Abstract
The aim of this paper was to investigate the transcriptomic and metabolomic differences in Populus cathayana × canadasis ‘Xinlin1’ (P. cathayana × canadasis ‘Xinlin 1’) under varying irrigation and fertilization conditions. Ten-year-old P. cathayana × canadasis ‘Xinlin 1’ was selected as the test subject in this study; different irrigation and fertilization treatments were set up, and DEGs and DAMs in response to water and fertilizer regulation were identified. Transcriptomic and metabolomic profiles were analyzed from both leaves and roots. A total of 22,870 DEGs were identified in response to water and fertilizer treatments, predominantly belonging to 48 transcription factor families, including MYB, ERF, and MYB-related ones. Additionally, 2432 DAMs were detected and categorized into 18 metabolite classes, with flavonoids being the most abundant (342 metabolites), followed by terpenoids, lipids, and others. KEGG enrichment analysis revealed that DEGs and DAMs were significantly associated with pathways such as plant hormone signal transduction and starch and sucrose metabolism pathways. The levels of ABA exhibited an initial decrease followed by an increase, with several key genes, including PYR/PYL, PP2C, SnRK2, and ABF, also differentially expressed in the plant hormone signal transduction pathway. In the starch and sucrose metabolic pathways, sucrose was more hydrolyzed into D-fructose, which gradually translocated from roots to leaves. DEGs were significantly involved in sucrose synthesis and decomposition into D-fructose and 1,3-β-glucose, as well as starch synthesis and starch decomposition into cellulose dextrin, which underwent complete hydrolysis to glucose. In the starch hydrolysis process, 29 DEGs were involved, with 12 down-regulated and 17 up-regulated.
1. Introduction
Poplar (Populus L.) is a key fast-growing, high-yield forest tree species in China, renowned for its adaptability, rapid growth, early maturity, and strong resistance traits. It is extensively utilized in pulpwood and large-diameter timber production and serves as a primary species in agricultural and forestry protection forests [1,2]. Currently, poplar plantations cover over 10 million hm2 in China, with 7.57 million hm2 dedicated to artificial forests. Despite occupying only 6.45% of the total forest area, these plantations account for nearly 30% of the country’s wood production, making poplar the leading species in the five key national reserve forest zones [3,4]. Cultivation techniques play a pivotal role in determining the yield and quality of poplar wood [5,6]. For instance, proper pruning can significantly enhance poplar yield while promoting the growth of both current-year shoots and overall plant height [7]. Water and fertilizer, essential resources influencing poplar growth, are pivotal in cultivation practices. While most research has focused on the effects of irrigation or fertilization treatments independently, these studies have provided valuable insights into optimizing cultivation techniques for improving poplar growth and development [8].
Extensive research has been conducted on the impact of fertilization on forest productivity, revealing that its effectiveness was influenced by factors such as tree species, forest age, fertilizer type, timing of application, site conditions, and soil properties [9]. As a fast-growing tree species, poplar demonstrates vigorous growth and requires more nutrients compared to other high-yield species [10]. Fertilization enhances tree growth and increases forest productivity by improving photosynthesis, expanding leaf area, and boosting dry matter accumulation in poplar [11]. Studies have shown that nitrogen fertilizer application, regardless of soil fertility, can significantly increase poplar stem biomass, thereby enhancing economic returns [12]. Li et al. [13] found that applying 50% organic fertilizer to poplar seedlings in Xinjiang effectively promoted branch growth and boosted enzyme activity. Poplar’s high water demand makes irrigation particularly essential for its long-term cultivation, surpassing the importance of fertilization alone [14,15]. Zhu et al. [16] reported a significant relationship between irrigation levels and the stand growth of Populus tomentosa Carrière (P. tomentosa Carrière) clones, with growth increasing in tandem with field water-holding capacity. An irrigation threshold exceeding 75% of field capacity was identified as optimal for achieving higher growth rates in fast-growing, high-yield poplar. The integration of water and fertilizer, a novel approach, has been shown to significantly enhance resource use efficiency, with a rational combination of the two proving highly effective [17]. The growth and photosynthetic traits of Acer truncatum Bunge seedlings under the combined influence of water and fertilizer were examined, revealing that appropriate water-fertilizer coupling significantly boosted seedling height, ground diameter (diameter at 30 cm above ground), and total biomass [18]. Similarly, Yang et al. [11] demonstrated that these coupling techniques enhanced unit area biomass accumulation and annual productivity in 2–3-year-old triploid P. tomentosa Carrière plantations, particularly in short-rotation systems in Northwestern Shandong. Coleman et al. [19] investigated the impact of water–fertilizer coupling on root spatial distribution and growth in Populus deltoides Marshall, finding that this approach significantly increased root length density, with a strong positive correlation between fine root production and fertilizer application.
Omics studies are extensively applied to uncover the molecular mechanisms underlying observed physiological changes. Zeng et al. [20] investigated the effects of different fertilization regimes on sugar, lipid, and protein metabolism in maize ear leaves through transcriptomic analysis, revealing that combined nitrogen, phosphorus, and potassium fertilization significantly altered the transcriptional levels of genes associated with these metabolic processes. Key genes involved in the metabolism of these organic substances were identified. Under high nitrate nitrogen conditions, gene expression linked to the biosynthesis of phenylalanine, tyrosine, and tryptophan in tobacco roots was up-regulated [21]. Similarly, metabolomic analysis of wheat grains under different fertilization treatments showed an increase in organic acids, carbohydrates, amino acids, and total metabolites, with differentially accumulated metabolites (DAMs) predominantly enriched in pathways like aminoacyl-tRNA biosynthesis, phenylalanine, and tyrosine, tryptophan, and isoquinoline alkaloid biosyntheses [22]. Song et al. [23] demonstrated that alternate wetting and drying irrigation significantly reduced non-structural carbohydrate and starch levels in rice plants while amylase activity increased. Transcriptomic analysis further revealed enrichment in starch and sucrose metabolism, plant hormone signal transduction, MAPK signaling pathways, and various transcription factor families. Despite the widespread application of omics in agricultural species, research on how poplar regulates growth and development via transcriptional metabolic pathways in response to water and fertilizer coupling remains limited.
P. cathayana × canadasis ‘Xinlin 1’ is a fast-growing, highly resistant variety bred in 2015 with strong cutting survival ability [24], which is ideal for timber forest cultivation. This study utilized a 10-year-old P. cathayana × canadasis ‘Xinlin 1’ plantation as the experimental material. Building upon prior physiological experiments, effective water and fertilizer combinations were selected for transcriptome and metabolome sequencing. The objective was to elucidate the molecular mechanisms behind P. cathayana × canadasis ‘Xinlin 1’ response to water and fertilizer treatments by analyzing the changes in relevant genes and metabolites, ultimately providing technical support for cultivating high-quality, high-yield poplar plantations.
2. Materials and Methods
2.1. Materials and Treatment
The 10-year-old P. cathayana × canadasis ‘Xinlin 1’ plantation selected for this study was derived from the annual roots and seedlings planted in 2013, located in the mechanical forest farm of Xinmin City, Liaoning Province (122°33′53″ E, 41°51′48″ N), with a planting density of 4 m × 6 m. The tree’s height is about 20 m, and the diameter at breast height (1.3 m) is about 25 cm. From May to July 2023, four treatment groups were established: no irrigation or fertilization (CK); irrigation at −20 KPa without fertilization (H); irrigation at −20 KPa with 1000 g/plant nitrogen fertilizer (46% urea) (N); and irrigation at −20 KPa with 1000 g/plant compound fertilizer (N:P:K = 15:15:15) (F). The specific treatment combinations and their respective numbers are detailed in Table 1, with each treatment replicated three times.
Table 1.
Test combinations of water and fertilizer coupling treatment of P. cathayana × canadasis ‘Xinlin 1’.
In early August, at the conclusion of the treatments, fully expanded leaves were collected from the top branches at a height of 15 m. Simultaneously, roots were sampled from the same directional orientation. After dissecting the surface soil, the fibrous roots of the larger trees were retrieved, and the rhizosphere soil was brushed off before cutting the roots. These samples were wrapped in tin foil, immediately frozen in liquid nitrogen, transported to the laboratory, and stored at −80 °C.
2.2. Transcriptome Sequencing and Differentially Expressed Genes (DEGs) Analysis
Leaves and roots from each treatment were sent to Shanghai Majorbio Bio-pharm Technology Co., Ltd. (Shanghai, China). for library construction and transcriptome sequencing, with each sample replicated three times. Sequencing and analysis were performed on the Illumina platform (Illumina, CA, USA). Raw data, post-quality control using fastp (Version 0.19.5) (https://github.com/OpenGene/fastp, accessed on 15 October 2024), were aligned to the reference genome of Populus trichocarpa (http://plants.ensembl.org/Populus_trichocarpa/Info/Index, accessed on 15 October 2024) for functional annotation using HiSat2 (Version 2.1.0) (http://ccb.jhu.edu/software/hisat2/index.shtml, accessed on 15 October 2024). Gene/transcript expression levels across different samples were analyzed with RSEM (Version 1.3.3) (http://deweylab.github.io/RSEM/, accessed on 15 October 2024), while DESeq2 (Version 1.24.0) (http://bioconductor.org/packages/stats/bioc/DESeq2/, accessed on 15 October 2024) was employed to identify differentially expressed genes (DEGs), using FDR < 0.05 and |log2FC| ≥ 1 as the selection criteria. Functional annotation and enrichment analysis of DEGs were conducted using the Gene Ontology (GO) (Version 2022.0915) (http://geneontology.org/, accessed on 15 October 2024) and Kyoto Encyclopedia of Genes and Genomes (KEGG) (Version 2022.10) (https://www.genome.jp/kegg/, accessed on 15 October 2024) databases.
2.3. Metabolome Sequencing and DAMs Analysis
The leaves and roots from each treatment group were submitted to Shanghai Majorbio Bio-pharm Technology Co., Ltd. for LC-MS-based non-targeted metabolome sequencing, with each sample replicated five times.
Metabolites were extracted and analyzed using Liquid Chromatography–Mass Spectrometry (LC-MS), and Progenesis QI (Waters Corporation, Milford, CT, USA) was employed for metabolite annotation and data preprocessing. The resulting metabolite lists and data matrices were further analyzed, with DAMs identified through t-tests and VIP scores from OPLS-DA. For metabolite identification, mass spectrometry results were cross-referenced with the KEGG and Human Metabolome Database (HMDB), and metabolite annotations were categorized and quantified. DAMs were screened based on a significance threshold of p < 0.05 and a variable importance plot (VIP) score ≥ 1.0 to identify differential metabolites across comparison groups.
2.4. Validation of Real-Time Quantitative PCR (RT-qPCR)
To verify the transcriptomic results, nine DEGs were randomly selected for RT-qPCR validation. Specific primers were designed using Primer Premier 5.0, and the sequences are listed in Table 2.
Table 2.
Primer sequences for the RT-qPCR of genes.
Total RNA was reverse-transcribed into cDNA using the PrimeScriptTM RT reagent Kit with gDNA Eraser (Perfect Real Time) (Takara, Shiga, Japan). Actin was chosen as the reference gene, and RT-qPCR was performed using the TB Green® Premix Ex TaqTM II (Tli RNaseH Plus) kit (Takara, Shiga, Japan). Relative gene expression was calculated using the 2−ΔΔCt method [25], with three replicates for each sample.
2.5. Data Analysis
Data analysis was conducted using Microsoft Office Excel 2010 and SPSS 24.0, employing one-way ANOVA and Duncan’s test (p < 0.05). Results are presented as means ± standard deviation (SD) from at least three replicates, and graphical representations were generated using Origin 2018 software.
3. Results
3.1. Transcriptome Analysis
A total of 1,165,246,824 raw reads were generated from 24 P. cathayana × canadasis ‘Xinlin 1’ samples. After filtering, 1,157,717,240 high-quality clean reads were obtained, with a Q20 base percentage exceeding 97.99% and Q30 bases exceeding 94.03%, indicating that the data quality was suitable for further analysis (Table S1).
Principal component analysis (PCA) results (Figure 1A) revealed that the samples within each group clustered closely, while those between groups were more dispersed, confirming the strong repeatability of the data.
Figure 1.
Functional annotation of DEGs from P. cathayana × canadasis ‘Xinlin 1’. (A) PCA score plot for different samples. (B) Statistical analysis of expression difference between different comparison groups. (C) Venn diagram of DEGs among six comparison groups. (D) Statistical analysis of TFs families. (E) The top 20 KEGG enrichment pathways of DEGs. (F) KEGG functional annotation classification statistics for DEGs.
A total of 22,870 DEGs were identified across the 24 transcriptomes, with the HR vs. CKR group showing the highest number of DEGs. Specifically, 8540 DEGs (4109 up–regulated, 4431 down–regulated) were identified in HR vs. CKR, 7317 DEGs (3264 up-regulated, 4053 down–regulated) in NR vs. CKR, 6067 DEGs (2500 up–regulated, 3567 down-regulated) in FR vs. CKR, 4649 DEGs (3760 up–regulated, 889 down–regulated) in HL vs. CKL, 4360 DEGs (2739 up–regulated, 1621 down–regulated) in NL vs. CKL, and 2558 DEGs (1774 up–regulated, 784 down–regulated) in FL vs. CKL (Figure 1B). Venn diagram analysis revealed 228 shared DEGs across the six comparison groups (Figure 1C). Transcription factor prediction and family analysis showed that 2390 DEGs were distributed across 48 transcription factor families, with the v–myb avian myeloblastosis viral oncogene homolog (MYB), ethylene responsive factor (ERF), and MYB–related families having the highest number of genes. This suggests that these transcription factor families play a critical role in regulating poplar’s water and fertilizer absorption and utilization (Figure 1D).
KEGG enrichment analysis of the DEGs (Figure 1E) revealed significant enrichment in pathways such as plant hormone signal transduction, plant–pathogen interaction, MAPK signaling, and phenylpropanoid biosynthesis. The DEGs were classified using the KEGG database based on the pathways they participated in or the functions they performed. The results showed that some genes were annotated with functions related to genetic information processing, such as protein folding, sorting, degradation, transcription, and translation. Several genes were also associated with signal transduction, membrane transport, and other aspects of environmental information processing. A smaller subset of genes was involved in cellular processes, such as transport, catabolism, and environmental adaptation (Figure 1F).
3.2. Validation of RNA–Seq by RT–qPCR
To verify the reliability of the RNA–seq data, nine DEGs were randomly selected for the RT–qPCR analysis, and the correlation between RT–qPCR and RNA–seq results was assessed. The findings (Figure 2) demonstrated a high degree of consistency between the expression trends observed in the transcriptome data and the RT–qPCR results, confirming the reliability of the RNA–seq data. This suggests that the RNA–seq results provide robust and detailed information for further key gene identification related to water and fertilizer utilization in P. cathayana × canadasis ‘Xinlin 1’.
Figure 2.
RT–qPCR validations of DEGs. The histogram was RNA–seq to analyze the expression level, and the line chart was RT–qPCR to determine the relative expression level. The histogram shows the gene expression in RNA–seq; the line graph shows the relative expression measured by RT–qPCR. The TPM value of RNA–seq corresponded to the left ordinate, and the relative expression of RT–qPCR corresponded to the right ordinate.
3.3. Metabolome Analysis
PCA was conducted on 40 metabolome sequencing samples to assess overall metabolic differences and variations in and between treatment groups. The results (Figure 3A) showed close clustering of replicates within the same group, indicating high repeatability. A clear separation was observed between roots and leaves across different treatment groups, suggesting that both tissue type and treatment significantly influenced plant metabolic responses. A total of 2959 metabolites were identified by comparing the mass spectrometry data. After differential analysis, 2432 DAMs were identified across the six comparison groups. Specifically, 980 DAMs (505 up–regulated, 475 down–regulated) were identified in HR vs. CKR, 1059 DAMs (383 up–regulated, 676 down–regulated) in NR vs. CKR, 934 DAMs (601 up–regulated, 333 down–regulated) in FR vs. CKR, 1011 DAMs (568 up–regulated, 443 down–regulated) in HL vs. CKL, 972 DAMs (596 up–regulated, 376 down–regulated) in NL vs. CKL, and 1038 DAMs (568 up–regulated, 470 down–regulated) in FL vs. CKL (Figure 3B).
Figure 3.
Identification and analysis of differential accumulation metabolites. (A) PCA analysis of DAMs. (B) DAMs expression analysis of six comparison groups. (C) Venn analysis of six comparison groups. (D) Classification of DAMs. (E) KEGG enrichment analysis of DAMs.
A Venn analysis was performed to identify shared DAMs across the six comparison groups for both roots and leaves, revealing 42 common DAMs (Figure 3C). KEGG enrichment analysis of these DAMs indicated that they were mainly involved in secondary metabolite biosynthesis and isoflavonoid biosynthesis (Table S2).
Further analysis (Figure 3D) showed that 2427 DAMs were classified into 18 metabolite categories, with the largest group categorized as “other” (506 DAMs), followed by flavonoids (342 DAMs), terpenoids (331 DAMs), and lipids (286 DAMs). These results suggest that these metabolite categories play a critical role in water and fertilizer absorption in P. cathayana × canadasis ‘Xinlin 1’. KEGG enrichment analysis of all DAMs from the six comparison groups (Figure 3E) revealed significant involvement of metabolites in pathways such as flavonoid biosynthesis, arachidonic acid metabolism, isoflavonoid biosynthesis, and arginine and proline metabolism.
3.4. Critical Pathway Analysis of Transcription Metabolism
3.4.1. Plant Hormone Signal Transduction Pathway
Under the combined irrigation and fertilizer treatment, the hormone signal transduction pathway in P. cathayana × canadasis ‘Xinlin 1’ showed significant enrichment, with 201 genes involved and seven metabolites differentially expressed in roots or leaves. Specifically, within the carotenoid biosynthesis pathway, abscisic acid (ABA) levels initially decreased before increasing in both roots and leaves, reaching the lowest levels in NR, followed by FR, which suggests that fertilization influences the accumulation of endogenous hormones and regulates the growth of P. cathayana × canadasis ‘Xinlin 1’. In addition, several genes in the pyrabactin resistance 1–like (PYR/PYL), 2C protein phosphatase (PP2C), SNF–1–related protein kinase 2 (SnRK2), and ABRE binding factors (ABF) families exhibited differential expression. Of the eight PYR/PYL genes, five were up–regulated in roots, while three were down-regulated, and five were up–regulated in leaves. Among the seven PP2C genes, four were up–regulated, and three were down-regulated in roots. As for the seven SnRK2 genes, four were down–regulated in roots, with three up-regulated. Similarly, five of the seven ABF genes were up-regulated in roots, while two were down–regulated (Figure 4). These expression patterns indicate that these genes play a role in responding to water and fertilizer treatments by receiving ABA signals in P. cathayana × canadasis ‘Xinlin 1’.
Figure 4.
The expression profiles of DEGs and DAMs in plant hormone signal transduction pathways under different treatments (CKR, HR, NR, FR, CKL, HL, NL, FL). The red boxes represent DEGs; the red circles represent DAMs, the white circles represent the accumulation of metabolites without difference. The colors from green to red represent the patterns of genes from down–regulated to up–regulated, and the colors from purple to yellow represent the accumulated patterns of metabolites from decreased to increased, respectively.
3.4.2. Starch and Sucrose Metabolism
In the starch and sucrose metabolic pathways, irrigation and fertilization also enriched DEGs involved in sucrose synthesis and its breakdown into D–fructose, 1,3–β–glucose, and starch metabolism. Sucrose was broken down into glucose and D–fructose, catalyzed by invertase, with six DEGs being active in this process. Starch biosynthesis was catalyzed by enzymes such as sucrose synthase (SUS), starch synthase, ADP glucose pyrophosphorylase, and starch branching enzyme, with 16 DEGs identified in the roots and leaves of P. cathayana × canadasis ‘Xinlin 1’. Initially, these genes were predominantly expressed in the roots before shifting to the leaves as the process advanced. Starch was hydrolyzed into cellulose, which was further broken down into D-glucose by endoglucanase and β–glucosidase, or alternatively, starch was directly hydrolyzed into D–glucose by β–glucanase and β–glucosidase. A total of 29 DEGs were involved in this process, with 12 down–regulated and 17 up–regulated (Figure 5).
Figure 5.
The expression profiles of DEGs and DAMs in starch and sucrose metabolism pathways under different treatments (CKR, HR, NR, FR, CKL, HL, NL, FL). The red boxes represent DEGs; the red circles represent DAMs, the white circles represent the accumulation of metabolites without difference. The colors from blue to orange represent the patterns of genes from down–regulated to up–regulated, and the colors from green to red represent the accumulated patterns of metabolites from decreased to increased, respectively.
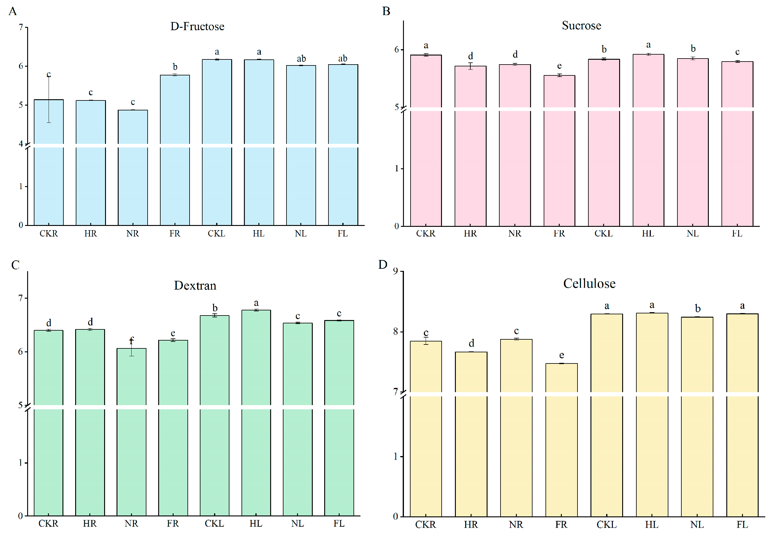
In this pathway, sucrose content in the roots progressively decreased under irrigation and fertilization treatments, while it increased in the leaves. There were significant differences in the contents of roots and leaves under the same treatment. The accumulation of cellulose in leaves was higher than that in roots, which first increased and then decreased in roots and reached the lowest in FR treatment. The D–fructose content decreased in roots and leaves, but the accumulation increased under FR treatment, and there was a significant difference between FR treatment and other treatments, which showed that both sucrose and cellulose hydrolysis were beneficial to the production of D–fructose (Figure 6).
Figure 6.
The contents analysis of important metabolites in starch and sucrose metabolism pathway. (A) The contents of D–fructose. (B) The contents of sucrose. (C) The contents of dextran. (D) The contents of cellulose. Different lowercase letters indicate significant differences (p < 0.05).
4. Discussion
Plant growth is strongly influenced by external environmental conditions, with water and nutrients being essential for optimal development. Effective regulation of water and fertilizer can significantly enhance plant growth and metabolite accumulation [26]. Studies have shown that the interaction of irrigation amount, cycle, and fertilization frequency can greatly impact the growth metrics of Caragana acanthophylla KOM., including crown width, plant height, ground diameter, and fresh weight, both above and below ground [27]. In Nitraria tangutorum Bobrov, appropriate additions of water and nitrogen were found to improve branch length, leaf number, leaf area, single fruit weight, net photosynthetic rate, transpiration rate, metabolite accumulation, and water-use efficiency [28]. Similarly, under combined water and fertilizer treatments, the growth characteristics of Ailanthus altissima (Mill.) Swingle ‘Liaohong’ seedlings were significantly affected. Optimal growth and biomass accumulation were achieved with 50%–60% field capacity and 4–2–3 g/plant (N–P2O5–K2O) [29]. In earlier phases of this study, the effects of varying gradients of water, nitrogen fertilizer, and compound fertilizer on the growth, photosynthesis, and physiological characteristics of P. cathayana × canadasis ‘Xinlin 1’ were evaluated. Results indicated that irrigation and fertilization significantly increased tree height, diameter at breast height, chlorophyll content, soluble protein levels, and glutamine synthetase activity. Additionally, photosynthetic parameters such as net photosynthetic rate and stomatal conductance were also enhanced. The highest growth and physiological indices, as well as net photosynthetic rates, were observed with irrigation and 1000 g of compound fertilizer per plant [30]. These results suggest that the synergy between water and fertilizer improves photosynthetic capacity by altering the physiological characteristics of leaves, thereby promoting the growth of P. cathayana × canadasis ‘Xinlin 1’.
Plant hormones, a class of small molecular compounds, regulate various metabolic processes at extremely low concentrations [31]. Among these, ABA, a sesquiterpene synthesized from β-carotene, plays a key role in numerous aspects of plant growth and development, including cell division, elongation, seed dormancy, and root growth [32,33]. ABA not only governs normal growth processes but also triggers strong responses in leaves under stress, influencing seed germination, stomatal closure, and the expression of stress-related genes [34]. Previous research has demonstrated that applying nitrogen fertilizer could reduce ABA concentrations in plants, promoting increased stomatal conductance and enhancing net photosynthetic rates [35]. Findings from earlier experiments in this study revealed that both nitrogen and compound fertilizers lowered ABA levels in the roots and leaves of P. cathayana × canadasis ‘Xinlin 1’ while simultaneously increasing stomatal conductance and net photosynthetic rates. This suggests that fertilization modulates ABA levels to improve photosynthetic performance, ultimately promoting poplar growth. In other species, such as oats, severe water stress has been shown to significantly enrich the plant hormone signal transduction pathway, particularly the ABA signaling pathway, which was associated with numerous DEGs [36]. Similarly, transcriptome analysis of lettuce roots grown in nutrient solution indicated significant enrichment of DEGs in hormone signal transduction pathways, particularly those involved in ABA, JA, and ET synthesis. These findings suggest that hormones like ABA are closely linked to root morphology, with mobile nutrients influencing root morphogenesis through hormone synthesis and signaling, ultimately affecting overall plant growth [37]. In this study, the plant hormone signal transduction pathway in the P. cathayana × canadasis ‘Xinlin 1’ was significantly enriched under water and fertilizer-coupling treatments. Compared to the control, ABA content was notably reduced, and ABA-responsive genes exhibited differential expression. This suggests that PYR/PYL, acting as ABA receptors, transmitted ABA signals downstream, activating PP2C transmitted ABA signals downstream, activating SnRK2 through a phosphorylation cascade. SnRK2 then activated the downstream transcription factor ABF, inducing its expression and regulating stomatal closure, thereby enabling P. cathayana × canadasis ‘Xinlin 1’ to respond to water and fertilizer treatments.
Research has shown that the synergistic effects of drip irrigation and fertilization can enhance maize dry matter accumulation, extend leaf functionality, increase the accumulation of essential grain elements, and improve the grain filling rate. Furthermore, DEGs involved in starch and sucrose metabolism pathways were found to be highly enriched, with various regulatory mechanisms influencing enzyme activity in these pathways, ultimately impacting starch formation in maize grains [38]. In poplar (Nanlin895), transcriptome analysis of shoots and roots treated with either Gln or inorganic nitrogen showed that Gln treatment led to the down–regulation of many ribosomal genes but a significant induction of starch and sucrose metabolism genes in the shoots. Conversely, in the roots, the majority of DEGs were associated with carbon metabolism, glycolysis/gluconeogenesis, and phenylpropanoid biosynthesis, indicating that exogenous nitrogen played a key role in regulating carbon redistribution and secondary metabolite production [39]. Similarly, transcriptome and metabolome analyses of P. cathayana × canadasis ‘Xinlin 1’ under irrigation and fertilizer treatments revealed that irrigation, nitrogen, and compound fertilizer treatments significantly induced numerous starch and sucrose metabolism genes in the roots, suggesting that poplar allocated more energy to sugar metabolism under these conditions, thus regulating growth.
Sucrose is the final product of photosynthesis and the essential energy and structural substance for plant growth. It is involved in numerous developmental processes such as cell division, flowering induction, vascular tissue differentiation, seed germination, and the accumulation of storage compounds [40]. Sucrose hydrolysis is mediated by two key enzymes: SUS and β–fructofuranosidase (INV). SUS catalyzes the reversible reaction between sucrose and uridine diphosphate (UDP), yielding UDP-glucose and D–fructose, while INV catalyzes the breakdown of sucrose into D–glucose and D-fructose [41]. SUS, a glycosyltransferase, plays a pivotal role in starch, callose, and cellulose synthesis pathways, contributing to vascular tissue function, meristem activity, and stress-resistance growth [42]. Zhu et al. [43] found that in maize filaments under water stress, the starch and sucrose metabolism pathway was predominantly down–regulated during the growth phase, leading to reduced starch content and lower sucrose decomposition into glucose and D–fructose. Additionally, the up–regulation of three SUS genes in this pathway contributed to xylem vessel cell wall thickening, which reduced water loss and enhanced drought resistance in maize. The wood of trees is mainly composed of secondary cell walls and contains 42%~50% cellulose [44]. UDP–glucose (UDPG) is the only precursor of cellulose, and UDP–glucose can be obtained by sucrose hydrolysis, which requires the participation of sucrose synthase [45]. SUS plays an important role in normal growth and development of plants. Many studies have shown that changes in SUS activity could affect plant biomass. Overexpression of the PvSUS1 gene in Panicum virgatum L. increased plant height and biomass [46]. Heterologous expression of poplar SUS in tobacco plants resulted in increased cellulose content and xylem cell wall thickness [47]. INV is another key enzyme in the decomposition of sucrose, and recent studies have shown that the INV pathway provides carbon sources for cellulose synthesis, which ultimately affects plant biomass. Heterologous expressing PhCWINV1, PhCWINV4, or PhCWINV7 genes of Phyllostachys edulis (Carrière) J. Houzeau in Arabidopsis thaliana (L.) Heynh. increased the biomass of transgenic plants [48]. In this study, SUS and INV genes exhibited differential expression under irrigation and fertilizer treatments. SUS was mainly up-regulated in roots, with two genes significantly up-regulated and two down-regulated. For INV, two genes were down–regulated in leaves, three were down-regulated in roots, and one was up–regulated. These findings suggest that water-fertilizer coupling regulates the conversion of sucrose to D–fructose and cellulose by improving the photosynthesis of P. cathayana × canadasis ‘Xinlin 1’ leaves and inducing these genes to participate in the process of sucrose hydrolysis, thus regulating the growth of poplar [30].
Starch is an important energy storage substance in many plants, which is mainly synthesized utilizing α–D–glucose–1P as a substrate and is facilitated by a series of enzymes. This process can be divided into two main pathways. In one pathway, ADP–glucose pyrophosphorylase and starch synthase jointly catalyze amylose formation, which is further processed by starch branching enzyme to produce amylopectin [49]. ADP–glucose pyrophorylase (ADGPase) is a key enzyme in the first step of starch synthesis. It is responsible for catalyzing glucose–1–phosphate (Glc–1–P) and ATP to produce ADP–glucose (ADP–Glc), the precursor of starch synthesis. Chen et al. analyzed the transgenic maize lines with the mutant AGPase gene. It was found that the transgenic plants with high expression of the AGPase gene grew normally, and the spike weight, 100–grain weight, and starch content were significantly higher than those of the control plants [50]. Starch synthase enzyme (SS) is another key enzyme in the process of starch biosynthesis, which catalyzes ADP–Glc to synthesize starch. This study showed that maize yield, 1000-grain weight, starch content, and starch accumulation amount increased under shallow drip irrigation, and starch synthase activity was significantly positively correlated with starch accumulation rate [51]. This study revealed that under the water and fertilizer treatments, two ADGPase genes were up-regulated in roots and leaves, and one SS gene in the relevant pathway was up-regulated in both roots and leaves, indicating that water and fertilizer played a pivotal role in enhancing starch production of P. cathayana × canadasis ‘Xinlin 1’.
By analyzing the transcriptome and metabolome of P. cathayana × canadasis ‘Xinlin 1’ under varying irrigation and fertilization conditions, we can deeply understand which genes or metabolites are activated or accumulated, thereby regulating the growth and development of poplars. It provides information for analysis of poplar growth and development regulation, quality improvement, and breeding stress–resistant varieties. In breeding programs and agricultural practices, it can be used to formulate accurate breeding programs, guide the optimization of agricultural practices, and ultimately achieve sustainable development. However, our research still has limitations, such as single material, so we will use more varieties in the future to verify the positive effect of water and fertilizer-coupling treatment on poplar.
5. Conclusions
The effects of irrigation and fertilization on plants involve a highly complex process, encompassing not only the regulation of metabolites but also the expression of related genes. In P. cathayana × canadasis ‘Xinlin 1’, irrigation and fertilization treatments influence the expression of transcription factor family members, such as MYB and ERF, as well as the accumulation of metabolites such as flavonoids, terpenoids, and lipids. Plant hormone signal transduction pathway and starch and sucrose metabolism pathway can respond to the water–fertilizer coupling. The differential expression of PYR/PYL, PP2C, SnRK2, and ABF in the plant hormone signal transduction pathway regulated the stomatal closure of P. cathayana × canadasis ‘Xinlin 1’. Multiple genes are involved in the synthesis and hydrolysis of sucrose, starch synthesis, and other processes, and ultimately regulate the conversion of sucrose into D-fructose and starch biosynthesis in P. cathayana × canadasis ‘Xinlin 1’. Thus, water–fertilizer treatments play a critical role in modulating gene expression and metabolite accumulation, influencing the growth mechanisms of P. cathayana × canadasis ‘Xinlin 1’. This study offers valuable insights into optimizing water and fertilizer use for efficient poplar cultivation.
Supplementary Materials
The following supporting information can be downloaded at https://www.mdpi.com/article/10.3390/f15111967/s1, Table S1: Transcriptome sequencing data of all samples; Table S2: KEGG pathway analysis of 42 common DAMs.
Author Contributions
Conceptualization, Z.P. and Y.P.; methodology, Z.P. and Y.P.; software, J.S., H.W. and X.Z. (Xinxin Zhang); validation, J.S.; formal analysis, H.W. and L.J.; investigation, X.L. and L.J.; data curation, X.L.; writing—original draft preparation, J.S.; writing—review and editing, X.Z. (Xinxin Zhang) and X.Z. (Xiyang Zhao); supervision, X.Z. (Xiyang Zhao); project administration, X.Z. (Xiyang Zhao); funding acquisition, X.Z. (Xiyang Zhao). All authors have read and agreed to the published version of the manuscript.
Funding
This research was funded by the National Key Research and Development Program of China, grant number 2021YFD2201204.
Data Availability Statement
The raw sequencing data have been uploaded to the NCBI SRA database (BioProject ID: PRJNA1123929).
Conflicts of Interest
The authors declare that they have no known competing financial interests or personal relationships that could have appeared to influence the work reported in this paper.
References
- Zhao, K.; Dang, H.; Zhou, L.D.; Hu, J.; Jin, X.; Han, Y.Z.; Wang, S.J. Genome-wide identification and expression analysis of the HSF gene family in poplar. Forests 2023, 14, 510. [Google Scholar] [CrossRef]
- Zhou, R.; Wang, Y.W.; Pan, J.B.; Sun, Q.P.; Ji, Y.H.; Lu, M.; Han, J.; Zhang, J.; Yu, Y.K. Molecular cloning and expression analysis of ZmNAC transcription factor gene. Agric. Sci. Technol. 2016, 17, 285–288. [Google Scholar]
- Wang, Y.F.; He, Y.L.; Yang, H.Q.; Zhu, W.; Jia, L.M.; Xi, B.Y. Research progress in effect of irrigation and fertilization on tree growth and land fertility in Populus plantation. World For. Res. 2023, 36, 63–69. [Google Scholar]
- Fang, S.Z. Silviculture of poplar plantation in China: A review. Chin. J. Appl. Ecol. 2008, 19, 2308–2316. [Google Scholar]
- Luo, Z.J.; Chen, W.W.; Lu, J.W.; Yu, C.B.; Chen, F. Fertilizer application method for poplar plantation in Jianghan plain. J. Northeast For. Univ. 2005, 33, 101–102. [Google Scholar]
- Yang, Y.; Li, Y.J.; Tang, J.; Tang, Y.X.; Li, C.Z. Biomass and calorific value differences among high-density poplar clones with initial planting. J. Northeast For. Univ. 2019, 47, 30–34+46. [Google Scholar]
- Chen, S.K.; Yin, W.L.; Liu, X.D.; Xia, X.L.; Sun, S.W. Short effects of pruning on growth of poplar (Populus × euramericana cv. ‘74/76’). Sci. Silvae Sin. 2008, 44, 133–138. [Google Scholar]
- Huang, G.W.; Ma, L.J.; Chen, H.L.; Fan, X.P.; Long, K.L.; Zhang, X.Y. Comparative analysis of the growth and photosynthetic characteristics of the poplar seedlings in different water gradient and fertilizer amount. Ecol. Sci. 2023, 42, 137–145. [Google Scholar]
- Feng, J.G.; Zhu, B. A review on the effects of nitrogen and phosphorus addition on tree growth and productivity in forest ecosystems. Chin. J. Plant Ecol. 2020, 44, 583–597. [Google Scholar] [CrossRef]
- Wang, Y.; Xi, B.Y.; Bloomberg, M.; Moltchanova, E.; Li, G.D.; Jia, L.M. Response of diameter growth, biomass allocation and N uptake to N fertigation in a triploid Populus tomentosa plantation in the North China Plain: Ontogenetic shift does not exclude plasticity. Eur. J. Forest Res. 2015, 134, 889–898. [Google Scholar] [CrossRef]
- Yang, H.Q.; Wang, Y.F.; Jia, L.M. Response of pulp plantation growth of Populus tomentosa S86 in short rotation period to coupling of irrigation and fertilization in furrow irrigation. J. Beijing For. Univ. 2023, 45, 68–78. [Google Scholar]
- Ghezehei, S.B.; Ewald, A.L.; Hazel, D.W.; Zalesny, R.S.; Nichols, E.G. Productivity and profitability of poplars on fertile and marginal sandy soils under different density and fertilization treatments. Forests 2021, 12, 869. [Google Scholar] [CrossRef]
- Li, H.X. Effect of organic fertilizer on tree growth and protective enzyme activity of Populus alba var. pyramidalis. Shaanxi For. Sci. Tech. 2019, 47, 27–31. [Google Scholar]
- Xi, B.Y.; Clothier, B.; Xi, B.Y.; Clothier, B.; Coleman, M.; Duan, J.; Hu, W.; Li, D.D.; Di, N.; Liu, Y.; et al. Irrigation management in poplar (Populus spp.) plantations: A review. For. Ecol. Manag. 2021, 494, 119330. [Google Scholar] [CrossRef]
- Zhu, W.; Wu, X.C.; Jia, L.M.; Xi, B.Y. Effects of key forest management practices and climatic factors on the growth of Populus tomentosa plantations in the North China Plain. Forest Ecol. Manag. 2022, 521, 120444. [Google Scholar] [CrossRef]
- Zhu, J.L.; Bo, H.J.; Li, X.; Wen, C.Y.; Wang, J.; Nie, L.S.; Tian, J.; Song, L.J. Long term water-nitrogen coupling effect on stand volume of different clones of Populus tomentosa. Sci. Silvae Sin. 2019, 55, 27–35. [Google Scholar]
- Dong, W.Y.; Qin, J.; Li, J.Y.; Zhao, Y.; Nie, L.S.; Zhang, Z.Y. Interactions between soil water content and fertilizer on growth characteristics and biomass yield of Chinese white poplar (Populus tomentosa Carr.) seedlings. Soil Sci. Plant Nutr. 2011, 57, 303–312. [Google Scholar] [CrossRef]
- Li, P.T.; Du, M.Y.; Wang, Y.; Pei, S.X.; Xin, X.B. Response of growth and photosynthetic characteristics of Acer truncatum seedlings to water and fertilizer coupling. J. Nanjing For. Univ. Nat. Sci. Ed. 2024, 48, 113. [Google Scholar]
- Coleman, M. Spatial and temporal patterns of root distribution in developing stands of four woody crop species grown with drip irrigation and fertilization. Plant Soil 2007, 299, 195–213. [Google Scholar] [CrossRef]
- Zeng, L.; Zhu, K.L.; Liu, L.G.; Liu, S.T.; Li, J. Transcriptome analysis of sugar, lipid and protein metabolism in maize ear leaves under different fertilization. Southwest China J. Agric. Sci. 2023, 36, 2126–2134. [Google Scholar]
- Zhang, Y.N.; Shi, H.Z.; Wang, J.; Zhou, Y.; Yang, H.J. Analysis of gene expression profile and metabolic pathway of tobacco root at high and low levels of nitrate nitrogen. Tobacco Sci. Technol. 2019, 52, 2703–2715. [Google Scholar]
- Ben, B.B.; Xu, W.H.; Zou, D.Y.; Mu, M.R.; Yang, R.J.; Liu, H.X. Study on metabonomics of wheat grain under different fertilization conditions. J. Triticeae Crops 2021, 41, 212–219. [Google Scholar]
- Song, T.; Yang, F.; Xu, W.F.; Zhang, J.H. Transcriptome analysis of rice stem under alternate wetting and drying irrigation. Plant Physiol. J. 2020, 56, 2655–2663. [Google Scholar]
- Yang, H. Breeding technology of Polulus cathayana × canadansis ‘Xinlin 1’. South China Agric. 2017, 11, 111–115. [Google Scholar]
- Chai, J.; Feng, R.J.; Shi, H.R.; Ren, M.Y.; Zhang, Y.D.; Wang, J.Y. Bioinformatic identification and expression analysis of banana microRNAs and their targets. PLoS ONE 2015, 10, e0123083. [Google Scholar] [CrossRef]
- Si, J.; Jia, L.; Wei, Y.K.; Xing, C.S.; Liu, S.Q.; Guo, Z.X. Carbon storage in fast-growing and high-yield poplar plantations under subsurface drip irrigation. J. Beijing For. Univ. 2012, 34, 14–18. [Google Scholar]
- Miyasier, K. Combined Effects of Irrigation and Fertilization on Growth and Physiological Characteristics of Caragana acanthophylla Seedlings. Master’s Thesis, Xinjiang Agricultural University, Wulumuqi, China, 2023. [Google Scholar]
- Jin, W. Effects of Water and Nitrogen Interaction on Growth and Carbon and Nitrogen Metabolites of Nitraria tangutorum. Master’s Thesis, Shanxi Agricultural University, Taiyuan, China, 2023. [Google Scholar]
- Wang, P.R.; Zhang, J.L.; Gao, X.B.; Tu, J.C. Water and fertilizer coupling on growth characteristics of Ailanthus altissima ‘Liaohong’ seedlings. J. Shandong Agric. Univ. Nat. Sci. Ed. 2024, 55, 153–161. [Google Scholar]
- Li, X.; Wang, H.S.; Wang, H.X.; Jiang, L.P.; Pang, Z.Y.; Peng, Y.H.; Zhao, X.Y. Effects of irrigation and fertilizer on growth and photosynthetic physiological of Populus cathayana × canadasis ‘Xinlin1’. Bull. Bot. Res. 2024. [Google Scholar]
- Eremina, M.; Rozhon, W.; Poppenberger, B. Hormonal control of cold stress responses in plants. Cell. Mol. Life Sci. 2016, 73, 797–810. [Google Scholar] [CrossRef]
- Finkelstein, R.R.; Gampala, S.S.; Rock, C.D. Abscisic acid signaling in seeds and seedlings. Plant Cell 2002, 14, S15–S45. [Google Scholar] [CrossRef]
- Finkelstein, R.; Reeves, W.; Ariizumi, T.; Steber, C. Molecular aspects of seed dormancy. Annu. Rev. Plant Biol. 2008, 59, 387–415. [Google Scholar] [CrossRef] [PubMed]
- Ali, S.; Hayat, K.; Lgbal, A.; Xie, L.N. Implications of abscisic acid in the drought stress tolerance of plants. Agronomy 2020, 10, 1323. [Google Scholar] [CrossRef]
- Yu, X.; Niu, J.H.; Chen, E.Y.; Qin, L.; Yang, Y.B.; Li, F.F.; Liu, Z.Y.; Guan, Y.A. Effects of water and nitrogen treatment on endogenous hormone abscisic acid and photosynthetic characteristics of foxtail millet. Soil Fertil. Sci. China 2024, 190–198. [Google Scholar]
- Cui, S.Y.; Zhang, Z.F.; Fu, X.F.; Liu, J.Q.; Yang, H.S. Key genes in response to drought stress in plant hormone signal transduction pathway of oat. J. Triticeae Crops 2023, 43, 1384–1393. [Google Scholar]
- Baiyin, B.; Xiang, Y.; Shao, Y.; Hu, J.T.; Son, J.E.; Tagawa, K.; Yamada, S.; Yang, Q.C. Nutrient flow environment as a eustress that promotes root growth by regulating phytohormone synthesis and signal transduction in hydroponics. Plant Stress 2024, 12, 100428. [Google Scholar] [CrossRef]
- Yang, Q.Q. Effect Mechanism of Combined with Water and Fertilizer on Starch Formation and Yield of Maize Under Drip Irrigation. Master’s Thesis, Ningxia University, Yinchuan, China, 2021. [Google Scholar]
- Han, M.; Xu, M.Y.; Su, T.; Wang, S.Z.; Wu, L.D.; Feng, J.H.; Ding, C.J. Transcriptome analysis reveals critical genes and pathways in carbon metabolism and ribosome biogenesis in poplar fertilized with glutamine. Int. J. Mol. Sci. 2022, 23, 9998. [Google Scholar] [CrossRef] [PubMed]
- Huang, T.W.; Luo, X.L.; Fan, Z.P.; Yang, Y.N.; Wan, W. Genome-wide identification and analysis of the sucrose synthase gene family in cassava (Manihot esculenta Crantz). Gene 2021, 769, 145191. [Google Scholar] [CrossRef]
- Yang, T.Y.; Li, H.R.; Li, L.W.; Wei, W.L.; Huang, Y.H.; Xiong, F.Q.; Wei, M.G. Genome-wide characterization and expression analysis of α-amylase and β-amylase genes underlying drought tolerance in cassava. BMC Genom. 2023, 24, 190. [Google Scholar] [CrossRef]
- Stein, O.; Granot, D. An overview of sucrose synthases in plants. Front. Plant Sci. 2019, 10, 95. [Google Scholar] [CrossRef]
- Zhu, F.; Xu, Z.Q.; Duan, Y.J.; Li, Y.Y.; Song, Y.H. Transcriptomic analysis of maize silks in response to drought stress. Acta Agric. Boreali-Sin. 2024, 39, 37–47. [Google Scholar]
- Xi, W.; Song, D.L.; Sun, J.Y.; Shen, J.H.; Li, L.G. Formation of wood secondary cell wall may involve two type cellulose synthase complexes in Populus. Plant Mol. Biol. 2017, 93, 419–429. [Google Scholar] [CrossRef] [PubMed]
- Lampugnani, E.R.; Flores, S.E.; Tan, Q.W.; Mutwil, M.; Bowman, J.L.; Persson, S. Cellulose synthesis-central components and their evolutionary relationships. Trends Plant Sci. 2019, 24, 402–412. [Google Scholar] [CrossRef] [PubMed]
- Poovaiah, C.R.; Mazarei, M.; Decker, S.R.; Turner, G.B.; Sykes, R.W.; Davis, M.F.; Stewart, C.N., Jr. Transgenic switchgrass (Panicum virgatum L.) biomass is increased by overexpression of switchgrass sucrose synthase (PvSUS1). Biotechnol. J. 2015, 10, 552–563. [Google Scholar] [CrossRef] [PubMed]
- Wei, Z.G.; Qu, Z.S.; Zhang, L.J.; Zhao, S.J.; Bi, Z.H.; Ji, X.H.; Wang, X.W.; Wei, H.R. Overexpression of poplar xylem sucrose synthase in tobacco leads to a thickened cell wall and increased height. PLoS ONE 2015, 10, e120669. [Google Scholar] [CrossRef]
- Guo, X.Q.; Chen, H.J.; Liu, Y.; Chen, W.; Ying, Y.Q.; Han, J.J.; Gui, R.Y.; Zhang, H.X. The acid invertase gene family is involved in internode elongation in Phyllostachys heterocycla cv. pubescens. Tree Physiol. 2020, 40, 1217–1231. [Google Scholar] [CrossRef]
- Tetlow, I.J.; Bertoft, E. A review of starch biosynthesis in relation to the building block-backbone model. Int. J. Mol. Sci. 2020, 21, 7011. [Google Scholar] [CrossRef]
- Zhang, Q.W. The Effect of Mutant ADP Glucose Pyrophosphorylase Gene on the Starch Content of Transgenic Maize Kernels. Master’s Thesis, Shandong University, Jinan, China, 2013. [Google Scholar]
- Zhang, Y.Q.; Yang, H.S.; Zhang, R.F.; Li, C.F.; Zhang, J.H.; Yang, Y.L. Effects of drip irrigation modes on activities of starch synthesis-related enzymes and accumulation of starch of kernels located in different ear positions of maize in the irrigation area of the Xiliaohe Plain. Chin. J. Eco-Agric. 2023, 31, 1392–1402. [Google Scholar]
Disclaimer/Publisher’s Note: The statements, opinions and data contained in all publications are solely those of the individual author(s) and contributor(s) and not of MDPI and/or the editor(s). MDPI and/or the editor(s) disclaim responsibility for any injury to people or property resulting from any ideas, methods, instructions or products referred to in the content. |
© 2024 by the authors. Licensee MDPI, Basel, Switzerland. This article is an open access article distributed under the terms and conditions of the Creative Commons Attribution (CC BY) license (https://creativecommons.org/licenses/by/4.0/).





