Surface Roughness of Varnished Wood Pre-Treated Using Sanding and Thermal Compression
Abstract
1. Introduction
2. Materials and Methods
2.1. Materials, the Pre-Treatment Process of the Wood Veneer, the Surface Varnishing Process, and Statistical Analysis
2.2. Surface Roughness Measurement
3. Results
3.1. Surface Roughness of Sanded and Thermally Densified Samples
3.2. Roughness of Sanded and Thermally Densified Varnished Surfaces
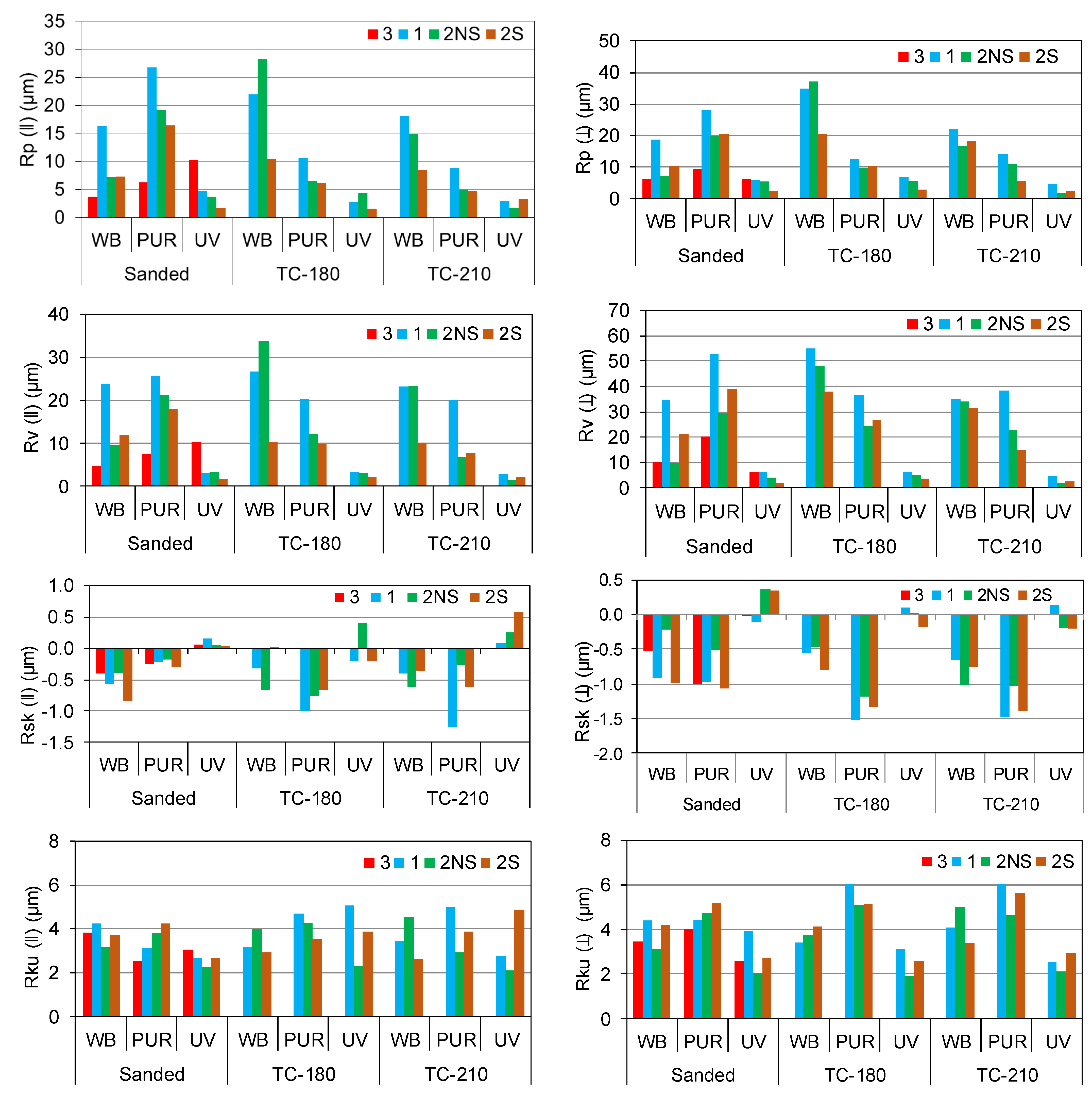
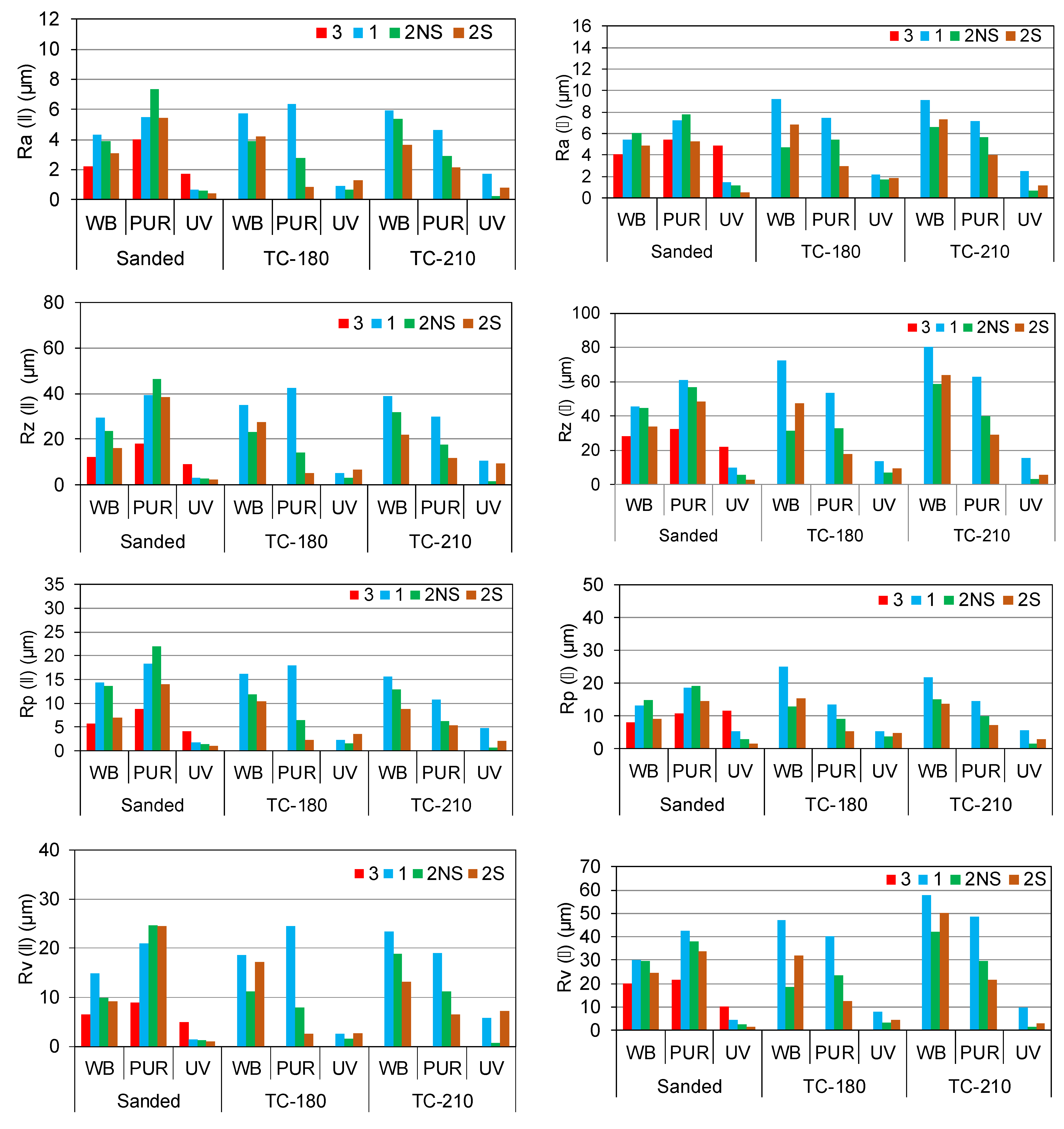
3.2.1. Surface Roughness along the Fibers for Varnished Alder Wood Samples
3.2.2. Surface Roughness across the Fibers for Varnished Alder Wood Samples
3.2.3. Surface Roughness along the Fibers for Varnished Birch Wood Samples
3.2.4. Surface Roughness across the Fibers for Varnished Birch Wood Samples
3.3. Effect of the Type of Varnish and the Number of Varnish Layers on the Surface Roughness of Samples
4. Conclusions
Author Contributions
Funding
Institutional Review Board Statement
Informed Consent Statement
Data Availability Statement
Acknowledgments
Conflicts of Interest
References
- Dundar, T.; Ayrilmis, N.; Candan, Z. Evaluation of surface roughness of laminated veneer lumber (LVL) made from beech veneer treated with various fire retardants and dried at different temperatures. For. Prod. J. 2008, 58, 71–76. [Google Scholar]
- Faust, T.D.; Borders, B.E. Using variable glue spread rates to control bond quality and reduce glue consumption in pine plywood production. For. Prod. J. 1992, 42, 49–56. [Google Scholar]
- Kantay, R.; Unsal, O.; Korkut, S. Investigations of surface roughness of sliced Walnut and Beech veneers produced in Turkey. Rev. For. Fac. Univ. Istanb. Ser. A 2003, 51, 15–31. [Google Scholar]
- Faust, T.D.; Rice, J.T. Effect of veneer surface roughness on glue-bond quality in Southern pine plywood. For. Prod. J. 1986, 36, 57–62. [Google Scholar]
- Büyüksari, Ü.; Hiziroglu, S.; Akkilic, H.; Ayrilmis, N. Mechanical and physical properties of medium density fibreboard panels laminated with thermally compressed veneer. Compos. Part B 2012, 43, 110–114. [Google Scholar] [CrossRef]
- Raabe, J.; Del Menezzi, C.; Gonçalez, J. Avaliação da Superfície de Lâminas Decorativas de Curupixá (Micropholis venulosa Mart. Eichler). Floresta Ambiente 2017, 24, e20150054. [Google Scholar] [CrossRef]
- Aslan, S.; Cos-Kun, H.; Kilic, M. The effect of the cutting direction, number of blades and grain size of the abrasives on surface roughness of Taurus cedar (Cedrus libani A. Rich.) woods. Build. Environ. 2008, 43, 696–701. [Google Scholar] [CrossRef]
- Richter, K.; Feist, W.C.; Knabe, M.T. The effect of surface roughness on the performance of finishes. Part 1: Roughness characterization and strain performance. For. Prod. J. 1995, 45, 91–97. [Google Scholar]
- Neese, J.L.; Reeb, J.E.; Funck, J.W. Relating traditional surface roughness measures to gluebond quality in plywood. For. Prod. J. 2004, 54, 67–73. [Google Scholar]
- Bekhta, P.A.; Marutzky, R. Reduction of glue consumption in the plywood production by using previously compressed veneer. Holz Als Roh Werkst. 2007, 65, 87–88. [Google Scholar] [CrossRef]
- Bekhta, P.; Salca, E.-A. Influence of veneer densification on the shear strength and temperature behavior inside the plywood during hot press. Constr. Build. Mater. 2018, 162, 20–26. [Google Scholar] [CrossRef]
- Bekhta, P.; Sedliačik, J.; Jones, D. Effect of short-term thermomechanical densification of wood veneers on the properties of birch plywood. Eur. J. Wood Prod. 2018, 76, 549–562. [Google Scholar] [CrossRef]
- Ozarska, B. A Manual for Decorative Wood Veneering Technology; Project No. PN01.1600; Australian Government, Forest & Wood Products Research and Development Corporation: Sydney, NSW, Australia, 2003.
- Bekhta, P.; Krystofiak, T.; Proszyk, S.; Lis, B. Surface gloss of lacquered medium density fibreboard panels veneered with thermally compressed birch wood. Prog. Org. Coat. 2018, 117, 10–19. [Google Scholar] [CrossRef]
- Bulian, F.; Graystone, J.A. Wood Varnishes: Theory and Practice; Elsevier Science Ltd.: Amsterdam, The Netherlands, 2009; p. 320. [Google Scholar]
- Ozdemir, T.; Hiziroglu, S. Evaluation of surface quality and adhesion strength of treated solid wood. J. Mater. Process. Technol. 2006, 186, 311–314. [Google Scholar] [CrossRef]
- Hernández, R.E.; Cool, J. Evaluation of three surfacing methods on paper birch wood in relation to water- and solvent-borne coating performance. Wood Fiber Sci. 2008, 40, 459–469. [Google Scholar]
- Williams, R.S. Finishing of Wood. In Wood Handbook—Wood as an Engineering Material; General Technical Report FPL-GTR-190; U.S. Department of Agriculture, Forest Service, Forest Products Laboratory: Madison, WI, USA, 2010; Chapter 16; pp. 16-1–16-39. [Google Scholar]
- Taylor, J.B.; Carrano, A.L.; Lemaster, R.L. Quantification of process parameters in a wood sanding operation. Prod. J. 1999, 49, 41–46. [Google Scholar]
- Bekhta, P.; Proszyk, S.; Krystofiak, T. Colour in short-term thermo-mechanically densified veneer of various wood species. Eur. J. Wood Prod. 2014, 72, 785–797. [Google Scholar] [CrossRef]
- Bekhta, P.; Proszyk, S.; Lis, B.; Krystofiak, T. Gloss of thermally densified alder (Alnus glutinosa Goertn.), beech (Fagus sylvatica L.), birch (Betula verrucosa Ehrh.), and pine (Pinus sylvestris L.) wood veneers. Eur. J. Wood Prod. 2014, 72, 799–808. [Google Scholar] [CrossRef]
- Bekhta, P.; Proszyk, S.; Krystofiak, T.; Mamonova, M.; Pinkowski, G.; Lis, B. Effect of thermomechanical densification on surface roughness of wood veneers. Wood Mater. Sci. Eng. 2014, 9, 233–245. [Google Scholar] [CrossRef]
- Bekhta, P.; Proszyk, S.; Krystofiak, T.; Lis, B. Surface wettability of short-term thermo-mechanically densified wood veneers. Eur. J. Wood Prod. 2015, 73, 415–417. [Google Scholar] [CrossRef]
- Bekhta, P.; Proszyk, S.; Krystofiak, T.; Sedliačik, J.; Novák, I.; Mamonova, M. Effects of short-term thermomechanical densification on the structure and properties of wood veneers. Wood Mater. Sci. Eng. 2017, 12, 40–54. [Google Scholar] [CrossRef]
- Bekhta, P.; Krystofiak, T.; Proszyk, S.; Lis, B. Evaluation of dynamic contact angle of loose and tight sides of thermally compressed birch veneer. Drv. Ind. 2018, 69, 387–394. [Google Scholar] [CrossRef]
- Navi, P.; Heger, F. Combined Densification and Thermo-Hydro-Mechanical Processing of Wood. MRS Bull. 2004, 29, 332–336. [Google Scholar] [CrossRef]
- Bekhta, P.; Hiziroglu, S.; Shepelyuk, O. Properties of plywood manufactured from compressed veneer as building material. Mater. Des. 2009, 30, 947–953. [Google Scholar] [CrossRef]
- Büyüksari, Ü. Surface characteristics and hardness of MDF panels laminated with thermally compressed veneer. Compos. Part B Eng. 2013, 44, 675–678. [Google Scholar] [CrossRef]
- Diouf, P.N.; Stevanovic, T.; Cloutier, A.; Fang, C.-H.; Blanchet, P.; Koubaa, A.; Mariotti, N. Effects of thermo-hygro-mechanical densification on the surface characteristics of trembling aspen and hybrid poplar wood veneers. Appl. Surf. Sci. 2011, 257, 3558–3564. [Google Scholar] [CrossRef]
- Candan, Z.; Hiziroglu, S.; Mcdonald, A.G. Surface quality of thermally compressed Douglas fir veneer. Mater. Des. 2010, 31, 3574–3577. [Google Scholar] [CrossRef]
- Arruda, L.; Del Menezzi, C.H.S. Effect of thermomechanical treatment on physical properties of wood veneers. Int. Wood Prod. J. 2013, 4, 217–224. [Google Scholar] [CrossRef]
- Ayrilmis, N.; Kariz, M.; Kwon, J.H.; Kuzman, M.K. Surface Roughness and Wettability of Surface Densified Heat-Treated Norway Spruce (Picea abies L. Karst.). Drv. Ind. 2019, 70, 377–382. [Google Scholar] [CrossRef]
- Kariz, M.; Kuzman, M.K.; Sernek, M.; Hughes, M.; Rautkari, L.; Kamke, F.A.; Kutnar, A. Influence of temperature of thermal treatment on surface densification of spruce. Eur. J. Wood Prod. 2017, 75, 113–123. [Google Scholar] [CrossRef]
- Bekhta, P.A.; Sedliacik, J. Effect of Thermo-Mechanical Densification on the Surface Characteristics of Wood Veneers and Glue Consumption. In Current and Future Trends of Thermo-Hydro-Mechanical Modification of Wood Opportunities for New Markets? Book of Abstract; COST Action FP0904 Workshop: Nancy, France, 2012; pp. 136–137. [Google Scholar]
- Bekhta, P.; Krystofiak, T.; Proszyk, S.; Lis, B. Adhesion strength of thermally compressed and varnished wood (TCW) substrate. Prog. Org. Coat. 2018, 125, 331–338. [Google Scholar] [CrossRef]
- Bekhta, P.; Krystofiak, T.; Lis, B.; Bekhta, N. The Impact of Sanding and Thermal Compression of Wood, Varnish Type and Artificial Aging in Indoor Conditions on the Varnished Surface Color. Forests 2022, 13, 300. [Google Scholar] [CrossRef]
- Slabejová, G.; Šmidriaková, M.; Fekiač, J. Gloss of transparent coating on beech wood surface. Acta Fac. Xylologiae Zvolen 2016, 58, 37–44. [Google Scholar] [CrossRef]
- Pelit, H.; Budakçı, M.; Sönmez, A.; Burdurlu, E. Surface roughness and brightness of scots pine (Pinus sylvestris) applied with water-based varnish after densification and heat treatment. J. Wood Sci. 2015, 61, 586–594. [Google Scholar] [CrossRef]
- Kesik, H.I.; Akyildiz, M.H. Effect of heat treatment on the adhesion strength of water based wood varnishes. Wood Res. 2015, 60, 987–994. [Google Scholar]
- Altgen, M.; Militz, H. Thermally modified Scots pine and Norway spruce wood as substrate for coating systems. J. Coat. Technol. Res. 2017, 14, 531–541. [Google Scholar] [CrossRef]
- Hrčková, M.; Koleda, P.; Koleda, P.; Barcík, Š.; Štefková, J. Color change of selected wood species affected by thermal treatment and sanding. BioResources 2018, 13, 8956–8975. [Google Scholar] [CrossRef]
- Slabejová, G.; Vidholdová, Z.; Šmidriaková, M. Surface finishes for thermally modified beech wood. Acta Fac. Xylologiae Zvolen 2019, 61, 41–50. [Google Scholar] [CrossRef]
- Vidholdová, Z.; Slabejová, G.; Šmidriaková, M. Quality of Oil- and Wax-Based Surface Finishes on Thermally Modified Oak Wood. Coatings 2021, 11, 143. [Google Scholar] [CrossRef]
- Hiziroglu, S. Surface Roughness Analysis of Wood Composites: A Stylus Method. For. Prod. J. 1996, 46, 67–72. [Google Scholar]
- ISO 4287; Geometrical Product Specifications Surface Texture Profile Method Terms, Definitions and Surface Texture Parameters. International Organization for Standardization (ISO): Geneva, Switzerland, 1997.
- Vitosyte, J.; Ukvalbergiene, K.; Keturakis, G. The Effects of Surface Roughness on Adhesion Strength of Coated Ash (Fraxinus excelsior L.) and Birch (Betula L.) Wood. Mater. Sci. 2012, 18, 237–251. [Google Scholar] [CrossRef]
- Hiziroglu, S.; Zhong, Z.W.; Ong, W.K. Evaluating of bonding strength of pine, oak and nyatoh wood species related to their surface roughness. Measurement 2014, 49, 397–400. [Google Scholar] [CrossRef]
- Imirzi, H.O.; Ülker, O.; Burdurlu, E. Effect of densification temperature and some surfacing techniques on the surface roughness of densified Scots Pine (Pinus sylvestris L.). BioResources 2014, 9, 191–209. [Google Scholar] [CrossRef]
- Laina, R.; Sanz-Lobera, A.; Villasante, A.; López-Espí, P.; Martínez-Rojas, J.A.; Alpuente, J.; Sánchez-Montero, R.; Vignote, S. Effect of the anatomical structure, wood properties and machining conditions on surface roughness of wood. Maderas-Cienc. Tecnol. 2017, 19, 203–212. [Google Scholar] [CrossRef][Green Version]
- de Moura, L.F.; Hernández, R.E. Evaluation of varnish coating performance for three surfacing methods on sugar maple wood. For. Prod. J. 2006, 56, 130–136. [Google Scholar]
- de Paula, M.H.; de Mesquita, R.R.S.; de Almeida Costa, M.; Gonçalez, J.C.; Ananías, R.A.; Janin, G. Effect of applying finishing products and sanding on the surface of marupa wood. Maderas-Cienc. Tecnol. 2020, 22, 45–54. [Google Scholar] [CrossRef]




| Source of Variation | F Value | ||||||
|---|---|---|---|---|---|---|---|
| Ra | Rq | Rz | Rp | Rv | Rsk | Rku | |
| Wood species (WS) | 0.260 ** | 0.013 ** | 0.303 ** | 0.117 ** | 0.580 ** | 0.018 ** | 6.794 * | 
| Direction (D) | 56.841 * | 80.645 * | 231.559 * | 16.145 * | 394.654 * | 16.817 * | 62.409 * | 
| Pre-treatment (PT) | 130.857 * | 138.102 * | 175.673 * | 95.056 * | 124.399 * | 8.063 * | 29.480 * | 
| WS × D | 1.080 ** | 0.726 ** | 0.073 ** | 0.098 ** | 0.351 ** | 0.833 ** | 4.613 * | 
| WS × PT | 1.715 ** | 1.596 ** | 1.513 ** | 0.506 ** | 1.994 ** | 1.148 ** | 1.182 ** | 
| D × PT | 4.902 * | 4.447 * | 5.688 * | 4.080 * | 4.298 * | 1.335 ** | 9.889 * | 
| WS × D × PT | 1.558 ** | 2.126 ** | 3.954 * | 0.388 ** | 6.344 * | 0.077 ** | 1.357 ** | 
| Wood Species | Direction | Treatment | Roughness Parameters (µm) | ||||||
|---|---|---|---|---|---|---|---|---|---|
| Ra | Rq | Rz | Rp | Rv | Rsk | Rku | |||
| Black alder | Along (║) the fibers | NS | 11.96 ± 0.53 C 1 | 14.54 ± 1.01 C | 65.14 ± 9.58 C | 30.19 ± 2.92 B | 34.95 ± 6.74 C | −0.20 ± 0.26 B | 2.65 ± 0.44 A | 
| Sanded | 3.81 ± 0.37 A | 4.77 ± 0.56 A | 22.24 ± 3.54 A | 10.84 ± 2.36 A | 11.40 ± 1.78 A | −0.05 ± 0.37 B | 2.93 ± 0.35 A | ||
| ND | 14.08 ± 0.60 D | 17.28 ± 0.45 D | 77.16 ± 1.86 D | 35.51 ± 1.43 D | 41.65 ± 2.69 D | −0.28 ± 0.15 B | 2.86 ± 0.38 A | ||
| TC-180 | 5.53 ± 1.06 B | 7.09 ± 1.23 B | 33.95 ± 3.85 B | 14.53 ± 3.60 A | 19.41 ± 1.62 B | −0.56 ± 0.49 AB | 3.91 ± 0.99 B | ||
| TC-210 | 5.06 ± 0.87 B | 6.58 ± 1.23 B | 32.62 ± 6.75 B | 12.33 ± 2.88 A | 20.29 ± 4.55 B | −0.86 ± 0.34 A | 4.11 ± 0.64 B | ||
| Across (┴) the fibers | NS | 21.68 ± 2.30 C | 26.85 ± 2.57 C | 130.99 ± 8.84 C | 50.28 ± 4.45 C | 80.70 ± 5.98 D | −0.56 ± 0.27 B | 2.97 ± 0.25 A | |
| Sanded | 6.74 ± 0.72 A | 8.86 ± 1.14 A | 45.01 ± 6.26 A | 15.53 ± 1.65 A | 29.48 ± 5.07 A | −0.92 ± 0.19 B | 4.16 ± 0.56 AB | ||
| ND | 16.42 ± 5.29 B | 20.56 ± 6.15 B | 103.31 ± 22.80 B | 39.29 ± 11.16 B | 64.02 ± 12.25 C | −0.60 ± 0.24 B | 3.28 ± 0.54 A | ||
| TC-180 | 8.44 ± 1.68 A | 11.20 ± 1.92 A | 61.62 ± 6.55 A | 15.56 ± 2.66 A | 46.06 ± 4.29 B | −1.48 ± 0.29 A | 5.32 ± 1.19 B | ||
| TC-210 | 5.41 ± 1.98 A | 7.39 ± 2.35 A | 44.58 ± 9.90 A | 10.86 ± 4.38 A | 33.72 ± 6.33 A | −1.78 ± 0.48 A | 7.01 ± 2.14 C | ||
| Birch | Along (║) the fibers | NS | 12.27 ± 0.74 C | 15.84 ± 1.08 C | 75.12 ± 5.90 C | 32.13 ± 4.64 B | 42.98 ± 1.26 D | −0.35 ± 0.26 B | 3.21 ± 0.07 AB | 
| Sanded | 3.31 ± 0.96 A | 4.24 ± 1.21 A | 19.53 ± 4.45 A | 8.73 ± 2.05 A | 10.80 ± 2.65 A | −0.32 ± 0.28 B | 3.23 ± 0.57 AB | ||
| ND | 14.90 ± 1.18 D | 18.49 ± 1.56 D | 78.30 ± 6.95 C | 37.88 ± 4.41 C | 40.42 ± 3.69 D | −0.16 ± 0.18 B | 2.63 ± 0.23 A | ||
| TC-180 | 6.07 ± 1.80 B | 7.77 ± 2.18 B | 36.99 ± 9.08 B | 12.80 ± 3.54 A | 24.19 ± 6.17 C | −0.95 ± 0.46 A | 4.16 ± 1.25 B | ||
| TC-210 | 5.01 ± 1.45 AB | 6.32 ± 1.66 AB | 29.35 ± 6.97 AB | 11.69 ± 3.84 A | 17.65 ± 3.99 B | −0.69 ± 0.36 AB | 3.72 ± 0.97 AB | ||
| Across (┴) the fibers | NS | 16.93 ± 0.11 B | 21.53 ± 0.73 B | 108.80 ± 5.91 C | 44.25 ± 3.32 B | 64.56 ± 3.54 C | −0.31 ± 0.22 A | 3.10 ± 0.27 A | |
| Sanded | 5.29 ± 0.94 A | 7.09 ± 1.24 A | 36.19 ± 4.76 A | 12.70 ± 3.52 A | 23.49 ± 3.48 A | −0.89 ± 0.67 A | 4.70 ± 0.76 A | ||
| ND | 18.07 ± 2.93 B | 22.89 ± 3.10 B | 114.57 ± 10.60 C | 42.60 ± 16.96 B | 65.98 ± 4.13 C | −0.20 ± 0.34 A | 3.33 ± 0.50 A | ||
| TC-180 | 7.53 ± 0.65 A | 10.69 ± 0.57 A | 64.03 ± 1.26 B | 15.16 ± 3.59 A | 48.87 ± 2.55 B | −1.86 ± 0.47 A | 7.76 ± 1.71 B | ||
| TC-210 | 6.88 ± 1.12 A | 9.86 ± 1.39 A | 60.07 ± 5.77 B | 11.87 ± 0.90 A | 48.20 ± 5.21 B | −1.22 ± 1.98 A | 8.75 ± 1.76 B | ||
| Source of Variation | F Value | ||||||
|---|---|---|---|---|---|---|---|
| Ra | Rq | Rz | Rp | Rv | Rsk | Rku | |
| Wood species (WS) | 7.006 * | 1.768 ** | 1.565 ** | 11.929 * | 0.050 ** | 4.299 * | 7.432 * | 
| Direction (D) | 104.250 * | 83.661 * | 207.110 * | 46.082 * | 316.185 * | 107.371 * | 33.026 * | 
| Varnish (V) | 218.427 * | 158.492 * | 337.711 * | 208.054 * | 366.002 * | 124.913 * | 32.558* | 
| Layers (L) | 32.096 * | 25.554 * | 58.738 * | 46.382 * | 58.319 * | 6.437 * | 8.234 * | 
| Pre-treatment (PT) | 3.375 * | 0.774 ** | 0.655 ** | 11.754 * | 0.414 ** | 8.453 * | 3.383 * | 
| WS × D | 0.064 ** | 0.796 ** | 2.762 ** | 0.105 ** | 7.397 * | 9.981 * | 13.259 * | 
| WS × V | 4.119 * | 0.871 ** | 0.682 ** | 4.421 * | 0.040 ** | 1.611 ** | 3.014 ** | 
| WS × L | 2.240 ** | 0.759 ** | 0.880 ** | 1.545 ** | 0.760 ** | 1.193 ** | 1.058 ** | 
| WS × PT | 8.501 * | 7.984 * | 16.828 * | 7.147 * | 21.958 * | 4.919 * | 3.227 * | 
| D × V | 10.174 * | 10.838 * | 35.941 * | 4.865 * | 63.837 * | 32.059 * | 15.119 * | 
| D × L | 1.719** | 2.007** | 4.446* | 0.987** | 7.669* | 0.488** | 1.406** | 
| D × PT | 3.620 * | 2.737 ** | 4.191 * | 4.475 * | 2.779 ** | 2.241 ** | 2.046 ** | 
| V × L | 10.525 * | 7.838 * | 17.456 * | 15.970 * | 16.092 * | 2.143 * | 1.888 ** | 
| V × PT | 32.741 * | 21.854 * | 54.443 * | 62.354 * | 37.724 * | 2.996 * | 1.249 ** | 
| L × PT | 0.850 ** | 0.997 ** | 1.046 ** | 0.915 ** | 1.235 ** | 0.967 ** | 0.363 ** | 
| WS × D × V | 1.277 ** | 0.299 ** | 0.208 ** | 2.557 ** | 1.343 ** | 9.343 * | 1.069 ** | 
| WS × D × L | 0.932 ** | 0.912 ** | 1.099 ** | 0.687 ** | 1.590 ** | 2.043 ** | 0.989 ** | 
| WS × D × PT | 0.231 ** | 0.828 ** | 1.878 ** | 0.165 ** | 3.982 * | 0.469 ** | 1.046 ** | 
| WS × V × L | 2.158 * | 1.573 ** | 1.831 ** | 1.371 ** | 2.127 * | 1.280 ** | 0.464 ** | 
| WS × V × PT | 5.833 * | 3.998 * | 6.730 * | 8.080 * | 5.389 * | 2.305 ** | 1.017 ** | 
| WS × L × PT | 5.553 * | 3.975 * | 5.198 * | 5.626 * | 5.429 * | 1.289 ** | 0.105 ** | 
| D × V × L | 0.872 ** | 0.687 ** | 1.076 ** | 0.432 ** | 1.986 ** | 0.977 ** | 1.575 ** | 
| D × V × PT | 0.728 ** | 0.944 ** | 3.040 * | 1.740 ** | 2.944 * | 1.188 ** | 2.236 ** | 
| V × L × PT | 0.145 ** | 0.023 ** | 0.383 ** | 0.241 ** | 0.391 ** | 1.218 ** | 0.070 ** | 
| V × L × PT | 1.245 ** | 0.563 ** | 1.020 ** | 0.973 ** | 1.905* * | 1.818 ** | 2.088 * | 
| WS × D × V × L | 0.546 ** | 0.389 ** | 0.431 ** | 0.416 ** | 0.289 ** | 0.855 ** | 0.577 ** | 
| WS × D × V × PT | 1.534 ** | 1.500 ** | 2.671 * | 0.639 ** | 3.805 * | 2.753 * | 1.679 ** | 
| WS × D × L × PT | 0.408 ** | 0.383 ** | 0.467 ** | 0.046 ** | 1.461 ** | 1.277 ** | 0.802 ** | 
| WS × V × L × PT | 3.476 * | 2.203 * | 3.038 * | 3.090 * | 2.768 * | 1.222 ** | 0.865 ** | 
| D × V × L × PT | 0.782 ** | 0.489 ** | 0.962 ** | 0.550 ** | 1.124 ** | 0.373 ** | 0.295 ** | 
| WS × D × V × L × PT | 0.356 ** | 0.496 ** | 0.226 ** | 0.335 ** | 0.472 ** | 2.203 * | 0.468 ** | 
| Publisher’s Note: MDPI stays neutral with regard to jurisdictional claims in published maps and institutional affiliations. | 
© 2022 by the authors. Licensee MDPI, Basel, Switzerland. This article is an open access article distributed under the terms and conditions of the Creative Commons Attribution (CC BY) license (https://creativecommons.org/licenses/by/4.0/).
Share and Cite
Bekhta, P.; Lis, B.; Krystofiak, T.; Bekhta, N. Surface Roughness of Varnished Wood Pre-Treated Using Sanding and Thermal Compression. Forests 2022, 13, 777. https://doi.org/10.3390/f13050777
Bekhta P, Lis B, Krystofiak T, Bekhta N. Surface Roughness of Varnished Wood Pre-Treated Using Sanding and Thermal Compression. Forests. 2022; 13(5):777. https://doi.org/10.3390/f13050777
Chicago/Turabian StyleBekhta, Pavlo, Barbara Lis, Tomasz Krystofiak, and Nataliya Bekhta. 2022. "Surface Roughness of Varnished Wood Pre-Treated Using Sanding and Thermal Compression" Forests 13, no. 5: 777. https://doi.org/10.3390/f13050777
APA StyleBekhta, P., Lis, B., Krystofiak, T., & Bekhta, N. (2022). Surface Roughness of Varnished Wood Pre-Treated Using Sanding and Thermal Compression. Forests, 13(5), 777. https://doi.org/10.3390/f13050777
 
         
                                                




 
       