Abstract
Spatial patterns of leaf carbon (C), nitrogen (N), and phosphorus (P) stoichiometry play a pivotal role in the comprehension of terrestrial ecosystem dynamics, nutrient cycling, in responses to contemporary global climate change, and the evolutionary trajectories of leaf morphology and function. These patterns are not only solely shaped by plant and community composition, but also are profoundly influenced by environmental factors. Therefore, there is a compelling need for an in-depth investigation into individual species to discern the intricate impacts of soil and climate on leaf stoichiometry. In this study, we assessed the C, N, and P concentrations of mature leaves from 20 Phyllostachys propinqua populations in the urban forest across northern China covering a substantial latitudinal gradient. Our findings revealed that the average leaf concentrations of C, N, and P in P. propinqua were recorded at 0.46 g g−1, 23.19 mg g−1, and 1.40 mg g−1, respectively. Notably, we observed that leaf C and P concentrations, as well as the C:N ratios, exhibited significant increases with rising latitude. Conversely, leaf N concentrations and N:P ratios exhibited a marked decline with increasing latitude. These patterns were primarily driven by climate factors such as mean annual temperature (MAT) and lowest temperature (LT). In contrast, we found that only leaf C concentrations were correlated with soil N levels. These results underscored the differential spatial distribution of leaf C, N, and P stoichiometry in urban forest across northern China, predominantly instigated by climatic factors, particularly in regions characterized by lower temperatures. Our findings further suggest that P. propinqua enhances its adaptability to low-temperature environments by elevating leaf C and P concentrations.
1. Introduction
Carbon, nitrogen, and phosphorus represent fundamental plant nutrients that profoundly influence plant nutrient use efficiency, growth, and nutrient limitations [,,,]. These elements also serve as indicators of a plant’s adaptive capacity in response to global climate change [,,,]. Previous studies have primarily examined plant stoichiometry at the community level in various terrestrial ecosystems, focusing on how changes in plant stoichiometry at the tree and shrub layers reflect shifts in ecosystem structure and function [,,]; the differential responses of individual plant species to environmental changes have become increasingly evident []. Consequently, there is a growing need to investigate species-specific changes in stoichiometry to capture their unique responses and adaptations to environmental shifts [,,].
Leaves are the fundamental structural and functional units of plants and the primary sites for energy absorption and nutrient utilization [,,], and they play a pivotal role in understanding terrestrial ecosystem dynamics, nutrient cycling, responses to contemporary global climate change, and the evolutionary paths of leaf morphology and function [,]. While stoichiometric homeostasis theory posits that plant species can maintain consistent levels of nitrogen (N) and phosphorus (P) in their leaves [,], emerging evidence suggests that C, N, and P stoichiometry, as well as their ratios, are influenced by a combination of phylogenetic, genetic [,,], and environmental factors [,,]. Notably, environmental factors may exert a more substantial impact on stoichiometric traits than phylogeny [,]. Understanding the relationships between leaf traits and the environment is instrumental in predicting how environmental shifts affect plant life. It is essential to recognize that plant leaf stoichiometry is sensitive to variations in latitude, longitude, and altitudes, as these shifts involve changes in both soil and climatic factors [,,].
On a global scale, nutrient distribution in soils is uneven, with P often limiting plant growth in older tropical soils and N serving as the primary limiting nutrient in younger temperate and high-latitude soils [], and this pattern also holds true in China [,]. The disparities and efficiency of nitrogen and phosphorus supply in soils have a marked impact on plant C, N, and P stoichiometry [,]. Therefore, N and P ecological stoichiometry, nutrient uptake, or their interactions are widely used to identify nutrient limitation and distribution in plants [,,]. However, most studies of plant nutrient limitation at regional or larger scales have focused on the community level [,], and thus correlations between soil and leaf stoichiometry have been analyzed at the species and genus levels.
Among climatic factors, temperature and precipitation significantly influence plant stoichiometry [,,]. Nonetheless, studies have yielded conflicting results concerning the effects of temperature and precipitation on plant stoichiometry. Some research suggests that increased water deficit may reduce nutrient uptake and transport by plants, thereby decreasing leaf N and P stoichiometry [,,]. However, in arid environments, heightened plant physiological activity is observed to maintain water availability, conversely [,] resulting in increased N and P concentrations [,]. For temperature, the temperature–plant physiological hypothesis posits that plants boost nutrient concentrations to compensate for metabolic inefficiency at low temperatures, leading to elevated N and P concentrations in plant leaves under cold conditions [,]. Similar results were found in studies of global terrestrial plants and the leaves of 753 terrestrial plant species in China []. However, it has also been argued that low-temperature environments reduce plant physiological activity and their demand for N and P, with increased temperatures leading to the opposite effect []. Therefore, investigating plant stoichiometry under changing climatic conditions is pivotal for a more nuanced understanding of plant adaptations to the environment.
Bamboo, a widespread and ecologically significant forest taxon, occupying approximately 31.5 million hectares or 0.8% of the global forest area [,], is primarily distributed in tropical and subtropical regions []. Some bamboo species, including Phyllostachys propinqua, have been introduced to northern China urban forest for their ornamental, ecological, and economic value, making them integral to urban park landscapes [,]. Despite their benefits, some P. propinqua exhibit poor growth, such as yellowing and desiccation, during widespread cultivation. Therefore, this study investigates the spatial patterns of C, N, and P stoichiometry in P. propinqua leaves and their relationships with environmental factors, including climate, soil, latitude, and longitude, to address the following objectives: 1. To determine the spatial patterns of C, N, and P stoichiometry in P. propinqua leaves; 2. To assess the impacts of major environmental variables on C, N, and P stoichiometry in P. propinqua; 3. To establish associations between C, N, and P stoichiometry in P. propinqua and its adaptation to the environment of urban forest in northern China. The study of fully grown sympatric populations across multiple geographical gradients facilitates a more comprehensive understanding of plant adaptation to environmental shifts.
2. Materials and Methods
2.1. Study Area
This study encompassed five provinces in northern China (Figure 1). These provinces are the primary regions for P. propinqua cultivation, extensively employed in urban and rural greening initiatives []. The study area extended from approximately 110.92 to 121.46° E longitude and 34.81 to 40.91° N latitude, with altitudes ranging from 3 to 788 m. The prevailing climate is characterized by a temperate monsoon climate, featuring a mean annual precipitation (MAP) ranging from 418.82 to 666.5 mm and a mean annual temperature (MAT) varying from 9.00 to 15.40 °C. (Table 1). Soil types in the area are primarily Fluvisols in the WRB system, with sparse understory vegetation.

Figure 1.
Distribution of sampling sites of P. propinqua sites. The identification letters of locations are found in Table 1.

Table 1.
Location and climate conditions of sampled stands.
Latitude (LAT), longitude (LON), and altitude (ALT) data for each sampling site were recorded using the Global Positioning System (GPS MAP 621sc), and summarized in Table 1. Climate data, including MAT, lowest temperature (LT), MAP, annual evapotranspiration (AE), aridity index (AI), air quality composite index (AQC), and number of hours of sunlight per year (NHS) were obtained from the WorldClimate website (http://www.Worldclim.org/, accessed on 12 July 2022) at a 1 km × 1 km resolution, and the China Meteorological Data Service Centre website (http://data.cma.cn/, accessed on 18 May 2023).
2.2. Experiment Design and Sample Collection
A survey was conducted between September–October 2022, focusing on the distribution of resource in major P. propinqua site cities across five provinces in northern China. Open parks were selected as survey targets. Field sampling proceeded from south to north, considering the influence of phenological variations from north to south. These plantations were consistently managed with minimal disturbance. The sampled bamboo forests had relatively uniform ages, ranging from 5 to 10 years, with an average age of about 8.5 years. The sampled bamboos were between 2 and 3 years old. Sites chosen for sampling were under fixed management, with no fertilizer application in the previous 5 years.
In the open park, a P. propinqua forest with a total area of not less than 100 m2 was selected for the study with consistent environmental conditions. 2 × 2 sample plots were randomly established, 5–6 well-grown P. propinqua were randomly selected, and mature leaves were took from the canopy and mixed them to form a single sample of about 10 leaves from each sample site.
Considering that the park’s soil layer is relatively shallow, and the majority of the root system is situated in the upper soil layer, topsoil samples were collected from a depth of 0–20 cm using a soil auger. A five-point sampling method was applied to eliminate understory plants and surface apomictic material. This process was repeated three times to obtain a total of 60 samples (3 samples per site). The horizontal separation between adjacent sample sites exceeded 20 m.
2.3. Sample Preparation and Chemical Analyses
All leaf samples were dried to constant weight at 70 °C, subsequently ground (Shanghai, China, DS-T350). The organic carbon concentration in each sample was determined through potassium dichromate oxidation external heating method. The N and P concentrations in each sample were determined through the wet digestion with sulphuric and perchloric acid method [].
Soil samples were air-dried after being sieved (2 mm mesh), and chemical analysis was conducted using a 60-mesh sieve (0.25 mm diameter). Soil organic carbon was determined through the potassium dichromate oxidation external heating method. Soil N concentration was determined through the Kjeldahl method, continuous flow analyzer and element analyzer. Soil P concentration was determined through the alkali melting method and the acid dissolving method. Soil pH value was determined through the potentiometric method []. The soil conditions of sampled stands were listed in Table 2.

Table 2.
Soil conditions of sampled stands.
2.4. Data Analyses
One-sample t-test was used to analyze differences between leaf carbon, nitrogen, phosphorus and their ratios. Regression analysis was employed to establish the relationship between leaf stoichiometry and latitude; Pearson correlation was used to investigate associations between leaf stoichiometry, climate, and soil nutrient variables. Hierarchical partitioning (HP) was applied to explore the effects of climatic and soil factors on leaf stoichiometry. From the Pearson correlation analysis, leaf stoichiometry was not significantly correlated with AQC, NHS, soil C:N, C:P, and N:P ratios (Table A1). Therefore, these factors were not used in hierarchical partitioning. All analyses were performed using the R statistical platform 3.3.0 (R Development Core Team).
3. Results
3.1. Latitudinal Patterns of Leaf C, N, and P Stoichiometry
The mean leaf concentrations of C, N and P in P. propinqua were 0.46 g g−1, 23.19 mg g−1 and 1.40 mg g−1, respectively. The mean leaf C:N, C:P, and N:P ratios were 20.24, 335.50 and 16.74, respectively (Table 3).

Table 3.
Statistics of leaf C, N and P stoichiometry of P. propinqua. SE, standard error; CV, coefficient of variation.
Leaf C, N, and P concentrations and the N:P ratio were significantly correlated with each other (p < 0.05). Moreover, leaf C concentrations exhibited a significant correlation with C:P ratios (p < 0.01). Leaf N concentrations were significantly correlated with P concentrations, C:N and N:P ratios (p < 0.01), and leaf P concentrations were significantly correlated with C:P ratios (p < 0.01). Moreover, leaf C:N, C:P and N:P ratios were significantly correlated with each other (Figure 2, p < 0.05).

Figure 2.
Correlation analysis between leaf C, N and P stoichiometry of P. propinqua. Note: significance at p < 0.05 and p < 0.01 are indicated by * and **, respectively.
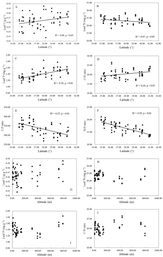
With increasing latitude, leaf C and P concentrations, as well as C:N ratios, exhibited significant increases (p < 0.05), while leaf N concentrations and N:P ratios decreased significantly (Figure 3, p < 0.05). Conversely, leaf C, N, and P concentrations did not exhibit significant associations with altitude (Figure 3, p > 0.05).


Figure 3.
Latitudinal and altitude patterns of leaf C, N, and P stoichiometry for P. propinqua. Note: C and latitude (A), N and latitude (B), P and latitude (C), C:N and latitude (D), C:P and latitude (E), N:P and latitude (F), C and altitude (G), N and altitude (H), P and altitude (I), C:N and altitude (J), C:P and altitude (K) and N:P and altitude (L).
3.2. Effects of Climate and Soil Nutrients Variables on Spatial Patterns of Leaf Stoichiometry
Hierarchical partitioning indicated that between 31% (in leaf C) to 73% (in N:P ratio) variations in leaf stoichiometry were accounted for by the chosen climatic and soil variables (Table 4).

Table 4.
Results of hierarchical partitioning for the effects of climatic factors and soil nutrient on leaf C, N, and P stoichiometry of P. propinqua.
Leaf C, N, and P concentrations and C:N, C:P and N:P ratios were significantly associated with MAP and LT (p < 0.05), which accounted for 19.18% and 23.37% of total variation in leaf C concentrations, 25.73% and 9.60% of total variation in leaf N concentrations, 38.94% and 26.49% of total variation in leaf P concentrations, 30.81% and 14.2% of total variation in leaf C:N ratios, 39.49% and 21.41% of total variation in leaf C:P ratios, 52.44% and 25.21% of total variation in leaf N:P ratios. Meanwhile, leaf C:N and N:P ratios were associated with MAP (p < 0.05), which accounted for 5.30% of the variation in leaf N:P ratio, and 16.93% of the variation in leaf C:N ratio. Leaf N and P concentrations and the C:P ratio were also associated with AE (p < 0.05), which accounted for 18.56% and 15.93% of leaf N and P concentrations, and 18.45% of the variation in leaf C:P ratio. Furthermore, leaf P concentrations and the N:P ratio were associated with AI (p < 0.05). In contrast, except for leaf C and soil N, leaf N:P ratio and soil C, leaf C, N, and P stoichiometry were not closely associated with the soil factors (p > 0.05) (Table 3).
4. Discussion
4.1. Overall Patterns of Leaf C, N, P Stoichiometry in P. propinqua
Stoichiometry plays a pivotal role in elucidating a plant’s nutrient acquisition capabilities and its adaptability to environmental conditions [,]. The study revealed that the average C concentration in P. propinqua leaves was 0.46 g g−1 (Table 3), a value close to that of the global flora (0.461 g g−1) [] and the forest in China (0.455 g g−1) [], and similar to the C concentrations of bamboo leaves in subtropical regions [,]. This suggests the presence of internal homeostasis in the C stoichiometry of bamboo.
The average N and P concentrations of P. propinqua leaves reached 23.19 mg g−1 and 1.40 mg g−1, respectively (Table 3). They were higher than those of the vegetation in China and in the world [,], but leaf N concentrations were close to the values reported in previous studies on bamboo leaves in subtropical regions [,], while for leaf P, the concentrations were generally higher than those reported in previous studies on P concentrations of bamboo leaves in subtropical regions [,]. This discrepancy of P concentrations might be attributed to nutrient limitation arising from differences in soil P concentrations between southern and northern China []. Previous studies have demonstrated severe soil P deficiency in southern China, resulting in significantly lower P concentrations in plants [].
The ratios of C, N, and P In leaves typically reflect relative nutrient shortages. In this study, the C:N ratio was 20.24 and the C:P ratio was 335.50 (Table 3), which was lower than that of the previous study on Chinese fir, in which the C:N ratio was 37.60 and the C:P ratio was about 482.73 in the leaves []. Furthermore, these ratios were lower than those in the vegetation in China and in the world [,]. This result is related to the relatively high N and P concentrations and relatively close C concentrations in the leaves of P. propinqu, which implies a relatively adequate nutrient supply for N and P. Due to the lower soil P concentrations in southern than northern China, the N:P ratio in this study was 16.74 (Table 3), which was lower than that of bamboo leaves in subtropical regions [,]. This suggests that the N and P stoichiometry of the plants in our study was more balanced compared to that of plants in subtropical regions [].
C, N, and P are crucial elements for plant growth, constituting essential components of substances like proteins, nucleic acids, and carbohydrates within plant leaves [,]. These elements also underpin the construction of plant morphology and structure [,]. As a result, there was a significant correlation among C, N and P in this study (p < 0.05). In addition, our study showed that C:N and C:P ratios in leaves were more susceptible to the influence of N and P, which was consistent with the observations for woody species []. This phenomenon can be attributed to the relatively stable nature of C concentrations in plant leaves, while N and P concentrations exhibit greater variability.
Regarding the N:P ratio, previous studies on certain tree species in southern China showed that leaf N:P concentrations usually correlate more closely with P and less with N []. In contrast, our study found a significant correlation between the N:P ratio and both N and P (p < 0.05). This shift may be due to the generally high soil P content and low soil N in northern China [,], which leads to plant growth being restricted by P. In addition, the N:P ratio was relatively balanced, suggesting that N and P limitations during growth are determined by a joint influence on N and P leaf concentrations.
4.2. Latitudinal Patterns, Climatic and Soil Factors of Leaf C, N, P Stoichiometry
Correlations between phytochemical stoichiometry and latitude have been observed across studies spanning various scales [,]. This pattern arises from the interaction of climatic and soil factors [,,]. In our study, we also observed significant correlations between C, N, P, and their ratios with latitude (Figure 3, p < 0.05). Hierarchical partitioning analysis suggested that MAT and LT were the primary factors affecting C, N, P, and their ratios (Table 4). However, among the soil factors, only soil N (35.34%) had an effect on leaf C concentrations (Table 4, p < 0.05). This finding implies that variations in C, N, P concentrations and their ratios with latitude are driven more by climatic factors than by soil factors. This result is similar to those of the stoichiometric study of Chinese fir and Metasequoia glyptostroboides in subtropical China [,]. The main reason is that bamboo is distributed in tropical and subtropical regions around the world [], and only a few bamboo species have been introduced to temperate regions [], where climatic factors, such as temperature, vary drastically, which ultimately affects C, N, and P stoichiometry. This result also indicates the sensitivity of C, N, and P stoichiometry to climate change.
In our study, we found a significant increase in leaf C concentrations with rising latitude (Figure 3, p < 0.05). This result aligns with the trend observed in leaves of Quercus spp. [], but is opposed to previous findings in evergreen broadleaved forests, where leaf C concentrations decreased with increasing latitude []. This increase may be attributed to the significant elevation of various sugars and fibers in leaves of bamboo when exposed to cold stress. Such stress leads to higher C concentrations in the leaves, a phenomenon supported by research related to cold resistance in bamboo and other plants [,]. Meanwhile, the significant correlation between soil N and Leaf C concentrations also suggests that fertile soil can enhance plant leaf growth and cold resistance [,].
According to the temperature–plant physiological hypothesis, plants tend to increase physiological activity at low temperatures, resulting in higher N and P concentrations and demand []. However, leaf N concentrations exhibited a decreasing trend with increasing latitude, while leaf P concentrations increased (Figure 3, p < 0.05). It was because as temperatures further decrease, the permeability of cell membranes as well as the viscosity of water molecules in plants decreases, which indirectly affects the transport efficiency of nutrients and further hinders the transport of N []. In addition, some studies also showed that low temperatures limit N mineralization in the soil, which reduces the soil’s N effectiveness and subsequently affects N concentrations in leaves [,]. In contrast to N, plants generally have lower demand for P [,], and thus lower transport efficiency under cold conditions can meet the plant’s P needs but not its N requirements. These factors contributed to the decreasing N concentrations in P. propinqua leaves with increasing latitude while P concentrations exhibited an upward trend.
Among the climatic factors, in addition to temperature, atmospheric humidity factors also affect plant stoichiometry. In our study, AE significantly affected leaf N and P stoichiometry, and AI also significantly affected leaf P stoichiometry (p < 0.05). This is consistent with previous studies in some plants such as Quercus spp. []. It was concluded that AE enhances plant transpiration, facilitating the transport of nutrients like N and P []. In arid environments, heightened plant physiological activity increased N and P concentrations [,]. This underscores the correlation between AE, AI and leaf N, P concentrations.
5. Conclusions
In conclusion, our study delved into the spatial pattern in leaf C, N, and P stoichiometry of P. propinqua across northern China. The results showed the following results: (1) The mean leaf concentrations of N and P in P. propinqua were higher than those in the vegetation in China and in the world, and leaf C, N, and P concentrations were significantly correlated with each other (p < 0.05). (2) Our study illuminated discernible latitudinal patterns in leaf C, N, and P concentrations; leaf C and P concentrations, as well as C:N ratios, significantly increased with increasing latitude (p < 0.05), but leaf N concentrations and N:P ratios decreased significantly (p < 0.05). (3) Leaf C, N, and P concentrations and their ratios were significantly associated with climate factors, such as MAT and LT (p < 0.05), and leaf P concentrations were also associated with AE and AI (p < 0.05). (4) In soil factors, only leaf C concentrations displayed a significant correlation with soil N. Overall, these results collectively signify that the spatial configurations of P. propinqua leaf stoichiometry in urban forest across northern China are predominantly driven by climatic variances, especially those linked to lower temperatures. These insights offer valuable perspectives of the adaptive strategies employed by widely distributed and introduced plant species in the context of changing environmental conditions. These findings contribute to the broader understanding of how plants respond to environmental shifts and highlight the importance of considering nutrient stoichiometry when assessing ecological adaptations.
Author Contributions
Conceptualization, L.C., N.P., L.L., L.Z., X.L. and X.Q.; methodology, L.C., L.L., N.P. and X.Q.; software, L.L., L.Z. and X.Z.; validation and formal analysis, L.C., L.Z., X.Q. and J.L.; investigation and data curation, L.C., S.L., J.L. and B.H.; writing—original draft preparation, L.C., N.P., L.L., L.Z. and X.Q.; writing—review and editing, L.C., N.P., L.L. and X.Q.; visualization, L.L., L.Z. and X.Z.; supervision and project administration, N.P., L.L., L.Z., X.L. and X.Q. All authors have read and agreed to the published version of the manuscript.
Funding
This research was funded by the National Natural Science Foundation of China (grant number: 31971737); Fundamental Research Funds of ICBR (grant number: 1632020026); Forestry Science and Technology Innovation Project of the Guangdong Forestry Bureau (grant number: GDZZDC20228703).
Data Availability Statement
The data presented in this study are available on request from the corresponding author. The data are not publicly available due to privacy.
Acknowledgments
The authors thank Ziyun Dai from Beijing Institute of Landscape Architecture for his help in the investigation processing.
Conflicts of Interest
The authors declare no conflict of interest.
Appendix A

Table A1.
Correlation analysis between leaf stoichiometry, climate and soil factors of P. propinqua.
Table A1.
Correlation analysis between leaf stoichiometry, climate and soil factors of P. propinqua.
Climate | Soil | |||||||||||||
---|---|---|---|---|---|---|---|---|---|---|---|---|---|---|
MAT | LT | MAP | AE | AI | AQC | NHS | C | N | P | C:N | C:P | N:P | pH | |
Leaf C | −0.329 * | −0.375 ** | −0.231 | 0.079 | 0.214 | 0.001 | 0.020 | 0.006 | 0.307 * | 0.092 | −0.238 | −0.070 | 0.154 | 0.052 |
Leaf N | 0.344 ** | 0.262 * | 0.222 | 0.244 | −0.020 | 0.222 | −0.160 | 0.201 | 0.120 | 0.068 | −0.001 | 0.036 | 0.027 | −0.062 |
Leaf P | −0.572 ** | −0.514 ** | −0.173 | 0.334 ** | 0.310 * | −0.142 | −0.064 | −0.136 | 0.015 | 0.164 | −0.110 | −0.232 | −0.124 | 0.050 |
Leaf C:N | −0.416 ** | −0.353 ** | −0.296 * | −0.209 | 0.094 | −0.181 | 0.125 | −0.182 | −0.036 | −0.044 | −0.067 | −0.047 | 0.013 | 0.069 |
Leaf C:P | 0.501 ** | 0.411 ** | 0.079 | −0.308 * | −0.225 | 0.180 | 0.071 | 0.138 | 0.065 | −0.156 | 0.034 | 0.230 | 0.177 | −0.035 |
Leaf N:P | 0.764 ** | 0.638 ** | 0.342 ** | −0.085 | −0.285 * | 0.242 | −0.080 | 0.289 * | 0.091 | −0.082 | 0.091 | 0.228 | 0.129 | −0.103 |
Significance at p < 0.05 and p < 0.01 are indicated by * and **, respectively.
References
- Deng, M.; Liu, L.; Sun, Z.; Piao, S.; Ma, Y.; Chen, Y.; Wang, J.; Qiao, C.; Wang, X.; Li, P. Increased phosphate uptake but not resorption alleviates phosphorus deficiency induced by nitrogen deposition in temperate larix principis-rupprechtii plantations. New Phytol. 2016, 212, 1019–1029. [Google Scholar] [CrossRef] [PubMed]
- Hou, L.; Dong, Z.; Yang, Y.; Zhang, D.; Zhang, S.; Zhang, S. Applying foliar stoichiometric traits of plants to determine fertilization for a mixed pine-oak stand in the qinling mountains, China. PeerJ 2018, 6, e4628. [Google Scholar] [CrossRef] [PubMed]
- Huang, W.J.; Zhou, G.Y.; Liu, J.X. Nitrogen and phosphorus status and their influence on aboveground production under increasing nitrogen deposition in three successional forests. Acta Oecol. 2012, 44, 20–27. [Google Scholar] [CrossRef]
- Yan, Z.; Kim, N.; Han, W.; Guo, Y.; Han, T.; Du, E.; Fang, J. Effects of nitrogen and phosphorus supply on growth rate, leaf stoichiometry, and nutrient resorption of arabidopsis thaliana. Plant Soil 2015, 388, 147–155. [Google Scholar] [CrossRef]
- Austin, A.; Vitousek, P. Introduction to a virtual special issue on ecological stoichiometry and global change. New Phytol. 2012, 196, 649–651. [Google Scholar] [CrossRef]
- Cornwell, W.K.; Cornelissen, J.H.C. A broader perspective on plant domestication and nutrient and carbon cycling. New Phytol. 2013, 198, 331–333. [Google Scholar] [CrossRef]
- Elser, J.J.; Fagan, W.F.; Kerkhoff, A.J.; Enquist, N.G.S.J. Biological stoichiometry of plant production: Metabolism, scaling and ecological response to global change. New Phytol. 2010, 186, 593–608. [Google Scholar] [CrossRef]
- Sistla, S.A.; Schimel, J.P. Stoichiometric flexibility as a regulator of carbon and nutrient cycling in terrestrial ecosystems under change. New Phytol. 2012, 196, 68–78. [Google Scholar] [CrossRef]
- Du, B.; Ji, H.; Peng, C.; Liu, X.; Liu, C. Altitudinal patterns of leaf stoichiometry and nutrient resorption in quercus variabilis in the baotianman mountains, china. Plant Soil 2017, 413, 193–202. [Google Scholar] [CrossRef]
- Fang, Z.; Li, D.-D.; Jiao, F.; Yao, J.; Du, H.-T. The latitudinal patterns of leaf and soil C:N:P stoichiometry in the loess plateau of china. Front. Plant Sci. 2019, 10, 85. [Google Scholar] [CrossRef]
- Zhang, K.; Li, M.; Su, Y.; Yang, R. Stoichiometry of leaf carbon, nitrogen, and phosphorus along a geographic, climatic, and soil gradients in temperate desert of hexi corridor, northwest china. J. Plant Ecol. 2020, 13, 114–121. [Google Scholar] [CrossRef]
- Zhou, W.; Wang, Z.; Xing, W.; Liu, G. Plasticity in latitudinal patterns of leaf N and P of Oryza rufipogon in China. Plant Biol. 2014, 16, 917–923. [Google Scholar] [CrossRef]
- Agren, G.I.; Weih, M. Plant stoichiometry at different scales: Element concentration patterns reflect environment more than genotype. New Phytol. 2012, 194, 944–952. [Google Scholar] [CrossRef] [PubMed]
- Hu, Y.-K.; Zhang, Y.-L.; Liu, G.-F.; Pan, X.; Yang, X.; Li, W.-B.; Dai, W.-H.; Tang, S.-L.; Xiao, T.; Chen, L.-Y.; et al. Intraspecific n and p stoichiometry of Phragmites australis: Geographic patterns and variation among climatic regions. Sci. Rep. 2017, 7, 1–8. [Google Scholar]
- Rivas-Ubach, A.; Sardans, J.; Perez-Trujillo, M.; Estiarte, M.; Penuelas, J. Strong relationship between elemental stoichiometry and metabolome in plants. Proc. Natl. Acad. Sci. USA 2012, 109, 4181–4186. [Google Scholar] [CrossRef] [PubMed]
- Roelofsen, H.D.; van Bodegom, P.M.; Kooistra, L.; Witte, J.-P.M. Predicting leaf traits of herbaceous species from their spectral characteristics. Ecol. Evol. 2014, 4, 706–719. [Google Scholar] [CrossRef]
- Violle, C.; Navas, M.-L.; Vile, D.; Kazakou, E.; Fortunel, C.; Hummel, I.; Garnier, E. Let the concept of trait be functional! Oikos 2007, 116, 882–892. [Google Scholar] [CrossRef]
- Wright, I.J.; Reich, P.B.; Westoby, M.; Ackerly, D.D.; Baruch, Z.; Bongers, F.; Cavender-Bares, J.; Chapin, T.; Cornelissen, J.H.C.; Diemer, M.; et al. The worldwide leaf economics spectrum. Nature 2004, 428, 821–827. [Google Scholar] [CrossRef]
- Sun, X.; Kang, H.; Kattge, J.; Gao, Y.; Liu, C. Biogeographic patterns of multi-element stoichiometry of Quercus variabilis leaves across China. Can. J. For. Res. 2015, 45, 1827–1834. [Google Scholar] [CrossRef]
- Wu, T.; Dong, Y.; Yu, M.; Wang, G.G.; Zeng, D.-H. Leaf nitrogen and phosphorus stoichiometry of Quercus species across China. For. Ecol. Manag. 2012, 284, 116–123. [Google Scholar] [CrossRef]
- Sterner, R.W.; Elser, J.J. Ecological Stoichiometry: The Biology of Elements from Molecules to the Biosphere; Princeton University Press: Princeton, NJ, USA, 2002. [Google Scholar]
- Yu, Q.; Wilcox, K.; La Pierre, K.; Knapp, A.K.; Han, X.; Smith, M.D. Stoichiometric homeostasis predicts plant species dominance, temporal stability, and responses to global change. Ecology 2015, 96, 2328–2335. [Google Scholar] [CrossRef] [PubMed]
- Demars, B.O.L.; Edwards, A.C. Tissue nutrient concentrations in aquatic macrophytes: Comparison across biophysical zones, surface water habitats and plant life forms. Chem. Ecol. 2008, 24, 413–422. [Google Scholar] [CrossRef]
- Yang, X.; Huang, Z.; Zhang, K.; Cornelissen, J.H.C. C:N:P stoichiometry of artemisia species and close relatives across northern china: Unravelling effects of climate, soil and taxonomy. J. Ecol. 2015, 103, 1020–1031. [Google Scholar] [CrossRef]
- Wright, I.J.; Reich, P.B.; Cornelissen, J.H.C.; Falster, D.S.; Garnier, E.; Hikosaka, K.; Lamont, B.B.; Lee, W.; Oleksyn, J.; Osada, N.; et al. Assessing the generality of global leaf trait relationships. New Phytol. 2005, 166, 485–496. [Google Scholar] [CrossRef] [PubMed]
- Dijkstra, F.A.; Pendall, E.; Morgan, J.A.; Blumenthal, D.M.; Carrillo, Y.; LeCain, D.R.; Follett, R.F.; Williams, D.G. Climate change alters stoichiometry of phosphorus and nitrogen in a semiarid grassland. New Phytol. 2012, 196, 807–815. [Google Scholar] [CrossRef] [PubMed]
- Reich, P.B.; Oleksyn, J. Global patterns of plant leaf n and p in relation to temperature and latitude. Proc. Natl. Acad. Sci. USA 2004, 101, 11001–11006. [Google Scholar] [CrossRef] [PubMed]
- Tian, D.; Kattge, J.; Chen, Y.; Han, W.; Luo, Y.; He, J.; Hu, H.; Tang, Z.; Ma, S.; Yan, Z.; et al. A global database of paired leaf nitrogen and phosphorus concentrations of terrestrial plants. Ecology 2019, 100, e02812. [Google Scholar] [CrossRef]
- Zhang, C.; Zeng, F.; Zeng, Z.; Du, H.; Zhang, L.; Su, L.; Lu, M.; Zhang, H. Carbon, nitrogen and phosphorus stoichiometry and its influencing factors in karst primary forest. Forests 2022, 13, 1990. [Google Scholar] [CrossRef]
- Cao, J.; Wang, X.; Adamowski, J.F.; Biswas, A.; Liu, C.; Chang, Z.; Feng, Q. Response of leaf stoichiometry of Oxytropis ochrocephala to elevation and slope aspect. Catena 2020, 194, 104772. [Google Scholar] [CrossRef]
- Zhang, Y.; Li, C.; Wang, M. Linkages of C:N:P stoichiometry between soil and leaf and their response to climatic factors along altitudinal gradients. J. Soils Sediments 2019, 19, 1820–1829. [Google Scholar] [CrossRef]
- Zhao, H.; Xu, L.; Wang, Q.; Tian, J.; Tang, X.; Tang, Z.; Xie, Z.; He, N.; Yu, G. Spatial patterns and environmental factors influencing leaf carbon content in the forests and shrublands of China. J. Geogr. Sci. 2018, 28, 791–801. [Google Scholar] [CrossRef]
- Han, W.X.; Fang, J.Y.; Guo, D.L.; Zhang, Y. Leaf nitrogen and phosphorus stoichiometry across 753 terrestrial plant species in China. New Phytol. 2005, 168, 377–385. [Google Scholar] [CrossRef] [PubMed]
- He, J.-S.; Wang, L.; Flynn, D.F.B.; Wang, X.; Ma, W.; Fang, J. Leaf nitrogen: Phosphorus stoichiometry across Chinese grassland biomes. Oecologia 2008, 155, 301–310. [Google Scholar] [CrossRef] [PubMed]
- Gerdol, R.; Iacumin, P.; Brancaleoni, L. Differential effects of soil chemistry on the foliar resorption of nitrogen and phosphorus across altitudinal gradients. Funct. Ecol. 2019, 33, 1351–1361. [Google Scholar] [CrossRef]
- Xu, M.; Zhong, Z.; Sun, Z.; Han, X.; Ren, C.; Yang, G. Soil available phosphorus and moisture drive nutrient resorption patterns in plantations on the loess plateau. For. Ecol. Manag. 2020, 461, 117910. [Google Scholar] [CrossRef]
- Tang, L.; Han, W.; Chen, Y.; Fang, J. Resorption proficiency and efficiency of leaf nutrients in woody plants in eastern China. J. Plant Ecol. 2013, 6, 408–417. [Google Scholar] [CrossRef]
- Yan, T.; Lu, X.-T.; Zhu, J.-J.; Yang, K.; Yu, L.-Z.; Gao, T. Changes in nitrogen and phosphorus cycling suggest a transition to phosphorus limitation with the stand development of larch plantations. Plant Soil 2018, 422, 385–396. [Google Scholar] [CrossRef]
- Cao, Y.; Chen, Y. Coupling of plant and soil C:N:P stoichiometry in black locust (Robinia pseudoacacia) plantations on the loess plateau, China. Trees-Struct. Funct. 2017, 31, 1559–1570. [Google Scholar] [CrossRef]
- Han, W.X.; Fang, J.Y.; Reich, P.B.; Woodward, F.I.; Wang, Z.H. Biogeography and variability of eleven mineral elements in plant leaves across gradients of climate, soil and plant functional type in China. Ecol. Lett. 2011, 14, 788–796. [Google Scholar] [CrossRef]
- Tong, R.; Zhou, B.; Jiang, L.; Ge, X.; Cao, Y. Spatial patterns of leaf carbon, nitrogen, and phosphorus stoichiometry and nutrient resorption in chinese fir across subtropical China. Catena 2021, 201, 105221. [Google Scholar] [CrossRef]
- Bista, D.R.; Heckathorn, S.A.; Jayawardena, D.M.; Mishra, S.; Boldt, J.K. Effects of drought on nutrient uptake and the levels of nutrient-uptake proteins in roots of drought-sensitive and -tolerant grasses. Plants 2018, 7, 28. [Google Scholar] [CrossRef] [PubMed]
- Wang, F.-C.; Fang, X.-M.; Wang, G.G.; Mao, R.; Lin, X.-F.; Wang, H.; Chen, F.-S. Effects of nutrient addition on foliar phosphorus fractions and their resorption in different-aged leaves of Chinese fir in subtropical China. Plant Soil 2019, 443, 41–54. [Google Scholar] [CrossRef]
- Sun, L.; Zhang, B.; Wang, B.; Zhang, G.; Zhang, W.; Zhang, B.; Chang, S.; Chen, T.; Liu, G. Leaf elemental stoichiometry of Tamarix lour. Species in relation to geographic, climatic, soil, and genetic components in China. Ecol. Eng. 2017, 106, 448–457. [Google Scholar] [CrossRef]
- He, W.; Liu, H.; Shi, L.; Zhou, M.; Qi, Y.; Liu, F.; Zhu, X.; Zhao, P.; Xiang, C.; Shu, Y. Climate and soil change nutrient element allocation of siberian larch in the Mongolian semiarid forest. Agric. For. Meteorol. 2022, 315, 108825. [Google Scholar] [CrossRef]
- Chen, Y.; Han, W.; Tang, L.; Tang, Z.; Fang, J. Leaf nitrogen and phosphorus concentrations of woody plants differ in responses to climate, soil and plant growth form. Ecography 2013, 36, 178–184. [Google Scholar] [CrossRef]
- Liu, J.; Gou, X.; Zhang, F.; Bian, R.; Yin, D. Spatial patterns in the C:N:P stoichiometry in Qinghai spruce and the soil across the Qilian mountains, China. Catena 2021, 196, 104814. [Google Scholar] [CrossRef]
- Yu, H.; Zhong, Q.; Cheng, D.; Zhang, Z.; Pei, P. Leaf c, n, p stoichiometry of machilus pauhoi understory seedlings of different provenances. Sci. Silvae Sin. 2018, 54, 22–32. [Google Scholar]
- FAO. Global Forest Resources Assessment 2010: Main Report; FAO: Rome, Italy, 2010. [Google Scholar]
- Yuen, J.Q.; Fung, T.; Ziegler, A.D. Carbon stocks in bamboo ecosystems worldwide: Estimates and uncertainties. For. Ecol. Manag. 2017, 393, 113–138. [Google Scholar] [CrossRef]
- Song, X.; Zhou, G.; Jiang, H.; Yu, S.; Fu, J.; Li, W.; Wang, W.; Ma, Z.; Peng, C. Carbon sequestration by Chinese bamboo forests and their ecological benefits: Assessment of potential, problems, and future challenges. Environ. Rev. 2011, 19, 418–428. [Google Scholar] [CrossRef]
- Song, H.; Zhang, A.; Wang, R.; Qi, L. Introduction history, cultivation research and landscape application of bamboo in Beijing. World For. Res. 2021, 34, 67–71. [Google Scholar]
- Feng, X.; Zhai, Z.; Wu, L. Review and prospect of introduction and breeding of bamboo in Beijing gardens. J. Bamboo Res. 2020, 39, 1–13. [Google Scholar]
- Elser, J.J.; Fagan, W.F.; Denno, R.F.; Dobberfuhl, D.R.; Folarin, A.; Huberty, A.; Interlandi, S.; Kilham, S.S.; McCauley, E.; Schulz, K.L.; et al. Nutritional constraints in terrestrial and freshwater food webs. Nature 2000, 408, 578–580. [Google Scholar] [CrossRef] [PubMed]
- Guo, Z.; Chen, S.; Yang, Q.; Li, Y.; Zhuang, M. Effects of mulching management on soil and foliar C, N and P stoichiometry in bamboo (Phyllostachys violascens) plantations. J. Trop. For. Sci. 2014, 26, 572–580. [Google Scholar]
- Liu, J.; Huang, L.; Zheng, J.; Rong, J.; Chen, L.; Li, S.; Zheng, Y. Dynamic age characteristics and allometric growth of different organ stoichiometry in Phyllostachys edulis. J. Northeast For. Univ. 2022, 50, 23–28. [Google Scholar]
- Liu, X.; Xiang, L.; Zhao, D.; Huang, J.; Zhou, F.; Liao, J.; Lan, S.; Du, M.; Zhou, Y.; Huang, C. Stoichiometric characteristics of nitrogen and phosphorus in Chimonobambusa utilis leaves at different elevations. Chin. J. Appl. Environ. Biol. 2022, 28, 1012–1018. [Google Scholar]
- Koerselman, W.; Meuleman, A.M.F. The vegetation N:P ratio: A new tool to detect the nature of nutrient limitation. J. Appl. Ecol. 1996, 33, 1441–1450. [Google Scholar] [CrossRef]
- Zhang, H.; Guo, W.; Yu, M.; Wang, G.G.; Wu, T. Latitudinal patterns of leaf N, P stoichiometry and nutrient resorption of metasequoia glyptostroboides along the eastern coastline of china. Sci. Total Environ. 2018, 618, 1–6. [Google Scholar] [CrossRef]
- Lin, Y.; Lai, Y.; Tang, S.; Qin, Z.; Liu, J.; Kang, F.; Kuang, Y. Climatic and edaphic variables determine leaf C, N, P stoichiometry of deciduous Quercus species. Plant Soil 2022, 474, 383–394. [Google Scholar] [CrossRef]
- Chang, Y.; Zhong, Q.; Yang, H.; Xu, C.; Hua, W.; Li, B. Patterns and driving factors of leaf C, N, and P stoichiometry in two forest types with different stand ages in a mid-subtropical zone. For. Ecosyst. 2022, 9, 100005. [Google Scholar] [CrossRef]
- Wang, H.; Guo, L.; Zha, R.; Gao, Z.; Yu, F.; Wei, Q. Histological, metabolomic and transcriptomic analyses reveal mechanisms of cold acclimation of the moso bamboo (Phyllostachys edulis) leaf. Tree Physiol. 2022, 42, 2336–2352. [Google Scholar] [CrossRef]
- Wang, Z.-L.; Wu, D.; Hui, M.; Wang, Y.; Han, X.; Yao, F.; Cao, X.; Li, Y.-H.; Li, H.; Wang, H. Screening of cold hardiness-related indexes and establishment of a comprehensive evaluation method for grapevines (V. vinifera). Front. Plant Sci. 2022, 13, 1014330. [Google Scholar] [CrossRef] [PubMed]
- Song, L.; Ma, W.; Li, G.; Liu, S.; Lu, G. Effect of temperature changes on nitrogen mineralization in soils with different degradation gradients in Gahai wetland. Acta Pratacult. Sin. 2021, 30, 27–37. [Google Scholar]
- Mallick, K.; Trebs, I.; Boegh, E.; Giustarini, L.; Schlerf, M.; Drewry, D.T.; Hoffmann, L.; von Randow, C.; Kruijt, B.; Araujo, A.; et al. Canopy-scale biophysical controls of transpiration and evaporation in the amazon basin. Hydrol. Earth Syst. Sci. 2016, 20, 4237–4264. [Google Scholar] [CrossRef]
Disclaimer/Publisher’s Note: The statements, opinions and data contained in all publications are solely those of the individual author(s) and contributor(s) and not of MDPI and/or the editor(s). MDPI and/or the editor(s) disclaim responsibility for any injury to people or property resulting from any ideas, methods, instructions or products referred to in the content. |
© 2023 by the authors. Licensee MDPI, Basel, Switzerland. This article is an open access article distributed under the terms and conditions of the Creative Commons Attribution (CC BY) license (https://creativecommons.org/licenses/by/4.0/).