Abstract
Eastern spruce budworm (Choristoneura fumiferana Clem.) is considered the most important disturbing insect in coniferous stands in eastern North America. During an outbreak, spruce budworm can cause severe defoliation in balsam fir (Abies balsamea (L.) Mill.), which can affect wood properties such as moisture content and mechanical properties. This project aimed to assess the influence of the duration of spruce budworm defoliation on the wood quality of mature balsam fir trees. To do this, we studied sapwood proportion, decay, moisture content, mechanical properties and tracheid dimensions in stands that had suffered three, four or five years of defoliation. We also compared living and dead balsam firs and evaluated the change in wood properties with time. Our results showed that dead balsam firs suffered from a loss of wood quality rapidly after their death, particularly in terms of moisture content and decay in the sapwood. Sapwood proportion was similar between living and dead trees, but the sapwood of dead trees contained more decay and had a lower moisture content than living trees. Mechanical properties and tracheid dimensions were 10% and 4% lower in dead trees than in living trees. We did not observe any major differences in wood properties between the three durations of defoliation, suggesting that wood degradation occurs before that. The study did not make it possible to determine the optimal duration of defoliation to harvest the stands.
1. Introduction
Balsam fir (Abies balsamea (L.) Mill.) is a widespread conifer in the boreal forest of Quebec, Canada. It is important ecologically as it is present in a large territory and in many ecosystems, and economically as it is the most harvested by the forest industry after black spruce (Picea mariana (Mill.) B.S.P.). The dynamics of balsam fir stands are mainly governed by insect epidemics [1], most notably Eastern spruce budworm (Choristoneura fumiferana Clem.; hereafter SBW). SBW, a defoliator insect native to North America [2], is considered the most important disturbing insect in coniferous stands in eastern North America [3] and, more particularly, in the boreal forest of Quebec [4]. During an outbreak, SBW can cause severe defoliation in balsam fir, its preferred host, but also in white spruce (Picea glauca (Moench) Voss) and black spruce [5]. This preference for balsam fir can be explained by the synchronism that exists between the bud burst and the feeding phase of the SBW larvae [6].
SBW populations reach epidemic levels according to a cycle of 30 to 40 years [7,8,9]. During an outbreak, SBW density increases by several orders of magnitude, with hundreds of larvae per branch [10], whereas during an endemic period, SBW populations are nearly undetectable [11]. An outbreak may last several years, during which host trees are continually defoliated [12]. In balsam fir, mortality generally occurs after 4–5 years of severe defoliation [13,14]. In general, mortality ranges from 30% to 70% in immature balsam fir stands but can reach 100% in mature stands after a severe outbreak [13,14,15].
Before the mortality phase, defoliation by SBW affects tree physiology and wood properties. After two or three years of defoliation, the loss of photosynthetic biomass leads to a decrease in radial growth [16,17] and latewood density [18]. At the cellular level, defoliation causes a reduction of carbon sequestration in cell walls [19], a decrease in the width of the cell walls [18] and a decrease in the number of tracheids produced, especially in latewood [20].
When the tree dies, its wood begins to deteriorate rapidly [21]. The moisture content is greatly reduced [21,22], which directly influences the moisture level of the wood chips [22]. The mechanical properties (modulus of elasticity (MOE) and modulus of rupture (MOR)) decrease compared to living trees, making the products made from these dead trees more brittle [22]. Dead trees are also more prone to invasions by saprophytic fungi and xylophagous insects [22,23]. The coloration of sapwood due to fungal activities can also reduce yield in pulping and increase the cost of bleaching in chemothermal mechanical pulping [24,25], affect the brightness of papers and decrease the aesthetics of sawn products [26].
Since 2006, an outbreak of the spruce budworm has been expanding in Quebec, Canada [27]. Large volumes of wood are wasted during the SBW epidemic periods. Harvesting moribund or recently dead trees could reduce wood losses for the forest industry. However, many sawmilling and pulp industries complain about the wood being more brittle and the wood fibers being shorter, which affects the profitability of their operations. According to Zobel and Van Buijtenen [28], insect-killed wood is not suitable for solid-wood products for more than a year or two after the death of the tree. However, there might be a gradient of deterioration of the wood properties depending on the duration of the defoliation period, i.e., wood properties might be more severely affected with increasing duration of defoliation by SBW in balsam fir. It appears necessary to make a more in-depth evaluation of the wood quality of severely defoliated trees, and of recently dead trees following an outbreak of SBW in order to determine until when and how these trees could be used in the forest production chain.
This project aimed to assess the influence of the duration of spruce budworm defoliation on the wood quality of mature balsam fir trees. To do this, five wood quality parameters (sapwood proportion, decay, moisture content, mechanical properties, tracheid dimensions) were studied in stands that had suffered three, four or five years of severe defoliation. We also compared living and dead balsam firs and evaluated the change in wood properties with time since the last tree ring was formed by the tree in the hope of establishing a link between defoliation by SBW and wood quality parameters.
2. Materials and Methods
2.1. Experiment Design and Sampling
Six even-aged mature stands were sampled in the Saguenay-Lac-Saint-Jean region in Quebec, Canada (Table 1). Moderate and severe defoliation by the SBW is important and has been present for some years in this region [27]. The stands were located in the balsam fir-white birch and spruce moss bioclimatic zones and were part of a larger project aiming to present predictive models of mortality rates on the basis of defoliation duration and intensity, stand age, and forest composition [29]. All six stands were mature and dominated by balsam fir and had been defoliated by spruce budworm for either three, four or five years (two stands each).
Table 1.
Characteristics of the six stands sampled and mean age and DBH of the trees sampled in each stand.
In each stand, we sampled 13 mature balsam fir trees (diameter at breast height (DBH) > 10 cm) from a 400 m2 plot, 10 trees without green foliage (visually classified as dead in the field) and 3 with green foliage (visually classified as living in the field). DBH was recorded for each tree. Stand and mean tree characteristics are presented in Table 1. Intensity of defoliation was assessed by aerial surveys carried out by the Ministère des Forêts, de la Faune et des Parcs du Québec (MFFP): moderate defoliation is the loss of foliage in the upper half of the crown of the majority of trees, whereas severe defoliation affects the full length of the crown of the majority of trees.
2.2. Wood Quality Analyses
We collected two logs from the stem of each sample tree. The first log (0.7 m to 1.0 m from the ground) was used to measure the proportion of sapwood, as well as decay and moisture content in sapwood and heartwood. The second log (1.0 m to 1.3 m from the ground) was used to perform mechanical static bending tests and to measure tracheid dimensions and fiber coarseness. To keep the logs fresh and maintain moisture content after harvesting, each log was covered in paraffin after being cut from the tree and put in a refrigerator once back from the field sampling. The analyses were then carried out rapidly in the following days.
2.3. Moisture Content
We removed the paraffin and used a 10 cm disk from the log collected between 0.7 and 1.0 m from the ground to measure sapwood and heartwood moisture content. Sapwood was visually identified and marked with a permanent marker (n = 78 trees). Sapwood and heartwood were separated with a band saw and were weighed while still fresh. All pieces of wood were then oven-dried at 103 °C [30] for seven days and weighed dry. Moisture content was calculated as:
where mwet is the green weight (g) and mdry is the oven-dry weight (g).
2.4. Sapwood Proportion and Stem Decay and Coloration
We collected another 10 cm disk from the log used to evaluate sapwood proportion and decay and coloration. Sapwood was also marked with a permanent marker, along with contours of the decayed areas in each disk (n = 78). Coloration was marked in the same way. Wood that was soft and brittle, with a fibrous appearance and that a pen could easily penetrate was identified as decay. Stained but sound, hard and normal-looking wood was considered as coloration (See Supplementary Materials, Figure S1). We then scanned the disks and measured the disc area, sapwood area, and decay and coloration areas in the sapwood and heartwood for each tree using the WinDENDRO software (Version 2017a; Québec, QC, Canada) [31]. With these data, the proportion of sapwood and the proportion of decay and coloration in sapwood and heartwood could be calculated.
2.5. Mechanical Properties
To measure bending strength and stiffness, small clear specimens of 10 mm × 10 mm × 150 mm (R × T × L) were prepared from the log collected between 1.0 and 1.3 m from the ground. For each tree, two specimens were prepared in mature wood formed during the most recent SBW outbreak and two specimens in mature wood formed during an endemic period. Specimens were placed in a conditioning room at 20 °C and 65% relative humidity until they reached a 12% equilibrium moisture content. We performed three-point bending tests with an MTS Alliance RT/100 machine (TestResources Inc., Shakopee, MN, USA) according to the ASTM D-143 standard for small clear specimens [32]. The specimens were placed pith side up with a span of 110 mm (L) and speed of 1.3 mm.min−1. We calculated the modulus of elasticity (MOE) and the modulus of rupture (MOR) (in N.mm−2) according to the following formulas:
where b and d are the width and thickness (mm) of the specimen measured just before testing, P1 and y1 represent the load (N) and L the deflection (mm) at the limit of the range of elasticity and P is the maximum load (N) before rupture [33]. We used an average of the MOE and MOR values of the two specimens of wood formed during the outbreak and of wood from the endemic period for further analyses, for a total of n = 154 samples.
2.6. Tracheid Dimensions and Coarseness
After the mechanical tests were performed, we used a 15-mm-long piece of wood from one extremity of the small clear specimens used for the bending tests to determine tracheid dimensions and coarseness. For each tree (n = 75 because some samples were lost due to a problem during sample preparation), we prepared two samples containing wood formed during the current SBW outbreak and two samples containing wood from a period that was outside of an outbreak. The samples were cut with a razor blade and macerated for 15 h in a solution (1:1, v/v) of glacial acetic acid and hydrogen peroxide at 75 °C to remove lignin [34]. The macerated samples were rinsed with distilled water and air-dried for a day. The samples were weighted to the nearest 0.0001 g, placed in distilled water, and gently shaken to obtain a uniform suspension of tracheids. We used an L&W FiberTester (ABB Inc., Kista, Sweden) to obtain mean tracheid length, mean tracheid width, and coarseness based on image analysis [35]. We used a length-weighted mean calculated from the measurements of 5000 tracheids to reduce the bias caused by the large number of fines generated during preparation [36,37,38]:
where i = 1, 2, 3, …, n are categories, n is the fiber count in the « ith » category and L is the contour length. Coarseness, i.e., fiber mass (weight) per unit length, was automatically calculated by the software for each sample.
2.7. Dendrochronology
We counted and measured tree rings on each sample tree from the wood disk used to measure decay using the WinDENDRO software (Version 2017a; Quebec, QC, Canada) [31]. Tree ring widths were visually crossdated using PAST5 software (Version 5.0.576; SCIEM, Vienna, Austria) [39] and statistically verified using the COFECHA program (Version 6.06P, Tucson, AZ, USA) [40]. From this dendrochronological method, we could then obtain the year the tree formed its last tree ring. However, we could not consider that year or the next as the year the tree died because a tree can still be alive and produce green foliage even if it does not produce a tree ring in the lower part of the stem. Indeed, some trees that we sampled and classified as living trees because they still had green needles had not produced a tree ring for the last two or three years. Since it was not possible to determine precisely the time of death for a tree, we used instead the time since the last tree ring was formed.
2.8. Statistical Analyses
A two-way between-subjects mixed model analysis of variance (ANOVA) was conducted to compare the effect of tree status (living or dead trees) and duration of defoliation (three years, four years or five years) on the wood quality parameters studied (sapwood proportion, decay and coloration in sapwood/heartwood) and the interaction between the two in living and dead trees. In the case of moisture content, we used a three-way mixed model ANOVA to compare the effect of tree status, duration of defoliation and type of wood (sapwood or heartwood), and the interaction between the three factors on moisture content. For tracheid dimensions, coarseness and mechanical properties, we compared the effect of tree status, duration of defoliation and time period (during or outside of an outbreak period) and their interaction on our dependent variables. Tree status, duration of defoliation, type of wood and their interaction were entered in the models as fixed effects, whereas site was entered as a random effect. All models were fitted using the lme function of the “nlme” package [41], with estimation of the restricted maximum likelihood (REML).
To assess how wood quality varied over time for the wood properties that we studied, we used a general additive model (GAM). The time variable used here is the time since the last tree ring was formed by the tree. Each dependent variable (sapwood decay, sapwood moisture content, tracheid length, MOE) was thus expressed as a function of time since the last tree ring was formed by the tree:
where y is the vector of the dependent variable, Time since last ring formed is the vector of the time since the last tree ring was formed by the tree, α is the intercept, s is a non-parametric smoothing function specific to each term, determined by the statistical software and ε is the error term. Variables were log-transformed when necessary to meet the assumptions of normality and homoscedasticity [42]. The analysis was conducted using the R package “mgcv” [43].
y = α + s(Time since last ring formed) + ε
2.9. Discriminant Analysis
The multivariate dataset was also analyzed with a linear discriminant analysis with the R package “candisc” [44]. Tree status (living or dead trees) was used as the classification variable, and all the measured wood quality parameters were used to perform the discriminant analysis to derive canonical variables.
Standard procedures for model diagnostics were conducted and verified for all analyses. Differences were considered significant when p was <0.05. All statistical analyses were performed using R (Version 4.2.1) [45].
3. Results
The trees sampled in all six stands had a similar mean DBH varying between 13.2 and 14.3 cm and a mean age comprised between 54 and 76 years (Table 1). Stand density showed more variation, ranging between 858 stems/ha and 1548 stems/ha.
3.1. Proportion of Sapwood and Proportion of Decay and Coloration
Trees visually classified as living and dead had a similar proportion of sapwood in the stem (Figure 1A, Table 2). The mean proportion of sapwood was 27.2% and 23.2% in living and dead trees, respectively. The proportion of sapwood did not differ significantly either between trees that had been defoliated for three, four or five years (Table 2).
Figure 1.
Proportion of sapwood (A) and decay and coloration in sapwood (B) for trees visually classified as living and dead from stands that have been defoliated for three, four or five years.
Table 2.
Mixed model ANOVA results for all the wood quality parameters evaluated in balsam fir. Significant results are highlighted in bold.
The total proportion of decay and coloration was not significantly different between the two tree statuses or between the three durations of defoliation (Table 2). When looking only at the sapwood part of the samples, we observed a lower percentage of decay and coloration in living trees than in dead trees (Figure 1B), but it was not significantly different according to the duration of defoliation (Table 2). In heartwood, we did not observe any significant difference in the percentage of decay between living and dead trees or between durations of defoliation (Table 2).
3.2. Moisture Content
Moisture content was significantly different between sapwood and heartwood (Table 2). We observed a higher moisture content in the sapwood of trees visually classified as living (mean = 161.5%) than in dead trees (mean = 52.6%; Figure 2). There was much less difference in the heartwood, but moisture content was also higher in living trees (80.9% compared to 60.5% in dead trees). Moisture content varied differently in sapwood and heartwood according to tree status, as indicated by the significant interaction between wood type and tree status (Table 2). The significant interaction between tree status and duration of defoliation also indicates that moisture content varied differently between durations of defoliation depending on whether the tree was dead or alive.
Figure 2.
Moisture content in sapwood and heartwood of trees visually classified as living and dead from stands that have been defoliated for three, four or five years.
3.3. Mechanical Properties
The mechanical properties (both MOE and MOR) were different between tree statuses, as MOE and MOR were 10% and 13% lower in dead trees, respectively (Figure 3). We also observed that wood formed during an SBW outbreak had slightly higher mechanical properties than wood formed during endemic years (Table 2). MOE and MOR did not vary significantly between durations of defoliation, and no interactions between factors were observed.
Figure 3.
(A) Modulus of elasticity (MOE) and (B) modulus of rupture (MOR) of wood produced during and outside of a spruce budworm (SBW) outbreak in trees visually classified as living and dead from stands that have been defoliated for three, four or five years.
3.4. Tracheid Dimensions and Coarseness
Tracheid length differed between tree statuses (Figure 4A, Table 2). Tracheid width varied differently between durations of defoliation depending on tree status (Table 2). We also observed longer and larger tracheids in wood formed during an SBW outbreak than in wood formed during an endemic period.
Figure 4.
(A) Tracheid length and (B) coarseness of wood produced during and outside of a spruce budworm (SBW) outbreak of trees visually classified as living and dead from stands that have been defoliated for three, four or five years.
3.5. Wood Quality as a Function of Time
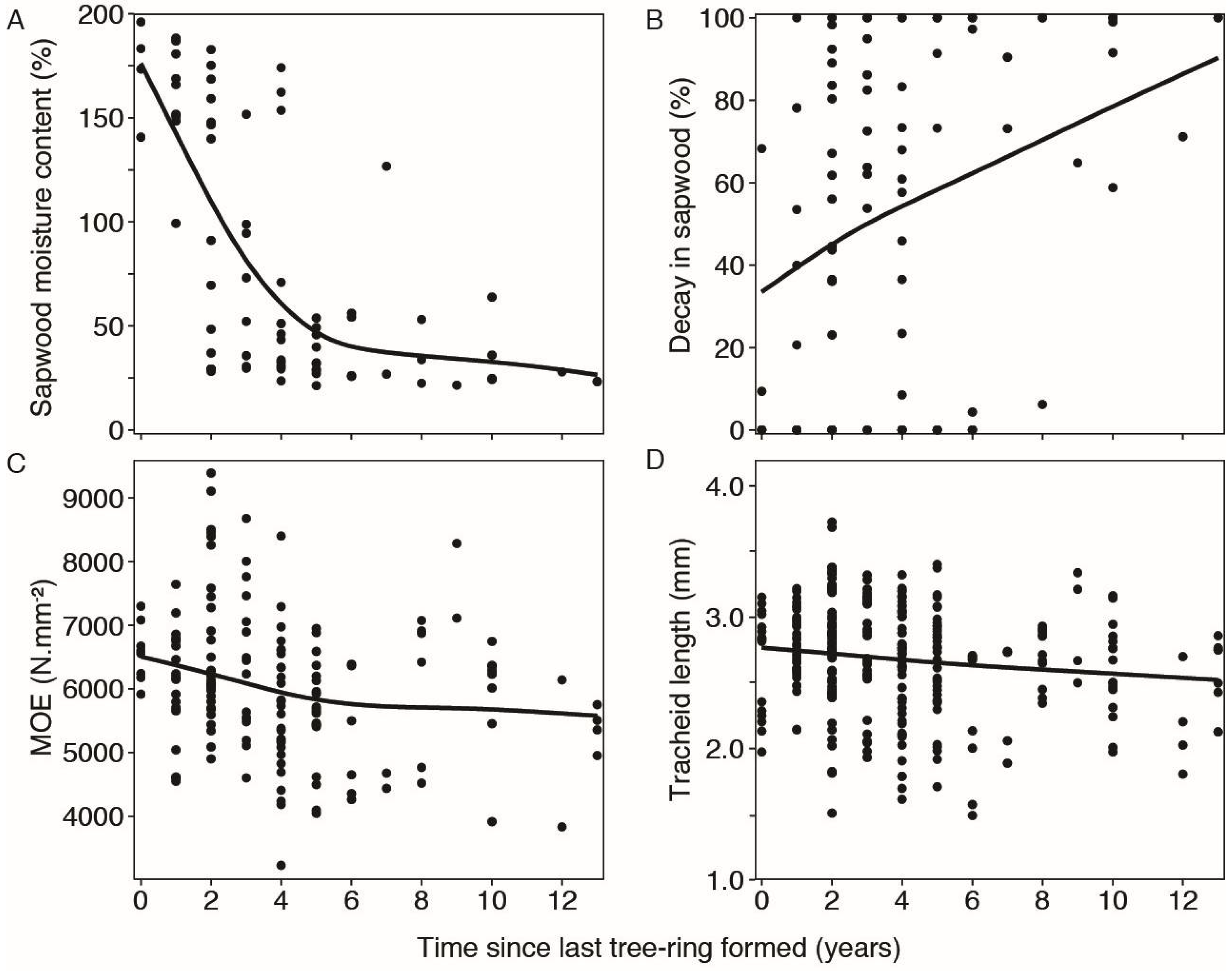
Looking at the number of years since the tree formed its last growth ring, and including living trees at time = 0, we can see that the wood properties studied decreased as a function of this time, except for decay that increased (Figure 5). Moisture content decreased abruptly in the first four years after the last tree ring was formed before stabilizing at around 30%–40% moisture content in subsequent years. Wood coloration and decay in sapwood increased almost linearly, while MOE and tracheid length slowly decreased as the number of years since the last tree ring was formed increased.
Figure 5.
Generalized additive model (GAM) plots for sapwood moisture content (A), decay in sapwood (B), MOE (C) and tracheid length (D) as a function of time since the last tree ring was formed by the tree. Trees that were still living and producing tree rings at the moment of sampling are included in the analysis at time = 0.
3.6. Discriminant Analysis
When all the wood parameters studied were considered together in a multivariate dataset, a linear discriminant analysis showed that the first dimension clearly distinguishes the living trees from the dead trees (Figure 6). The significant Wilks’ λ value (F = 17.166, df = 12, p < 0.0001) indicated that the discriminant function is statistically significant, and this can be interpreted as evidence of discrimination between the two tree statuses. Trees visually classified as living were strongly associated with higher moisture content and higher mechanical properties, whereas dead trees were more associated with a higher decay in sapwood and a longer time since the last tree ring was formed.
Figure 6.
Results of the linear discriminant analysis that compares the overall wood quality patterns of trees visually classified as living of dead balsam firs (13 wood quality parameters). DBH: diameter at breast height, MC: moisture content, MOE: modulus of elasticity, MOR: modulus of rupture.
4. Discussion
Despite the fact that SBW has been extensively studied, researches on the impact of SBW on wood properties after a prolonged period of defoliation remain limited and generally focus on one or two wood quality parameters (e.g., [18,46]). Yet, wood quality is an important factor for the lumber and pulp and paper industries, and wood properties such as moisture content and decay can have a great influence on the products that can be obtained from trees harvested in severely defoliated stands. Here, we studied the impact of SBW defoliation with the analysis of five wood properties important for the evaluation of wood quality.
4.1. Comparison between Balsam Firs Visually Classified as Living or Dead
We observed that sapwood proportion was similar between living and dead trees (Figure 1A). As the repeated SBW defoliation reduced the photosynthetic capacity of the trees in the last few years before their death, we expected a reduced sapwood proportion in dead trees based on the observation that the proportion of sapwood decreases as trees age and also in less vigorous trees [47,48] and can vary with vigor or with the amount of foliage on the tree [47,48,49]. The time window between the beginning of defoliation and tree mortality was short, and the process of sapwood reduction probably did not have time to be initiated. Moreover, the living trees in our study were also submitted to moderate and severe defoliation, and several balsam firs that were visually classified as living trees had limited green foliage. Thus, some of the living balsam firs were not vigorous and were probably close to being dead.
Regarding wood quality, our results showed that wood properties tended to be better in living trees than in dead trees, particularly in the sapwood. For instance, the sapwood of dead trees contained 86% more decay on average than living trees (29% and 54% of the surface of sapwood contained decay or coloration in living and dead trees, respectively). Moisture content in the sapwood of living trees presented values around 150%–160%, which is similar to what is presented in the literature for balsam fir [50,51], while dead trees had moisture content values around 40%–50% in sapwood, which is also in range with what was observed for spruce budworm-killed balsam fir [46,50]. Lewis and Hartley [52] showed that during the first year after death, the moisture content of standing dead trees can decrease rapidly, especially in sapwood. Moisture content also decreases in heartwood but much less strongly and less quickly than in the sapwood [52].
As tree vigor decreases with consecutive years of defoliation, the production of defense components is reduced in balsam fir [19], which can make the trees more susceptible to infection by fungi and thus favor an increase in coloration and decay. In our study, decay and coloration were observed in the sapwood and heartwood of both living and dead trees. Among the coniferous species of Quebec’s boreal forest, balsam fir is considered the species most vulnerable to wood decay [53]. Stem decay causes the cell walls to degrade and break down, thus weakening the wood. This decay is caused by fungi capable of degrading the lignin and cellulose component of the cell walls. This process results in a progressive reduction in the strength of invaded wood [54]. We indeed observed that MOE and MOR were slightly lower in dead trees than in living ones. This result is somewhat similar to results obtained by Barnes et al. [55], who observed that MOE in small clear specimens was higher in living trees than in trees dead for 3 months and 12 months, but not in trees dead for 22 months. Barnes et al. [55] also observed a significantly higher MOR in living trees.
Tracheid length was also different between the two tree statuses, that of the dead trees being shorter. Basham [56] stated that stem rot can cause a degradation in cellulose that leads to a tendency for fibers to be shorter and weaker than normal. The maceration process for the measurements of tracheid dimensions could also explain our results. Since the cellulose and lignin in wood cells can already be degraded by microorganisms in the decayed parts, these tracheids could be more likely to break during the chemical maceration treatment used to separate individual tracheids. We took special care to select our samples mostly free of defects, decay or coloration, but with the more important proportion of decay in dead balsam firs, this was not always possible and could have negatively influenced tracheid dimensions. Moreover, Watanabe and Ohno [57] revealed that insect defoliation affects the formation of the secondary cell walls of tracheids and induces non-lignified tracheids in larch trees. Furthermore, Paixao et al. [18] showed that cell-wall thickness was significantly reduced in both earlywood and latewood after 3–4 years of defoliation by spruce budworm in black spruce and balsam fir. This may explain the lower tracheid dimensions that we observed in dead trees.
4.2. Comparison between Durations of Defoliation
We did not observe any major differences in wood properties between the three durations of defoliation. In dead trees, sapwood moisture content was very low (45%–80%) for all three durations of defoliation, while it remained stable at 150%–160% for living trees. Significant differences were detected between the durations of defoliation for MOE, tracheid length and coarseness, but we did not observe a clear increasing or decreasing trend. Thus, from what we observed, three years, four years or five years of severe defoliation in a stand does not make a big difference in the degradation of the wood properties that we evaluated. However, the number of sites that we sampled was very small, with two sites per year. Further studies, with a greater number of sites and a broader range of severity and duration of defoliation, would be required to draw more solid conclusions.
4.3. Comparison between SBW Epidemic and Endemic Periods
We observed higher MOE and MOR in wood that has been formed during an SBW outbreak compared to an endemic period. At first glance, this result might seem illogical since an SBW defoliation affects cell-wall formation [57], causing a decrease in cell-wall thickness and in wood density in balsam firs [18]. However, tree ring width decreases during a defoliation period [17,58], and the thin growth rings composing our samples formed during the SBW outbreak might be responsible for the higher MOE and MOR. The clear wood samples taken during an outbreak contained a higher number of tree rings that were thinner, while the samples of wood formed during the endemic period contained a smaller number of larger rings. Thin tree rings contain a higher proportion of latewood than the larger growth rings formed outside of an outbreak period [59], and latewood cells, with small lumens and thick cell walls, have better mechanical properties [60,61]. Moreover, tracheid lengths were also significantly longer during the SBW outbreak compared to the endemic period. A well-established correlation exists between mechanical properties and tracheid length, as longer tracheids induce higher mechanical properties [62]. As latewood tracheids are longer than earlywood tracheids [63,64,65], this might explain the higher tracheid dimensions and coarseness that we observed and the higher mechanical properties of wood formed during an epidemic period. Pyörälä et al. [66] also showed that latewood proportion had a significant influence on tracheid dimensions. Cambial age has been shown to influence the tracheid length and mechanical properties. Longer tracheids are formed with increasing cambial age, as the fusiform initials of the cambium tend to grow in length with cambial age [64,66,67]. In our study, samples of wood formed during an SBW outbreak had a slightly higher cambial age than the samples from the endemic period, but in both cases, the samples were taken in mature wood.
4.4. Variation of Wood Properties with Time since the Last Tree Ring Was Formed
Our results clearly showed that the wood properties and the overall wood quality deteriorated as a function of time since the tree formed its last ring (Figure 5 and Figure 6). The most significant effect of time is the decrease in moisture content and the proportion of decay in sapwood. Trent et al. [68] also observed a significant negative relationship between time since death and moisture content, while Barnes and Sinclair [46] showed that sapwood moisture content averages decreased from 155% for living trees to 84%, 68% and 52% for trees dead 6, 12 and 22 months, respectively. Similarly to Barnes and Sinclair [46], the results of our model showed that moisture content in the sapwood area decreased continuously before stabilizing at around 45% five years after the last tree ring was formed. However, trees can remain alive and not produce a tree ring for 1–2 years before their death, meaning that tree death in our study probably occurred around three years after the last tree ring was formed and that sapwood moisture content began to stabilize at its lowest point three years after tree death. This is in agreement with Hudak et al. [69], who showed little variation of moisture content in balsam firs dead for three, four or five years. Therefore, the decrease in moisture content of the wood from trees killed by spruce budworm occur very quickly after tree death, as early as he first few weeks or months after death.
As for decay and coloration, it increased continuously in sapwood as the time the last tree ring was formed increased. SBW defoliation reduces leaf biomass and photosynthetic capacity of balsam firs during outbreak periods, limiting the carbon allocation to growth and the amount of energy reserves in the form of soluble sugars and starch [19]. Because of this deficit in carbon reserves, fewer defense components (such as terpenoid and phenolic compounds [70,71]) are produced during the growing season [19], which might weaken the sapwood’s ability to generate chemical barriers to fight infection and render the trees more vulnerable to invasion by fungi [23]. In our living defoliated balsam firs, the health and vigor of the trees seemed sufficiently reduced to allow the fungus to infect the sapwood area even though moisture content was still high. Infection and degradation continued with increasing time since the last tree ring was formed (Figure 5B).
Three years after death seems to be an important period in the deterioration of trees. According to Basham and Belyea [72], the rate of deterioration decreased noticeably after trees had been dead for about three years, and although the average depth of sap stain or sap rot and percentage of merchantable volume deteriorated continued to increase, they did so at a much slower rate. Lewis and Thompson [21] also observed that wood quality was significantly modified within the first 1–2 years post-mortality in lodgepole pine, with slower decreases in wood quality after that. These results are similar to what we observed in our study with sapwood moisture content and decay and, to a lesser extent, with MOE. These wood properties decreased more rapidly until four years after the last tree ring was formed and then stabilized or decreased more slowly. The more gradual degradation of wood properties after that could be because of a greater decay resistance in the heartwood than in the sapwood due to the presence of growth-inhibiting extractive substances or because of the lower moisture content [72].
The mechanical properties (MOE, MOR) and tracheid dimensions were less affected by degradation when the time since the last tree ring was formed increased. Trent et al. [68] also noted no deterioration of modulus of elasticity over time-since-death measures in lodgepole pine. A possible reason for this is that we used clear specimens for the mechanical tests and tracheid dimensions measurements, meaning that the wood samples were mostly clear of apparent defects or decay. This is also supported by the results for tracheid length showing little variation with time (Figure 5D). A significant reduction in tracheid length or coarseness across the time since the last tree ring was formed continuum could have indicated a cell-wall deterioration of the tracheids due to decay [68], but we did not observe a significant change in tracheid length or coarseness, thus confirming that our samples were mostly free of decay.
4.5. Implications for Forest Managers and Industries
With severely defoliated trees, it is often difficult to determine if a tree is alive or dead [50]. Budworm-damaged stands include trees dead for different lengths of time and the exact year of death or mortality peak are generally unknown [23]. When SBW-killed balsam firs are used for lumber, trees should be harvested as soon as possible after death, preferably within a year, as they become dry and brittle with reduced moisture content. What is most important is to ensure that the stand is harvested before mortality occurs in order to be able to avoid a decrease in moisture content in dead trees and thus avoid degradation of wood quality. Dead trees, with their low moisture content, usually require more energy to saw than do green logs, reducing the productivity of sawmills, and the mixing of dead (dry) lumber with green tree lumber in the kiln dryer may also lead to overdrying of the initially dry lumber, which can lead to twist or other lumber defects [73,74,75]. The decay that we observed in trees from stands that have been defoliated for three to five years certainly contributes to a decrease in the harvestable volume and product value, causing considerable monetary losses. Wood deterioration due to decay and a decrease in the moisture content of dead stems can also seriously affect the yield and quality of pulp and paper produced from budworm-killed trees [26]. Wood chips that are too dry because of the loss of moisture in dead trees tend to lower productivity and destabilize the kraft pulping process because cell wall pits close upon drying, thus restricting the penetration and saturation of the pulping liquor. In addition, a mix of wood chips with highly variable moisture is not desirable and can lead to uneven delignification in chemical pulping processes and to variable energy consumption in mechanical pulping processes, both of which lead to heterogeneous pulps [73]. Thus, SBW-killed trees remain suitable for a limited period of time for pulpwood before deterioration progressively reduces the yield and quality of the pulp. However, the study does not consider the proportion of dead and living trees in stands, which could influence the profitability of harvesting operations from stands affected by SBW and the value of wood products.
5. Conclusions
This study shows that dead balsam fir trees suffer from a loss of wood quality rapidly after their death, particularly in terms of moisture content and decay in the sapwood, which were the most negatively affected parameters. We did not observe any major difference between the durations of defoliation of three years, four years and five years, suggesting that wood degradation occurs before that. The study did not make it possible to determine the optimal duration of defoliation to harvest the stands before there is too much mortality and loss of quality. A study with a larger range of defoliation durations, i.e., including a single year and two years of defoliation, as well as an undefoliated control, would have been necessary. However, during severe outbreaks such as the one currently taking place in the province of Quebec, it is nearly impossible to find undefoliated or lightly defoliated areas of balsam fir forests. These could be very helpful to fully understand the impact of defoliation and to determine the best timespan for harvesting affected balsam fir forests with a minimum impact on wood properties.
Supplementary Materials
The following supporting information can be downloaded at: https://www.mdpi.com/article/10.3390/f13111926/s1, Figure S1: Decay and coloration in balsam fir (Abies balsamea (L.) Mill.) trunk wood. (A) Decay in sapwood and blue coloration in part of heartwood; (B) Small decayed area in heartwood; (C) Brown coloration in part of heartwood and sapwood; (D) Decay in all the sapwood area and in a large portion of heartwood, with blue coloration covering the rest of the surface.
Author Contributions
C.K. and A.L. conceived and designed the experiment; A.L. and C.K. collected the samples for analyses; measurements were performed by A.L. and C.K.; A.L. analyzed the data; A.L. wrote the manuscript with inputs from C.K. and J.B. Funding was acquired by C.K. and A.L. All authors have read and agreed to the published version of the manuscript.
Funding
Funding was provided by the Contrat de service de recherche forestière number 3329-2019-142332175 obtained by Cornelia Krause and Guillaume Giroud from the Ministère des Forêts, de la Faune et des Parcs (Quebec, Canada).
Data Availability Statement
Data is available upon request to the first author.
Acknowledgments
The authors wish to thank Jean-Guy Girard and Jacob Côté for their help during fieldwork and Virginie Tutenuit for her assistance in the lab. We would also like to acknowledge the contribution of Simon Fortier, François Lévesque, Patrice Boucher and Martin Girard in early discussions about the project. We also wish to address special thanks the two anonymous reviewers who provided helpful comments to improve the manuscript.
Conflicts of Interest
The authors declare no conflict of interest.
References
- Morin, H. Dynamics of balsam fir forests in relation to spruce budworm outbreaks in the Boreal Zone of Quebec. Can. J. For. Res. 1994, 24, 730–741. [Google Scholar] [CrossRef]
- Martineau, R. Insectes Nuisibles des Forêts de l’est du Canada (Insects Harmful to Forest Trees); Service Canadien des Forêts, Administration Centrale: Ottawa, ON, Canada, 1985. [Google Scholar]
- Morin, H. Importance et évolution des épidémies de la tordeuse des bourgeons de l’épinette dans l’est du Canada: L’apport de la dendrochronologie (Importance and evolution of spruce budworm outbreaks in Eastern Canada: The contribution of dendrochronology). Geogr. Phys. Quat. 1998, 52, 237–244. [Google Scholar] [CrossRef][Green Version]
- Navarro, L.; Harvey, A.-É.; Ali, A.; Bergeron, Y.; Morin, H. A Holocene landscape dynamic multiproxy reconstruction: How do interactions between fire and insect outbreaks shape an ecosystem over long time scales? PLoS ONE 2018, 13, e0204316. [Google Scholar] [CrossRef] [PubMed]
- Hennigar, C.R.; MacLean, D.A.; Quiring, D.T.; Kershaw, J.A., Jr. Differences in spruce budworm defoliation among balsam fir and white, red, and black spruce. For. Sci. 2008, 54, 158–166. [Google Scholar] [CrossRef]
- Nealis, V.G.; Régnière, J. Insect-host relationships influencing disturbance by the spruce budworm in a boreal mixedwood forest. Can. J. For. Res. 2004, 34, 1870–1882. [Google Scholar] [CrossRef]
- Boulanger, Y.; Arseneault, D. Spruce budworm outbreaks in eastern Quebec over the last 450 years. Can. J. For. Res. 2004, 34, 1035–1043. [Google Scholar] [CrossRef]
- Jardon, Y.; Morin, H.; Dutilleul, P. Périodicité et synchronisme des épidémies de la tordeuse des bourgeons de l’épinette au Québec (Periodicity and synchronism of spruce budworm outbreaks in Quebec). Can. J. For. Res. 2003, 33, 1947–1961. [Google Scholar] [CrossRef]
- Royama, T. Population dynamics of the spruce budworm Choristoneura fumiferana. Ecol. Monogr. 1984, 54, 429–462. [Google Scholar] [CrossRef]
- Pureswaran, D.S.; Johns, R.; Heard, S.B.; Quiring, D. Paradigms in eastern spruce budworm (Lepidoptera: Tortricidae) population ecology: A century of debate. Environ. Entomol. 2016, 45, 1333–1342. [Google Scholar] [CrossRef]
- Morris, R.F. The Dynamics of Epidemic Spruce Budworm Populations. Mem. Entomol. Soc. Can. 1963, 95, 1–12. [Google Scholar] [CrossRef]
- Blais, J.R. Trends in the frequency, extent, and severity of spruce budworm outbreaks in eastern Canada. Can. J. For. Res. 1983, 13, 539–547. [Google Scholar] [CrossRef]
- Blais, J.R. Impact of the Spruce Budworm on Balsam Fir and White Spruce in the Laurentian Reserve, Quebec: An Interim Report. Information Report LAU-X-68; Government of Canada, Canadian Forestry Service: Sainte-Foy, QC, Canada, 1985; 15p.
- MacLean, D.A. Vulnerability of fir-spruce stands during uncontrolled spruce budworm outbreaks: A review and discussion. For. Chron. 1980, 56, 213–221. [Google Scholar] [CrossRef]
- Bergeron, Y.; Leduc, A.; Morin, H.; Joyal, C. Balsam fir mortality following the last spruce budworm outbreak in northwestern Quebec. Can. J. For. Res. 1995, 25, 1375–1384. [Google Scholar] [CrossRef]
- Krause, C.; Luszczynski, B.; Morin, H.; Rossi, S.; Plourde, P.Y. Timing of growth reductions in black spruce stem and branches during the 1970s spruce budworm outbreak. Can. J. For. Res. 2012, 42, 1220–1227. [Google Scholar] [CrossRef]
- Krause, C.; Morin, H. Changes in radial increment in stems and roots of balsam fir [Abies balsamea (L.) Mill.] after defoliation by spruce budworm. For. Chron. 1995, 71, 747–754. [Google Scholar] [CrossRef]
- Paixao, C.; Krause, C.; Morin, H.; Achim, A. Wood quality of black spruce and balsam fir trees defoliated by spruce budworm: A case study in the boreal forest of Quebec, Canada. For. Ecol. Manag. 2019, 437, 201–210. [Google Scholar] [CrossRef]
- Deslauriers, A.; Caron, L.; Rossi, S. Carbon allocation during defoliation: Testing a defense-growth trade-off in balsam fir. Front. Plant Sci. 2015, 6, 338. [Google Scholar] [CrossRef] [PubMed]
- Krause, C.; Morin, H. Impact of spruce budworm defoliation on the number of latewood tracheids in balsam fir and black spruce. Can. J. For. Res. 1995, 25, 2029–2034. [Google Scholar] [CrossRef]
- Lewis, K.; Thompson, D. Degradation of wood in standing lodgepole pine killed by mountain pine beetle. Wood Fiber Sci. 2011, 43, 130–142. [Google Scholar]
- Barrette, J.; Pothier, D.; Duchesne, I. Lumber and wood chips properties of dead and sound black spruce trees grown in the boreal forest of Canada. Forestry 2014, 88, 108–120. [Google Scholar] [CrossRef]
- Basham, J.T. Biological factors influencing stem deterioration rates and salvage planning in balsam fir killed after defoliation by spruce budworm. Can. J. For. Res. 1986, 16, 1217–1229. [Google Scholar] [CrossRef]
- Hiratsuka, Y.; Chakravarty, P.; Bohning, R.A. A Field Guide to Decay and Stain in Conifers in Alberta; Natural Resources Canada, Canadian Forest Service: Edmonton, AB, Canada, 1996; 25p.
- Hiratsuka, Y.; Gibbard, D.A.; Bakowsky, O.; Maier, G.B. Classification and Measurement of Aspen Decay and Stain in Alberta; Forestry Canada, Northwest Region, Northern Forestry Centre: Edmonton, AB, Canada, 1990; 29p.
- Basham, J.T. Degradation and loss of wood fibre in spruce budworm-killed timber, and effects on utilization. For. Chron. 1984, 60, 10–14. [Google Scholar] [CrossRef]
- MFFP. Aires Infestées Par La Tordeuse des Bourgeons de L’épinette au Québec en 2021 (Areas Infested by the Spruce Budworm in Quebec in 2021); Ministère des Forêts, de la Faune et des Parcs: Québec, QC, Canada, 2021; 22p.
- Zobel, B.J.; Van Buijtenen, J.P. Wood Variation: Its Causes and Control; Springer: New York, NY, USA, 1989; 378p. [Google Scholar]
- Houndode, D.J.; Krause, C.; Morin, H. Predicting balsam fir mortality in boreal stands affected by spruce budworm. For. Ecol. Manag. 2021, 496, 119408. [Google Scholar] [CrossRef]
- ASTM. Standard Test Methods for Direct Moisture Content Measurment of Wood and Wood-Base Materials, ASTM D4442-07. In Annual Book of ASTM Standards, Vol. 04.10 on Wood; American Society for Testing and Materials; ASTM: West Conshohocken, PA, USA, 2007. [Google Scholar]
- Guay, R.; Gagnon, R.; Morin, H. A new automatic and interactive tree ring measurement system based on a line scan camera. For. Chron. 1992, 68, 138–141. [Google Scholar] [CrossRef]
- ASTM. Standard Test Methods for Small Clear Specimens of Timber, ASTM D143-09. In Annual Book of ASTM Standards, Vol. 04.10 on Wood; American Society for Testing and Materials; ASTM: West Conshohocken, PA, USA, 2010. [Google Scholar]
- Poncsák, S.; Kocaefe, D.; Bouazara, M.; Pichette, A. Effect of high temperature treatment on the mechanical properties of birch (Betula papyrifera). Wood Sci. Technol. 2006, 40, 647–663. [Google Scholar] [CrossRef]
- Franklin, G.L. Preparation of thin sections of synthetic resins and wood-resin composites, and a new macerating method for wood. Nature 1945, 155, 51. [Google Scholar] [CrossRef]
- Robertson, G.; Olson, J.; Allen, P.; Chan, B.; Seth, R. Measurement of fiber length, coarseness, and shape with the fiber quality analyzer. Tappi J. 1999, 82, 93–98. [Google Scholar]
- Herman, M.; Dutilleul, P.; Avella-Shaw, T. Intra-ring and inter-ring variations of tracheid length in fast-grown versus slow-grown Norway spruces (Picea abies). Iawa J. 1998, 19, 3–23. [Google Scholar] [CrossRef]
- Mäkinen, H.; Hynynen, J. Wood density and tracheid properties of Scots pine: Responses to repeated fertilization and timing of the first commercial thinning. Forestry 2014, 87, 437–447. [Google Scholar] [CrossRef]
- Mäkinen, H.; Hynynen, J.; Penttilä, T. Effect of thinning on wood density and tracheid properties of Scots pine on drained peatland stands. Forestry 2015, 88, 359–367. [Google Scholar] [CrossRef]
- SCIEM. PAST5 Personal Analysis System for Tree Ring Research. Version 5.0.576. Instruction Manual & Reference; Vienna, Austria. 2015. Available online: https://www.sciem.com/products/past/ (accessed on 19 September 2022).
- Holmes, R. Computer-assisted quality control in tree-ring dating and measurement. Tree-Ring Bull. 1983, 43, 69–78. [Google Scholar]
- Pinheiro, J.; Bates, D.; DebRoy, S.; Sarkar, D.; R Core Team. Package ‘nlme’: Linear and Nonlinear Mixed Effects Models; R Package Version 3.1-157. 2022. Available online: https://cran.r-project.org/web/packages/nlme/nlme.pdf (accessed on 19 September 2022).
- Quinn, G.P.; Keough, M.J. Experimental Design and Data Analysis for Biologists; Cambridge University Press: Cambridge, UK, 2002; 537p. [Google Scholar]
- Wood, S. Package ‘mgcv’: Mixed GAM Computation Vehicle with Automatic Smoothness Estimation; R Package Version 1.8-40. 2022. Available online: https://cran.r-project.org/web/packages/mgcv/mgcv.pdf (accessed on 19 September 2022).
- Friendly, M.; Fox, J. Package ‘candisc’: Visualizing Generalized Canonical Discriminant and Canonical Correlation Analysis; R Package Version 0.8-6. 2021. Available online: https://cran.r-project.org/web/packages/candisc/candisc.pdf (accessed on 19 September 2022).
- R Core Team. R: A Language and Environment for Statistical Computing. R Foundation for Statistical Computing; Vienna, Austria. 2022. Available online: https://www.yumpu.com/s/Fxit5xIdza5bKZeV (accessed on 19 September 2022).
- Barnes, D.P.; Sinclair, S.A. Time-related changes in specific gravity and moisture content of spruce budworm killed balsam fir. Can. J. For. Res. 1983, 13, 257–263. [Google Scholar] [CrossRef]
- Hazenberg, G.; Yang, K.C. Sapwood/heartwood width relationships with tree age in balsam fir. Iawa J. 1991, 12, 95–99. [Google Scholar] [CrossRef]
- Galván, J.D.; Camarero, J.J.; Sangüesa-Barreda, G.; Alla, A.Q.; Gutiérrez, E. Sapwood area drives growth in mountain conifer forests. J. Ecol. 2012, 100, 1233–1244. [Google Scholar] [CrossRef]
- Coyea, M.R.; Margolis, H.A. Factors affecting the relationship between sapwood area and leaf area of balsam fir. Can. J. For. Res. 1992, 22, 1684–1693. [Google Scholar] [CrossRef]
- Basham, J.T. Studies in forest pathology XX. Investigations of the pathological deterioration in killed balsam fir. Can. J. Bot. 1959, 37, 291–326. [Google Scholar] [CrossRef]
- Sinclair, S.A.; Barnes, D.P. Balsam Fir: Its Properties and Utilization, Agriculture Handbook No. 629; United States Department of Agriculture, Forest Service: Blacksburg, VA, USA, 1984; 69p.
- Lewis, K.J.; Hartley, I.D. Rate of deterioration, degrade, and fall of trees killed by mountain pine beetle. J. Ecosyst. Manag. 2006, 7, 11–19. [Google Scholar] [CrossRef]
- Sonderman, D.L. Balsam Fir (Abies balsamea); United States Department of Agriculture, Forest Service: Washington, DC, USA, 1970; 7p.
- Wood Degradation and Ligninolytic Fungi; Morel-Rouhier, M., Sormani, R., Eds.; Elsevier Science & Technology: London, UK, 2021; Volume 99, 252p. [Google Scholar]
- Barnes, D.P.; Sinclair, S.A.; Govett, R.L. Mechanical properties of small clear specimens and visually graded lumber from living and spruce budworm-killed balsam fir. Wood Fiber Sci. 1985, 17, 36–46. [Google Scholar]
- Basham, J.T. Reducing Stem Rot in Living Black Spruce in Ontario; Technical Note No. 83; Natural Resources Canada, Canadian Forest Service: Sault Ste. Marie, ON, Canada, 1974; 4p.
- Watanabe, Y.; Ohno, Y. Severe insect defoliation at different timing affects cell wall formation of tracheids in secondary xylem of Larix kaempferi. Trees 2020, 34, 931–941. [Google Scholar] [CrossRef]
- Krause, C.; Gionest, F.; Morin, H.; MacLean, D.A. Temporal relations between defoliation caused by spruce budworm (Choristoneura fumiferana Clem.) and growth of balsam fir (Abies balsamea (L.) Mill.). Dendrochronologia 2003, 21, 23–31. [Google Scholar] [CrossRef]
- Lindström, H. Fiber length, tracheid diameter, and latewood percentage in Norway spruce: Development from pith outwards. Wood Fiber Sci. 1997, 29, 21–34. [Google Scholar]
- Krauss, A.; Moliński, W.; Kúdela, J.; Čunderlík, I. Differences in the mechanical properties of early and latewood within individual annual rings in dominant pine tree (Pinus sylvestris L.). Wood Res. 2011, 56, 1–12. [Google Scholar]
- Büyüksarı, Ü.; Nusret, A.; Dündar, T. Mechanical properties of earlywood and latewood sections of scots pine wood. BioResources 2017, 12, 4004–4012. [Google Scholar] [CrossRef]
- Panshin, A.J.; De Zeeuw, C. Vol. Volume 1-Structure, identification, uses and properties of the commercial woods of the United States and Canada. In Textbook of Wood Technology, 3rd ed.; McGraw-Hill: New York, NY, USA, 1970; 705p. [Google Scholar]
- Fabisiak, E.; Fabisiak, B.; Krauss, A. Radial variation in tracheid lengths in dominant trees of selected coniferous species. BioResources 2020, 15, 7330–7341. [Google Scholar] [CrossRef]
- Dinwoodie, J.M. Tracheid and fibre length in timber: A review of literature. Forestry 1961, 34, 125–144. [Google Scholar] [CrossRef]
- Mäkinen, H.; Jyske, T.; Saranpää, P. Variation of tracheid length within annual rings of Scots pine and Norway spruce. Holzforschung 2008, 62, 123–128. [Google Scholar] [CrossRef]
- Pyörälä, J.; Piispanen, R.; Valkonen, S.; Lundqvist, S.-O. Tracheid dimensions of Norway spruce in uneven-aged stands. Can. J. For. Res. 2022, 52, 346–356. [Google Scholar] [CrossRef]
- Shmulsky, R.; Jones, P.D. Forest Products and Wood Science: An Introduction, 6th ed.; Wiley-Blackwell: West Sussex, UK, 2011; 477p. [Google Scholar]
- Trent, T.; Lawrence, V.; Woo, K. A wood and Fibre Quality-Deterioration Model for Mountain Pine Beetle-Killed Trees by Biogeoclimatic Subzone. Mountain Pine Beetle Initiative Working Paper 2006-10; Natural Resources Canada: Victoria, BC, Canada, 2006; 23p.
- Hudak, J.; Laflamme, G.; Meades, J.P. Deterioration of Balsam Fir Damaged by the Eastern Hemlock Looper in Newfoundland; Information Report N-X-157; Newfoundland Forest Research Centre: St-John’s, NL, Canada, 1978; 33p. [Google Scholar]
- Pearce, R.B. Tansley Review No. 87. Antimicrobial Defences in the Wood of Living Trees. New Phytol. 1996, 132, 203–233. [Google Scholar] [CrossRef]
- Yamada, T. Defense mechanisms in the sapwood of living trees against microbial infection. J. For. Res. 2001, 6, 127–137. [Google Scholar] [CrossRef]
- Basham, J.T.; Belyea, R.M. Death and deterioration of balsam fir weakened by spruce budworm defoliation in Ontario. Part III—The deterioration of dead trees. For. Sci. 1960, 6, 78–96. [Google Scholar] [CrossRef]
- Barrette, J.; Thiffault, E.; Saint-Pierre, F.; Wetzel, S.; Duchesne, I.; Krigstin, S. Dynamics of dead tree degradation and shelf-life following natural disturbances: Can salvaged trees from boreal forests ‘fuel’ the forestry and bioenergy sectors? Forestry 2015, 88, 275–290. [Google Scholar] [CrossRef]
- Byrne, A.; Stonestreet, C.; Peter, B. Current Knowledge of Characteristics and Utilization of Post-Mountain Pine Beetle Wood in Solid Wood Products; Working Paper 2005-8; Natural Resources Canada, Canadian Forest Service, Pacific Forestry Centre: Victoria, BC, Canada, 2005; 18p.
- Barrette, J.; Pothier, D.; Auty, D.; Achim, A.; Duchesne, I.; Gélinas, N. Lumber recovery and value of dead and sound black spruce trees grown in the North Shore region of Québec. Ann. For. Sci. 2012, 69, 603–615. [Google Scholar] [CrossRef]
Publisher’s Note: MDPI stays neutral with regard to jurisdictional claims in published maps and institutional affiliations. |
© 2022 by the authors. Licensee MDPI, Basel, Switzerland. This article is an open access article distributed under the terms and conditions of the Creative Commons Attribution (CC BY) license (https://creativecommons.org/licenses/by/4.0/).





