The Spectral Response Characteristics of Potassium in Camellia oleifera Leaves at Different Growth Stages
Abstract
1. Introduction
2. Materials and Methods
2.1. Study Areas
2.2. Sample Selection
2.3. Canopy Hyperspectral Data Collection
2.4. Camellia oleifera Leaf Sampling and Nutrient Content Determination
2.5. Hyperspectral Data Preprocessing
2.5.1. Removal of Water Vapor Absorption Anomalous Bands
2.5.2. First-Order Derivative (FD)
2.5.3. Second Derivative (SD)
2.6. Sensitive Wavelength Selection
2.7. Machine Learning Model Construction and Evaluation
2.7.1. Dataset Partitioning for Model Construction
2.7.2. Machine Learning Models
2.7.3. Model Evaluation Metrics
3. Results
3.1. Analysis of Potassium Content in Camellia oleifera Leaves
3.2. Descriptive Analysis of Camellia oleifera Canopy Hyperspectral Data
3.2.1. Descriptive Analysis of Camellia oleifera Canopy Hyperspectral Reflectance
3.2.2. Correlation Analysis of Camellia oleifera Canopy Hyperspectral Data
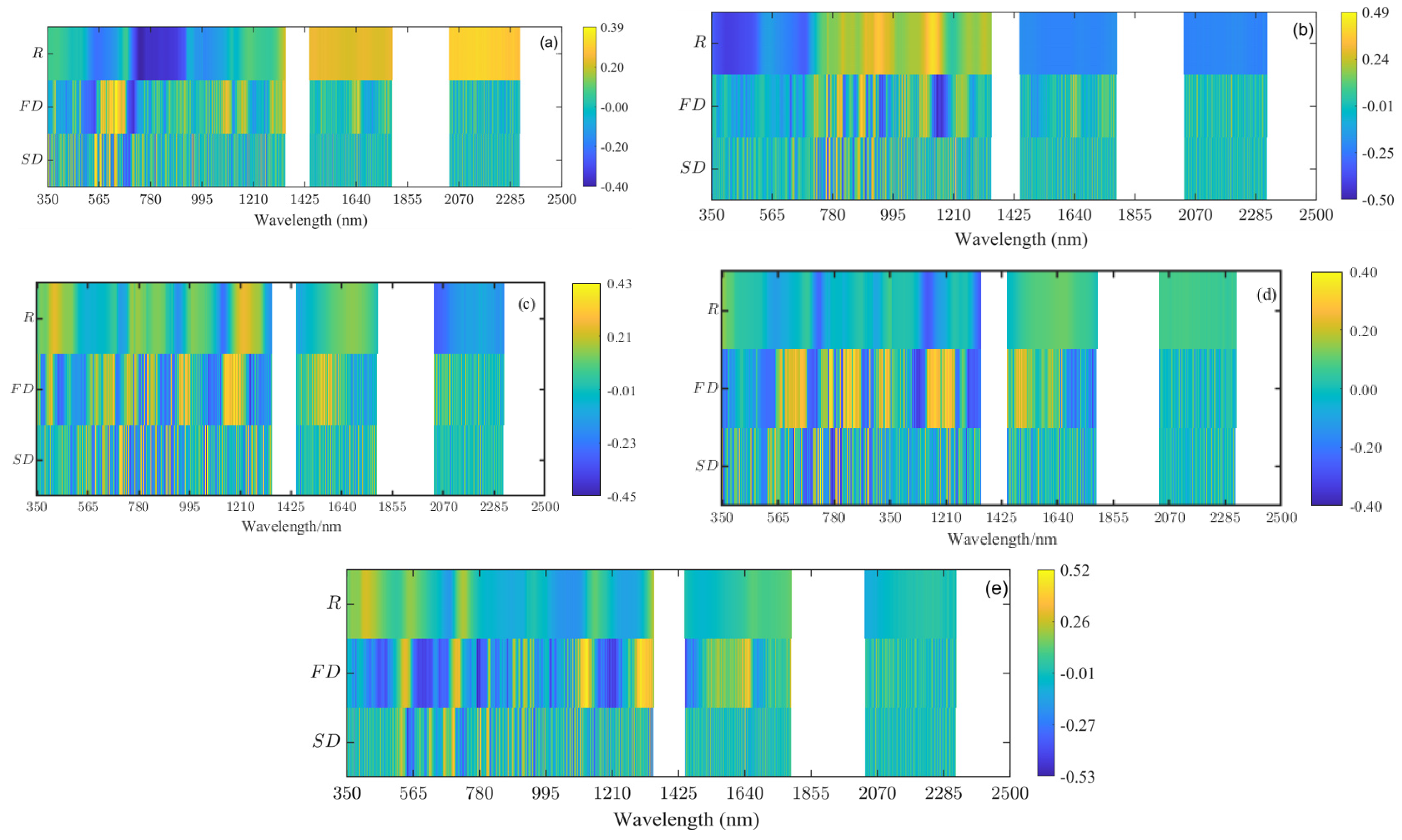
3.2.3. Correlation Analysis Between the Leaf Potassium Content and Canopy Hyperspectral Data of Camellia oleifera
3.3. Evaluation of Nutrient Estimation Models for Camellia oleifera Leaves at Different Growth Stages Based on Canopy Hyperspectral Data
3.3.1. Evaluation of LKC Estimation Models Based on Canopy Hyperspectral Data During the Spring Shoot Stage
3.3.2. Evaluation of LKC Estimation Models Based on Canopy Hyperspectral Data During the Summer Shoot Stage
3.3.3. Evaluation of LKC Estimation Models Based on Canopy Hyperspectral Data During the Fruit Expanding Stage
3.3.4. Evaluation of LKC Estimation Models Based on Canopy Hyperspectral Data During the Fruit Ripening Stage
3.3.5. Evaluation of LKC Estimation Models Based on Canopy Hyperspectral Data During the Full Blooming Stage
3.4. Analysis of the Canopy Hyperspectral Response to Leaf Nutrient Variations in Camellia oleifera
4. Discussion
5. Conclusions
Author Contributions
Funding
Data Availability Statement
Conflicts of Interest
References
- Zeng, Y.; Hao, D.; Huete, A.; Dechant, B.; Berry, J.; Chen, J.M.; Joiner, J.; Frankenberg, C.; Bond-Lamberty, B.; Ryu, Y.; et al. Optical vegetation indices for monitoring terrestrial ecosystems globally. Nat. Rev. Earth Environ. 2022, 3, 477–493. [Google Scholar] [CrossRef]
- Sims, D.A.; Gamon, J.A. Relationships between leaf pigment content and spectral reflectance across a wide range of species, leaf structures and developmental stages. Remote Sens. Environ. 2002, 81, 337–354. [Google Scholar] [CrossRef]
- Zhang, J.; Cheng, T.; Guo, W.; Xu, X.; Qiao, H.; Xie, Y.; Ma, X. Leaf area index estimation model for UAV image hyperspectral data based on wavelength variable selection and machine learning methods. Plant Methods 2021, 17, 49. [Google Scholar] [CrossRef]
- Aasen, H.; Burkart, A.; Bolten, A.; Bareth, G. Generating 3D hyperspectral information with lightweight UAV snapshot cameras for vegetation monitoring: From camera calibration to quality assurance. ISPRS J. Photogramm. Remote Sens. 2015, 108, 245–259. [Google Scholar] [CrossRef]
- Alordzinu, K.E.; Li, J.; Lan, Y.; Appiah, S.A.; Al Aasmi, A.; Wang, H.; Liao, J.; Sam-Amoah, L.K.; Qiao, S. Ground-based hyperspectral remote sensing for estimating water stress in tomato growth in sandy loam and silty loam soils. Sensors 2021, 21, 5705. [Google Scholar] [CrossRef] [PubMed]
- Wang, K.; Li, W.; Deng, L.; Lyu, Q.; Zheng, Y.; Yi, S.; Xie, R.; Ma, Y.; He, S. Rapid detection of chlorophyll content and distribution in citrus orchards based on low-altitude remote sensing and bio-sensors. Int. J. Agric. Biol. Eng. 2018, 11, 164–169. [Google Scholar] [CrossRef]
- Haboudane, D.; Miller, J.R.; Pattey, E.; Zarco-Tejada, P.J.; Strachan, I.B. Hyperspectral vegetation indices and novel algorithms for predicting green LAI of crop canopies: Modeling and validation in the context of precision agriculture. Remote Sens. Environ. 2004, 90, 337–352. [Google Scholar] [CrossRef]
- Hu, W.; Lu, Z.; Meng, F.; Li, X.; Cong, R.; Ren, T.; Sharkey, T.D.; Lu, J. The reduction in leaf area precedes that in photosynthesis under potassium deficiency: The importance of leaf anatomy. New Phytol. 2020, 227, 1749–1763. [Google Scholar] [CrossRef]
- Loudya, N.; Mishra, P.; Takahagi, K.; Uehara-Yamaguchi, Y.; Inoue, K.; Bogre, L.; Mochida, K.; López-Juez, E. Cellular and transcriptomic analyses reveal two-staged chloroplast biogenesis underpinning photosynthesis build-up in the wheat leaf. Genome Biol. 2021, 22, 151. [Google Scholar] [CrossRef]
- Dhami, N.; Cazzonelli, C.I. Environmental impacts on carotenoid metabolism in leaves. Plant Growth Regul. 2020, 92, 455–477. [Google Scholar] [CrossRef]
- Simkin, A.J.; Faralli, M.; Ramamoorthy, S.; Lawson, T. Photosynthesis in non-foliar tissues: Implications for yield. Plant J. 2020, 101, 1001–1015. [Google Scholar] [CrossRef]
- Fernández, C.I.; Leblon, B.; Wang, J.; Haddadi, A.; Wang, K. Cucumber powdery mildew detection using hyperspectral data. Can. J. Plant Sci. 2022, 102, 20–32. [Google Scholar] [CrossRef]
- Liu, Y.; Zhan, Z.; Ren, L.; Ze, S.; Yu, L.; Jiang, Q.; Luo, Y. Hyperspectral evidence of early-stage pine shoot beetle attack in Yunnan pine. For. Ecol. Manag. 2021, 497, 119505. [Google Scholar] [CrossRef]
- Johnson, R.; Vishwakarma, K.; Hossen, M.S.; Kumar, V.; Shackira, A.M.; Puthur, J.T.; Abdi, G.; Sarraf, M.; Hasanuzzaman, M. Potassium in plants: Growth regulation, signaling, and environmental stress tolerance. Plant Physiol. Biochem. 2022, 172, 56–69. [Google Scholar] [CrossRef]
- Raddatz, N.; Morales de los Ríos, L.; Lindahl, M.; Quintero, F.J.; Pardo, J.M. Coordinated transport of nitrate, potassium, and sodium. Front. Plant Sci. 2020, 11, 247. [Google Scholar] [CrossRef]
- Kumar, P.; Kumar, T.; Singh, S.; Tuteja, N.; Prasad, R.; Singh, J. Potassium: A key modulator for cell homeostasis. J. Biotechnol. 2020, 324, 198–210. [Google Scholar] [CrossRef]
- Li, A.; Xiang, S.; Ming, T.; Li, J.; Peng, Y.; Ding, X.; Zhang, S. Effects of N, P, and K macronutrients on growth indicators and yield of Camellia oleifera. Hubei For. Sci. Technol. 2011, 2, 28–31. [Google Scholar]
- Mishra, P.; Herrmann, I.; Angileri, M. Improved prediction of potassium and nitrogen in dried bell pepper leaves with visible and near-infrared spectroscopy utilising wavelength selection techniques. Talanta 2021, 225, 121971. [Google Scholar] [CrossRef]
- Chen, S.; Hu, T.; Luo, L.; He, Q.; Zhang, S.; Lu, J. Prediction of nitrogen, phosphorus, and potassium contents in apple tree leaves based on in-situ canopy hyperspectral reflectance using stacked ensemble extreme learning machine model. J. Soil Sci. Plant Nutr. 2022, 22, 10–24. [Google Scholar] [CrossRef]
- Zhai, Y.; Cui, L.; Zhou, X.; Gao, Y.; Fei, T.; Gao, W. Estimation of nitrogen, phosphorus, and potassium contents in the leaves of different plants using laboratory-based visible and near-infrared reflectance spectroscopy: Comparison of partial least-square regression and support vector machine regression methods. Int. J. Remote Sens. 2013, 34, 2502–2518. [Google Scholar]
- Ma, Y.; Bian, M.; Fan, Y.; Chen, Z.; Yang, G.; Feng, H. Estimation of potassium content in potato leaves based on canopy spectrum and coverage. Trans. Chin. Soc. Agric. Mach. 2023, 54, 226–233, 252. [Google Scholar]
- Wang, F.; Yan, Z.; Zhao, X.; Guo, X.; Zhou, Y.; Guo, J. Parameter selection of partial least squares model for hyperspectral estimation of chlorophyll content in Camellia oleifera leaves. J. Jiangxi Agric. Univ. 2022, 44, 86–96. [Google Scholar]
- Hao, Y.; Wu, W.; Shang, Q.; Geng, P. Analysis model of oleic and linoleic acids in Camellia oil via near-infrared spectroscopy. Acta Opt. Sin. 2019, 39, 381–386. [Google Scholar]
- Zhou, H.; Hu, Y.; Jiang, H.; Xu, L.; Wang, Y. Detection method of oil content in Camellia oleifera seed based on hyperspectral imaging. Trans. Chin. Soc. Agric. Mach. 2021, 52, 308–315. [Google Scholar]
- Pascucci, S.; Pignatti, S.; Casa, R.; Darvishzadeh, R.; Huang, W. Special issue “Hyperspectral remote sensing of agriculture and vegetation”. Remote Sens. 2020, 12, 3665. [Google Scholar] [CrossRef]
- Wang, R.; Chen, L.; Chen, J.; Chen, Y.; Zhang, Z.; Wang, X.; Peng, Y.; Peng, S.; Li, A.; Wei, X. Different nitrate and ammonium ratios affect growth and physiological characteristics of Camellia oleifera Abel. seedlings. Forests 2018, 9, 784. [Google Scholar] [CrossRef]
- Tu, J.; Chen, J.; Zhou, J.; Ai, W.; Chen, L. Plantation quality assessment of Camellia oleifera in mid-subtropical China. Soil Tillage Res. 2019, 186, 249–258. [Google Scholar] [CrossRef]
- Deng, Q.; Li, J.; Gao, C.; Cheng, J.; Deng, X.; Jiang, D.; Li, L.; Yan, P. New perspective for evaluating the main Camellia oleifera cultivars in China. Sci. Rep. 2020, 10, 20676. [Google Scholar] [CrossRef]
- Zhang, X.; He, C.; Yan, B.; Zuo, Y.; Zhang, T.; Chen, L.; Tan, X.; Li, Z. Effects of fruit load on growth, photosynthesis, biochemical characteristics, and fruit quality of Camellia oleifera. Sci. Hortic. 2023, 317, 112046. [Google Scholar] [CrossRef]
- Primack, R.B. Relationships among flowers, fruits, and seeds. Annu. Rev. Ecol. Syst. 1987, 18, 409–430. [Google Scholar] [CrossRef]
- Wheal, M.S.; Fowles, T.O.; Palmer, L.T. A cost-effective acid digestion method using closed polypropylene tubes for inductively coupled plasma optical emission spectrometry (ICP-OES) analysis of plant essential elements. Anal. Methods 2011, 3, 2854–2863. [Google Scholar] [CrossRef]
- Rawat, H.; Bhat, S.A.; Dhanjal, D.S.; Singh, R.; Gandhi, Y.; Mishra, S.K.; Kumar, V.; Shakya, S.K.; Narasimhaji, C.V.; Singh, A.; et al. Emerging techniques for the trace elemental analysis of Plants and Food-based Extracts: A Comprehensive Review. Talanta Open 2024, 10, 100341. [Google Scholar] [CrossRef]
- Yun, Y.; Wang, W.; Deng, B.; Lai, G.; Liu, X.; Ren, D.; Liang, Y.; Fan, W.; Xu, Q. Using variable combination population analysis for variable selection in multivariate calibration. Anal. Chim. Acta 2015, 862, 14–23. [Google Scholar] [CrossRef]
- Yun, Y.; Wang, W.; Tan, M.; Liang, Y.; Li, H.; Cao, D.; Lu, H.; Xu, Q. A strategy that iteratively retains informative variables for selecting optimal variable subset in multivariate calibration. Anal. Chim. Acta 2014, 807, 36–43. [Google Scholar] [CrossRef]
- Abiodun, O.I.; Jantan, A.; Omolara, A.E.; Dada, K.V.; Mohamed, N.A.; Arshad, H. State-of-the-art in artificial neural network applications: A survey. Heliyon 2018, 4, e00938. [Google Scholar] [CrossRef]
- Ciura, K.; Kovačević, S.; Pastewska, M.; Kapica, H.; Kornela, M.; Sawicki, W. Prediction of the chromatographic hydrophobicity index with immobilized artificial membrane chromatography using simple molecular descriptors and artificial neural networks. J. Chromatogr. A 2021, 1660, 462666. [Google Scholar] [CrossRef]
- Afsari, R.; Nadizadeh Shorabeh, S.; Bakhshi Lomer, A.R.; Homaee, M.; Arsanjani, J.J. Using artificial neural networks to assess earthquake vulnerability in urban blocks of Tehran. Remote Sens. 2023, 15, 1248. [Google Scholar] [CrossRef]
- Li, H.; Zhao, C.; Yang, G.; Feng, H. Variations in crop variables within wheat canopies and responses of canopy spectral characteristics and derived vegetation indices to different vertical leaf layers and spikes. Remote Sens. Environ. 2015, 169, 358–374. [Google Scholar] [CrossRef]










| Growing Stages | Data Acquisition and Sampling Date | 
|---|---|
| Spring shoot stage | 12–15 March 2022 | 
| Summer shoot stage | 27–29 July 2022 | 
| Fruit expanding stage | 27–29 August 2022 | 
| Fruit ripening stage | 27–29 October 2023 | 
| Full blooming stage | 14–17 December 2022 | 
| Disclaimer/Publisher’s Note: The statements, opinions and data contained in all publications are solely those of the individual author(s) and contributor(s) and not of MDPI and/or the editor(s). MDPI and/or the editor(s) disclaim responsibility for any injury to people or property resulting from any ideas, methods, instructions or products referred to in the content. | 
© 2024 by the authors. Licensee MDPI, Basel, Switzerland. This article is an open access article distributed under the terms and conditions of the Creative Commons Attribution (CC BY) license (https://creativecommons.org/licenses/by/4.0/).
Share and Cite
Liu, D.; Yan, L.; Zhang, C.; Xue, Y.; Chen, M.; Li, R.; Tang, X. The Spectral Response Characteristics of Potassium in Camellia oleifera Leaves at Different Growth Stages. Forests 2024, 15, 1930. https://doi.org/10.3390/f15111930
Liu D, Yan L, Zhang C, Xue Y, Chen M, Li R, Tang X. The Spectral Response Characteristics of Potassium in Camellia oleifera Leaves at Different Growth Stages. Forests. 2024; 15(11):1930. https://doi.org/10.3390/f15111930
Chicago/Turabian StyleLiu, Deqing, Lipeng Yan, Chao Zhang, Yongji Xue, Mengyu Chen, Rui Li, and Xuehai Tang. 2024. "The Spectral Response Characteristics of Potassium in Camellia oleifera Leaves at Different Growth Stages" Forests 15, no. 11: 1930. https://doi.org/10.3390/f15111930
APA StyleLiu, D., Yan, L., Zhang, C., Xue, Y., Chen, M., Li, R., & Tang, X. (2024). The Spectral Response Characteristics of Potassium in Camellia oleifera Leaves at Different Growth Stages. Forests, 15(11), 1930. https://doi.org/10.3390/f15111930
 
        


 
       