Abstract
Urban parks are the main place for physical activities, generating numerous benefits to enhance human well-being. Many studies have investigated the impacts of landscape features on park visitation but ignored their seasonal and diurnal variations. Taking the Hunan Martyr Park in China as an example, this study aims to assess the seasonal and diurnal variations in the impacts of landscape features on visitation density. We quantified visitation density for 109 activity zones for both daytime and nighttime in summer and winter and investigated the impacts of landscape features of the activity zone and the surrounding environments on visitation density based on 16 quantitative indicators. The results show that: (1) The impacts of ground condition, connection to water, distance to park entrances, and distance to stores were consistent in different periods. Paved activity zones, zones close to water, zones further away from the park entrances, and zones closer to the stores had significantly higher visitation density. (2) Shading degree, connected pathway, and distance to toilets had contrasting impacts between summer and winter. Zones with a higher shading degree attracted more visitors in summer and deterred visitors in winter. Zones with fewer pathways connected and zones farther away from toilets had higher visitation density in summer but not in winter. (3) Shading degree, number of trees, presence of facilities (e.g., benches, tables, pavilion, and light devices), and connected pathway had contrasting impacts between daytime and nighttime. Zones with a high shading degree, zones with benches and pavilions, and zones without trees had higher visitation density in the daytime. Zones with light devices, zones with more connected pathways, and zones without tables had higher visitation density at nighttime. These findings highlighted the seasonal and diurnal variation of the impacts of landscape features on park visitation and can help to improve urban park design, especially for cities with hot summers and cold winters.
1. Introduction
Urban parks mostly covered by vegetation and water are the major natural components of the urban ecosystem. They provide numerous ecosystem services and are strongly associated with residents’ health and human well-being [1,2,3]. Visiting parks can increase physical activity [4,5], promote social interaction [6,7], enhance positive emotions [8], and improve visitors’ psychological health [9,10]. Promoting park visitation (i.e., visitation density) is, therefore, critical to public health and urban sustainability. The visitation to urban parks (for example, frequency and duration) is highly related to the personal and socioeconomic characteristics of the residents [11,12]; however, landscape features of the park also play a significant “pull” or “refuse” effects.
Previous studies showed that visitation density varied significantly among parks and is highly related to the park characteristics and the surrounding environment of the park [13]. Firstly, park size and park type matter. For example, larger parks usually host more visitors than smaller ones but may be not related to higher visitation density [14]. A comprehensive park usually provides more recreation opportunities than a community park [15]. Secondly, landscape features in the park impact the visitations. For example, park greenery and tree coverage usually increase visitation density [16,17,18]. Parks with high vitality usually have diversified facilities, for example, sports fitness [19], recreational facilities [7,20], and amenities [21]. Landscape features also indirectly impact visitation density by changing the visitors’ perception of safety, especially for women [22]. Thirdly, the surrounding environment of the park also impacts visitation density. Parks located in high-density areas usually have more visitation and parks with better accessibility can usually attract more visitors [23,24].
Visitors within the park are not uniformly distributed but also show significant spatial heterogeneity. Investigating the spatial heterogeneity of visitation density within the park has received increasing concern as the findings are a prerequisite for both designing new parks and revitalizing old parks. The size of the activity zone is a basic indicator [25,26,27]. Facilities within the activity zone are important factors when visitors decide to stay or leave [27]. For example, a study in Zhengzhou, China showed that areas with more service facilities had higher spatial vitality (e.g., visitation density) [28]. The shaded areas provided either by trees or buildings usually have more visitors in summer [27,29]. People prefer well-paved areas for recreational activities [30,31]. Additionally, the surrounding environment of the activity zones also significantly impacts visitation density [32,33]. For example, zones close to shopping malls, retail shops, and water features usually have higher visitation density [24].
Thermal comfort is an important factor affecting human outdoor physical activities [29,34]. Therefore, the effects of landscape features on visitation density may be mediated by climate. On hot days, people prefer zones with less heat stress, for example, the areas under trees, covered by shelters, or shaded by buildings [29,34,35]. On cold days, people desire zones that can be directly heated by the sunshine [36,37]. Areas with a higher sky view factor (SVF, a measure of how much sky can be seen from a certain point) are uncomfortable places for outdoor activities in summer but are favorable places in winter [38]. This raises a great challenge for effective planning and designing the activity zone to increase visitation density in different climate conditions, especially in cities with severely hot summers and extremely cold winters.
Taking the Hunan Martyr Park in Changsha, China, as an example, this study aims to investigate the consistency and inconsistency of the intra-city variation in visitation density and the related driving factors. Specifically, we tried to answer two questions: (1) What are the intra-park variations in visitation density in a hot summer and cold winter? (2) Are the impacts of landscape features on visitation density the same in these two seasons and in daytime and nighttime? We selected 109 activity zones with different landscape features measured by 16 indicators, observed the number of visitors for each activity zone, and investigated the impacts of landscape features on visitation density and their difference between summer and winter and between daytime and nighttime. The findings can extend our understanding of the impacts of landscape features on the intra-park variations in visitation density, which are valuable for park planning and management to promote park visitation in regions with hot summers and cold winters.
2. Study Area and Methods
2.1. Study Area
Changsha, the capital city of Hunan province, is located in southeastern China (Figure 1). It has a subtropical monsoon climate, with an annual average temperature of 17.50 °C (63.5 °F). The climate varies significantly between the four seasons. The summer is long and hot (more than 30 days with a temperature higher than 35 °C and an average maximum temperature of 28 °C), and the winter is very cold (more than 10 days with a temperature less than 4 °C and an average maximum temperature of 10 °C). The vegetation is dominated by subtropical evergreen broad-leaved forests. Changsha is the most populous city in Hunan province, hosting 10.06 million inhabitants and with an urbanization rate of 82.6% in 2020.
Figure 1.
Location of the study area (A), map of the Hunan Martyr Park (B), and photos of four representative activity zones in summer and winter (C).
We conducted our study in the Hunan Martyr Park, the largest urban park in Changsha. It has a total area of 153.3 ha with 62.42 ha covered by water. Open in 1951, Hunan Martyr Park is designed not only for daily recreation but also for memorializing the martyrs who devoted their lives to the Chinese people’s liberation. The park has a green cover ratio of 98.5% with more than 326 species and more than 150 thousand trees. It was awarded the “National Key Park” by the Ministry of Housing and Urban–Rural Development of China in 2009. Hunan Martyr Park hosts more than 7 million visitors each year and during the National Holiday, the average daily visitors can reach 44 thousand.
2.2. Characterizing Landscape Feature
We selected 109 activity zones with diverse landscape features. The activity zones had an average size of 0.03 ha, ranging from 0.0003 to 0.25 ha. Following previous studies [31] and several environmental assessment tools [39,40,41,42], we measured the landscape features of the activity zones using 16 variables (Table 1). Among them, 10 variables characterized landscape features of the activity zone itself (i.e., ground cover, shading degree, and presence of facilities), and 6 variables measured the surrounding environment of the activity zone (i.e., presence of water, connected pathway, and distance to infrastructure, such as toilets). Table 1 shows the detailed description and measurement of these variables.
Table 1.
Description of the variables and the number of corresponding activity zones.
2.3. Measuring Visitation Density
We counted the number of visitors for each activity zone through field observation. The observations were conducted over four sunny days in a hot summer (two weekdays and two weekend days, i.e., 29 July to 1 August 2021) and three sunny days in a cold winter (three weekdays, i.e., 11 and 13 January 2022). It should be noted that the COVID-19 pandemic occurred in Changsha on 31 July and visitation to the park was not encouraged after that. The weather conditions of the observation days are listed in Table 2.
Table 2.
The climate during the experimental observation period.
The observation period in summer included eight hours (6:30 a.m.–11:30 a.m. and 4:30 p.m.–7:30 p.m.) in the daytime and two hours at nighttime (7:30 p.m.–9:30 p.m.). The period between 12:30 a.m. and 4:30 p.m. was not considered because it is so hot that very few people visit the park. In winter, the observation was conducted in three periods. (i.e., 7:30 a.m.–12:30 a.m. and 2:30 p.m.–5:30 p.m. for daytime and 6:30 p.m.–8:30 p.m. for nighttime).
We calculated the visitation density in each activity zone during the daytime and nighttime, respectively, as in the following Equation (1):
where D is the visitation density, ND is the number of visitors, and AZ is the size of the activity zone.
2.4. Statistical Analysis
As visitation density is not normally distributed, we conducted the Kruskal–Wallis H-test to check whether visitation densities are significantly different among activity zones with different landscape features (for example zones with and without trees). A post hoc test was applied to further check the impacts of landscape features on visitation density. All the statistical analyses were performed using the R software, version 4.1.2.
3. Results
3.1. Spatiotemporal Variations in the Visitation Density
Visitation density showed strong spatiotemporal variation in the Hunan Martyr Park. The average summer daytime visitation density was 4388 people per ha (p/ha), ranging from 15 to 62,083 p/ha with a standard deviation of 7641 p/ha. The average winter daytime visitation density was 5902 p/ha, ranging from 0 to 83,333 p/ha, with a standard deviation of 10,037 p/ha. The average summer nighttime visitation density was 758 p/ha, ranging from 0 to 17,083 p/ha, with a standard deviation of 1808 p/ha. The average winter nighttime visitation density was 410 p/ha, ranging from 0 to 6337 p/ha, with a standard deviation of 763 p/ha (Table 3). Figure 2 shows the spatial pattern of visitation density in different periods. The visitation densities are randomly distributed with insignificant and low values of Moran’s I (Table 3).
Table 3.
Descriptive statistics of visitation density (p/ha) in four time periods.
Figure 2.
Distribution of visitation density (p/ha): summer daytime (a), winter daytime (b), summer nighttime (c), and winter nighttime (d). Daytime share the same legend and nighttime share the same legend, respectively.
3.2. Characteristics of Landscape Features
Landscape features of the 109 activity zones show strong variations in terms of tree cover, ground cover, facilities, and surrounding environments. The detailed information can be found in Table 1.
3.3. Impacts of Landscape Features on Visitation Density
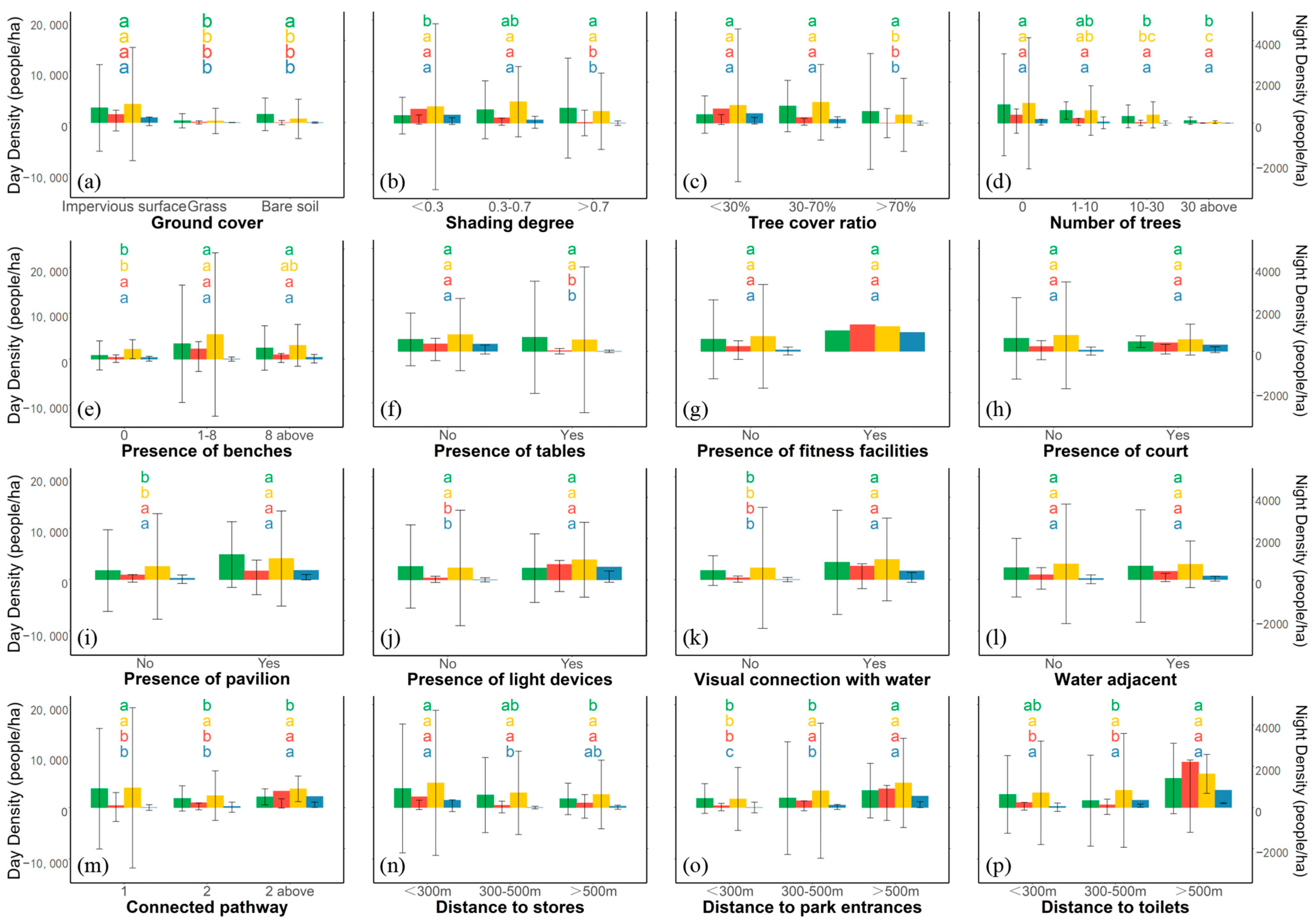
Zones with paved surfaces had significantly higher visitation density than zones covered by grass and bare land in all periods (Table 4 and Figure 3a). Visitation density in zones with a shading degree higher than 0.7 was significantly higher than that in zones with a shading degree lower than 0.3 in summer daytime, but there was no significant difference in winter daytime. Significantly higher visitation density was observed for activity zones with a tree cover ratio of less than 30% in winter daytime, but significantly higher visitation density was not observed for activity zones with a tree cover ratio high than 70% in summer daytime. During the nighttime in both seasons, significantly higher visitation density was observed for activity zones with a shading degree and a tree cover ratio of less than 30% (Table 4 and Figure 3b,c).
Table 4.
Kruskal–Wallis H-test of visitation density.
Figure 3.
Kruskal–Wallis H-test (K samples) multiple comparisons analysis of visitation density during four time periods (n = 109), respectively. Green indicates summer daytime, red indicates summer nighttime, yellow indicates winter daytime, and blue indicates winter nighttime. Different letters indicate significant differences (p < 0.05). (a) indicates ground cover, (b) indicates shading degree, (c) indicates tree cover ratio, (d) indicates number of trees, (e) indicates presence of benches, (f) indicates presence of tables, (g) indicates presence of fitness facilities, (h) indicates presence of court, (i) presence of pavilion, (j) indicates presence of light devices, (k) indicates visual connection with water, (l) indicates water adjacent, (m) indicates connected pathway, (n) indicates distance to stores, (o) indicates distance to park entrances, (p) indicates distance to toilets.
Activity zones without trees showed significantly higher visitation density during the daytime but not during the nighttime in both seasons (Table 4 and Figure 3d). Zones with benches and pavilions also showed significantly higher visitation density during the daytime but not during nighttime in both seasons (Table 4 and Figure 3e,i). Zones without a table and with light devices had significantly higher visitation density during nighttime but not during the daytime in both seasons (Table 4 and Figure 3f,j).
Significantly higher visitation density was observed for activity zones that have a visual connection to water in all periods (Table 4 and Figure 3k). Activity zones adjacent to one pathway showed significantly higher visitation density in summer daytime. Activity zones adjacent to more than two pathways showed significantly higher visitation density during nighttime in both seasons (Table 4 and Figure 3m). Visitation density in zones more than 500 m from the park entrances was significantly higher than that in zones less than 300 m during daytime and nighttime in both seasons (Table 4 and Figure 3o). Significantly higher visitation density was observed for activity zones more than 500 m from the toilets during daytime and nighttime in summer but not in winter (Table 4 and Figure 3p). Zones more than 500 m from the stores showed significantly higher visitation density in summer daytime and winter nighttime (Table 4 and Figure 3n).
4. Discussion
4.1. Landscape Features in the Activity Zone Impact Visitation Density
4.1.1. Utilization Ability Impacts Visitation Density
We found that paved activity zones had significantly higher visitation density than unpaved zones (i.e., zones covered by grass and bare soil) for both seasons. This is consistent with previous findings that visitors prefer paved pathways compared to unpaved pathways [31]. The paved surfaces are specifically developed for recreational activities with special materials and are very suitable for physical activities. The undeveloped bare land is only spontaneously used by a limited number of visitors. Grassland is usually a popular space for recreation in Western countries [44,45]. However, we obtained very low visitation density for zones covered by grass. This is mainly because grassland in China is usually developed for scenery and people are not allowed to enter for recreation [46].
Significantly higher visitation densities were observed for zones without trees in both seasons. Specifically, the visitation density decreases faster with the increase in tree density, especially during the daytime. This is consistent with the findings that activity zones with high tree density are associated with lower physical activity diversity [18]. The presence of trees decreases the utilization ability of the activity zone and cannot support physical activities with a larger number of people, for example, Tai Chi, chorus, and dancing.
4.1.2. Shading Degree Impacts Visitation Density
The impact of shading degree on daytime visitation density showed seasonal differences. Zones with a higher shading degree showed significantly higher summer daytime visitation density. This is because the shaded areas are usually cooler, with better thermal comfort, and can attract more visitors in the hot summer [29]. Zones with a high shading degree deterred nighttime visitors in both seasons, showing lower visitation density than the less shaded zones. The possible reason may be that a higher shading degree decreases the visitors’ security perception in the evening.
The shading degree showed no significant impact on winter daytime visitation density. This is not consistent with our expectation that people prefer outdoor spaces with more sunshine and the unshaded zones should have more visitations in the cold winter [37]. In this study, the shading degree is determined by either the tree canopy or manmade shelters, such as pavilions. Spaces under the tree canopies and pavilions are not comfortable spaces in winter from the perspective of thermal comfort. However, the pavilions can attract visitors, as they are important spaces for recreational activities, for example, playing cards, playing chess, resting, and chatting. In other words, the shade generated by the tree canopy deters visitors, and the shade generated by pavilions attracts visitors. The total effects of shading degree on visitation density are not significant.
Surprisingly, we did not find a significant impact of tree cover ratio on summer daytime visitation density. This is contradictory to our knowledge that a higher tree cover ratio can provide more shade and attract more visitation during the hotter summer daytime. In our study, the effect of the tree cover ratio on visitation density was distorted by the shade generated by the pavilion. Five of the studied activity zones had a tree cover ratio of zero but had pavilions that served many visitors. If these five zones are excluded, zones with a higher tree cover ratio showed a significantly higher visitation density in summer and lower visitation density in winter (Figure 4). This can also be supported by the photos of site D in summer and winter, as shown in Figure 1.
Figure 4.
Kruskal–Wallis H-test (K samples) multiple comparisons analysis of visitation density during summer and winter daytime (n = 104). Green indicates summer daytime, and yellow indicates summer nighttime. Different letters indicate significant differences (p < 0.05).
4.1.3. Facilities Impact Visitation Density
The presence of benches significantly increased daytime visitation density in both seasons. The daytime physical activities are usually intensive with high energy costs, and benches are important infrastructure for visitors to recover. However, nighttime visitation density showed no significant differences among zones with different provisions of benches in both seasons. This may be caused by different types of physical activities between daytime and nighttime. Most low-intensity activities, such as playing cards, sitting and chatting, playing musical instruments, and singing require benches and are mainly performed during the daytime. During the nighttime, physical activities are usually highly intensive and do not require benches, such as running, walking, and square dancing. In addition, the daytime is usually longer, and visitors have enough time to sit down.
There was no significant difference in daytime visitation density between zones with and without tables in both seasons; however, zones with tables showed lower visitation density than zones without tables during the nighttime in both seasons. Tables in the park are mainly used for activities, such as playing cards and picnics. These activities are not common during the nighttime compared with the daytime, as discussed in the previous paragraph.
Light devices significantly increased nighttime visitation density in both seasons. This is consistent with our expectation that people prefer zones with light for both physical and psychological safety [26].
4.2. The Surrounding Environment of the Activity Zone Impacts Visitation Density
Zones with less connected pathways showed higher summer daytime visitation density but there was no significant difference for winter daytime. During the warmer summer, people may undertake more intensive physical activities and usually require quiet places to rest, while during the colder winter, people have less chance to participate in physical activities and want to increase their connection with others instead. Increasing the connected pathways can significantly increase nighttime visitation density in both seasons. This is mainly caused by the visitors’ safety perception.
The visual connection to water showed significantly higher visitation density for all four time periods. This is consistent with previous findings [31]. Water bodies provide many psychological benefits, such as reducing stress and restoring attention [47].
Activity zones closer to the toilets attracted fewer visitors in summer. This contrasts with our expectation that people prefer zones with better infrastructure, such as the toilet. A possible reason is that during the hot summer, the toilets send out bad smells which push the visitors away from activity zones close to the toilets. Visitation density was always significantly lower in zones close to the park entrances, indicating that people prefer to stay in space further away from the park boundary. This is understandable, as the edge of the park usually suffers from stronger environmental stress, such as higher temperature, higher air pollution, and higher noise levels. There was a consistent pull effect of shopping stores on visitors in both the daytime and nighttime in summer and in winter.
4.3. Management Implications
The obtained spatiotemporal variation in visitation density and the driving factors have important implications for urban park planning and management to enhance the recreation service.
Firstly, paved zones showed significantly higher visitation density, suggesting that paved zones are highly recommended in the park to increase the vitality. However, it should be noted that the paved zones may generate many adverse effects on the health of vegetation and decrease ecosystem services [48,49]. The paved surfaces (including numbers and size) in the park should be carefully designed to balance the benefits of recreation and the adverse effects on vegetation. A zoning-based solution, including preserved core zones and surrounding recreational zones, has been proposed to solve the trade-off between human recreation and biodiversity conservation in urban parks [50]. This solution may be valuable to solve the trade-off between recreation demands and vegetation conservation. Another solution is paving the zones with permeable or semi-permeable materials to decrease the adverse impacts to the vegetation and environment.
Second, the negative effects of tree density on visitation density inform us that more trees cannot increase visitation density at the activity zone level. However, we also find that a higher tree cover ratio can increase visitation density, especially in the hot summer daytime. This trade-off suggests to us the importance of the big trees which can provide high tree cover with low tree density.
Thirdly, the effects of tree cover ratio on visitation density show a trade-off between summer and winter that canopy cover increases visitation density in summer but decreases visitation density in winter. We suggest deciduous trees, especially big deciduous trees, in the activity zone to create comfort thermal environment in Changsha and cities with similar climates (hot summer and cold winter).
Fourthly, a waterbody is highly recommended in the park, as the related variables (e.g., visual connection with water) are significantly related to high visitation density. We alert the designer that safety should be given special attention for the space around the waterbody. Setting safety warning signs and adding ecological barriers around waterbodies can improve safety.
Fifthly, types of facilities are of great importance to increase visitation density. Enough benches should be provided at the proper place to facilitate recreational activities. Light devices are required to increase park usage during the nighttime. The negative relationship between visitation density and distance to the toilets indicates that not only the provision of infrastructure but also the maintenance and management of infrastructure significantly impact visitation density. Therefore, the environment should be well-cleaned, and the infrastructure should be carefully maintained.
5. Conclusions
This study uncovered the seasonal and diurnal variations in the landscape feature impacts on visitation density at the activity zone level in the Hunan Martyr Park of Changsha, China, with a hot summer and a cold winter. We observed that well-paved activity zones, close to water and further away from park entrances, always had higher visitation density in all periods (i.e., summer daytime, summer nighttime, winter daytime, and winter nighttime). Shading degree, connected pathways, and distance to toilets had contrasting impacts between summer and winter. Zones with s higher shading degree attracted more visitors in summer but deterred visitors in winter. Zones with fewer connected pathways and zones farther away from toilets had higher visitation density in summer but not in winter. Shading degree, number of trees, presence of specific facilities (e.g., benches, tables, pavilions, and light devices), and connected pathways had contrasting impacts between daytime and nighttime. Zones with a high shading degree attracted visitors in daytime but deterred visitors in nighttime. Zones with benches and pavilions and zones without trees have higher visitation density in the daytime but not at nighttime. Zones with light device, zones with more connected pathways, and zones without tables had higher visitation density at nighttime but not in the daytime.
We raised the following suggestions to increase visitation density. First, providing well-paved zones but carefully considering vegetation conservation is important. The zoning-based solution, including preserved core zones and surrounding recreational zones [50], can be an effective strategy. Using permeable or semi-permeable materials to pave the activity zones is another solution. Second, conserving big trees can benefit park usage. Third, planting deciduous trees can create comfortable thermal environments in both summer and winter. Fourth, increasing waterbodies can increase visitation density. Fifth, the environment should be well-cleaned, and the infrastructure should be carefully maintained.
The methodology used in this study can be applied to other parks in different cities and climates, enabling result comparisons and facilitating evidence-based decision-making for park planners and researchers.
Author Contributions
Conceptualization, D.G. and Y.P.; methodology, Y.P.; software, Z.C.; validation, Y.P. and X.L.; formal analysis, Y.P.; investigation, Y.P. and M.X.; resources, D.S.; data curation, C.W.; writing—original draft preparation, Y.P.; writing—review and editing, X.L.; visualization, Y.P.; supervision, X.Y.; project administration, X.Y. All authors have read and agreed to the published version of the manuscript.
Funding
This research was funded by the Forestry Bureau for Industrialization management of Hunan Province (2130221).
Data Availability Statement
Not applicable.
Acknowledgments
We would like to thank the students who participated in the field observation. We sincerely thank the editor and three anonymous reviewers for their constructive comments and suggestions.
Conflicts of Interest
The authors declare no conflict of interest.
References
- Ayala-Azcárraga, C.; Diaz, D.; Zambrano, L. Characteristics of urban parks and their relation to user well-being. Landsc. Urban Plan. 2019, 189, 27–35. [Google Scholar] [CrossRef]
- Du, H.; Zhou, F.; Cai, Y.; Li, C.; Xu, Y. Research on public health and well-being associated to the vegetation configuration of urban green space, a case study of Shanghai, China. Urban For. Urban Green. 2021, 59, 126990. [Google Scholar] [CrossRef]
- Basu, S.; Nagendra, H. Perceptions of park visitors on access to urban parks and benefits of green spaces. Urban For. Urban Green. 2021, 57, 126959. [Google Scholar] [CrossRef]
- Zhang, W.; Yang, J.; Ma, L.; Huang, C. Factors affecting the use of urban green spaces for physical activities: Views of young urban residents in Beijing. Urban For. Urban Green. 2015, 14, 851–857. [Google Scholar] [CrossRef]
- De Jalón, S.G.; Chiabai, A.; Quiroga, S.; Suárez, C.; Ščasný, M.; Máca, V.; Zvěřinová, I.; Marques, S.; Craveiro, D.; Taylor, T. The influence of urban greenspaces on people’s physical activity: A population-based study in Spain. Landsc. Urban Plan. 2021, 215, 104229. [Google Scholar] [CrossRef]
- Veitch, J.; Ball, K.; Rivera, E.; Loh, V.; Deforche, B.; Best, K.; Timperio, A. What entices older adults to parks? Identification of park features that encourage park visitation, physical activity, and social interaction. Landsc. Urban Plan. 2022, 217, 104254. [Google Scholar] [CrossRef]
- Veitch, J.; Ball, K.; Flowers, E.; Deforche, B.; Timperio, A. Children’s ratings of park features that encourage park visitation, physical activity and social interaction. Urban For. Urban Green. 2021, 58, 126963. [Google Scholar] [CrossRef]
- Kong, L.; Liu, Z.; Pan, X.; Wang, Y.; Guo, X.; Wu, J. How do different types and landscape attributes of urban parks affect visitors’ positive emotions? Landsc. Urban Plan. 2022, 226, 104482. [Google Scholar] [CrossRef]
- Zhu, W.; Wang, J.; Qin, B. Quantity or quality? Exploring the association between public open space and mental health in urban China. Landsc. Urban Plan. 2021, 213, 104128. [Google Scholar] [CrossRef]
- Akpinar, A.; Barbosa-Leiker, C.; Brooks, K.R. Does green space matter? Exploring relationships between green space type and health indicators. Urban For. Urban Green. 2016, 20, 407–418. [Google Scholar] [CrossRef]
- Veitch, J.; Carver, A.; Abbott, G.; Giles-Corti, B.; Timperio, A.; Salmon, J. How active are people in metropolitan parks? An observational study of park visitation in Australia. BMC Public Health 2015, 15, 610. [Google Scholar] [CrossRef] [PubMed]
- Pinto, L.; Ferreira, C.S.S.; Pereira, P. Environmental and socioeconomic factors influencing the use of urban green spaces in Coimbra (Portugal). Sci. Total Environ. 2021, 792, 148293. [Google Scholar] [CrossRef] [PubMed]
- Zhang, S.; Zhou, W. Recreational visits to urban parks and factors affecting park visits: Evidence from geotagged social media data. Landsc. Urban Plan. 2018, 180, 27–35. [Google Scholar] [CrossRef]
- He, B.; Hu, J.; Liu, K.; Xue, J.; Ning, L.; Fan, J. Exploring Park Visit Variability Using Cell Phone Data in Shenzhen, China. Remote Sens. 2022, 14, 499. [Google Scholar] [CrossRef]
- Li, F.; Yao, N.; Liu, D.; Liu, W.; Sun, Y.; Cheng, W.; Li, X.; Wang, X.; Zhao, Y. Explore the recreational service of large urban parks and its influential factors in city clusters—Experiments from 11 cities in the Beijing-Tianjin-Hebei region. J. Clean. Prod. 2021, 314, 128261. [Google Scholar] [CrossRef]
- Yang, Y.; Lu, Y.; Yang, H.; Yang, L.; Gou, Z. Impact of the quality and quantity of eye-level greenery on park usage. Urban For. Urban Green. 2021, 60, 127061. [Google Scholar] [CrossRef]
- Feng, X.; Toms, R.; Astell-Burt, T. Association between green space, outdoor leisure time and physical activity. Urban For. Urban Green. 2021, 66, 127349. [Google Scholar] [CrossRef]
- Wang, M.; Qiu, M.; Chen, M.; Zhang, Y.; Zhang, S.; Wang, L. How does urban green space feature influence physical activity diversity in high-density built environment? An on-site observational study. Urban For. Urban Green. 2021, 62, 127129. [Google Scholar] [CrossRef]
- Chen, D.; Long, X.; Li, Z.; Liao, C.; Xie, C.; Che, S. Exploring the Determinants of Urban Green Space Utilization Based on Microblog Check-In Data in Shanghai, China. Forests 2021, 12, 1783. [Google Scholar] [CrossRef]
- Veitch, J.; Salmon, J.; Deforche, B.; Ghekiere, A.; Van Cauwenberg, J.; Bangay, S.; Timperio, A. Park attributes that encourage park visitation among adolescents: A conjoint analysis. Landsc. Urban Plan. 2017, 161, 52–58. [Google Scholar] [CrossRef]
- Grilli, G.; Mohan, G.; Curtis, J. Public park attributes, park visits, and associated health status. Landsc. Urban Plan. 2020, 199, 103814. [Google Scholar] [CrossRef]
- Talal, M.L.; Santelmann, M.V. Visitor access, use, and desired improvements in urban parks. Urban For. Urban Green. 2021, 63, 127216. [Google Scholar] [CrossRef]
- Donahue, M.L.; Keeler, B.L.; Wood, S.A.; Fisher, D.M.; Hamstead, Z.A.; McPhearson, T. Using social media to understand drivers of urban park visitation in the Twin Cities, MN. Landsc. Urban Plan. 2018, 175, 1–10. [Google Scholar] [CrossRef]
- Chuang, I.-T.; Benita, F.; Tunçer, B. Effects of urban park spatial characteristics on visitor density and diversity: A geolocated social media approach. Landsc. Urban Plan. 2022, 226, 104514. [Google Scholar] [CrossRef]
- Schipperijn, J.; Stigsdotter, U.K.; Randrup, T.B.; Troelsen, J. Influences on the use of urban green space—A case study in Odense, Denmark. Urban For. Urban Green. 2010, 9, 25–32. [Google Scholar] [CrossRef]
- Schipperijn, J.; Bentsen, P.; Troelsen, J.; Toftager, M.; Stigsdotter, U.K. Associations between physical activity and characteristics of urban green space. Urban For. Urban Green. 2013, 12, 109–116. [Google Scholar] [CrossRef]
- Chen, Y.; Liu, T.; Liu, W. Increasing the use of large-scale public open spaces: A case study of the North Central Axis Square in Shenzhen, China. Habitat Int. 2016, 53, 66–77. [Google Scholar] [CrossRef]
- Mu, B.; Liu, C.; Mu, T.; Xu, X.; Tian, G.; Zhang, Y.; Kim, G. Spatiotemporal fluctuations in urban park spatial vitality determined by on-site observation and behavior mapping: A case study of three parks in Zhengzhou City, China. Urban For. Urban Green. 2021, 64, 127246. [Google Scholar] [CrossRef]
- Niu, J.; Xiong, J.; Qin, H.; Hu, J.; Deng, J.; Han, G.; Yan, J. Influence of thermal comfort of green spaces on physical activity: Empirical study in an urban park in Chongqing, China. Build. Environ. 2022, 219, 109168. [Google Scholar] [CrossRef]
- Hamstead, Z.A.; Fisher, D.; Ilieva, R.T.; Wood, S.A.; McPhearson, T.; Kremer, P. Geolocated social media as a rapid indicator of park visitation and equitable park access. Comput. Environ. Urban Syst. 2018, 72, 38–50. [Google Scholar] [CrossRef]
- Zhai, Y.; Baran, P.K. Urban park pathway design characteristics and senior walking behavior. Urban For. Urban Green. 2017, 21, 60–73. [Google Scholar] [CrossRef]
- Fan, Z.; Duan, J.; Lu, Y.; Zou, W.; Lan, W. A geographical detector study on factors influencing urban park use in Nanjing, China. Urban For. Urban Green. 2021, 59, 126996. [Google Scholar] [CrossRef]
- Lyu, F.; Zhang, L. Using multi-source big data to understand the factors affecting urban park use in Wuhan. Urban For. Urban Green. 2019, 43, 126367. [Google Scholar] [CrossRef]
- Lin, T.-P.; Tsai, K.-T.; Liao, C.-C.; Huang, Y.-C. Effects of thermal comfort and adaptation on park attendance regarding different shading levels and activity types. Build. Environ. 2013, 59, 599–611. [Google Scholar] [CrossRef]
- Huang, J.; Zhou, C.; Zhuo, Y.; Xu, L.; Jiang, Y. Outdoor thermal environments and activities in open space: An experiment study in humid subtropical climates. Build. Environ. 2016, 103, 238–249. [Google Scholar] [CrossRef]
- Chen, L.; Wen, Y.; Zhang, L.; Xiang, W.-N. Studies of thermal comfort and space use in an urban park square in cool and cold seasons in Shanghai. Build. Environ. 2015, 94, 644–653. [Google Scholar] [CrossRef]
- Wei, D.; Yang, L.; Bao, Z.; Lu, Y.; Yang, H. Variations in outdoor thermal comfort in an urban park in the hot-summer and cold-winter region of China. Sustain. Cities Soc. 2022, 77, 103535. [Google Scholar] [CrossRef]
- Lin, T.-P.; Matzarakis, A.; Hwang, R.-L. Shading effect on long-term outdoor thermal comfort. Build. Environ. 2010, 45, 213–221. [Google Scholar] [CrossRef]
- Saelens, B.E.; Frank, L.D.; Auffrey, C.; Whitaker, R.C.; Burdette, H.L.; Colabianchi, N. Measuring Physical Environments of Parks and Playgrounds: EAPRS Instrument Development and Inter-Rater Reliability. J. Phys. Act. Health 2006, 3, S190–S207. [Google Scholar] [CrossRef]
- Kaczynski, A.T.; Stanis, S.A.; Besenyi, G.M. Development and testing of a community stakeholder park audit tool. Am. J. Prev. Med. 2012, 42, 242–249. [Google Scholar] [CrossRef]
- Lange, A.; Giles-Corti, B.; Broomhall, M.J.P. Quality of Public Open Space Tool (POST): Observers’ Manual; School of Population Health, University of Western Australia: Perth, Australia, 2004. [Google Scholar]
- Lee, R.E.; Booth, K.M.; Reese-Smith, J.Y.; Regan, G.; Howard, H.H. The Physical Activity Resource Assessment (PARA) instrument: Evaluating features, amenities and incivilities of physical activity resources in urban neighborhoods. Int. J. Behav. Nutr. Phys. Act. 2005, 2, 13. [Google Scholar] [CrossRef] [PubMed]
- Bedimo-Rung, A.L.; Gustat, J.; Tompkins, B.J.; Rice, J.; Thomson, J. Development of a Direct Observation Instrument to Measure Environmental Characteristics of Parks for Physical Activity. J. Phys. Act. Health 2006, 3, S176–S189. [Google Scholar] [CrossRef] [PubMed]
- Rivera, E.; Timperio, A.; Loh, V.H.Y.; Deforche, B.; Veitch, J. Adolescents’ perceptions of park characteristics that discourage park visitation. Urban For. Urban Green. 2022, 74, 127669. [Google Scholar] [CrossRef]
- Duan, Y.; Wagner, P.; Zhang, R.; Wulff, H.; Brehm, W. Physical activity areas in urban parks and their use by the elderly from two cities in China and Germany. Landsc. Urban Plan. 2018, 178, 261–269. [Google Scholar] [CrossRef]
- Yang, F.; Ignatieva, M.; Larsson, A.; Zhang, S.; Ni, N. Public perceptions and preferences regarding lawns and their alternatives in China: A case study of Xi’an. Urban For. Urban Green. 2019, 46, 126478. [Google Scholar] [CrossRef]
- White, M.; Smith, A.; Humphryes, K.; Pahl, S.; Snelling, D.; Depledge, M. Blue space: The importance of water for preference, affect, and restorativeness ratings of natural and built scenes. J. Environ. Psychol. 2010, 30, 482–493. [Google Scholar] [CrossRef]
- Hou, Y.; Ding, W.; Liu, C.; Li, K.; Cui, H.; Liu, B.; Chen, W. Influences of impervious surfaces on ecological risks and controlling strategies in rapidly urbanizing regions. Sci. Total Environ. 2022, 825, 153823. [Google Scholar] [CrossRef]
- Chen, Y.; Wang, X.; Jiang, B.; Wen, Z.; Yang, N.; Li, L. Tree survival and growth are impacted by increased surface temperature on paved land. Landsc. Urban Plan. 2017, 162, 68–79. [Google Scholar] [CrossRef]
- Wang, M.; Zhang, H.; Fan, S.; Hao, P.; Dong, L. A zoning-based solution for hierarchical forest patch mosaic in urban parks. Urban For. Urban Green. 2021, 65, 127352. [Google Scholar] [CrossRef]
Disclaimer/Publisher’s Note: The statements, opinions and data contained in all publications are solely those of the individual author(s) and contributor(s) and not of MDPI and/or the editor(s). MDPI and/or the editor(s) disclaim responsibility for any injury to people or property resulting from any ideas, methods, instructions or products referred to in the content. |
© 2023 by the authors. Licensee MDPI, Basel, Switzerland. This article is an open access article distributed under the terms and conditions of the Creative Commons Attribution (CC BY) license (https://creativecommons.org/licenses/by/4.0/).



