Abstract
This paper proposes a multi-agent evolutionary game model that can be used to study sustainable ecotourism development in national parks, with a focus placed on coordinating the interests of multiple stakeholders. Based on the limited rationality hypothesis, this study explores the impact of strategic choice evolution and the change of key factors on the stability of the ecotourism development system in national parks. To achieve this, a tripartite evolutionary game model involving “local government–tourism enterprises–tourists” is constructed. The model is applied to Wuyishan National Park as a case study, incorporating actual data and conducting numerical simulation experiments using MATLAB software. The findings of the study are as follows: (1) The optimal stable strategy for the three game players (local government, tourism enterprises, and tourists) is determined to be one that works to “supervise, implement high-level services, and participate in ecotourism”, respectively. This strategy is influenced by factors such as government subsidies, government fines, economic benefits obtained by tourism enterprises at different service levels, and the utilities experienced by participating and non-participating tourists in national park ecotourism. (2) Government subsidy policies can promote the attainment of a stable state for tourism enterprises and tourists. However, excessive subsidies may hinder the fulfillment of local governments’ expectations. (3) The greater the economic benefits obtained by tourism enterprises through high-level services are, the more favorable it will be for tourism enterprises to reach a stable state. However, this may lead to a relatively slower response from the government. (4) The higher the utilities that tourists derive from high-level services in ecotourism are, the faster the game players will reach a stable state. (5) The higher the utilities associated with tourists spending time in other places are, the more challenging it becomes for the three game players to achieve a stable state. This situation may cause tourists to shift from the initial strategy of “participating in ecotourism” to “not participating in ecotourism”. Based on these findings, the paper provides countermeasures and suggestions for promoting the sustainable development of ecotourism in Wuyishan National Park. These recommendations aim to offer decision-making references for enhancing the development of ecotourism in national parks across the country.
1. Introduction
With China’s economy rapidly growing, a slew of problems have arisen, such as environmental pollution, water shortages, and ecosystem degradation. Consequently, China has instituted various policies to safeguard its ecological environment and established a national park system with distinctive Chinese characteristics. Since the national park system was first proposed at the Third Plenary Session of the 18th CPC Central Committee in 2013, the national park system’s pilot was initiated in 2015, and the first batch of national parks was officially established in 2021. Developing a national park system with Chinese characteristics has been consistently promoted as a significant initiative for the comprehensive deepening of reform [1]. A national park is a particular land or marine area designated for scientific protection and the rational utilization of natural resources in order to conserve the nationally representative natural ecosystem [2]. These areas not only have a unique natural landscape and rich biodiversity, but also display the “natural” conditions for tourism activities. However, in the early days of the national park pilot project, the concepts of “tourism” and “ecotourism” were avoided due to the following two aspects. On the one hand, government administration had different understandings of the connotation of “national park”; on the other hand, irrational tourism development in national parks could spawn various tourism disruptions [3], which contradicts the original intent of national park construction.
On 3 June 2022, the National Forestry and Grassland Administration released the Interim Measures for the Management of National Parks, abandoning the previous approach of avoiding “tourism” in the management of protected areas and allowing national parks to conduct ecotourism activities in the general control areas without harming ecological functions [4]. This move has opened up a new opportunity for ecotourism development in national parks. Unlike conventional mass tourism, ecotourism has fewer detrimental effects on the environment and is a key form of tourism that promotes environmental protection and fosters sustainable tourism [5]. However, in the “national park” areas promoted by some provincial governments, the development of ecotourism has put enormous pressure on the environment [6]. Balancing the relationship between environmental protection and tourism development is the critical challenge confronting the sustainable development of ecotourism in national parks.
As ecological tourism continues to flourish in China, the intricate landscape of land ownership in the country has contributed to a diverse range of interests among different stakeholders, resulting in increasingly complex conflicts [7]. In this context, the roles played by local governments, tourism enterprises, and tourists have become pivotal in the tourism development process. Effectively managing the interplay of interests among these stakeholders has become an urgent priority in the efforts to establish a harmonious tourism environment.
Wuyishan National Park, one of the first officially established national parks in China, covers an area of approximately 1001.41 square kilometers in the north of Fujian Province. The park has a primitive and complete subtropical mountain forest ecosystem, with 87.86% forest coverage, a strong historical and cultural heritage, and is the only important protected area in China that is not only a human and biosphere reserve but also an important protected area with both world cultural and natural heritage [8]. Wuyishan National Park gives priority to ecological protection and implements partitioned management and control, dividing the park into four functional areas: special protection areas, strictly controlled areas, ecological restoration areas, and traditional utilization areas [9]. The special protection areas have the strictest protection, and visitors are strictly prohibited from entering these zones. The strictly controlled areas only allow activities such as investigation, testing, and scientific research. Limited human activities are allowed in the ecological restoration areas and traditional utilization areas, which account for 48.42% of the total area, including Wuyishan National Scenic Area, Jiuquxi Upstream Protection Belt, Guangze Wuyi Tianchi National Forest Park, and surrounding public welfare forests. Therefore, this paper selects Wuyishan National Scenic Area as the research area under the premise of allowing tourists to visit the park while authorities carry out ecology-related environmental education.
This study aims to systematically analyze the tripartite game involving the government, tourism enterprises, and tourists in the process of developing ecotourism in Wuyishan National Park. By combing the existing literature, this study selects representative stakeholders for game analysis in order to comprehensively and deeply clarify the specific evolution process of the tripartite game and explore the optimal evolution path known as “tripartite win–win”. Numerical simulations are conducted using the data from Wuyishan National Scenic Area in 2021. Investigations are made into the influence of changes in important parameters of different initial probabilities and games on system stability. The results of this study provide targeted countermeasures and suggestions for the sustainable development of ecotourism in national parks.
2. Literature Review
Since the establishment of the world’s first national park, Yellowstone National Park, in the United States in 1872, the national park model has been widely adopted around the world. As of 2020, more than 100 countries have established over 1200 national parks in various styles. Scholars, both domestically and internationally, have conducted extensive research on national parks. At a macro level, research focuses on the definition of national parks [10], the development mode and path selection [11,12], the overall layout [13], the functional division [14], the comparison of management modes between China and foreign countries, and classic case analyses [15,16], operation and planning [17]. Qualitative analyses are mainly used as research methods. On the micro level, research concentrates on resource value assessment [18], the assessments of recreation potential [19,20], the sustainable development index system [21], stakeholder relationships [22], and the role of environmental impact [23] in national parks. Research on this issue mainly uses questionnaire investigation, the contingent valuation method, mathematical modeling, and other methods.
The concept of ecotourism was first proposed in 1983 by Ceballos-Laskurain, a special adviser to the International Union for Conservation of Nature (IUCN), who defined ecotourism as environmentally responsible tourism in an undisturbed natural area for the purpose of enjoying and appreciating nature and humanity [24]. Later, the International Ecotourism Association revised the definition, stating that ecotourism refers to tourism activities with dual responsibilities to protect the natural environment and preserve the livelihoods of local people. Ecotourism, as a green and sustainable way of tourism, has since attracted widespread attention. Domestic and foreign scholars researching ecotourism mainly focus on the definition of ecotourism [25], interest in coordination among stakeholders [26], value assessment [27], ecotourism behavior and service experience [28], ecological management and environmental protection [29,30], and other aspects of the topic. To promote the sustainable development of ecotourism and coordinate the relationship between economic development and ecological protection, it is necessary to pay attention to the coordination between multiple stakeholders [31].
Stakeholder theory, which originated from the study of enterprise management in the 1960s and gradually developed in developed countries such as the United Kingdom and the United States, points out that stakeholders are individuals or groups of individuals who can influence the achievement of an enterprise’s goals [32]. In the 1990s, foreign scholars began to apply stakeholder theory to tourism, mainly exploring the distribution, conflict, cooperation, and coordination of stakeholders in different types of tourism destinations [33]. Most studies use qualitative descriptions, while mathematical modeling is used in most quantitative studies, with relatively simple methods adopted. The quantitative research in this study employs various methods, including the evolutionary game method [34], structural equation modeling [35], and the PSR model [36]. In contrast to static game methods, the evolutionary game method accommodates participants with limited rationality. It combines game theory analysis with dynamic evolution analysis, allowing for the examination of strategy selection and equilibrium outcomes among different stakeholders as the system evolves over time [37]. Studies that combine stakeholder theory with ecotourism mainly examine the composition of stakeholders and the coordination of stakeholders’ interests [38]. Some scholars point out that stakeholders in ecotourism should include local governments, local communities, social organizations, eco-tourists, tourism enterprises, and non-governmental organizations [38,39]. In terms of benefit coordination, some scholars have constructed dynamic evolution game models of “government-tourism enterprise” and “tourism enterprise-community”, respectively, to explore the dynamic evolution process among stakeholders [40]. Subsequently, some scholars have built a tripartite game model from the perspective of local governments, tourism enterprises, and community residents to explore the stability strategies of the tripartite game players in the development and construction of ecologically fragile areas and rural ecotourism [41,42]. Some scholars have explored the relationship between tourists, local governments, and tourism enterprises by constructing a tripartite game model and analyzing its influence on the high-quality development of agricultural ecotourism [43].
The protection of natural resources and the development of sustainable ecotourism, activities which use national parks as a platform, have garnered significant research attention. In contrast to traditional ecotourism, ecotourism within national parks aims to offer tourists opportunities to connect with and appreciate nature, enhance the tourist’s sense of participation and wilderness experience, and provide a platform for nature science education and environmental awareness. In doing so, it fosters citizens’ patriotic sentiments and national pride [44]. However, existing research on ecotourism in national parks remains limited. While some studies employ game theory and empirical methods to explore the interactions between two participants in the national park development process, such as the government–tourism enterprise and tourism enterprise–communities connections [45,46], others adopt a tripartite evolutionary game model to examine ecotourism in national parks. However, these studies focus solely on the interest relationships among the government, tourism enterprises, and community residents [47]. As key players in tourism behavior, tourists play a crucial role in the high-quality development of ecotourism in national parks. Therefore, this paper utilizes the evolutionary game method to consider the government, tourism enterprises, and tourists as important stakeholders in the ecotourism development of national parks. It constructs a three-party evolutionary game model in order to explore the mechanisms for coordinating the interests of all three stakeholders in national park development, guiding and aligning the behavior of each party. The objective of this study is to enhance the theoretical understanding of strategic decision making by participants involved in the ecotourism development process in national parks, improve the national park system, and provide strategic insights for promoting the high-quality development of ecotourism in national parks from the perspective of enhancing tourist experiences and services.
3. Construction of a Tripartite Evolutionary Game Model
3.1. Model Hypotheses
Hypothesis 1.
The game involves three parties—the government, tourism enterprises, and tourists—all of whom are “economic agents” with limited rationality. Each participant seeks to maximize their interests by making strategic choices based on benefits and costs, continuously adjusts their strategies based on changing benefits, and finally achieves an evolutionarily stable state.
Hypothesis 2.
As the regulatory agency for ecotourism in national parks, the government’s responsibility is to improve the service level of tourism enterprises within its jurisdiction, safeguard the legitimate rights and interests of tourists, and promote local industries’ vigorous development while also scientifically protecting natural resources. When tourists participate in ecotourism and visit the area to promote economic development, the government receives economic revenue. Therefore, the government’s game strategy is to “supervise” or “not supervise” tourism enterprises. It is supposed that the probability of the government choosing the “supervision” strategy is x, and that the probability of choosing the “non-supervision” strategy is 1 − x, where x ∊ [0, 1]. When the government chooses the “supervision” strategy, it invests in measures to strengthen its ability to supervise, such as increasing law enforcement personnel and optimizing supervision. At this point, tourism enterprises that adopt a high level of service receive appropriate subsidies, and tourists experience high-quality local services, which bring social benefits such as a good reputation to the government. On the other hand, tourism enterprises that adopt a low level of service are fined. When the government chooses the “non-supervision” strategy, tourists experience a low level of local service and spread negative information through media channels, damaging the local government’s image.
Hypothesis 3.
Tourism enterprises must accept government supervision consciously, comply with various environmental regulatory policies issued by the government, and assume primary responsibility for the quality of tourists’ experience of tourism services [43]. Service quality is the core competitiveness of tourism enterprises. They will improve the safety awareness and management level of scenic spots and star hotels, and launch various tourism products such as health care, camping, and research to create a safe, happy, and comfortable tourism atmosphere for tourists. However, some enterprises may reduce service quality for short-term economic benefits, and even their safety facilities and catering safety may fall below government standards. Therefore, the game strategy of tourism enterprises is to implement “high-level services” or “low-level services” for tourists. It is supposed that the probability of tourism enterprises choosing the “high-level services” strategy is y, and that the probability of choosing the “low-level services” strategy is 1 − y, where y ∈ [0, 1]. When tourism enterprises implement a “high-level services” strategy, they invest more in improving infrastructure to create a comfortable travel environment and train employees to improve service quality. In turn, enterprises earn economic benefits (such as higher ticket proceeds). When enterprises adopt a “low-level services” strategy, their input costs are relatively low, and enterprises reap economic rewards in cost savings accordingly.
Hypothesis 4.
Tourists are core stakeholders in ecotourism in national parks as they are both practitioners and service recipients of tourism enterprises. Their evaluation of the effect of government supervision and the service level of tourism enterprises can greatly affect the future development of ecotourism in national parks [48]. Tourists may have different personal preferences, with some preferring the ecotourism model of national parks while others may be reluctant to participate. Therefore, the game strategy of tourists is to choose whether to “participate in ecotourism” or “not participate in ecotourism”. Let the probability of tourists choosing the “participating in ecotourism” strategy be z, and the probability of choosing the “not participating in ecotourism” strategy be 1 − z, where z ∈ [0, 1]. When tourists participate in ecotourism in national parks, they can experience the benefits of a high level of service, such as recreational value, which can also stimulate their awareness of nature conservation and patriotism. On the other hand, the utility for tourists experiencing a low level of service is relatively low. Correspondingly, tourists gain utilities when they choose to spend their time elsewhere rather than participating in national park ecotourism. The relevant parameters and their meanings are shown in Table 1.
Table 1.
Relevant parameters and their meanings.
3.2. Model Construction
Figure 1 shows the logical relationships between the three parties involved in ecotourism in national parks. Based on the research hypotheses and parameter settings outlined above, the game matrix for the mixed strategy of the government, tourism enterprises, and tourists is presented in Table 2.
Figure 1.
Logical relationships of the three-party evolutionary game model.
Table 2.
Payoff matrix for the local government, tourism enterprises, and tourists.
4. Analysis of Tripartite Evolutionary Stability Strategy
4.1. Tripartite Evolutionary Stability Strategy Solutions
Let us denote the expected return of the local government choosing the “supervision” strategy as , the expected return of the local government choosing the “non-supervision” strategy as , and the average expected return as . We have:
According to Equations (1)–(3), the replicating dynamic equation of local government’s game strategy is:
Let . From the stability theorem of differential equations, we can know that the probability of the government choosing the regulatory strategy is in a stable state, which should meet the following conditions: and . First, when , , , . In this case, all of are in a state of evolutionary stability. When z, there are two kinds of situations:
Situation 1: when , . So, is an increasing function of z. When , , in this case . Hence, is the government’s evolutionary stability strategy. Conversely, when , , in this case . Hence, is the government’s evolutionary stability strategy.
Situation 2: when , . So, is a decreasing function of z. When , , in this case . Hence, is the government’s evolutionary stability strategy. Conversely, when , , in this case . Hence, is the government’s evolutionary stability strategy.
Denoting the expected return of the tourism enterprises choosing the “high-level services” strategy as , that of choosing “the low-level services” strategy as , and that of the average expected return as , then:
By Equations (5)–(7), the replicating dynamic equation of tourism enterprises’ game strategy is:
Let . From the stability theorem of differential equations, we know that the probability of tourism enterprises choosing “high-level service strategy” is in a stable state, which should meet the following conditions: and . Because , is an increasing function of z. When , , , , in this case, all of are in a state of evolutionary stability. When , , at this time . Hence, is the evolutionarily stable strategy of tourism enterprises. Conversely, when , , in this case . Hence, is the evolutionarily stable strategy of tourism enterprises.
Denoting the expected return of tourists choosing the strategy of “participating in ecotourism” as , the expected return of tourists choosing the strategy of “not participating in ecotourism” as , and the average expected return as , then:
According to Equations (9)–(11), the replicating dynamic equation of tourists’ game strategy is:
Let . According to the stability theorem of differential equations, the probability of tourists choosing to “participate in ecotourism” is in a stable state, which should meet the following conditions: and . When , , , . At this time, all of z are in a state of evolutionary stability. When =, there are two kinds of situations:
Situation 1: when , , so is an increasing function of y. When , , in this case . Hence, is tourists’ evolutionary stability strategy. Conversely, when , in this case . Hence, is tourists’ evolutionary stability strategy.
Situation 2: when 0, 0, so is a decreasing function of . When , , in this case . Hence, is tourists’ evolutionary stability strategy. Conversely, when , , in this case . Hence, is tourists’ evolutionary stability strategy.
By combining Equations (4), (8) and (12), the replicating dynamic equation of government, tourism enterprises and tourists can be obtained as follows:
4.2. Stability Analysis of Equilibrium Points
The asymptotically stable solution of the replication dynamic equation in the multi-group evolutionary game must be the pure strategy Nash equilibrium point. Therefore, if , the following eight potential equilibrium points can be obtained, including (0, 0, 0), (0, 0, 1), (0, 1, 0), (1, 0, 0), (0, 1, 1), (1, 1, 0), (1, 0, 1), and (1, 1, 1), each of which can be seen in Table 3.
Table 3.
Stability of potential equilibrium points.
In this paper, the Lyapunov indirect method and Jacobian matrix are used to judge the stability of equilibrium points. When all the eigenvalues in the Jacobian matrix are less than 0, the equilibrium point is one of an evolutionarily stable strategy (ESS) [49]. When at least one of the eigenvalues in the Jacobian matrix is greater than 0, the equilibrium point is unstable. When all the other eigenvalues in the Jacobian matrix are less than 0, except for the eigenvalue 0, the equilibrium point is in a critical state and the stability of the equilibrium point cannot be determined. Then, we judge the stability of the eight potential equilibrium points above. Specific calculations are as follows:
Combining Table 1 and Table 3, it can be seen that , and , so (0, 1, 0) and (1, 1, 0) cannot meet the conditions required by ESS. When enterprises provide low-level services, this will reduce the tourists’ experience and thereby reduce future tourism income. Therefore, the economic benefits of these enterprises in the long run will certainly be lower than those of enterprises that provide high-level services, that is, . Under this condition, the stable ones of the remaining potential equilibrium points can be found by adding constraints. Based on the above reasoning, the following six cases can be obtained:
Case 1: when and , (0, 0, 0) is an ESS.
Case 2: when and and , 0, 0, 1) is an ESS.
Case 3: when and and , (1, 0, 0) is an ESS.
Case 4: when and and , (0, 1, 1) is an ESS.
Case 5: when and and , (1, 0, 1) is an ESS.
Case 6: when and and , (1, 1, 1) is an ESS.
5. Simulation Analysis Using Wuyishan National Park as a Case Study
This study constructs a game matrix to identify the core interests in the ecotourism development process of national parks and analyze the evolutionary results. The findings suggest that under the constraint of case 6, the stable result of system evolution (1,1,1) is the optimal state of the system. To verify the effectiveness of the evolutionary stability strategy analysis of the system, this paper uses actual case data of Wuyishan National Park and conducts numerical simulations using MATLAB 2016a software. The data used in this study are collected from various sources such as CCTV news (https://baijiahao.baidu.com/s?id=1699019669959780356&wfr=spider&for=pc, accessed on 2 December 2022), Xinhua net (https://baijiahao.baidu.com/s?id=1746437869586114990&wfr=spider&for=pc, accessed on 2 December 2022), Taihai net (http://www.taihainet.com/news/fujian/napi/2021-02-19/2480186.html, accessed on 2 December 2022), (https://baijiahao.baidu.com/s?id=1746180454636588790&wfr=spider&for=pc, accessed on 2 December 2022), relevant tourist data published by the Fujian Provincial Forestry Administration, and case data from the relevant literature [50].
According to the data collected, it is estimated that Wuyishan National Scenic Area received a total of 1.96 million tourists in 2021, generating ticket proceeds of CNY 214.99 million, sightseeing bus income of CNY 0.70 million, and bamboo raft income of CNY 0.57 million. The economic benefits obtained by tourism enterprises when they adopt a high level of service, including ticket revenue, sightseeing bus income, income from bamboo raft, and income from providing rich and varied tourism products such as research, health care, and camping, totaled CNY 352.09 million. On the other hand, the economic benefits to enterprises from adopting low-level services included only CNY 214.99 million in ticket income. Based on the profit margin of 30% of tourism enterprises, the cost to enterprises of adopting high- and low-level services is CNY 270.84 million and CNY 165.38 million, respectively. Based on the 25% corporate income tax rate, the government’s underlying earnings were CNY 20.31 million. By referring to the relevant literature [50], it can be seen that the per capita consumer expenditure and per capita consumer surplus of tourists in Wuyishan National Scenic Area in 2019 were CNY 1237.66 and CNY 1072.39, respectively. Then, the per capita national income growth rate was calculated according to the per capita national income from 2019 to 2021 published by the National Bureau of Statistics. It was estimated that the per capita consumer expenditure and per capita consumer surplus of tourists in Wuyishan National Scenic Area in 2021 were CNY 1427.33 and CNY 1236.73, respectively.
Next, the tourists participating in ecotourism experience the utilities of obtaining a high level of service (recreational resource use value) = (per capita consumer expenditure + per capita consumer surplus) × the number of tourists received by the scenic spot = CNY 5221.56 million. Finally, the remaining parameters are reasonably set based on the realistic situation and stability constraints: : CNY 20 million, A: CNY 60 million, S: CNY 80 million, : CNY 100 million, : CNY 90 million, : CNY 3655.09 million, and : CNY 3400 million. All parameter settings and calculation processes are shown in Table 4.
Table 4.
Parameter setting and calculation process.
Using the data presented above, we simulated and analyzed the stability of different initial probability evolution game systems for the local government, tourism enterprises, and tourists under ideal conditions. We then explored the influence of key parameters on system stability based on initial probabilities of , and . Finally, we used the simulation results to offer policy recommendations for promoting the coordination mechanism of subjects of interest in Wuyishan National Park’s ecotourism development.
5.1. Influence of Different Initial Probabilities on the Stability of the Evolutiuonary Game System
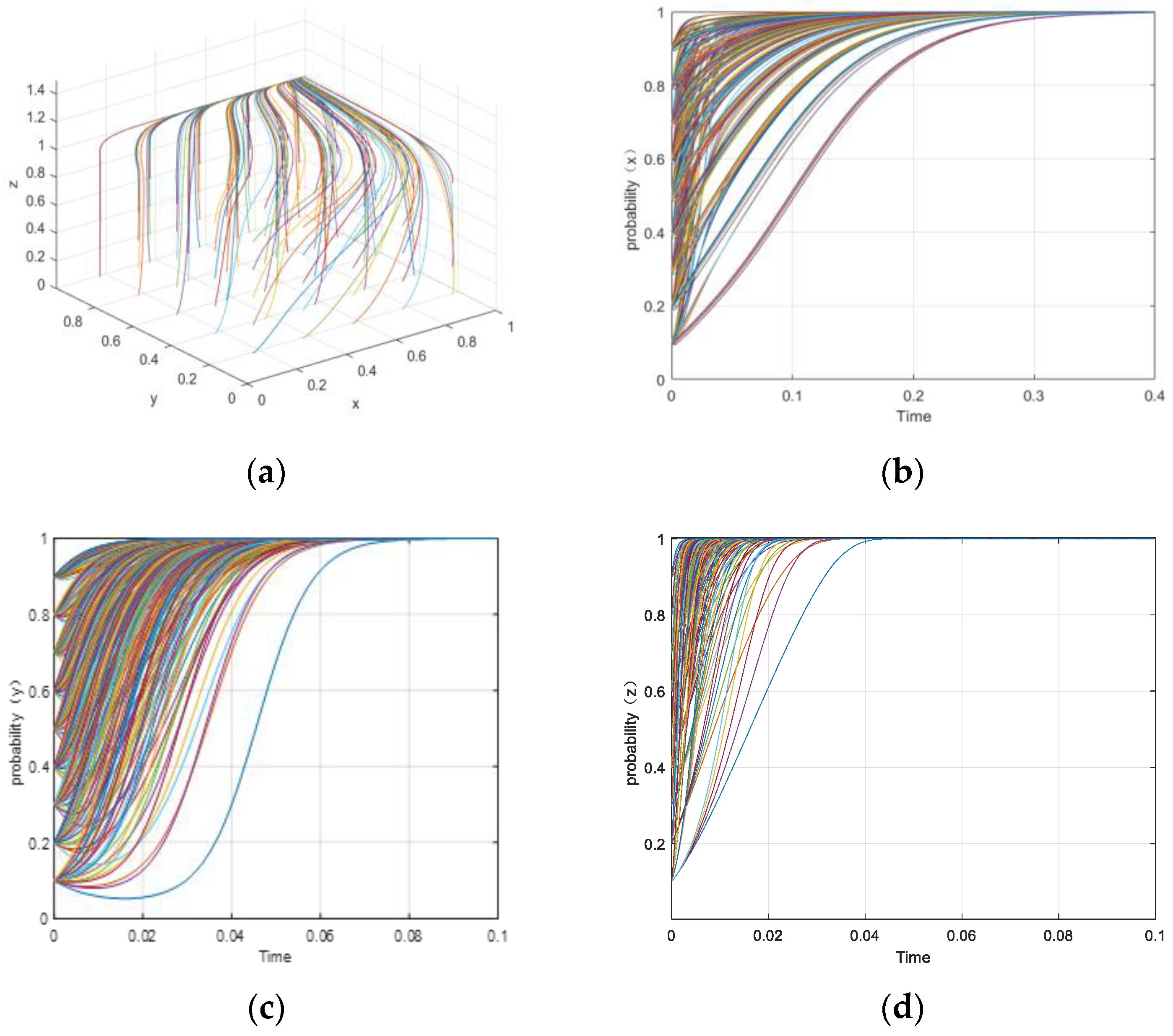
In order to examine the impact of different initial probabilities on system stability, we tested the stability of the system under unchanged limited parameters while varying the initial probabilities of the government choosing a “supervision” strategy, tourism enterprises choosing “high-level services”, and tourists choosing to “participate in ecotourism”. We tested five initial values for each participant’s initial probability: 0.1, 0.3, 0.5, 0.7, and 0.9. Table 5 shows the parameter assignment for case 6, with units given in CNY million. Figure 2 displays the simulation results, including a 3D simulation diagram of the strategy selection evolution of local governments, tourism enterprises, and tourists (Figure 2a) and the effects of local governments, tourism enterprises, and tourists on their respective decisions under different initial probabilities (Figure 2b–d).
Table 5.
Parameter set of simulation analysis satisfying constraint case 6.
Figure 2.
The evolution towards the stable equilibrium point (1, 1, 1). (a) Evolutionary process of the three plays; (b) evolutionary process of local governments; (c) evolutionary process of tourism enterprises; (d) evolutionary process of tourists.
Our analysis indicates that, under the parameter conditions of evolutionary stability strategy (1,1,1), different initial probabilities do not affect the strategic evolution of each participant, which ultimately reaches an ideal equilibrium state (supervise, implement high-level services, and participate in ecotourism). However, different initial probabilities impact the time it takes for the system to reach a stable state, with larger initial probabilities leading to shorter times required to stability. Therefore, we recommend that in the development stage of ecotourism in national parks, the government should strengthen its supervision of tourism enterprises and encourage them to adopt high-level services to attract foreign tourists to participate in ecotourism.
5.2. Sensitivity Analysis of Key Elements
This section focuses on analyzing the impact of four crucial parameters on the stability of the evolutionary system: government subsidy, economic income earned by enterprises through high-level services, utilities obtained by tourists participating in ecotourism in national parks, and utilities obtained by tourists spending their time elsewhere. The study assumes that other parameters remain constant during the sensitivity analysis of key elements, and the initial probabilities of the three parties in the game are set to 0.5 each.
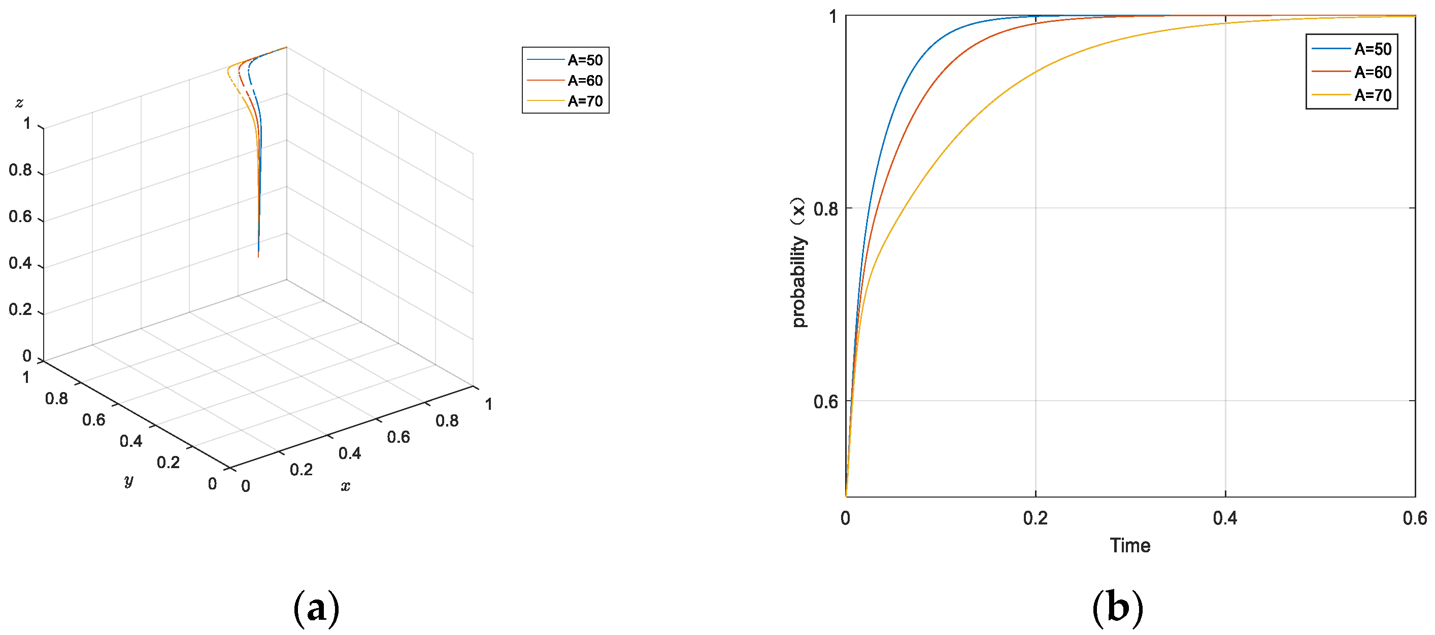
5.2.1. Impact of A on System Evolution
To study the impact of government subsidy on the system evolution, is varied at three levels, 50, 60, and 70, representing low, medium, and high levels of government subsidy. The strategy evolution paths of local government, tourism enterprises, and tourists are compared, and the results are presented in Figure 3. Figure 3a shows the three-dimensional simulation diagram of strategy selection evolution under different government subsidies, and Figure 3b–d show the impact of local governments, tourism enterprises, and tourists on their respective decisions under different levels of government subsidies.

Figure 3.
Stability analysis of the evolutionary game system under different government subsidies. (a) Evolutionary process of the three plays; (b) evolutionary process of local government; (c) evolutionary process of tourism enterprises; (d) evolutionary process of tourists.
It is observed that the amount of government subsidy does not affect the three parties’ ability to reach a stable state, but that it does affect the speed at which they reach it. As shown in Figure 3b, when government subsidies are smaller, local governments’ speed in selecting “supervision” strategies increases significantly. This could be because the government has reduced its spending on subsidies and can allocate additional resources to increase human and material investment in supervision, or because subsidies and government supervision (carrot and stick) are substitutes in incentivizing tourism enterprises to offer high-quality services. The three curves in Figure 3c–d almost overlap, indicating that different levels of government subsidies do not affect the speed at which tourism enterprises and tourists reach a stable state. Therefore, to promote the adoption of high-level services by tourism enterprises, the government should set subsidies reasonably and increase the enthusiasm of tourism enterprises.
5.2.2. Impact of on System Evolution
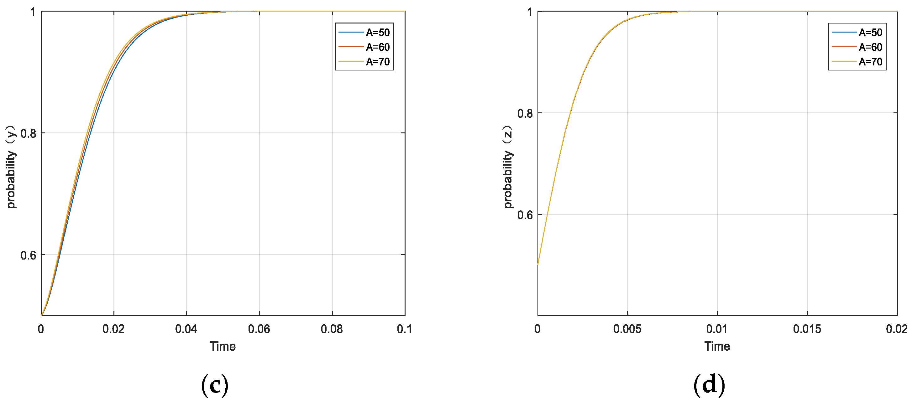
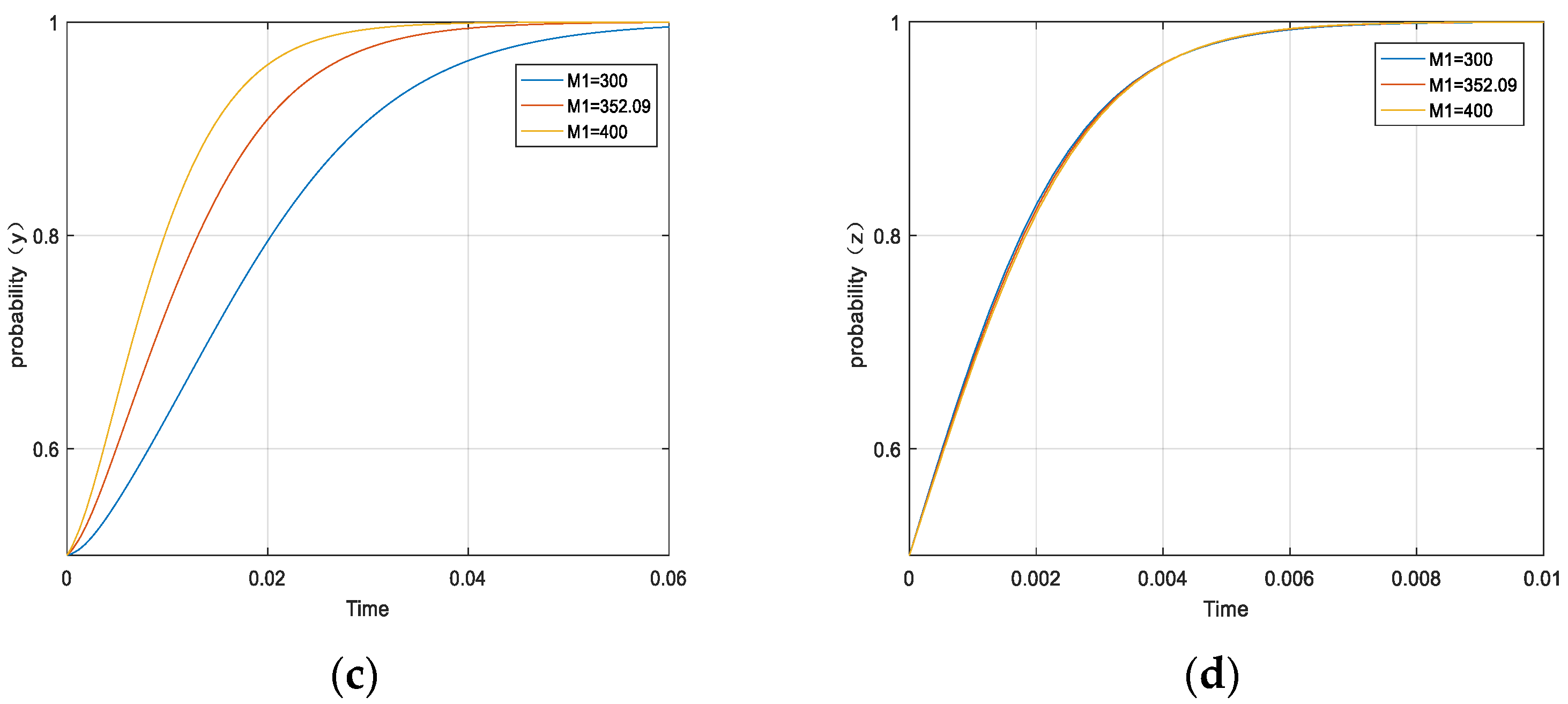
Assuming that other parameters remain constant, we investigate the impact of economic benefits () on the stability of the evolutionary system. We examine low, medium, and high levels of economic benefits, represented by values of 300, 352.09, and 400, respectively. The simulation results are shown in Figure 4a–d. By comparing the evolution process of the three parties under different economic benefits, we find that the local government, tourism enterprises, and tourists gradually tend towards the ideal state of supervising, implementing high-level services, and participating in ecotourism. The time taken by tourists to reach the stable state is consistent with the benchmark model.

Figure 4.
Stability analysis of the evolutionary game system under different economic benefits. (a) Evolutionary process of the three plays; (b) evolutionary process of local government; (c) evolutionary process of tourism enterprises; (d) evolutionary process of tourists.
Figure 4b,c show that when the economic benefits obtained by tourism enterprises from adopting high-level services are higher, tourism enterprises reach stable states faster, while the speed of reaching a stable state slows down for the government. This may be again due to the substitution effect of carrot and stick (when higher economic benefits increase the tourism firms’ self-motivation of offering high-level services the government is less incentivized to supervise, which is costly for the government). However, the evolution speed of tourists under these three conditions is almost the same.
Overall, different economic benefits have a limited impact on the strategic evolution of the three parties but do impact the evolution speed of enterprises and governments. Therefore, tourism enterprises should actively develop forest tourism projects such as forest health, research, woodland walking, and negative ion baths in order to improve their service quality and attract more tourists.
5.2.3. Impact of on System Evolution
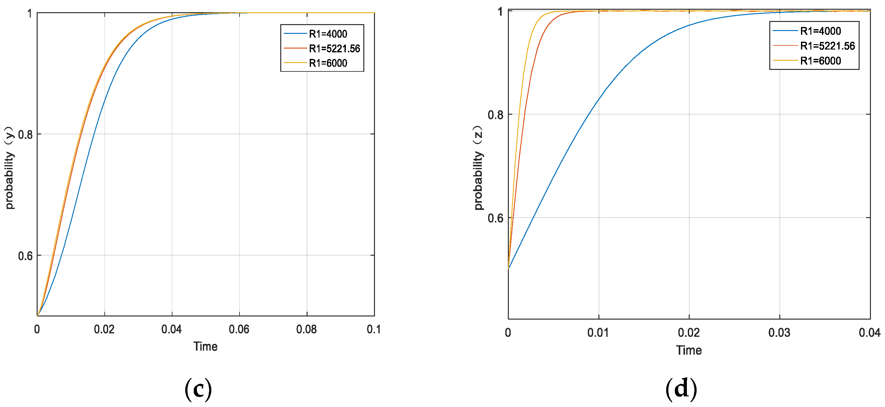
Assuming other parameters remain constant, let be 4000, 5221.56, and 6000, representing low, medium, and high utilities obtained by tourists participating in national park ecotourism and experiencing high-level services. Figure 5a–d displays the simulation results. It is evident from Figure 5 that the utilities obtained by tourists influence the evolution speed of each participant, particularly the tourists. As utility increases, tourists hasten their selection of a “participating in ecotourism” strategy, and the time taken for local governments and tourism enterprises to reach the evolutionarily stable state is reduced accordingly. When is small, as in the case of = 4000, the driving force of tourists’ participation in national park ecotourism is insufficient, leading to slow evolution towards the evolutionarily stable state compared to the benchmark model. Therefore, from the perspective of tourists, the ability to directly consume items in tourism resources and obtain higher ecological and environmental effects during the tourism process is crucial to their willingness to participate in national park ecotourism.

Figure 5.
Stability analysis of the evolutionary game system under different utilities. (a) Evolutionary process of the three plays; (b) evolutionary process of local government; (c) evolutionary process of tourism enterprises; (d) evolutionary process of tourists.
5.2.4. Impact of on System Evolution
The simulation results in Figure 6a–d show the impact of = 2400, 3400, and 4400 on the evolution of the system. High values lead to the failure of local governments, tourism enterprises, and tourists to reach the ideal state (i.e., supervising, implementing high-level services, participating in ecotourism). Figure 6b,c reveals that as tourists do not engage in ecotourism activities in national parks and seek more recreational utilities elsewhere, the behavior of local governments and tourism enterprises fluctuates, while the stability strategy of tourists changes from “participating in ecotourism” to “not participating in ecotourism”. Therefore, tourists are more likely to participate in national park ecotourism when the recreational and entertainment utilities available to them elsewhere are limited.
Figure 6.
Stability analysis of the evolutionary game system under different utilities. (a) Evolutionary process of the three plays; (b) evolutionary process of local government; (c) evolutionary process of tourism enterprises; (d) evolutionary process of tourists.
6. Discussions
Throughout the global history of national parks development, ecotourism has been an integral part of the process. However, prior to the implementation of the pilot national park system in China, most nature reserves lacked clear planning for the development of ecotourism. They primarily focused on conservation priorities and neglected the potential for tourism activities. Insufficient investment in conservation funds and fragmented management led to numerous challenges in the development of ecotourism within the original nature reserves, hindering the advancement of progress in an organized manner. Clearly, the original positioning of ecotourism in nature reserves does not align with the development concept of national parks, necessitating a redefinition of the direction for ecotourism development. Consequently, China is committed to establishing a new natural reserve management system centered on national parks and requires an urgently needed public participation model for ecotourism development and strategic decision making. Therefore, this paper constructs a tripartite evolutionary game model to study the interest coordination between the government, tourism enterprises, and tourists in the process of ecotourism development in national parks.
The paper differs from the existing literature in four main aspects. Firstly, in terms of research focus, previous ecotourism-related studies have predominantly concentrated on rural [41], agricultural [43], and forest [51] areas, with limited research undertaken on ecotourism within national parks. Thus, this paper adopts an evolutionary game approach when analyzing the coordination mechanisms of interests in the development process of ecotourism, using national parks as the context. Secondly, regarding the research content, while existing studies have primarily considered the involvement of local communities in ecotourism development [52,53], they have overlooked the significant role of tourists as important participants in promoting the sustainable development of ecotourism within national parks. Tourists serve as a crucial link to achieving potential economic, social and environmental benefits. Consequently, this paper places equal emphasis on the government, tourism enterprises, and tourists within the analytical framework in order to explore mutually beneficial relationships. Thirdly, there have been differences between the variable design of previous studies and the actual situation [43]. This paper adjusts the variables according to the actual situation through interviews and surveys, adopting a method that is more attuned to the realistic situation of the development of ecotourism in Wuyishan National Park. Finally, the existing literature on the evolutionary game of ecotourism has not been discussed in the simulation part based on specific field cases [41,47]. This paper conducts numerical simulation by consulting the case data of Fujian Provincial Forestry Bureau, news reports, and the relevant literature, and the simulation results can provide decision-making references for the ecotourism development of Wuyishan National Park. To some extent, the reliability of the results is enhanced by the decisions taken.
This paper discusses the conflicts of interest and coordination mechanisms of the tripartite stakeholders in the development of national park ecotourism. However, it does not take into account the strategic choices of other stakeholders such as community residents and non-governmental organizations, bringing certain limitations. In future research, community residents and non-governmental organizations should be included in the existing research framework of multi-agent behavioral choice for the development of national park ecotourism in order to further explore the impact of multi-agent behavior choice strategies on the development of national park ecotourism, with a view to seeking the best plan for the sustainable development of national parks. In addition, the case study selected for this paper was Wuyishan National Park, which is a “double heritage site” in the world, and did not fully compare with the other four national parks in China (Sanjiangyuan National Park, Giant Panda National Park, Northeast Tiger and Leopard National Park and Hainan Tropical Rainforest National Park). Therefore, future studies can further focus on the comparative analysis of the evolutionary game paths of different stakeholders in the development process of ecotourism in the first batch of different national parks in China and summarize the common development paths and countermeasures for ecotourism development in national parks.
7. Conclusions
Ecotourism in national parks involves multiple stakeholders and requires good coordination and incentive mechanisms. This paper constructs a tripartite evolutionary game model, involving local governments, tourism enterprises, and tourists, to analyze the stability of the parties’ evolutionary strategies, the stability of the game system’s equilibrium strategy combination, and the influence of key variables on the strategic evolution and stability results. The validity of the evolutionary game process and results is tested using simulation analysis, with Wuyishan National Park taken as an example. The main conclusions and recommendations are as follows:
(1) The sustainable development of national park ecotourism requires the collaborative participation of multiple stakeholders, and the three stakeholder groups will influence each other’s strategy selection during the game process. The three stakeholders will eventually reach the ideal state (supervise, implement high-level services, and participate in ecotourism) if the following three constraints are met: (i) The reputation and other social benefits for the government brought by tourists when they experience high-level local tourism services is greater than the sum of the supervision cost and subsidies paid by the government. (ii) The sum of government subsidies and profits obtained by tourism enterprises offering a high level of tourism services is greater than the difference between profits by and government fines issued to enterprises offering a low level of tourism services. (iii) The utility of tourists participating in ecotourism in national parks with a high-level of tourism services is greater than the utility of tourists choosing to spend their time elsewhere.
(2) The government can effectively promote the evolution of tourism enterprises and tourists towards the direction of “implementing high-level services” and “participating in ecotourism”, respectively, through direct subsidy policies. However, different amounts of government subsidies have little impact on the speed at which tourism enterprises and tourists reach a stable state, and excessive subsidy expenditure does not promote the government itself. Instead, it will slow the industry’s evolution to a stable state.
(3) The economic benefits obtained by tourism enterprises from adopting high-level services have the most obvious impacts on tourism enterprises themselves, while their influence on local governments and tourists is weak. Low, medium, and high economic returns can make the tripartite game realize the ideal equilibrium state (supervise, implement high-level services, and participate in ecotourism). When the economic benefits are higher, tourism enterprises evolve to a stable state faster, but the government evolves more slowly.
(4) The utilities obtained by tourists who participate in national park ecotourism and experience high-level services can actively promote the steady evolution of the system towards the ideal equilibrium (supervise, implement high-level services, and participate in ecotourism). The higher the utilities are, the faster the evolution speed will be. However, when tourists choose to go elsewhere to obtain more utilities, the tripartite game players find it difficult to reach a stable state, leaving the local government and tourism enterprises in a state of repeated fluctuations in strategic choices, while tourists turn to the strategy of “not participating in ecotourism”.
Based on the research conclusions presented, promoting the sustainable development of ecotourism in national parks requires coordination and efforts from all three parties involved. Thus, this paper offers suggestions for improvement from the perspectives of the local government, tourism enterprises, and tourists.
(1) Local governments play a critical role in the development of ecotourism in national parks. Therefore, these actors should leverage their functions to introduce relevant laws, regulations, and management systems that strengthen the supervision and punishment of stakeholders. Additionally, appropriate financial subsidies should be set up to support and provide preferential treatment to tourism enterprises in order to promote development efforts and service improvement. The government should take a leading role in enhancing people’s awareness of ecological environment protection through publicity and education to boost citizen participation in ecological tourism. This contribution will help to realize the mutual benefits of environmental protection and tourism development in national parks.
(2) Tourism enterprises are responsible for providing ecotourism services in national parks. Hence, they should actively respond to government regulations and improve their awareness of environmental protection responsibility and service quality. They should fulfill their main responsibility of tourism service quality by building high-quality and affordable tourism service brands and promoting innovation in enterprise services. They should also coordinate the interest relationships between tourist attractions, star hotels, travel agencies, and franchise operators. By building a scientific and reasonable supervision system and carrying out quality monitoring and evaluation, tourism enterprises can implement a new credit-based supervision mechanism in national parks. Finally, they should boost tourism consumption by building a natural education and interpretation system for national parks and providing natural experience projects, including forest health, recreation stations, woodland walks, and forest fun gardens.
(3) Tourists play an important role in the strategic choices of local governments and tourism enterprises. They should consciously improve their ecological consciousness, establish the concept of ecotourism consumption, and support the development of ecotourism in national parks. Tourists can use billboards, interpretation boards, tour guides, and staff reminders to learn about the developmental history, ecology, cultural characteristics, and man–land relationship of national parks. This knowledge will help them to standardize their behaviors, feel awe and care during the tourism process, and then actively practice the concept of environmental protection and participate in ecological civilizational activities.
Author Contributions
S.L. contributed to data collection, methodology, writing-original draft, formal analysis, and visualization. J.Y. contributed to conceptualization, validation, editing, and supervision. X.C. contributed to conceptualization, validation and supervision. Z.L. contributed to writing—review and editing. All authors have read and agreed to the published version of the manuscript.
Funding
This research received funding from the Major project of National Social Science Foundation of China (Grant No. 20&ZD092).
Data Availability Statement
The data used in the article comes from CCTV news (https://baijiahao.baidu.com/s?id=1699019669959780356&wfr=spider&for=pc, accessed on 2 December 2022), Xinhua net (https://baijiahao.baidu.com/s?id=1746437869586114990&wfr=spider&for=pc, accessed on 2 December 2022), Taihai net (http://www.taihainet.com/news/fujian/napi/2021-02-19/2480186.html, accessed on 2 December 2022), (https://baijiahao.baidu.com/s?id=1746180454636588790&wfr=spider&for=pc, accessed on 2 December 2022), Global Journey net (https://www.huanqiulcw.com/lvyoudaquan/guizhouqianhumiaozhailvyougonglue/69195.html, accessed on 2 December 2022), and relevant tourist data published by Fujian Provincial Forestry Administration and case data from relevant literature. Please refer to Section 5 for details.
Conflicts of Interest
The authors declare no conflict of interest.
References
- Cai, X.; Su, Y. From conflict to symbiosis: The institutional logic of national parks in the construction of ecological civilization. Manag. World 2022, 38, 131–154. [Google Scholar] [CrossRef]
- Wang, J.-H.Z. National parks in China: Parks for people or for the nation? Land Use Policy 2019, 81, 825–833. [Google Scholar] [CrossRef]
- Zhang, Z.; Cao, J.; Luo, Y. Tourism or recreation? Rethink the expression of the public use in Chinese national parks. J. Nat. Resour. 2019, 34, 1797–1806. [Google Scholar] [CrossRef]
- National Forestry and Grassland Administration. Notice of Forestry and Grass Administration on Issuing Interim Measures for National Park Management; Bulletin of The State Council of the People’s Republic of China; National Forestry and Grassland Administration: Beijing, China, 2022; pp. 52–56. [Google Scholar]
- Bessa, E.; Geffroy, B.; Gonçalves-De-Freitas, E. Tourism impact on stream fish measured with an ecological and a behavioural indicator. Aquat. Conserv. 2017, 27, 1281–1289. [Google Scholar] [CrossRef]
- Ma, Y.; Li, L. Tourism development of national parks: International experience and Chinese practice. Tour. Sci. 2017, 31, 33–50. [Google Scholar] [CrossRef]
- Peng, J.; Chen, X.; Wang, J. Applying relative deprivation theory to study the attitudes of host community residents towards tourism: The case study of the Zhangjiang National Park, China. Curr. Issues Tour. 2016, 19, 734–754. [Google Scholar] [CrossRef]
- Wang, B.; He, S.; Min, Q.; Yang, X. Conflict or coexistence? Synergies between nature conservation and traditional tea industry development in Wuyishan National Park, China. Front. Sustain. Food Syst. 2023, 6, 991847. [Google Scholar] [CrossRef]
- Liao, H.; Ning, Z. Practice summary and system advancement of zoning control of national parks. China Environ. Manag. 2021, 13, 64–70. [Google Scholar] [CrossRef]
- Liang, Y.; Yin, J.; Pan, B.; Lin, M.S.; Miller, L.; Taff, B.D.; Chi, G. Assessing the validity of mobile device data for estimating visitor demographics and visitation patterns in Yellowstone National Park. J. Environ. Manag. 2022, 317, 115410. [Google Scholar] [CrossRef]
- Barker, A.; Stockdale, A. Out of the wilderness? Achieving sustainable development within Scottish national parks. J. Environ. Manag. 2008, 88, 181–193. [Google Scholar] [CrossRef] [PubMed]
- Zhong, L.; Xiao, L. Path selection and research topics of national park system pilot construction in China. Resour. Sci. 2017, 39, 1–10. [Google Scholar] [CrossRef]
- Wang, H.-X.; Shao, J.-L.; Yu, S.-T.; Wang, Y.-H.; Feng, Y. Prospect of the development of Northeast Tiger and Leopard National Park based on the theory of rewilding: Comments on the thought and practice of wilderness protection. J. Nat. Resour. 2021, 36, 2955–2965. [Google Scholar] [CrossRef]
- Yu, H.; Chen, T.; Zhong, L.; Zhou, R. Study on functional zoning of Qianjiangyuan National Park system pilot area. Resour. Sci. 2017, 39, 20–29. [Google Scholar] [CrossRef][Green Version]
- Bell, J.; Stockdale, A. Evolving national park models: The emergence of an economic imperative and its effect on the contested nature of the ‘national’ park concept in Northern Ireland. Land Use Policy 2015, 49, 213–226. [Google Scholar] [CrossRef]
- Xiao, L.; Zhong, L.; Zhou, R.; Yu, H. Research progress and implications of national parks abroad in recent 30 years. Prog. Geogr. 2017, 36, 244–255. [Google Scholar] [CrossRef][Green Version]
- Slocum, S.L. Operationalising both sustainability and neo-liberalism in protected areas: Implications from the USA’s National Park Service’s evolving experiences and challenges. J. Sustain. Tour. 2017, 25, 1848–1864. [Google Scholar] [CrossRef]
- Getzner, M.; Švajda, J. Preferences of tourists with regard to changes of the landscape of the Tatra National Park in Slovakia. Land Use Policy 2015, 48, 107–119. [Google Scholar] [CrossRef]
- Cetin, M.; Sevik, H. Evaluating the recreation potential of Ilgaz Mountain National Park in Turkey. Environ. Monit. Assess. 2016, 188, 1–10. [Google Scholar] [CrossRef]
- Li, L.; Yang, A.; Wang, J. Evaluation and optimization of the perceived recreation value of forest parks in the context of national parks: A case study of Horseshoe Temple Forest Park. For. Resour. Manag. 2022, 164–171. [Google Scholar] [CrossRef]
- Cetinkaya, G.; Kambu, A.; Nakamura, K. Sustainable Development and Natural Resource Management: An Example from Köprülü Kanyon National Park, Turkey. Sustain. Dev. 2014, 22, 63–72. [Google Scholar] [CrossRef]
- Randle, E.J.; Hoye, R. Stakeholder perception of regulating commercial tourism in Victorian National Parks, Australia. Tour. Manag. 2016, 54, 138–149. [Google Scholar] [CrossRef]
- Hansen, A.J.; Piekielek, N.; Davis, C.; Haas, J.; Theobald, D.M.; Gross, J.E.; Monahan, W.B.; Olliff, T.; Running, S.W. Exposure of U.S. National Parks to land use and climate change 1900–2100. Ecol. Appl. 2014, 24, 484–502. [Google Scholar] [CrossRef]
- Cater, E.; Ceballos-Lascurain, H. Tourism, ecotourism, and protected areas: The state of nature-based tourism around the World and Guidelines for Its Development. Geogr. J. 1998, 164, 349–350. [Google Scholar] [CrossRef]
- Cobbinah, P.B. Contextualising the meaning of ecotourism. Tour. Manag. Perspect. 2015, 16, 179–189. [Google Scholar] [CrossRef]
- Wang, W.; Feng, L.; Zheng, T.; Liu, Y. The sustainability of ecotourism stakeholders in ecologically fragile areas: Implications for cleaner production. J. Clean. Prod. 2021, 279, 123606. [Google Scholar] [CrossRef]
- Baral, N. Assessing the temporal stability of the ecotourism evaluation scale: Testing the role and value of replication studies as a reliable management tool. J. Sustain. Tour. 2015, 23, 280–293. [Google Scholar] [CrossRef]
- Lee, T.H.; Jan, F.-H. Ecotourism behavior of nature-based tourists: An integrative framework. J. Travel Res. 2018, 57, 792–810. [Google Scholar] [CrossRef]
- Stronza, A.L.; Hunt, C.A.; Fitzgerald, L.A. Ecotourism for Conservation? Annu. Rev. Environ. Resour. 2019, 44, 229–253. [Google Scholar] [CrossRef]
- Lee, T.H.; Jan, F.-H.; Chen, J.-C. Influence analysis of interpretation services on ecotourism behavior for wildlife tourists. J. Sustain. Tour. 2021, 31, 1233–1251. [Google Scholar] [CrossRef]
- Lee, J.-H. Conflict mapping toward ecotourism facility foundation using spatial Q methodology. Tour. Manag. 2019, 72, 69–77. [Google Scholar] [CrossRef]
- Freemann, R.E. Strategic Management: A Stakeholder Approach; Cambridge University Press: Cambridge, UK, 1984; Volume 25. [Google Scholar]
- Friedman, A.L.; Miles, S. Developing Stakeholder Theory. J. Manag. Stud. 2002, 39, 1–21. [Google Scholar] [CrossRef]
- He, P.; He, Y.; Xu, F. Evolutionary analysis of sustainable tourism. Ann. Tour. Res. 2018, 69, 76–89. [Google Scholar] [CrossRef]
- Do Valle, P.O.; Assaker, G. Using Partial Least Squares Structural Equation Modeling in Tourism Research: A review of past research and recommendations for future applications. J. Travel Res. 2016, 55, 695–708. [Google Scholar] [CrossRef]
- Liu, Y.; Suk, S. Coupling and Coordinating Relationship between Tourism Economy and Ecological Environment—A Case Study of Nagasaki Prefecture, Japan. Int. J. Environ. Res. Public Health 2021, 18, 12818. [Google Scholar] [CrossRef] [PubMed]
- Friedman, D. On economic applications of evolutionary game theory. J. Evol. Econ. 1998, 8, 15–43. [Google Scholar] [CrossRef]
- Wondirad, A.; Tolkach, D.; King, B.J.T.M. Stakeholder collaboration as a major factor for sustainable ecotourism development in developing countries. Tour. Manag. 2019, 78, 104024. [Google Scholar] [CrossRef]
- Todd, L.; Leask, A.; Ensor, J. Understanding primary stakeholders’ multiple roles in hallmark event tourism management. Tour. Manag. 2017, 59, 494–509. [Google Scholar] [CrossRef]
- Huang, X.; Hu, Z.; Fu, C.; Yu, D. Evolution game analysis of major stakeholders in ecotourism. Eco-Economy 2015, 31, 142–146, 171. [Google Scholar] [CrossRef]
- Sun, K.; Xing, Z.; Cao, X.; Li, W. The Regime of Rural Ecotourism Stakeholders in Poverty-Stricken Areas of China: Implications for Rural Revitalization. Int. J. Environ. Res. Public Health 2021, 18, 9690. [Google Scholar] [CrossRef]
- Zhang, Y.; Deng, H.; Wang, L. Study on the mechanism of interest linkage and value creation in tourism development in ecologically fragile areas from the perspective of multiple participants. Tour. Sci. 2022, 36, 56–74. [Google Scholar] [CrossRef]
- Zhang, Y.; Zhang, Y. Research on development model of agricultural ecotourism based on evolutionary game theory. Econ. Probl. 2022, 111–119. [Google Scholar] [CrossRef]
- Li, B.; Li, S.; Zhu, Y. Study on the Positioning and Benefits of Ecotourism in National Parks in China. Ecol. Econ. 2021, 37, 111–115. [Google Scholar]
- Xu, N.; Li, Y. Evolution game analysis in the construction of national parks based on the public value perspective. For. Econ. 2018, 40, 10–16, 32. [Google Scholar] [CrossRef]
- Yang, G.; Yang, H.; Shi, Y.; Zhang, H. Study on the development path of Three Gorges National Park based on evolutionary game. For. Econ. 2019, 41, 40–46. [Google Scholar] [CrossRef]
- Meng, J.; Long, Y.; Lefeng, S. Stakeholders’ evolutionary relationship analysis of China’s national park ecotourism development. J. Environ. Manag. 2022, 316, 115188. [Google Scholar] [CrossRef]
- Thomas-Francois, K.; von Massow, M.; Joppe, M. Service-oriented, sustainable, local food value chain—A case study. Ann. Tour. Res. 2017, 65, 83–96. [Google Scholar] [CrossRef]
- Stykel, T. Stability and inertia theorems for generalized Lyapunov equations. Linear Algebra Appl. 2002, 355, 297–314. [Google Scholar] [CrossRef]
- Liu, Q. Study on Valuation of Recreation Resources and Ecological Compensation of Tourism in Wuyishan National Park. Master’s Thesis, Fujian Normal University, Fuzhou, China, 2020. [Google Scholar] [CrossRef]
- Bu, Y.; Wang, E.; Yu, Y. Analysis on asymptotic stabilization of eco-compensation program for forest ecotourism stakeholders. Environ. Sci. Pollut. Res. 2021, 28, 29304–29320. [Google Scholar] [CrossRef]
- Salman, A.; Jaafar, M.; Mohamad, D.; Malik, S. Ecotourism development in Penang Hill: A multi-stakeholder perspective towards achieving environmental sustainability. Environ. Sci. Pollut. Res. 2021, 28, 42945–42958. [Google Scholar] [CrossRef]
- Sun, Y.; Liu, B.; Fan, J.; Qiao, Q. The multi-player evolutionary game analysis for the protective development of ecotourism. Environ. Sci. Policy 2021, 126, 111–121. [Google Scholar] [CrossRef]
Disclaimer/Publisher’s Note: The statements, opinions and data contained in all publications are solely those of the individual author(s) and contributor(s) and not of MDPI and/or the editor(s). MDPI and/or the editor(s) disclaim responsibility for any injury to people or property resulting from any ideas, methods, instructions or products referred to in the content. |
© 2023 by the authors. Licensee MDPI, Basel, Switzerland. This article is an open access article distributed under the terms and conditions of the Creative Commons Attribution (CC BY) license (https://creativecommons.org/licenses/by/4.0/).








