies. In Climate Change and Rocky Mountain Ecosystems, 1st ed.; Halofsky, J.E., Peterson, D.L., Eds.; Springer International Publishing: Cham, Switzerland, 2018; Volume 63, p. 263. [Google Scholar]
- Pansing, E.R.; Tomback, D.F. Survival of whitebark pine seedlings grown from direct seeding: Implications for regeneration and restoration under Climate Change. Forests 2019, 10, 677. [Google Scholar] [CrossRef]
- Tranquillini, W. Physiological Ecology of the Alpine Timberline: Tree Existence at High. Altitudes with Special Reference to the European Alps; Springer: Berlin, Germany, 1979. [Google Scholar]
- Shemesh, H.; Boaz, B.E.; Millar, C.I.; Bruns, T.D. Symbiotic interactions above treeline of long-lived pines: Mycorrhizal advantage of limber pine (Pinus flexilis) over Great Basin bristlecone pine (Pinus longaeva) at the seedling stage. J. Ecol. 2020, 108, 908–916. [Google Scholar] [CrossRef]
- Bertness, M.D.; Callaway, R. Positive interactions in communities. Trends Ecol Evol. 1994, 9, 191–193. [Google Scholar] [CrossRef]
- McIntire, E.J.B.; Fajardo, A. Facilitation as a ubiquitous driver of biodiversity. New Phytol. 2014, 201, 403–416. [Google Scholar] [CrossRef]
- Tomback, D.F.; Blakeslee, S.C.; Wagner, A.C.; Wunder, M.B.; Resler, L.M.; Pyatt, J.C.; Diaz, S. Whitebark pine facilitation at treeline: Potential interactions for disruption by an invasive pathogen. Ecol. Evol. 2016, 6, 5144–5157. [Google Scholar] [CrossRef]
- Gill, R.A.; Campbell, C.S.; Karlinsey, S.M. Soil moisture controls Engelmann spruce (Picea engelmannii) seedling carbon balance and survivorship at timberline in Utah, USA. Can. J. For. Res. 2015, 45, 1845–1852. [Google Scholar] [CrossRef]
- Andrus, R.A.; Harvey, B.J.; Rodman, K.C.; Hart, S.J.; Veblen, T.T. Moisture availability limits subalpine tree establishment. Ecology 2018, 99, 567–575. [Google Scholar] [CrossRef]
- Kearns, H.S.J.; Jacobi, W.R. The distribution and incidence of white pine blister rust in central and southeastern Wyoming and northern Colorado. Can. J. For. Res. 2007, 37, 462–472. [Google Scholar] [CrossRef]
- Smith, E.K.; Resler, L.M.; Vance, E.A.; Carstensen, L.W.; Kolivras, K.N. Blister rust incidence in treeline whitebark pine, Glacier National Park, U.S.A.: Environmental and topographic influences. Arct. Antarct. Alp. Res. 2011, 43, 107–117. [Google Scholar] [CrossRef]
- Cleaver, C.M.; Schoettle, A.W.; Burns, A.W.; Connor, J.J. Limber pine conservation strategy: Recommendations for Rocky Mountain National Park. In Proceedings of the 63rd Annual Western International Forest Disease Work Conference, Newport, OR, USA, 21–25 September 2015; Ramsey, A., Palacios, P., Eds.; Rocky Mountain Research Station, USDA Forest Service: Fort Collins, CO, USA, 2015; pp. 81–82. [Google Scholar]
- Tomback, D.F.; Resler, L.M. Invasive pathogens at treeline: Consequences for treeline dynamics. Phys. Geogr. 2007, 28, 397–418. [Google Scholar] [CrossRef]
© 2020 by the authors. Licensee MDPI, Basel, Switzerland. This article is an open access article distributed under the terms and conditions of the Creative Commons Attribution (CC BY) license (http://creativecommons.org/licenses/by/4.0/).







