The Effect of Balanced N, P and K Fertilization on Fine Root Traits and Soil Properties in Sapindus mukorossi
Abstract
1. Introduction
2. Materials and Methods
2.1. Overview of the Trial Site
2.2. Experimental Design
2.3. Sampling and Analysis of Fine Roots
2.4. Soil Sampling and Analysis
2.5. Statistics and Analysis of Data
3. Results and Analysis
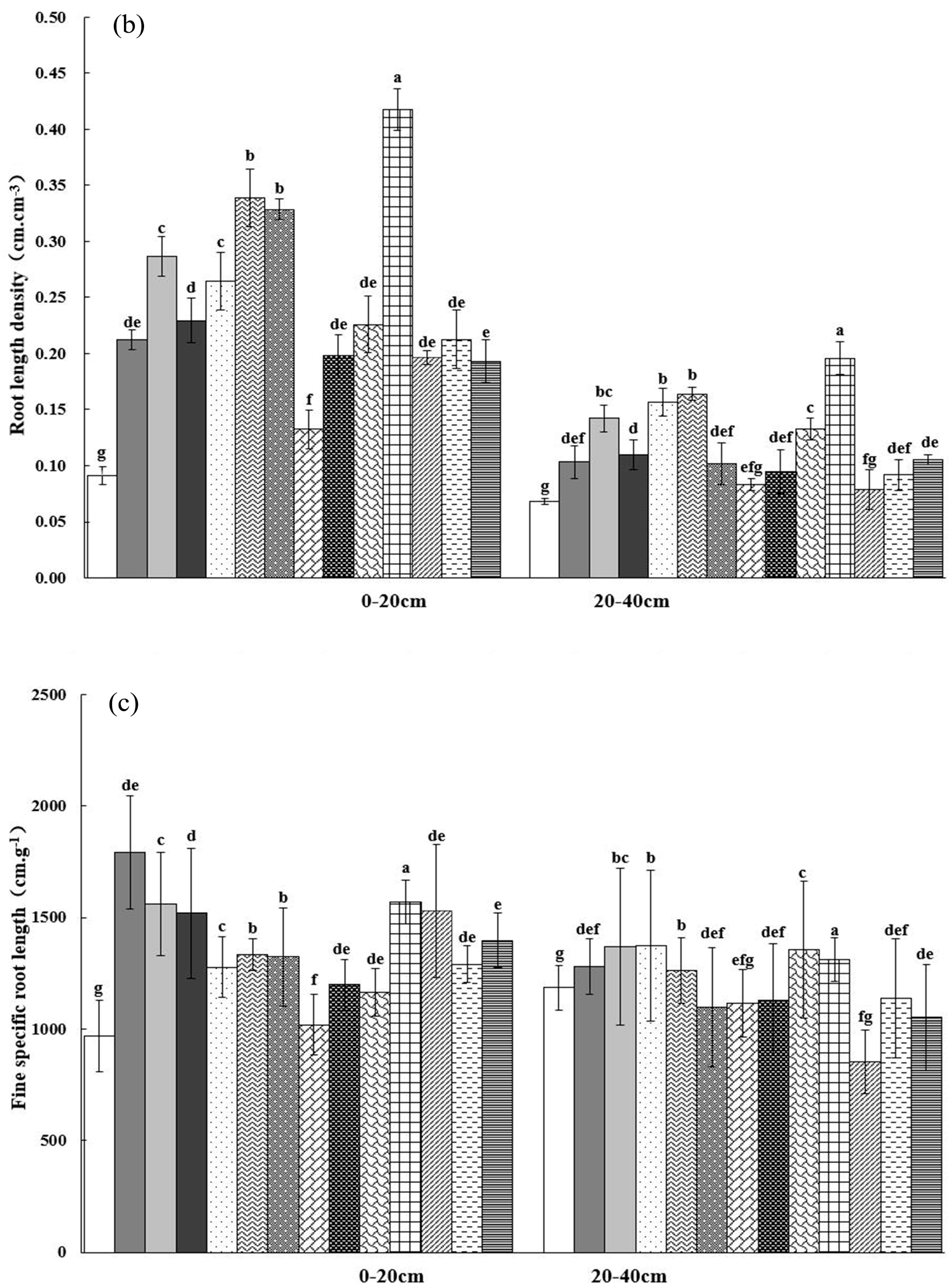
3.1. Effect of Different Fertilization Treatments on Fine Root Traits
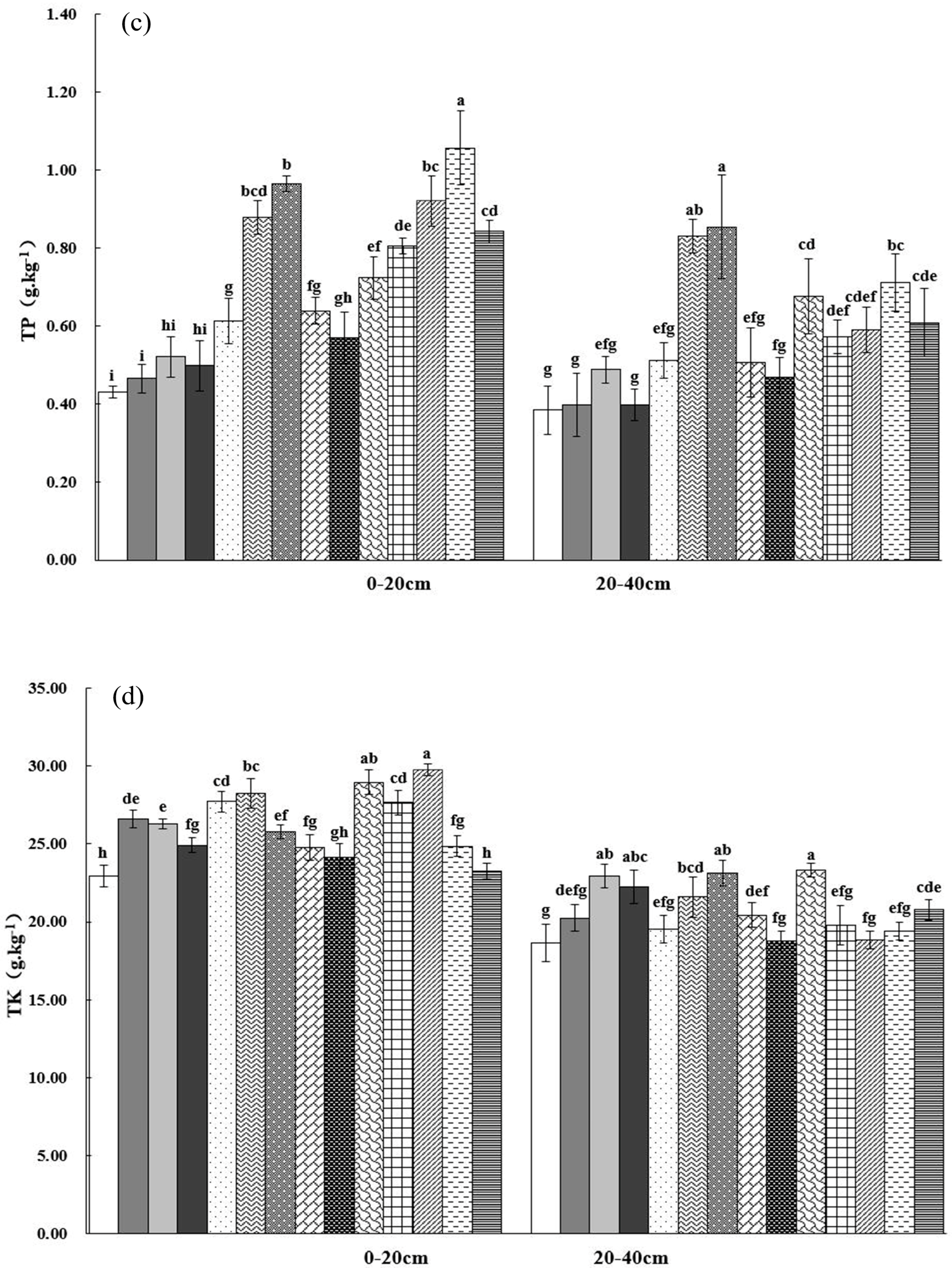
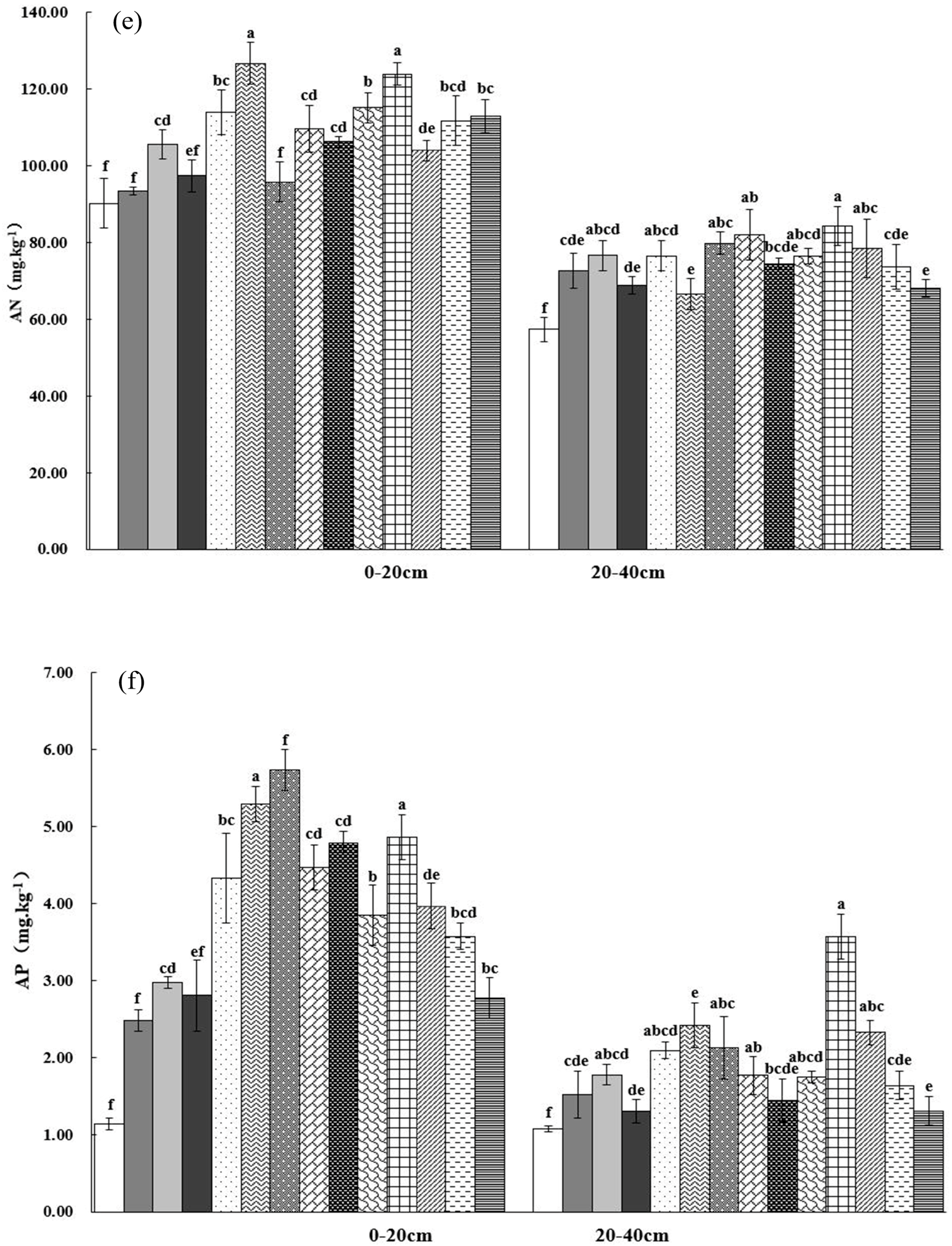
3.2. Effect of Different Fertilizer Treatments on Soil Properties
3.3. Relationship between Fine Root Traits and Characteristic Properties of Soil Nutrients in Sapindus mukorossi
4. Discussion
4.1. Effect of Fertilization on Fine Root Traits
4.2. Effect of Fertilizer Application on Soil Properties of Sapindus mukorossi Woodlands
4.3. Relationship between Morphological Characteristics of Fine Roots and Soil Environmental Factors
5. Conclusions
Author Contributions
Funding
Data Availability Statement
Acknowledgments
Conflicts of Interest
References
- Hallett, P.D.; Marin, M.; Bending, G.D.; George, T.S.; Collins, C.D.; Otten, W. Building Soil Sustainability from Root–Soil Interface Traits. Trends Plant Sci. 2022, 27, 688–698. [Google Scholar] [CrossRef] [PubMed]
- Saha, S.; Huang, L.; Khoso, M.A.; Wu, H.; Han, D.; Ma, X.; Poudel, T.R.; Li, B.; Zhu, M.; Lan, Q.; et al. Fine Root Decomposition in Forest Ecosystems: An Ecological Perspective. Front. Plant Sci. 2023, 14, 1277510. [Google Scholar] [CrossRef] [PubMed]
- Erktan, A.; McCormack, M.L.; Roumet, C. Frontiers in Root Ecology: Recent Advances and Future Challenges. Plant Soil 2018, 424, 1–9. [Google Scholar] [CrossRef]
- Zhou, Y.; Guan, F.; Li, Z.; Zheng, Y.; Zhou, X.; Zhang, X. Effects of Tree Species on Moso Bamboo (Phyllostachys edulis (Carriere) J. Houzeau) Fine Root Morphology, Biomass, and Soil Properties in Bamboo–Broadleaf Mixed Forests. Forests 2022, 13, 1834. [Google Scholar] [CrossRef]
- Freschet, G.T.; Bellingham, P.J.; Lyver, P.O.; Bonner, K.I.; Wardle, D.A. Plasticity in Above- and Belowground Resource Acquisition Traits in Response to Single and Multiple Environmental Factors in Three Tree Species. Ecol. Evol. 2013, 3, 1065–1078. [Google Scholar] [CrossRef] [PubMed]
- Ostonen, I.; Püttsepp, Ü.; Biel, C.; Alberton, O.; Bakker, M.R.; Lõhmus, K.; Majdi, H.; Metcalfe, D.; Olsthoorn, A.F.M.; Pronk, A.; et al. Specific Root Length as an Indicator of Environmental Change. Plant Biosyst.-Int. J. Deal. All Asp. Plant Biol. 2007, 141, 426–442. [Google Scholar] [CrossRef]
- Freschet, G.T.; Pagès, L.; Iversen, C.M.; Comas, L.H.; Rewald, B.; Roumet, C.; Klimešová, J.; Zadworny, M.; Poorter, H.; Postma, J.A.; et al. A Starting Guide to Root Ecology: Strengthening Ecological Concepts and Standardising Root Classification, Sampling, Processing and Trait Measurements. New Phytol. 2021, 232, 973–1122. [Google Scholar] [CrossRef] [PubMed]
- Makita, N.; Hirano, Y.; Dannoura, M.; Kominami, Y.; Mizoguchi, T.; Ishii, H.; Kanazawa, Y. Fine Root Morphological Traits Determine Variation in Root Respiration of Quercus Serrata. Tree Physiol. 2009, 29, 579–585. [Google Scholar] [CrossRef]
- Geng, P.; Jin, G. Fine Root Morphology and Chemical Responses to N Addition Depend on Root Function and Soil Depth in a Korean Pine Plantation in Northeast China. For. Ecol. Manag. 2022, 520, 120407. [Google Scholar] [CrossRef]
- Qi, Y.; Wei, W.; Li, J.; Chen, C.; Huang, Y. Effects of Terracing on Root Distribution of Pinus Tabulaeformis Carr. Forest and Soil Properties in the Loess Plateau of China. Sci. Total Environ. 2020, 721, 137506. [Google Scholar] [CrossRef]
- Yan, X.-L.; Jia, L.; Dai, T. Fine Root Morphology and Growth in Response to Nitrogen Addition through Drip Fertigation in a Populus × Euramericana “Guariento” Plantation over Multiple Years. Ann. For. Sci. 2019, 76, 13. [Google Scholar] [CrossRef]
- Zhao, L.; Li, L.; Cai, H.; Fan, J.; Chau, H.W.; Malone, R.W.; Zhang, C. Organic Amendments Improve Wheat Root Growth and Yield through Regulating Soil Properties. Agron. J. 2019, 111, 482–495. [Google Scholar] [CrossRef]
- Hadir, S.; Gaiser, T.; Hüging, H.; Athmann, M.; Pfarr, D.; Kemper, R.; Ewert, F.; Seidel, S. Sugar Beet Shoot and Root Phenotypic Plasticity to Nitrogen, Phosphorus, Potassium and Lime Omission. Agriculture 2020, 11, 21. [Google Scholar] [CrossRef]
- Yang, Q.; Zhang, J.; Su, X. Effects of substrate and moisture on root growth of Sapindus chuan Dianthus seedlings. Mol. Plant Breed. 2023, 1–19. Available online: http://kns.cnki.net/kcms/detail/46.1068.S.20230506.1048.018.html (accessed on 26 December 2023).
- Noguchi, K.; Nagakura, J.; Kaneko, S. Biomass and Morphology of Fine Roots of Sugi (Cryptomeria japonica) after 3 Years of Nitrogen Fertilization. Front. Plant Sci. 2013, 4, 347. [Google Scholar] [CrossRef] [PubMed]
- Zhu, H.; Zhao, J.; Gong, L. The Morphological and Chemical Properties of Fine Roots Respond to Nitrogen Addition in a Temperate Schrenk’s Spruce (Picea schrenkiana) Forest. Sci. Rep. 2021, 11, 3839. [Google Scholar] [CrossRef]
- Ostonen, I.; Helmisaari, H.; Borken, W.; Tedersoo, L.; Kukumägi, M.; Bahram, M.; Lindroos, A.; Nöjd, P.; Uri, V.; Merilä, P.; et al. Fine Root Foraging Strategies in N orway Spruce Forests across a European Climate Gradient. Glob. Chang. Biol. 2011, 17, 3620–3632. [Google Scholar] [CrossRef]
- Lu, X.; Mao, Q.; Gilliam, F.S.; Luo, Y.; Mo, J. Nitrogen Deposition Contributes to Soil Acidification in Tropical Ecosystems. Glob. Chang. Biol. 2014, 20, 3790–3801. [Google Scholar] [CrossRef]
- Li, Z.; Zhang, R.; Xia, S.; Wang, L.; Liu, C.; Zhang, R.; Fan, Z.; Chen, F.; Liu, Y. Interactions between N, P and K Fertilizers Affect the Environment and the Yield and Quality of Satsumas. Glob. Ecol. Conserv. 2019, 19, e00663. [Google Scholar] [CrossRef]
- Ye, T.; Li, Y.; Zhang, J.; Hou, W.; Zhou, W.; Lu, J.; Xing, Y.; Li, X. Nitrogen, Phosphorus, and Potassium Fertilization Affects the Flowering Time of Rice (Oryza sativa L.). Glob. Ecol. Conserv. 2019, 20, e00753. [Google Scholar] [CrossRef]
- Xue, C.; Zhang, T.; Yao, S.; Guo, Y. Effects of Households’ Fertilization Knowledge and Technologies on Over-Fertilization: A Case Study of Grape Growers in Shaanxi, China. Land 2020, 9, 321. [Google Scholar] [CrossRef]
- Rahman, K.; Zhang, D. Effects of Fertilizer Broadcasting on the Excessive Use of Inorganic Fertilizers and Environmental Sustainability. Sustainability 2018, 10, 759. [Google Scholar] [CrossRef]
- Bassaco, M.V.M.; Motta, A.C.V.; Pauletti, V.; Prior, S.A.; Nisgoski, S.; Ferreira, C.F. Nitrogen, Phosphorus, and Potassium Requirements for Eucalyptus Urograndis Plantations in Southern Brazil. New For. 2018, 49, 681–697. [Google Scholar] [CrossRef]
- Zhang, M.; Sun, D.; Niu, Z.; Yan, J.; Zhou, X.; Kang, X. Effects of Combined Organic/Inorganic Fertilizer Application on Growth, Photosynthetic Characteristics, Yield and Fruit Quality of Actinidia Chinesis Cv ‘Hongyang’. Glob. Ecol. Conserv. 2020, 22, e00997. [Google Scholar] [CrossRef]
- Lv, M.; Li, Z.; Che, Y.; Han, F.X.; Liu, M. Soil Organic C, Nutrients, Microbial Biomass, and Grain Yield of Rice (Oryza sativa L.) after 18 Years of Fertilizer Application to an Infertile Paddy Soil. Biol. Fertil Soils 2011, 47, 777–783. [Google Scholar] [CrossRef]
- Li, Y.; Wang, C.; Wang, T.; Liu, Y.; Jia, S.; Gao, Y.; Liu, S. Effects of Different Fertilizer Treatments on Rhizosphere Soil Microbiome Composition and Functions. Land 2020, 9, 329. [Google Scholar] [CrossRef]
- Sun, J.; Luo, H.; Yu, Q.; Kou, B.; Jiang, Y.; Weng, L.; Xiao, C. Optimal NPK Fertilizer Combination Increases Panax Ginseng Yield and Quality and Affects Diversity and Structure of Rhizosphere Fungal Communities. Front. Microbiol. 2022, 13, 919434. [Google Scholar] [CrossRef]
- Tang, S.; Pan, W.; Tang, R.; Ma, Q.; Zhou, J.; Zheng, N.; Wang, J.; Sun, T.; Wu, L. Effects of Balanced and Unbalanced Fertilization on Tea Quality, Yield, and Soil Bacterial Community. Appl. Soil Ecol. 2022, 175, 104442. [Google Scholar] [CrossRef]
- Zhou, C.; Cai, Y.; Yang, Z.; Wang, H.; Deng, F.; Bai, Z.; Gong, W.; Wang, J. Nitrogen, Phosphorus and Potassium Fertilization Promotes Zanthoxylum Armatum ‘Hanyuan Putao Qingjiao’ Flower Bud Differentiation in Sichuan, China. Hortic. Environ. Biotechnol. 2020, 61, 651–661. [Google Scholar] [CrossRef]
- Zhang, X.; Li, S.; An, X.; Song, Z.; Zhu, Y.; Tan, Y.; Guo, X.; Wang, D. Effects of Nitrogen, Phosphorus and Potassium Formula Fertilization on the Yield and Berry Quality of Blueberry. PLoS ONE 2023, 18, e0283137. [Google Scholar] [CrossRef]
- Uçgun, K.; Altindal, M. Effects of Increasing Doses of Nitrogen, Phosphorus, and Potassium on the Uptake of other Nutrients in Sweet Cherry Trees. Commun. Soil Sci. Plant Anal. 2021, 52, 1248–1255. [Google Scholar] [CrossRef]
- Ma, J.; Li, Z.; Sun, B.; Ma, B. 32-Mechanism and Modeling of Different Plant Root Effects on Soil Detachment Rate. Catena 2022, 212, 106109. [Google Scholar] [CrossRef]
- Liu, K.-L.; Chen, B.-Y.; Zhang, B.; Wang, R.-H.; Wang, C.-S. Understory Vegetation Diversity, Soil Properties and Microbial Community Response to Different Thinning Intensities in Cryptomeria japonica Var. sinensis Plantations. Front. Microbiol. 2023, 14, 1117384. [Google Scholar] [CrossRef] [PubMed]
- Lynch, J.P.; Strock, C.F.; Schneider, H.M.; Sidhu, J.S.; Ajmera, I.; Galindo-Castañeda, T.; Klein, S.P.; Hanlon, M.T. 34-Root Anatomy and Soil Resource Capture. Plant Soil 2021, 466, 21–63. [Google Scholar] [CrossRef]
- Li, F.L.; McCormack, M.L.; Liu, X.; Hu, H.; Feng, D.F.; Bao, W.K. Vertical Fine-Root Distributions in Five Subalpine Forest Types Shifts with Soil Properties across Environmental Gradients. Plant Soil 2020, 456, 129–143. [Google Scholar] [CrossRef]
- Wurzburger, N.; Wright, S.J. Fine-root Responses to Fertilization Reveal Multiple Nutrient Limitation in a Lowland Tropical Forest. Ecology 2015, 96, 2137–2146. [Google Scholar] [CrossRef] [PubMed]
- Sun, L.; Ataka, M.; Han, M.; Han, Y.; Gan, D.; Xu, T.; Guo, Y.; Zhu, B. Root Exudation as a Major Competitive Fine-root Functional Trait of 18 Coexisting Species in a Subtropical Forest. New Phytol. 2021, 229, 259–271. [Google Scholar] [CrossRef]
- Miyatani, K.; Mizusawa, Y.; Okada, K.; Tanikawa, T.; Makita, N.; Hirano, Y. Fine Root Traits in Chamaecyparis obtusa Forest Soils with Different Acid Buffering Capacities. Trees 2016, 30, 415–429. [Google Scholar] [CrossRef]
- Chen, S.; Waghmode, T.R.; Sun, R.; Kuramae, E.E.; Hu, C.; Liu, B. Root-Associated Microbiomes of Wheat under the Combined Effect of Plant Development and Nitrogen Fertilization. Microbiome 2019, 7, 136. [Google Scholar] [CrossRef]
- Wang, W.; Wang, Y.; Hoch, G.; Wang, Z.; Gu, J. Linkage of Root Morphology to Anatomy with Increasing Nitrogen Availability in Six Temperate Tree Species. Plant Soil 2018, 425, 189–200. [Google Scholar] [CrossRef]
- De Souza Machado, A.A.; Lau, C.W.; Kloas, W.; Bergmann, J.; Bachelier, J.B.; Faltin, E.; Becker, R.; Görlich, A.S.; Rillig, M.C. Microplastics Can Change Soil Properties and Affect Plant Performance. Environ. Sci. Technol. 2019, 53, 6044–6052. [Google Scholar] [CrossRef] [PubMed]
- Jiang, H.; Bai, Y.; Du, H.; Hu, Y.; Rao, Y.; Chen, C.; Cai, Y. 42-The Spatial and Seasonal Variation Characteristics of Fine Roots in Different Plant Configuration Modes in New Reclamation Saline Soil of Humid Climate in China. Ecol. Eng. 2016, 86, 231–238. [Google Scholar] [CrossRef]
- Wang, C.; Han, S.; Zhou, Y.; Zhang, J.; Zheng, X.; Dai, G.; Li, M.-H. Fine Root Growth and Contribution to Soil Carbon in a Mixed Mature Pinus koraiensis Forest. Plant Soil 2016, 400, 275–284. [Google Scholar] [CrossRef]
- Song, R.; Tong, R.; Zhang, H.; Wang, G.G.; Wu, T.; Yang, X. Effects of Long-Term Fertilization and Stand Age on Root Nutrient Acquisition and Leaf Nutrient Resorption of Metasequoia Glyptostroboides. Front. Plant Sci. 2022, 13, 905358. [Google Scholar] [PubMed]
- Huang, J.J.; Jing, J.L.; Cao, D.C.; Zhang, N.; Li, J.W.; Xia, Y.G.; Lü, S. Cloning Root System Distribution and Architecture of Different Forest Age Populus euphratica in Ejina Oasis. J. Ecol. 2013, 33, 4331–4342. [Google Scholar]
- Zhang, H.; Gong, L.; Ding, Z.; Wu, X. Fine-Root Soil Stoichiometry of Picea schrenkiana Fisch. et Mey. and Its Correlation with Soil Environmental Factors under Different Nitrogen Input Levels in the Tianshan Mountains, Xinjiang. Forests 2023, 14, 426. [Google Scholar] [CrossRef]
- Liu, R.; Huang, Z.; Luke McCormack, M.; Zhou, X.; Wan, X.; Yu, Z.; Wang, M.; Zheng, L. Plasticity of Fine-Root Functional Traits in the Litter Layer in Response to Nitrogen Addition in a Subtropical Forest Plantation. Plant Soil 2017, 415, 317–330. [Google Scholar]
- Fink, J.R.; Inda, A.V.; Bavaresco, J.; Barrón, V.; Torrent, J.; Bayer, C. Adsorption and Desorption of Phosphorus in Subtropical Soils as Affected by Management System and Mineralogy. Soil Tillage Res. 2016, 155, 62–68. [Google Scholar] [CrossRef]
- Cai, A.; Zhang, W.; Xu, M.; Wang, B.; Wen, S.; Shah, S.A.A. Soil Fertility and Crop Yield after Manure Addition to Acidic Soils in South China. Nutr. Cycl. Agroecosyst. 2018, 111, 61–72. [Google Scholar] [CrossRef]
- Jin, Z.; Chen, C.; Chen, X.; Jiang, F.; Hopkins, I.; Zhang, X.; Han, Z.; Billy, G.; Benavides, J. Soil Acidity, Available Phosphorus Content, and Optimal Biochar and Nitrogen Fertilizer Application Rates: A Five-Year Field Trial in Upland Red Soil, China. Field Crops Res. 2019, 232, 77–87. [Google Scholar] [CrossRef]
- Cui, H.; Zhou, Y.; Gu, Z.; Zhu, H.; Fu, S.; Yao, Q. The Combined Effects of Cover Crops and Symbiotic Microbes on Phosphatase Gene and Organic Phosphorus Hydrolysis in Subtropical Orchard Soils. Soil Biol. Biochem. 2015, 82, 119–126. [Google Scholar] [CrossRef]
- Ahmed, W.; Jing, H.; Kaillou, L.; Qaswar, M.; Khan, M.N.; Jin, C.; Geng, S.; Qinghai, H.; Yiren, L.; Guangrong, L.; et al. Changes in Phosphorus Fractions Associated with Soil Chemical Properties under Long-Term Organic and Inorganic Fertilization in Paddy Soils of Southern China. PLoS ONE 2019, 14, e0216881. [Google Scholar] [CrossRef] [PubMed]
- Xu, M.; Zhu, Y.; Zhang, S.; Feng, Y.; Zhang, W.; Han, X. Global Scaling the Leaf Nitrogen and Phosphorus Resorption of Woody Species: Revisiting Some Commonly Held Views. Sci. Total Environ. 2021, 788, 147807. [Google Scholar] [CrossRef] [PubMed]
- Bu, W.-S.; Wang, F.-C.; Zhang, C.-C.; Bruelheide, H.; Fang, X.-M.; Wang, H.-M.; Chen, F.-S. The Contrasting Effects of Nitrogen and Phosphorus Fertilizations on the Growth of Cunninghamia Lanceolata Depend on the Season in Subtropical China. For. Ecol. Manag. 2021, 482, 118874. [Google Scholar] [CrossRef]
- Cui, Y.; Bing, H.; Moorhead, D.L.; Delgado-Baquerizo, M.; Ye, L.; Yu, J.; Zhang, S.; Wang, X.; Peng, S.; Guo, X.; et al. Ecoenzymatic Stoichiometry Reveals Widespread Soil Phosphorus Limitation to Microbial Metabolism across Chinese Forests. Commun. Earth Environ. 2022, 3, 184. [Google Scholar] [CrossRef]
- Subramaniam, V.; Singh, B.R. Phosphorus Supplying Capacity of Heavily Fertilized Soils I. Phosphorus Adsorption Characteristics and Phosphorus Fractionation. Nutr. Cycl. Agroecosyst. 1996, 47, 115–122. [Google Scholar] [CrossRef]
- Wang, C.; Kuzyakov, Y. Rhizosphere Engineering for Soil Carbon Sequestration. Trends Plant Sci. 2023. [Google Scholar] [CrossRef]
- Tian, D.; Niu, S. A Global Analysis of Soil Acidification Caused by Nitrogen Addition. Environ. Res. Lett. 2015, 10, 024019. [Google Scholar] [CrossRef]
- Feng, J.; Tang, M.; Zhu, B. Soil Priming Effect and Its Responses to Nutrient Addition along a Tropical Forest Elevation Gradient. Glob. Chang. Biol. 2021, 27, 2793–2806. [Google Scholar] [CrossRef]
- Chen, C.; Hall, S.J.; Coward, E.; Thompson, A. Iron-Mediated Organic Matter Decomposition in Humid Soils Can Counteract Protection. Nat. Commun. 2020, 11, 2255. [Google Scholar] [CrossRef]
- Qiao, C.; Xu, B.; Han, Y.; Wang, J.; Wang, X.; Liu, L.; Liu, W.; Wan, S.; Tan, H.; Liu, Y.; et al. Synthetic Nitrogen Fertilizers Alter the Soil Chemistry, Production and Quality of Tea. A Meta-Analysis. Agron. Sustain. Dev. 2018, 38, 10. [Google Scholar] [CrossRef]
- Tang, S.; Ma, Q.; Luo, J.; Xie, Y.; Hashmi, M.L.U.R.; Pan, W.; Zheng, N.; Liu, M.; Wu, L. The Inhibition Effect of Tea Polyphenols on Soil Nitrification Is Greater than Denitrification in Tea Garden Soil. Sci. Total Environ. 2021, 778, 146328. [Google Scholar] [CrossRef]
- Ma, X.; Zhu, B.; Nie, Y.; Liu, Y.; Kuzyakov, Y. Root and Mycorrhizal Strategies for Nutrient Acquisition in Forests under Nitrogen Deposition: A Meta-Analysis. Soil Biol. Biochem. 2021, 163, 108418. [Google Scholar] [CrossRef]
- Joshi, R.K.; Garkoti, S.C. Influence of Nepalese Alder on Soil Physico-Chemical Properties and Fine Root Dynamics in White Oak Forests in the Central Himalaya, India. Catena 2021, 200, 105140. [Google Scholar] [CrossRef]
- Joshi, S.R.; Morris, J.W.; Tfaily, M.M.; Young, R.P.; McNear, D.H. Low Soil Phosphorus Availability Triggers Maize Growth Stage Specific Rhizosphere Processes Leading to Mineralization of Organic P. Plant Soil 2021, 459, 423–440. [Google Scholar] [CrossRef]
- Amadou, I.; Houben, D.; Faucon, M.-P. Unravelling the Role of Rhizosphere Microbiome and Root Traits in Organic Phosphorus Mobilization for Sustainable Phosphorus Fertilization. A Review. Agronomy 2021, 11, 2267. [Google Scholar] [CrossRef]
- Yan, R.; Gao, J. Key Factors Affecting Discharge, Soil Erosion, Nitrogen and Phosphorus Exports from Agricultural Polder. Ecol. Model. 2021, 452, 109586. [Google Scholar] [CrossRef]
- Bergmann, J.; Weigelt, A.; van Der Plas, F.; Laughlin, D.C.; Kuyper, T.W.; Guerrero-Ramirez, N.; Valverde-Barrantes, Q.J.; Bruelheide, H.; Freschet, G.T.; Iversen, C.M.; et al. The fungal collaboration gradient dominates the root economics space in plants. Sci. Adv. 2020, 6, eaba3756. [Google Scholar] [CrossRef]
- Vogt, K.A.; Vogt, D.J.; Palmiotto, P.A.; Boon, P.; O’Hara, J.; Asbjornsen, H. Review of Root Dynamics in Forest Ecosystems Grouped by Climate, Climatic Forest Type and Species. Plant Soil 1995, 187, 159–219. [Google Scholar] [CrossRef]
- Li, T.; Ren, J.; He, W.; Wang, Y.; Wen, X.; Wang, X.; Ye, M.; Chen, G.; Zhao, K.; Hou, G.; et al. Anatomical Structure Interpretation of the Effect of Soil Environment on Fine Root Function. Front. Plant Sci. 2022, 13, 993127. [Google Scholar] [CrossRef]
- Fujii, K.; Makita, N.; Kamara, M.; Küttim, M.; Sugita, S. Plasticity of Pine Tree Roots to Podzolization of Boreal Sandy Soils. Plant Soil 2021, 464, 209–222. [Google Scholar] [CrossRef]








| Soil Layer (cm) | SOC (g/kg) | TN (g/kg) | TP (g/kg) | TK (g/kg) | AK (mg/kg) | AP (mg/kg) | AN (mg/kg) |
|---|---|---|---|---|---|---|---|
| 0–20 | 10.61 | 1.9 | 0.39 | 27.86 | 58.63 | 1.81 | 43.35 |
| 20–40 | 7.4 | 1.26 | 0.35 | 27.72 | 49.93 | 1.12 | 34.26 |
| 40–60 | 5.24 | 1.05 | 0.34 | 28.27 | 35.91 | 1.03 | 30.43 |
| Processing Number | Fertilization Level (kg·ha−1) | ||
|---|---|---|---|
| N | P | K | |
| N0P0K0 | 0 | 0 | 0 |
| N0P2K2 | 0 | 500 | 400 |
| N1P2K2 | 300 | 500 | 400 |
| N2P0K2 | 600 | 0 | 400 |
| N2P1K2 | 600 | 250 | 400 |
| N2P2K2 | 600 | 500 | 400 |
| N2P3K2 | 600 | 750 | 400 |
| N2P2K0 | 600 | 500 | 0 |
| N2P2K1 | 600 | 500 | 200 |
| N2P2K3 | 600 | 500 | 600 |
| N3P2K2 | 900 | 500 | 400 |
| N1P1K2 | 300 | 250 | 400 |
| N1P2K1 | 300 | 500 | 200 |
| N2P1K1 | 600 | 250 | 200 |
| Spil Layer | Soil Properties | Explains (%) | Pseudo-F | p |
|---|---|---|---|---|
| 0–20 cm | AP | 30.2 | 17.3 | 0.002 |
| TK | 6.5 | 4 | 0.024 | |
| TN | 4.6 | 2.9 | 0.046 | |
| SOC | 4.4 | 3 | 0.064 | |
| pH | 3.0 | 2.1 | 0.124 | |
| AK | 0.4 | 0.3 | 0.838 | |
| TP | 0.2 | 0.1 | 0.95 | |
| AN | 0.1 | 0.1 | 0.998 | |
| 20–40 cm | AP | 30.6 | 17.7 | 0.002 |
| TN | 7.0 | 4.4 | 0.006 | |
| TK | 3.8 | 2.5 | 0.082 | |
| TP | 2.9 | 1.9 | 0.138 | |
| pH | 1.2 | 0.8 | 0.47 | |
| SOC | 0.7 | 0.4 | 0.746 | |
| AK | 0.4 | 0.2 | 0.89 | |
| AN | 0.3 | 0.2 | 0.906 |
| FRB | RLD | FSRL | RAD | SOC | pH | TN | TP | TK | AN | AP | AK | |
|---|---|---|---|---|---|---|---|---|---|---|---|---|
| FRB | 0.87 ** | −0.03 | 0.49 ** | 0.35 * | −0.65 ** | 0.71 ** | 0.42 ** | 0.42 ** | 0.56 ** | 0.71 ** | 0.11 | |
| RLD | 0.80 ** | 0.42 ** | 0.55 ** | 0.30 * | −0.61 ** | 0.67 ** | 0.35 * | 0.48 ** | 0.53 ** | 0.60 ** | 0.10 | |
| FSRL | −0.09 | 0.50 ** | 0.28 | 0.09 | −0.01 | 0.06 | −0.01 | 0.27 | 0.01 | −0.03 | 0.09 | |
| RAD | 0.52 ** | 0.48 ** | 0.02 | 0.21 | −0.27 | 0.36 * | 0.23 | 0.47 ** | 0.26 | 0.57 ** | 0.14 | |
| SOC | 0.43 ** | 0.3 | −0.13 | 0.31 * | −0.35 * | 0.50 ** | 0.45 ** | 0.57 ** | 0.33 * | 0.59 ** | 0.24 | |
| pH | −0.47 ** | −0.29 | 0.21 | −0.31 * | −0.22 | −0.48 ** | −0.64 ** | −0.33 * | −0.60 ** | −0.60 ** | −0.2 | |
| TN | 0.67 ** | 0.66 ** | 0.12 | 0.33 * | 0.57 ** | −0.38 * | 0.2 | 0.53 ** | 0.68 ** | 0.65 ** | 0.22 | |
| TP | 0.32 * | 0.22 | −0.09 | 0.36 * | 0.24 | −0.61 ** | 0.27 | 0.28 | 0.42 ** | 0.54 ** | 0.22 | |
| TK | 0.11 | 0.29 | 0.36 * | −0.07 | −0.09 | −0.04 | 0.23 | 0.35 * | 0.36 * | 0.40 ** | 0.38 * | |
| AN | 0.34 * | 0.27 | −0.05 | 0.30 * | 0.24 | −0.43 ** | 0.22 | 0.17 | 0.12 | 0.51 ** | 0.37 * | |
| AP | 0.70 ** | 0.62 ** | −0.04 | 0.58 ** | 0.40 ** | −0.53 ** | 0.57 ** | 0.36 * | 0.01 | 0.52 ** | 0.09 | |
| AK | 0.08 | −0.01 | −0.09 | −0.07 | 0.19 | −0.10 | 0.07 | −0.02 | 0.08 | 0.13 | −0.09 |
Disclaimer/Publisher’s Note: The statements, opinions and data contained in all publications are solely those of the individual author(s) and contributor(s) and not of MDPI and/or the editor(s). MDPI and/or the editor(s) disclaim responsibility for any injury to people or property resulting from any ideas, methods, instructions or products referred to in the content. |
© 2024 by the authors. Licensee MDPI, Basel, Switzerland. This article is an open access article distributed under the terms and conditions of the Creative Commons Attribution (CC BY) license (https://creativecommons.org/licenses/by/4.0/).
Share and Cite
Liu, J.; Zhou, L.; Wang, D.; Gong, Y.; Yan, X.; Cao, Q.; Wu, S.; Weng, J.; Zhang, G.; Jia, L. The Effect of Balanced N, P and K Fertilization on Fine Root Traits and Soil Properties in Sapindus mukorossi. Forests 2024, 15, 94. https://doi.org/10.3390/f15010094
Liu J, Zhou L, Wang D, Gong Y, Yan X, Cao Q, Wu S, Weng J, Zhang G, Jia L. The Effect of Balanced N, P and K Fertilization on Fine Root Traits and Soil Properties in Sapindus mukorossi. Forests. 2024; 15(1):94. https://doi.org/10.3390/f15010094
Chicago/Turabian StyleLiu, Juntao, Ling Zhou, Dongnan Wang, Yingyun Gong, Xiaoli Yan, Qiuli Cao, Shixiong Wu, Jianhui Weng, Guoqing Zhang, and Liming Jia. 2024. "The Effect of Balanced N, P and K Fertilization on Fine Root Traits and Soil Properties in Sapindus mukorossi" Forests 15, no. 1: 94. https://doi.org/10.3390/f15010094
APA StyleLiu, J., Zhou, L., Wang, D., Gong, Y., Yan, X., Cao, Q., Wu, S., Weng, J., Zhang, G., & Jia, L. (2024). The Effect of Balanced N, P and K Fertilization on Fine Root Traits and Soil Properties in Sapindus mukorossi. Forests, 15(1), 94. https://doi.org/10.3390/f15010094

