Abstract
Accurate estimation of forest biomass and its growth potential could be important in assessing the mitigation potential of forest for climate change. However, severe mechanical disturbance such as stem breakage imposed significant changes to tree individuals in biomass structure, which could bring new inaccuracy to biomass estimation. In order to investigate the influence of severe mechanical disturbance on tree biomass accumulation and to construct accurate models for biomass and carbon storage estimation, this paper analyzed the relationship between tree size and biomass for China fir (Cunninghamia lanceolata (Lamb.) Hook) which suffered stem breakage from, and survived, an ice storm. The performance of independent variables diameter (D) and height (H) of China fir, were also compared in biomass estimation. The results showed that D as an independent variable was adequate in biomass estimation for China fir, and tree height was not necessary in this case. Root growth was faster in China fir which had suffered breakage in the main stem by the ice storm, than China fir which were undamaged for at least 7 years after the mechanical disturbance, which, in addition to biomass loss in stem, caused changes in the allocation pattern of the damaged trees. This suggests biomass models constructed before severe mechanical disturbance would be less suitable in application for a subsequent period, and accurate estimations of biomass and forest carbon storage would take more effort.
  1. Introduction
Accurate estimation of forest carbon storage and its growth potential is the basis for forest quality assessment and may be important in assessing the mitigation potential of forest for climate change [,]. A direct or indirect method can be used in the estimation of forest biomass []. The direct method is the most accurate, but also time-consuming, laborious and destructive to operate. It is not suitable for biomass estimation in a large area and has only been adopted by a few scholars []. Remote sensing technology is ideal for forest biomass estimation in large areas, but has less accuracy []. With a small number of cut samples, an allometric model can be applied to construct regression between biomass and tree size, such as, diameter at breast height and tree height. This method has good estimation accuracy and is the most widely used biomass estimation method so far [,,]. At present, a large number of biomass models for different tree species in various regions have been built [,], and effort is also spent in trying to build a general model suitable for different tree species and different types of forest [,]. However, parameters of biomass allometric models vary because of differences in biomass allocation, morphological structure and wood density between trees of different species and from different locations [], which might derive a non-negligible error in the application of general allometric models []. In order to reduce the error and uncertainty during biomass estimation, it is appropriate to build a dedicated biomass model for specific forest types and common tree species [,].
At present, several biomass models have been constructed for tree species in subtropical evergreen broad-leaved forests in different regions [,,,], most of which focus on the estimation of aboveground biomass. Estimation of belowground biomass is limited by the difficulty of root sampling, and there are few related studies. For this reason, root/shoot ratio must be used in estimation of belowground biomass [] despite the inaccuracy brought by variations of biomass allocation among forest types and tree species [].
The recent IPCC report has confirmed that weather and climate extremes are becoming more and more frequent []. In this case, intensive investigations on the impact of extreme climate events on ecosystems become more important than ever.
Climate extremes affect ecosystems via mechanical or physiological impact to individuals, which produce responses in the population or community scale []. Mechanical disturbance prevails in forest located in regions with more precipitation, according to analysis of Nothofagus dombeyi (Mirb.) Blume forest, and are usually imposed by ‘force-related’ climatic events such as snow and wind []. Both vegetative and reproductive growth are proved affected by mechanical impact [,]. Therefore regrowth after being damaged is part of plants’ tolerance strategies to disturbance [].
The 2008 ice storm in southern China caused extensive damage to forest. In Mts. Nanling which is the most important watershed in this region, 89.07% of forest located at 500–1000 m above sea level was damaged to a various extent according to a previous survey []. Stem breakage was one of the major types of damage caused by the ice storm, affecting one fifth of the trees in the successional layer and main forest layer. Among all tree species, China fir (Cunninghamia lanceolata) was severely impacted by the ice storm [,], as it has been one of the most common tree species afforested in south China for decades. Stem breakage by the ice storm imposed great changes in biomass structure to China fir individuals, which could bring new inaccuracy to the effort spent in biomass estimation. This paper investigated the biomass accumulation of China fir after stem breakage caused by the ice storm, in order to investigate the influence of severe mechanical disturbance on tree biomass accumulation, and to construct accurate biomass models for biomass and carbon storage estimation. In addition, it may provide some insight about tolerance strategies of China fir to mechanical disturbance.
2. Materials and Methods
2.1. The Experiment Site
The study site was located at 24°38′32.41″–24°38′55.93″ N and 112°58′31.03″–112°59′0.85″ E in the Tiangjingshan Forest Farm of Guangdong, China. The region is characterized by a subtropical monsoon climate, with an average annual temperature of 17.1 °C. The average annual rainfall is about 1800 mm, and the rainy season (April to September) contributes about 80% of the annual rainfall. The soil was classified as red soil (Humic Planosol, FAO) that developed from granite. The sample sites were located between 870 m and 1040 m above sea level and were covered with a mature stand of China fir (Cunninghamia lanceolata) afforested in 1985 for economic purposes. In 2008 an ice storm struck the south-central region of China and most of the China fir in the studied region were damaged.
2.2. The Studied Species
China fir is one of the dominant tree species in subtropical China, covering an area of approximately 4 × 106 hectares and accounting for about 25% of plantations. It is one of the major sources of timber production in south China and plays a pivotal role in the rural economy. According to Zhou and his colleagues [], two thirds of China fir plantation investigated was damaged by the 2008 ice storm. Among them, one third suffered stem breakage, with individuals of intermediate size being the most vulnerable to this type of damage.
2.3. Tree Biomass Measurement
In 2014, the authors of this current study sampled 32 China fir individuals for biomass measurement during the logging process by a forest farm. Among the samples, 15 trees were not impacted by the 2008 ice storm due to a warmer microclimate, while the other 17 trees suffered breakage in the main stem and survived. D and H of the sampled trees were measured after they were cut down with a chainsaw leaving a stump of 10 cm in height. For all sampled trees, stumps and the root system were dug up and weighed as the belowground component. Stems and branches with leaves were considered aboveground component but weighed separately. All tree components were directly weighed in field for fresh weight using an electronic hanging balance with an accuracy of 0.01 kg. Three disks of 5 cm in thickness were collected from the stem at a height of 1.3 m, 3.3 m and 5.3 m as subsamples of the stem. Three cylinders of 5–10 cm in length and 5 cm, 2 cm and 1 cm in diameter, respectively, were collected as subsamples of the branches. Subsamples of leaves of about 300 g were collected from different parts of branches. They were measured for fresh weight with an electronic balance with an accuracy of 0.1 g. All samples were placed in cloth bags and oven-dried at 65 °C until they achieved a constant weight, and their dry weight was measured. The dry and fresh weights were used for the determination of the moisture content of each tree section.
Excavation was used to determine the biomass of the belowground component. All of the trees at the study site were cleared, making it relatively easy to excavate entire root systems. First a backhoe was used to dig a 1.5–3.0 m cylindrical trench around the tree stump, and at a depth of 1.5–2.5 m according to the stump size. Then the soil in the hole was excavated and sifted through a wire sieve (20 mm mesh) to separate the roots. Finally, stumps and the attached taproots were pulled out. Using this approach, most of the root systems were extracted intact, but not all of the fine roots. All harvested roots were shaken, brushed and washed to remove the attached soil. The total fresh weight of roots was measured, and the subsamples were brought to the laboratory to determine the moisture content for the calculation of dry mass.
2.4. Allometric Model Development and Evaluation
A two-way ANOVA was used to analyze the effects of tree size and damage from the ice storm, and their interaction on the biomass of each component (leaves and branches, stems, and roots) of China fir. To estimate their biomass, for practical purposes, allometric models were developed for the damaged and the undamaged trees, respectively.
Power function or its logarithmic form is commonly used for allometric equations in biomass studies [,]. D (diameter at breast height) is the most frequently used variable for predicting biomass. Other variables, such as H (tree height), wood density, and crown area, have also often been used as additional variables, or have been combined with D as a single variable in allometric models in previous studies [,].
In consideration that H differentiated between damaged and undamaged China fir (p < 0.001), 2 variables of tree size (D and the combination of D and H) were tested with the power allometric model in biomass estimation.
        
      
        
      
      
      
      
    
      
        
      
      
      
      
    
        where B represents biomass (kg), D (cm) is the diameter at breast height, and H (m) is the height of a tree, with a and b being the estimated parameters of the fitted models. The data were analyzed using the basic functions of R version 4.0.2 (R Foundation for Statistical Computing, Vienna, Austria) [].
The criteria for evaluating the performance and fitness of the 2 models were the coefficient of determination (R2), coefficient of variation (CV), and systematic errors (Bias) [,].
        
      
        
      
      
      
      
    
      
        
      
      
      
      
    
      
        
      
      
      
      
    
        where  is the number of sampled trees,  is the observed biomass,  is the predicted biomass and  is the mean observed biomass of trees,  is the number of parameters.
3. Results
3.1. Allometric Models of Biomass Estimation for Different Components of China Fir with Different Variables
Biomass models of different components were constructed for China fir with D or D2H as the independent variable, and detailed comparisons were made between them (Table 1). All models with either D or D2H slightly underestimated the biomass of China fir, damaged or undamaged. In most circumstances they showed similar performance with bias ranging from −0.0327 to −0.00027, CV between 0.025 and 0.058, and R2 between 0.91 and 0.99. The potential differences between these two variables in predicting the biomass of China fir were observed in models for the belowground component. The prediction from D2H was more deviated than that from D for undamaged trees. For damaged trees, it was less statistically fitted with the obtained data (smaller R2) in the model with D2H.
 
       
    
    Table 1.
    Parameters (A) of biomass allometric models for damaged and for undamaged China fir of different components with different independent variables and the criteria (B) to evaluate the performance of these models.
  
Belowground biomass was harder to predict in comparison with the other structural component, indicated by larger bias, CV, and smaller R2 in models for root biomass. It reflected the difficulty in the estimation of root biomass.
3.2. Biomass Allocations
As the main stem was broken, the biomass allocation of China fir was affected, as expected, by damage due to the ice storm (Figure 1). Biomass proportion was higher in combined leaf and branch, and root, and smaller in stem, for damaged individuals. However, biomass loss was merely part of the factors leading to biomass allocation in damaged China fir.
 
      
    
    Figure 1.
      Biomass proportion of the structural components for damaged and undamaged China fir. ANOVA was applied to test the main effects of D and damage by ice storm in each component of China fir. Significant differences were observed solely between damaged and undamaged groups for each structural component (p < 0.001 for stem, and combined leaf and branch, p < 0.01 for root). Average values and S.E. calculated from individuals within the same group are presented.
  
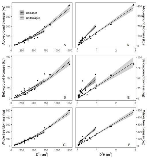
Table 2 shows the effects of ice storm damage and tree size on biomass accumulation of China fir. Size parameters were well coupled with biomass as expected. For belowground components, stem breakage during the ice storm significantly changed the relationship between size and biomass accumulation, which stayed consistent regardless of the independent variable used in the biomass model. Belowground biomass of damaged China fir was higher when trees were small, and started to converge with undamaged China fir around D of 22 cm, if D was used to predict biomass accumulation (Figure 2B). A similar convergence could be expected through extrapolation in the prediction by D2H (Figure 2E). In the case of aboveground biomass, the ANOVA results varied with independent variables (Table 2). Aboveground biomass of damaged China fir was similar to undamaged China fir if tree height was not included in the model, and were higher, by similar size, when height formed part of the independent variable (Figure 2A,D). Integration of the above- and belowground components resulted in the total biomass of China fir. The effects of damage and its interactions with tree size were marginally significant when D alone was applied in prediction (Table 2), and damaged trees were higher in biomass than undamaged trees of the same size (Figure 2F).
 
       
    
    Table 2.
    ANOVA for biomass allometric models for different components of China fir with different variables. Significances were marked with bold.
  
 
      
    
    Figure 2.
      Relationships between biomass accumulation and size parameter (D or D2H) of China fir damaged or undamaged in 2008 ice storm. Significances (p < 0.05) were observed in belowground biomass predicted by D (B) and all models predicted by D2H (D,E,F), marginal significance in whole tree biomass by D (C), and no significance in aboveground biomass by D (A), between the damaged and the undamaged trees. Mean and S.E. are presented with lines and bands.
  
Figure 3 shows the differences of biomass between damaged and undamaged China fir. In the result predicted either by D and height, or by D alone, the differences of biomass between damaged and undamaged trees were very large in small individuals and were smaller as trees became bigger. The slope of the curves increased rapidly before 0.25 in D2H (16 cm in D and 10 m in H) and 100 in D2 (10 cm in D). The (relatively) flat parts of the curves were extracted and their average was calculated through tree size. The average of relative biomass showed that damaged China fir accumulated aboveground biomass either more than, or the same as, the undamaged trees. On the other hand, the relative biomass of the roots of damaged China fir was distinctly higher than the undamaged trees, and was consistent in both models.
 
      
    
    Figure 3.
      Biomass of the damaged China fir relative to undamaged China fir. Biomass of undamaged China fir was considered 100%, therefore relative biomass was greater than 100% when the biomass of damaged trees was larger, and vice versa.
  
4. Discussion
4.1. Comparison between Biomass Allometric Models with Different Independent Viriable
Accurate estimation of biomass in disturbed forest ecosystems is important for carbon evaluation after extreme climate events. The development of precise biomass models for impacted trees is one method to achieve this goal. In a previous study, the authors developed high accuracy models for broad leaf trees damaged in the 2008 ice storm in southern China []. In this paper, biomass models were developed for China fir, a needle tree which is widely used in forest farms of southern China, and suffered damage in the 2008 ice storm, and compared the performance of different independent variables in biomass prediction.
The biomass allometric models with either D or D2H produced comparable results according to the evaluation criteria (bias, CV, and R2), except in the prediction for belowground biomass of damaged China fir (Table 1). While the allometric models for belowground biomass showed larger CV and smaller R2 than the rest of the models, D alone may be the better predictor than the combination of D and height. In other words, allometric models with solely D were better in the tested circumstances, although D2H took into consideration tree height, which was dramatically changed for individuals which suffered stem breakage. Furthermore, the inconvenience of accurately measuring tree height in field also makes D2H less suitable in biomass assessment of China fir.
The curve of belowground biomass of damaged China fir deviated from undamaged China Fir in both biomass models. They confirmed that biomass allocation has changed in the impacted China fir since the 2008 ice storm. Subsequently, the difference of stem biomass between the damaged and the undamaged China fir was marginally significant. It suggested that models developed before any severe mechanical disturbance might not be suitable for a subsequent period in the pursuit of biomass estimation with high accuracy, especially for the estimation of belowground biomass and tree species with a large proportion of root biomass.
4.2. The Impact of Ice Storm on Damaged China Fir
Biomass predictions from either D or D2H showed that belowground biomass of damaged China fir was higher than undamaged China fir of similar size. These predictions implied the China fir damaged by the 2008 ice storm grew faster in root than the undamaged China fir during the following 7 years.
Enhanced root growth implies carbon allocation from shoot to root after disturbance [,]. These changes may relate to changes in nutrient resources in soil or light availability, according to observations in North America [,], which could be caused by the increased forest litter and damaged canopy within the current study’s results. New leaves acclimated to the rapid increase in light availability might facilitate faster assimilation in damaged trees, while undamaged trees keeping old leaves might adapt more gradually to the new environment. Generally this current study’s results are partially consistent with the balance growth hypothesis [], that biomass allocation to leaves or roots is adjusted in order to increase capture of the limiting external resource, because the damaged canopy surely became saturated with light availability.
Overcompensation in growth of plants after disturbance is usually reported in herbivory and called overcompensation, as part of the evolutionary strategy to gain fitness benefit with a trade-off between resistance and tolerance. A plant species with overcompensation in growth suggests it is relatively easy to be impacted, and tends to recover fast from disturbance, while those with undercompensation tend to resist disturbance but find it hard to recover once damaged []. Overcompensation is also reported in other disturbance. Enhanced stem growth was observed in forest disturbed by hurricane [], and cherry trees increased flower production and reduced quality of fruits and seeds after herbivory on their reproductive organs [].
The enhanced root growth and changes in biomass allocation evidenced by this study’s results might give rise to some ecological consequences. Extra accumulation of root biomass in trees impacted by an ice storm could bring systematic error in the application of allometric models developed before the disturbance. This effect is not negligible because root makes up one fifth of the biomass of China fir (0), and in addition, conifers take up to 10%–30% of tree composition in temperate forest where ice storms frequently occur, affecting 20%–50% of conifer populations depending on disturbance intensity, elevation and species [,].
5. Conclusions
The results show that tree height is not necessary in biomass estimation for China fir, and that biomass allocation of China fir which suffered stem breakage is not merely the result of biomass loss in stem, but also the consequence of enhanced root growth lasting for at least 7 years after the mechanical disturbance. Extra care might be needed for accurate biomass estimation for trees which have suffered severe mechanical damage.
Author Contributions
Conceptualization, Z.L., H.Z. and G.Z.; methodology, software and formal analysis, Z.L.; investigation, H.Z. and Z.Q.; writing—review and editing, X.W. and Z.W.; funding acquisition, G.Z. All authors have read and agreed to the published version of the manuscript.
Funding
This research was funded by the National Natural Science Foundation of China (grant numbers 31770664), and the Central Non-profit Research Institution of the Chinese Academy of Forestry (grant numbers CAFYBB2019SZ003; CAFYBB2017SY024).
Conflicts of Interest
The authors declare no conflict of interest.
References
- Houghton, R.A. Aboveground Forest Biomass and the Global Carbon Balance. Glob. Chang. Biol. 2005, 11, 945–958. [Google Scholar] [CrossRef]
- Yu, G.; Chen, Z.; Piao, S.; Peng, C.; Ciais, P.; Wang, Q.; Li, X.; Zhu, X. High carbon dioxide uptake by subtropical forest ecosystems in the East Asian monsoon region. Proc. Natl. Acad. Sci. USA 2014, 111, 4910–4915. [Google Scholar] [CrossRef] [Green Version]
- Brown, S. Measuring carbon in forests: Current status and future challenges. Environ. Pollut. 2002, 116, 363–372. [Google Scholar] [CrossRef]
- Tang, S.; Zhang, H.; Xu, H. Study on Establish and Estimate Method of Compatible Biomass Model. Sci. Silvae Sin. 2000, 36, 19–27. [Google Scholar] [CrossRef]
- Xie, Y.; Sha, Z.; Yu, M. Remote sensing imagery in vegetation mapping: A review. J. Plant Ecol. 2008, 1, 9–23. [Google Scholar] [CrossRef]
- Hossain, M.; Saha, C.; Abdullah, S.M.R.; Saha, S.; Siddique, M.R.H. Allometric biomass, nutrient and carbon stock models for Kandelia candel of the Sundarbans, Bangladesh. Trees 2016, 30, 709–717. [Google Scholar] [CrossRef]
- Hou, Y.-N.; Wu, H.-L. Using Nonlinear Regression Method to Develop Allometric Equations for Aboveground Biomass Estimate of Three Evergreen Broadleaved Tree Species in Subtropical China. J. Cent. South Univ. For. Technol. 2016. 36, 98–101. [CrossRef]
- Ubuy, M.H.; Eid, T.; Bollandsås, O.M.; Birhane, E. Aboveground biomass models for trees and shrubs of exclosures in the drylands of Tigray, northern Ethiopia. J. Arid. Environ. 2018, 156, 9–18. [Google Scholar] [CrossRef]
- Chave, J.; Andalo, C.; Brown, S.; Cairns, M.A.; Chambers, J.; Eamus, D.; Fölster, H.; Fromard, F.; Higuchi, N.; Kira, T.; et al. Tree allometry and improved estimation of carbon stocks and balance in tropical forests. Oecologia 2005, 145, 87–99. [Google Scholar] [CrossRef]
- Roxburgh, S.H.; Paul, K.I.; Clifford, D.; England, J.R.; Raison, R.J. Guidelines for Constructing Allometric Models for the Prediction of Woody Biomass: How Many Individuals to Harvest? Ecosphere 2015, 6, 1–27. [Google Scholar] [CrossRef] [Green Version]
- Basuki, T.M.; van Laake, P.E.; Skidmore, A.K.; Hussin, Y.A. Allometric equations for estimating the above-ground biomass in tropical lowland Dipterocarp forests. For. Ecol. Manag. 2009, 257, 1684–1694. [Google Scholar] [CrossRef]
- Nafus, A.M.; McClaran, M.P.; Archer, S.R.; Throop, H.L. Multispecies Allometric Models Predict Grass Biomass in Semidesert Rangeland. Rangel. Ecol. Manag. 2009, 62, 68–72. [Google Scholar] [CrossRef]
- Melson, S.L.; Harmon, M.E.; Fried, J.S.; Domingo, J.B. Estimates of live-tree carbon stores in the Pacific Northwest are sensitive to model selection. Carbon Balance Manag. 2011, 6, 2. [Google Scholar] [CrossRef] [PubMed] [Green Version]
- Chaturvedi, R.K.; Raghubanshi, A. Allometric Models for Accurate Estimation of Aboveground Biomass of Teak in Tropical Dry Forests of India. For. Sci. 2015, 61, 938–949. [Google Scholar] [CrossRef]
- Xie, T.-T.; Li, G.; Zhou, G.-Y.; Wu, Z.-M.; Zhao, H.-B.; Qiu, Z.-J.; Liang, R.-Y. Aboveground biomass of natural Castanopsis carlesii-Schima superba community in Xiaokeng of Nanling Mountains, South China. Chin. J. Appl. Ecol. 2013, 24, 2399–2407. [Google Scholar]
- Zuo, S.-D.; Ren, Y.; Weng, X.; Ding, H.-F.; Luo, Y.-J. Biomass allometric equations of nine common tree species in an evergreen broadleaved forest of subtropical China. Chin. J. Appl. Ecol. 2015, 26, 356–362. [Google Scholar]
- Lin, K.; Lyu, M.; Jiang, M.; Chen, Y.; Li, Y.; Chen, G.; Xie, J.; Yang, Y. Improved allometric equations for estimating biomass of the three Castanopsis carlesii H. forest types in subtropical China. New For. 2017, 48, 115–135. [Google Scholar] [CrossRef]
- Peng, S.; He, N.; Yu, G.; Wang, Q. Aboveground biomass estimation at different scales for subtropical forests in China. Bot. Stud. 2017, 58, 45. [Google Scholar] [CrossRef] [Green Version]
- Addo-Danso, S.D.; Prescott, C.E.; Smith, A.R. Methods for estimating root biomass and production in forest and woodland ecosystem carbon studies: A review. For. Ecol. Manag. 2016, 359, 332–351. [Google Scholar] [CrossRef]
- Xu, Y.; Zhang, J.; Franklin, S.B.; Liang, J.; Ding, P.; Luo, Y.; Lu, Z.; Bao, D.; Jiang, M. Improving allometry models to estimate the above- and belowground biomass of subtropical forest, China. Ecosphere 2015, 6, art289. [Google Scholar] [CrossRef]
- Masson-Delmotte, V.; Zhai, P.; Pirani, A.; Connors, S.L.; Péan, C.; Berger, S.; Caud, N.; Chen, Y.; Goldfarb, L.; Gomis, M.I.; et al. (Eds.) Climate Change 2021: The Physical Science Basis. In Contribution of Working Group I to the Sixth Assessment Report of the Intergovernmental Panel on Climate Change; Cambridge University Press: Cambridge, UK, 2021. [Google Scholar]
- Felton, A.J.; Smith, M.D. Integrating plant ecological responses to climate extremes from individual to ecosystem levels. Philos. Trans. R. Soc. B: Biol. Sci. 2017, 372, 20160142. [Google Scholar] [CrossRef] [Green Version]
- Suarez, M.L.; Kitzberger, T. Differential effects of climate variability on forest dynamics along a precipitation gradient in northern Patagonia. J. Ecol. 2010, 98, 1023–1034. [Google Scholar] [CrossRef]
- Bellingham, P.J.; Tanner, E.V.J.; Healey, J.R. Damage and Responsiveness of Jamaican Montane Tree Species after Disturbance by a Hurricane. Ecology 1995, 76, 2562–2580. [Google Scholar] [CrossRef]
- Renton, K.; Salinas-Melgoza, A.; Rueda-Hernández, R.; Vázquez-Reyes, L.D. Differential resilience to extreme climate events of tree phenology and cavity resources in tropical dry forest: Cascading effects on a threatened species. For. Ecol. Manag. 2018, 426, 164–175. [Google Scholar] [CrossRef]
- Belsky, A.J.; Carson, W.P.; Jensen, C.L.; Fox, G.A. Overcompensation by plants: Herbivore optimization or red herring? Evol. Ecol. 1993, 7, 109–121. [Google Scholar] [CrossRef]
- Wang, X. Effects of Ice Storm on the Structure of Evergreen Broad-Leaved Forest in Mt. Nanling; Chinese Academy of Forestry: Beijing, China, 2012. [Google Scholar]
- Xu, Y.W.; Wu, K.K.; Zhu, L.R.; Lin, Z.G.; Peng, S.L. A Review of Freezing Rain and Snow Impacts on Forests in Southern China. Ecol. Environ. Sci. 2010, 19, 1485–1494. [Google Scholar]
- Zhou, B.; Wang, X.; Cao, Y.; Ge, X.; Gu, L.; Meng, J. Damage assessment to subtropical forests following the 2008 Chinese ice storm. iForest—Biogeosciences For. 2017, 10, 406–415. [Google Scholar] [CrossRef] [Green Version]
- Moussa, M.; Mahamane, L. Allometric models for estimating aboveground biomass and carbon in Faidherbia albida and Prosopis africana under agroforestry parklands in drylands of Niger. J. For. Res. 2018, 29, 1703–1717. [Google Scholar] [CrossRef]
- Carl, C.; Biber, P.; Landgraf, D.; Buras, A.; Pretzsch, H. Allometric Models to Predict Aboveground Woody Biomass of Black Locust (Robinia pseudoacacia L.) in Short Rotation Coppice in Previous Mining and Agricultural Areas in Germany. Forests 2017, 8, 328. [Google Scholar] [CrossRef] [Green Version]
- Gou, M.; Xiang, W.; Song, T.; Lei, P.; Zhang, S.; Ouyang, S.; Zeng, Y.; Deng, X.; Fang, X.; Wang, K. Allometric Equations for Applying Plot Inventory and Remote Sensing Data to Assess Coarse Root Biomass Energy in Subtropical Forests. BioEnergy Res. 2017, 10, 536–546. [Google Scholar] [CrossRef]
- R Core Team. R: A Language and Environment for Statistical Computing; R Foundation for Statistical Computing: Vienna, Austria, 2020. [Google Scholar]
- Chave, J.; Réjou-Méchain, M.; Búrquez, A.; Chidumayo, E.; Colgan, M.S.; Delitti, W.B.; Duque, A.; Eid, T.; Fearnside, P.; Goodman, R.C.; et al. Improved allometric models to estimate the aboveground biomass of tropical trees. Glob. Chang. Biol. 2014, 20, 3177–3190. [Google Scholar] [CrossRef]
- Ifo, A.S.; Gomat, H.Y.; Wenina, Y.E.M.; Lokegna, D.L.; Nzonzi, O.R.M.; Ngala, G.C.A.; Henry, M.; Boundzanga, G.C.; Jourdain, C.; Picard, N. Carbon Stocks and Tree Allometries in the Savannahs of the Plateau Batéké, Central Africa. For. Ecol. Manag. 2018, 427, 86–95. [Google Scholar] [CrossRef]
- Zhao, H.; Li, Z.; Zhou, G.; Qiu, Z.; Wu, Z. Aboveground Biomass Allometric Models for Evergreen Broad-Leaved Forest Damaged by a Serious Ice Storm in Southern China. Forests 2020, 11, 320. [Google Scholar] [CrossRef] [Green Version]
- Schwachtje, J.; Minchin, P.E.H.; Jahnke, S.; van Dongen, J.T.; Schittko, U.; Baldwin, I.T. SNF1-related kinases allow plants to tolerate herbivory by allocating carbon to roots. Proc. Natl. Acad. Sci. USA 2006, 103, 12935–12940. [Google Scholar] [CrossRef] [PubMed] [Green Version]
- Garcia, L.C.; Eubanks, M.D. Overcompensation for insect herbivory: A review and meta-analysis of the evidence. Ecology 2019, 100, e02585. [Google Scholar] [CrossRef]
- Battles, J.J.; Fahey, T.J. Gap Dynamics Following Forest Decline: A Case Study of Red Spruce Forests. Ecol. Appl. 2000, 10, 760–774. [Google Scholar] [CrossRef]
- Rhoads, A.G.; Hamburg, S.P.; Fahey, T.J.; Siccama, T.G.; Hane, E.N.; Battles, J.; Cogbill, C.; Randall, J.; Wilson, G. Effects of an intense ice storm on the structure of a northern hardwood forest. Can. J. For. Res. 2002, 32, 1763–1775. [Google Scholar] [CrossRef] [Green Version]
- Shipley, B.; Meziane, D. The balanced-growth hypothesis and the allometry of leaf and root biomass allocation. Funct. Ecol. 2002, 16, 326–331. [Google Scholar] [CrossRef]
- Ramula, S.; Paige, K.N.; Lennartsson, T.; Tuomi, J. Overcompensation: A 30-year perspective. Ecology 2019, 100, e02667. [Google Scholar] [CrossRef] [Green Version]
- Peschiutta, M.L.; Scholz, F.G.; Goldstein, G.; Bucci, S.J. Lagged effects of sawfly leaf herbivory on reproductive organs in cherry trees: Overcompensation in flower production reduces quality of fruits and seeds. Basic Appl. Ecol. 2020, 45, 22–30. [Google Scholar] [CrossRef]
- Nagel, T.A.; Firm, D.; Rozenbergar, D.; Kobal, M. Patterns and drivers of ice storm damage in temperate forests of Central Europe. Eur. J. For. Res. 2016, 135, 519–530. [Google Scholar] [CrossRef]
- Klopčič, M.; Poljanec, A.; Dolinar, M.; Kastelec, D.; Bončina, A. Ice-storm damage to trees in mixed Central European forests: Damage patterns, predictors and susceptibility of tree species. Forestry 2019, 93, 430–443. [Google Scholar] [CrossRef]
| Publisher’s Note: MDPI stays neutral with regard to jurisdictional claims in published maps and institutional affiliations. | 
© 2021 by the authors. Licensee MDPI, Basel, Switzerland. This article is an open access article distributed under the terms and conditions of the Creative Commons Attribution (CC BY) license (https://creativecommons.org/licenses/by/4.0/).
